МЕТРИЧЕСКИЕ МЕТОДЫ РАСПОЗНАВАНИЯ
Лекция 09
Тема. МЕТРИЧЕСКИЕ МЕТОДЫ РАСПОЗНАВАНИЯ
Цель. Дать понятие о метрических методах распознавания
Учебная. Разъяснить суть и практическую направленность метрических методов распознавания.
Развивающая. Развивать логическое мышление и естественное - научное мировоззрение.
Воспитательная. Воспитывать интерес к научным достижениям и открытиям в отрасли телекоммуникации.
Межпредметные связи:
Обеспечивающие: информатика, математика, вычислительная техника и МП, системы программирования.
Обеспечиваемые: Стажерская практика
Методическое обеспечение и оборудование:
Методическая разработка к занятию.
Учебный план.
Учебная программа
Рабочая программа.
Инструктаж по технике безопасности.
Технические средства обучения: персональный компьютер.
Обеспечение рабочих мест:
Рабочие тетради
Ход лекции.
Организационный момент.
Анализ и проверка домашней работы
Ответьте на вопросы:
- На чем основаны методы разделения в пространстве признаков?
- Опишите пространство признаков. Чем эта система может быть охарактеризована?
- В чем состоит условие компактности?
- Дайте пояснение линейному методу разделения.
- Приведите достаточное условие линейной разделимости двух непересекающихся областей. Приведите пример.
- В каком случае может быть построена разделяющая функция?
- Опишите метод трубок, который дает некоторые правила, с помощью которых можно образовать диагностически ценные комплексы признаков.
- Поясните физический смысл метода потенциалов.
План лекции
МЕТРИКА ПРОСТРАНСТВА ПРИЗНАКОВ
1.1 Координаты пространства.
1.2 Евклидово расстояние между точками.
1.3 Диагностическая мера расстояния.
1.4 Метрика в неизотропном пространстве признаков.
1.5 Обобщенная метрика пространства признаков
1.6 Замечание о классификации пространства признаков.
2 ДИАГНОСТИКА ПО РАССТОЯНИЮ В ПРОСТРАНСТВЕ ПРИЗНАКОВ
2.1 Выбор эталона.
2.2 Алгоритм распознавания.
2.3 Надежность распознавания.
2.4 Замечания о выборе метрики.
2.5 Диагностика по угловому расстоянию.
2.6 Диагностика по расстоянию до множества.
2.7 Алгоритм распознавания по методу среднего расстояния.
2.8 Метод минимального расстояния до множества.
В большинстве методов распознавания делается естественное предположение, что изображения объектов одного класса (образа) более близки друг другу, чем изображения разных классов. Метрические методы основаны на количественной оценке этой близости. В качестве изображения объекта принимается точка в пространстве признаков, мерой близости считается расстояние между точками.
МЕТРИКА ПРОСТРАНСТВА ПРИЗНАКОВ
1.1 Координаты пространства. Как известно, в пространстве признаков объект характеризуется N-мерным вектором
x = (x1, x2, ...,xN). (11.1)
Координаты пространства Xj могут быть непрерывными или дискретными величинами. В последнем случае xJ представляет признак kr имеющий несколько диагностических разрядов. Часто используется кодирование признаков в бинарном коде. Тогда координата Xj выражается двоичным числом и может иметь значения: Xj1 = О, Xj2 = 1. При использовании унитарного (двоичного) кода возможные значения таковы: xj1= 1, xj2 = 1.
В диагностическом пространстве объект описывается вектором, размерность которого может отличаться от размерности вектора в пространстве признаков. В качестве координат диагностического пространства принимаются функции
(11. 2)
В дальнейшем для простоты рассматриваются метрические методы в пространстве признаков, но все результаты легко переносятся на диагностическое пространство.
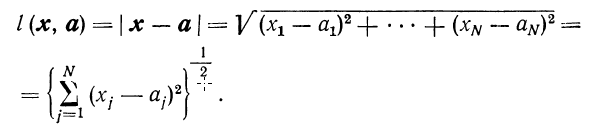
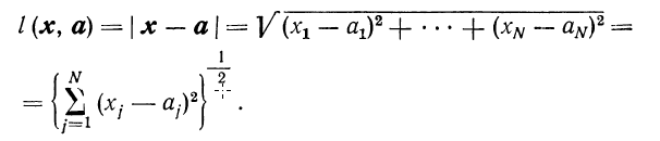
1.2 Евклидово расстояние между точками. Обычное расстояние между точками х и а пространства признаков
Равенство (11.3) устанавливает метрику евклидова пространства, причем основные метрические свойства этого пространства выражаются условиями:

(11.4)
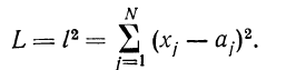
В задачах распознавания часто удобно в качестве меры расстояния принимать квадрат расстояния
Величина L2 тесно связана с многомерным нормальным распределением, более проста для вычислений, а неравенство
(11.6)
влечет за собой более сильное неравенство
(11.7)
В некоторых случаях применяют термин ОБОБЩЕННОЕ ПРОСТРАНСТВО - Обобщенное расстояние удовлетворяет метрическим свойствам (11.4) евклидова пространства.
1.3 Диагностическая мера расстояния. Иногда оказывается целесообразным использовать в качестве диагностической меры расстояния некоторую степень расстояния
(11.9)
В дальнейшем будем часто использовать квадратичное (евклидово) расстояние (v = 2) и вторую степень расстояния. Тогда диагностическая мера расстояния между точками х и а
(11.11)
1.4 Метрика в неизотропном пространстве признаков. Предыдущие определения расстояния соответствовали однородному, изотропному пространству признаков, координаты которого имеют общую единицу измерений. Такое пространство однородных признаков используется в ряде задач распознавания Например, для акустической диагностики в качестве признаков могут применяться амплитуды соответствующих гармоник и т. п.
Диагностика с помощью признаков в двоичном коде соответствует использованию изотропного, однородного пространства признаков. Однако во многих задачах диагностики пространство признаков является анизотропным, т. е. единицы измерения в различных направлениях различны. Координатам xJ могут соответствовать параметры различной физической природы (например, x1 температура; х2 давление и т. п.).
С помощью компонентов весового вектора

можно учесть различную диагностическую ценность признаков, придавая большее значение наиболее значимым признакам. Так как для диагностики важен относительный вес, то можно использовать условие нормирования в виде
(11.13)
Введение весовых коэффициентов деформирует пространство признаков.
1.5 Обобщенная метрика пространства признаков. Соотношение (11.11) устанавливает «неравноправие» отдельных координат в пространстве признаков, но оно не учитывает роль координаты Xj-для диагноза Dj. Диагностическое значение признаков различно для различных диагнозов и расстояние точки х до точки a принадлежащей диагнозу D
Для непрерывно распределенных признаков хJ вероятность дискретных значений заменяется плотностью вероятности, суммирование интегрированием по области значений хJ .
1.6 Замечание о классификации пространства признаков. В зависимости от используемой метрики, будем различать три вида пространства признаков.
Неизотропное, неоднородное пространство соответствует метрике общего вида
. Если для всех диагнозов
(11.21)
то пространство называется однородным, неизотропным. Наконец, при
(11.22)
пространство считается однородным и изотропным.
2 ДИАГНОСТИКА ПО РАССТОЯНИЮ В ПРОСТРАНСТВЕ ПРИЗНАКОВ
Рассматриваемые методы подразделяются на две группы: диагностика по расстоянию до эталона и по расстоянию до множества.
2.1 Выбор эталона. В методе эталонов отнесение предъявленного для распознавания объекта к одному из п диагнозов (состояний) совершается по наименьшему расстоянию до эталона. В качестве эталона для диагноза D принимается типичный объект, имеющий диагноз D. Наиболее естественный выбор эталона состоит в использовании средних значений параметров в области диагноза. Если известны Mi объектов с диагнозом D, то в качестве эталона диагноза D можно принять
(12.1)
где a(s) объект с диагнозом (состоянием) D (объект с верифицированным диагнозом). Равенство (12.1) определяет эталон как центр тяжести области диагноза. Координаты вектора а* равны средним значениям координат векторов, входящих в обучающую последовательность


Рис. 1. Диагностика по расстоянию до эталона Рис. 2. Диагностика по угловому расстоянию
2.2 Алгоритм распознавания. Допустим, что в пространстве признаков используется диагностическая мера расстояния L и предъявлен для диагностики объект х. Для отнесения объекта х к одному из п диагнозов определяются расстояния L до эталонных точек а*п Объект х относят к диагнозу D,если мера расстояния между точками х и а* минимальна:
Если вводится дополнительный порог распознавания в виде некоторой области, окружающей точку эталона, то условия соответствующие алгоритму распознавания являются только необходимыми.
Если точка х выходит из области, то происходит отказ от распознавания, что нежелательно. В связи с этим границы не следует выбирать слишком узкими, однако расширение области диагноза уменьшает надежность распознавания. В практических задачах область принимается такой, чтобы она с некоторым запасом включала все точки обучающей последовательности, принадлежащие диагнозу Di
2.3 Надежность распознавания.
Очевидно, что надежность распознавания будет тем выше, чем меньше расстояние от тчки распознавания до эталонной точки по сравнению с другими расстояниями. Это можно охарактеризовать коэффициентом распознавания. Эта величина играет роль, сходную с вероятностью диагноза
При диагностике с порогами распознавания характерным является коэффициент помех соответствующий расстоянию между точками распознавания
Чем больше коэффициент помех, тем ближе к предельной, граничной области располагается объект, предъявленный для распознавания..
2.4 Замечания о выборе метрики. При выборе показателя степени в равенстве для диагностической меры следует учитывать, что увеличение v приводит к возрастанию роли наибольших отклонений. Выбор диагностической меры расстояния с большой степенью дает резкое выделение диагноза с наименьшим расстоянием. Обоснованный выбор указанных величин можно сделать с помощью практического опыта в определенных классах задач. Сказанное относится и к выбору весовых коэффициентов. Во многих задачах распознавания целесообразно использовать диагностическую меру расстояния где a*i и Gtf среднее значение и среднеквадратичное отклонение координаты Xj объектов с диагнозом D Оценку а*,- и at/- можно проводить на 810 образцах с установленным диагнозом. Для указанных величин можно использовать интервальные оценки.
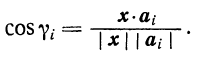
2.5 Диагностика по угловому расстоянию. Близость вектора х к эталонному вектору аь можно охарактеризовать с помощью угла между векторами (рис. 22). Более удобно ввести в рассмотрение косинус угла между векторами, определяя его с помощью скалярного произведения
(12.13)
Как видно из равенства (12.13), преобразования масштаба не влияют на угол между векторами. Скалярное произведение и норма векторов определяются также, как в обычном евклидовом пространстве:
Диагностика по угловому расстоянию (cos yi) связана с корреляционными методами распознавания.
2.6 Диагностика по расстоянию до множества. В этом методе оценивается расстояние не от одной точки эталона, а расстояния от точки х (объекта, предъявленного для распознавания) до всех

Рис. 3. Определение расстояния до множества точек множества с данным диагнозом.
Расстояние до множества оценивается как среднее расстояние, но возможны и другие способы этой оценки. Использование рассматриваемого метода предполагает, что для каждого диагноза имеется группа образцов (объектов) с установленным диагнозом.
2.7 Алгоритм распознавания по методу среднего расстояния.
Процедура диагностики остается такой же, как при определении расстояния до эталона. Возможно использование «порогов распознавания», как это было указано ранее.
Алгоритм распознавания совпадает с алгоритмом по расстоянию до эталона. Это связано с выбором квадратичной диагностической меры расстояния. При других условиях совпадения рассматриваемых методов не происходит, но результаты получаются практически близкими.
2.8 Метод минимального расстояния до множества. Ранее использовалось «среднее расстояние» до точек диагноза. Возьмем теперь в качестве расстояния до множества минимальное расстояние среди всех расстояний от точки х до точек, входящих в группу диагноза D.
Алгоритм распознавания состоит в следующем. Определяется расстояние от точки х (объекта, предъявленного для диагностики) до всех точек, входящих в область данного диагноза (точки обучающей группы) и «запоминается» минимальное расстояние. Принимается решение. Таким образом, решение здесь принимается по близости к прецеденту, а не ко всей совокупности случаев с данным диагнозом.
Метрические методы и методы максимального правдоподобия.
Метод максимального правдоподобия совпадает с методом эталонов, если используется квадратичная мера расстояния и весовые коэффициенты. Порог распознавания в методе эталонов
Домашнее задание: § конспект.
Закрепление материала:
Ответьте на вопросы:
- На чем основаны метрические методы распознавания? Что используется в качестве изображения объекта?
- Дайте классификацию пространству признаков.
- Дайте объяснение алгоритму распознавания.
- В чем суть алгоритма распознавания при использовании метода минимального расстояния до множества?
Литература:
Амренов С. А. «Методы контроля и диагностики систем и сетей связи» КОНСПЕКТ ЛЕКЦИЙ -: Астана, Казахский государственный агротехнический университет, 2005 г.
И.Г. Бакланов Тестирование и диагностика систем связи. - М.: Эко-Трендз, 2001.
Биргер И. А. Техническая диагностика. М.: «Машиностроение», 1978.240,с, ил.
АРИПОВ М.Н , ДЖУРАЕВ Р.Х., ДЖАББАРОВ Ш.Ю. «ТЕХНИЧЕСКАЯ ДИАГНОСТИКА ЦИФРОВЫХ СИСТЕМ» -Ташкент, ТЭИС, 2005
Платонов Ю. М., Уткин Ю. Г. Диагностика, ремонт и профилактика персональных компьютеров. -М.: Горячая линия - Телеком, 2003.-312 с: ил.
М.Е.Бушуева, В.В.Беляков Диагностика сложных технических систем Труды 1-го совещания по проекту НАТО SfP-973799 Semiconductors. Нижний Новгород, 2001
Малышенко Ю.В. ТЕХНИЧЕСКАЯ ДИАГНОСТИКА часть I конспект лекций
Платонов Ю. М., Уткин Ю. Г.Диагностика зависания и неисправностей компьютера/Серия «Техномир». Ростов-на-Дону: «Феникс», 2001. 320 с.
5
МЕТРИЧЕСКИЕ МЕТОДЫ РАСПОЗНАВАНИЯ