Теория вероятностей
Содержание
Введение………………………………………………………………………..3
- Теоретическая часть
- Формула Байеса……………………………………………………….5
- Закон распределения вероятностей дискретных случайных величин………………………………………………………………...7
- Функции и плотности распределения непрерывных случайных величин………………………………………………………………...8
- Числовые характеристики важнейших непрерывных распределений…………………………………………………………9
- Центральная предельная теорема…………………………………..10
- Практическая часть
Задача №1………………………………………………………………….13
Задача №2………………………………………………………………….14
Задача №3………………………………………………………………….15
Задача №4………………………………………………………………….18
Заключение…………………………………………………………………...19
Список литературы…………………………………………………………..20
Введение
Теория вероятностей раздел математики, изучающий закономерности случайных явлений: случайные события, случайные величины, их свойства и операции над ними. [10]
Теория вероятностей является одним из классических разделов математики. Она имеет длительную историю. Вероятностные и статистические методы в настоящее время глубоко проникли в приложения. Они используются в физике, технике, экономке, биологии и медицине. Особенно возросла их роль в связи с развитием вычислительной техники. Например, для изучения физических явлений производят наблюдения или опыты. Их результаты обычно регистрируют в виде значений некоторых наблюдаемых величин. При повторении опытов мы обнаруживаем разброс их результатов. Например, повторяя измерения одной и той же величины одним и тем же прибором при сохранении определенных условий (температура, влажность и т.п.), мы получаем результаты, которые хоть немного, но все же отличаются друг от друга. Даже многократные измерения не дают возможности точно предсказать результат следующего измерения. В этом смысле говорят, что результат измерения есть величина случайная.
Случай, случайность - с ними мы встречаемся повседневно: случайная встреча, случайная поломка, случайная находки, случайная ошибка. Этот ряд можно продолжать бесконечно. Казалось бы, тут лет места для математики-какие уж законы в царстве Случая! Но и здесь наука обнаружила интересные закономерности-они позволяют человеку уверенно чувствовать себя при встреча со случайными событиями.
Как наука теория вероятности зародилась в 17в. Возникновение понятия вероятности было связано как с потребностями страхования, получившего значительное распространение в ту эпоху, когда заметно росли торговые связи и морские путешествия, так и в связи с запросами азартных игр. Слово «азарт», под которым обычно понимается сильное увлечение, горячность, является транскрипцией французского слова hazard, буквально означающего «случай», «риск».[5]
Азартными называют те игры, а которых выигрыш зависит главным образом не от умения игрока, а от случайности. Схема азартных игр была очень проста и могла быть подвергнута всестороннему логическому анализу. Первые попытки этого рода связаны с именами известных учёных-алгебраиста Джероламо Кардана (1501- 1576) и Галилео Галилея (1564-1642). Однако честь открытия этой теории, которая не только даёт возможность сравнивать случайные величины, но и производить определенные математические операции с ними, принадлежит двум выдающимися ученым-Блезу Паскалю (1623-1662) и Пьеру Ферма. Ещё в древности было замечено, что имеются явления, которые обладают особенностью: при малом числе наблюдений над ними не наблюдается никакой правильности, но по мере увеличения числа наблюдений всё яснее проявляется определенная закономерность. Всё началось с игры в кости. [5]
Объект исследования изучение алгоритмов решения задач.
Предмет исследования- применение изученных алгоритмов при решении задач.
Цель курсовой работы-решить индивидуальные задачи на основе изученного материала.
Задачи исследования:
1. Изучить основные понятия и законы в теории вероятности.
2. Научится применять основные формулы и законы теории вероятности при решении задач.
3. На основе решенных задач сделать вывод о знании понятий, формул, законов и алгоритмов решения задач по теории вероятности.
1.Теоритическая часть
1.1 Формула Байеса
Пусть события удовлетворяют условиям
, если, и .
Такую совокупность называют полной группой событий.
Пусть интересующее нас событие А может наступить после реализации одного из Hi и известны вероятности p(Hi), p(A|Hi). В этом случае справедлива формула полной вероятности
.
Пример 1. Литьё в болванках поступает из 2-х цехов: 70% из первого и 30% из второго. При этом продукция первого цеха имеет 10% брака, а второго 20%. Найти вероятность того, что одна взятая наугад болванка имеет дефект.
Решение. p(H1) =0,7; p(H2) =0,3; p(A|H1) =0,1; p(A|H2) =0,2; Р=0,7*0,1+0,3*0,2=0,13 (13% болванок в цехе дефектны).
Пример 2. В урне лежит N шаров, из которых n белых. Достаём из неё (без возвращения) два шара. Какова вероятность, что второй шар белый?
Решение. H1 первый шар белый; р (H1) =n/N;
H2 первый шар чёрный; p (H2) = (N-n)/N;
A Второй шар чёрный; p (A|H1) = (n-1)/ (N-1); p (A|H2) =n/ (N-1)
Р(A)=p(H1) *p(A|H1) +p(H2) *p(A|H2) =
Формула Байеса. [8]
Предположим, что выполняются условия предыдущего пункта и дополнительно известно, что событие А произошло. Найдём вероятность того, что при этом была реализована гипотеза Hk. По определению условной вероятности
Полученное соотношение - это формула Байеса. Она позволяет по известным (до проведения опыта) p(Hi) и условным вероятностям p(A|Hi) определить условную вероятность p(Hi/А), которую называют апостериорной (то есть полученной при условии, что в результате опыта событие А уже произошло).
Пример 3. 30% пациентов, поступивших в больницу, принадлежат первой социальной группе, 20% - второй и 50% - третьей. Вероятность заболевания туберкулёзом для представителя каждой социальной группы соответственно равна 0,02, 0,03 и 0,01. Проведённые анализы для случайно выбранного пациента показали наличие туберкулёза. Найти вероятность того, что это представитель третьей группы.
Решение. Пусть H1, H2, H3 гипотезы, заключающиеся в том, что пациент принадлежит соответственно первой, второй и третьей группам. Очевидно, что они образуют полную группу событий, причём p(H1) =0,3; p(H2) =0,2; p(H3) =0,5. По условию событие А, обнаружение туберкулёза у больного, произошло, причём условные вероятности по данным условия равны p(А/H1) =0,02; p(А/H2) =0,03; и p(А/H3) =0,01. Апостериорную вероятность p(H3/А) вычисляем по формуле Байеса:
. [8]
1.2 Закон распределения вероятностей дискретных случайных величин
Случайная величина величина, численное значение которой может меняться в зависимости от результата стохастического эксперимента.
Дискретной назовём случайную величину, возможные значения которой образуют конечное множество.
Законом распределения дискретной случайной величины называется правило, по которому каждому возможному значению xi ставится в соответствие вероятность pi, с которой случайная величина может принять это значение, причём .
Пример. Абитуриент сдаёт два вступительных экзамена: по математике и физике. Составить закон распределения случайной величины х, числа полученных пятёрок, если вероятность получения пятёрки по математике равна 0,8, а по физике 0,6.
Решение. Обозначим А1 и А2 события, заключающиеся в том, что и математика, и физика сданы на 5. Очевидно, возможные значения х есть 0, 1, 2, причём
Полученные результаты сведём в таблицу:
|
xi |
0 |
1 |
2 |
|
pi |
0.08 |
0.44 |
0.48 |
. [2]
1.3 Функции и плотности распределения непрерывных случайных величин
Случайная величина величина, численное значение которой может меняться в зависимости от результата стохастического эксперимента.
Непрерывной назовём случайную величину, которая может принять любое значение из некоторого промежутка.
Распределение вероятностей непрерывной случайной величины х можно задавать либо функцией распределения F(x)=p(<x), либо её производной f(x)=, называемой плотностью вероятности.
Зная F(x), можно найти плотность вероятности по формуле:
f(x)=F'(x),
а зная f(x), найдём функцию распределения:
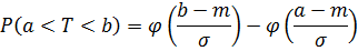
Для непрерывной случайной величины х вероятность попадания её в промежуток с концами a и b равна:
.
Причём .
Пример. Задана следующая функция распределения:
Найти плотность распределения.
Решение.
Зная F(x), можно найти плотность вероятности по формуле:
f(x)=F'(x)= [4]
1.4 Числовые характеристики важнейших непрерывных распределений
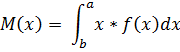
Математическое ожидание непрерывной случайной величины определяется по формуле:
.
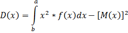
Дисперсия непрерывной случайной величины определяется по формуле:
.
Свойства математического ожидания и дисперсии дискретных случайных величин справедливы и для непрерывных случайных величин.
Равномерное распределение. [9]
1.5 Центральная предельная теорема
Центральная предельная теорема (ЦПТ) отвечает на следующие вопрос.
- Когда и почему возникает в природе нормальное распределение?
- Почему оно широко распространено в случайных явлениях природы?
ЦПТ является довольно сложным математическим результатом, но основное ее содержание может сформулировано достаточно просто. Нормальное распределение возникает в тех случаях, когда суммируется много независимых (или слабо зависимых) случайных величин Х1 , Х2,…, Хn :

причем эти величины имеют конечные математические ожидания и конечные, сравниваемые между собой дисперсии.
Тогда каковы бы не были законы отдельных величин Х, закон распределения их суммы Х будет близок к нормальному (причем тем ближе, чем больше число слагаемых n). При достаточно больших n, можно считать, что Х € N (т,).
Становится ясно, почему нормальный закон становится распространен в технических системах: в большинстве случаев погрешности измерения параметров, отклонения вводимых управляющих воздействий и отклонения условий эксплуатации распределены по нормальному закону, так как могут быть представлены в виде суммы «элементарных отклонений», вызванных различными, практически независимыми друг от друга причинами.
Рассмотрим простейшую форму ЦПТ.
Если независимые случайные величины, имеющие одно и то же распределение (М(Х1) =
= для всех i), то при увеличении n закон распределения суммы

неограниченно приближается к нормальному закону распределения.
Сформулированная теорема используется в двух основных случаях: для суммы независимых случайных величин и для их среднего арифметического. [7]
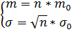
Сумма независимых случайных величин. [1]
Имеем , Найдем параметры распределения случайной величины X:



Таким образом, для случайной величины Х-суммы случайных величин -параметры нормального закона следующие:

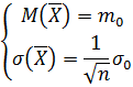
Среднее арифметическое независимых случайных величин.
Имеем . Здесь , где случайная величина Х распределена нормально, и ее параметры найдены. В этом случае



Таким образом, для случайной величины среднего арифметического случайных величин Х-получаем:

Т.е. математическое ожидание то же, что и у отдельных слагаемых Хi, а среднее квадратическое отклонение в раз меньше. На этом свойстве основана обработка результатов физических измерений, когда усредняются результаты n независимых экспериментов: с ростом числа измерений величина становится все менее случайной, так как при . [1]
2.Практическая часть
Задача №1
Заблудившись в лесу, мальчик вышел на поляну, откуда вело 5 дорог. Известно, что для различных дорог вероятности выхода из леса за час соответственно равны 0,6; 0,3; 0,2; 0,1; 0,1. Определить вероятность того, что заблудившийся мальчик пошел по первой дороге, если известно, что он вышел из леса через час.
Решение:
А-мальчик вышел из леса через час.
=мальчик пошел по первой дороге;
=мальчик пошел по второй дороге;
= мальчик пошел по третьей дороге;
= мальчик пошел по четвертой дороге;
= мальчик пошел по пятой дороге.
Р ()= Р ()= Р ()= Р ()= Р ()=0,2
А) =0,6
(А) =0,2
(А) =0,3
(А) =0,1
(А) =0,1
Р(А)= Р()*++
Р(А)= 0,2*0,6+0,2*0,3+0,2*0,2+0,2*0,1+0,2*0,1=0,26
=
==0,46
Ответ: вероятность того, что заблудившийся мальчик пошел по первой дороге равна 0,46.
Задача №2
Рабочий обслуживает 4 независимо работающих станка. Вероятность того, что в течение часа станок не потребует внимания рабочего, равна для первого станка 0,7, для второго-0,75, для третьего-0,8, для четвертого-0,9. Найдите закон распределения случайной величины х, равной числу станков, которые не потребуют внимания рабочего.
Решение:
х-станок не потребует внимания.
=0 (ни один станок не потребует внимания рабочего);
=1 (1 станок не потребует внимания рабочего);
=2 (2 станка не потребуют внимания рабочего);
=3 (3 станка не потребуют внимания рабочего);
=4 (4 станка не потребуют внимания рабочего).
Р(х=0) =0,3*0,25*0,2*0,1=0,0015
Р(х=1) = =0,7*0,25*0,2*0,1+0,3*0,75*0,2*0,1+0,3*0,25*0,8*0,1+0,3*0,25*0,2*0,9=
=0,0275
Р(х=2) = =0,7*0,75*0,2*0,1+0,7*0,25*0,8*0,1+0,7*0,25*0,2*0,9+0,3*0,75*0,8*0,1+0,3*
*0,75*0,2*0,9+0,3*0,25*0,8*0,9=0,1685
Р(х=3) =0,7*0,75*0,8*0,1+0,7*0,75*0,2*0,9+0,7*0,25*0,8*0,9+0,3*0,75*0,8*0,9=
=0,4245
Р(х=4) =0,7*0,75*0,8*0,9=0,378
Ответ:
|
х |
0 |
1 |
2 |
3 |
4 |
|
Р |
0,0015 |
0,0275 |
0,1685 |
0,4245 |
0,378 |
Задача №3
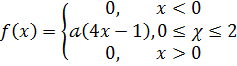
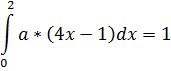
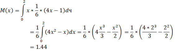
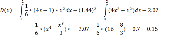
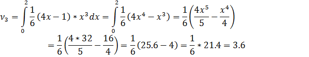
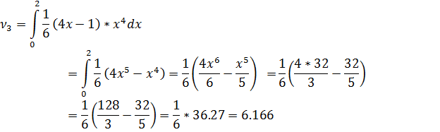
Дана плотность вероятность f(x) непрерывной случайной величины Х. Требуется:
- Найти параметр
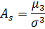
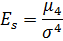
- Найти числовые характеристики: математическое ожидание, дисперсию, среднее квадратическое, ассиметрию и эксцесс.

Решение:
Найдем из условия, что




























Ответ: , ,
Задача №4
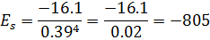
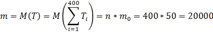
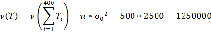
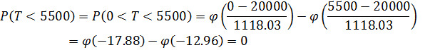
Имеется 400 одинаковых микросхем, включенных параллельно в состав каскада аппаратуры. Время безотказной работы i-й микросхемы T, имеет показательное распределение, одинаковое для всех микросхем (, и измеряется в часах. При отказе i-й микросхемы каскад автоматически переключается на (i+1) -ю микросхему. Если отказали все микросхемы, то каскад выходит из строя. Выполнить грубую оценку вероятности того, что каскад проработает менее 5500 ч. Каково среднее время работы отдельной микросхемы?
Решение:







Ответ: Вероятность того, что каскад проработает менее 5500 ч,
Таким образом, скорее всего, каскад проработает дольше. Среднее время работы отдельной микросхемы каскада составляет 50ч.
Заключение
Теория вероятностей изучает закономерности, возникающие в случайных экспериментах. Случайным называют эксперимент, результат которого нельзя предсказать заранее. Невозможность предсказать результат отличает случайное явление от детерминированного. [6]
Таким образом, рассмотрев теорию вероятности, ее положения и возможности, можно утверждать, что возникновение данной теории не было случайным явлением в науке, а было вызвано необходимостью дальнейшего развития технологии и кибернетики, поскольку существующее программное управление не может помочь человеку в создании таких кибернетических машин, которые, подобно человеку, будут мыслить самостоятельно. И именно теория вероятности может способствовать появлению искусственного разума. «Процессы управления, где бы они ни протекали - живых организмах, машинах или обществе,- происходят по одним и тем же законам», - провозгласила кибернетика. А значит, и те, пусть еще не познанные до конца, процессы, что протекают в голове человека и позволяют ему гибко приспосабливаться к изменяющейся обстановке, можно воспроизвести искусственно в сложных автоматических устройствах. Важнейшим понятием математики является понятие функции, но почти всегда речь шла об однозначной функции, у которой одному значению аргумента соответствует только одно значение функции и функциональная связь между ними четко определенная. Однако в реальности происходят случайные явления, и многие события имеют не определенный характер связей. Поиск закономерностей в случайных явлениях - это задача раздела математики теория вероятности. Теория вероятности является инструментом для изучения скрытых и неоднозначных связей различных явлений во многих отраслях науки, техники и экономики.
Теория вероятности позволяет достоверно вычислить колебания спроса, предложения, цен и других экономических показателей. Также теория вероятности является основой такой науки как статистика. На формулах этого раздела математики построено так называемая теория игр.
Список литературы
- Ахтямов, А. М. «Теория вероятностей». М.: Физматлит, 2009
- Вентцель Е. С. Теория вероятностей. 10-е изд., стер. М.: «Академия», 2005.
- Гмурман, В. Е. «Теория вероятностей и математическая статистика»: Учеб. пособие 12-е изд., перераб.- М.: Высшее образование, 2006.
- Хамитов, Г. П., Ведерникова, Т. И. «Вероятности и статистики», БГУЭП. Иркутск: 2006.
- Чернова, Н. И. «Теория вероятностей», Новосибирск. 2007.
- Шейнин О. Б. Теория вероятностей. Исторический очерк. Берлин: NG Ferlag, 2005.
- Ахтямов, А. М. «Экономико-математические методы»: учеб. пособие Башк. гос. ун-т. Уфа: БГУ, 2007.
- Гмурман, В. Е. «Руководство к решению задач по теории вероятностей и математической статистике»: Учеб. пособие 11-е изд., перераб. М.: Высшее образование, 2006.
- Чистяков В.П. Курс теории вероятностей. СПб.: Издательство «Лань», 2006.
- Бородин А.Н. Элементарный курс теории вероятностей и математической статистики. СПб.: Издательство «Лань», 2006.
PAGE \* MERGEFORMAT2
Теория вероятностей