КОНТРОЛЬ И ОЦЕНКА ЭФФЕКТИВНОСТИ РЕКЛАМНОЙ ДЕЯТЕЛЬНОСТИ. РЕКЛАМНЫЕ ИССЛЕДОВАНИЯ КАК ФОРМА ТАКТИЧЕСКОГО КОНТРОЛЯ РЕКЛАМНЫХ КАМПАНИЙ
Лекция 12
КОНТРОЛЬ И ОЦЕНКА ЭФФЕКТИВНОСТИ РЕКЛАМНОЙ ДЕЯТЕЛЬНОСТИ. РЕКЛАМНЫЕ ИССЛЕДОВАНИЯ КАК ФОРМА ТАКТИЧЕСКОГО КОНТРОЛЯ РЕКЛАМНЫХ КАМПАНИЙ
Понятия, уровни и виды контроля РД. Особенности контроля в сфере РД. Цели контроля. Тактический и стратегический контроль рекламы. Объекты контроля в сфере РД. Внешний и внутренний контроль. Элементы контроля. Особенности планирования и организации контроля в РА. Исследования как форма тактического контроля РД. Классификация исследований, проводимых в рамках РК, по целям и задачам. Объекты исследований в рекламе. Первичные и вторичные данные исследований. Качественные и количественные исследования рекламы. Этапы проведения РК и исследования. Методы и методики исследований. Инструментарий исследований. Исследования эффективности РК. Экономическая эффективность РК. Психологическая эффективность РК. Коммуникативная эффективность РК. Планирование исследований в рамках РК
В данной лекции рассматриваются три основные проблемы контроль РД, оценка ее эффективности и рекламные исследования. Тема «Рекламные исследования» является очень объемной. Исследования в области рекламы могут касаться самых разных вещей изучения отношения потребителей к рекламе как к социальному феномену, особенностей восприятия различных видов рекламы, сравнительной эффективности каналов распространения рекламной информации, особенностей восприятия агрессивной рекламы подростками, выявления наиболее запоминающихся цветовых сочетаний и т.д. и т.п. Мы ограничимся рассмотрением лишь тех исследований, которые непосредственно используются в процессе планирования, организации и контроля РК. Такого рода рекламные исследования являются формой тактического контроля РД. В этом же аспекте будет представлена проблема изучения эффективности рекламы - эффективность РК как составляющая тактического контроля РД. Стратегический контроль решает более общие задачи диагностики и коррекции РД фирмы в целом.
Контроль РД - это неотъемлемая часть рекламного менеджмента.
Специфическими целями контроля РД, по Е. В. Ромату, являются:
- обеспечение соответствия главных направлений РД целям маркетинговой и коммуникационной политики фирмы;
- определение эффекта, конкретного результата РД;
- обеспечение максимальной эффективности рекламы;
- определение эффективности расходования финансовых средств;
- обеспечение соответствия формы и содержания рекламы требованиям государственного регулирования, морально-этическим нормам общества.
Объектами контроля в сфере РД могут быть:
- работники РА или рекламного отдела;
- РК;
- рекламные продукты;
- документация;
- финансовые ресурсы;
- деятельность самого РА как юридического лица.
Осуществление контроля РД возможно со стороны производителя рекламы. Такой контроль назовем внутренним. Контроль, осуществляемый конкурентами, заказчиками рекламы, общественными организациями, контролирующими государственными учреждениями назовем внешним.
Таким образом, можно сделать вывод о том, что система контроля в сфере РД должна иметь многоуровневую иерархическую организацию.
Цель любого контроля проверить соответствие РД заранее определенным нормам:
- внутренним должностным инструкциям, если это административный контроль деятельности работников РА;
- целям и плану РК, если это контроль проведения рекламных мероприятий;
- медиабрифу, если это медиаплан;
- творческому брифу, если это рекламный текст;
- закону «О рекламе», если это рекламные продукты, рекламные акции и т.п.;
- смете расходов на рекламу, если это счета.
Контроль бывает административным, юридическим, финансовым, этическим. Он может осуществляться руководством фирмы, директорами отделом, менеджером РК, финансовым директором, юристом, рекламным менеджером рекламодателя, общественными и государственными организациями и учреждениями, исследователями.
По мнению Е. В. Ромата, процесс контроля включает в себя следующие основные элементы:
1. Установление стандартов (определяется, какие результаты должны быть достигнуты).
2. Измерение фактически достигнутых результатов, описание сложившейся ситуации. Анализ сложившейся ситуации, выяснение важнейших причин, факторов. Ответ на вопрос: почему так произошло?
- Разработка корректирующих мероприятий с целью повышения эффективности работы системы, если достигнутые результаты отличаются от установленных стандартов и поставленных целей.
Эффективность контроля обеспечивается его постоянством и предварительным планированием. Эффективный контроль заранее планируется. В плане деятельности РА, рекламного отдела рекламодателя или СМИ, в плане РК указываются сроки, формы, методы контроля, лица, ответственные за его осуществление. Желательно, чтобы это был отдельный документ, с которым ознакомятся все участвующие в выполнении заказов работники. Традиционной формой осуществления контроля являются разного рода совещания, в ходе которых ответственные лица отчитываются, дают информацию о результатах контроля того или иного вида РД, этапа РК. Особенностью работы РА является то, что достаточно сложным видом является контроль творческой деятельности креаторов, дизайнеров, копирайтеров в силу того, что их деятельность имеет определенную специфику.
Свои особенности имеет контроль деятельности рекламных агентов и рекламных менеджеров. Здесь главное создать мотивацию, основанную в первую очередь на материальной заинтересованности. Это, как правило, помогает упорядочить отчетность, сделать контроль эффективным. С проблемой контроля связан очень важный, ключевой, стратегический вопрос, который должно решить высшее руководство фирмы: выстроить жесткую административную и финансовую иерархию, стимулирующую жесткие формы контроля вышестоящих работников по отношению к нижестоящим, или же создать коллектив, общество единомышленников, в котором преобладают мягкие формы контроля, и в первую очередь самоконтроль? Ответить на этот вопрос достаточно сложно, так как решение зависит от многих факторов традиций, истории, размера РА, задач, структуры, специализации и т.д.
Исследования в ходе проведения РК могут выполнять контролирующую функцию. Разделим исследования, проводимые в ходе планирования и организации РК, на группы. Это могут быть исследования:
- рынка и конкурентов;
- товара;
- целевого рынка и целевой аудитории рекламы;
- СМИ, в которых планируется размещение рекламы;
- эффективности рекламы.
Кто и как проводит исследования?
Исследования могут проводиться рекламодателем самостоятельно в тех случаях, когда он обладает достаточно квалифицированными кадрами. Такие исследования обходятся намного дешевле, чем заказные. Вопрос только в том, насколько профессионально они могут быть осуществлены. Рекламодатель может заказать исследование РА или организации, специализирующейся на проведении маркетинговых и рекламных исследований. Во втором случае вероятность объективности исследования намного выше, поскольку бюджет РК, проводимой РА, напрямую зависит от результатов исследований и существует опасность фальсификации полученных данных. Иногда, если исследование касается целевой аудитории, рынка, рекламодатели объединяются и заказывают исследование совместно. Это позволяет им значительно сэкономить средства. Существуют государственные и общественные исследовательские организации. Система финансирования их деятельности обеспечивает независимость, неангажированность и объективность результатов. К таким организациям можно отнести Госкомстат, Gallup Media, ВЦИОМ, РОМИР, Комкон-2 и др. Данные, полученные в ходе исследования, как правило, публикуются в открытых источниках - газетах, журналах, специальных бюллетенях, книгах, а также рассылаются по подписке. Пример такого исследования представлен в книге Л. Гудкова, Б. Дубина и др. «Общественный договор. Социологическое исследование», которая содержит результаты совместного проекта Всероссийского центра изучения общественного мнения и Института национального проекта «Общественный договор». Примером периодического издания подобного рода может служить журнал «Мониторинг общественного мнения: экономические и социальные перемены». Минусом подобного рода данных является то, что они не дают прямых ответов на конкретные вопросы, стоящие перед рекламодателем, РА, СМИ.
Результаты исследований, используемые в ходе РК, принято делить на первичные и вторичные. Данные, которые получает рекламодатель в ходе специально заказанного социологического или маркетингового исследования, называются первичными. Данные, извлекаемые из разного рода источников публикаций, документов, отчетности и т.п., называются вторичными. Получение первичных данных требует значительных затрат, но это точная и нужная информация. Вторичные данные можно получить бесплатно, но у них есть недостатки информация может быть неточной, устаревшей, несоответствующей целям и задачам РК.
Исследования по получаемым результатам и методам проведения делят на качественные и количественные. Результат качественных исследований заключается в найденной идее, описанных особенностях товара, марки, восприятия рекламы и т.п. Примером качественных исследований могут служить фокус-группы. Результат количественных исследований статистические данные: цифры, проценты, соотношения. Их достоверность обеспечивается соблюдением определенных процедур, правил, например, для социологических исследований это размер и распределение выборки, учет погрешности.
Исследования, используемые в ходе РК, по целям, задачам, предмету и методам можно разделить на следующие группы:
- социологические;
- маркетинговые;
- психологические;
- лингвистические.
Деление это весьма условно, поскольку, например, маркетинговые исследования могут быть одновременно и социологическими .
Все перечисленные виды исследований можно разделить на группы в зависимости от времени проведения:
1. Исследования, проводимые перед началом кампании. Это исследования товара, потребителей, рынка, каналов распространения информации (медиаисследования).
Их цель создать основу для принятия решений в области планирования РК. На этом этапе можно использовать
как вторичные данные, например, техническую документация на товар, рейтинги каналов и передач, так и первичные, например, результаты исследования восприятия товара представителями целевой аудитории, результаты
исследований медиа предпочтений целевой аудитории.
2. Исследования как часть разработки рекламных продуктов. Подобного рода исследования называют предтестами. Их цель - выбрать один из вариантов, предложенных разработчиками рекламы. Для этого могут использоваться самые разные методы, например, ранжирование вариантов, парные тесты, тест на идентифицируемость, запоминаемость, воспроизводимость, притягательную и агитационную силу рекламы, метод использования журналов критики (тестируемое объявление помещается в журнал или его макет и отдается респонденту на некоторое время, после чего проводится опрос).
3. Исследования, проводимые после размещения рекламы во время РК (посттестирование). Цель исследований на этом этапе контроль соответствия плана РК ее ходу, выявление ошибок, получение информации о действиях конкурентов, коррекция рекламных продуктов и плана рекламных мероприятий. На этом этапе могут использоваться методы, применяемые на предыдущем. Отличие в методике. На предыдущем этапе исследования носят экспериментальный характер, респондентам предлагаются прообразы будущей рекламы. Посттестирование изучает восприятие готовой, размещенной рекламы. К такого рода исследованиям можно отнести тест на узнавание: изучают узнавание рекламы, ее опознавательных знаков, образов, персонажей. Тест на осведомленность помогает уточнить, какая часть потребителей знала о товаре до проведения РК, какая получила представление о нем благодаря РК. Ассоциативный тест заключается в том, что информанту называют товарную категорию и просят назвать марки, ограничивая его во времени. Этот тест позволяет косвенно оценить интенсивность воздействия рекламы. Интересен метод прерванного тиражирования часть тиража газеты, листовки идет с одним рекламным объявлением, а другая - с другим или содержит какие-либо модификации первого варианта. Полученный эффект анализируется. Упрощает анализ купон, размещенный в текстах обеих частей тиража. Метод изучения перемен позволяет отследить действие рекламы. Одни и те же вопросы задаются респондентам несколько раз на протяжении всей РК.
4. Исследования, проводимые после завершения РК. Их цель изучение эффективности проведения РК.
Исследования эффективности рекламы:
экономическая, психологическая
и коммуникативная эффективность рекламы
Исследования эффективности РК, как правило, относят к тактическому контролю РД. Большинство авторов различают экономическую, психологическую и коммуникативную эффективность рекламных мероприятий.
Экономическая эффективность рекламы определяется по степени ее воздействия на развитие товарооборота. Сравнивают также затраты на рекламу и ту прибыль, которую получил рекламодатель вследствие увеличения товарооборота под воздействием рекламы. Сложность состоит в том, что не всегда РК может оказать непосредственное влияние на сбыт, например имиджевая РК. Кроме того, подчас, бывает трудно отделить рекламное влияние от каких-либо других воздействий. Так, например, можно предположить, что при проведении общенациональной РК уровень продаж кондиционеров будет выше в том регионе, в котором температура поднимется до 35 С, по сравнению с регионом, где столбик термометра не поднимется выше 25 С. Таких факторов, оказывающих влияние на сбыт, существует множество. И все же экономическую эффективность некоторых РК можно рассчитать довольно точно. Приведем методику расчета экономической эффективности [14, с. 334-335].

Исходными данными являются оперативная информация и бухгалтерская отчетность.
где Тд - дополнительный товарооборот под воздействием рекламы в рублях, Тс - среднедневной товарооборот до рекламного периода в рублях, П - прирост среднедневного товарооборота за рекламный и послерекламный период в процентах, Д - количество дней учета товарооборота в рекламный и послерекламный период.
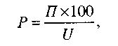
Экономический эффект РК определяется также по соотношению между прибылью от дополнительного товарооборота, полученного под воздействием рекламы, и расходами на нее:

где Э - экономический эффект рекламирования в рублях, Та -дополнительный товарооборот под воздействием рекламы (см. предыдущую формулу) в рублях, Нт - торговая надбавка за товар в % к цене реализации, Up - расходы на рекламу в рублях, Uд -дополнительный расходы по приросту товарооборота в рублях.
Эффективность затрат на рекламу характеризует также ее рентабельность:

где Р - рентабельность рекламируемого товара в % , П - прибыль, полученная от рекламирования товара в рублях, U - затраты на рекламу данного товара в рублях.
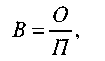
Одной из разновидностей эффективности рекламы является так называемая психологическая эффективность. При изучении психологической эффективности рекламы оценивается степень влияния рекламы на психологические процессы представителей целевой аудитории рекламы, адекватность выбора различных средств воздействия рекламы. Психологическую эффективность рекламы исследуют, используя методы наблюдения, эксперимента, опроса, семантического дифференциала, фокус-группы и т.д. Преимущества метода наблюдения заключаются в том, что реклама исследуется в естественных условиях, а потребитель рекламы не знает о том, что является объектом наблюдения. Таким образом можно, например, изучить степень привлечения внимания витрины, наружной рекламы:

где В степень привлечения внимания прохожих, О число людей, обративших внимание на рекламу в течение определенного периода, П общее число людей, которые прошли мимо рекламы (витрины, щита) за определенный период.
Наблюдения могут проводится и с помощью технических средств. Так, измерения телевизионной аудитории -аудиометрию, или пиплметрию проводят с помощью специальных приборов, устанавливаемых в квартирах и домах телезрителей. Эти приборы позволяют наблюдать за тем, кто, сколько, когда смотрел телевизор, собирать данные о рейтингах каналов и телепродукции.
Недостатком этого метода является то, что с его помощью можно изучать только уже готовую и размещенную рекламу.
Метод опроса получил широкое распространение в рекламной практике. Опрос можно проводить в устной или письменной форме, по почте, по телефону, через средства массовой информации, разместив анкету в газете, журнале, теле- или радиорекламе, а также при личном контакте с респондентом. Разновидностью личного интервью является так называемое глубинное интервью, в ходе которого используется не стандартный опросник, а метод свободной беседы с информантом, направляемой специалистом в нужное русло. Опрос является хорошим средством получения информации в тех случаях, когда удается соблюсти ряд условий правильность выборки по качественным и количественным показателям, корректность выбранного инструментария (анкета, интервью, телефонный опрос). Особое искусство составление анкеты. Это должен делать специалист, так как на результаты анкетирования влияют многие факторы порядок вопросов, их формулировка, язык, стиль. Повышению уровня мотивации участия в опросе способствуют подарки, купоны со скидками, участие в розыгрыше и т.д. Важно, чтобы цель исследования соответствовала методу. Так, вряд ли можно выяснить с помощью опроса скрытую мотивацию покупок товаров личного пользования. А вот канал поступления информации о новом товаре и степень влияния рекламы, размещенной в том или ином средстве распространения, с помощью опроса можно определить. Вот вопросы анкеты, ответы на которые можно получить, к примеру, на месте продажи товара: как вы узнали о новом товаре от знакомых, из объявления по радио, в газете, в магазине?
В психологическом плане реклама изучается с начала XX в. В процессе планирования, организации и изготовления рекламы не стоит пренебрегать теми выводами, которые сделали ученые в ходе многочисленных исследований. Эти выводы нужно знать и определенным образом к ним относиться, помня о том, что, во-первых, это, как правило, результаты зарубежных исследований, во-вторых, социальные и психологические характеристики потребителей меняются со временем, и выводы исследований могут оказаться устаревшими. И все же некоторые результаты исследований с помощью такого метода, как эксперимент, не теряют актуальности и по сегодняшний день. Полезно знать, что количество повторов рекламных объявлений имеет гораздо большее значение для психологического воздействия, чем их величина. Психологи У. Дж. Скотт и Г. Мюнстерберг еще в начале XX в. экспериментально доказали, что эффект психологического воздействия РК определяется не площадью рекламного объявления, а соотношением оптимальной площади и количества публикаций. У. Дж. Скотт доказывал также, что рекламные объявления для мужчин эффективнее делать по У4 страницы и размещать не менее четырех раз, а объявления для женщин лучше макетировать размером У8 страницы и размещать не менее восьми раз.
Большую роль при производстве рекламы играют понятия «фигуры и фона». Если в ходе РК удается представить товар как фигуру на фоне рекламы других конкурентов, то такую РК можно считать эффективной с точки зрения психологического воздействия. Укажем и на элементарные требования, которым должна соответствовать реклама с точки зрения психологов, простота и быстрота восприятия информации, удобочитаемость (выбор шрифта, соотношение между размерами букв по горизонтали и вертикали, пробелами между буквами) и т.п. Интересны результаты экспериментов по изучению восприятия женщинами витрин. Оказалось, что большее количество людей останавливались у витрин с большим количеством товаров; но время рассматривания товаров в среднем было больше у той витрины, где товаров было немного; число обращений оказалось выше по поводу товаров, представленных в витрине, где их также было немного. Однако среди проданных товаров чаще встречались вещи, которые были представлены на витрине с большим количеством вещей. В исследовании начала XX в. ученым В. Блюменфельдом было доказано, что предметы, находящиеся в средней вертикальной части, замечаются прохожими в два раза чаще, чем лежащие сбоку. Вещи, лежащие внизу, замечаются в десять раз больше, чем те, которые находятся в верхней части витрины.
Широкую известность получили эксперименты Д. Старча. Он установил, что информация (в эксперименте Д. Старча - бессмысленные слоги) в У2 полосы, размещенная в ее верхней части, воспроизводится 54 % испытуемых, в нижней части - 15 %. Если же размер информации У4 полосы, ее лучше размещать в верхней правой четверти, У9 полосы -в верхней левой четверти. Д. Старч также установил, что объявление, помещенное на первой и последней страницах, привлекает внимание в 100% случаев, а на второй и предпоследней - в 50% случаев.
Американский психолог А. Адам доказывал, что правая сторона замечается в большей степени, чем левая. Немецкий ученый В. Меде опубликовал экспериментальную работу, в которой показал, что наибольшее внимание читателя привлекает объявление в рекламной газете, если оно напечатано в правом верхнем углу. Можно предположить, что эти результаты могут варьироваться в зависимости от типа и вида издания. Печатному СМИ неплохо бы прежде, чем устанавливать расценки на размещение рекламы, провести подобного рода исследования и использовать его результаты в процессе взаимодействия с рекламодателем.
При исследовании психологической эффективности рек ламы часто используется методика психологического эксперимента как на этапе предтестирования при выборе наиболее эффективного варианта рекламного ролика, так и на этапе посттестирования при исследовании эффективности уже размещенной рекламы. Следующие эксперименты, проведенные Психологическим Агентством Рекламных Исследований (ПАРИ), позволяют ответить на некоторые практические вопросы.
Опишем эксперимент, направленный на выяснение того, какой из приемов телевизионной рекламы является более эффективным - прямое обращение к зрителю или диалог рекламных персонажей друг с другом. Исследователем О. Н. Поповой была сконструирована батарея роликов, основанных на монологах, обращенных к зрителю, и на диалогах персонажей (по пять роликов для каждой ситуации). Были выбраны ролики, напрямую не связанные с актуальными потребностями зрителей. Двум группам испытуемых по 30 человек предлагались стимульные материалы первой и второй категории. Оценка роликов проводилась по методике семантического дифференциала. Полученное распределение свидетельствует о том, что реклама, основанная на прямом обращении к зрителю, может оцениваться намного ниже, чаще отторгается зрителем
.
Следующий эксперимент был направлен на выявление того, какое из средств психологического воздействия эффект ореола или механизм идентификации является более эффективным. Трем группам испытуемых предъявлялись плакаты с рекламой мебельного салона. Первой группе был предложен плакат с изображением модного дивана; второй плакат с изображением молодой симпатичной девушки, неудобно сидящей на этом диване; а третьей плакат с изображением пожилой малосимпатичной индианки, лежащей на этом диване в удобной расслабленной позе. Испытуемые оценивали плакаты по методу семантического дифференциала. Эксперимент показал, что эффект ореола (девушка на диване) заставил испытуемых высоко оценить рекламу, а идентификации (испытуемые представляли себя на месте индианки) рекламируемый товар.
Методика следующего эксперимента может быть использована при оценке ощущений, возникающих у потребителей при употреблении пищевых продуктов, напитков, духов, их места по отношению к конкурентам, а также влияния рекламы, упаковки, бренда, этикетки на восприятие того или иного товара. В ходе эксперимента испытуемым предлагают оценить напиток методом парных сравнений. В результате выяснилось, что при сравнении напитков вслепую исследуемый напиток оказался на четвертом месте. При проведении эксперимента открытым методом (испытуемые знали марки напитков, видели их этикетки) исследуемый напиток оказался на шестом месте.
Следующая методика способна решить конкретную задачу определить наиболее эффективный тип рекламного объявления для конкретного издания. Хорошо известно, что рекомендации, содержащиеся во многих пособиях по рекламе о том, «каким должно быть рекламное объявление», носят общий характер и не всегда работают на практике. Эксперимент, проведенный ПАРИ совместно с газетой «Экстра М», показал, что для данного издания с данным форматом в данный период наиболее эффективны с точки зрения восприятия, внимания, памяти рекламные объявления с графикой, занимающие примерно У4V8 рекламного модуля, окруженные пустым белым незаполненным полем.
Следующая методика использовалась в ходе РК для ее коррекции. На психологическую экспертизу были представлены три телевизионных рекламных ролика, которые являлись составными элементами большой РК йогурта «Чудо» компании «Вимм-Билль-Данн». Первый ролик под условным название «Фрукты» был ориентирован на создание особого эмоционального впечатления у зрителей. Он содержал минимум информации. Сюжет был предельно прост: в белоснежное молоко падают свежие сочные фрукты. Растворяясь в молоке, они превращаются в йогурт. Второй ролик под условным названием «Объяснение» предлагал зрителю некую «обучающую» информацию, объясняющую преимущества и особенности хранения «живых» йогуртов. Третий ролик под условным названием «Персонажи» также был ориентирован на эмоции зрителей, но при этом в качестве приема воздействия в нем использовался психологический механизм идентификации. В полноформатном варианте ролика демонстрировались 23 персонажа, которые слизывали йогурт с крышки стаканчика. Использование метода семантического дифференциала и сравнение с «идеальным» образом позволило сделать определенные выводы. Ролик «Фрукты» был рекомендован к показу, ролик «Объяснение» был направлен на доработку, так как в нем обнаружилось несколько существенных психологических ошибок и технических неточностей, а ролик «Персонажи» после нескольких показов был снят с экрана и заменен другим.
Практически во всех описанных экспериментах используется метод семантического дифференциала Ч. Осгуда и его многочисленные модификации. Этот метод позволяет получить более точную информацию по сравнению с методами опроса, анкетирования в такой тонкой сфере, как психические процессы в рекламе. Представителей целевой аудитории (репрезентативную выборку) просят оценить на первом этапе «идеальную» рекламу, на втором - реальную. Для оценки предлагается заполнить специальную таблицу, состоящую из антонимов, пользуясь шкалой. В разновидностях этого метода используются шкалы, состоящие из разного количества элементов. Сравнение идеального графика и графика реального объекта исследования позволяет делать выводы об эффективности рекламы.
Большое значение в исследовании психологических процессов в рекламе имеют инструментальные методы исследования. Так, эффективно и объективно исследование рекламы с помощью прибора тахистоскопа, а также прибора NAC, напоминающего шлем для виртуальных игр. Использование этих приборов в практике работы рекламных и исследовательских организаций на региональном рынке это будущее, будем надеяться, что ближайшее.
Опишем еще один вид эффективности рекламы коммуникативную эффективность. Как правило, объектом исследования коммуникативной эффективности рекламы является рекламный текст. Изучение коммуникативной эффективности рекламы имеет значение и на этапе разработки рекламных продуктов при тестировании их различных вариантов образов, текстов, названий, заголовков, слоганов, и в ходе проведения РК для ее коррекции, и в процессе оценки результатов РК. По мнению Ю. К. Пироговой, чтобы корректно оценить эффективность созданной рекламы, необходимо четко проводить границу между коммерческим успехом и коммуникативной эффективностью информационной деятельности фирмы.
Исследование коммуникативной эффективности рекламы позволяет найти ответы на вопросы, почему одну рекламу замечают быстрее в общем информационном потоке, почему одно рекламное сообщение легче и проще понять, чем другое, почему одно рекламное сообщение прочитывают (прослушивают) до конца, а другое пропускают, почему одно рекламное сообщение запоминается лучше, чем другое, почему одна рекламная информация вызывает доверие, а другая нет, почему одна реклама улучшает отношение к фирме, товарам а другая не меняет его или даже ухудшает, почему одна реклама способна вызвать действие потребителя, а другая нет.
На все эти вопросы Ю. К. Пирогова предлагает получить ответы, изучая критерии коммуникативной эффективности рекламы распознаваемость, запоминаемость рекламного сообщения, его притягательную и агитационную силу. Основные методы коммуникативной эффективности рекламы опрос и эксперимент.
Исследования любого рода это достаточно затратное мероприятие, требующее привлечения специалистов в этой области. Результаты некорректно проведенного исследования могут ввести в заблуждение, привести к ошибкам в планировании и организации РК. Исследовательскую деятельность, как и РД, планируют заранее. Напомним, что один из разделов рекламного плана это план исследований, используемых в ходе РК.
План исследовательских мероприятий, как правило, состоит из следующих разделов:
- Описание результатов предшествующих исследований.
- Цели предстоящих исследований.
- Описание объектов исследований.
- Описание стратегии исследований.
- Разработка концепции и описание методов и методологии исследований.
- Этапы исследований.
- Описание ресурсов и кадров, необходимых для проведения исследования.
- Инструменты исследования (анкеты, технические приспособления и т.д.).
- Смета исследований.
- Календарный график исследований.
Документ, завершающий исследования это подробный отчет с выводами и рекомендациями по проведению РК, ее корректировке или обобщениями по уже проведенной РК и рекомендациями на будущее.
КОНТРОЛЬ И ОЦЕНКА ЭФФЕКТИВНОСТИ РЕКЛАМНОЙ ДЕЯТЕЛЬНОСТИ. РЕКЛАМНЫЕ ИССЛЕДОВАНИЯ КАК ФОРМА ТАКТИЧЕСКОГО КОНТРОЛЯ РЕКЛАМНЫХ КАМПАНИЙ