Использование стратегии аутсорсинга в продовольственных логистических системах

Использование стратегии аутсорсинга в продовольственных логистических системах

Е.В. Володина, А.В. Овчаренко

г. Курган

Приоритетным направлением на современном этапе развития страны является насыщение внутреннего продовольственного рынка отечественными конкурентоспособными товарами и постепенное вытеснение импортных товаров отечественными, что позволит не только обеспечить экономическую безопасность регионов и страны в целом, но и будет способствовать преодолению безработицы, росту доходов как потребителей, так и производителей, увеличению инвестиционной активности. В то же время на региональных продовольственных рынках возрастает конкурентное давление со стороны успешно развивающихся производителей продовольствия, наблюдается повышение требований потребителей к качеству продукции, экологичности и безопасности ее упаковки, а также срокам доставки и хранения. В условиях жесткой конкуренции организации –производители продовольственных товаров сталкиваются с острой проблемой повышения конкурентоспособности и эффективности деятельности в рамках сформировавшегося продовольственного комплекса.

Продовольственный комплекс является одной из самых больших и значимых подсистем региональной экономики. Он включает совокупность отраслей и видов экономической деятельности, занятых производством и реализацией продуктов питания. Взаимодействие субъектов регионального продовольственного комплекса осуществляется посредством информационных, материальных и финансовых связей, которые представляют собой обмен потоками информации, материальных и финансовых ресурсов, а также нематериальных благ и услуг.

Одним из направлений совершенствования продовольственного комплекса является применение концепции логистики и формирование интегрированных логистических структур. Побудительным мотивом создания интегрированных структур является осознание субъектами продовольственного комплекса взаимозависимости и стремление получить от совместной деятельности такие конкурентные преимущества, как повышение эффективности, ускорение реакции на запросы потребителей, минимизацию коммерческих рисков.

Интеграция логистических процессов в региональном продовольственном комплексе осуществляется в различных формах. Создание логистических цепей, в которых взаимодействие участников логистического соглашения регулируется рыночными механизмами и реализуется на контрактной основе, соответствует условиям базовой логистики. Применение современных информационных технологий для координации логистической деятельности субъектов продовольственного комплекса увеличивает их операционные возможности, повышает гибкость и оперативность реакции на запросы потребителей, что существенно влияет на повышение эффективности и конкурентоспособности. Для более полного использования преимуществ современных информационных технологий необходимо объединение участников логистического соглашения в логистическую систему на базе инновационной логистики.

Основное отличие логистической системы от других форм взаимодействия состоит в наличии субъекта управления, осуществляющего управленческие воздействия, направленные на структурные элементы системы для достижения целей всей логистической системы в целом. Скоординированную работу такой системы обеспечивает свободный информационный обмен. В логистической же цепи взаимодействие участников осуществляется в ходе реализации взаимных компромиссов. Кроме того, в логистических системах может контролироваться множество логистических цепей.

Продовольственная логистическая система (ПЛС) предусматривает объединение отдельных субъектов продовольственного комплекса, производящих и реализующих продукты питания на региональных продовольственных рынках, в единый согласованный механизм, позволяющий осуществлять скоординированное управление материальными, информационными и финансовыми потоками, обеспечивая их синхронность и высокие конечные результаты деятельности всех участников процесса товародвижения.

Центральной проблемой в создании ПЛС является формирование альтернативных вариантов конфигурации системы. Каждый формируемый вариант конфигурации системы включает следующие виды описаний: функциональное, структурное (морфологическое), информационное и параметрическое. Для обеспечения строгой стандартизации деятельности и одновременного повышения гибкости управления функциональное представление работ необходимо дополнить описанием логики их выполнения, описанием входов и выходов работ, показателями результативности и другими важными характеристиками, т. е. представить описание работ в форме бизнес-процессов.

Основные бизнес-процессы являются источниками доходов, они определяют профиль бизнеса и имеют стратегическое значение для компании. Основные бизнес-процессы могут поддерживаться в сформировавшемся состоянии, они могут развиваться или, наоборот, отмирать, в зависимости от требований рынка и стратегии компании.

Поддерживающие бизнес-процессы могут оставаться и совершенствоваться как внутренний процесс, либо развиваться в качестве внутреннего процесса, либо отмирать. Процесс может превратиться из поддерживающего в процесс двойного назначения –поддерживать внутренние услуги и предоставлять продукцию (услуги) вовне. Поэтому, в зависимости от стратегии, определенная часть поддерживающих бизнес-процессов может превращаться в основные. Поддерживающие бизнес-процессы также могут быть переданы на аутсорсинг в случае конкурентоспособных альтернатив на рынке, т.е. логистическая система может получить необходимые услуги не от внутренних служб, а от внешних компаний на условиях аутсорсинга. В качестве альтернативных вариантов конфигурации можно рассматривать возможность передачи отдельных бизнес-процессов на аутсорсинг.

Наиболее динамично развивающимся видом аутсорсинга в последние годы становится аутсорсинг логистических функций и бизнес-процессов. Сочетание инструментов логистики и аутсорсинга создает организации необходимые для успешного функционирования в условиях современного рынка конкурентные преимущества. Однако изменение конфигурации логистической системы в результате аутсорсинг-проекта требует тщательного анализа потенциальных возможностей и рисков, сопровождающих это решение. По нашему мнению, принятие решения об использовании стратегии аутсорсинга должно основываться на строгих количественных критериях, позволяющих дать сравнительную оценку различных альтернативных вариантов. В качестве инструмента такого анализа предлагается матрица оценки целесообразности аутсорсинга (рис. 1). В данной матрице оцениваются два показателя: уровень конкурентоспособности логистической системы и индекс целесообразности аутсорсинга.

Принимая решение об аутсорсинге, необходимо сравнить текущий уровень конкурентоспособности логистической системы при ее базовой конфигурации и прогнозное значение конкурентоспособности, которое может быть достигнуто в случае передачи какого-либо бизнес-процесса на аутсорсинг. Рост показателя конкурентоспособности является веским основанием для выбора стратегии аутсорсинга. Матрица оценки целесообразности аутсорсинга содержит четыре поля. Первое поле соответствует ситуации, при которой текущий уровень конкурентоспособности логистической системы менее 0.5, что соответствует весьма слабым конкурентным позициям на рынке, и индекс целесообразности аутсорсинга также менее 0.5, что означает выполнение бизнес-процессов своими силами с характеристиками хуже среднеотраслевых. В этом случае выбор стратегии аутсорсинга с целью повысить конкурентоспособность системы и улучшить показатели исполнения бизнес-процессов является совершенно необходимым вариантом дальнейшего развития.

Рисунок 1 –Матрица целесообразности аутсорсинга

Совершенно противоположной ситуации, которая характеризуется высоким текущим уровнем конкурентоспособности ( К > 0.5) и значением индекса целесообразности аутсорсинга > 0.5 соответствует третье поле. Совершенно очевидно, что в этом случае выполнение бизнес-процессов своими силами уже обеспечивает и высокий уровень их качества, и высокий уровень конкурентоспособности системы в целом. Наиболее целесообразной стратегией будет стратегия инсорсинга.

Второе поле характеризует ситуацию, при которой уровень конкурентоспособности логистической системы выше среднего уровня, однако качество исполнения бизнес-процессов не достигает среднего уровня, установившегося на рынке. В таком случае необходимо сравнение двух альтернативных вариантов: аутсорсинга и инсорсинга по показателю индекса целесообразности аутсорсинга. Для дальнейшей реализации выбирается тот вариант, для которого значение индекса целесообразности аутсорсинга больше.

Четвертое поле соответствует ситуации, при которой бизнес-процессы исполняются своими силами на достаточно высоком уровне качества, однако общий уровень конкурентоспособности логистической системы невысокий. В этом случае также необходимо сравнение двух альтернативных вариантов: аутсорсинга и инсорсинга, но сравнение осуществляется по показателю конкурентоспособности. Вариант передачи бизнес-процесса на аутсорсинг может быть выбран в том случае, если это не приведет к уменьшению индекса целесообразности аутсорсинга и в то же время повысит показатель конкурентоспособности логистической системы в целом.

Разработка методики оценки потенциала логистического провайдера - один из важнейших этапов определения эффективности отдельных бизнес процессов. Такая оценка позволит до начала использования аутсорсинговых схем определить предполагаемый экономический эффект от передачи бизнес-процессов на внешнее исполнение.

Для оценки бизнес-процессов формируется система нормативных показателей, позволяющих универсально определять уровень качества предоставляемых услуг и стоимость по выбранному бизнес-процессу как аутсорсером, так и собственным подразделением. Принятие решения о передаче бизнес-процесса на аутсорсинг принимается на основе расчета показателя целесообразности выбора аутсорсинга. Методика расчета показателя целесообразности выбора аутсорсинга основана на сравнительной оценке наиболее значимых характеристик выполнения бизнес-процессов для двух вариантов:

- выполнение бизнес-процесса внутренним подразделением;

- передача бизнес-процесса на аутсорсинг.

Для такой оценки формируется комплекс нормативных показателей, позволяющих универсально определить качество и стоимость выполнения бизнес-процесса как аутсорсером, так и собственным подразделением. Перечень нормативных показателей качества и стоимости выполнения бизнес-процесса определяется исходя из специфики оцениваемого бизнес-процесса и концепции совершенного заказа. Для каждого показателя качества выполнения бизнес-процесса определяется два нормативных значения:

- минимально приемлемое значение показателя для удовлетворительного выполнения бизнес-процесса;

- максимальное значение показателя, соответствующее наилучшим стандартам выполнения бизнес-процесса.

Фактический уровень качества выполнения бизнес-процесса определяется путем расчета для каждого показателя соответствующего индекса:

, (1)

где - индекс изменения фактического значения показателя по сравнению с нормативным значением;

- фактическое значение n-го показателя качества выполнения бизнес-процесса.

Использование индексных показателей, значения которых заключены в интервале [0,1] дает возможность сравнивать различные качественные характеристики бизнес-процесса и сформировать интегральный показатель для оценки целесообразности передачи этого процесса на аутсорсинг.

Интегральный показатель оценки целесообразности аутсорсинга бизнес-процесса формируется как среднеарифметическое частных нормативных показателей :

(2)

где - интегральный индекс целесообразности аутсорсинга бизнес-процесса;

N –количество частных нормативных показателей качества выполнения бизнес-процесса.

Индекс целесообразности определяется как для аутсорсера, так и для собственного подразделения фирмы. Он может принимать значения от 0 до 1. Значение индекса целесообразности более близкое к единице, соответствует более приемлемому варианту выполнения данного бизнес-процесса.

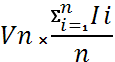
Если выделенный ряд показателей сравнивать без учёта важности каждого из них для конкретной компании, то оценка будет не полной. Для более корректной оценки каждого параметра необходимо учесть степень его важности путём расчёта весового коэффициента.

Для определения веса показателя экспертным методом определяем важность каждого из них от 1 до n. Сумму от 1 до n показателей принимаем за сто процентов. Вес наиболее важного показателя рассчитываем как отношение n к сумме от 1 до n. Расчёт веса каждого показателя представлен в таблице 1.

Таблица 1 –Расчёт веса показателя

Важность показателя

P1

P2

P3

P4

P5

Итог

Вес показателя

(Vn)

2/15

/15

/15

/15

/15

При учёте веса показателя расчёт индекса целесообразности аутсорсинга производиться по формуле:

I= (3)

Принципиальное отличие предлагаемой методики от существующих состоит в формировании количественной оценки уровня выполнения бизнес-процесса при различных вариантах конфигурации логистической системы. Такой подход позволит оценить степень целесообразности передачи рассматриваемого бизнес-процесса на аутсорсинг.

Результатом оценки при помощи индекса целесообразности аутсорсинга является количественная оценка, позволяющая определить целесообразность передачи собственного бизнес-процесса на аутсорсинг. В условиях финансовой нестабильности и ужесточающейся конкуренции, данный алгоритм поможет принять верное решение при выборе стратегии инсорсинга или аутсорсинга. При условии наличия на региональном рынке компаний-аутсорсеров, предоставляющих услуги достаточного уровня, есть возможность повысить общую эффективность продовольственной логистической системы за счёт оптимизации ее структуры и передачи выделенных бизнес- процессов на аутсорсинг.

Предлагаемые методические подходы были апробированы в ООО «Торговый дом Ахиллес». ООО «Торговый дом Ахиллес» является крупной торговой сетью, осуществляющей оптовые и розничные поставки продуктов питания на региональный продовольственный рынок.

В процессе исследования была проанализирована организация движения товарных потоков в торговой сети ООО «ТД Ахиллес». Движение потоков продукции начинается с определения потребности в каждом наименовании продукции в каждой торговой точке. Если данный вид продукции поставляется с собственного склада, на склад отправляется соответствующая заявка. Если продукция поставляется напрямую от поставщиков, то оформляется заявка официальному представителю или дистрибьютеру. Как правило, объём поставок напрямую от поставщиков не превышает 40% от общего товарного потока. Поставки остальной части товарного потока осуществляются с собственного склада. Если поставка продукции осуществляется напрямую через поставщика, то товаровед оформляет заявку торговому агенту. Агент передает информацию диспетчеру. Далее продукция поставляется в торговую точку собственным транспортом поставщика по заявке. В случае, когда необходимая продукция поставляется с собственного склада, то кладовщики в торговой точке передают информацию по заявке на склад, там проверяются остатки и принимается решение о поставке в торговую точку. Доставка осуществляется собственным транспортом. Таким образом, описанную выше последовательность действий можно объединить в отдельный бизнес-процесс –формирование заявки на поставку продукции.

После того как сформирована заявка на поставку, информация о количестве и ассортименте требуемой продукции обрабатывается диспетчером на собственном складе и заявка передается на склад. Кладовщик на основе этой информации формирует заявку в торговую точку. Для этого производится выбор из общего ассортимента продукции нужной по заявке. Если необходимо, выполняется дополнительная фасовка и другая предпродажная подготовка. Для выполнения заявки выполняются следующие процессы на складе:

- хранение и электронная маркировка необходимого ассортимента продукции;

- погрузочно-разгрузочные работы с использованием специальных технических складских устройств.

- фасовка и другая предпродажная подготовка продукции;

Таким образом, выполнение перечисленных выше операций можно объединить в следующий логистический бизнес-процесс - хранение продукции, погрузка, разгрузка, фасовка и другая предпродажная подготовка.

После того как заявка сформирована и подготовлена к отправке, осуществляется её доставка в торговую точку. Есть несколько вариантов доставки продукции в зависимости от ассортимента, количества и вида поставляемой продукции. Существуют виды продукции, которые поставляются только специализированными автомашинами, и есть такие виды продукции, которые можно доставлять обычным транспортом. Таким образом, для того, чтобы доставить товар в торговую точку, диспетчеру необходимо разделить товары на группы в зависимости от того, каким видом транспорта будет производиться доставка. В ходе формирования потоков транспорта нужно учесть следующие основные моменты:

  • Объем поставки по заявке;
  • Срочность поставки по заявке;
  • Специфические особенности продукции в заявке (требует, не требует специализированного автотранспорта)

Также необходимо сопоставить объем поставки и вместимость автотранспорта. Либо объем поставки будет превышать возможности транспортного средства и тогда часть нужной продукции будет не догружена, либо транспортное средство будет загружено не полностью и тогда можно слишком долго ждать полной загрузки транспорта. В том случае, если автотранспорт не имеет специального оборудования для перевозки специфических видов продукции, это может привести к большим потерям продукции по количеству или к тому, что продукция будет доставлена ненадлежащего качества.

Таким образом, можно выделить следующую последовательность действий, необходимых для качественной и своевременной поставки заявки в торговую точку:

- анализ поступивших заявок с торговых точек для формирования полной загрузки мест автотранспорта;

- деление заявки в соответствии со срочностью поставки в торговую точку;

- анализ ассортимента продукции для деления по наиболее подходящим видам специализированного автотранспорта.

Эту последовательность действий можно выделить как отдельный логистический бизнес-процесс транспортировки заказа до торговой точки.

В торговой сети ООО «ТД Ахиллес» поддерживается достаточно широкий ассортимент продукции (более двенадцати тысяч наименований). Поэтому для успешного функционирования торговой сети требуется склад со значительными торговыми площадями, имеющий специализированное складское оборудование и позволяющий хранить весь необходимый ассортимент продукции. Склад ООО «Торговый дом Ахилес» имеет общую площадь в 10000 кв.м. Оборудован специальными складскими стеллажами и частично оснащён погрузочным оборудованием. Имеется 3 обособленных въезда в склад. Это позволяет разбить всю складскую площадь на три сектора по ассортиментным группам. А также это позволяет облегчить доступ к каждому из видов ассортиментных групп автотранспорта для выгрузки товарной продукции на склад и погрузки со склада. Отслеживание складских остатков производится с использованием программного комплекса«1С:Торговля и склад». Сверка реальных запасов на складе с базой корректируется путем проведения складских ревизий. Для оптимизации складских запасов по различным ассортиментным группам с учетом сезонного спроса установлены нормативные значения минимального уровня запаса по каждой группе. При достижении минимального уровня запаса по каждой группе производится очередной закуп продукции у поставщика. Поставки от поставщика осуществляются собственным и наёмным транспортом в зависимости от объёма заказа. В том случае, когда размер заказа позволяет обеспечить полную загрузку фуры, используется собственный автопарк. Если размер заказа меньше, то менеджер по логистике либо ищет транспортную компанию, которая может привезти требуемый объем продукции, либо ищет заказчика, которому возможно привезти попутно груз для полной загрузки автотранспорта с разделением транспортных расходов. Приемку продукции производит кладовщик склада, после чего передает данные по количеству и качеству поступившей продукции товароведу для приходования. Таким образом, процесс закупки и последующего хранения продукции можно представить в виде следующей последовательности действий:

- анализ остатков в базе 1 С склад;

- формирование заявки на пополнение складских остатков приближающихся к минимальным;

- транспортировка заявки от поставщиков до склада;

- приёмка поступившей продукции и последующее хранение.

Вышеперечисленные процессы можно объединить в отдельный логистический бизнес-процесс - анализ складских запасов, закупка продукции у поставщиков и хранение продукции.

В результате проведенного анализа были выделены следующие логистические бизнес-процессы в ООО «ТД Ахилес»:

1. Формирование заявок на поставку продукции;

2. Погрузка, разгрузка, фасовка и другая предпродажная подготовка;

3.Транспортировка продукции;

4.Анализ складских запасов, закупки продукции у поставщиков и хранение продукции;

Названные бизнес-процессы выполняются собственным логистическим подразделением ООО «ТД Ахилес.

Далее была проанализирована возможность передачи указанных бизнес-процессов на аутсорсинг для исполнения логистическим провайдером. Для того, чтобы обосновать решение о передаче логистических функций аутсорсеру, необходимо провести оценку работы собственного подразделения и логистического оператора. В качестве основных нормативных показателей для формирования индекса целесообразности аутсорсинга были выбраны четыре наиболее значимых показателя - показатель продолжительности функционального цикла, показатель качества обслуживания потребителя, показатель уровня логистических затрат и показатель уровня развития персонала. Для расчета соответствующих индексов были определены минимально приемлемые для ООО «ТД Ахиллес» значения каждого показателя, а также установлены максимальные значения, соответствующие наилучшим стандартам, предлагаемым на рынке логистических услуг.

Первый индекс в перечне оценки - индекс продолжительности функционального цикла. Исходя из сложившихся тенденций развития в отрасли, минимально приемлемое значение продолжительности функционального цикла составляет в среднем пять суток. Такой промежуток времени заказчик согласен ждать с момента отправки заказа. Наилучшим возможным в отрасли значением может быть промежуток времени равный 24 часам. По экспертным оценкам продолжительности функционального цикла в компании ООО «ТД Ахиллес» составляет трое суток. Аутсорсер, претендующий на выполнение логистических функции, заявляет о выполнении одного функционального цикла в срок –двое суток. Рассчитанные индексы продолжительности функционального цикла собственного подразделения и аутсорсера представлены в таблице 2.

Следующий в методике оценки логистических бизнес-процессов - индекс обслуживания потребителя. По оценкам экспертов для обслуживания потребителей минимальная норма удовлетворения спроса не должна быть менее 25 %. Максимальная возможная отметка составляет 100 %. Фактическая оценка нормы удовлетворения спроса в ООО «ТД Ахилес» составляет 50%. Аутсорсер, претендующий на выполнение логистических функции, заявляет норму удовлетворения спроса на уровне 60 %. Рассчитанные значения индекса обслуживания потребителя собственного подразделения и аутсорсера представлены в таблице 2 .

Следующий индекс который необходимо оценить - индекс уровня затрат на выполнение бизнес-процесса. Уровень затрат на выполнение бизнес-процессов определяется как отношение величины затрат на выполнение бизнес-процессов за период и величины оборота компании за тот же период. Для определения значений наилучшего ( Рmax ) и минимально приемлемого (Рmin) показателей на рынке была проведена оценка ряда компаний, предоставляющих логистические услуги. Значение наилучшего показателя составило 8%, а значение минимально приемлемого - 12% . Рассчитанные значения индекса уровня затрат на выполнение бизнес-процесса представлены в табл. 2.

Таблица 2 –Показатели качества выполнения бизнес-процессов для логистического провайдера и собственного подразделения ООО«ТД Ахиллес»

Перечень оцениваемых показателей

Нормативные значения оценочных показателей

Фактические значения оценочных показателей

«наилучшее» значение

Рmax

Минимально приемлемое значение

Рmin

ООО «ТД Ахиллес»

Рфакт

Аутсорсер

РАут

Продолжительность функционального цикла (P1)

1сут.

сут.

сут.

сут

Уровень обслуживания потребителя(P)

100%

%

%

%

Уровень затрат на выполнение бизнес-процесса (P3)

8%

%

%

%

Уровень развития персонала (P4)

100%

%

%

%

Еще одним важным показателем, используемым при анализе, является индекс развития персонала. Индекс развития персонала является косвенным показателем, характеризующим уровень квалификации персонала и его способность качественно выполнять анализируемые бизнес-процессы. Наилучшее значение этого показателя - 100%, что соответствует ситуации, когда весь персонал, занятый выполнением анализируемого бизнес-процесса, имеет высокий уровень квалификации, подтвержденный соответствующими сертификатами, дипломами и пр. Минимально приемлемый уровень был установлен в 25%. Фактический уровень квалификации персонала в ООО «ТД Ахиллес» соответствует 30%, у аутсорсера –%. Значения индекса развития персонала также представлены в таблице 2. Названные бизнес-процессы выполняются собственным логистическим подразделением ООО «ТД Ахиллес».

Для интегральной оценки целесообразности аутсорсинга логистических бизнес-процессов в ООО «ТД Ахиллес» были рассчитаны индексы продолжительности функционального цикла, удовлетворения спроса, уровня затрат на выполнение бизнес-процесса, уровня развития персонала для собственного подразделения организации и для организации-аутсорсера. Результаты расчетов приведены таблице 3.

Таблица 3 –Индексы целесообразности аутсорсинга логистических

бизнес-процессов в ООО «ТД Ахиллес»

Перечень оцениваемых индексов

Значение индексов в ООО «ТД Ахиллес»

Значения индексов аутсорсера

1. Индекс продолжительности функционального цикла

0,5

,75

2. Индекс удовлетворения спроса

0,38

,77

3. Индекс уровня затрат на выполнение бизнес-процесса

0,5

,75

4. Индекс развития персонала

0,05

,25

Индекс целесообразности аутсорсинга

0,36

,63

Значение индекса целесообразности аутсорсинга для организации-аутсорсера составило 0.63, что значительно превышает значения для собственного подразделения ООО «ТД Ахиллес» и позволяет сделать вывод о целесообразности передачи логистических бизнес-процессов на аутсорсинг выбранной организации.

Использование стратегии аутсорсинга в продовольственных логистических системах