Заключение о стоимости восстановительного ремонта АМТС Nissan Primera
PAGE 2
Содержание
Введение…………………………………………………………………..3
1. Общая часть
- Теоретические основы определения стоимости восстановительного ремонта ТС…………………………………………………………… 5
- Правовое обеспечение независимой технической экспертизы транспортных средств ……………………………..…………….5
- Единая методика определения размера восстановительных расходов в отношении поврежденного транспортного средства .6
1.3 Определение затрат на ремонт поврежденного вследствие ДТП автотранспортного средства…………………………………………8
1.4 Экономическая целесообразность ремонта…………………….13
1.5 Особенности расчета восстановительных расходов при определении размеров страховой выплаты в рамках ОСАГО…….13
1.6 Установление размеров расходов на материалы и запчасти при восстановительном ремонте ТС……………………………………..14
1.7 Установление размеров расходов на материалы при восстановительном ремонте ТС……………………………………..15
1.8 Установление размеров расходов на запчасти при восстановительном ремонте ТС……………………………………..17
1.9 Расчет износа комплектующих изделий………………………...20
2. Специальная часть
2. Заключение о стоимости восстановительного ремонта АМТС Nissan Primera……….………………………………………………...……….23
2.1 Идентификация объекта экспертизы….......................................26
2.2 Обстоятельства дела……………………………………………..26
2.3 Установление наличия, характера и причин технических повреждений ТС……………………………………………………...27
2.4 Установление методов, технологии и объема ремонта ТС и учетом наличия и характера его технических повреждений……………….30
2.5 Определение рыночной стоимости проведения работ по устранению повреждений ТС………………………………………...30
2.6 Определение рыночной стоимости в новом состоянии всех элементов ТС подлежащих замене………………………………..…30
Заключение………………………………………………………………...32
Список литературы………………………………………………………..33
Приложение
Введение
За последние несколько лет города стремительно развиваются, постепенно улучшается экономическое состояние страны и каждой семьи в частности. В следствие это наблюдается значительный прирост количества транспортных средств, как на душу населения, так и в общих показателях в целом. Зачастую избежать аварий не удается даже самым опытным водителям, большой процент ДТП происходит по вине других автолюбителей или из-за дорожных условий. Специалисты отмечают рост аварийности по всем показателям. Поэтому грамотное установление методов, технологии, объема и стоимости ремонта транспортного средства с учетом наличия и характера его технических повреждений является весьма актуальной проблемой.
Инженерно-транспортная экспертиза представляет собой комплекс научно-технических исследований всех этапов установления причин и последствий повреждающих действий, произведённых в отношении транспортных средств, а также выявления наличия или отсутствия в транспортном средстве дефектов производителя.
Предметом автотехнической экспертизы являются фактические данные о техническом состоянии транспортного средства, дорожной обстановке на месте происшествия, действиях и возможностях участников ДТП, механизме ДТП, об обстоятельствах, способствовавших совершению происшествия, которые устанавливает эксперт-автотехник на основе своих специальных познаний и материалов дела.
Объектами автотехнической экспертизы являются ТС, их узлы, механизмы, системы и детали, следы, оставшиеся на указанных выше объектах, водитель, материалы дела, не требующие правовой оценки.
К разряду инженерно-транспортных экспертиз относятся экспертиза технического состояния транспортных средств (технико-диагностическая), автотранспортная экспертиза, заключающаяся в установлении картины дорожно-транспортного происшествия (ДТП) по его следам, экспертиза состояния дороги и дорожных условий.
Целью независимой технической экспертизы транспортного средства при ОСАГО является установление следующих обстоятельств, влияющих на выплату страхового возмещения по договору обязательного страхования гражданской ответственности владельцев транспортных средств:
а) наличие и характер технических повреждений транспортного средства;
б) причины возникновения технических повреждений транспортного средства;
в) технология, методы, объем и стоимость ремонта транспортного средства.
Независимая техническая экспертиза включает в себя следующие этапы:
- идентификация транспортного средства как объекта экспертизы и проверка результатов идентификации на соответствие данным регистрационных и иных документов;
- установление наличия и характера технических повреждений транспортного средства;
- установление причин возникновения технических повреждений транспортного средства;
- установление номенклатуры повреждений, обусловленных страховым случаем;
- определение технологии, методов и объема (трудоемкости) ремонта (устранения) повреждений транспортного средства потерпевшего, обусловленных страховым случаем;
- определение стоимости ремонта (устранения) повреждений транспортного средства потерпевшего, обусловленных страховым случаем.
1. Общая часть
1. теоретические основы определения стоимости восстановительного ремонта ТС
1.1 Правовое обеспечение независимой технической экспертизы транспортных средств
Основными задачами системы правового обеспечения независимой технической экспертизы являются регулирование деятельности по проведению независимой технической экспертизы с целью повышение ее качества, уровня доказательности, объективности, воспроизводимости и точности результатов, создание необходимых условий для формирования рынка услуг по проведению независимой технической экспертизы, обеспечивающего возможность полной реализации Федерального закона «Об обязательном страховании гражданской ответственности владельцев транспортных средств» на всей территории Российской Федерации, создание эффективных механизмов по разрешению разногласий между страховщиками, страхователями и потерпевшими, обеспечивающих снижение социальной напряженности при обязательном страховании гражданской ответственности владельцев транспортных средств, стандартизация и унификация процедур независимой технической экспертизы с целью сокращения экономических и социальных потерь при обязательном страховании гражданской ответственности владельцев транспортных средств. Федеральным законом определено, что государственное регулирование независимой технической экспертизы должно осуществляться в соответствии со следующими нормативными правовыми документами, утверждаемыми Правительством Российской Федерации или в установленном им порядке:
- правила проведения независимой технической экспертизы транспортного средства;
- требования к экспертам-техникам, в том числе к условиям и порядку их профессиональной аттестации и ведения государственного реестра экспертов-техников.
1.2 Единая методика определения размера восстановительных расходов в отношении поврежденного транспортного средства
Настоящая методика устанавливает единые подходы и методы к определению размера восстановительных расходов и связанных с ним операций и действий в отношении поврежденного транспортного средства (далее ТС) для принятия решения о величине страховой выплаты в рамках договора обязательного страхования гражданской ответственности владельцев транспортных средств.
Основной задачей методики является обеспечение полноты, точности, доказательности, воспроизводимости исследования и сходимости результатов экспертиз, проводимых разными специалистами и экспертами в отношении одного объекта за счет применения единой методической основы.
Методика является обязательной для применения страховщиками, если они самостоятельно проводят осмотр, определяют восстановительные расходы и выплачивают страховое возмещение в соответствии с ФЗ-040 «Об обязательном страховании гражданской ответственности владельцев транспортных средств» (далее ОСАГО), экспертами-техниками при проведении независимой технической экспертизы ТС, судебными экспертами при проведении экспертизы по спорам, связанным с ОСАГО. Методика может использоваться при разработке профессиональных стандартов, образовательных программ и в образовательном процессе.
Восстановительные расходы определяются: а) на дату дорожно-транспортного происшествия (далее ДТП); б) с учетом условий и географических границ товарных рынков материалов и запасных частей, соответствующих месту ДТП.
Восстановительные расходы определяются в отношении повреждений ТС, причиной которых является ДТП. Перечень указанных повреждений определяется при первичном осмотре поврежденного ТС 2 специалистом страховщика или экспертом-техником. Этот перечень может уточняться (дополняться) при проведении дополнительных осмотров либо повторной, в том числе судебной, экспертизы.
Размер восстановительных расходов определяется с учетом износа комплектующих изделий (деталей, узлов и агрегатов), подлежащих замене при восстановительном ремонте ТС. Износ является показателем, характеризующим относительную потерю стоимости комплектующих изделий (деталей, узлов и агрегатов) ТС, их функциональных характеристик и ресурса в процессе эксплуатации.
Определение восстановительных расходов производится с учетом требований законодательства Российской Федерации, нормативно- технических показателей, установленных производителем ТС, электронных баз данных ценовой информации в отношении комплектующих изделий (деталей, узлов и агрегатов), материалов и работ (стоимости нормо-часа) и программно-расчетных комплексов, содержащих указанные выше нормативные данные и базы, либо с использованием аналогичных нормативных данных на бумажных носителях. При указании в методике нескольких возможных подходов или источников информации они перечисляются в порядке приоритета использования. Электронные базы данных ценовой информации и справочники на бумажных носителях составляются и актуализируются в соответствии с Методикой формирования справочников средней стоимости запасных частей, материалов, нормо-часа работ при восстановительном ремонте транспортных средств. Период актуализации баз данных не может превышать полугодия. [1]
1.3 Определение затрат на ремонт
повреждённого в следствии ДТП автотранспортного средства
Здесь и далее под ремонтом понимается исправление повреждений, неисправностей, дефектов после ДТП
Стоимость ремонта (включая страховые случаи по ОСАГО) - стоимость услуги по устранению дефектов, повреждений АМТС. Стоимость ремонта относится к реальному ущербу, который согласно пункту 2 ст. 15 ГК РФ представляет собой расходы, которые лицо произвело либо должно будет произвести для восстановления АМТС в размере нарушенного права. В стоимость ремонта включают следующие расходы (затраты):
- расходы на материалы и запасные части необходимые для ремонта;
- расходы на оплату работ по ремонту, включающие стоимость трудовых затрат и накладных расходов, непосредственно связанных с ремонтом (суммарная стоимость нормо-часов).
Расходы на ремонт рассчитываются по рыночным ценам, сложившимся в регионе.
1.3.1. Требования к объему и качеству ремонта
К качеству технического обслуживания и ремонта АМТС, согласно ст. 18 закона «О безопасности дорожного движения», предъявляются следующие требования: транспортные средства, прошедшие техническое обслуживание и ремонт, должны отвечать требованиям, регламентирующим техническое состояние и оборудование транспортных средств, участвующих в дорожном движении, в части, относящейся к обеспечению безопасности дорожного движения, что подтверждается соответствующим документом, выдаваемым исполнителем названных работ и услуг.
1.3.2. Определение норм, правил, процедур, технологии, объема ремонта.
Согласно п.2 ст.18 закона «О безопасности дорожного движения» (№196-ФЗ, 10.12.95г.):
«Нормы, правила и процедуры технического обслуживания и ремонта транспортных средств устанавливаются заводами-изготовителями транспортных средств с учетом условий их эксплуатации».
Если заводом-изготовителем не установлен норматив на какую-либо операцию технического обслуживания и ремонта, то оценщик вправе сам установить её по аналогии.
Согласно п.3 ст.18 закона «О безопасности дорожного движения» :
«Юридические лица и индивидуальные предприниматели, выполняющие работу и предоставляющие услуги по техническому обслуживанию и ремонту транспортных средств обязаны ... обеспечивать их проведение в соответствии с установленными нормами и правилами». Способ, вид, технология, трудоемкость (норма времени на выполнение работы, услуги), объем ремонтных работ определяются в зависимости от характера и степени повреждения АМТС его отдельных узлов, агрегатов и деталей с учетом необходимости проведения сопутствующих работ по разборке, дефектовке, сборке, регулировке, подгонке, окраске, антикоррозийной обработке и т.д., в соответствии с технологией ремонта, установленной предприятием-изготовителем автомототранспортного средства и общими принципами и методами ремонта.
При определении объема окрасочных работ специалист должен исходить из необходимости полной (а не частичной) окраски всех замененных и подвергшихся сварке, рихтовке, правке, окрашиваемых деталей до видимой линии их раздела с сопряженной деталью, а также сопряженных деталей, если их окрашенная поверхность повреждается в результате соединения сваркой. Частичная окраска возможна только по рекомендации завода-изготовителя.
Специалист принимает решение о замене агрегата, узла, детали только при экономической нецелесообразности (см. п. 1.4 Экономическая целесообразность ремонта АМТС) или технической невозможности их восстановления, руководствуясь требованиями нормативных документов, действующих в Российской Федерации и технической документацией предприятий-изготовителей АМТС, регламентирующих нормативы технического состояния и безопасности эксплуатации.
Замена кузова, кабины АМТС, дорогостоящих комплектующих изделий (двигателя, коробки передач, раздаточной коробки, коробки отбора мощности, ведущих мостов, межосевых дифференциалов, колесных редукторов, рулевого механизма, гидроусилителя руля, топливного насоса высокого давления, а для специального и специализированного транспорта -агрегатов и механизмов, размещенных на шасси базового АМТС и т.п.) назначается в том случае, если их ремонт экономически нецелесообразен или они не соответствуют требованиям приемки в ремонт кузовов, кабин, дорогостоящих комплектующих изделий.
Решению о замене дорогостоящих комплектующих изделий, как правило, должна предшествовать их дефектовка с разборкой.
1.3.3. Определение расходов на ремонт.
При оценке стоимости ремонта АМТС, согласно РД-37.009.015-98 используются затратный и сравнительный подходы. Доходный подход не используется, т.к. при ремонте не подразумевается получение доходов ни одной из заинтересованных сторон.
Затратный подход используется для составления калькуляции (сметы) на ремонтные работы.
Сравнительный подход применяется при определении рыночной стоимости материалов, комплектующих изделий, трудовых затрат, и стоимости других ресурсов необходимых для ремонта АМТС.
Величина затрат на ремонт (устранение повреждений и дефектов) АМТС определяется по формуле:
Срем=Сраб+См+Сзч , руб. (1)
где:
Срем. величина затрат на ремонт, руб.;
Сраб- стоимость трудовых затрат и накладных расходов, непосредственно связанных с ремонтом (суммарная стоимость нормо-часов), руб.;
Cм- стоимость материалов, руб.;
Сзч - стоимость запасных частей, руб.;
1.3.4 Определение расходов на оплату работ по ремонту.
Величина расходов на оплату работ по ремонту АМТС (Сраб) определяется на основании:
- установленных предприятием-изготовителем АМТС нормативов трудоемкостей (если на какие-либо виды работ нормативы не установлены, то допускается использование норм времени, определенных экспертным путем);
рыночной стоимости нормо-часа работ в данном регионе на дату оценки с учетом типа, модели и возраста АМТС;
по формуле:
Сра6=Траб х Снч, руб. (2)
где:
Т раб - трудоемкость работ, нормо-час;
Снч - рыночная стоимость нормо-часа, руб.
1.3.5.Определение расходов на материалы и запасные части.
Стоимость запасных частей, материалов, применяемых для ремонта, определяется по рыночной стоимости сложившейся в данном регионе на момент оценки с учетом типа, модели и возраста АМТС. Поврежденные фирменные, оригинальные, сертифицированные детали в процессе ремонта заменяются на соответствующие. Принцип соответствия распространяется и на используемые материалы.
1.3.6.Подготовительные работы, мероприятия по пожарной
безопасности и охране труда, увеличивающие стоимость ремонта.
Согласно ТУ 37.101.0167-97 [5] «Приемка в ремонт, ремонт и выпуск из ремонта автомобилей ВАЗ предприятиями автотехобслуживания»:
- «Автомобиль, его узлы и агрегаты при приемке в ремонт должны быть чистыми (вымытыми)» (п. 1.3);
- «У автомобилей принятых в ремонт, в процессе ремонта и при хранении на СТО клемма «минус» аккумуляторной батареи должна быть отключена» (п.1.11)
Требования по безопасности труда к технологическим процессам по ремонту автомобилей регламентирует ГОСТ 12.3.017-79 «Ремонт и техническое обслуживание автомобилей. Общие требования безопасности».
П. 2.3. ГОСТ 12.3.017-79 предписывает: «Перед установкой на пост ТО и ТР автомобили следует очистить от грязи, снега и вымыть».
П. 2.12. ГОСТ 12.3.017-79 предписывает: «Снятие с автомобиля деталей и агрегатов, заполненных жидкостями, следует производить только после полного удаления (слива) этих жидкостей».
Пожарная безопасность при техническом обслуживании и ремонте автомобилей регламентируется ВППБ 11-01-96 «Правила пожарной безопасности для предприятий автотранспорта».
Согласно п. 12.1.2. ВППБ 11-01-96, «При проведении ТО и ТР, связанного со снятием топливных баков, а также ремонтом топливопроводов, через которые может произойти вытекание топлива из баков, последние перед ремонтом должны быть полностью освобождены от топлива...».
Согласно п. 12.1.4ВППБ 11-01-96, «Перед ремонтом бензобак необходимо промыть и пропарить до полного удаления паров бензина».
Согласно п. 12.5.2. ВППБ 11-01-96, «При необходимости проведения сварочных и других работ с открытым огнем непосредственно на автомобиле топливный бак (или баллон с газом) должен быть снят или приняты меры, обеспечивающие полную безопасность, для чего горловину топливного бака и сам бак закрыть листом железа от попадания в него искр... При электросварочных работах необходимо дополнительно заземлить раму или кузов автомобиля....»
1.4 Экономическая целесообразность ремонта
В случае, если стоимость ремонта, равна или превышает стоимость АМТС на момент аварии, то, согласно п.63.а) постановления Правительства РФ № 238 от 24.04.03г. «Об организации независимой технической экспертизы транспортных средств», - далее по тексту «Об организации экспертизы», ремонтировать АМТС нецелесообразно по экономическим соображениям.
То есть, если:
СдаСрем, (3)
где:
Cда- доаварийная стоимость АМТС, руб.;
Cрем- величина затрат на ремонт, руб.
1.5 Особенности расчета восстановительных расходов при определении размера страховой выплаты в рамках ОСАГО.
Восстановительные расходы, которые рассчитываются при установлении размера страховой выплаты в рамках ОСАГО, согласно п.63 «Правил ОСАГО» , определяются как величина затрат, необходимых для приведения АМТС в состояние, в котором оно находилось до наступления страхового случая, причем это состояние может не соответствовать требованиям закона «О безопасности дорожного движения». Дополнительные расходы, связанные с доведением АМТС до состояния, соответствующее требованиям закона, не включаются в состав восстановительных расходов.
Восстановительные расходы, направленные на приобретение материалов и запасных частей, на оплату работ по ремонту, рассчитываются по средним ценам, сложившимся в соответствующем регионе, причем эти цены могут отличаться от рыночных цен по которым рассчитывается стоимость ремонта. «Правила ОСАГО» не регламентируют метод расчета средних цен (среднеарифметические, средневзвешенные цены и т.п.)
При определении расходов на запасные части необходимые для ремонта, согласно п.63 «Правила ОСАГО», учитывается износ частей, узлов, агрегатов и деталей, используемых, при восстановительных работах, т.е., если устанавливаемые на АМТС запчасти вместо пришедших в негодность деталей, имеют износ (подержанные запчасти, приобретенные на вторичном рынке), то они должны иметь стоимость ниже стоимости новых запчастей на величину износа.
1.6 Установление размера расходов на материалы и запасные части при восстановительном ремонте транспортных средств
Размер расходов на запасные части при восстановительном ремонте транспортных средств рассчитывается в соответствии с требованиями Положения Банка России от «19» сентября 2014 года № 432-П «О единой методике определения размера расходов на восстановительный ремонт в отношении поврежденного транспортного средства», в которой описаны правила устанавливающие порядок расчета размера расходов на материалы и запасные части при восстановительном ремонте транспортных средств.
Восстановительный ремонт назначается для устранения повреждений транспортного средства, причиной которых является дорожно-транспортное происшествие. Перечень указанных повреждений определяется на основе результатов осмотра поврежденного транспортного средства и (или) независимой технической экспертизы (оценки) транспортного средства.
Размер расходов на материалы и запасные части при восстановительном ремонте транспортного средства рассчитывается:
а) на дату дорожно-транспортного происшествия;
б) с учетом условий и географических границ товарных рынков материалов и запасных частей, соответствующих месту дорожно-транспортного происшествия.
Определение номенклатуры комплектующих изделий (деталей, узлов и агрегатов), подлежащих замене, и установление размера расходов на запасные части проводится с учетом характеристик и ограничений товарных рынков запасных частей (поставка только в комплекте, поставка отдельных элементов только в сборе, продажа агрегатов только при условии обмена на ремонтный фонд с зачетом его стоимости, продажа запасных частей только под срочный заказ (поставку) и т. д.).
Размер расходов на запасные части определяется с учетом износа комплектующих изделий (деталей, узлов и агрегатов), подлежащих замене при восстановительном ремонте транспортного средства. Износ является показателем, характеризующим относительную потерю стоимости комплектующих изделий (деталей, узлов и агрегатов) транспортного средства в процессе эксплуатации.
1.7 Расчет размера расходов на материалы при восстановительном ремонте транспортного средства

Расчет размера расходов проводится в отношении материалов, на которые осуществляется воздействие в процессе восстановительного ремонта транспортного средства, а также материалов, которые в процессе восстановительного ремонта в соответствии с его технологией изменяют физическое или химическое состояние основных эксплуатационных материалов (отвердители, растворители, разбавители и т. д.).
Размер расходов на материалы при восстановительном ремонте транспортного средства рассчитывается по следующей формуле:
(4)
где:
Рм - расходы на материалы при восстановительном ремонте транспортного средства (рублей);
n - количество видов материалов при восстановительном ремонте транспортного средства;
Смi - стоимость одной единицы материала i-го вида (рублей);
Nмi - удельная норма расхода материала i-го вида (единиц материала/ремонтных единиц);
Kрi - количество ремонтных единиц (количество деталей, узлов, агрегатов, килограммов, метров, кв. метров и т. д.), подвергаемых восстановительному ремонту с использованием материала i-го вида.
Определение стоимости одной единицы материала i-го вида осуществляется методом статистического наблюдения, проводимого среди хозяйствующих субъектов (продавцов), действующих в пределах географических границ товарного рынка материала i-го вида, соответствующего месту дорожно-транспортного происшествия, и осуществляющих свою деятельность в соответствии с законодательством Российской Федерации. Стоимость одной единицы материала i-го вида рассчитывается как средневзвешенное значение ее цены с учетом долей хозяйствующих субъектов (продавцов) на товарном рынке этого материала.
Удельная норма расхода материала i-го вида рассчитывается как среднее значение, определенное по данным производителей такого материала, представленных на товарном рынке этого материала.
Количество ремонтных единиц (количество деталей, узлов, агрегатов, килограммов, метров, кв. метров и т. д.), подвергаемых восстановительному ремонту с использованием материала i-го вида, определяется по результатам осмотра транспортного средства и (или) независимой технической экспертизы (оценки) транспортного средства в соответствии с нормами, правилами и процедурами ремонта транспортных средств, установленными изготовителями транспортных средств с учетом условий их эксплуатации.
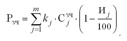
1.8 Расчет размера расходов на запасные части при восстановительном ремонте транспортного средства

Количество и номенклатура комплектующих изделий (деталей, узлов и агрегатов), подлежащих замене при восстановительном ремонте транспортного средства, устанавливаются по результатам его осмотра и (или) независимой технической экспертизы (оценки) в соответствии с нормами, правилами и процедурами ремонта транспортных средств, установленными изготовителями транспортных средств с учетом условий их эксплуатации.
Размер расходов на запасные части при восстановительном ремонте транспортного средства рассчитывается по следующей формуле:
(5)
где:
Рзч - расходы на запасные части при восстановительном ремонте транспортного средства (рублей);
m - количество наименований комплектующих изделий (деталей, узлов и агрегатов), подлежащих замене при восстановительном ремонте транспортного средства;
kj - количество единиц комплектующего изделия (детали, узла и агрегата) j-го наименования, подлежащих замене при восстановительном ремонте транспортного средства;
Сзчj - стоимость новой запасной части j-го наименования, установка которой назначается взамен комплектующего изделия (детали, узла и агрегата) j-го наименования, подлежащего замене при восстановительном ремонте транспортного средства (рублей);
Иj - износ комплектующего изделия (детали, узла и агрегата) j-го наименования, подлежащего замене при восстановительном ремонте транспортного средства (процентов).
Установление размера расходов на запасные части проводится с учетом следующих условий:
а) наименование запасной части приводится на русском языке и должно содержать полное наименование конструктивного элемента, указанного в каталоге запасных частей для этой марки (модели, модификации) транспортного средства, составленного изготовителем транспортного средства;
б) при замене комплектующего изделия (детали, узла и агрегата) на новую запасную часть такая запасная часть не должна ухудшать безопасность транспортного средства относительно его состояния на момент выпуска в обращение и должна соответствовать обязательным требованиям, если такие требования установлены законодательством Российской Федерации;
в) в случаях, предусмотренных технологической документацией, при замене отдельных комплектующих изделий (деталей, узлов и агрегатов) должна быть учтена необходимость их замены в качестве ремонтного комплекта, включающего не только заменяемые комплектующие изделия, а также детали, полностью обеспечивающие устранение повреждения.
Определение стоимости новой запасной части, установка которой назначается взамен подлежащего замене комплектующего изделия (детали, узла и агрегата) j-го наименования, осуществляется методом статистического наблюдения, проводимого среди хозяйствующих субъектов (продавцов), действующих в пределах географических границ товарного рынка новой запасной части j-го наименования, соответствующего месту дорожно-транспортного происшествия. Стоимость новой запасной части j-го наименования рассчитывается как средневзвешенное значение ее цены с учетом долей хозяйствующих субъектов (продавцов) на товарном рынке новой запасной части этого наименования.
Износ комплектующего изделия (детали, узла и агрегата) j-го наименования, подлежащего замене при восстановительном ремонте транспортного средства, не может начисляться свыше 50 процентов его стоимости.
Для комплектующих изделий (деталей, узлов и агрегатов), при неисправности которых в соответствии с законодательством Российской Федерации о безопасности дорожного движения запрещается движение транспортных средств, а подтверждение соответствия должно осуществляться в форме обязательной сертификации, а также для подушек безопасности и ремней безопасности транспортных средств принимается нулевое значение износа.
Номенклатура комплектующих изделий (деталей, узлов и агрегатов), для которых устанавливается нулевое значение износа, утверждается федеральным органом исполнительной власти, осуществляющим функции по нормативно-правовому регулированию в сфере транспорта.
1.9 Расчет износа комплектующих изделий (деталей, узлов и агрегатов), подлежащих замене при восстановительном ремонте транспортного средства
Износ шины транспортного средства рассчитывается по следующей формуле:

(6)
где:
Иш - износ шины (процентов);
Нн - высота рисунка протектора новой шины (миллиметров);
Нф - фактическая высота рисунка протектора шины (миллиметров);
Ндоп - минимально допустимая высота рисунка протектора шины в соответствии с требованиями законодательства Российской Федерации (миллиметров).
Износ шины дополнительно увеличивается для шин с возрастом от 3 до 5 лет - на 15 процентов, свыше 5 лет - на 25 процентов.
Износ аккумуляторной батареи транспортного средства рассчитывается по следующей формуле:

(7)
где:
Иак - износ аккумуляторной батареи (процентов);
Так - возраст аккумуляторной батареи (лет);
Тнак - нормативный срок службы аккумуляторной батареи до замены (списания) (лет).
Нормативный срок службы аккумуляторной батареи до замены (списания) принимается равным:
4 годам - при среднегодовом пробеге транспортного средства до 40 тыс. километров включительно;
3 годам - при среднегодовом пробеге транспортного средства более 40 тыс. километров.
Износ комплектующих изделий (деталей, узлов и агрегатов) транспортного средства рассчитывается по следующей формуле:
(1)
где:
Ики - износ комплектующего изделия (детали, узла и агрегата) (процентов);
е - основание натуральных логарифмов (е приблизительно 2,72);
T - коэффициент, учитывающий влияние на износ комплектующего изделия (детали, узла и агрегата) его возраста;
Тки - возраст комплектующего изделия (детали, узла и агрегата) (лет);
L - коэффициент, учитывающий влияние на износ комплектующего изделия (детали, узла и агрегата) величины пробега транспортного средства с этим комплектующим изделием;
Lки - пробег транспортного средства с комплектующим изделием (деталью, узлом и агрегатом) (тыс. километров).
Значения коэффициентов T и L для различных видов транспортных средств приведены в приложении.
Если комплектующее изделие (деталь, узел и агрегат) не заменялось с начала эксплуатации транспортного средства его возраст принимается равным возрасту транспортного средства, а пробег транспортного средства с этим комплектующим изделием принимается равным пробегу транспортного средства с начала эксплуатации.
Если по результатам независимой технической экспертизы транспортного средства установлено или имеется документальное подтверждение (запись в паспорте транспортного средства, оплаченный заказ-наряд авторемонтной организации, маркировка организации-изготовителя даты выпуска комплектующего изделия и т. п.) того, что комплектующее изделие (деталь, узел и агрегат) было установлено при замене, произведенной до даты дорожно-транспортного происшествия, его возраст принимается равным разности между датой дорожно-транспортного происшествия и датой предыдущей замены, а пробег транспортного средства с этим комплектующим изделием принимается равным разности между пробегом транспортного средства на дату дорожно-транспортного происшествия и пробегом на дату предыдущей замены комплектующего изделия.
Возраст комплектующего изделия, подлежащего замене при восстановительном ремонте транспортного средства, рассчитывается в полных годах с даты начала эксплуатации транспортного средства либо с даты замены такого комплектующего изделия.
Пробег транспортного средства определяется по одометру. Если одометр неисправен или его состояние не соответствует установленным требованиям, пробег с начала эксплуатации транспортного средства определяется расчетным путем в соответствии со справочными данными.
-
Специальная часть
2. Исследование объекта независимой автотехнической экспертизы и обстоятельств дела на примере АМТС Nissan Primera
2.1 Идентификация объекта экспертизы
Марка, модель: Nissan Primera
год выпуска: 2005 г.
гос.номер: К405УУ 36
рабочий объем (куб.см.): 1769
номер шасси (рамы): отсутствует
номер кузова: SJNBBAP12U2262473
идентификационный номер (VIN): SJNBBAP12U2262473
Согласно международным стандартам о необходимости нанесения на кузов VIN, который состоит из 3 частей и 17 знаков, рассматриваем структуру идентификационной маркировки кузова транспортного средства:
Таблица 1 Структура идентификационной маркировки кузова данного ТС
|
SJN |
BBAP12 |
U2262473 |
|
Международный идентификационный код производителя (страна пр-ль Япония, производитель - Nissan Motor Corp) |
Основные параметры и свойства автомашины |
Серийный номер |
цвет кузова (тип краски): зеленый (2-слойный металлик)
пробег, км: 119021
Период выпуска: 2001-2007 гг.
|
Собственник ТС |
Гладышев Денис Александрович |
Технические, функциональные и эксплуатационные характеристики объекта исследования
Технические, функциональные и эксплуатационные характеристики автомобиля приведены согласно данным завода изготовителя
|
КУЗОВ |
|
|
Тип кузова |
Седан |
|
Количество дверей |
4 |
|
Количество мест |
5 |
|
Длина |
4576 мм |
|
Ширина |
1760 мм |
|
Высота |
1482 мм |
|
ДВИГАТЕЛЬ |
|
|
Расположение двигателя |
Спереди, поперечно |
|
Объем двигателя |
1769 см3 |
|
Мощность |
116 л.с. |
|
Система питания |
Распределенный впрыск |
|
Топливо |
АИ-95 |
|
ТРАНСМИССИЯ |
|
|
Привод |
Передний |
|
Кол-во передач (мех коробка) |
5 |
|
ЭКСПЛУАТАЦИОННЫЕ ПОКАЗАТЕЛИ |
|
|
Максимальная скорость |
188 км/ч |
|
Время разгона (0-100 км/ч) |
12,6 c |
|
Расход топлива Смешанный цикл |
7.2 л/100км |
|
Объем топливного бака |
65 л |
|
Снаряженная масса автомобиля |
1293 кг |
|
Допустимая полная масса |
1810 кг |
ХАРАКТЕРИСТИКА АВТОМОБИЛЯ
- По виду транспортного средства - легковой автомобиль.
- По основному техническому параметру (для легковых автомобилей рабочему объему двигателя) - легковой автомобиль среднего класса (С).
- По колесной формуле (4x2)- автомобиль с 4 колесами, 2 из которых ведущие.
- По типу двигателя - автомобиль с бензиновым двигателем, на котором применен распределенный впрыск топлива.
- По типу кузова - автомобиль с 3-х объемным кузовом.
- По конструктивному исполнению кузова - седан.
- Число мест - 5.
Срок эксплуатации автомобиля по состоянию на 2014 г. 9 лет.
Пробег (показания одометра) автомобиля с начала эксплуатации 11901 км.
- Обстоятельства дела.
Потерпевший обратился в страховую компанию «РГС» о возмещении материального ущерба от ДТП, произошедшего между автомобилем ВАЗ 2110 гос.номер А777АА 36 и Nissan Primera гос.номер К405УУ 36 (которым управлял потерпевший).
Поскольку гражданская ответственность потерпевшего застрахована в страховой компании «РГС», то потерпевший, согласно Правил страхования ОСАГО, обратился за выплатой страхового возмещения в эту страховую компанию.
Согласно Закона об ОСАГО страховая компания «РГС» приняла от потерпевшего заявление на страховую выплату и документы о ДТП и организовала осмотр и экспертизу транспортного средства потерпевшего путем выдачи направления в экспертную организацию.
2.3 Установление наличия, характера и причин технических повреждений транспортного средства