Переход к системам с плавным регулированием напряжения
ОГЛАВЛЕНИЕ
ВВЕДЕНИЕ……………………………………………………..…………..…4
1. ОБОСНОВАНИЕ ЦЕЛЕСООБРАЗНОСТИ ПРИМЕНЕНИЯ
ПЛАВНОГО РЕГУЛИРОВАНИЯ…………..………………………………....……6
2. ВЫБОР СИЛОВОЙ СХЕМЫ И СПОСОБА РЕГУЛИРОВАНИЯ ВЫПРЯМИТЕЛЬНОЙ УСТАНОВКИ ………….…………………………...…….9
3. РАСЧЕТ ЭЛЕКТРОМАГНИТНЫХ ПРОЦЕССОВ И ОПРЕДЕЛЕНИЕ ПАРАМЕТРОВ ЭЛЕМЕНТОВ ВЫПРЯМИТЕЛЬНОЙ УСТАНОВКИ…..……………………………..……………………………………18
3.1. Электромагнитные процессы на первой зоне регулирования……….18
3.2. Электромагнитные процессы на второй зоне регулирования……......25
3.3. Определение параметров элементов выпрямительной установки…..30
4. ВХОДНЫЕ И ВЫХОДНЫЕ ХАРАКТЕРИСТИКИ МНОГОЗОННОГО
ВЫПРЯМИТЕЛЯ И ОПРЕДЕЛЕНИЕ ПАРАМЕТРОВ СГЛАЖИВАЮЩЕГО РЕАКТОРА И КОМПЕНСИРУЮЩЕЙ УСТАНОВКИ……………………...….38
4.1. Определение параметров фильтро-компенсирующего устройства….47
4.2. Расчет внешней характеристики преобразователя с ФКУ и двухзон-ным регулированием напряжения……………………………………….……..…60
4.3. Определение параметров сглаживающего реактора………………….65
5. КОНСТРУКТИВНАЯ И ТЕХНОЛОГИЧЕСКАЯ РАЗРАБОТКА СГЛАЖИВАЮЩЕГО РЕАКТОРА……………..………………………….……..70
5.1. Технические данные……………………..………..…………….………70
5.2. Эскиз электромагнитной цепи..………………………. ………………71
5.2.1. Выбор обмотки……………..………………………..………….…….73
5.2.2. Выбор магнитопровода……..…………..……………………...……..73
5.2.3. Определение омического сопротивления обмотки реактора………76
5.3. Определение активного сечения стали…………………..……...…….76
5.4. Тепловой расчет………………………………………..……..…..……..77
5.5. Технология изготовления магнитопровода…………………………...79
6. РАСЧЕТ ТЯГОВЫХ ХАРАКТЕРИСТИК ПРИ ДВИЖЕНИИ ЭЛЕКТРОПОЕЗДА ПО ПЕРЕГОНУ..……………………………………….……83
6.1. Определение влияния внешней характеристики преобразовательной установки на характеристики тяговых двигателей……....................................83
6.2. Расчет и построение диаграммы удельных ускоряющих сил………..88
6.3. Построение диаграммы удельных замедляющих сил при выбеге и механическом торможении….……………………………………..….…….……..93
6.4. Построение кривых тока и времени…..………………………...……..97
7. ОПРЕДЕЛЕНИЕ ЭКОНОМИЧЕСКОЙ ЭФФЕКТИВНОСТИ ЗАМЕНЫ
ЭЛЕКТРОПОЕЗДА ЭР9П НА ЭР9К……………………………………..…..….102
7.1. Расчет капитальных затрат……………………………………......…..102
7.2. Расчет эксплуатационных расходов…………………………..…..….109
7.3. Эффективность внедрения нового электропоезда……………..…....114
8. БЕЗОПАСНОСТЬ ЖИЗНЕДЕЯТЕЛЬНОСТИ……………….……..…116
8.1. Анализ условий труда работников.
Негативные факторы производственной среды…………….….……...…116
8.1.1. Вредные вещества……………………………………..….……....…117
8.1.2. Вибрации и акустические колебания……………………....………118
8.1.3. Электромагнитные поля и излучения……………………..........…..119
8.1.4. Электрический ток……………………………………...…….……..120
8.1.5. Микроклимат…………….......……………………………….….…..120
8.1.6. Освещенность………………………………...……………….….….120
8.1.7. Промышленная вентиляция и кондиционирование…………..…122
8.2. Электрический ток и электромагнитные поля…………..…….….....123
8.2.1. Электромагнитные поля (ЭМП)………………...…………….…….131
8.3. Электробезопасность при обслуживании электропоездов………….134
ЗАКЛЮЧЕНИЕ…………………..…………………………………...……142
СПИСОК ИСПОЛЬЗУЕМЫХ ИСТОЧНИКОВ………………..……...…144
ПЕРЕЧЕНЬ ЧЕРТЕЖЕЙ………………………..………………………….146
ВВЕДЕНИЕ
Для перевозки пассажиров на линиях пригородных сообщений предназначены электропоезда постоянного и переменного тока.
Внедрение электрической тяги на железных дорогах СССР началось в 1926 году. С 1929 года отечественная промышленность поставляла электросекции постоянного тока CВ и СД.
В дальнейшем, в связи с электрификацией железных дорог на переменном токе и необходимостью повышения скоростей пригородного движения, началась разработка новых типов электропоездов.
В 1959 1961 годах были построены опытные электропоезда переменного тока ЭР7 с ртутными выпрямителями. Опыт эксплуатации этих поездов показал сложность их конструкции и низкую надежность работы на электроподвижном составе дорог, этих выпрямительных установок.
В 1962 году Рижский вагоностроительный завод (РВЗ) и Рижский электромашиностроительный завод (РЭЗ) освоили производство электропоездов переменного тока ЭР9 с кремниевыми выпрямителями. В настоящее время освоен выпуск новых серий электропоездов ЭР9М и ЭР9Е.
Главная особенность электропоездов переменного тока, по сравнению с поездами постоянного тока заключается в применении на каждом моторном вагоне полупроводниковой выпрямительной установки, преобразующей однофазный переменный ток промышленной частоты в постоянный (пульсирующий). Это позволяет на электропоездах переменного тока ЭР9М и ЭР9Е применять обычные коллекторные тяговые двигатели постоянного тока с последовательным возбуждением, имеющие оптимальные для мотор-вагонной тяги характеристики. Напряжение 25 кВ подается на первичную обмотку тяговых понижающих трансформаторов, расположенных на каждом моторном вагоне.
Трансформаторы уменьшают напряжение контактной сети до величины, наиболее выгодной для работы тяговых электродвигателей. Это позволяет регулировать напряжение, подводимое к двигателям.
Управляемые кремниевые вентили (тиристоры) открыли перспективу дальнейшего совершенствования электроподвижного состава переменного тока: создание электросекций с бесколлекторными тяговыми электродвигателями, реостатным и рекуперативным торможением, с более совершенными системами управления. Прошел эксплуатационные испытания электропоезд с принципиально новой системой реостатного торможения и самовозбуждением тяговых электродвигателей на базе тиристорно-импульсного преобразователя.
Основным направлением в развитии железнодорожного транспорта является увеличение провозной способности и повышение комфорта перевозок пассажиров, а также снижение расхода электроэнергии. Этого можно добиться путем разработки и внедрения системы плавного регулирования напряжения на тяговых электродвигателях. Существующая система регулирования напряжения на электроподвижном составе однофазного постоянного тока позволяет регулировать напряжение ступенями, что в свою очередь негативно сказывается на реализации сил тяги и комфорта перевозок.
Целью данного дипломного проекта является переход к системам с плавным регулированием напряжения, которые обеспечивают наибольший коэффициент мощности; более совершенное и простое управление скоростью подвижного состава; отсутствие жесткой связи между напряжением на электродвигателях и контактной сетью; упрощение автоматизации процессов пуска и движения поезда; улучшение условий рекуперативного торможения; увеличение силы тяги и провозной способности; повышение комфорта перевозок пассажиров; снижение эксплуатационных расходов.
Вследствие применения бесконтактных преобразователей взамен контактных коммутационных аппаратов; повышение эксплуатационной надежности и удобства управления локомотивом и электропоездом.
- ОБОСНОВАНИЕ ЦЕЛЕСООБРАЗНОСТИ ПРИМЕНЕНИЯ ПЛАВНОГО РЕГУЛИРОВАНИЯ
Наибольшее распространение на электроподвижном составе получили двигатели постоянного тока последовательного возбуждения, для которых магнитодвижущая сила пропорциональна току нагрузки.
При пуске, движении моторного вагона по перегону и электрическом торможении возникает необходимость изменять скорость и силу тяги или торможения.
Регулировать скорость движения изменением напряжения на зажимах тяговых двигателей можно в широком диапазоне: от нуля до скорости соответствующей характеристике при номинальном напряжении на двигателе. Регулирование напряжения на тяговых электродвигателях подвижного состава постоянного тока осуществляется контакторно-реостатным способом и с помощью перегруппировки тяговых электродвигателей. При этом значительно ограничено число ходовых позиций. Последовательное соединение тяговых электродвигателей значительно повышает склонность к боксованию и недоиспользованию силы тяги.
При пуске подвижного состава постоянного тока значительная часть электроэнергии расходуется в пусковых реостатах. На электропоездах постоянного тока отношение между энергией потерь в пусковых реостатах и работой совершенной электродвигателями, называемое коэффициентом потерь, равно:
- на электропоездах серии ЭР-2 Кп=1/2;
- на электропоездах серии ЭР-2Р Кп=1.
До выхода на автоматическую характеристику половина энергии затрачиваемой на разгон превращается в тепло на электропоездах серии ЭР-2Р и четверть энергии на электропоездах серии ЭР-2.
Наилучшие пусковые характеристики электроподвижной состав приобретает при плавном регулировании напряжения на тяговых электродвигателях, обеспечивающем наиболее полное использование максимальной силы тяги и плавный разгон.
Благодаря плавному регулированию напряжения становится более совершенным и простым управление скоростью подвижного состава, отсутствует жесткая связь между напряжением на двигателях и контактной сетью, упрощается автоматизация процессов движения поезда, улучшаются условия использования рекуперативного торможения.
Кроме того система с плавным регулированием напряжения обеспечивает следующие преимущества:
- существенную экономию энергии для электроподвижного состава, работающего с частыми остановками, благодаря применению рекуперативного торможения до низких скоростей и устранению реостатного пуска;
- улучшение использования сцепного веса вследствие устранения колебаний сил тяги и торможения, свойственных ступенчатому регулированию;
- повышение жесткости характеристик в области низкой скорости и более простую защиту от нарушения сцепления;
- позволяет стабилизировать ток и напряжение на тяговом электродвигателе независимо от напряжения в контактной сети;
- облегчение автоматизации процессов пуска и электрического торможения, а также осуществление автоведения поездов, в результате чего улучшается использование тяговых и тормозных средств электроподвижного состава;
- снижение эксплуатационных расходов вследствие применения бесконтактных преобразователей взамен контактных коммутационных аппаратов.
- ВЫБОР СИЛОВОЙ СХЕМЫ И СПОСОБА РЕГУЛИРОВАНИЯ ВЫПРЯМИТЕЛЬНОЙ УСТАНОВКИ
На электроподвижном составе однофазно-переменного тока имеется больше возможностей к осуществлению плавного регулирования напряжения, чем на электроподвижном составе постоянного тока.
Если мощность тяговых двигателей не велика, то регулирование напряжения осуществляется на стороне низшего напряжения. В этих схемах предусматривают переход с одной ступени на другую без разрыва силовой цепи или коротким замыканием секций обмотки трансформатора. Переходы сопровождаются мгновенным изменением напряжения, и необходимая плавность пуска достигается выбором достаточно большого числа ступеней регулирования напряжения.
Существуют схемы с активными переходными сопротивлениями, с индуктивными переходными сопротивлениями, и схемы с вентильными переходами.
Недостатки данных схем состоят в том, что в схеме с переходным активным сопротивлением часть энергии превращается в тепло и резистор рассчитан на кратковременную нагрузку.
В схеме с переходным реактором, на основных ступенях регулирования оба конца обмотки реактора присоединяются к одному выводу обмотки трансформатора. В этом случае он работает как делитель тока, распределяя нагрузку между двумя контакторами переключения ступеней. Реактор вызывает потерю выпрямленного напряжения, определяемого половиной активного и индуктивного сопротивлений его полуобмоток.
При включении реактора на смежные выводы вторичной обмотки трансформатора, реактор в этом случае работает как автотрансформатор, делящий напряжение секции пополам, и напряжение на входе выпрямителя возрастает на половину величины напряжения секции обмотки трансформатора.
При одностороннем включении реактора на вывод обмотки трансформатора в его полуобмотке возникает индуктивное падение напряжения, определяемое током нагрузки и индуктивным сопротивлением полуобмотки реактора. Индуктивное падение напряжения в реакторе во время одностороннего включения будет велико и вызовет значительную потерю напряжения. Не удастся избежать насыщения сердечника при одностороннем включении, поэтому переходной процесс включения на секцию сопровождается импульсом тока, превышающим амплитуду намагничивающего тока реактора. Такая нагрузка контактов контактора, замыкающих цепь, создает опасность их сваривания.
Наиболее перспективным направлением является плавное регулирование выпрямленного напряжения управляемыми вентилями преобразователя.
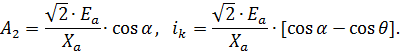
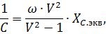
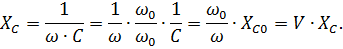
Фазовое регулирование напряжения осуществляется с помощью задержки отпирания вентилей на угол . Коммутация тока с фазы на фазу трансформатора не совпадает с началом полупериода, а происходит со сдвигом на угол . Постоянная составляющая выпрямленного напряжения при некотором угле регулирования [5]:
|
|
|
где - максимальное напряжение вторичной обмотки трансформатора, В;
частота питающей сети.
Изменением угла осуществляется плавное бесступенчатое регулирование напряжения на тяговых двигателях, однако оно вызывает понижение коэффициента мощности электропоезда. Основная гармоника тока отстает на угол , то есть , а коэффициент мощности [5]:
|
|
|
Так как

то

Следовательно, коэффициент мощности падает пропорционально выпрямленному напряжению.
Недостатком фазового регулирования напряжения является также повышенная пульсация выпрямленного тока, возникающая в результате того, что кривая выпрямленного напряжения переходит в область отрицательных значений, в которой выпрямленный ток протекает против электродвижущей силы трансформатора.
Чисто фазовое регулирование, несмотря на его простоту, не может найти
применения из-за резкого ухудшения коэффициента мощности. Кроме того, при фазовом регулировании, когда коммутация тока происходит вблизи максимума напряжения, в середине полупериода время коммутации соответственно сокращается, а значение возрастает, что вызывает увеличение электродвижущих сил, индуктируемых тяговой сетью в проводах связи, то есть увеличение мешающего влияния. Эти недостатки смягчаются при использовании плавного фазового регулирования выпрямленного напряжения между относительно грубыми ступенями напряжения трансформатора.
Основным преимуществом зонно-фазового регулирования является непрерывность процесса перехода с зоны на зону, но это достигается применением дополнительных вентилей в преобразователе.
Известно большое число вариантов схем с зонно-фазовым регулированием. Они отличатся числом зон и соотношений напряжений в зонах. Главным отличием является наличие или отсутствие контактных переключений плеч преобразователя. По этому признаку их можно подразделить на схемы с плавным регулированием с вентильным переходом, и схемы с бесконтактным регулированием.
При плавном регулировании с вентильным переходом сохраняется переключение выводов обмоток трансформатора контактами переключателя, а тиристоры служат для плавного регулирования между ступенями и обеспечивают бесстыковую коммутацию.
Наиболее перспективным на данный момент времени является бесконтактное регулирование напряжения с помощью тиристоров.
Достоинством схемы является отсутствие контактов и группового переключателя. Благодаря тиристорному регулированию удастся сократить число ступеней, оказывается возможным упростить конструкцию трансформатора, освобождает от необходимости использования громоздких переходных реакторов. Выбор способа и силовой схемы выпрямительной установки также зависит от технико-эксплуатационных параметров и реализации коэффициента мощности.
В последнее время в нашей стране и за рубежом на электрических железных дорогах однофазно-переменного тока промышленной частоты широкое распространение получил электроподвижной состав, оборудованный выпрямительными установками с тиристорным регулированием. Поэтому особую важность приобретают вопросы наиболее рациональной компоновки выпрямителей с точки зрения выбора числа зон, схемных решений, алгоритма управления.
В сравнении с неуправляемым диодным выпрямителем управляемый тиристорный выпрямитель с фазовым регулированием выходного напряжения вызывает более сильное искажение формы кривой первичного тока и повышенное содержание в нем высших гармоник. При этом существенно возрастает мешающее влияние на устройства СЦБ и линии связи.
Установлено, что можно снизить амплитудные значения высших гармоник в первичном токе, обусловленные коммутацией в управляемом выпрямителе. Этого можно добиться двумя способами:
- уменьшением величины изменения коммутируемого тока в зоне фазового регулирования путем выбора как можно более высокого числа зон;
- увеличением угла покрытия путем введения в контур коммутации дополнительно индуктивности, замедляющей изменение тока.
Иными словами, переход от однозонного регулирования к многозонному фазовому регулированию позволяет уменьшить влияние на линии связи и сблизить характеристики тиристорного электроподвижного состава с зонно-фазовым регулированием с характеристиками диодно-выпрямительного электроподвижного состава со ступенчатым регулированием напряжения.
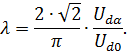
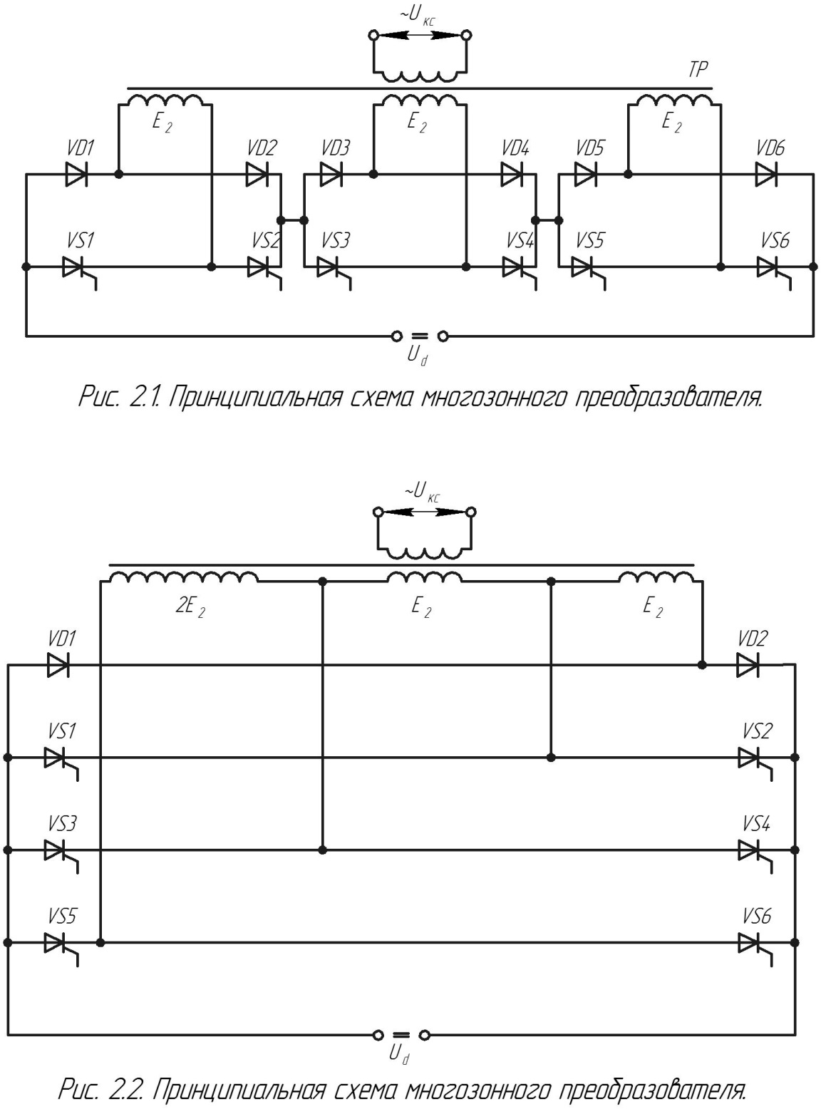
Многозонный тиристорный преобразователь можно получить двумя способами, различными по компоновке элементов схемы, но одинаковыми с точки зрения воздействия на контактную сеть: последовательное соединение несимметричных полу управляемых мостовых выпрямителей на стороне выпрямленного тока (рис. 2.1) и на стороне переменного тока (рис. 2.2).
Согласно схеме на рис. 2.1 трансформатор имеет несколько изолированных обмоток, питающих соответственно несколько несимметричных мостовых выпрямителей, которые включены последовательно. Начинается оно с постепенного повышения напряжения моста первой зоны, причем ток нагрузки протекает через диодные ветви остальных мостов. После полного открытия моста первой зоны начинается фазовое регулирование моста второй зоны, напряжение которого накладывается на напряжение моста первой зоны и так далее до последней зоны.

Согласно схеме на рис. 2.2 вторичная обмотка трансформатора промежуточными отпайками разделена на несколько неизолированных секций. Мост каждой зоны образуется диодной и тиристорной ветвями выпрямителя.
В последнее время с повышением класса напряжения полупроводниковых приборов, используемых в тяговых преобразователях электроподвижного состава, наметилась тенденция применения по схеме (рис. 2.2). К тому же в схеме с изолированными мостовыми выпрямителями возникает взаимоиндукция между соответствующими им обмотками трансформатора. Это ведет к ухудшению энергетических показателей использования.
Большое внимание уделяется проблеме повышения коэффициента мощности. Существует много способов его повышения, которые имеют свои преимущества и недостатки.
При проведении испытаний секции электропоездов серии 420, австрийских электровозов 1044 01, с числом зон регулирования 4 и 8 соответственно, было установлено, что повышение числа зон дает незначительный прирост среднеэксплуатационного коэффициента мощности.
Поэтому можно признать мировой тенденцией снижение числа зон регулирования до 2, что в том числе имеет ряд преимуществ:
- Уменьшение количества выводов тягового трансформатора, а следовательно и его стоимость;
- Уменьшение количества используемых полупроводниковых приборов;
- Снижение трудоемкости в обслуживании электрической аппаратуры.
Существует еще несколько способов повышения коэффициента мощности, и для сравнения с зонно-фазовым регулированием мы рассмотрим некоторые из них.
Одним из способов является применение импульсно-фазового регулирования, то есть за период работы выпрямительной установки есть несколько импульсов выходного напряжения, что позволяет приблизить форму тока, потребляемого преобразователем, к синусоиде. Таким образом, достигается улучшение гармонического состава тока и, следовательно, снижение мощности искажения.
Однако, такая система имеет ряд недостатков. Необходимо применять быстродействующие тиристоры с узлами принудительной коммутации, что в значительной степени удорожает конструкцию и ухудшает массогабаритные показатели. К тому же такой способ регулирования более эффективен при большом периоде питающего напряжения, например, при частоте Гц и малой мощности питающих подстанций, когда требуется иметь минимальный угол сдвига между напряжением и током.
При малом периоде питающего напряжения возможно появление таких моментов, когда близлежащие к середине импульсы сливаются и появляется необходимость перейти на регулирование с меньшим числом импульсов, что при синусоидальной модуляции приводит к росту более удаленных от середины импульсов и, следовательно, резкому ухудшению коэффициента мощности и гармонического состава потребляемого тока.
Другим способом импульсного регулирования является формирование единичного импульса от максимума кривой приложенного напряжения, что позволяет получить уже на первой зоне регулирования достаточно высокие значения коэффициента мощности.
При этом наилучшие энергетические показатели работы выпрямительной установки получаются на второй зоне регулирования, когда форма потребляемого тока близка к синусоиде.
Поэтому целесообразно, чтобы номинальный режим работы электроподвижного состава приходился бы на вторую зону регулирования.
Из приведенного выше сравнения тяговых статических преобразователей можно отметить преимущества преобразователя с зонно-фазовым регулированием напряжения и числом зон регулирования равным двум. Основные преимущества данного преобразователя заключаются в следующем:
- Малое количество выводов обмотки трансформаторов;
- Малое число полупроводниковых элементов;
- Эксплуатационная надежность и ремонтопригодность;
- Достаточно высокий коэффициент мощности;
- Снижение массы преобразователя и его габаритов;
- Снижение себестоимости установки;
- Снижение эксплуатационных расходов.
- РАСЧЕТ ЭЛЕКТРОМАГНИТНЫХ ПРОЦЕССОВ И ОПРЕДЕЛЕНИЕ ПАРАМЕТРОВ ЭЛЕМЕНТОВ ВЫПРЯМИТЕЛЬНОЙ УСТАНОВКИ
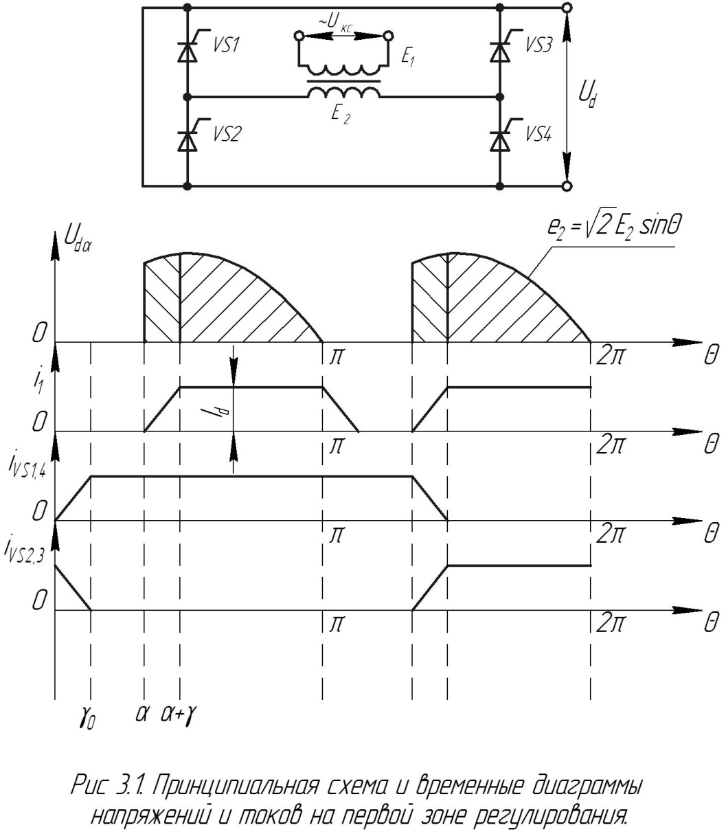
- Электромагнитные процессы на первой зоне регулирования
При учете индуктивности питающей сеть, в которую входят индуктивность подстанций контактной сети, характеристики коэффициента мощности еще больше снижаются. Некоторое влияние оказывают пульсации тока. Однако учитывая, что ток двигателей должен быть сглажен, для чего используется сглаживающий реактор большой мощности, то максимальные пульсации тока не превышают 20%, что мало влияет на входные характеристики выпрямителей.
При этом значительно уменьшаются высшие гармоники тока (выше девятой), поэтому форма тока приближается к синусоиде.
Рассмотрим влияние индуктивности питающей сети. Обозначим суммарное индуктивное сопротивление сети переменного тока, отнесенное к вторичной обмотке трансформатора . действующее значение ЭДС на всей вторичной обмотке .
Тогда напряжение одной вторичной обмотки

где число вторичных обмоток трансформатора.
Для двух зон регулирования . В то же время индуктивное сопротивление одной обмотки трансформатора

Так как индуктивное сопротивление пропорционально квадрату числа витков вторичной обмотки трансформатора.
Расчеты проведем при допущениях, что:
- Намагничивающий ток обмотки трансформатора отсутствует;
- Вентили идеальные ключи, ток нагрузки идеально сглажен и равен .
Временные диаграммы токов и напряжений для первой зоны регулирования приведены на рис. 3.1.
Анализируя эти диаграммы можно сказать, что имеется два коммутационных интервала: интервал отсутствия тока в питающей сети и интервал совместной работы сети и нагрузки, причем в последнем интервале ток постоянен и равен , так как считаем его идеально сглаженным.
При коммутации токов вентилей, образуется контур короткого замыкания, электромагнитные процессы в котором описываются следующим выражением [5]:

следовательно,
|
|
|
Интегрируя, получим ток короткого замыкания:
|
|
|
где постоянная интегрирования, которую определим при начальных условиях: ; .

Решая относительно получим:

При , , то есть:
|
|
|
Рассмотрим второй коммутационный интервал. Изменение тока описывают уравнением:

Интегрируя, получим выражение для тока короткого замыкания вентилей:
|
|
|
Постоянную интегрирования определим из условия, что при , . Решая относительно , получим:

При , , получаем

Среднее значение выпрямленного напряжения:

|
|
|
Относительная величина выпрямленного напряжения:

Из выражений определим величину каждого коммутационного интервала и :


следовательно,
|
|
|
Действующее значение тока:

где

Синусная составляющая тока:

|
|
|
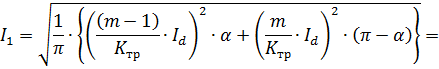
Коэффициент мощности [5]:
|
|
|
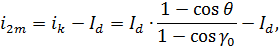
Ток короткого замыкания выпрямителя:

Относительная величина тока нагрузки [5]:
|
|
|
Тогда в относительных единицах можно определить длительность коммутационных интервалов; длительность первого коммутационного интервала:

Длительность второго коммутационного интервала:
|
|
|
Величина определяет минимальный угол регулирования, а также необходимо выполнение условия .
Таким образом, зная , можно определить ток вторичной обмотки трансформатора :


При этом ток, потребляемый из контактной сети, определяют выражением [5]:

- Электромагнитные процессы на второй зоне регулирования
Обозначим номер зоны регулирования . Тогда, рассматривая выражение описывающее работу преобразовательной установки, имеем соотношение:

Рассмотрим первый коммутационный интервал.
Так же, как для первой зоны при коммутации тока вентилей возникает ток короткого замыкания :

Постоянную интегрирования определим из условия, что при ; , то:

При :

откуда:

|
|
|
|
|
|
Временные диаграммы токов и напряжений для второй зоны регулирования приведены на рис. 3.2.

Рассмотрим второй коммутационный интервал Согласно [5]:

При , :

При , :
|
|
|
Откуда при , получаем

Рассмотрим первый внекоммутационный интервал, то есть

Рассмотрим третий коммутационный интервал :
|
|
|
При , :
|
|
|
Тогда в пределах интервала изменяется в соответствии с выражением:

|
|
|
|
|
|
Рассмотрим второй внекоммутационный интервал :


Среднее значение выпрямленного напряжения:

|
|
|
Относительная величина выпрямленного напряжения:
|
|
|
- Определение параметров элементов выпрямительной установки
Определим действующее значение напряжения и тока вторичной обмотки трансформатора.
Действующее значение напряжения всей вторичной обмотки трансформатора определим по формуле [5]:

где - действующее значение напряжения на одном двигателе.

Значение тока вторичной обмотки трансформатора в момент пуска:

где - значение тока двигателя в период пуска.
Выбираем из справочника тиристор типа Т-353-800-33.
Рассчитаем число последовательно соединенных вентилей и параллельных ветвей.
Определим число последовательно соединенных тиристоров.
|
|
|
где коэффициент изменения напряжения в контактной сети в
сторону его увеличения;
коэффициент неравномерности распределения напряжения;
наибольшее допустимое напряжение вентиля;
максимально возможное в эксплуатации амплитудное напряжение вторичной обмотки на внешней ступени регулирования в режиме холостого хода, В.

где амплитудное напряжение, приложенное к одному плечу
выпрямительной установки.


Число последовательно соединенных тиристоров в плече:

Определим число параллельно соединенных тиристоров:
|
|
|
где пусковой ток двигателя;
предельный ток приборов, А.

Принимаем число последовательно соединенных тиристоров , а число параллельно соединенных тиристоров .
Количество вентилей в плече определяем по формуле:


В одной выпрямительной установке содержится

Класс тиристора:

Выравнивание напряжения, прикладываемого к последовательно соединенным тиристорам, достигается включением параллельно тиристорам резисторов , сопротивления которых определяют по формуле [5]:
|
|
|
где наибольший ток утечки;

Принимаем
Мощность резисторов при известном действующем значении напряжения ,приложенного к вентилю:

Емкость конденсатора С, мкФ, применяемого для выравнивания и ограничения напряжения в переходных режимах:
|
|
|
где наибольшая разность зарядов восстановления последовательно соединенных вентилей, (Кл)

Расчетные значения емкости конденсатора и сопротивления , демпфирующего резистора можно найти по соотношениям:


где заряд обратного восстановления;
расчетное значение индуктивности контура коммутации (его расчет произведен в разделе 4);
, , относительные значения емкости конденсатора и сопротивлений демпфирующего резистора от коэффициента перенапряжений . Зависимости относительных значений , , приведены на рис. 3.3.




Принимаем , .
Схема устройства для выравнивания и ограничения напряжений на вентилях плеча выпрямительной установки приведена на рис. 3.4.
В результате произведенных расчетов общее количество элементов схемы, необходимых для работы двухзонного преобразователя, составило:
- тиристоров типа Т-353-800-33 18 штук;
- демпфирующих резисторов типа ПЭВ-33 18 штук.
- конденсаторов МГБ 4500 В емкостью 2 мкФ 18 штук.
- шунтирующих резисторов типа ПЭВ-25 18 штук.

- ВХОДНЫЕ И ВЫХОДНЫЕ ХАРАКТЕРИСТИКИ МНОГОЗОННОГО ВЫПРЯМИТЕЛЯ И ОПРЕДЕЛЕНИЕ ПАРАМЕТРОВ СГЛАЖИВАЮЩЕГО РЕАКТОРА И КОМПЕНСИРУЮЩЕЙ УСТАНОВКИ
Принципиальная схема и временная диаграмма токов и напряжений для двухзонного преобразователя приведены на рис. 4.1.
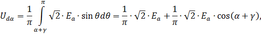
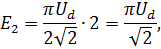
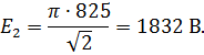
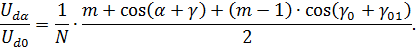
Среднее значение выпрямленного напряжения, при регулировании на m-й зоне регулирования, определяется из выражения:

|
|
|
где действующее значение напряжения одной секции вторичной
обмотки трансформатора;
текущий параметр в радианах;
частота напряжения контактной сети;
номер зоны регулирования;
угол регулирования.
При работающих секциях вторичной обмотки трансформатора, мгновенное значение тока питающей сети:

где - коэффициент трансформации трансформатора.

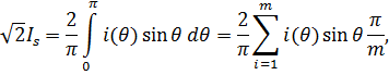
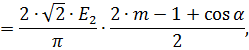
Действующее значение тока питающей сети на m-й зоне:

|
|
|
Коэффициент мощности на m-й зоне регулирования [5]:
|
|
|
На рис. 4.2 приведены значения коэффициента мощности четырехзонного выпрямителя, а на рис. 4.3 представлен гармонический состав потребляемого тока.

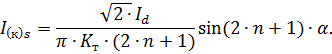
Действующие значения синусных и косинусных высших гармонических составляющих тока на m-й зоне:


Для определения качества потребляемой энергии необходимо в процессе регулирования определить активную, реактивную и полную мощность на входе выпрямительной установки.
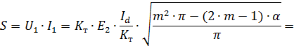
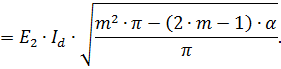
Полную мощность определяют как произведение действующего значения тока и напряжения на входе выпрямителя:


В относительных единицах:

Активную мощность определяют из выражения:

Реактивную мощность определяют из выражения:

Мощность искажения, которую определяют наличием высших гармонических составляющих кривой потребляемого тока может быть определена следующим образом:

В относительных единицах мощность искажения будет представлена в следующем виде:

На рис. 4.4 представлены графики мощностей. На входе выпрямителя изображены сплошными линиями.

Из хода кривых следует, что при отсутствии коммутации реактивные мощности на каждой зоне регулирования одинаковы. Активная мощность линейно зависит от величины выпрямленного напряжения. Мощность искажения возрастает с ростом зоны регулирования в зависимости от роста напряжения.
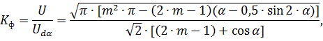
Действующее значение выходного напряжения на m-й зоне регулирования диодно-тиристорного выпрямителя:


Коэффициент формы, являющийся отношением действующего значения выпрямленного напряжения к его среднему значению:
|
|
|
Следует отметить, что все соотношения справедливы для случая отсутствия коммутационного интервала, коммутационных потерь.
При рассмотрении коммутационного интервала, применительно к электромагнитным процессам в диодно-тиристорном выпрямителе, необходимо отметить, что характеристики коэффициента мощности и сдвига снизятся на во всем диапазоне регулирования.
Гармонический состав тока, потребляемого выпрямителем, практически не изменится.
На рис. 4.5 приведены зависимости мощностей на входе двухзонного выпрямителя от напряжения на его выходе.

Из рисунка видно, что с увеличением коммутационного интервала растет полная мощность, а, следовательно, и полный ток, потребляемый выпрямителем. То есть увеличивается потребление реактивной мощности, снижается коэффициент мощности, снижается выпрямленное напряжение за счет индуктивных потерь. Таким образом, наблюдается обратное воздействие на питающую сеть при работе электроподвижного состава.
Коммутация и пульсация выпрямленного тока зависят от величины индуктивных сопротивлений первичной цепи и цепи выпрямленного тока.
В общем случае, полную мощность определяют соотношением [5]:

где соответственно активная, реактивная мощность и мощность искажения.
Реактивная мощность обусловлена сдвигом фазы первичного тока относительно напряжения.
Мощность искажения характеризует степень различия в формах кривых тока и напряжения.
При фазовом регулировании напряжения усугубляются недостатки диодно-тиристорного выпрямителя электровозов и электропоездов, связанные с особенностями процесса коммутации тока в вентилях и проявляющихся в повышенном потреблении реактивной мощности и увеличенным содержанием высших гармоник в первичном токе.
Поэтому разрабатываемым преобразователям электроподвижного состава предъявляются три обязательных требования:
- Наименьший угол сдвига основной гармоники первичного тока относительно напряжения для снижения потребляемой реактивной мощности;
- Низкое содержание в первичном токе высших гармоник малых порядков во избежание мешающего влияния на рельсовые цепи устройств сигнализации;
- Низкое содержание в первичном токе высших гармоник во избежание мешающего влияния на линии связи.
Для соблюдения этих требований предлагается следующее решение: использовать емкостную компенсацию реактивной мощности.
- Определение параметров фильтро-компенсирующего устройства
Одним из способов повышения мощности является применение фильтро-компенсирующих устройств (ФКУ). Применение ФКУ приводит к устранению реактивной мощности и улучшению гармонического состава потребляемого тока.
Анализируя кривые тока, потребляемого выпрямителем, а, следовательно, и кривые мощностей на входе выпрямителя, можно прийти к выводу, что целесообразно применение ФКУ на подвижном составе. Так как реактивная мощность на входе выпрямителя существенно изменяется при переходе от одной зоны регулирования к другой.
Можно установить ФКУ непосредственно на тяговой подстанции, однако такое ФКУ редко будет работать в номинальном режиме.
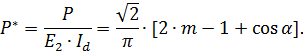
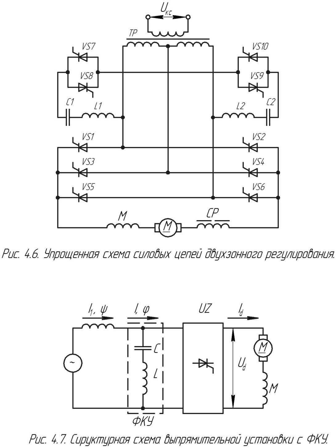
Для двухзонного выпрямителя упрощенная схема силовых электрических цепей приведена на рис. 4.6.

Так как выпрямитель является нагрузкой индуктивной (с учетом угла регулирования индуктивности в цепи нагрузки), то фильтро-компенсирующее устройство должно носить емкостной характер.
При коммутации вентилей возможны резкие броски напряжения, поэтому в цепь ФКУ вводят небольшую индуктивную нагрузку, а также встречно-параллельное включение вентилей. Они служат для подключения фильтро-компенсирующего устройства в моменты перехода кривой питающего напряжения через ноль. Это позволяет исключить броски тока в переходных процессах.
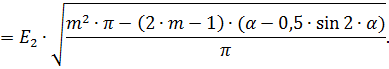
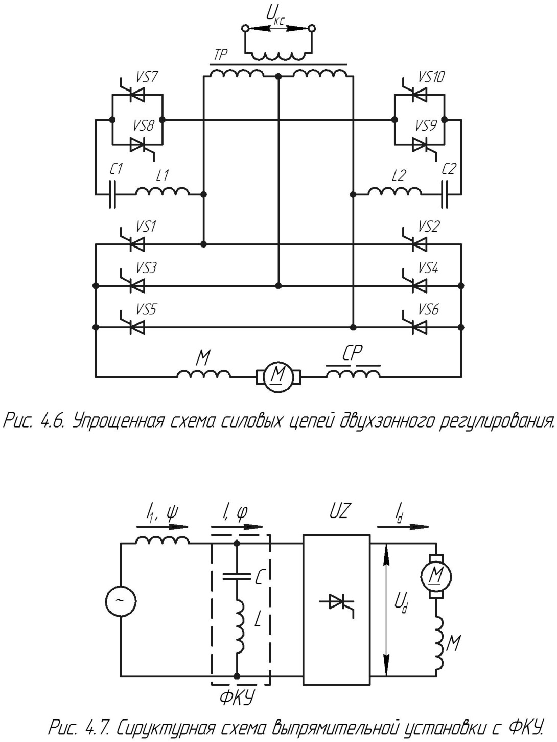
На рис. 4.7 приведена структурная схема выпрямительной установки. Обозначим - напряжение контактной сети как ЭДС источника питания, - эквивалентная нагрузка.

Выбор параметров ФКУ осуществим на основе метода основной гармоники, используя кривые мощностей на входе выпрямительной установки.
Активная мощность на выходе выпрямителя определяется по известным значениям напряжения и тока нагрузки выпрямителя:

Учитывая, что выпрямитель является реактивной нагрузкой, обозначим угол сдвига между током и напряжением через .

Активная мощность на входе выпрямителя определяется из равенства:
|
|
|
где напряжение в контактной сети
действующее значение тока на входе выпрямителя, А.
Реактивная мощность на входе выпрямителя определяется выражением:
|
|
|
Ток конденсатора:
|
|
|
Из этого выражения можно определить эквивалентное сопротивление батареи конденсаторов, а при известной частоте напряжения питающей сети эквивалентную емкость батареи конденсаторов.
Назначение фильтро-компенсирующего устройства полностью устранить или снизить до минимума фазовый сдвиг между напряжением и током в контактной сети. Поэтому получаемый угол сдвига на входе ФКУ можно определить из равенства активных мощностей:
|
|
|
где угол сдвига между напряжением и током в контактной сети;
ток на входе выпрямителя с ФКУ при частоте 50 Гц.

при этом

где .
Зададимся соотношением:

Индуктивное сопротивление:
|
|
|
Емкостное сопротивление:
|
|
|
Емкостное сопротивление батареи конденсаторов:

|
|
|
Таким образом, задавшись параметром , необходимо решить систему уравнений:

При этом угол может быть найден из выражения:
|
|
|
Компенсацию реактивной мощности будем производить при токе .
Тогда ток конденсатора:

Эквивалентное сопротивление батареи конденсаторов:

Емкостное сопротивление:

Индуктивное сопротивление:

Емкость батареи конденсаторов:


Индуктивность катушки:

Для второй зоны регулирования параметры ФКУ определены точно также, добавив одно фильтро-компенсирующее устройство.
Такое решение позволяет унифицировать узлы ФКУ, что упрощает работы по монтажу и обслуживанию, а также ведет к сокращению номенклатуры деталей, поставляющихся в запас.
По имеющейся зависимости мощностей на входе двухзонного выпрямителя получим активную и реактивную составляющую полного тока. Сумма активной и реактивной составляющей даст полный ток. ФКУ в первой зоне регулирования дает сначала перекомпенсацию реактивной мощности
- до момента выпрямленного напряжения ,
- затем недокомпенсацию реактивной мощности,
- а с момента перекомпенсацию реактивной мощности.
На второй зоне регулирования аналогичная картина компенсации реактивной составляющей тока.
Данные зависимости приведены на рис. 4.8.
По данным зависимостям активной и реактивной составляющей тока, зависимости и величины компенсирующей тока ФКУ рассчитан и построен , а также новая меньшая величина полного тока выпрямительной установки. Данные расчета приведены в табл. 4.1.
Помимо этого необходимо в целях улучшения формы кривой потребляемого тока правильно выбрать частоту собственных колебаний ФКУ.
Суммарная индуктивность ФКУ для k-ой гармоники определим из формулы:



которая преобразуется, относительно эквивалентного реактивного сопротивления, следующим образом:


В относительных единицах данное выражение может быть представлено в виде:

По данному выражению на рис. 4.9 приведены графики представляющие зависимости сопротивлений высших гармонических составляющих для тока питающей сети.
Анализируя приведенные кривые и учитывая, что наибольший вред приносят 3 и 5 гармоники, необходимо определить область частот, в которой сопротивления ФКУ для этих гармоник были наименьшими. Исходя из графика можно установить, что в районе 180 Гц желаемая частота собственных колебаний находится в этих пределах.
Таким образом устанавливаем, что предложенное ФКУ позволяет не только улучшить коэффициент сдвига, но и существенно улучшить форму потребляемого тока. То есть повысить коэффициент искажения, тем самым снижая мощность искажения.
Таблица 4.1
Расчет и полного тока выпрямителя с ФКУ
|
№ зоны |
|
|
|
|
|
|
|
|
|
I |
0,1 |
0,11 |
58,5 |
53,2 |
0,701 |
35,04 |
0,82 |
69,8 |
|
0,15 |
0,12 |
63,8 |
79,8 |
0,401 |
21,85 |
0,928 |
85,4 |
|
|
0,2 |
0,14 |
74,5 |
106,4 |
0,2 |
11,3 |
0,98 |
110,6 |
|
|
0,3 |
0,17 |
90,4 |
159,6 |
0,033 |
1,94 |
0,99 |
161,3 |
|
|
0,34 |
0,18 |
95,6 |
180,88 |
0 |
0 |
1,0 |
180,8 |
|
|
0,4 |
0,2 |
106,4 |
212,8 |
0,05 |
2,9 |
0,998 |
213,2 |
|
|
0,5 |
0,21 |
111,7 |
266 |
0,06 |
3,4 |
0,998 |
267 |
|
|
0,6 |
0,23 |
122,4 |
319,2 |
0,083 |
4,76 |
0,996 |
320,1 |
|
|
0,7 |
0,24 |
127,7 |
372,4 |
0,086 |
4,89 |
0,996 |
373,1 |
|
|
0,8 |
0,23 |
122,4 |
425,6 |
0,0625 |
3,57 |
0,998 |
426,2 |
|
|
0,9 |
0,2 |
106,4 |
478,8 |
0,022 |
1,27 |
0,999 |
479 |
|
|
0,95 |
0,16 |
85,1 |
505,4 |
0,018 |
1,03 |
0,99 |
506,8 |
|
|
1,0 |
0 |
0 |
532 |
0 |
0 |
1,0 |
532 |
|
|
II |
0,96 |
0,33 |
510 |
175 |
0,032 |
1,86 |
0,999 |
512 |
|
0,94 |
0,36 |
500 |
191,5 |
0 |
0 |
1,0 |
500 |
|
|
0,93 |
0,44 |
495 |
234,1 |
0,0858 |
4,9 |
0,996 |
497 |
|
|
0,93 |
0,44 |
495 |
234,1 |
0,0858 |
4,9 |
0,996 |
497 |
|
|
0,95 |
0,42 |
505 |
223 |
0,0633 |
3,62 |
0,998 |
506 |
|
|
0,96 |
0,36 |
510 |
191,5 |
0 |
0 |
1,0 |
510 |
|
|
0,97 |
0,32 |
516 |
165 |
0,0542 |
3,1 |
0,998 |
517 |
|
|
1,0 |
0 |
532 |
0 |
0 |
0 |
1,0 |
532 |
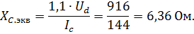
- Расчет внешней характеристики преобразователя с ФКУ и двухзонным регулированием напряжения
Внешняя характеристика преобразователя установленного на электропоезде ЭР9П приведена в [5].
Произведем сравнение внешней характеристики преобразователя с ФКУ и без ФКУ с внешней характеристикой эксплуатируемого выпрямителя.
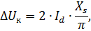
Определение коммутационных потерь. Потеря напряжений из-за коммутации тиристоров и, следовательно, пульсации тока рассчитывают по формуле:
|
|
|
где номинальный выпрямленный ток, равный номинальному
току электродвигателя;
суммарное индуктивное сопротивление обмоток трансформатора
и приведенного индуктивного сопротивления контактной сети.
Действующее напряжение вторичной обмотки трансформатора вычисляем по формуле:

где номинальное напряжение на одном тяговом двигателе

Индуктивное сопротивление обмоток трансформатора зависит от индуктивной составляющей напряжения короткого замыкания , которое составляет от номинального.
|
|
|

Приведем индуктивное сопротивление контактной сети ко вторичной обмотке:
|
|
|
где индуктивное сопротивление контактной сети;
коэффициент трансформации трансформатора.

Суммарное индуктивное сопротивление:

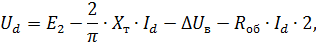
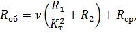
Напряжение подведенное к тяговым двигателям:

где падение напряжение в ветвях;
общее активное сопротивление преобразовательной установки.
|
|
|

где , активное сопротивление первичной и вторичной обмотки
трансформатора соответственно;
активное сопротивление сглаживающего реактора;
коэффициент, учитывающий, что в период коммутации активное падение напряжения не действует в цепи выпрямленного тока,

Для удобства расчета удобно эквивалентное сопротивление преобразовательной установки привести к току одного тягового двигателя:



Эта внешняя характеристика рассчитана для двухзонного преобразователя без ФКУ.
Для преобразователя с ФКУ полный ток на 10% меньше, и поэтому внешняя характеристика будет иметь вид:


Внешняя характеристика преобразователя с ФКУ приведена на рис. 4.10.
- Определение параметров сглаживающего реактора
Постоянная электродвижущая сила (ЭДС) двигателей не уравновешивает переменную составляющую выпрямленного напряжения. В цепи возникает переменная составляющая тока, ограничиваемая только индуктивным сопротивлением двигателей. Однако, это сопротивление при шунтированных обмотках возбуждения мало и не обеспечивает необходимого сглаживания тока.
Сильная пульсация тока ухудшает коммутацию двигателей и вызывает большие добавочные потери энергии. Поэтому в цепь двигателей вводят сглаживающий реактор.
Сглаживающий реактор предназначен для того, чтобы снизить пульсации тока тяговых двигателей до допустимого значения. Таким образом, задаемся допустимой величиной пульсации тока тяговых двигателей
Обозначим:
среднее значение выпрямленного напряжения на m-й зоне регулирования.
действующее значение выходного напряжения на m-й зоне регулирования.
Действующее значение выпрямленного напряжения можно определить
как сумму двух составляющих: постоянной составляющей и суммы гармоник, то есть:
|
|
|
где гармонические составляющие выпрямленного напряжения.
Используя метод основной гармоники, учтем только основную первую гармонику напряжения, то есть будем считать:

тогда
|
|
|
разделим левую и правую часть на и извлечем квадратный корень:
|
|
|
обозначим

где коэффициент формы;

где - коэффициент пульсаций;
|
|
|
определим :
|
|
|
Индуктивность сглаживающего реактора можно определить, рассмотрев схему замещения цепи тяговых двигателей (рис. 4.11).
На схеме - суммарная индуктивность тяговых двигателей.
Переменная составляющая тока в силовой цепи тяговых двигателей может быть определена из выражения:
|
|
|
Задаваясь допустимой величиной пульсации тока и основной гармоникой выпрямленного напряжения можно определить суммарное сопротивление Х:

При этом индуктивное сопротивление определяют на частоте, в 2 раза превышающей частоту питающей сети, то есть на частоте 100 Гц.
Определим по формуле:

при

Определим коэффициент пульсации:

Найдем суммарное сопротивление Х:


Индуктивность тягового двигателя типа РТ51Д составляет 0,9 мГн

По приведенным выше формулам определим значения , а также и представить их на рис. 4.12.
- КОНСТРУКТИВНАЯ И ТЕХНОЛОГИЧЕСКАЯ РАЗРАБОТКА СГЛАЖИВАЮЩЕГО РЕАКТОРА
- Технические данные
Номинальное напряжение……………………………………………1650 В
Ток часового режима…………………………………………………….530 А
Ток длительного режима………………………………………………350 А
Начальная индуктивность……………………………………………15 мГн
Индуктивность при подмагничивании током 350 А…………………11 мГн
Омическое сопротивление обмотки постоянному
току при …………………………………………………..0,0193 Ом
Сглаживающий реактор предназначен для сглаживания пульсаций выпрямленного тока в цепи тяговых двигателей.
Реактор выполнен с одностержневой разомкнутой обмоткой с магнитопроводом радиальной шихтовки из лакированных листов электротехнической стали Э22, толщиной 0,5мм ГОСТ 214271-75 и однослойной цилиндрической обмоткой из медной ленты МГМ 1,9565 ГОСТ 4342-75 с намоткой на ребро и межвитковыми зазорами. Цилиндрическая и торцевая поверхности магнитопровода изолированы стеклопластом из стеклоткани и полиэфирной смолы НПС-609-21м, СТ УЗО-14366-65, который обеспечивает механическое скрепление пластин электротехнической стали и изоляцию обмотки от стали магнитопровода. Витковая изоляция обмотки обеспечивается прокладками из электронита толщиной 1мм. Прокладки охватывают витки со стороны внутреннего диаметра примерно на 2/3 высоты шины.
Зазор между витками составляет 2 мм. Обмотка вместе с межвитковой изоляцией и торцевыми кольцами собирается на магнитопроводе, опрессовывается в осевом направлении и пропитывается в изоляционном лаке ПЭ-933 с последующей сушкой.
Магнитопровод вместе с обмоткой своими торцами устанавливается в специальные выборки из гетинакса толщиной 40мм ГОСТ 2718-75 и стягивается в осевом направлении пятью шпильками из дюралюминия Д1Т ГОСТ 4631-75.
Выводы реактора выполнены гибкими шунтами с целью обеспечения надежной работы в эксплуатации. Для крепления на электропоезде реактор имеет четыре установочных уголка.
Магнитная система заземлена металлической пластиной на один из установочных уголков.
В эксплуатации реактор проходит все необходимые осмотры и ремонты согласно инструкции по эксплуатации.
- Эскиз электромагнитной цепи
Эскиз электромагнитной цепи приведен на рис. 5.1.
- Выбор обмотки
Для обмотки используем медную ленту . Зазор между витками 2 мм. Примем число витков равным 115. Длина катушки равна:
|
|
|
где толщина медного витка;
зазор между витками.

Сечение шины:

- Выбор магнитопровода
Примем диаметр стального магнитопровода равным 300 мм. На магнитопровод укладывают два слоя изоляции толщиной 6,5 мм. На торцах толщина изоляции 2,5 мм.
Длину стали магнитопровода примем равной 560 мм с возможностью размещения на ней обмотки.
Определим вынос магнитопровода по краям катушки:

Внутренний диаметр катушки:

Наружный диаметр катушки:

Средний диаметр катушки:

Вес меди катушки:
|
|
|
где удельная плотность меди

Определение начальной индуктивности.
Начальная индуктивность определяется по формуле:
|
|
|
где и коэффициенты, учитывающие влияние соответственно
длины и диаметра катушки, а также диаметра сердечника на
индуктивность;
коэффициент, учитывающий влияние толщины намотки катушки
на индуктивность;
коэффициент, учитывающий влияние радиальной шихтовки.
Определим и :

определяют по кривой


|
|
|


Индуктивность при полном насыщении стали:


Так как реактор питает группу тяговых двигателей электропоезда, и в связи с небольшим током в силовой цепи , примем индуктивность сглаживающего реактора постоянной и равной расчетной, то есть 11мГн.
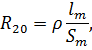
- Определение омического сопротивления обмотки реактора
Омическое сопротивление при :
|
|
|
где удельное сопротивление меди,

- Определение активного сечения стали
Количество пластин на каждой позиции К определим по формуле:
|
|
|
где толщина пластин;
зазор между пластинами вследствие их радиального расположения;

Определим активное сечение стали:

Вес стали реактора:
|
|
|
где удельная масса стали;

Расчетный вес реактора:

- Тепловой расчет
Плотность тока в обмотке при токе :

Основные электрические параметры при допустимой температуре
:



Тепловая нагрузка на витки:

Коэффициент теплоотдачи из медной шины с развитой поверхностью теплоотдачи составляет:

Температура перегрева витков катушки:

Окружающая температура воздуха .
Полный нагрев витков обмотки:

Расчетная температура не превышает нагревостойкости изоляции любого класса.
- Технология изготовления магнитопровода
Для изготовления магнитопровода применяют электротехнические стали и другие ферромагнитные материалы. Для магнитопровода сглаживающего реактора примем сталь Э22 (среднелегированную с пониженными удельными потерями на перемагничивание). Пластины для магнитопроводов изготавливают из листовой электротехнической стали методами холодной штамповки. Вырубку пластин и полос выполняют с таким расчетом, чтобы направление проката совпадало с направлением магнитных силовых линий на большей части длины магнитопровода.
Для снятия заусениц с кромки пластин используется установка, приведенная на рис. 5.2.
Пластины зачищаются абразивным кругом от заусенцев и поступают в сборник. Для отсоса абразивно-металлической пыли в установке предусмотрено устройство кожуха, сообщающегося с воздуховодом вентиляционно-вытяжной установки.
Для уменьшения потерь на вихревые токи комплектующие пластины подвергают покрытию электротехнической пленкой, обеспечивающей жаростойкость и требуемую изоляцию между пластинами.
Так как магнитопровод имеет радиальную шихтовку, то сборка его осуществляется на специальном стенде посекционно. Секция собирается из отдельных пластин, причем в центре устанавливается пластина, имеющая наибольшую высоту, а от нее в стороны устанавливают пластины в порядке убывания высоты. Затем секции укладывают радиально рядом друг с другом, обжимают и получившуюся окружность (цилиндр) магнитопровода на обмоточном станке изолируют стеклопластом из стеклоткани и полиэфирной смолы. Это придает механическую и изоляционную прочность магнитопроводу. Затем магнитопровод помещают в печь и производят его сушку. После этого магнитопровод готов к установке на него рабочей обмотки.
Рабочая обмотка цилиндрической формы из медной ленты наматывается на ребро на магнитопровод. Витковая изоляция прокладками из электронита толщиной 1 мм. Прокладки охватывают витки со стороны внутреннего диаметра примерно на 2/3 высоты шины. Затем обмотка опрессовывается в осевом направлении и пропитывается в изоляционном лаке ПЭ-933 или лаке №477 с последующей сушкой при температуре в течение .
После сушки производят проверку электрической прочности изоляции между выводными шинами и корпусом реактора переменным током частотой 50 Гц, напряжением 10 кВ. После этого производят окончательную сборку реактора.
- РАСЧЕТ ТЯГОВЫХ ХАРАКТЕРИСТИК ПРИ ДВИЖЕНИИ ЭЛЕКТРОПОЕЗДА ПО ПЕРЕГОНУ
- Определение влияния внешней характеристики преобразовательной установки на характеристики тяговых двигателей
По произведенным в главе 4 расчетам внешней характеристики произведем расчет скоростной характеристики по формуле:
|
|
|
где внешняя характеристика разработанного двухфазного
преобразователя;
внешняя характеристика эксплуатируемого преобразователя;
скоростная характеристика эксплуатируемого преобразователя.
Данные расчета сведем в табл. 6.1. На основании данных таблицы построим скоростную характеристику двигателя для разработанного преобразователя.
Для тягового расчета выбран участок между станциями Казань - Кендери и имеющий три промежуточных остановочных пункта. Участок имеет звеньевой путь с профилем, приведенным в табл. 6.2. Спрямление пути проведено по образцу, приведенному в книге [9].
Таблица 6.1
Данные пересчета скоростной характеристики
|
|
870 |
840 |
810 |
770 |
750 |
720 |
700 |
650 |
|
|
915 |
905 |
890 |
880 |
870 |
860 |
855 |
835 |
|
|
115 |
88 |
74 |
64 |
60 |
56 |
53,5 |
49,5 |
|
|
121 |
94,8 |
81,3 |
73,1 |
69,6 |
66,8 |
65,3 |
63,6 |
|
|
50,5 |
44,5 |
41 |
37 |
36 |
34,5 |
33 |
31,5 |
|
|
55 |
47,9 |
45 |
42,3 |
41,76 |
41,2 |
40,3 |
40 |
Таблица 6.2
Профиль пути
|
№ элемента |
S, м |
i, ‰ |
Rкр, м |
Sкр, м |
Sс, м |
ic, ‰ |
ic”, ‰ |
ic, ‰ |
№ элемента |
|
1 |
800 |
0 |
- |
- |
800 |
0 |
0 |
0 |
1 |
|
2 |
900 |
4 |
900 |
700 |
1600 |
4,4 |
0,6 |
5 |
2 |
|
3 |
700 |
5 |
600 |
300 |
|||||
|
4 |
1500 |
0 |
- |
- |
1500 |
0 |
0 |
0 |
3 |
|
5 |
2000 |
-3 |
- |
- |
2000 |
0 |
0 |
-3 |
4 |
|
6 |
1900 |
4 |
- |
- |
2400 |
3,81 |
0,11 |
3,92 |
5 |
|
7 |
500 |
3,1 |
800 |
300 |
|||||
|
8 |
850 |
0 |
- |
- |
850 |
0 |
0 |
0 |
6 |
|
9 |
1900 |
2,9 |
- |
- |
1900 |
0 |
0 |
2,9 |
7 |
|
10 |
2150 |
-2 |
- |
- |
2150 |
0 |
0 |
-2 |
8 |
|
11 |
1200 |
0 |
- |
- |
1200 |
0 |
0 |
0 |
9 |
|
12 |
1000 |
2,3 |
900 |
250 |
1000 |
0 |
0,2 |
2,5 |
10 |
|
13 |
3800 |
-3,3 |
- |
- |
3800 |
0 |
0 |
-3,3 |
11 |
|
14 |
800 |
0 |
- |
- |
800 |
0 |
0 |
0 |
12 |
В результате анализа профиля пути находим, что наиболее тяжелым является элемент №2, на котором мы определим возможность трогания электропоезда с места.
Масса электропоезда состоящего из:
пяти моторных вагонов массой ;
трех прицепных вагонов массой ;
двух головных вагонов массой
составляет:

Проверим возможность трогания электропоезда на подъеме 5‰.
Масса, приходящаяся на ось:
моторного вагона

прицепного вагона

Основное удельное сопротивление при трогании состава рассчитываем по формуле:
|
|
|
где процентное содержание моторных и прицепных вагонов в
составе соответственно ; ;
удельное сопротивление для моторных и прицепных
вагонов соответственно;



Вес состава по условиям трогания с места на подъеме:

Следовательно, , поэтому электропоезд можно останавливать на любом профиле пути.
- Расчет и построение диаграммы удельных ускоряющих сил
Основное удельное сопротивление движению электропоезда в режиме тяги рассчитываем по формуле:
|
|
|
Основное удельное сопротивление движению электропоезда в режиме выбега рассчитываем по формуле:
|
|
|
Удельные силы тяги при различных скоростях определяем по формуле:

Удельные ускоряющие силы в режиме тяги:

Данные расчетов заносим в табл. 6.3. По результатам расчетов строим диаграмму удельных ускоряющих сил электропоезда ЭР9П (рис. 6.3).
Таблица 6.3
Данные расчетов удельных ускоряющих сил для электропоезда ЭР9П
|
|
|
|
|
|
|
|
|
|
|
|
|
10 |
1,24 |
9500 |
79,1 |
77,86 |
||||||
|
20 |
1,33 |
9500 |
79,1 |
77,75 |
||||||
|
30 |
1,65 |
9500 |
79,1 |
77,46 |
||||||
|
38 |
1,93 |
9500 |
79,1 |
77,17 |
||||||
|
40 |
2,0 |
7600 |
63,3 |
61,3 |
||||||
|
44 |
2,21 |
4800 |
9200 |
40,0 |
76,1 |
37,79 |
73,89 |
|||
|
52 |
2,44 |
3040 |
5280 |
25,3 |
44 |
22,94 |
41,56 |
|||
|
60 |
2,65 |
2000 |
4720 |
6900 |
16,6 |
39,3 |
57,5 |
13,95 |
36,7 |
54,42 |
|
70 |
3,23 |
1000 |
2000 |
4970 |
8,33 |
16,6 |
41,4 |
5,1 |
13,37 |
38,17 |
|
80 |
3,71 |
1000 |
3550 |
8,33 |
29,6 |
4,62 |
25,89 |
|||
|
90 |
4,18 |
2680 |
22,3 |
18,05 |
||||||
|
100 |
4,41 |
2050 |
17,1 |
12,69 |
||||||
|
110 |
4,87 |
1650 |
13,75 |
8,8 |
||||||
|
120 |
5,39 |
1300 |
10,8 |
5,45 |
||||||
|
130 |
6,32 |
1200 |
10,0 |
3,79 |
В связи с изменением внешней характеристики, и как следствие изменение скоростной характеристики, производим пересчет удельных ускоряющих сил в режиме тяги для электропоезда ЭР9К. Данные расчетов заносим в табл. 6.4.
Таблица 6.4
Данные расчетов удельных ускоряющих сил в режиме тяги для электропоезда ЭР9К.
|
|
|
|
|
|
|
|
|
|
|
|
|
10 |
1,24 |
9500 |
79,1 |
77,9 |
||||||
|
20 |
1,33 |
9500 |
79,1 |
77,75 |
||||||
|
30 |
1,65 |
9500 |
79,1 |
77,46 |
||||||
|
42 |
1,93 |
9500 |
79,1 |
77,17 |
||||||
|
48 |
2,32 |
4800 |
9000 |
40,0 |
75,1 |
37,68 |
72,88 |
|||
|
58 |
2,6 |
2800 |
5280 |
23,4 |
44 |
20,8 |
41,4 |
|||
|
65 |
3,0 |
1700 |
4400 |
6900 |
13,7 |
35,6 |
57,5 |
10,7 |
32,6 |
53,6 |
|
70 |
3,23 |
1000 |
2300 |
5400 |
8,33 |
17,4 |
45,6 |
5,1 |
14,17 |
42,37 |
|
80 |
3,71 |
1100 |
4000 |
8,7 |
34,2 |
5,0 |
30,6 |
|||
|
90 |
4,18 |
3120 |
24,5 |
20,32 |
||||||
|
100 |
4,44 |
2250 |
19,2 |
14,76 |
||||||
|
110 |
4,87 |
1750 |
15,6 |
9,73 |
||||||
|
120 |
5,39 |
1350 |
10,3 |
5,9 |
||||||
|
130 |
6,32 |
1200 |
10,0 |
3,8 |
По результатам расчетов строим диаграмму удельных ускоряющих сил электропоезда ЭР9К (рис. 6.4).
- Построение диаграммы удельных замедляющих сил при выбеге и механическом торможении
Основное удельное сопротивление при движении на выбеге рассчитывают по формуле:

Удельные тормозные силы рассчитываем на основании расчетного коэффициента трения чугунных колодок о колеса подвижного состава по формуле:
|
|
|
Тормозная сила:
|
|
|
где суммарное расчетное нажатие колодок на оси в поезде;
для моторного вагона;
для прицепного вагона.

Отношение суммарных сил расчетного нажатия колодок на колеса к весу поезда называют расчетным тормозным коэффициентом поезда:

Расчетный тормозной коэффициент удовлетворяет требованию обеспечения безопасности движения при скоростях до 120 км/ч.
Удельную тормозную силу определим по формуле:
|
|
|
Удельные замедляющие силы при служебном торможении:
|
|
|
Все результаты расчетов приведены в табл. 6.4. и по ним построены диаграммы удельных замедляющих сил при выбеге и служебном торможении (рис. 6.5).
Задаемся масштабами построения кривых V(S), t(S) и постоянной величины времени . Рекомендованные масштабы построения берем из ПТР [11]:
скорость 1 км/ч 1 мм;
путь 1 км/ч 60 мм;
постоянная 50 мм;
время 1 мм 50 мм.
Кривые времени и скорости в функции пути строим по диаграмме удельных ускоряющих и замедляющих сил с учетом масштабов. Принимаем интервалы скоростей не более 10 км/ч. При разгоне в режиме тяги, выбега и торможения при км/ч; не более 5 км/ч при работе по характеристикам НП, ОП1, ОП2, и при торможении в зоне скоростей км/ч.
Кривую времени в функции пути по вертикали строим частями по 3 минуты.
Таблица 6.5
Данные расчета удельных тормозных и замедляющих сил при служебном торможении.
|
|
|
|
|
|
|
0 |
0,27 |
1,3 |
171 |
86,8 |
|
10 |
0,198 |
1,47 |
125,3 |
64,43 |
|
20 |
0,162 |
1,75 |
102,5 |
53 |
|
30 |
0,140 |
2,08 |
88,6 |
46,38 |
|
40 |
0,126 |
2,47 |
79,7 |
42,32 |
|
50 |
0,116 |
2,91 |
73,4 |
38,9 |
|
60 |
0,108 |
3,4 |
68,4 |
36,6 |
|
70 |
0,102 |
3,95 |
64,5 |
36,25 |
|
80 |
0,097 |
4,55 |
61,4 |
35,25 |
|
90 |
0,093 |
5,2 |
58,8 |
34,6 |
|
100 |
0,09 |
5,91 |
56,9 |
34,4 |
|
110 |
0,087 |
6,45 |
55,1 |
34 |
|
120 |
0,085 |
7,28 |
53,8 |
34,18 |
|
130 |
0,083 |
7,42 |
52,54 |
33,69 |
|
140 |
0,081 |
8,2 |
51,27 |
33,84 |
- Построение кривых тока и времени
Расход электрической энергии рассчитываем графоаналитическим методом, исходя из кривой тока . Средний ток при изменении его от одной точки до соседней определяем как среднее арифметическое между начальными и конечными значениями. Из кривой берем время, в течение которого электропоезд потребляет ток .
|
|
|
Расход электрической энергии рассчитываем по формуле:
|
|
|
Результаты расчетов сводим в табл. 6.6.
Таблица 6.6
Определение расхода электроэнергии
|
№ участка |
|
|
|
|
|
|
|
|
|
|
|
0 1 |
10 |
23 |
16,5 |
0,08 |
1,32 |
6 |
17 |
11,5 |
0,08 |
0,92 |
|
1 2 |
23 |
36 |
29,5 |
0,06 |
1,77 |
17 |
28 |
22,5 |
0,06 |
1,35 |
|
2 3 |
36 |
50 |
43 |
0,08 |
3,44 |
28 |
39 |
33,5 |
0,08 |
2,68 |
|
3 4 |
50 |
70 |
60 |
0,1 |
6 |
39 |
53 |
46 |
0,1 |
4,6 |
|
5 6 |
60 |
70 |
65 |
0,1 |
6,5 |
47 |
55 |
51 |
0,06 |
3,06 |
|
6 7 |
70 |
75 |
72,5 |
0,04 |
2,9 |
55 |
61 |
58 |
0,06 |
3,48 |
|
7 8 |
75 |
60 |
77,5 |
0,2 |
15,5 |
61 |
54 |
57,5 |
0,1 |
5,75 |
|
8 9 |
60 |
46 |
53 |
0,32 |
16,96 |
54 |
39 |
46,5 |
0,22 |
10,2 |
|
9 10 |
46 |
41 |
43,5 |
0,82 |
35,7 |
39 |
36 |
37,5 |
0,32 |
12 |
|
10 11 |
10 |
23 |
16,5 |
0,18 |
2,97 |
36 |
34 |
35 |
0,34 |
11,9 |
|
11 12 |
23 |
36 |
29,5 |
0,06 |
1,77 |
6 |
17 |
11,5 |
0,16 |
1,84 |
|
12 13 |
36 |
50 |
43 |
0,08 |
3,44 |
17 |
26 |
21,5 |
0,08 |
1,72 |
|
13 14 |
50 |
64 |
57 |
0,06 |
3,42 |
26 |
39 |
32,5 |
0,08 |
2,6 |
|
14 15 |
64 |
70 |
67 |
0,06 |
4,02 |
39 |
50 |
44,5 |
0,06 |
2,67 |
|
15 16 |
70 |
76 |
73 |
0,04 |
2,92 |
50 |
55 |
52,5 |
0,04 |
2,1 |
|
16 17 |
76 |
60 |
68 |
0,1 |
6,8 |
55 |
59 |
57 |
0,06 |
3,42 |
|
17 18 |
60 |
46 |
53 |
0,14 |
7,42 |
59 |
54 |
56,5 |
0,04 |
2,26 |
|
18 19 |
46 |
36 |
41 |
0,22 |
9,02 |
54 |
39 |
46,5 |
0,12 |
5,58 |
|
19 20 |
36 |
30 |
33 |
0,18 |
5,94 |
34 |
28 |
31 |
0,16 |
4,96 |
|
21 22 |
26 |
21 |
23,5 |
0,3 |
7,05 |
28 |
25 |
26,5 |
0,16 |
4,24 |
|
22 23 |
18 |
22 |
20 |
0,64 |
12,8 |
25 |
22 |
23,5 |
0,2 |
4,7 |
|
23 24 |
10 |
24 |
17 |
0,1 |
1,7 |
19 |
22 |
20,5 |
0,52 |
10,7 |
|
24 25 |
24 |
36 |
30 |
0,06 |
1,8 |
6 |
14 |
10 |
0,12 |
1,2 |
|
25 26 |
36 |
50 |
43 |
0,02 |
0,86 |
14 |
28 |
21 |
0,06 |
1,26 |
|
26 27 |
50 |
56 |
53 |
0,06 |
3,18 |
28 |
38 |
33 |
0,04 |
1,32 |
|
27 28 |
56 |
64 |
60 |
0,04 |
2,4 |
38 |
44 |
41 |
0,06 |
2,46 |
|
28 29 |
64 |
67 |
65,5 |
0,06 |
3,93 |
44 |
54 |
49 |
0,02 |
0,98 |
|
29 30 |
67 |
73 |
70 |
0,04 |
2,8 |
54 |
59 |
56,5 |
0,06 |
3,39 |
|
30 31 |
73 |
60 |
66,5 |
0,12 |
7,98 |
59 |
53 |
56 |
0,06 |
3,36 |
|
31 32 |
60 |
45 |
52,5 |
0,16 |
8,4 |
53 |
39 |
46 |
0,12 |
5,52 |
|
32 33 |
45 |
36 |
40,5 |
0,38 |
15,4 |
39 |
36 |
37,5 |
0,08 |
3 |
|
33 34 |
36 |
30 |
33 |
1,0 |
3,3 |
36 |
34 |
35 |
0,14 |
4,9 |
|
34 35 |
1 |
34 |
29 |
31,5 |
0,54 |
17,01 |
||||
|
35 36 |
10 |
24 |
17 |
0,08 |
1,36 |
29 |
27 |
28 |
0,6 |
16,8 |
|
36 37 |
24 |
50 |
37 |
0,14 |
5,18 |
|||||
|
37 38 |
50 |
66 |
58 |
0,06 |
3,48 |
6 |
17 |
11,5 |
0,12 |
1,38 |
|
38 39 |
66 |
70 |
68 |
0,04 |
2,72 |
17 |
28 |
22,5 |
0,06 |
1,35 |
|
39 40 |
70 |
76 |
73 |
0,06 |
4,38 |
28 |
39 |
33,5 |
0,06 |
2,01 |
|
40 41 |
76 |
60 |
73 |
0,08 |
5,84 |
39 |
50 |
44,5 |
0,06 |
2,67 |
|
41 42 |
60 |
45 |
52,5 |
0,16 |
8,4 |
50 |
55 |
52,5 |
0,06 |
3,15 |
|
42 43 |
46 |
37 |
41,5 |
0,16 |
6,64 |
55 |
60 |
57,5 |
0,04 |
2,3 |
|
43 44 |
37 |
30 |
33,5 |
0,7 |
23,45 |
60 |
52 |
56 |
0,06 |
3,36 |
|
44 45 |
52 |
39 |
45,5 |
0,12 |
5,46 |
|||||
|
45 46 |
39 |
32 |
35,5 |
0,18 |
6,39 |
|||||
|
46 47 |
32 |
29 |
30,5 |
0,34 |
10,4 |
|||||
|
47 48 |
29 |
27 |
35,5 |
0,3 |
10,7 |
|||||
|
Итого |
270,9 |
213,1 |
Определим расход электроэнергии на тягу для электропоезда ЭР9П:

Для электропоезда с разработанным преобразователем расход на тягу составляет:

Расход электрической энергии на собственные нужды электропоезда старого и нового образца рассчитываем исходя из потребляемой вспомогательными машинами энергии, энергии затрачиваемой на освещение и отопление. Расход энергии за одну минуту составляет 4,3кВт/мин. Время хода по перегону составляет для электропоезда ЭР9К 17,44 мин, а для электропоезда ЭР9П 17,66 мин.

Расход электрической энергии электропоезда ЭР9П с учетом собственных нужд:

Расход электрической энергии у электропоезда с двухзонным преобразователем и ФКУ:

Удельный расход электроэнергии определяем с учетом собственных нужд при длине участка
|
|
|

Удельный расход электроэнергии электропоездом, с разработанным преобразователем:

В результате мы видим значительное преимущество разработанного варианта в экономии электроэнергии, расходуемой на тягу порядка . При чем при движении по перегону не полностью используется возможность движения с повышенной скоростью, из-за ограничения по тормозным условиям. Разработанный преобразователь может быть использован как инвертор, что позволяет применить электрическое торможение, увеличить безопасность движения, а также поднять техническую скорость.
- ОПРЕДЕЛЕНИЕ ЭКОНОМИЧЕСКОЙ ЭФФЕКТИВНОСТИ ЗАМЕНЫ ЭЛЕКТРОПОЕЗДА ЭР9П НА ЭР9К
Повышение эффективности и улучшение качества работы железнодорожного транспорта является важной экономической задачей. Вопрос о целесообразности создания и использования на железнодорожном транспорте нового подвижного состава решается на основе результатов технико-экономических расчетов. Годовой экономический эффект представляет собой суммарную экономию всех видов производственных ресурсов (живого труда, материалов, капитальных вложений), получаемую в результате их осуществления.
Капитальные вложения, учитываемые в расчете при определении эффективности новых типов мотор-вагонных секций, состоят из капитальных вложений в мотор-вагонный парк, локомотивное хозяйство, оснастку заводов.
Эксплуатационные расходы, учитываемые в расчете, включают заработную плату локомотивных бригад, расходы на ремонт электропоездов, их экипировку, амортизационные отчисления, затраты на электроэнергию, расходы на смазочные материалы.
Расчет капитальных затрат
Электропоезд ЭР9К создан на базе электропоезда ЭР9П, поэтому его цена изменится в результате добавления нового оборудования.
Величина, на которую повысится цена, будет равна разности стоимостей устанавливаемого и переустанавливаемого оборудования. Стоимость заменяемого оборудования, дополнительного оборудования и снятого оборудования на электропоезде ЭР9К приведены в табл. 7.1, 7.2, 7.3.
Рассчитаем себестоимости электропоезда ЭР9К, состоящего из пяти секций моторных, трех прицепных и двух головных вагонов.
Цену моторного вагона ЭР9К рассчитываем по формуле:
|
|
|
где , стоимость заменяемого оборудования на электропоезде ЭР9К и ЭР9П соответственно;
, стоимость устанавливаемого и неустанавливаемого оборудования на электропоезд ЭР9К;
коэффициент затрат на дополнительные монтажные работы;

Рассчитаем полную стоимость электропоезда ЭР9К, состоящего из пяти моторных, трех прицепных и двух головных вагонов:
|
|
|
Таблица 7.1
Стоимость оборудования заменяемого на электропоезде ЭР9П
|
Оборудование |
Количество |
ЭР9П |
ЭР9К |
||||
|
Тип |
Цена единицы тыс. руб. |
Сумма тыс. руб. |
Тип |
Цена единицы тыс. руб |
Сумма тыс. руб |
||
|
Реактор |
5 |
СР-800 |
120 |
600 |
РС704 |
176 |
880 |
|
Блок защиты |
5 |
ДПВ4 |
20 |
100 |
ЭВИП |
24,8 |
124 |
|
Итого |
10 |
700 |
1004 |
Таблица 7.2
Стоимость оборудования, неустанавливаемого на электропоезде ЭР9К
|
Оборудование |
Количество |
Тип |
Цена единицы тыс. руб |
Сумма тыс. руб |
|
Силовой контроллер |
5 |
КСП-65 |
120,8 |
604 |
|
Дроссели |
52 |
D101B |
4,8 |
48 |
|
Выпрямительная установка |
5 |
УВП-3 |
280 |
1400 |
|
Блок датчиков пробоя вентилей |
5 |
БДВ |
1,6 |
8 |
|
Блок управления защиты |
5 |
БУЗ |
168 |
840 |
|
Итого |
30 |
2900 |
Таблица 7.3
Стоимость дополнительного оборудования, устанавливаемого на электропоезд ЭР9К
|
Оборудование |
Тип |
Количество |
Цена единицы тыс. руб. |
Сумма тыс. руб. |
|
Панель питания автоматики |
5 |
8 |
40 |
|
|
Фильтро-компенсирующее устройство Тиристор Конденсатор Дроссель Контактор принудительной разрядки |
ФКУ Т-353 РСТ-2,2 КМ-310 |
5 20 10 10 |
58,72 9,6 6,32 1,68 |
293,6 192 63,2 16,8 |
|
Выпрямительно-инверторный преобразователь Тиристор Конденсатор Резистор |
ВИП Т-353 МБТ-4-1000 ПЭВ-10 |
5 90 90 180 |
204,8 9,6 0,48 0,08 |
1024 864 43,2 14,4 |
|
Блок управления |
БУВИП |
5 |
328 |
1640 |
|
Датчик угла коммутации |
10 |
3,36 |
33,6 |
|
|
Счетчик энергии |
5 |
4,8 |
24 |
|
|
Итого |
4270,4 |

Полная стоимость электропоезда ЭР9П:

Электропоезда работают на пригородных участках. Способ обслуживания поездов прикрепленный. Особенностью пригородных перевозок является неравномерность перевозок по часам суток.
Расчет числа пар поездов в сутки производят по формуле:
|
|
|
где коэффициент годовой неравномерности движения электропоездов;
вместимость электропоезда;
коэффициент наполняемости состава;
. пассажиропоток, млн. чел. в год;

Расчет потребного парка электропоездов.
Потребный инвентарный парк электропоездов состоит из электропоездов, находящихся в эксплуатации и ремонте .
Эксплуатируемый парк определяем по формуле:
|
|
|
где оборот электропоезда между станциями назначения.
|
|
|
где средняя длина участка обращения;
участковая скорость;
;
время простоя электропоездов на станции основного депо, включая время на смену локомотивных бригад;
время простоя электропоезда на станции обращения;


Расчет производим для одного варианта, так как остался постоянным пассажиропоток, а также низкая участковая скорость грузовых поездов не дает возможности увеличить участковую скорость пассажирских поездов. Наличие на перегонах предупреждений требует запаса времени хода.
Число электропоездов, находящихся в ремонте:
|
|
|
где простой в ремонте.
Простой в ремонте для электропоезда определяется по формуле:

где время простоя электропоездов на капитальных и текущих ремонтах соответственно, сут.


Потребный инвентарный парк электропоездов составляет:

Капитальные затраты в мотор-вагонный парк составляют:
- для ЭР9П: 1595 млн. руб.;
- для ЭР9К: 1879 млн. руб.
Расчет эксплуатационных расходов
Затраты на электроэнергию для тяги поездов.
Расходы электроэнергии определим по данным тягового расчета:
|
|
|
Отсюда определяем удельный расход электроэнергии на участке в :
|
|
|
По данным тягового расчета получены следующие величины:


Расход электроэнергии на тягу поездов на весь объем работы:
|
|
|
Расход электроэнергии для электропоездов ЭР9П на весь объем работы:

Расходы на оплату электроэнергии для электропоездов ЭР9П:

Расход электроэнергии для электропоездов ЭР9П на весь объем работы:

Расходы на оплату электроэнергии для электропоездов ЭР9К:

Расходы на экипировку электропоездов:
|
|
|
где удельные затраты на экипировку для электропоездов ЭР9П и ЭР9К на 1000 секция-км.

Расходы на смазочные и обтирочные материалы:
|
|
|
где удельные затраты на смазочные и обтирочные материалы для электропоездов ЭР9П и ЭР9К на 1000 секция-км.

Расходы на ремонт электропоездов зависят от величины пробега и удельных затрат на ремонт электросекции приходящихся на 1 км пробега:
|
|
|
где удельные затраты на ремонт электросекции на 1 км пробега.
- для электросекции ЭР9П: 224 руб/км;
- для электросекции ЭР9К: 208 руб/км.


Расходы на содержание локомотивных бригад.
Штат локомотивных бригад при четырехсменной работе:
|
|
|
где коэффициент, учитывающий болезни, отпуска, отвлечения локомотивных бригад;

Затраты на содержание локомотивных бригад за год:
|
|
|
где среднегодовое содержание локомотивной бригады;

Отчисления на реновацию мотор-вагонного парка:
|
|
|


Электропоезд ЭР9К может быть дополнительно оборудован рекуперативным торможением, что позволяет уменьшить износ тормозных колодок и возможность рекуперации электроэнергии в контактную сеть.
Данные расчета годовых эксплуатационных расходов заносим в табл. 7.4.
Таблица 7.4
Годовые эксплуатационные расходы
|
Наименование затрат |
Электропоезд |
|
|
ЭР9П |
ЭР9К |
|
|
Затраты на электроэнергию, млн. руб |
353,7 |
305,3 |
|
Затраты на ремонт, млн. руб |
4709,4 |
4373 |
|
Расходы на экипировку, млн. руб |
941,88 |
941,88 |
|
Содержание локомотивных бригад, млн. руб |
74,82 |
74,82 |
|
Расходы на смазку и обтирочные материалы, млн. руб |
1614,6 |
1614,6 |
|
Амортизационные отчисления, млн. руб |
57,42 |
67,64 |
|
Итого, млн. руб |
7751,82 |
7377,24 |
Эффективность внедрения нового электропоезда
Экономическая эффективность внедрения электропоездов ЭР9К определяется путем соизмерения капитальных затрат и эксплуатационных расходов.
Определим приведенные затраты по вариантам:
|
|
|
где годовые эксплуатационные расходы на выполнение заданного объема работ;
нормативный коэффициент эффективности;
капитальные затраты.


Экономический эффект от внедрения в эксплуатацию электропоезда ЭР9К:
|
|
|

Результаты расчета экономической эффективности внедрения электропоезда ЭР9К представлены в табл. 7.5.
Таблица 7.5
Результаты расчета экономической эффективности внедрения электропоезда ЭР9К
|
Наименование затрат |
Электропоезд |
|
|
ЭР9П |
ЭР9К |
|
|
Капитальные вложения, млн. руб |
1595 |
1879 |
|
Эксплуатационные расходы, млн. руб |
7751,82 |
7377,24 |
|
Приведенные затраты, млн. руб |
7991,07 |
7659,09 |
|
Экономический эффект, млн.руб |
331,98 |
Внедрение электропоезда ЭР9К на участке с пассажиропотоком 22,5 млн. человек в год позволяет получить экономический эффект 331,98 млн. рублей в год, за счет экономии электроэнергии и снижения затрат на ремонт электропоездов.
При возрастании пассажиропотока экономический эффект еще более возрастет, за счет возможного поднятия участковой скорости и более быстрого оборота электропоездов. Кроме того разработанный преобразователь позволяет применить рекуперативное торможение, что позволяет увеличить безопасность движения поездов.
- БЕЗОПАСНОСТЬ ЖИЗНЕДЕЯТЕЛЬНОСТИ
Анализ условий труда работников. Негативные факторы производственной среды
Производственная среда это часть техносферы, обладающая повышенной концентрацией негативных факторов. Основными носителями травмирующих и вредных факторов в производственной среде являются машины и другие технические средства, химические и биологически активные предметы труда, источники энергии, нерегламентированные действия работников, нарушения режимов и организации деятельности, а также отклонения от допустимых параметров микроклимата рабочей зоны.
К негативным факторам, возникающим в процессе ремонта необходимо отнести:
- запыленность воздуха в рабочей зоне;
- вибрации (общие и локальные);
- акустические колебания (инфразвук, шум);
- статическое электричество;
- электромагнитные поля и излучения;
- инфракрасная радиация;
- ультрафиолетовая радиация;
- электрический ток;
- движущиеся машины, механизмы, материалы;
- острые кромки;
- загазованность рабочей зоны;
- запыленность рабочей зоны.
В том случае, если в рабочих зонах не будут обеспечиваться комфортные условия труда, источником вредных факторов могут быть повышенная или пониженная температура воздуха рабочей зоны, повышенное или пониженное атмосферное давление, повышенная влажность и скорость движения воздуха, неправильная организация освещения. Вредные воздействия также могут возникнуть при недостатке кислорода в воздухе рабочей зоны.
Рассмотрим вкратце каждый из перечисленных выше негативных факторов.
Вредные вещества
В настоящее время известно около 7 млн. химических веществ и соединений, из которых 60 тыс. находят применение в деятельности человека.
Вредным называется вещество, которое при контакте с организмом человека может вызвать травмы, заболевания или отклонения в состоянии здоровья, обнаруживаемые современными методами.
В процессе ремонта в рабочую среду могут выделяться пары пропиточных лаков, керосина, вредные вещества, выделяемые при пайке и т.д.
Особую значимость имеет гигиеническая регламентация содержания вредных веществ в рабочей зоне (ГОСТ 12.1.005 88). Такая регламентация проводится в три этапа:
обоснование ориентировочного безопасного уровня воздействий;
обоснование предельно допустимых концентраций;
корректирование ПДК с учетом условий труда работающих и состояния здоровья.
Вибрации и акустические колебания
Вибрации это малые механические колебания, возникающие в
упругих телах или телах, находящихся под воздействием переменного физического поля.
Гигиеническое нормирование вибраций регламентирует параметры производственной вибрации и правила работы с виброопасными механизмами и оборудованием (ГОСТ 12.1.012 90).
Акустические колебания.
Физическое понятие об акустических колебаниях охватывает как слышимые так и не слышимые колебания упругих сред. Акустические колебания в диапазоне от 16 Гц до 20 кГц воспринимаемые человеком с нормальным слухом, называют звуковыми; с частотой менее 16 Гц инфразвуковыми; выше 20 кГц ультразвуковыми. Распространяясь в пространстве, звуковые колебания создают акустическое поле.
Нормируемые параметры шума на рабочих местах определены ГОСТ 12.1.003 83 и Санитарными нормами СН 2.2.4/2.1.8.562 96 «Шум на рабочих местах, в помещениях жилых, общественных зданий и на территории жилой застройки.
Ультразвук как упругие волны не отличается от слышимого звука, однако, частота колебательного процесса способствует большему затуханию колебаний вследствие трансформации энергии в теплоту.
Гигиенические нормативы ультразвука определены ГОСТ 12.1.001 89.
Инфразвук область акустических колебаний с частотой ниже 1620 Гц. В условиях производства инфразвук, как правило, сочетается с низкочастотным шумом, в ряде случаев с низкочастотной вибрацией.
Гигиеническая регламентация инфразвука производится по санитарным нормам СН 2.2.4/2.1.8.583 96, которые задают предельно допустимые уровни звукового давления (УЗД) на рабочих местах для различных видов работ.
Электромагнитные поля и излучения
Спектр электромагнитных колебаний по частоте достигает 1021 Гц. В зависимости от энергии фотонов (квантов) его подразделяют на область неионизирующих и ионизирующих излучений. В гигиенической практике к неионизирующим излучениям относят также электрические и магнитные поля.
Нормирование ЭМП промышленной частоты осуществляют по предельно допустимым уровням напряженности электрического и магнитного полей частотой 50 Гц в зависимости от времени пребывания в нем и регламентируются «Санитарными нормами и правилами выполнения работ в условиях воздействия электрических полей промышленной частоты» №5802- 91 и ГОСТ 12.1.002-84.
Электрический ток
При работе с электрооборудованием может возникнуть вероятность поражения электрическим током из-за нарушения техники безопасности, а также из-за возможных неисправностей оборудования. Это в свою очередь может привести к электротравме. Электротравмы условно делят на общие и местные.
При гигиеническом нормировании ГОСТ 12.1.038-82 устанавливают предельно допустимые напряжения прикосновения и токи, протекающие через тело человека (рука рука, рука нога) при нормальном (аварийном) режиме работы электроустановок производственного и бытового назначения постоянного и переменного тока частотой 50 и 400 Гц.
Микроклимат
Методы снижения неблагоприятного влияния производственного микроклимата регламентируются «Санитарными правилами по организации технологических процессов и гигиеническими требованиями к производственномуоборудованию» (СанПиН 2.2.4.548-96).
Осуществляются они комплексом технологических, санитарно-технических, организационных и медико-профилактических мероприятий.
Освещенность
Правильно спроектированное и рационально выполненное освещение производственных помещений оказывает положительное психофизиологическое воздействие на работающих, способствует повышению эффективности и безопасности труда, снижает утомление и травматизм, сохраняет высокую работоспособность.
Нормирование производственного освещения.
Естественное и искусственное освещение в помещениях регламентируется нормами СНиП23-05-95 в зависимости от характера зрительной работы, системы и вида освещения, фона, контраста объекта с фоном.
Искусственное освещение нормируется количественными (минимальной освещенностью) и качественными показателями (показателями ослепленности и дискомфорта, коэффициентом пульсации освещенности). Принято раздельное наименование искусственного освещения в зависимости от применяемых источников света и системы освещения.
Естественное освещение характеризуется тем, что создаваемая освещенность изменяется в зависимости от времени суток, года, метеорологических условий. Поэтому в качестве критерия оценки качества естественного освещения принята относительная величина коэффициент естественной освещенности КЕО, не зависящий от вышеуказанных параметров. КЕО это отношение освещенности в данной точке внутри помещения к одновременному значению наружной горизонтальной освещенности, создаваемой светом полностью открытого небосвода, выраженное в процентах.
Принято раздельное нормирование КЕО для бокового и верхнего естественного освещения.
Промышленная вентиляция и кондиционирование
Эффективным средством обеспечения надлежащей чистоты и допустимых параметров микроклимата воздуха рабочей зоны является промышленная вентиляция. Вентиляция называется организованной и регулируемый воздухообмен, обеспечивающий удаление из помещения загрязненного воздуха и подачу на его место свежего.
По способу перемещения воздуха различают системы естественной и механической вентиляции. Система вентиляции, перемещение воздушных масс в которой осуществляется благодаря возникающей разности давлений снаружи и внутри здания, называется естественной вентиляцией.
Системы механической вентиляции подразделяются на общеобменные, местные, смешанные, аварийные и системы кондиционирования.
Общеобменная вентиляция предназначена для ассимиляции избыточной теплоты, влаги и вредных веществ во всем объеме рабочей зоны помещений. По способу подачи и удаления воздуха различают четыре схемы общеобменной вентиляции: приточная, вытяжная, приточно-вытяжная и система с рециркуляцией.
С помощью местной вентиляции необходимые метеорологические параметры создаются на отдельных рабочих местах.
Смешанная система вентиляции является сочетанием элементов местной и общеобменной вентиляции.
Аварийная вентиляция предусматривается в тех производственных помещениях, в которых возможно внезапное поступление в воздух большого количества вредных или взрывоопасных веществ.
Кондиционированием воздуха называется его автоматическая обработка с целью поддержания в производственных помещениях заранее заданных метеорологических условий независимо от изменения наружных условий и режимов внутри помещения.
Электрический ток и электромагнитные поля
Несчастные случаи, вызванные воздействием на человека электрического тока, составляют на железнодорожном транспорте около 15% всех случаев производственного травматизма.
Электрический ток, проходя через тело человека, может оказывать биологическое, тепловое, механическое и химическое действие на организм. Биологическое действие заключается в способности электрического тока раздражать и возбуждать живые ткани организма. В результате прохождения тока через организм может произойти нарушение его жизнедеятельности. Тепловое воздействие электрического тока может привести к ожогам тела. Механическое воздействие электрического тока приводит к разрыву тканей организма, а химическое к электролизу крови.
Влияние переменного (частотой 50 Гц) и постоянного токов на организм человека показано в табл. 8.1.
Таблица 8.1
Характер воздействия электрического тока на человека
|
Ток, мА |
Переменный ток 50Гц |
Постоянный ток |
|
0,61,5 |
Начало ощущения слабый зуд, пощипывание кожи под электродами. |
Не ощущается |
|
24 |
Ощущение тока распространяется и на запястье руки, слегка сводит руку. |
Не ощущается |
|
57 |
Болевые ощущения, сопровождаясь судорогами, усиливаются во всей кисти руки; слабые боли ощущаются во всей руке, вплоть до предплечья. |
Начало ощущения. Впечатление нагрева кожи под электродом. |
|
810 |
Сильные боли и судороги во всей руке, включая предплечье. Руки трудно, но еще можно оторвать от электродов. |
Усиление ощущения нагрева. |
|
1019 |
Едва переносимые боли во всей руке. Руки невозможно оторвать от электродов. С увеличением продолжительности протекания тока боли усиливаются. |
Еще большее усиление ощущения нагрева, как под электродами, так и в прилегающих областях кожи. |
|
2025 |
Руки парализуются мгновенно, оторваться от электродов невозможно. Сильные боли, дыхание затруднено. |
Еще большее усиление ощущения нагрева кожи. Возникновение ощущения нагрева внутреннего. Незначительные сокращения мышц рук. |
|
2550 |
Очень сильная боль в руках и груди. Дыхание крайне затруднено. При длительном воздействии тока может наступить паралич органов дыхания или ослабление работы сердца с потерей сознания. |
Ощущение сильного нагрева, боли, судороги в руках. При отрыве рук от электродов возникают едва переносимые боли в результате судорожного сокращения мышц |
|
5080 |
Дыхание парализуется через несколько секунд, нарушается работа сердца. При длительном протекании тока может наступить фибрилляция сердца. |
Ощущение очень сильного поверхностного и внутреннего нагрева, сильные боли во всей руке и в области груди. Затруднение дыхания. Руки невозможно оторвать от электродов из-за сильных болей при нарушении контакта. |
|
100 |
Фибрилляция сердца через 23 секунды; еще через несколько секунд паралич органов дыхания. |
Паралич органов дыхания при длительном воздействии электрического тока. |
|
300 |
То же действие за меньшее время. |
Фибрилляция сердца через 23 секунды; еще через несколько секунд паралич органов дыхания. |
|
Более 5000 |
Дыхание парализуется через доли секунды. Фибрилляция сердца, как правило не наступает. Возможна временная остановка сердца в период протекания тока. При длительном протекании тока (несколько секунд) тяжелые ожоги, разрушение тканей. |
Допустимые для человека токи оценивают по трем критериям электробезопасности.
Первый критерий ощутимый ток, определяемый законом распределения пороговых значений ощутимых токов, установленных экспериментально на людях. Значения пороговых экспериментальных токов распределяются по нормальному закону. Для переменного тока частотой 50 Гц параметрами нормального закона являются математическое ожидание и среднеквадратичное отклонение .
Таблица 8.2
Значения токов, вызывающих ответную реакцию организма человека в виде ощущения
|
Вероятность ощущения P, % |
99,9 |
50 |
10 |
5 |
1 |
0,1 |
|
Ток, мА |
1,587 |
1,111 |
0,913 |
0,856 |
0,756 |
0,633 |
В качестве первого критерия электробезопасности принят ток , который не вызывает нарушений деятельности организма. Допускаемая длительность протекания такого тока через человека не более десяти минут в сутки.
Второй критерий отпускающий ток, определяемый законом распределения пороговых значений неотпускающих токов, также установленных экспериментально на людях. Значения пороговых неотпускающих токов, как и ощутимых токов распределяются по нормальному закону. Для переменного тока частотой 50 Гц параметрами нормального закона являются математическое ожидание и среднеквадратичное отклонение .
Таблица 8.3
Значения токов, вызывающих ответную реакцию организма человека в виде неотпускания
|
Вероятность неотпусканияP, % |
99,9 |
50 |
10 |
5 |
1 |
0,1 |
|
Ток, мА |
24,59 |
14,92 |
10,93 |
9,79 |
7,74 |
5,25 |
В качестве второго критерия электробезопасности принят ток , при протекании которого через человека вероятность отпускания . Длительность воздействия такого тока ограничивается защитной реакцией самого человека.
Третий критерий нефибрилляционный ток, определяемый законом распределения пороговых значений фибриляционных токов. Пороговые значения этих токов при заданной длительности воздействия до одной секунды распределяются по логарифмическому нормальному закону. Для переменного тока частотой 50 Гц параметры логарифмически нормального закона распределения в зависимости от длительности воздействия на людей массой не менее 50 кг приведены в табл. 8.4. Средняя расчетная величина пороговых значений фибриляционных токов может быть выражена формулой:
|
|
|
где эмперический коэффициент, зависящий от рода тока, продолжительности его воздействия, моделирующего животного (табл. 8.5).
масса организма, кг.
Таблица 8.4
Параметры законов распределения пороговых значений фибрилляционных токов (50 Гц)
|
Параметры |
Десятичные логарифмы, взятые от значений тока, мА при продолжительности воздействия t, с |
||||||||||
|
0,1 и менее |
0,2 |
0,3 |
0,4 |
0,5 |
0,6 |
0,7 |
0,8 |
0,9 |
1,0 |
2,0 и более |
|
|
Матема-тическое ожидание логарифмов тока |
3,502 |
2,981 |
2,74 |
2,598 |
2,503 |
2,437 |
2,383 |
2,351 |
2,322 |
2,3 |
2,235 |
|
Средне квадратич-ное отклонение логарифмов тока |
0,12 |
0,12 |
0,12 |
0,12 |
0,12 |
0,12 |
0,12 |
0,12 |
0,12 |
0,12 |
0,12 |
Таблица 8.5
Значения коэффициента «»
|
Время воздей-ствияt, с |
Род тока |
|||
|
Постоянный |
Выпрямленный |
Переменный 50 Гц |
||
|
Двух-полупериодный |
Одно-полупериодный |
|||
|
0,1 и менее |
255,7 |
285,7 |
340,0 |
466,3 |
|
0,2 |
173,4 |
171,6 |
166,7 |
140,5 |
|
0,3 |
144,1 |
134,9 |
119,5 |
80,7 |
|
0,4 |
128,8 |
116,8 |
97,9 |
58,1 |
|
0,5 |
119,3 |
105,9 |
85,8 |
46,7 |
|
0,6 |
112,9 |
98,8 |
78,0 |
40,1 |
|
0,7 |
108,3 |
93,7 |
72,7 |
35,8 |
|
0,8 |
104,8 |
90,0 |
68,9 |
32,9 |
|
0,9 |
102,1 |
87,2 |
66,1 |
30,8 |
|
1,0 |
100,0 |
85,0 |
64,0 |
29,3 |
|
2,0 и более |
91,8 |
77,3 |
57,2 |
25,2 |
Согласно ГОСТ 12.1.038 82 «ССБТ. Электробезопасность. Предельно допустимые уровни напряжений прикосновения и токов» напряжения прикосновения и токи, протекающие через тело человека при нормальном (неаварийном) режиме электроустановки, не должны превышать значений указанных в табл. 8.6.
Таблица 8.6
Допустимые неощутимые напряжения прикосновения и токи (не более)
|
Род тока |
U, В |
I, мА |
|
Переменный с частотой 50 Гц |
2,0 |
0,3 |
|
Переменный с частотой 400 Гц |
3,0 |
0,4 |
|
Постоянный |
8,0 |
1,0 |
Предельно допустимые уровни напряжений прикосновений и токов при аварийном режиме производственных электроустановок напряжением до 1000 В с глухозаземленной или изолированной нейтралью и выше 1000 В с изолированной нейтралью не должны превышать значений, указанных в табл. 8.7.
Таблица 8.7
Допустимые уровни напряжений прикосновения U, В (числитель), и токов I, мА (знаменатель), в производственных установках
|
Род тока |
Продолжительность воздействия тока t, с |
|||||||||||
|
0,01-0,08 |
0,1 |
0,2 |
0,3 |
0,4 |
0,5 |
0,6 |
0,7 |
0,8 |
0,9 |
1,0 |
Свыше 1,0 |
|
|
Переменный с частотой 50 Гц |
|
|
|
|
|
|
|
|
|
|
|
|
|
Переменный с частотой 400 Гц |
|
|
|
|
|
|
|
|
|
|
|
|
|
Постоянный |
|
|
|
|
|
|
|
|
|
|
|
|
|
Выпрямлен-ный двух-полупериод-ный |
|
|
|
|
|
|
|
|
|
|
|
- |
|
Выпрямлен-ный одно-полупериод-ный |
|
|
|
|
|
|
|
|
|
|
|
- |
Предельно допустимые уровни напряжений прикосновения при аварийном режиме производственных электроустановок с частотой тока 50 Гц, напряжением выше 1000 В с глухим заземлением нейтрали приведены в табл. 8.8.
Таблица 8.8
Допустимые напряжения прикосновения
|
Продолжительность воздействия t, с |
Предельно допустимый уровень напряжения прикосновения |
|
До 0,1 |
500 |
|
0,2 |
400 |
|
0,5 |
200 |
|
0,7 |
130 |
|
1,0 |
100 |
|
Свыше 1,0 до 5,0 |
65 |
Предельно допустимые уровни напряжений прикосновения и токов при аварийном режиме бытовых электроустановок напряжением до 1000 В и частотой 50 Гц приведены в табл. 8.9.
Таблица 8.9
Допустимые токи и напряжения прикосновения в бытовых электроустановках
|
Продолжительность воздействия t, с |
Нормируемая величина |
Продолжительность воздействия t, с |
Нормируемая величина |
||
|
U, В |
I, мА |
U, В |
I, мА |
||
|
От 0,01 до 0,08 |
220 |
220 |
0,6 |
40 |
40 |
|
0,1 |
200 |
200 |
0,7 |
35 |
35 |
|
0,2 |
100 |
100 |
0,8 |
30 |
30 |
|
0,3 |
70 |
70 |
0,9 |
27 |
27 |
|
0,4 |
55 |
55 |
1,0 |
25 |
25 |
|
0,5 |
50 |
50 |
Свыше 1,0 |
12 |
2 |
Для контроля предельно допустимых уровней напряжений прикосновения и токов измеряют напряжения и токи в местах, где может произойти замыкание электрической цепи через тело человека. Класс точности измерительных приборов не ниже 2,5.
При измерении напряжений прикосновения и токов, сопротивление тела человека в электрической цепи при частоте 50 Гц должно моделироваться резистором сопротивлением:
- для табл. 8.6. 6,7 кОм;
- для табл. 8.7. и табл. 8.9. при воздействии до 1 с 1 кОм;
- для табл. 8.8. 1 кОм.
Отклонения от указанных значений допускаются в пределах ±10%.
Сопротивление растеканию тока с ног человека моделируют с помощью квадратной металлической пластины размером 2525 см, которую располагают на поверхности земли (пола) в местах возможного нахождения человека. Металлическую пластину нагружают массой не менее 50 кг.
При указанных измерениях в электроустановках устанавливают режимы и условия, создающие наибольшие значения напряжений прикосновения и токов, воздействующих на организм человека.
Электромагнитные поля (ЭМП)
ЭМП воздушных линий электропередачи высокого (ВЛВН) и сверхвысокого (ВЛСВН) напряжений в той или иной мере влияют на здоровье обслуживающего их персонала. При систематическом пребывании человека в зоне высокой напряженности электрического поля у него через несколько месяцев появляются нарушения функционального состояния центральной нервной и сердечнососудистой систем, изменения в крови, наблюдается повышенная утомляемость, изменение кровяного давления и пульса, появляются боли в области сердца и т.п.
Согласно ГОСТ 12.1.002-84 «ССБТ. Электрические поля промышленной частоты. Допустимые уровни напряженности и требования к проведению контроля на их рабочих местах» для охраны здоровья людей, обслуживающих воздушные линии электропередач напряжением 400 кВ, установлены нормы пребывания человека в электрическом поле.
Таблица 8.10
Нормы пребывания человека в электрическом поле
|
Напряженность электрического поля, кВ/м |
Менее 5 |
От 5 до 10 |
От 10 до 15 |
От 15 до 20 |
От 20 до 25 |
|
Допустимое время пребывания человека в электрическом поле в течение суток, мин. не более |
Не ограничено |
180 |
90 |
10 |
5 |
Указанные нормы распространяются на персонал, который по условиям работы систематически находится в зонах воздействия электрического поля. При этом имеется в виду, что все остальное время суток человек находится в местах, где напряженность электрического поля равна или менее 5 кВ/м, и исключена возможность воздействия на организм человека электрических разрядов с металлических частей. Для измерения напряженности электрического и магнитного полей используют прибор ИЭМП-2. Плотность потока излучения измеряют различного рода радиотестерами и тиристорными измерителями малой мощности 45И, ВИМ и др.
ГОСТ 12.1.006 84 «ССБТ. Электромагнитные поля радиочастот. Допустимые уровни на рабочих местах и требования к проведению контроля» распространяется на электромагнитные поля в диапазоне частот 60 кГц 300 ГГц и устанавливает предельно допустимые значения напряженности и плотности потока энергии ЭМП на рабочем месте персонала, обслуживающего установки, излучающие энергию ЭМП, и подвергающегося в производственных условиях воздействию этого поля.
Электромагнитное поле в диапазоне частот 60 кГц 300 МГц оценивают по напряженности его составляющих в диапазоне частот 300МГц 300 ГГц плотность потока энергии.
Напряженность электромагнитного поля в диапазоне частот 60 кГц 30 МГц на рабочих местах и местах возможного нахождения персонала, связанного профессионально с воздействием этих полей, не должна превышать следующих предельно допустимых значений:
По электрической составляющей, В/м:
- 50 для частот от 60 кГц до 3 МГц;
- 20 для частот от 3 кГц до 30 МГц;
- 10 для частот от 30 кГц до 50 МГц;
- 5 для частот от 50 кГц до 300 МГц.
По магнитной составляющей, А/м:
- 5 для частот от 60 кГц до 1,5 МГц;
- 0,3 для частот от 30 кГц до 50 МГц.
Предельно допустимую плотность потока энергии (ППЭ) электромагнитных полей в диапазоне частот 300 МГц 300 ГГц на рабочих местах и в местах возможного нахождения персонала, связанного с воздействием этих полей, устанавливают исходя из допустимого значения энергетической нагрузки на организм и времени пребывания в зоне обслуживания. Однако во всех случаях она не должна превышать 10 Вт/м2 (1000 мкВт/см2), а при наличии рентгеновского излучения или высокой температуры воздуха в рабочих помещениях (выше ) 1Вт/м2 (100 мкВт/см2).
Контроль за соблюдением предельно допустимых значений ЭМП осуществляют измерением напряженности электрической и магнитной составляющих ЭМП и плотности потока энергии на рабочих местах и в зонах возможного нахождения персонала, подвергающегося в условиях производства воздействию этого поля, по методикам, утвержденным Минздравом.
Измерения проводят периодически не реже одного раза в год в порядке текущего санитарно-гигиенического контроля.
Электробезопасность при обслуживании электропоездов
На железнодорожном транспорте электротравмы составляют 15 17 % от общего числа несчастных случаев. Весьма существенная часть электротравм связана с эксплуатацией магистрального электроподвижного состава.
Установить общие закономерности и определить важнейшие пути предупреждения электротравматизма на электропоездах позволяет статистика несчастных случаев. По результатам обработки статистических данных за последние 15 лет в таблице представлена топография электротравматизма на электропоездах. С целью отражения специфики поражения электрическим током в табл. 8.11 отдельно представлен травматизм в депо и в пути следования.
Данные электротравматизма на электропоездах позволяют получить следующие выводы:
- большинство (около 65 %) несчастных случаев происходит у подвижного оборудования;
- электротравиатизм при ремонте, осмотре и экипировке электропоездов в депо составляет превалирующую часть (около 74 %);
- только 1/4 несчастных случаев приходится на локомотивные бригады в поездных условиях.
Таблица 8.11
Топография электротравматизма на электропоездах
|
Место нахождения пострадавшего на электропоезде |
Количество пострадавших, % |
||
|
В депо: ремонт, осмотр, экипировка |
В пути следования |
Всего |
|
|
На крыше |
21,8 |
4,3 |
26,1 |
|
Около шкафов кузова с оборудованием |
4,2 |
4,5 |
8,7 |
|
Около ящиков с подвагонным оборудованием |
47,8 |
17,4 |
65,2 |
|
Итого |
73,8 |
26,2 |
100 |
Такое распределение электротравматизма при обслуживании электропоездов можно объяснить конструктивными особенностями.
Во-первых, высоковольтное оборудование размещено по всей длине электропоезда и отсутствуют блокирующие устройства ящиков подвагонного оборудования.
Во-вторых, в случае отказа оборудования какой-нибудь секции в пути следования локомотивная бригада, как правило, исключает из работы электропоезда эту неисправную секцию, а поиск неисправности производят в депо.
Электропоезд рассчитан на рабочее напряжение 25000 В однофазного переменного тока частотой 50 Гц.
Очевидно, что прикосновение к токоведущим частям, находящимся под таким напряжением, вызывает токи, проходящие через тело человека, безусловно, опасные для жизни.
Для питания вспомогательного оборудования электроподвижного состава применяются напряжения 220 В и 380 В переменного тока. Такие напряжения также могут привести к несчастным случаям с летальным исходом и считаются опасными.
Для цепей управления электроподвижным составом используются напряжения 110 В постоянного тока. Эффект поражения от прикосновения к токоведущим частям определяется условием болевой переносимости.
Электрические железные дороги являются электрическими системами, у которых обратный ток возвращается частично по рельсам и частично по земле. На перегоне между двумя тяговыми подстанциями ток в рельсах будет максимальным в местах соприкосновения колес ЭПС с рельсами и около тяговых подстанций, минимальным между ЭПС и тяговой подстанцией.
Для тока, уходящего от рельсов в землю, а следовательно и величина потенциалов в зоне растекания, будут зависеть от ряда факторов, среди которых следует отметить:
величину продольного сопротивления рельсовой цепи;
величину переходного сопротивления между рельсами и землей;
расстояние между тяговой подстанцией и ЭПС, потребляющего ток.
Электробезопасность при касании корпуса электроподвижного состава будет обеспечена, если соблюдается неравенство:

где допустимое нижнее пороговое значение тока фибрилляции. Для длительности воздействия 0,1 с оно может быть принято равным 500 мА;
удельное сопротивление грунта под ногами человека. В работе [2] показано, что ;
коэффициент прикосновения к подвижному составу;
падение напряжения между корпусом ЭПС и землей;
сопротивление тела человека;
сопротивление обуви;
Определим ток, проходящий через тело человека:

Следовательно, возможный ток, проходящий через тело человека при касании корпуса ЭПС более, чем в два раза превышает допустимый.
Применение в выпрямительной установке фильтро-компенсирующего устройства емкостного типа предполагает появление опасности поражения остаточными зарядами.
При касании токоведущих частей заряженного конденсатора ток, проходящий через человека, будет определяться выражением:
|
|
|
По данным расчета ФКУ на электропоезде применяются конденсаторы емкостью с максимальным напряжением до 2000 В.
Длительность воздействия тока будет равна времени разряда батареи конденсаторов.

Ток в момент касания составит:

Определим ток разряда конденсатора через тело человека спустя время :

Действие токов такой величины и продолжительности, вне сомнения, вызовет летальный исход.
В связи с этим для ящика подвагонного оборудования, в котором находится ФКУ необходимо предусмотреть электрическую блокировку в цепи управления, а также принудительное заземление силовой схемы ФКУ.
На рис. 8.1 и рис. 8.2 представлены схема блокирующих устройств электробезопасности электропоезда ЭР9 и принудительного заземления схемы ФКУ при открытии ящика подвагонного оборудования.
Рассмотрим работу схемы блокирующих устройств электробезопасности:
При открытии дверей высоковольтного шкафа катушка реле опускания токоприемника РОП, получавшая питание от провода 56 через резисторы R25, R16 и блокировку дверей высоковольтного шкафа В7 потеряет свое питание и своим контактом 15 15ВП подает питание на катушку клапана опускания токоприемника КЛП-0. То же самое произойдет при открывании лестницы на крышу или крышек ящиков. Так как через блокировки соответственно В9 и БК1 БК6 провод 26 будет соединен с проводом 30 и катушка РОП окажется шунтированной через диод Д2.
При открытии ящика с ФКУ и выпрямителем срабатывает блокировка БК6, а контур разряда конденсаторов достигается установкой электромагнитного контактора. Удерживающая катушка контактора заводится в цепь управления параллельно КЛП-0.
Несмотря на простоту осуществления системы блокирующих устройств электробезопасности с использованием электрических блокировок, они обладают существенными недостатками. Прежде всего, на работу токоприемников оказывает влияние большое число электрических блокировок, что часто приводит к решению деблокировать всю систему безопасности.
Но все же это самый простой и надежный способ предотвратить попадание обслуживающего персонала под напряжение. Также электрическая блокировка обладает высокой надежностью срабатывания и ремонтопригодности. Электрические блокировки взаимозаменяемые и могут устанавливаться в различных частях электроподвижного состава и выполнять различные функции. Неисправную блокировку можно легко обнаружить визуально или с помощью электрического тестирования цепи (методом среднего или последовательного исключения).
ЗАКЛЮЧЕНИЕ
Анализируя характеристики управляемых выпрямителей установлено, что они должны удовлетворять следующим требованиям:
- обеспечивать наименьший угол сдвига основной гармоники первичного тока относительно напряжения, для снижения потребляемой реактивной мощности, а значит и полного тока;
- низкое содержание в первичном токе высших гармоник малых порядков во избежание мешающего влияния на рельсовые цепи устройств сигнализации и блокировки;
- низкое содержание в первичном токе высших гармоник высоких порядков во избежание мешающего влияния на линии связи.
Существующие выпрямительные установки электропоезда способствуют появлению значительных реактивных нагрузок и высших гармоник в потребляемом токе из контактной сети, а значит и в системе энергоснабжения. Все это приводит к снижению коэффициента мощности, как электропоезда, так и всей системы электрической тяги переменного тока.
Для повышения коэффициента мощности в дипломном проекте рассматривается возможность установки на электропоезде фильтро-компенсирующего устройства. Которое представляет собой конденсаторную батарею, параллельно подключенную ко вторичной обмотке трансформатора. Она является источником реактивной энергии, позволяющей снизить загрузку этой энергией системы энергоснабжения.
Следует отметить, что возможно конденсаторы включать не только в электропоезде, но и на шинах тяговой подстанции, к различным точкам тяговой сети как параллельно, так и последовательно. Однако, при этом не учитывается возможность наличия на участке энергосбережения различного числа электропоездов, работающих в различных режимах.
Предлагается использовать параллельную компенсацию на выпрямительной установке, имеющей две зоны регулирования, так как большее количество зон незначительно увеличивает среднеэксплуатационный коэффициент мощности, но приводит к снижению надежности выпрямительной установки, увеличению ее стоимости и повышению трудоемкости обслуживания.
Конденсаторную батарею следует сделать регулируемой, так как реактивная мощность, потребляемая выпрямителем, меняется от зоны к зоне.
Расчетом определена для электропоезда ЭР9К необходимая емкость конденсаторной батареи, которая составила на первой зоне 460 мкФ, а на второй зоне в два раза больше. Такое решение позволяет использовать две одинаковые батареи конденсаторов, что приводит к унификации узлов этого устройства.
Был произведен пересчет скоростных характеристик тягового двигателя и установлено, что при установке ФКУ в области пусковых токов характеристики лежат на 5-6 км/ч выше, чем характеристики базового электропоезда. В целом несколько увеличилась жесткость скоростных характеристик , что, как известно, позволяет реализовать повышенный коэффициент сцепления, говоря о его среднеэксплуатационном значении.
При построении кривых тока, скорости и времени хода по участку были получены следующие данные: при оборудовании электропоезда фильтроко-мпенсирующим устройством расход электроэнергии снизился на 5-6 %, время хода по участку на 1,3 % меньше, чем для базового. При этом скорость движения на расчетном подъеме оказалась на 4-5 км/ч выше, что говорит о возможности повышения количества вагонов, а значит и провозной способности железных дорог.
В экономическом разделе рассмотрена экономическая эффективность модернизации выпрямительной инверторной установки и для пассажиропотока 22,5 млн. чел. в год получен годовой экономический эффект 331,98 млн. руб. в год.
СПИСОК ИСПОЛЬЗУЕМЫХ ИСТОЧНИКОВ
Авдеев М.М. Электропоезда переменного тока / М.: Транспорт 1985 368 с.
Князевский Б.А. Охрана труда в электроустановках / М.: Энергоатомиздат 1983 336 с.
Электропоезд ЭР9П. Руководство по эксплуатации / М.: Транспорт 1969 328 с.
Розенфельд В.Е., Исаев И.П., Сидоров Н.Н. Теория электрической тяги / М.: Транспорт 1980 271 с.
Иньков Ю.М., АнтюхинВ.М., ЛитовченкоВ.В. и др. Расчет и проектирование статических преобразователей подвижного состава под ред. ИньковаЮ.М. / М.: МИИТ 1985 196 с.
Михеев А.Н.Методические указания по гражданской обороне в дипломных проектах / М.: МИИТ 1989 48 с.
Волков В.Н. Гражданская оборона на железнодорожном транспорте / М.: Воениздат 1987 260 с.
Тихменев Б.Н., Трахтман Л.М. Подвижной состав электрических железных дорог. Теория работы электрооборудования / М.: Транспорт 1980 471 с.
Осипов С.И. Основы электрической и тепловозной тяги / М.: Транспорт 1985 408 с.
Подвижной состав и основы тяги поездов. Колл.авторов под ред. Осипова С.И. / М.: Транспорт 1990 336 с.
Правила тяговых расчетов для поездной работы / М.: Транспорт 1985 287 с.
Гриньков Б.Н. Тиристорное управление на ЭПС переменного тока за рубежом «Железные дороги мира», 1979, №3 с. 3 30, №4 с. 18 30.
Романов Н.А., Захарченко Д.Д., Плакс А.В. и др. Проектирование систем управления ЭПС под ред. Романова Н.А. / М.: Транспорт
1984 184 с.
Горбань В.Н., Донской А.Л., Шабалин Н.Г. Электронное оборудование электровозов и электропоездов / М.: Транспорт 1984 184 с.
Антюхин В.М., Назаров О.С. Отчет по научно-исследовательской работе «Исследование и разработка тягового электропривода ЭПС». / М.: МИИТ, 1980.
Атабеков Г.И. Теоретические основы электротехники. Ч I. Линейные электрические цепи / М.: Энергия 1970 592 с.
Калинин В.К. Электровозы и электропоезда / М.: Высшая школа 1974 430 с.
Чиженко И.М., Руденко В.С., Сенько В.И. Основы преобразовательной техники / М.: Высшая школа 1974 430 с.
Иньков Ю.М., Ротанов М.А., Феоктистов В.П. и др. Преобразовательные полупроводниковые устройства подвижного состава под ред. Инькова Ю.М. / М.: Транспорт 1982 263 с.
Методические указания по экономическому обоснованию технических решений в дипломных проектах / М.: МИИТ 1992.
Филипченко М.П. Электробезопасность при эксплуатации электроподвижного состава. Методические указания по дисциплине «Охрана труда» / М.: МИИТ 1987.
Выпуск ЦНИИТ ЭП, серия «Локомотивы и локомотивное хозяйство». Реферативный сборник №1 (122) 1991г.
Салатов К.Х., Царев Р.М., Шишков А.Д. Экономика заводов по ремонту подвижного состава / М.: Транспорт 1989 368 с.
Дмитриев В.А., Шишков А.Д., Хланков М.В. и др. Экономика предприятий по ремонту подвижного состава и устройств электроснабжения под ред. Дмитриева В.А. / М.: Транспорт
1983 343 с.
ПЕРЕЧЕНЬ ЧЕРТЕЖЕЙ
1. Титульный лист презентации.
2. Варианты модернизации электропоезда ЭР9 (25 кВ, 50 Гц).
3. Выпрямитель (двухзонное регулирование).
4. Выравнивание и ограничение на тиристорах выпрямительной
установки электропоезда ЭР9.
5. Характеристики мощности для двухзонного выпрямителя.
6. Фильтро-компенсирующее устройство.
7. Пульсации выходного напряжения.
8. Экономический эффект.
9. Топография травматизма на электропоездах.
10. Схема блокирующих устройств электробезопасности.
Переход к системам с плавным регулированием напряжения
























































































































































































































































































































