Эмпирическое исследование особенностей проявления личностной автономии женщин
Оглавление
Введение.................................................................................................................3
Глава 1. Теоретические аспекты изучения личностной автономии женщин..9
1.1 Анализ социокультурных предпосылок, определяющих особенности обретения личностной автономии женщинами………………………………14
1.2 Специфика формирования личностной автономии женщин с точки зрения струтурной модели обретения автономии в рамках экзистенциально-аналитической теории………………………………………………………….20
Глава 2. Эмпирическое исследование особенностей проявления личностной автономии женщин……………………………………………………..............29
2.1 Описание программы исследования личностной автономии женщин.....29
2.2 Описание результатов исследования личностной автономии женщин....33
2.3 Анализ взаимосвязи личностной автономии женщин и фемининных и
маскулинных качеств...........................................................................................39
2.4 Выводы............................................................................................................40
Заключение............................................................................................................41
Список литературы...............................................................................................43
Приложение А. Опросник экзистенциальных мотиваций «ТЭМ»..................46
Приложение Б. Полоролевой опросник С.Бем..................................................49
Приложение В. Сводная таблица данных по респондентам…………………51
Когда вы сделаете двоих одним, и когда вы сделаете
внутреннюю сторону как внешнюю сторону,
и внешнюю сторону как внутреннюю сторону, [...]
и когда вы сделаете мужчину и женщину одним, [...]
тогда вы войдете в Царствие.
Евангелие от Фомы
Введение
Мир меняется, вслед за ним меняем и мы за днями идут недели, за эпохами идут века, одна культура сменяет другую, решаются старые вопросы и появляются новые. Но ничего не возникает из ниоткуда и не уходит в никуда, дыханием истории пронизан каждый момент, и даже глубоко архаичные явления могут быть широко распространены в актуальной социокультурной среде, серьёзно влияя на развитие личности в целом. Наследие прошлого это такая же часть настоящего, как и наш геном, содержащий всю историю формирования нашего вида, есть неотъемлемая часть нас, более того, эта часть заключает всё целое конкретного человека с его уникальностью и неповторимостью.
Со времен Гегеля становление современной культуры принято связывать с разрешением её внутренних противоречий, которые актуализируются в конкретный период времени, диалектика самой жизни сталкивает их, синтезируя в принципиально новой, доселе неизвестной форме. Преодоление или синтез этих противоречий является неотъемлемой частью прогресса, разрешая в сформировавшихся условиях неразрешимые проблемы, мы формируем новые условия, которые несут за собой цепочку открытий и инновационных подходов, озаряя перед человечеством новые горизонты земля круглая, она вертится вокруг солнца, а пространство и время относительны. Разрешая конкретные противоречия, человечество способно выйти на новый уровень абстракции, где эти же противоречия складываются в один закономерный, согласованный и гармоничный узор мироздания.
Мои предыдущие исследования касались, как мне кажется, одного из самых противоречивых вопросов современности вопросов аутентичного бытия, что, на мой взгляд, тождественно личностному счастью каждого. Что значит быть собой в постоянно меняющимся мире? Что значит быть счастливым, почему нам кажется, что для этого так много всего нужно? На этот раз я хотела бы углубить постановку вопроса, в ещё более спорное пространство автономии в гендерном контексте, т.к., на мой взгляд, понятие аутентичности, счастья и автономии тесно связаны и являются семантически родственными, а гендерный контекст представляется как концентрация противоречий, максимально актуальных сегодня.
Неоспоримым является тот факт, что на женщине лежит крайне важная биологическая ответственность перед всем человечеством в качестве репродуктивной функции так заложено природой и подчёркнуто культурой, что именно женщине отведена роль вынашивания, кормления, ухода и воспитания ребёнка, особенно в раннем возрасте. Общемировой культурный акцент на репродуктивные функции женщины, на мой взгляд, через социокультурную среду формирует общепринятую роль и задачи женщины, затормаживая таким образом её собственные проявления воли, подменяя автономию квази-автономными культурными паттернами поведения, заменяя ее собственные цели на гетерономное долженствование. На это указывают не утихающие и по сей день споры: движения, называемые ныне постфеминисткими, программы ООН, история нобелевской лауреатки премии мира Малалы Юсуфузай и т.д.
Таково наследие прошлого, которое мы можем наблюдать в современности, и оно высвечивает противоречие, которое неизбежно приведёт к синтезу уходит время борьбы женщин за свои права и наступает время манифестации свободной воли. После столь долгой истории ограничений, женщинам предстоит научиться пользоваться и распоряжаться теми мускулами, которое все это время считались слабыми. Таким образом, эта работа посвящена вопросам того, как женщина может сама разрешать общекультурные противоречия, находить свое место в жизни и саму себя.
Вполне очевидным является тот факт, что для решения противоречия, историю которого можно проследить на тысячи лет назад, необходимо использовать принципиально новые синтетические средства, которые позволяют не просто вывести теорию на определённый и необходимый уровень абстракции, но и привязать это к конкретной и действующей практике. Как известно, одним из характерных черт кризиса, в котором психология частично находится и сейчас, является тот факт, что научные теории плохо сопоставимы с практикой. Учитывая это, данная работа основывается на экзистенциально-аналитической теории, разработанной Альфридом Лэнгле, австрийским психотерапевтом, который сформировал свою теорию в процессе собственной практики.
В предыдущих исследованиях аутентичность рассматривалась с точки зрения творческого акта, и одним из тезисов было утверждение, что каждый представитель человеческого рода наделен творческим началом, и источником этого начала можно определить то, что Лэнгле называет Person. Творческим актом в рамках исследования были обозначены действия в соотнесенности с Person. Данное исследование нацелено на то, чтобы продемонстрировать необходимость творческого акта в разрешении противоречия социокультурной среды для сохранения или обретения личностной автономии, а именно синтеза как уже принятых и постулируемых в культуре женских качеств, так и качеств, на которые у мужчин образовалась своеобразная культурная монополия в роде самореализации и социальной активности.
В гендерном контексте автономия отягощена исторически, где тесно связаны понятие творца и мужчины, например, нет слова «творец» в женском роде, а слова «муза» нет в мужском. Как мне кажется, это указыавает на общекультурный стереотип отведённых «ролей», корни которого можно найти еще в архаике. Эту же взаимосвязь легко проследить внутри культуры разных эпох: чаще всего, именно мужчина вершит историю, ставит и решает задачи, руководит, заслуживает доверие, отстаивает интересы, принимает важнейшие решения. В тысячелетних вереницах королей и императоров, ближе к современности мы чаще встречаем женские имена те выдающиеся исключения, которые по историческому казусу только подтверждают это правило.
Таким образом, можно говорить о формировании предпосылок, затрудняющих обретение автономии женщиной ей веками отводилась второстепенная роль, она не решала главные и значимые вопросы, ведь на это всегда есть «более компетентные» члены общества. Табуированная и регламентированная жизнь женщины разных эпох может легко высветить нам страх общества перед возможностью женского своеволия, будто вместо вынашивания и взращивания продолжения рода, она может решить заняться чем-то другим.
При этом, вследствии чисто психологических причин, реакцией на социокультурное давление среды может быть не только адаптация, но и бунт, который приводит женщину к своего рода отчуждению от общепринятой «женской» роли, что в свою очередь может так же служить препятствием для обретения автономии, как и адаптация под существующие культурные рамки. В таком виде в контексте женской психики это противоречие может обретать полярные символы: семья или работа, умная или красивая и т.д.
В заключении я хотела бы кратко подвести итог всего вышесказанно в основных вводных пунктах исследования.
Проблема исследования: В рамках экзистенциально-аналитической теории, гендерная специфика обретения личностной автономии не была изучена.
Цель исследования: выявить взаимосвязь между личностной автономией женщин и наличием фемининных и маскулинных качеств.
Задачи исследования:
- Провести теоретико-методологическии анализ обретения личностной автономии, реализуемои в контексте социокультурных условий современности;
- Наполнить теоретическую структуру обретения личностной автономии с точки зрения экзистенциально-аналитической теории психологическим содержанием, которое может быть актуально для женщин в современных социокультурных условиях;
- Определить методы эмпирического исследования взаимосвязи личностной автономии женщин и фемининных и маскулинных качеств;
- Провести исследование и статистический анализ данных.
Объект исследования: личностная автономия женщин.
Предмет исследования: личностная автономия женщин во взаимосвязи с выраженностью фемининных или маскулинных качеств.
В основе исследования лежит основная гипотеза: Высокие показатели личностной автономии женщин взаимосвязаны с высокими показателями как фемининных, так и маскулинных качеств одновременно.
Гипотеза-следствие 1: У испытуемых с высокими показателями автономии будет больше как фемининных, так и маскулинных качеств одновременно.
Гипотеза-следствие 2: У испытуемых, у которых более выражены только фемининные или только маскулинные качества, будут иметь средние и низкие показатели автономии.
Гипотеза-следствие 3: Женщины с высокими показателями автономии будут довольны тем, что они родились женщинами, и не чувствовать при этом, что они теряют какие-то возможности или качества, присущие мужчинам.
Для реализации данного исследования был создан интернет-опросник, состоящий из трех частей:
- Опросник экзистенциальных мотиваций «ТЭМ» (Тест экзистенциальных мотиваций);
- Полоролевой опросник С. Бем;
- Два открытых вопроса с просьбой дать наиболее полный ответ:
1) Довольны ли Вы тем, что родились женщиной?
2) Чувствуете ли Вы, что родившись женщиной, вы теряете какие-то возможности или качества, присущие мужчинам?
Выборка составила 115 женщин возрастом от 18 до 35 лет.
Структура выпускной квалификационной работы определяется общеи логикои исследования и состоит из введения, двух глав, заключения, списка литературы и 3 приложении общим объемом 53 страницы. Библиография включает в себя 38 наименования, в том числе 19 на русском языке и 19 на иностранном.
Глава 1. Теоретические аспекты изучения личностной автономии женщин
Еще несколько десятилетий назад психологами активно обсуждалось понятие адаптации к окружающему миру как процесса приспособления личности к существованию в обществе в соответствии с его требованиями и реализацией собственных потребностей в этих условиях. Однако, с течением времени стало ясно, что этого недостаточно с точки зрения успешной и счастливой жизни. Все большее внимание стало уделяться вопросам свободы выбора, реализации личностного потенциала и, говоря в терминах экзистенциальной психологии, исполненности, наделяя их значением высших проявлений человеческой жизни. Психология современности, по завещанию Абрахама Маслоу, все больше стремится описывать психически здорового, успешного и счастливого человека [Маслоу, 1999]. Одним из критериев успешности жизни и личностной зрелости в сегодняшних реалиях является личностная автономия, которая обозначилась как один из центральных вопросов в гуманистической и экзистенциальной психологии, в работах таких видных психологов, как Э.Фромм, Р.Мэй, К.Роджерс, А.Маслоу, В.Франкл и др., и продолжает по сей день оставаться актуальным запросом современного человека. Тем не менее, следует признать, что остаются некоторые исследователи, не согласные с самой идеей существования автономии. Так, к примеру, некоторые ученые убеждают в автоматизме высших психических процессов [Bargh, Chen, Burrows, 1996; Bargh, Chartand, 1999; Bargh, Ferguson, 2000], другие настаивают на сугубо социально-сконструированной природе осознания себя и собственной автономии, рассматривая их лишь как набор позиций в сетях социальных взаимосвязей [Auerbach, 1985; Cox, Lyddon, 1997; Richert, 2002]. Тем не менее, позиция данного исследования строится на том, что рассмотрение автономии оправдано с точки зрения эффективности в консультативной и терапевтической практике. Традиционно, становление на автономный путь существования является ведущей целью любой психотерапии и критерием ее успешности [Леонтьев Д.А., 1993; Роджерс, 1994; Gruen, 1976; Lngle, 2000, 2008; Spinelli, 2001; Yalom, 1980].
В зарубежной психологии наиболее пристальное внимание уделялось этому понятию в рамках теории самодетерминации [Deci, Ryan 1985, 2000; Sheldon, Ryan, Reis, 1996; Reis, Sheldon, Gable, Roscoe, Ryan, 2000]. В отечественной психологии идея личностной автономии продолжительное время не выделялась конкретно, однако предпосылки к этому можно встретить в работах Выготского Л.С., Рубенштейна С.Л., Леонтьева А.Н., Василюка Ф.Е., Петровского В.А., и некоторых других. Отдельное внимание понятию личностной автономии стало уделяться Д.А.Леонтьевым, Дергачевой О.Е., Калитеевской Е.Р. и др. Леонтьев Д.А. неразрывно связывает понятие автономии с развитием личностного потенциала, а так же подчеркивает важнейшую роль духовности в данном аспекте, приводя в одной из своих работ цитату Леонтьева А.Н.: «Духовность есть то, что сплавляет воедино все механизмы высшего уровня. Без нее не может быть автономной личности. Только на ее основе может обрести плоть основная формула развития личности: сначала человек действует, чтобы поддержать свое существование, а потом поддерживает свое существование ради того, чтобы действовать, делать дело своей жизни» [Леонтьев Д.А., 1993, С. 35; Леонтьев А.Н.,1977, С.225]. Кроме того, вместе с Калитеевской были выделены четыре типа развития личности в рамках семьи, из которых только один, автономный путь, ведет к личностной зрелости и полноценному существованию в будущем. Для такого пути развития необходимо, чтобы ребенку дозволялась родителями самостоятельность, и при этом существовало эмоциональное приятие. Один из альтернативных типов развития, названный конформным, как замечают сами исследователи, характерен преимущественно для девочек. «У людей, относящихся к этому типу, самоотношение неустойчиво, преобладает опора на внешние критерии принятия решения и чувство независимости результатов действий от собственных усилий. Для родителей таких людей характерно скрытое отвержение, выражающееся в формальном воспитании, формирующем ориентацию на внешние формальные стандарты «как все». Это же способствует формированию условно позитивного самоотношения, зависящего от внешней оценки, которую можно заслужить, ведя себя сообразно внешним требованиям. Такой человек может успешно адаптироваться к жизни ценой безоговорочного принятия внешних требований и оценок в качестве руководства к действию» [Леонтьев Д.А., 1993, С.39].
Существует так же симбиотический путь, способствующий невротическому развитию, который встречается у обоих полов. Для родителей в таких семьях, с точки зрения авторов, характерны эмоциональное отвержение с материнской стороны, а так же недооценка ребенка, пристальный контроль и непринятие в нем личности с обеих сторон. Самоотношение таких личностей неустойчиво и, чаще всего, негативно, а так же зависит от внешней оценки, в первую очередь родителей. Решения принимаются исходя из внешних предпосылок, а ответственность пародоксальным образом несется за реализацию чужих ценностей, а не своих собственных. Авторы считают, что, по-видимому, подобное отношение родителей складывается как реакция на взросление ребенка, у них возникает страх его самостоятельности и они бессознательно стремятся сохранять его зависимость, давая свою любовь только за желаемое поведение. Таким образом формируется ориентация на внешнюю опору в поведении [Леонтьев Д.А., 1993].
Последний выделенный путь, импульсивный, типичен для мальчиков, однако бывают и исключения, поэтому приведем его здесь. Несмотря на внутренние ориентиры в принятии решений, у таких людей остается ощущение независимости результатов действий от их усилий. Родители такого ребенка каким-то образом подчеркивают его несостоятельность, но не отвергают явно. Подобный тип развития ведет к неразвитой саморегуляции, стремление делать что-то импульсивно, противопоставляя себя другим, выказывая протест, что, в свою очередь, предотвращает достижение истинной свободы. Рано или поздно такой путь ведет к подчинению внешним воздействиям из-за несформированных идеалов [Леонтьев Д.А., 1993].
К сожалению, как будет обсуждаться во втором параграфе данной главы, подобные ситуации развития, в сущности, часто встречающаяся действительность, являющаяся отражением заложенных в культуре паттернов с очень давних времен, и присутствующих в обществе по сей день.
Для методологического обоснования данного исследования была выбрана экзистенциально-аналитическую теория, разработанная австрийским психотерапевтом и клиническим психологом Альфридом Лэнгле. Как уже освещалась ранее, упомянутая теория обладает как основательными теоретическими наработками, так и значительной практической методологией, являясь таким образом одним из самых перспективных направлений современной психологии с точки зрения ее практической эффективности. Данная теория включает в себя модель четырех фундаментальных мотивации, ведущих к исполненности экзистенции. Автономия в проявленной форме представлена на уровне третьей мотивации, однако, как справедливо замечено Еленой Станковской, этого оказывается недостаточно для практических нужд. Представленная работа в своей основе опирается на более развернутую Станковской структуру обретения личностной автономии, для возможности последующего применения ее в практике [Stankovskaya, 2014]. Таким образом, процесс обретения автономии будет рассмотрен с точки зрения взаимосвязи всех четырех фундаментальных мотиваций.
Следует отдельно отметить, что сам автор оперируемой теории никогда не рассматривал автономию с точки зрения гендерного аспекта. Это вполне оправдано, так как законы, обозначенные им, справедливы для представителей обоих полов и данное исследование в целом основывается на предположении, что оба пола имеют одинаковые возможности для обретения автономии. Данная работа, тем не менее, стремится обозначить специфические особенности и препятствия, обусловленные культурной и социальной средой современной реальности, актуальные для представительниц женского пола.
В последующих параграфах данной главы будут кратко освещены различные социокультурные предпосылки, определяющие особенности обретения личностной автономии женщинами.
Структурная модель обретения личностной автономии в рамках экзистенциально-аналитической теории будет наполнена психологическим содержанием, которое может быть актуально для женщин в современных социокультурных условиях.
Таким образом, мы, сформировав теоретические предпосылки исследования, сможем перейти непосредственно к эмпирической части.
1.1 Анализ социокультурных предпосылок, определяющих особенности обретения личностной автономии женщинами
На первый взгляд, казалось бы, современный западный мир, обозначивший своим идеалом стремление к индивидуализации, целиком и полностью открыт для свободного и независимого существования самостоятельной личности. Да, действительно, теперь мы часто встречаем различные предписания массовой культуры из серии «будь собой», «будь этого достойным», действовать уникальным образом, не оглядываясь на других, так как только такая стратегия приводит к подлинному успеху. Это в полной мере относится и к женской половине населения, существуют некие идеалы свободной женщины, самостоятельно принимающей решения и несущей ответственность за свою жизнь, или же наоборот, легкой и хрупкой, которая позволяет себе «быть слабой и хотеть платье». Однако удивительным образом эти культурные предписания, стремящиеся вроде бы ободрить и вселить уверенность, сочетаются с существующими параллельно, противоположными наставлениями для женщин: не высовываться, быть покорной, не перечить авторитетам, ждать своей очереди, заботиться о других в первую очередь, и т.д., если она хочет быть по-настоящему женственной. Если прислушиваться только к заветам культуры и общества, выходит, что можно быть собой только в тех случаях, когда это одобряется другими, что крайне отягощает возможность сохранения автономии. При этом, противоречащее давление оказывается на идентичность женщины с одной стороны, будь личностью, и будь собой, а с другой будь женщиной и оставайся в тени. Конечно же, в более абстрактном смысле эта проблема актуальна для обоих полов, однако, говоря о становлении женщины в обществе, подобные парадоксы встречаются значительно чаще и имеют, возможно, более гипертрофированный характер. Можно привести в пример ряд исследований, посвященных изучению гендерных особенностей становления личности. Например, как показали исследования Ершовой Н.М. и Мясниковой Л.А., матери гораздо больше времени проводят с маленькими грудными сыновьями, и больше радуются этому контакту, чем делают то же самое с девочками, а так же начинают раньше прерывать с девочками симбиоз, но при этом часто и не отпускают из симбиоза до конца таким образом можно проиллюстрировать парадоксальность требований, отражающих культурную амбивалентность по отношению к женщинам, транслируемых на уровне семьи: будь самостоятельной будь зависимой. Исследования Поповой Л.В. отражают подобные социокультурные требования в процессе социализации девочек: «со стороны учителей и родителей на девочек оказывается сильное давление, с тем чтобы заставить их подчиняться всевозможным нормам, правилам и традициям» [Попова, 1996, С.34], при этом, «...школьные учителя уделяют больше внимания в классе мальчикам. Учителя в первую очередь отвечают на их вопросы, а одноклассниц к вопросам не поощряют. Подразумевается, что девочка должна знать, а не исследовать и сомневаться в истинности или полноте знания» [Попова, 1996, С.33]. Ершова Н.М. и Мясникова Л.А. проводят более подробный анализ того, как в процессе развития женщины испытывают необходимость вести себя определенным образом, чтобы оставаться «девочками», «девушками» и «женщинами». Такие исследования не единичны и ведутся уже продолжительное время. В свое время Симона де Бовуар была одной из первых женщин, привлекших внимание к условиям становления женщин, которая так же отмечала навязывание им определенной роли обществом и более предпочтительное и уважительное отношение к мальчикам со стороны нянь, учителей и прочих окружающих их людей [Бовуар, 1997]. «The New York Times» в 2006 году опубликовав некролог Бетти Фридан, назвала ее книгу «Загадка женственности» («The Feminine Mystique», 1963) одной из наиболее влиятельных публицистических книг XX века, давшей импльс женскому движению, которое навсегда изменило структуру общества в США и других странах. Еще пол века назад женщинам приходилось отстаивать свои возможности реализовывать себя вне сферы домашнего хозяйства. Фридан считала, что роль домашней хозяйки и воспитательницы детей была навязана женщине посредством создания так называемой «загадки женственности». Она так же отмечала, что псевдонаучные теории, женские журналы и рекламная индустрия «научили, что женщинам, обладающим истинной женственностью, не нужна карьера, им не нужно высшее образование и политические права одним словом, им не нужны независимость и возможности, за которые когда-то боролись феминистки. Всё, что от них требуется, это с раннего девичества посвятить себя поискам мужа и рождению детей» [Фридан, 1994].
Кратко эти предписания культуры можно охарактеризовать так: если хочешь быть женственной, веди себя тихо, слушайся и подчиняйся тем, кто знает лучше тебя, будь покорной и радуй других, будь слабой, беззащитной и безропотной. Здесь так и хочется вспомнить стихи Некрасова:
«В полном разгаре страда деревенская...
Доля ты! русская долюшка женская!
Вряд ли труднее сыскать...»
Вероятно, подобные явления являются некоторыми пережитками общества, которое сравнительно недавно стало стремиться к индивидуализации личности в том виде, в котором мы встречаем это сейчас. Сегодня удивительным кажется тот факт, что еще какие-то сто лет назад женщины в большинстве стран не имели права голосовать на выборах. Но это так, и с одной стороны, действительно, было бы странно ожидать от культуры столь быстрых преобразований и полного отказа от предшествующего уклада жизни. Несмотря на технический и общественный прогресс, который в целом гораздо облегчил ведение хозяйства и воспитание детей, биологическая функция, закрепленная за женщинами, остается, по большому счету всё той же, что была и тысячелетиями назад заложена самой природой. По большому счету, именно по этой причине, традиционные устои были всегда оправданы с точки зрения эффективности организации быта, начиная с времен, когда люди жили родовыми общинами. В истории нашей западной цивилизации это особенно прослеживается и в ее колыбели античной культуре. Как известно, тогда женщины не допускались до публичной жизни. Ханна Арендт подробно описывает причины этому, которые в основном складываются из биологической значимости роли женщины в качестве заботы о поддержании и продлении рода у нее была своя ответственность, лежащая в сфере частного, а потому, она не имела свободы допуска до сферы публичного [Арендт, 2000]. Таким образом, свобода женщин ограничивалась обществом с незапамятных времен, а так же навязывало ей определенную роль. При этом, «Совершенство, греческое , римское virtus всегда находили себе место в области публичного... Все совершаемое публично может ... достичь совершенства, никогда не присущего никакои деятельности внутри приватного» [Арендт, 2000, С. 64]. Таким образом, обозначив эту цитату, обсуждение данной проблемы подходит к следующему пункту.
Карен Хорни в своих работах рассматривает проблему формирования комплекса кастрации, или, по-другому, комплекса маскулинности у девочек с раннего детства, который можно обозначить как стремление к отказу от женственности, вследствие непринятия своего «удела быть женщиной». Так же, она рассуждает об искажениях представлений об истинной женской природе, по причине того, что она оценивается «по мужским меркам». Она основывается на рассуждениях философа Георга Симмеля, рассуждающего о маскулинности нашей цивилизации: «государство, законы, мораль, религия и наука все это творение мужчин» [Хорни, 1993]. Он привлекает внимание к униженному положению женщины, и настаивает на том, что все категории, вроде искусства, морали, справедливости, объективности научных теорий, энергии и глубины жизни принадлежащие человечеству в целом, в действительности, по своему историческому наполнению, насвквозь мужские. Таким образом выходит, что все ценности, рассматриваемые, как абсолютные и определяемые как «объективные», обнаруживают равенство «объективныймужской». Хорни продолжает его мысль: «Именно в маскулинности нашей цивилизации причина того, что в самых различных областях деятельности любые незначительные успехи презрительно называют «женскими», а выдающиеся достижения женщин уважительно именуют «мужскими»... любая наука и любые ценности ... рассматривается только с точки зрения мужчин» [Хорни, 1993]. Таким образом она обращает внимание на то, что психология женщины так же строилась исходя из образа мыслей мужчины. «Отметим еще один очень важный момент этой ситуации: женщины действительно приспосабливаются к желаниям мужчин и принимают эту адаптацию за свою истинную природу. Они видят (или раньше видели) себя такими, какими хотят их видеть мужчины, бессознательно усваивая подсказку мужской мысли. Если нам ясна степень, до которой все наше существование, образ мыслей и действий приспособлены к меркам мужчин, то нам должно быть понятно, как трудно отдельному мужчине и отдельной женщине от них отойти» [Хорни, 1993]. С первой публикации этой статьи прошло уже около 90 лет, однако, хоть, с развитием общества описанные явления стали гораздо менее выраженными, они еще не нивелировались окончательно. Все это создает предпосылки для отказа от женственности, ведь кому захочется лишать себя возможности постигнуть совершенство? Таким образом, с развитием общества, доступностью образования и в целом допуском до сферы публичного, появляется следующий идеал сильной и независимой женщины. Кроме прочего, явление мизогонии, или, по-обывательски, женоненавистничество, которое может выражаться в преимущественном восприятии женщин как глупых, слабых, или даже опасных созданий, получило развитие и среди самих женщин, родив понятие внутренней мизогинии. Это явление выражается в «признании истинности» негативных стереотипов о женщинах самими женщинами, что зачастую ведет к желанию дистанцироваться от своего пола и стремлению перенять маскулинные модели поведения. Это явление может объясняться желанием принадлежать к «более привелигированному» мужскому обществу и повышать таким образом свой статус в сравнение с остальными представительницами своего пола.
По большому счету противоречивые требования и быть женственной, и быть наравне с мужчинами можно рассматривать как чьи-то чужие мерки, предрассудки или плоды стереотипов. Никакой вид деятельности не может быть вменен как единственно правильный. С одной стороны, это кажется банальной, простой и очевидной мыслью, но влияние подобных предписаний на психику крайне велико, и как правило, остается незамеченным теми, кто не интересуется этими вопросами специально или профессионально. Тем не менее, мы не может требовать общество измениться, все что мы можем, это начать с себя в данном случае это означает, что чем больше женщин будут сохранять или обретать автономию, тем быстрее будет развиваться общество в целом, все больше отказываясь от предрассудков и стереотипов. Чтобы понять, как оно должно измениться, целесообразно «спросить у самих женщин», то есть исследовать автономных женщин, чтобы понять, к чему мы движемся.
1.2 Специфика формирования личностной автономии женщин с точки зрения структурной модели обретения автономии в рамках экзистенциально-аналитической теории
Исследуя понятие автономии в рамках экзистенциально-аналитической теории, неизбежной будет необходимость обратиться к духовному измерению человека, которое названо автором этой теории, Альфридом Лэнгле, Person. По этой причине попробуем кратко охарактеризовать его в самом начале. Person это превосходящее физическую и психическую природу, свободное, недетерменированное, самотрансцендирующееся начало в человеке, и именно по этой причине дать ему конкретное определение невозможно. Автор говорит о Person как о самой глубокой основе Я, и при этом как о нечто большем, чем Я может охватить у нас нет ни возможности это постичь, ни создавать или контролировать. Person это та прооснова, из которой мы черпаем свою духовную силу [Лэнгле, 2008]. Как мы увидим дальше, это соотнесение с духовной сущностью внутри нас является залогом автономного существования.
Экзистенциально-аналитическая теория включает в себя систему четырех фундаментальных мотиваций, где личностная автономия связана с третьим уровнем. Однако, как было замечено ранее, необходимо рассмотреть все уровни экзистенции, чтобы составить единую картину процесса обретения/сохранения автономии, так как без разрешения предыдущих, невозможно успешное разрешение фундаментальной мотивации только на третьем уровне. Каждый уровень экзистенции имеет место быть в жизни каждого человека, как мужчины, так и женщины, и описанные ниже процессы справедливы для обоих полов. Мы охарактеризуем, в чем заключается каждый уровень, а так же наполним его теми возможными содержаниями, которые могут быть актуальны для женской половины населения.
Первая фундаментальная мотивация связана с вопросом «могу ли я быть в мире?» и необходима в качестве обретения основы для бытия, в результате исполненности которой человек обретает доверие себе и миру. Эти факторы необходимы для обретения автономии как сама возможность ее существования автономия заложена в нас природой, и каждый (здоровый) индивид от рождения наделен этой способностью. Как же человек может реализовывать самого себя, если он не доверяет себе и не верит в то, что он может жить, руководствуясь собой? На данном уровне необходимо понять, что является для человека реальным и в чем заключаются его возможности, и можно даже сделать предположение, что проблематика автономии женщин в значительной степени кроется на уровне именно этой мотивации как результат социокультурных условий, в которых пребывают женщины. Доверие самой себе необходимо для возможности быть автономной, однако, часто женщины встречаются с предписаниями, противоречащими ее собствнным желаниям или потребностям, что ведет к тому, что женщине становится труднее доверять самой себе, так она начинает детерминироваться не изнутри, а снаружи. Например, убеждения в роде того, что женщины не созданы для того, чтобы водить машину, быть инженерами, или овладевать какими-то другими профессиями, в которых чаще задействованы мужчины, мыслить логически и прочее, подрывают саму основу автономии, чувство «я могу». Фундаментальное доверие к миру часто описывается как «я в надежных руках», и для женщины, возможно, иногда, та духовная опора, выходящая за пределы рационального, которая дает это ощущение заменяется необходимостью обрести опору в мужчине. К примеру, распространенным предубеждением является то, что чувство защищенности женщинам дается со стороны мужчины, что внушают некоторую степень беспомощности. Однако, защищенность это внутреннее переживание, достигаемое благодаря собсвенному переживанию, философской рефлексии или теологически-религиозному опыту, и вовсе нет необходимости в обязательном предоставлении ее со стороны мужчины. Здесь можно говорить о феномене выученной беспомощности представлении женщин, что они не смогут справиться с данностями бытия без помощи мужчины. Чаще всего это связано с тем, что находясь какое-то время под опекой «сильного мужского плеча», мужчины, который всецело принимает самые важные решения, определяет вектор движения жизни, а так же занимается реализацией этих решений, у женщины вырабатывается представление, что она уже не может делать то же самое самостоятельно, а более того, не сможет довести решения до реального воплощения в жизнь.
Кроме прочего, обращая внимание на первую фундаментальную мотивацию, следует отметить, что то, что женщина «может», и какими возможностями, данными от природы она обладает, являются так же специфическими. Женскому телу подарена возможность зачинать, вынашивать и вскармливать ребенка, что сопровождается весьма специфическими телесными состояниями на протяжении практически все жизни женщины. Тем не менее, эта данность по-разному воспринимается самими женщинами: для одних это источник силы, самоидентификации и продуктивности, для других же несправедливость мира и причина отчуждения от собственного тела, которые являются следствием приобретения негативных штампов, обретаемых вместе с гендерной социализацией [Ершова и др, 2007]. Данный факт так же необходмо принять и выдержать на уровне первой мотивации.
На втором уровне мотиваций женщина сталкивается со следующим фундаментальным вопросом «нравится ли мне жить?». Этот уровень связан с обретением ценностей, обнаружением того, что же важно для меня, а так же решением открыться новому опыту, зная, что это в любом случае хорошо по той причине, что жизнь ценна сама по себе. Здесь так же есть свои подводные камни например, распространенная ценность, навязываемая женскому полу выйти замуж, родить детей, устраивать домашний уют. Конечно же, эти ценности действительно могут быть актуальными для женщин, однако, сам факт навязывания их может вызывать дополнительные трудности в принятии этих ценностей, или ценностей противоположных как, например, желание какое-то время посвятить карьере. На этом уровне имеет место быть феномен двойной нагрузки, который так же затрудняет обнаружение ценностей необходимость одновременно реализовывать и семейные и профессиональные обязанности. Давление общества присутствует независимо от того выбора, который женщина совершает если она решает посвятить время внешней реализации, общество напоминает ей о риске остаться старой девой, или потерять то время, когда она достаточно молода, чтобы смочь выносить здорового ребенка и т.д. Если же она выбирает реализацию себя в семейной жизни, ей приходится сталкиваться с другими проблемами, начиная с того, что работодатели не желают устраивать на работу молодых женщин, которые могут неожиданно уйти в декрет и, заканчивая тем, что ее профессиональное развитие приостанавливаются, и на какое-то время она вынуждена прервать свою внешнюю реализацию. Может возникнуть тягостное ощущение, что открывая одну дверь, приходится закрывать другую, либо же столкнуться с необходимостью каким-то образом пройти одновременно в две разные двери.
Третий уровень экзистенции отвечает на вопрос «имею ли я право быть самим собой?» Именно здесь мы можем говорить об автономии личности как о проявленной или не проявленной, так как это уровень поисков и образования собственной идентичности, становления тем, кем я являюсь на самом деле, обретения аутентичности. Для этого необходимо три основных компонента: уважительное внимание, справедливое отношение и признание ценности личности, как приобретенные как в соотнесении с другими, так и реализванными самой личностью по отношению к самой себе. Уважительное внимание со стороны других означает принятие ими личных границ, а так же уважительное отношение к проявлениям свободной воли человека. Справедливое отношение к Собственному человека заключается в оценивании того, какой человек есть, но по той же мерке, по которой оценивают и других. Признание ценности включает в себя оценку тех проявлений и поступков человека, в которых отражается сама его сущность, те решения, которые он принимает в соответствии со своим Person. Эти же структуры справедливы и для внутренних предпосылок: уважительное внимание к себе кроме определения своих границ так же означает самодистанцирование; справедливое отношение первостепенно заключается в соотнесении с самим собой, то есть обнаружении посредством собственных чувств и интуиции того важного и ценного, что ему по-настоящему соответствует. Человеку для этого нужно уметь принимать всерьез то, что возникает в нем, давать этому возможность быть и оставаться с этим в резонансе. Залогом признания соственной ценности является осознанная рефлексия своих переживаний, желаний, намерений, поведения и т.д. и вынесением оценки, которая позволяет выработать какую-то позицию по отношению к себе, которая выражается как чувство оправданности перед собой перед лицом совести и Супер-эго. Для успешного разрешения третьей фундаментальной мотивации необходимо развить доверие своим собственным оценкам и сохранять ориентацию на себя, что в свою очередь ведет к резистентности к внешним оценкам в противовес тем копинговым реакциям, которые могут возникнуть на данном уровне экзистенции. Копинговые реакции это относящиеся к психодинамическому измерению, формы выученного поведения или имеющие психофизиологические предпосылки спонтанные реакции, а потому, в отличие от Person, они не свободны и не позволяют адекватно воспринимать проблему, увидеть ее сущность, а так же занять по отношению к ней определенную позицию и действовать в соответствии с ней. Подобные реакции, свойственные третьей фундаментальной мотивации, направлены на воздвигание стены между «мной настоящим» и тем, что человек предъявляет на суд людей, защищая, таким образом, себя от обиды, критики или даже самой возможности любой оценки. Если внешние предпосылки, состоящие из тех же структур, зависят от других и от внешних обстоятельств, то именно внутренние предпосылки представляют собой ту духовную работу, которая необходима для того, чтобы Person проявлялась все ярче, а человек все больше становился самим собой [Лэнгле, 2008]. По-большому счету, личностная автономия связана именно с этими процессами духовной работы человека.
Как было сказано, третий уровень мотиваций это уровень обретения собственной идентичности, признания собственной уникальности, принятия самого себя. Из тех специфических особенностей, с которыми сталкиваются женщины, можно выделить трудности, которые связаны с ожиданиями других насчет того, какой должна быть женщина. В предыдущем параграфе много говорилось о навязывании каких-то критериев женственности, либо же критериев, по которым оцениваются успехи в современном мире. Так же хорошей иллюстрацией может послужить отношение женщины к своему телу транслируемые в культуре стандарты красоты создают дополнительные трудности в принятии себя и признании своей уникальности [Вульф, 2013].
Уровень четвертой фундаментальной мотивации ставит человека перед вопросом «Я есть ради чего?» и важен как уровень обнаружения экзистенциального смысла бытия, то есть распознавания того, что ему нужно делать, чему он готов посвятить свою жизнь, чтобы воплотиться в чем-то, его превосходящем, а смысл его деятельности стал частью общечеловеческой смысловой сферы. Четвертая мотивация так же связана с реализацией принятых на предыдущих уровнях решений в действии воля является вершиной мотивационной иерархии. В описании приведенной системы мотиваций, Лэнгле приходит к выводу о том, что осуществление экзистенции основывается на духовности. Карл Ясперс отмечал это схожим образом: «Экзистенция это бытие самим собой, которое соотносится с собой и через это с трансцендентным, на котором оно основывается и благодаря которому оно знает, что подарено самому себе» [Ясперс, 2000]. В религиозной формулировке он выразил это как «Бог есть для меня в той степени, в какой я подлинно существую» [Ясперс, 2000]. Последуя за ними мыслью, можно сказать, что автономное существование, ведущее к исполненности, можно назвать персональным переживанием бога внутри самого себя.
Справедливо заметить, что для того, чтобы успешно разрешить четвертый уровень экзистенции, необходимо сначала пройти весь путь от начала первой мотивации, в противном случае, смысл может превратиться в диктат, а личность рискует потерять саму себя, даже будучи включенной в деятельность, которая «имеет смысл». Все фундаментальные уровни мотиваций тесно переплетены между собой. Без осуществления последнего уровня невозможна исполненность, при этом, экзистенциальный смысл являетя своеобразной вершиной в системе жизненных приоритетов. Он не обязательно может быть вербализован или определен конкретно, так как, по сути, трансцендентен и, в своём роде, иррационален, и чаще всего он является именно как определение той деятельности, посредством которой осуществляется. Таким образом, можно судить о том, что суть отказа от собственной автономии заключается в том, что происходит подмена собственного экзистенциального смысла чьими-то другими представлениями, фантазиями или волей, в то время как на самом деле собственный экзистенциальный смысл доступен только самой личности. Вероятно, по причине того, что треуется интенсивная внутренняя работа, чтобы смочь распознать этот смысл, а кроме того, и стечение многих благоприятных обстоятельств, самостоятельное разрешение четвертой фундаментальной мотивации может быть затруднено тогда появляется соблазн прислушаться к чужому мнению о том, в чем заключается высший смысл существования. К сожалению, культура веками оставляла заниматься вопросами, касающихся высшего смысла бытия мужчинам именно они преимущественно занимались вопросами религии, философии и определения высших ценностей, в то время как женщине вменялись весьма определенные задачи, в то время как некоторые философы даже всерьез заявляли о несостоятельности женского существа как такового. Распространенное мнение о том, что высшее предназначение женщины рожать и воспитывать детей, само по себе, конечно, имеет значимость, явно превосходящую индивидуальное бытие, однако, во-первых, не должно вменяться всем без исключения, а во-вторых, не должно обозначаться как единственно существующий вариант, иначе рискует превратиться в диктат. С ракурса четвертой фундаментальной мотивации биологическая роль женщины как вынашивающей плод и ухаживающей за ребенком, действительно представляет отдельный интерес. Ведь эта роль предполагает как неизбежный телесный, так, в лучшем случае, и психологический симбиоз с ребенком. Кроме того, что само ее тело является некоторой основой для того, чтобы другой появился на свет, она, к тому же, в какой-то момент времени не может посвящать себя работе, а так же ограничивается в вопросе распоряжения собственным телом необходимо определенным образом питаться, отказываться от алкогольных напитков и/или курения и всевозможного рода других «вредных» привычек и в целом во многом меняет свое привычное поведение. Таким образом, женщина, в какой-то степени, меньше принадлежит самой себе. С первого взгляда может показаться, что это в меньшей степени предполагает автономию на биологическом уровне. Однако, возможно, женская модель автономии просто немного отличается от модели, построенной по-мужской логике. Еще Карен Хорни отмечала, что, с одной стороны, с точки зрения социальной борьбы или «мужских мерок», материнство может рассматриваться как бремя, однако, оно так же может рассматриваться и как своего рода привилегия и чудо самой жизни. С экзистенциальной позиции, возможно, автономия женщины в меньшей степени предрасположена проживаться в форме изолированности, но может проживаться как свобода для связанности или просто возможности быть для чего-то или кого-то, и посредством этого обретать смысл. Говоря в терминах Франкла, женщина может не быть свободной от своего дитя, но может быть свободной для для возможности пережить нечто новое, познать себя в новом качестве, для того, чтобы проживать единство со своим ребенком и воплотиться в чем-то больше, чем она сама.
Подводя итог всего сказанного, можно сделать вывод, что для обретения автономии необходимо на каждом уровне обнаруживать и поддерживать собственное и разграничивать навязанное, чередовать отдачу себя миру и присвоение чего-то из мира, то есть сохранять равновесие процессов открытости и отграничения. Исходя из всего вышеизложенного, я прихожу к определению автономии как способности самостоятельно вырабатывать отношение к самому себе, (т.е. к внутреннему) и к окружающему, (т.е. к внешнему) и реализовывать это отношение в действиях.
Итак, в теоретической части данной работы были освещены социокультурные особенности среды современности, а так же была подробно рассмотрена структурная модель обретения автономии с экзистенциально-аналитической точки зрения. Заложенное в культуре противоречие, актуальное для женщины, кратко можно обозначить как выбор между предписаниями быть такой, как в культуре воспринимается «быть женственной», или предписаниями быть успешной, как мужчина, и, соответственно, попадать под «мужские» мерки. Для того, чтобы исследовать этот вопрос эмпирически, целесообразно будет узнать взаимосвязь между личностной автономией женщины и проявлением фемининных и маскулинных качеств.
Глава 2. Эмпирическое исследование особенностей проявления личностной автономии женщин
2.1 Описание программы исследования личностной автономии женщин
В предыдущей части работы мы пришли к определению личностной автономии как способности самостоятельно вырабатывать отношение к самому себе, (т.е. к внутреннему) и к окружающему, (т.е. к внешнему) и реализовывать это отношение в действиях. В освещенном ключе социокультурной среды современности сохранение или обретение автономии можно видеть, с одной стороны, в обнаружении, поддержке и реализации Собственного, независимо от того, насколько это одобряется окружающими, а с другой стороны, кроме отграничения от внешнего, так же и в присвоении чего-то из мира, и синтезировании, таким образом, требований культуры и собственных интересов.
Так как исследование касается только женщин, логично было бы предположить, что сохранение фемининных качеств необходимо для принятия себя и бытия самой собой, то есть сохранения автономии. Кроме того, мир так же ставит перед нами свои требования, и в новых условиях современности женщины, вместе с большей свободой, получили как новые критерии оценки собственной деятельности, так и новые возможности самореализации. Поэтому, обнаружение в себе и воспроизводство тех качеств, которые в культуре именуются маскулинными, так же оправдано с точки зрения автономного существования личности. Как уже освещалось ранее, культура в большей степени стремится разделить нас на два разных лагеря, и существуют негативные представления, направленные как против фемининных, так и против маскулинных качеств в женщине. Однако необходимо вырабатывать некоторую резистентность по отношению к общепринятым стереотипам, реализуя как женственные черты, так и не чувствуя ущемление по поводу того, что женщина не родилась мужчиной.
Личностная автономия универсальный для обоих полов критерий полноценного проживания жизни. Данное исследование основано на выявлении социокультурных противоречий, касающихся представлений о том, какой должна быть женщина и проводится для того, чтобы понять, как автономия женщины связана с проявлением фемининных и маскулинных качеств.
Цель исследования: выявить взаимосвязь между личностной автономией женщин и наличием фемининных и маскулинных качеств.
Задачи исследования:
- Провести теоретико-методологическии анализ обретения личностной автономии, реализуемои в контексте социокультурных условий современности;
- Наполнить теоретическую структуру обретения личностной автономии с точки зрения экзистенциально-аналитической теории психологическим содержанием, которое может быть актуально для женщин в современных социокультурных условиях;
- Определить методы эмпирического исследования взаимосвязи личностной автономии женщин и фемининных и маскулинных качеств;
- Провести исследование и статистический анализ данных.
Объект исследования: личностная автономия женщин.
Предмет исследования: личностная автономия женщин во взаимосвязи с выраженностью фемининных или маскулинных качеств.
В основе исследования лежит основная гипотеза:
Высокие показатели личностной автономии женщин взаимосвязаны с высокими показателями как фемининных, так и маскулинных качеств одновременно.
Гипотеза-следствие 1: У испытуемых с высокими показателями автономии будет больше как фемининных, так и маскулинных качеств одновременно.
Гипотеза-следствие 2: У испытуемых, у которых более выражены только фемининные или только маскулинные качества, будут иметь средние и низкие показатели автономии.
Гипотеза-следствие 3: Женщины с высокими показателями автономии будут довольны тем, что они родились женщинами, и не чувствовать при этом, что они теряют какие-то возможности или качества, присущие мужчинам.
Для реализации данного исследования был создан интернет-опросник, состоящий, кроме контрольных пунктов о поле и возрасте, из трех частей:
- Опросник экзистенциальных мотиваций «ТЭМ» (Тест экзистенциальных мотиваций);
- Полоролевой опросник С. Бем;
- Два открытых вопроса с просьбой дать наиболее полный ответ:
1) Довольны ли Вы тем, что родились женщиной?
2) Чувствуете ли Вы, что родившись женщиной, вы теряете какие-то возможности или качества, присущие мужчинам?
Выборка составила 115 женщин возрастом от 18 до 35 лет.
Опросник экзистенциальных мотиваций имеет 4 внутренние шкалы, относящиеся к каждой фундаментальной мотивации, однако для целей исследования имеют значение только ответы на вопросы, касающиеся к третьему уровню мотиваций в качестве оценки показателей личностной автономии респонденток. Тем не менее, для сохранения адекватности разработанного опросника, он был представлен в своем полном виде, а для анализа учитывались только вопросы третьей шкалы. Для определения высоких, средних и низких значений использовались вычисление стандартного отклонения и среднего значения для выборки.
Из результатов полоролевого опросника были выделены два показателя. Первый это сумма как фемининных, так и маскулинных качеств в сыром виде. Второй показатель высчитываемый по оригинальной методике Бем, индекс IS, на основе которого делается заключение о фемининности или маскулинности личности. Фемининность или маскулинность означают преобладание либо одних, либо других качеств. Индекс высчитывается по следующей формуле:

IS = (F - М) * 2,322.
По оригинальной методике, если величина индекса IS меньше -1 (IS < -1), то делается заключение о маскулинности, а если индекс больше +1 ( IS > 1) о фемининности.
Ответы на открытые вопросы подверглись тематическому анализу. В зависимости от ответов респонденток, на вопрос «Довольны ли Вы тем, что родились женщиной?», они кодировались как 3 балла за ответ категории «да», 2 балла за ответ категории «что-то среднее» и 1 балл за ответ категории «нет»; на вопрос «Чувствуете ли Вы, что родившись женщиной, вы теряете какие-то возможности или качества, присущие мужчинам?», они кодировались как 3 балла за ответ категории «нет», 2 балла за ответ категории «что-то среднее» и 1 балл за ответ категории «да». Затем баллы за ответы на два вопроса суммировались. Те, кто имеет в сумме 5 или 6 баллов, относятся к той категории респонденток, которые довольны тем, что родились женщинами, и не чувствуют, что теряют какие-то возможности или качества, присущие мужчинам.
2.2 Описание результатов исследования личностной автономии женщин

Гипотеза 1.
Проанаизируем имеющиеся данные по автономии. Среднее значение составляет 59,7, стандартное отклонение 12,5.
Для показателей выраженности обеих, и фемининных и маскулинных качеств среднее значение составляет 27,4, стандартное отклонение 4,7.
Одна из выборок имеет не нормальное распределение, поэтому для проверки гипотезы используется коэффициент корреляции Спирмена.
Nonparametric Correlations

Значение коэффициента корреляции r=0.478 при высоком уровне значимости p<0.001, на основании чего можно сделать вывод о наличии взаимосвязи умеренной силы между автономностью и выраженностью обеих, и фемининных и маскулинных качеств.
Гипотеза 2.

Проверим вторую гипотезу, для чего закодируем респондентов с высокой выраженностью фемининного или маскулинного характера как 1, а остальных как 0. Показатели в автономии для отобранных респондентов: среднее значение 49,5, стандартное отклонение 9,85. Таким образом, мы видим, что среднее значение для отобранных респонентов ниже, чем по остальной выборке (49.5 < 61.1). Более того, максимальное значение уровня автономии для данных респондентов не намного превосходит среднее значение по остальной выборке (66 и 61.1), то есть мы можем говорить о том, что данные респонденты имеют преимущественно средние и низкие показатели автономии.

Оценим наличие различий в показателях автономии для данных групп респондентов. Проверка нормальности выборок показала, что обе выборки нормальны, поэтому для сравнения средних используем параметрический t-критерий Стьюдента для несвязаных выборок.

T-Test
Предполагается равенство дисперсий. Значение t-критерия p<0.05, на основании чего мы делаем вывод о наличии значимых различий между группами. Таким образом, мы можем заключить, что выделенная группа имеет показатели по автономии ниже, чем остальные респонденты.
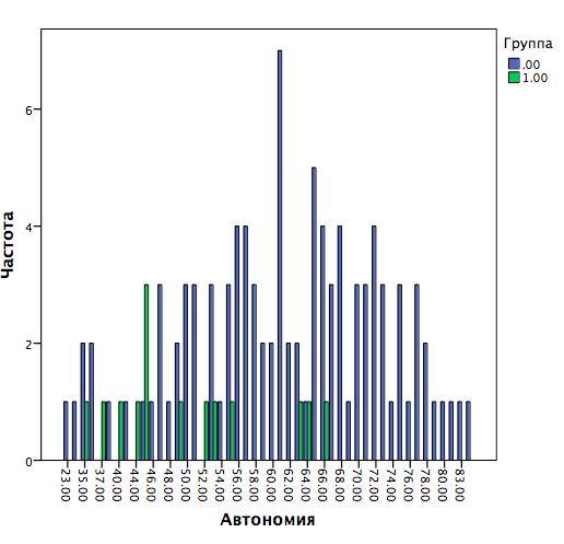
Для наглядности результатов ниже приведена диаграмма, где зеленым цветом обозначены респонденты с выраженностью обеих, и фемининных и маскулинных качеств, а синим обозначены остальные респонденты.

Рисунок 1 Распределение показателей автономии среди выделенной части выборки и остальных респондентов.
Гипотеза 3.
Для проверки третьей гипотезы сначала посмотрим корреляцию значений между суммой баллов, присвоенных за ответы на два вопроса, и показателями автономии респондентов. Поскольку одна из выборок не нормальна, используем непараметрический критерий коррелции Спирмена.
Значение r= 0.253 на уровне значимости p<0.01. Мы делаем вывод о наличии слабой связи на уровне тенденции.
Nonparametric Correlations

Для более подробного анализа проведем сравнение в показателях автономии для двух групп респондентов: закодируем респондентов, имеющих по сумме ответов по 5 или 6 баллов как 1, а респондентов, имеющих в сумме более низкие значения как 0. Так как выборка показателей автономии нормальна, для оценки наличия различий между группами используем параметрический t-критерий Стьюдента для несвязанных выборок.
T-Test

Предполагается равенство дисперсий. Значимость t-критерия Стьюдента p<0.05, на основании чего мы делаем вывод о наличии значимых различий между выборками.
По общим результатам корреляционного анализа и статистики t-критерия, можно сделать вывод, что третья гипотеза частично подтверждается.
2.3 Анализ взаимосвязи личностной автономии женщин
и фемининных и маскулинных качеств
В ходе исследования была выявлена корреляция умеренной силы между показателями автономии и наличием как фемининных, так и маскулинных качеств у женщин. Кроме того, статистический анализ подтвердил, что преобладанию только феменинных или же, напротив, только маскулинных качеств, соответствуют средние и низкие показатели автономии. Также мы можем судить о частичном подтверждении гипотезы о том, что женщины с высокими показателями автономии будут довольны тем, что они родились женщинами, и не чувствовать при этом, что они теряют какие-то возможности или качества, присущие мужчинам.
Таким образом, есть основания полагать, что существует некоторая взаимосвязь между высокими показателями личностной автономии женщин и высокими показателями наличия как фемининных, так и маскулинных качеств одновременно, что может быть связано с синтезированием респондентками противоречащих друг другу культурных предписаний.
Научная значимость данного исследования определяется расширением понимания феномена женской автономии в рамках экзистенциально-аналитической теории.
2.4 Выводы
В ходе теоретико-методологического анализа обретения личностной автономии, реализуемой в контексте социокультурных условий современности, была выявлена взаимосвязь между высокими показателями личностной автономии и наличием у этих респондеток высоких показаний как феменинных, так и маскулинных качеств одновременно.
Как было озвучено, в рамках экзистенциально-аналитической теории, гендерная специфика обретения личностной автономии не была изучена.
В ходе данного исследования были описаны те актуальные социокультурные противоречия, которые оказывают влияние на женщин в процессе обретения автономии на каждом уровне фундаментальных мотиваций, что расширило понимание феномена женской автономии в рамках экзистенциально-аналитической теории.
В течение работы был сформирован опросник для эмпирического исследования взаимосвязи личностной автономии женщин и фемининных и маскулинных качеств, на базе которого был проведён статистический анализ данных.
Благодаря рассмотрению автономии в рамках структурной модели ее обретения и полученным результатам эмпирического исследования, выявленные знания могут быть использованы в консультативной и психотерапевтической практике.
Заключение
Задачей исследования было выявить те социокультурные противоречия, которые оказывают влияние на женщину в процессе обретения автономии на каждом уровне фундаментальных мотиваций, тем самым, обозначить особенности женского способа обретения автономии.
В оригинальном полоролевом опроснике С. Бем выделяются фемининные и маскулинные типы на основе общекультурных представлениях о женских и мужских свойствах личности. С одной стороны, может показаться, что в ходе исследования была выявлена несостоятельность этих представлений относительно вопроса личностной автономии. Тем не менее, необходимо понимать, что именно эти представления являются основанием для последующего синтеза и самоопределения личности. Социокультурная среда, таким образом, посредствам своего давления, в то же время и подталкивает личность к автономности и самоопределению посредствам творческого акта. Здесь уместно будет вспомнить слова известного французского философа Жана-Поля Сартра: «Человек существует лишь настолько, насколько себя осуществляет».
Теоретическое и эмпирическое исследования в рамках данной работы обнаруживают благодатную почву для взращивания новых идей относительно взаимодействия человека и культуры. Несмотря на значительный скачёк научного прогресса в последнее столетие относительно всей истории человечества до этого, у нас осталось ещё множество «старых» вопросов, которые требуют новых подходов, где мы могли бы применить инстурментарий актуальных научных тенденций. Решение подобных задач, без сомнений, сможет значительно ускорить человеческое развитие и поможет обрести счастье и свободу самовыражения каждому из нас. В этом я вижу смысл и назначение науки, ведь «не для школы, а для жизни мы учимся».
Принципиально новые междисциплинарные образования демонстрируют нам замкнутость самостоятельных дисциплин и призывают к объединению и обмену знаниями. Уже на этом этапе психология готова поделиться пониманием и видением человеческого счастья, вопросов мотивации, компетентности и т.д. В том числе и данное исследование при должном уровне абстракции может оказаться полезным представителям большинства социальных наук: не только психологам, но и социологам, педагодам, философам, культурологам, юристам, экономистам, политологам, историкам, антропологам.
С увеличением скорости обмена информации, человечество буквально стало на порог принципиально новой эпохи, где мы всё больше узнаём о нас самих. В связи с этим многие вековые традиции начинают переосмысляться. Много ещё предстоит обнаружить, многому ещё предстоит удивиться.
Насколько важно прийти в новую эпоху с умением синтезировать противоречия и разрешать внутренние и внешние конфликты как социального, так и междисциплинарного, геополитического, бытового и научного характеров, настолько же важно мужчине и женщине находить общий язык, не ущемляя друг друга.
Обозначив различия в путях женщины и мужчины, необходимо понимать, что между ними так же существует много общего. Если уделить этому вопросу внимание, то можно также выявить социокультурные противоречия, затрудняющие процесс обретения автономии для мужчин, которые, без сомнения, буду иными, но можно ожидать, что логика их синтеза, творческого акта обретения автономия, будет схожей. Более того, несмотря на разницу в противоречиях, актуальных для разных полов, можно обнаружить скрытые закономерности, которые выявят, возможно, куда более общие тенденции и более глубинные причины.
Я могу предположить, что это может стать целью следующего исследования, ведь не смотря на культурный антагонизм мужчины и женщины с архаических времён, именно их автономное взаимодействи является залогом здорового и счастливого будущего для всего человечества.
Список литературы
- Арендт X. Vita activa, или О деятельнои жизни / Пер. с нем. и англ. В. В. Бибихина; Под ред. Д. М. Носова. СПб.: Алетеия, 2000 г. 437 с.
- Бовуар С. д. Второй пол. В 2 Т. / Пер. с фр., общ. ред. и вступ. ст. С. Г. Айвазовой, коммент. М. В. Аристовой. М.: Прогресс; СПб.: Алетейя, 1997. 832 с
- Гегель Г.В.Ф. Феноменология духа. - М.: Наука, 2ООО. - 495 е., или Гегель Г.В.Ф. Система наук. Ч. I. Феноменология духа // Соч.: В 36 т. Т. 4. - М.: Соцэкгиз, 1959. - 440 с.
- Вульф Н. Миф о красоте: Стереотипы против женщин / Наоми Вульф ; Пер. с англ. М.: Альпина нон-фикшн, 2013. 445
- Дергачева О.Е. Автономия и самодетерминация в психологии мотивации: теория Э. Деси и Р. Райана // Современная психология мотивации / Под ред. Д.А. Леонтьева. М., 2002. С. 103121.
- Ершова Н.М., Мясникова Л.А. Путь к себе: женщина между полом и гендером. Екатеринбург: Изд-во Гуманитарного университета, 2007. -192 с.
- Леонтьев А.Н. Деятельность. Сознание. Личность. 2-е изд. М., 1977.
- Леонтьев Д.А. Очерк психологии личности. М.: Смысл, 1993
- Леонтьев Д. А. Феномен свободы: от воли к автономии личности // В кн.: Только уникальное глобально: Личность и менеджмент. Культура и образование. Сборник статей в честь 60-летия Г.Л. Тульчинского. СПб. : СПбГУКИ, 2007. С. 64-89.
- Личностный потенциал: структура и диагностика / Науч. ред.: Д. А. Леонтьев. М. : Смысл, 2011.
- Лэнгле А. «Person. Экзистенциально-аналитическая теория личности», М.: Генезис, 2008.
- Маслоу А. Мотивация и личность / Перев. с англ. А.М. Татлыбаевой; -СПб.: Евразия, 1999. -316с.
- Попова Л. В. Проблемы самореализации одаренных женщин // Вопросы психологии, 1996. № 2.
- Роджерс К.О становлении личностью. Психотерапия глазами психотерапевта / Перев. с англ. М.М. Исениной М.: "Прогресс", 1994. -252с
- Сартр Ж.-П. «Экзистенциализм это гуманизм», М.: Вагриус, 2006.
- Франкл В. «Воля к смыслу», М.: Эксмо-Пресс, 2000.
- Фридан Б. Загадка женственности. М., 1994. Сс. 4450.
- Хорни К. «Женская психология» / пер. Замфир Е. И.; ред. Решетников М. М., Черкасов С. М. Санкт-Петербург: ВосточноЕвропейский институт психоанализа, 1993.
- Ясперс К. «Введение в философию», М., 2000.
- Auerbach, C. (1985) What is a self? A constructivist theory. Psychotherapy, 22, 743-746.
- Bargh, J., Chartand, T. (1999) The Unbearable Automaticity of Being. American Psychologist, Vol. 54 (7), 462-479.
- Bargh, J., Chen, M., Burrows, L. (1996) Automaticity of Social Behavior: Direct Effects of Trait Construct and Stereotype Activation on Action. Journal of Personality and Social Psychology, Vol.71(2), 230-244.
- Bargh, J., Ferguson, M. (2000) Beyond Behaviorism: On the Automaticity of Higher Mental Processes. Psychological Bulletin, Vol.126 (6), 925-945.
- Berg, Bruce Lawrence (2001) Qualitative research methods for the social sciences / Bruce L. Berg. 4th ed. p. cm.
- Cox, L. & Lyddon, W. (1997) Constructivist conceptions of self. Journal of Constructivist Psychology, 10, 201-220.
- Deci, E. L., & Ryan, R. M. (1985). Intrinsic motivation and self-determination in human behavior. New York: Plenum.
- Deci, E. L., & Ryan, R. M. (2000). The what and why of goal pursuits: Human needs and the self-determination of behavior. Psychological Inquiry, 11, 227268.
- Gruen, A. (1976) Autonomy and Compliance: The Fundamental Antithesis, J. Humanistic Psychology Vol. 16, No. 3, Summer 1976, pp. 61-66
- Lngle, A. (2000) Personalen Existenzanalyse. Vienna, Austria: Facultas University Publ.
- Lngle, A. (2008) Existenzanalyse. In: Lngle, A., Holzhey-Kunz, A. Existenzanalyse and Daseinsanalyse (pp. 29-180). Vienna, Austria: University Textbook (Facultas).
- Lngle, A. (2011) Emotionality: An Existential-Analytical Understanding and Practice. In: Trnka, R., Balcar, K, Kuska, M. (Eds) Re-constructing Emotional spaces. From Experience to Regulation (pp. 41-62). Prague: Prague College of Psychosocial Studies Press.
- Lngle, A. (2012) The Viennese school of existential analysis: the search for meaning and affirmation of life. In: Barnett, L, Madison G. (Eds) Existential therapy: Legacy, vibrancy, and dialogue (pp. 159-170). New York: Routledge.
- Reis, H. T., Sheldon, K. M., Gable, S. L., Roscoe, R., & Ryan, R. (2000). Daily well-being: The role of autonomy, competence, and relatedness. Personality and Social Psychology Bulletin, 26, 419435.
- Richert, A. (2002) The Self in Narrative Therapy: Thoughts From a Humanistic/Existential Perspective. Journal of Psychotherapy Integration, 12 (1), 77-104.
- Spinelli, E. (2001) The Mirror and The Hammer. Challenging Orthodoxies in Psychotherapeutic Thought. London: SAGE Publications.
- Stankovskaya (2014) To Tell 'Yes' to Oneself: Existential-Analytical Perspective on Autonomy. Psychology Journal of the Higher School of Economics, 11 (4), 136-145.
- Sheldon, K. M., Ryan, R. M., & Reis, H. (1996). What makes for a good day? Competence and autonomy in the day, and in the person. Personality and Social Psychology Bulletin, 22, 12701279.
- Yalom, I. (1980) Existential Psychotherapy. New York: Basic Books.
Приложение А.
Опросник экзистенциальных мотиваций «ТЭМ»
Ф. И. О. (псевдоним)_________________________________________Дата ______________
Возраст_________ Пол ______ Образование_______________
Семейное положение______________ Сфера деятельности________________________
Займите позицию по отношению к следующим высказываниям. Отвечайте
спонтанно и не оставляйте ни одного высказывания неотвеченным.
Оцените по 6-ступенчатой шкале, насколько соответствующее
высказывание, независимо от кратковременных, сиюминутных колебаний,

Вас касается.
Насколько это высказывание касается меня?
|
ВЫСКАЗЫВАНИЕ |
Насколько мне подходит высказывание верно неверно |
|
1. Я нашeл (нашла) своe место в жизни. |
0------0------0------0------0------0 |
|
2. Я спокойно могу принимать те обстоятельства, в которых я живу. |
0------0------0------0------0------0 |
|
3. Я всегда могу создать необходимое для себя жизненное пространство. |
0------0------0------0------0------0 |
|
4. Я редко ощущаю, что живу. |
0------0------0------0------0------0 |
|
5. В общем и целом я собой доволен. |
0------0------0------0------0------0 |
|
6. Я чувствую в себе достаточно сил, чтобы справиться с требованиями жизни. |
0------0------0------0------0------0 |
|
7. Я часто испытываю стыд. |
0------0------0------0------0------0 |
|
8. Я не могу себя уважать. |
0------0------0------0------0------0 |
|
9. В принципе меня устраивает то, какой(ая) я есть. |
0------0------0------0------0------0 |
|
10. По-настоящему мне не на что опереться в жизни. |
0------0------0------0------0------0 |
|
11. Я могу отвечать за себя и оставаться собой. |
0------0------0------0------0------0 |
|
12. Мне хорошо в моeм теле. |
0------0------0------0------0------0 |
|
13. У меня часто бывает такое чувство, как будто я теряю почву под ногами. |
0------0------0------0------0------0 |
|
14. Мне часто бывает одиноко. |
0------0------0------0------0------0 |
|
15. Я часто испытываю недовольство. |
0------0------0------0------0------0 |
|
16. Для меня было бы лучше исчезнуть с лица земли. |
0------0------0------0------0------0 |
|
17. Я могу хорошо выдерживать критический взгляд других |
0------0------0------0------0------0 |
|
18. Мне грустно оттого, что в моей жизни так мало поводов для радости. |
0------0------0------0------0------0 |
|
19. У меня нет никаких интересов. |
0------0------0------0------0------0 |
|
20. Я грустный человек. |
0------0------0------0------0------0 |
|
21. Большую часть того, что я делал(а), на самом деле я делать не хотел(а). |
0------0------0------0------0------0 |
|
22. У меня такое чувство, что мне достаточно пространства для жизни. |
0------0------0------0------0------0 |
|
23. В моей жизни много радостных переживаний. |
0------0------0------0------0------0 |
|
24. чаще всего я чувствую себя неуверенно. |
0------0------0------0------0------0 |
|
25. Я с трудом принимаю сам(а) себя. |
0------0------0------0------0------0 |
|
26. Я весeлый человек. |
0------0------0------0------0------0 |
|
27. Моя жизнь бессмысленна и пуста. |
0------0------0------0------0------0 |
|
28. Я часто замечаю, что нравлюсь другим. |
0------0------0------0------0------0 |
|
29. Я ценю себя за то, что могу взяться и сделать что-то. |
0------0------0------0------0------0 |
|
30. Я ощущаю жизнь как груз. |
0------0------0------0------0------0 |
|
31. В глубине души я отвергаю сам факт, что я живу. |
0------0------0------0------0------0 |
|
32. Мне хорошо знакомы страх и неуверенность. |
0------0------0------0------0------0 |
|
33. Иногда у меня есть чувство, что жизнь меня подавляет. |
0------0------0------0------0------0 |
|
34. Я делаю то, что я хочу делать. |
0------0------0------0------0------0 |
|
35. Я хорошо к себе отношусь. |
0------0------0------0------0------0 |
|
36. чаще всего окружающие уважают мои желания и решения. |
0------0------0------0------0------0 |
|
37. Из-за страха перед неудачей я многое вообще не начинаю делать. |
0------0------0------0------0------0 |
|
38. У меня такое чувство, что другие больше правы, чем я. |
0------0------0------0------0------0 |
|
39. Я убеждeн, что жить это хорошо. |
0------0------0------0------0------0 |
|
40. Многое из того, что я делал, было сделано зря. |
0------0------0------0------0------0 |
|
41. Я чувствую, что у меня в жизни есть опора. |
0------0------0------0------0------0 |
|
42. Я нравлюсь себе таким, какой я есть. |
0------0------0------0------0------0 |
|
43. Я прикладываю недостаточно усилий для достижения |
0------0------0------0------0------0 |
|
результата. |
0------0------0------0------0------0 |
|
44. Благодаря собственной деятельности я чувствую больше жизни. |
0------0------0------0------0------0 |
|
45. Я редко знаю, чего я хочу. |
0------0------0------0------0------0 |
|
46. Я люблю жизнь. |
0------0------0------0------0------0 |
|
47. Я редко реализую свои планы и намерения. |
0------0------0------0------0------0 |
|
48. Я часто чувствую, что я для чего-то годен. |
0------0------0------0------0------0 |
|
49. Я чувствую: в принципе это хорошо, что я есть. |
0------0------0------0------0------0 |
|
50. Я успешный человек. |
0------0------0------0------0------0 |
|
51. Мне нравится жить. |
0------0------0------0------0------0 |
|
52. Я часто не знаю, каковы задачи моей жизни. |
0------0------0------0------0------0 |
|
53. Я не получаю внимания и тепла от других людей. |
0------0------0------0------0------0 |
|
54. Я часто веду себя нерешительно. |
0------0------0------0------0------0 |
|
55. чаще всего я знаю, для чего я что-либо делаю. |
0------0------0------0------0------0 |
|
56. Моя жизнь наполнена смыслом. |
0------0------0------0------0------0 |
Приложение Б.
Полоролевой опросник С.Бем
Ответьте на каждое утверждение «Да» или «Нет», оценивая тем самым наличие или отсутствие у себя названных качеств.
|
Качества |
Да |
Нет |
|
1. Верящии в себя. |
||
|
2. Умеющии уступать. |
||
|
3. Способныи помочь |
||
|
4. Склонныи защищать свои взгляды. |
||
|
5. Жизнерадостныи. |
||
|
6. Угрюмыи. |
||
|
7. Независимыи. |
||
|
8. Застенчивыи. |
||
|
9. Совестливыи. |
||
|
10. Атлетическии. |
||
|
11. Нежныи. |
||
|
12. Театральныи. |
||
|
13. Напористыи. |
||
|
14. Падкии на лесть. |
||
|
15. Удачливыи. |
||
|
16.Сильная личность. |
||
|
17. Преданныи. |
||
|
18.Непредсказуемыи. |
||
|
19. Сильныи. |
||
|
20. Женственныи. |
||
|
21. Надежныи. |
||
|
22. Аналитическии. |
||
|
23. Умеющии чувствовать. |
||
|
24. Ревнивыи. |
||
|
25.Способныи к лидерству. |
||
|
26. Заботящиися о людях. |
||
|
27. Прямои, правдивыи. |
||
|
28. Склонныи к риску. |
||
|
29. Понимающии других. |
||
|
30. Скрытныи. |
||
|
31. Быстрыи в принятии решении. |
||
|
32. Сострадающии. |
||
|
33. Искреннии. |
||
|
34. Полагающиися только на себя (самодостаточныи), |
||
|
35. Способныи утешать. |
||
|
36. Тщеславныи. |
||
|
37. Властныи. |
||
|
38. Имеющии тихии голос. |
||
|
39. Привлекательныи. |
||
|
40. Мужественныи. |
||
|
41. Теплыи, сердечныи. |
||
|
42. Торжественныи, важныи. |
||
|
43. Имеющии собственную позицию. |
||
|
44. Мягкии. |
||
|
45. Умеющии дружить. |
||
|
46. Агрессивныи. |
||
|
47. Доверчивыи. |
||
|
48. Малорезультативныи. |
||
|
49. Склонныи вести за собои. |
||
|
50. Инфантильныи. |
||
|
51. Адаптивныи, приспособляющиися. |
||
|
52. Индивидуалист. |
||
|
53. Не любящии ругательств. |
||
|
54. Несистематичныи. |
||
|
55. Имеющии дух соревнования. |
||
|
56. Любящии детеи. |
||
|
57. Тактичныи |
||
|
58. Амбициозныи, честолюбивыи. |
||
|
59. Спокоиныи. |
||
|
60. Традиционныи, подверженныи условностям. |
Приложение В.
Сводная таблица данных по респондентам
|
Возраст |
Показатели автономии (ТЭМ) |
Сумма фемининных и маскулинных качеств |
Индекс IS |
Баллы по тематическому анализу |
|
24 |
65 |
29 |
-0,5805 |
4 |
|
22 |
36 |
19 |
0,3483 |
2 |
|
21 |
71 |
31 |
-0,1161 |
5 |
|
24 |
66 |
24 |
0,6966 |
4 |
|
22 |
63 |
30 |
-1,161 |
5 |
|
27 |
68 |
32 |
-0,6966 |
6 |
|
23 |
73 |
35 |
-0,3483 |
6 |
|
24 |
60 |
24 |
0 |
4 |
|
21 |
66 |
28 |
0 |
6 |
|
28 |
55 |
27 |
0,3483 |
6 |
|
19 |
53 |
31 |
-0,8127 |
6 |
|
24 |
60 |
26 |
-0,6966 |
6 |
|
24 |
56 |
22 |
0 |
5 |
|
23 |
75 |
26 |
0,4644 |
6 |
|
20 |
65 |
27 |
-0,5805 |
4 |
|
24 |
51 |
27 |
-0,1161 |
3 |
|
21 |
65 |
23 |
0,5805 |
6 |
|
28 |
62 |
27 |
0,8127 |
6 |
|
26 |
56 |
17 |
0,1161 |
6 |
|
32 |
69 |
31 |
-0,1161 |
6 |
|
24 |
82 |
30 |
-0,2322 |
6 |
|
23 |
53 |
26 |
0 |
3 |
|
24 |
75 |
31 |
0,5805 |
6 |
|
24 |
68 |
28 |
0,2322 |
4 |
|
23 |
73 |
28 |
-0,4644 |
6 |
|
22 |
74 |
28 |
0,2322 |
6 |
|
25 |
57 |
28 |
-0,4644 |
6 |
|
28 |
54 |
19 |
-0,8127 |
6 |
|
25 |
50 |
28 |
0,9288 |
5 |
|
21 |
44 |
22 |
1,161 |
4 |
|
22 |
73 |
27 |
0,3483 |
5 |
|
23 |
51 |
24 |
0,4644 |
6 |
|
31 |
72 |
32 |
-0,2322 |
6 |
|
24 |
61 |
31 |
-0,1161 |
6 |
|
24 |
58 |
33 |
0,3483 |
6 |
|
23 |
45 |
14 |
1,3932 |
6 |
|
22 |
45 |
29 |
0,1161 |
6 |
|
22 |
67 |
27 |
0,5805 |
4 |
|
23 |
79 |
26 |
0,4644 |
6 |
|
24 |
77 |
34 |
0,2322 |
5 |
|
24 |
77 |
28 |
0,2322 |
6 |
|
24 |
72 |
31 |
-0,3483 |
6 |
|
28 |
72 |
30 |
-0,4644 |
4 |
|
24 |
64 |
25 |
1,0449 |
6 |
|
26 |
76 |
31 |
0,1161 |
6 |
|
26 |
53 |
19 |
1,7415 |
6 |
|
24 |
48 |
26 |
0,4644 |
6 |
|
24 |
57 |
26 |
-0,2322 |
2 |
|
24 |
66 |
25 |
0,8127 |
6 |
|
23 |
58 |
18 |
0,6966 |
6 |
|
22 |
23 |
22 |
-0,4644 |
2 |
|
21 |
61 |
30 |
-0,6966 |
3 |
|
22 |
72 |
28 |
-0,4644 |
6 |
|
24 |
47 |
20 |
-0,9288 |
5 |
|
18 |
36 |
25 |
-0,5805 |
4 |
|
22 |
64 |
29 |
0,5805 |
3 |
|
23 |
35 |
21 |
1,2771 |
6 |
|
23 |
77 |
30 |
-0,2322 |
4 |
|
23 |
46 |
12 |
0,2322 |
2 |
|
24 |
83 |
34 |
-0,2322 |
6 |
|
24 |
68 |
31 |
0,1161 |
4 |
|
23 |
70 |
32 |
0 |
6 |
|
25 |
47 |
28 |
0,9288 |
6 |
|
22 |
51 |
26 |
0,6966 |
4 |
|
22 |
37 |
23 |
1,5093 |
6 |
|
24 |
59 |
33 |
-0,3483 |
6 |
|
28 |
84 |
34 |
-0,2322 |
4 |
|
24 |
63 |
26 |
0,9288 |
4 |
|
24 |
50 |
26 |
0 |
6 |
|
25 |
39 |
31 |
0,8127 |
6 |
|
21 |
53 |
28 |
0,4644 |
6 |
|
34 |
61 |
27 |
0,3483 |
4 |
|
21 |
67 |
29 |
-0,3483 |
6 |
|
24 |
40 |
23 |
1,2771 |
4 |
|
19 |
49 |
20 |
1,161 |
4 |
|
21 |
62 |
33 |
-0,5805 |
2 |
|
22 |
56 |
31 |
0,3483 |
4 |
|
21 |
61 |
30 |
0,2322 |
6 |
|
28 |
61 |
33 |
0,1161 |
6 |
|
28 |
61 |
33 |
0,1161 |
6 |
|
23 |
70 |
24 |
0,4644 |
6 |
|
21 |
49 |
23 |
0,5805 |
6 |
|
22 |
63 |
27 |
0,1161 |
6 |
|
21 |
52 |
21 |
1,2771 |
6 |
|
23 |
32 |
24 |
0,6966 |
3 |
|
22 |
45 |
25 |
1,0449 |
5 |
|
22 |
45 |
25 |
1,0449 |
5 |
|
23 |
35 |
26 |
-0,4644 |
2 |
|
21 |
57 |
30 |
-0,6966 |
6 |
|
21 |
57 |
30 |
-0,6966 |
6 |
|
24 |
41 |
20 |
-0,4644 |
6 |
|
26 |
66 |
28 |
-0,9288 |
6 |
|
24 |
49 |
32 |
0 |
6 |
|
21 |
65 |
28 |
-0,4644 |
4 |
|
24 |
80 |
26 |
0,4644 |
6 |
|
22 |
71 |
32 |
-0,4644 |
6 |
|
22 |
55 |
32 |
0,4644 |
4 |
|
23 |
78 |
33 |
0,3483 |
6 |
|
23 |
55 |
21 |
1,5093 |
4 |
|
23 |
75 |
40 |
0 |
6 |
|
28 |
35 |
32 |
0 |
4 |
|
24 |
78 |
32 |
-0,6966 |
6 |
|
24 |
59 |
25 |
0,5805 |
6 |
|
27 |
71 |
32 |
0,2322 |
6 |
|
22 |
68 |
24 |
-0,6966 |
6 |
|
22 |
61 |
29 |
-0,5805 |
5 |
|
24 |
50 |
25 |
-0,8127 |
5 |
|
21 |
56 |
34 |
0 |
4 |
|
30 |
55 |
28 |
0,2322 |
6 |
|
24 |
65 |
24 |
-0,2322 |
6 |
|
23 |
47 |
30 |
0 |
6 |
|
35 |
58 |
36 |
-0,2322 |
5 |
|
20 |
66 |
29 |
-1,0449 |
4 |
|
22 |
70 |
26 |
0 |
6 |
|
22 |
67 |
29 |
0,1161 |
6 |
Эмпирическое исследование особенностей проявления личностной автономии женщин