Квалиметрический анализ бытового термовентилятора
МИНОБРНАУКИ РОССИИ
Федеральное государственное бюджетное образовательное учреждение высшего профессионального образования
«Балтийский государственный технический университет «ВОЕНМЕХ» им. Д.Ф. Устинова»
Факультет И «Информационных систем»
Кафедра И2 «Инжиниринг и менеджмент качества»
Дисциплина «Обеспечение качества изделий»
КУРСОВАЯ РАБОТА
Квалиметрический анализ бытового термовентилятора
Выполнил студент группы Н221
А. И. Марков
Преподаватель
А. Ю. Ефремов
САНКТ-ПЕТЕРБУРГ
2015г.
Аннотация
Целью данной курсовой работы является анализ напольного вентилятора Polaris PFH 2056, методика исследования будет представлять собой квалиметрический анализ, сравнение с другими представителями этого рынка.
Курсовая работа содержит 28 страниц, 7 таблиц, 1 рисунок. Количество использованных источников литературы 5.
Содержание
|
[0.1] 1.Введение [0.2] 2.Выбор исследуемой продукции [0.3] 3.Подбор аналогов и выбор базового изделия [0.4] 4.Формирование номенклатуры абсолютных единичных показателей качества и определение показателей качества, которые нельзя оценивать какой-либо физической величиной [0.5] 4.1 Формирование номенклатуры показателей качества. [0.6] 4.2 Определение показателей качества, не оцениваемых физическими величинами. [0.7] 5.Определение весовых коэффициентов [0.8] 6.Расчет относительных показателей качества [0.9] 7.Оценка качества исследуемого изделия [0.10] 8.Анализ показателей качества с учетом тенденций изменения [0.11] 9.Взаимосвязь требований потребителя и инженерных характеристик [0.12] 10.Перспективные показатели [0.13] 11.Формирование рекомендаций изготовителю
[0.14] [0.15] 13.Список использованных источников |
1.Введение
Для квалиметрического анализа [1] выбраны бытовые термовентиляторы. Термовентилятор предназначен для создания теплого потока воздуха и поддержания комфортной температуры в помещении в холодное время года.
Бытовые термовентиляторы классифицируются по размеру, производительности, виду топлива, типу нагревателя, исполнению и функциональности. По исполнению бывают: напольные, настольные и потолочные. По виду топлива разделяются на: электрические, газовые, керосиновые и мазутные. Вентиляторы могут иметь функции регулировки мощности нагрева и «автоповорота».
«Автоповорот» осуществляет перемещение оси вращения ротора в горизонтальной плоскости и предназначен для расширения пространства обдува в горизонтальной плоскости. Пластиковый вентилятор легче, а значит и безопаснее, но непрочен. Для защиты от движущихся лопастей вентиляторы оснащаются решеткой. Также они могут оснащаться таймером, подсветкой и т. д.
2.Выбор исследуемой продукции
Разброс среди бытовых термовентиляторов по цене, дизайну и прочим характеристикам очень велик. Классификация их из-за этого достаточно затруднена, так как сложно сделать выбор в пользу ключевого параметра для классификации. Лучшим компромиссным решением, наверное, будет ранжирование по цене.
3.Подбор аналогов и выбор базового изделия
За исследуемую продукцию выбран вентилятор Polaris PFH 2056, так как термовентиляторы этого класса наиболее популярны на российском рынке.
В качестве аналогов выбраны термовентиляторы EWT CLIMA Futur 110 LCD и Korting KCF724TG, так как они оба относятся к классу бытовых напольных термовентиляторов и находятся в одной ценовой категории.
После того как была собрана информация об исследуемой продукции, выбраны аналоги, осталось выбрать базовый образец. Его выбор основывался на наличии лучших характеристик. В качестве такого образца был принят бытовой напольный вентилятор BORK 0704, учтя при этом репутацию компании и наиболее известное значимое сочетание характеристик, из которого можно отметить большой гарантийный срок, что важно для домашней техники, а так же интересный внешний вид.
Характеристики и изображения этих устройств сведены в таблицу 1.
Таблица 1 Сводная таблица характеристик рассматриваемой продукции
|
Наименование |
Polaris PFH 2056 (Исследуемое)[2] |
EWT CLIMA Futur 110 LCD (Аналог)[3] |
Korting KCF724TG (Аналог)[4] |
BORK 0704 |
|
Изображение |
|
|
|
|
|
Срок службы, год |
10 |
12 |
13 |
18 |
|
Гарантийный срок, год |
1 |
1 |
1 |
2 |
|
Тип |
Напольный, настольный |
Напольный, настольный |
Напольный |
Напольный |
|
Площадь обогрева, м2 |
24 |
24 |
27 |
30 |
|
Мощность, Вт |
2000, 1000 |
2000, 1000 |
2400, 1200 |
2500, 1800 |
|
Управление |
Механическое |
Электронное |
Электронное |
Электронное |
|
Отключение при опрокидывании |
Нет |
Нет |
Есть |
Есть |
|
Защита от мороза |
Нет |
Есть |
Нет |
Нет |
Окончание таблицы 1
|
Индикация включения |
Есть |
Есть |
Нет |
Есть |
|
Пульт ДУ |
Нет |
Нет |
Нет |
Есть |
|
Таймер |
Нет |
Нет |
Нет |
Есть |
|
Максимальное время установки таймера, ч |
- |
- |
- |
12 |
|
Пылевой фильтр |
Нет |
Нет |
Есть |
Есть |
|
Длина сетевого шнура, м |
1 |
1,5 |
1,5 |
1.8 |
|
Тип нагревательного элемента |
Вольфрамовая нить |
Вольфрамовая нить |
Керамический нагреватель |
Керамический нагреватель |
|
Цвет |
Белый |
Синий, серебристый |
Черный, белый |
Черный, серый |
|
Габариты (ВхШхТ), см |
32х22х16 |
32,8х23,5х17,5 |
30х19х15 |
79х27х27 |
|
Страна производитель |
Китай |
Китай |
Китай |
Китай |
|
Вес, кг |
1,5 |
1,8 |
2,6 |
4,3 |
|
Цена, руб. |
2880 |
3268 |
2870 |
6990 |
4.Формирование номенклатуры абсолютных единичных показателей качества и определение показателей качества, которые нельзя оценивать какой-либо физической величиной
4.1 Формирование номенклатуры показателей качества.
Для проведения квалиметрического анализа будут использованы следующие показатели качества:
- показатели назначения:
- площадь обогрева;
- максимальная мощность;
- Пульт ДУ;
- Таймер;
- надежность:
- гарантийный срок, в годах;
- срок службы, в годах;
- экономические показатели:
- цена;
- показатели транспортабельности:
- вес, в кг;
- габариты, в см;
- эргономические:
- антропометрические;
- эстетические:
- информационная выразительность;
- целостность композиции;
- совершенство производственного исполнения объекта.
4.2 Определение показателей качества, не оцениваемых физическими величинами.
В целях оценки эстетических и эргономических показателей качества прибегают к методу балльной оценки. Для этого просят семерых экспертов выставить оценки в соответствии трехбалльной шкалы. (В таблице так же приведены показатели, опираясь на которые эксперты проводили оценку).
|
Эстетические |
Эргономические |
|
Рассматривается рациональность формы, под которой подразумевается выявление в форме объекта выполняемой им функции, оправданность выбора конструктивного решения и прочее. Целостность композиции, как характеристика рациональности композиционного решения конструкции (соразмерность форм, цветовой колорит и другое). Совершенство производственного исполнения, которое включает в себя такие параметры как товарный вид, отделку поверхностей, сопроводительную документацию и тому подобное. |
Оцениваются антропометрические характеристики, с точки зрения удобства расположения кнопок и конфорок для посуды, а так же рациональность их количества и конструкции. |
Для оценки была выбрана балльная шкала:
1 балл «удовлетворительно
2 балла «хорошо»
3 - балла «отлично».
Для удобства записи, названия компаний производителей изделий были сокращены:
Polaris - P;
EWT E;
Korting K;
Bork B.
Таблица 2 Показатели эстетичности
|
№ Эксперта |
1 |
2 |
3 |
4 |
5 |
6 |
7 |
|||||||||||||||||||||
|
№ Изделия |
P |
E |
K |
B |
P |
E |
K |
B |
P |
E |
K |
B |
P |
E |
K |
B |
P |
E |
K |
B |
P |
E |
K |
B |
P |
E |
K |
B |
|
информационная выразительность |
2 |
1 |
2 |
3 |
3 |
2 |
3 |
1 |
2 |
2 |
2 |
3 |
2 |
3 |
2 |
2 |
1 |
2 |
2 |
3 |
3 |
3 |
2 |
2 |
3 |
2 |
2 |
1 |
|
рациональность формы |
3 |
3 |
2 |
3 |
2 |
2 |
2 |
3 |
3 |
3 |
2 |
3 |
3 |
3 |
3 |
3 |
3 |
3 |
2 |
2 |
3 |
3 |
2 |
3 |
2 |
3 |
3 |
3 |
|
Целостность композиции |
1 |
3 |
2 |
3 |
1 |
2 |
3 |
3 |
2 |
2 |
2 |
3 |
2 |
3 |
2 |
3 |
2 |
3 |
2 |
3 |
1 |
2 |
2 |
3 |
2 |
1 |
1 |
3 |
Изделие P:
“3” - 8; “2” - 9; “1” - 4; (цифра в кавычках номер эксперта)
Изделие E:
“3” -10; “2” - 9; “1” - 2;
Изделие K :
“3” - 4; “2” -16; “1” - 1;
Изделие B:
“3” - 16; “2” - 3; “1” 2;
Итог:
Polaris 2 балла, EWT 3 балла, Korting 2 балла и Bork 3 балла.
Таблица 3 Показатели эргономичности
|
№ Эксперта |
1 |
2 |
3 |
4 |
5 |
6 |
7 |
|||||||||||||||||||||
|
№ Изделия |
P |
E |
K |
B |
P |
E |
K |
B |
P |
E |
K |
B |
P |
E |
K |
B |
P |
E |
K |
B |
P |
E |
K |
B |
P |
E |
K |
B |
|
гигиенические |
1 |
3 |
2 |
2 |
3 |
2 |
1 |
2 |
3 |
3 |
1 |
3 |
2 |
1 |
2 |
3 |
2 |
2 |
3 |
3 |
3 |
2 |
3 |
2 |
2 |
2 |
2 |
2 |
|
антропометрические |
2 |
2 |
1 |
2 |
1 |
2 |
1 |
3 |
1 |
2 |
1 |
3 |
2 |
1 |
2 |
2 |
3 |
3 |
2 |
3 |
2 |
3 |
2 |
3 |
1 |
2 |
2 |
3 |
|
физиологические |
2 |
2 |
2 |
2 |
1 |
3 |
2 |
3 |
2 |
1 |
2 |
1 |
1 |
1 |
3 |
2 |
3 |
3 |
3 |
3 |
2 |
1 |
1 |
3 |
2 |
1 |
2 |
2 |
|
психологические |
1 |
2 |
3 |
3 |
1 |
3 |
2 |
3 |
2 |
3 |
1 |
3 |
1 |
1 |
3 |
3 |
2 |
2 |
1 |
3 |
2 |
1 |
1 |
3 |
2 |
1 |
2 |
3 |
Изделие P:
“3” - 5; “2” - 14; “1” - 9;
Изделие E:
“3” - 8; “2” - 11; “1” - 9;
Изделие K:
“3” - 6; “2” -13; “1” - 9;
Изделие B:
“3” - 18; “2” - 9; “1” 1;
Итог: Polaris 2 балла, EWT 2 балл, Korting 2 балла и Bork 3 балла.
В таблицу 4 занесены значения абсолютных показателей качества, включая количественные значения неоцениваемых физическими величинами параметров показателей качества.
Таблица 4 Показатели качества
|
Наименование Показатели |
Исследуемое |
Базовое |
Аналог |
Аналог |
|
|
Polaris PFH 2056 |
BORK 0704 |
Korting KCF724 TG |
EWT CLIMA Futur 110 LCD |
||
|
Надежности |
Срок службы, год |
10 |
18 |
13 |
12 |
|
Гарантийный срок, год |
1 |
2 |
1 |
1 |
|
|
Экономичности |
Цена, руб. |
2880 |
6990 |
2870 |
3268 |
|
Назначения |
Площадь обогрева, м2 |
24 |
30 |
27 |
24 |
|
Максимальная мощность, Вт |
2000 |
2500 |
2400 |
2000 |
|
|
Пульт ДУ |
Нет |
Есть |
Нет |
Нет |
|
|
Таймер |
Нет |
Есть |
Нет |
Нет |
|
|
Транспортабельности |
Вес, кг |
1,5 |
4,3 |
2,6 |
1,8 |
|
Габариты, см |
32х22х16 |
79х27х27 |
30х19х15 |
32,8х23,5х 17,5 |
|
|
Эстетичности |
2 |
3 |
2 |
3 |
|
|
Эргономичности |
2 |
3 |
2 |
2 |
5.Определение весовых коэффициентов
Значимость каждого показателя в общей оценке уровня качества различна и зависит от конкретных требований, поэтому вводятся так называемые коэффициенты весомости или весовые коэффициенты.
Коэффициент весомости показателя качества продукции количественная характеристика значимости данного показателя качества продукции среди других показателей качества.
При их выборе необходимо следовать четырем правилам:
- Коэффициенты весомости сравниваемых свойств данной базовой конструкции должны быть одинаковы;
- Коэффициент весомости наиболее важного показателя имеет наибольшее значение;
- Показатели одинаковой важности имеют одинаковые коэффициенты весомости;
- Коэффициенты весомости всех рассматриваемых свойств отвечают условию: q=1,
Для определения весовых коэффициентов в данной работе используется экспертный метод в соответствии с рекомендациями методического пособия, а точнее метод ранжированных рядов.
Присвоение кода показателям качества:
|
Срок службы |
Q1 |
|
Гарантийный срок |
Q2 |
|
Площадь обогрева |
Q3 |
|
Максимальная мощность |
Q4 |
|
Наличие пульта ДУ |
Q5 |
|
Наличие таймера |
Q6 |
|
Вес |
Q7 |
|
Габариты |
Q8 |
|
Цена |
Q9 |
|
Эстетичность |
Q10 |
|
Эргономичность |
Q11 |
5 экспертов составили ранжированные ряды в соответствии с уменьшением важности данных показателей при выборе данной продукции (эксперты пронумерованы).
Ранжирование состоит в расстановке показателей в порядке важности их весомости. Место, занятое при такой расстановке, называется рангом. Чем выше ранг, тем важнее показатель.
1. Q9< Q2< Q1< Q10< Q8< Q3 < Q11< Q7< Q4 < Q5< Q6
2. Q11< Q9< Q3< Q2< Q1< Q8 < Q4< Q10< Q7< Q6< Q5
3. Q9< Q10< Q8< Q1< Q2< Q11< Q3< Q5< Q6< Q4 < Q7
4. Q11< Q8< Q9< Q2< Q1< Q3< Q4< Q10< Q7< Q5< Q6
5. Q11< Q8< Q9< Q2< Q1< Q10< Q3< Q4< Q7< Q5< Q6
Численное значение ранга в ряду возрастающей шкалы порядка увеличивается от 1 до m (m количество оцениваемых объектов). В данной работе m = 11.
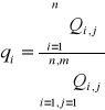
Теперь находятся суммы рангов каждой характеристики, которые в дальнейшем требуются для построения обобщенного ранжированного ряда и нахождения весовых коэффициентов:
Расчет проводим по формуле
, где
- коэффициент весомости j-го показателя в рангах, который дал i-й эксперт.
Q1 = 3+5+4+5+5 = 22
Q2 = 2+4+5+4+4 = 19
Q3 = 6+3+7+6+7 = 29
Q4= 9+7+10+7+8 = 41
Q5 = 10+11+8+10+10 = 49
Q6 = 11+10+9+11+11 = 52
Q7 = 8+9+11+9+9 = 46
Q8= 5+6+3+2+2 = 18
Q9 = 1+2+1+3+3 = 10
Q10 = 4+8+2+8+6 = 28
Q11 = 7+1+6+1+1 = 16
На основании полученной информации можно построить обобщенный ранжированный ряд, который показывает важность той или иной характеристики, с точки зрения экспертов, при выборе данной продукции. Он имеет следующий вид:
Q9< Q11< Q8< Q2< Q1< Q10< Q3< Q4< Q7< Q5< Q6
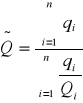
Теперь, опираясь на количественную информацию, полученную экспертным методом, можно привести обоснованные весовые коэффициенты (они обозначены соответствующими маленькими буквами).
Расчет весовых коэффициентов:
Весовые коэффициенты рассчитываются по формуле:

где n количество экспертов, m число оцениваемых показателей,
-коэффициент весомости j-го показателя в рангах, который дал i-й эксперт.
Расчеты:
|
Срок службы |
Q1 |
= 0.067 |
|
Гарантийный срок |
Q2 |
= 0.057 |
|
Площадь обогрева |
Q3 |
= 0.087 |
|
Максимальная мощность |
Q4 |
= 0.124 |
|
Пульт ДУ |
Q5 |
= 0.148 |
|
Таймер |
Q6 |
= 0.157 |
|
Вес |
Q7 |
= 0.139 |
|
Габариты |
Q8 |
= 0.054 |
|
Цена |
Q9 |
= 0.030 |
|
Эстетичность |
Q10 |
= 0.084 |
|
Эргономичность |
Q11 |
= 0.048 |
Для наглядности все показатели занесены в сравнительную таблицу 5.
Таблица 5 Абсолютные единичные показатели качества
|
Наименование Показатели |
Исследуемое |
Базовое |
Аналог |
Аналог |
Весовой коэффициент |
|
|
Polaris PFH 2056 |
BORK 0704 |
Korting KCF724 TG |
EWT CLIMA Futur 110 LCD |
|||
|
Надежности |
Срок службы, год |
10 |
18 |
13 |
12 |
0.067 |
|
Гарантийный срок, год |
1 |
2 |
1 |
1 |
0.057 |
|
|
Экономичности |
Цена, руб. |
2880 |
6990 |
2870 |
3268 |
0.087 |
|
Назначения |
Площадь обогрева, м2 |
24 |
30 |
27 |
24 |
0.124 |
|
Максимальная мощность, Вт |
2000 |
2500 |
2400 |
2000 |
0.148 |
|
|
Пульт ДУ |
Нет |
Есть |
Нет |
Нет |
0.157 |
|
|
Таймер |
Нет |
Есть |
Нет |
Нет |
0.139 |
|
|
Транспортабельности |
Вес, кг |
1,5 |
4,3 |
2,6 |
1,8 |
0.054 |
|
Габариты, см |
32х22х16 |
79х27х27 |
30х19х15 |
32,8х23,5х17,5 |
0.030 |
|
|
Эстетичности |
2 |
3 |
2 |
3 |
0.084 |
|
|
Эргономичности |
2 |
3 |
2 |
2 |
0.048 |
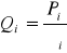
6.Расчет относительных показателей качества
Для расчета относительных показателей качества используют две формулы: прямую и обратную. Обратная формула используется для расчета относительных показателей качества, когда повышение качества характеризуется уменьшением показателя, она имеет вид:
,
где Рi показатель i-ого свойства оцениваемой конструкции; Бi базовый показатель i-ого свойства; Qi относительный показатель качества, оцениваемый по i-ому свойству.
Прямая формула применяется для расчета относительного показателя качества в тех случаях, когда повышение качества характеризуется повышением показателя. Она имеет вид:
.
По прямой формуле считается следующий показатель:
- срок службы;
- гарантийный срок;
- площадь обогрева;
- максимальная мощность
- наличие пульта ДУ;
- наличие таймера;
- эстетичность;
- эргономичность.
По обратной формуле считаются следующие показатели:
- габаритные размеры;
- цена;
- вес.
Вся информация касательно относительных единичных показателей качества сведена в таблицу 6.
Таблица 6 Относительные единичные показатели качества
|
Наименование Показатели |
Исследуемое |
Базовое |
Аналог |
Аналог |
Весовой коэффициент |
|
|
Polaris PFH 2056 |
BORK 0704 |
Korting KCF724TG |
EWT CLIMA Futur 110 LCD |
|||
|
Надежности |
Срок службы |
0.56 |
1 |
0.72 |
0.67 |
0.067 |
|
Гарантийный срок |
0.5 |
1 |
0.5 |
0.5 |
0.057 |
|
|
Экономичности |
Цена |
2.43 |
1 |
2.44 |
2.14 |
0.087 |
|
Назначения |
Площадь обогрева |
0.8 |
1 |
0.9 |
0.8 |
0.124 |
|
Максимальная мощность |
0.8 |
1 |
0.96 |
0.8 |
0.148 |
|
|
Пульт ДУ |
0.2 |
1 |
0.2 |
0.2 |
0.157 |
|
|
Таймер |
0.2 |
1 |
0.2 |
0.2 |
0.139 |
|
|
Транспортабельности |
Вес |
2.87 |
1 |
1.65 |
2.39 |
0.054 |
|
Габариты |
2.47х1.23х1.68 |
1х1х1 |
2.63х1.42х1.8 |
2.4х1.14х1.54 |
0.030 |
|
|
Эстетичности |
0.66 |
1 |
0.66 |
1 |
0.084 |
|
|
Эргономичности |
0.66 |
1 |
0.66 |
0.66 |
0.048 |
7.Оценка качества исследуемого изделия
Для оценки качества будет использован смешанный метод оценки качества. Суть его заключается во взаимном рассмотрении единичных и комплексных показателей качества (далее ЕПК и КПК) исследуемого изделия с последующим сравнением их с ЕПК и КПК базового изделия.
В качестве ЕПК будут рассмотрены: наличие пульта ДУ, площадь обогрева и наличие таймера.
Также ЕПК будут определены в группы для получения КПК:
- Срок службы + Цена + Габариты
- Эргономические показатели (гигиенические, антропометрические, физиологические и психофизические показатели) + эстетические показатели (информационная выразительность, совершенство производственного исполнения).
- Вес + Гарантийный срок + Максимальная мощность
Образование КПК будет происходить по принципу среднего взвешенного. Вид среднего взвешенного будет определен для каждой группы
Все ЕПК и КПК базового изделия приняты за единицу. Применим смешанный метод для анализа качества исследуемого изделия Polaris.
Единичные относительные показатели качества (ЕОПК) для данного изделия будут следующими:
Площадь обогрева Q3 = 0.8
Пульт ДУ Q5 = 0.2
Таймер Q6 = 0.2
Для первой группы используется среднее гармоническое, т. к. разброс весовых коэффициентов достаточно значительный.


Для второй группы используется среднее гармоническое, т. к. разброс достаточно значительный.

Для третьей группы используется среднее гармоническое из-за значительного разброса значений весовых коэффициентов.

Далее применим смешанный метод для анализа качества изделий аналогов.
Первым рассмотрим Korting.
ЕОПК для данного изделия:
Площадь обогрева Q3= 0.9
Пульт ДУ Q5 = 0.2
Таймер Q6 = 0.2
Определим по каждой группе КПК:



Далее оценивается второй аналог EWT.
ЕОПК для данного изделия:
Площадь обогрева Q3 = 0.8
Пульт ДУ Q5 = 0.2
Таймер Q6= 0.2
Определим по каждой группе КПК:



Построим циклограмму для сравнения ЕПК и КПК изделий
Сравнительная циклограмма (рисунок 1):
Рисунок 1 Сравнительная циклограмма
Из циклограммы видно, что все изделия значительно уступают базовому в наличии пульта ДУ и таймера. Также все изделия уступают по показателям КПК второй группы (эргономичность и эстетичность). Имеют схожие показатели качества по площади обогрева и КПК третей группы, в которую входят: вес, гарантийный срок и максимальная мощность. Также можно видеть, что все изделия имеют более высокие показатели качества КПК первой группы (срок службы, цена и габариты), чем у базового изделия.
Это показывает, что базовое изделие имеет более высокое качество.
8.Анализ показателей качества с учетом тенденций изменения
Большинство современных бытовых термовентиляторов оборудуются примерно схожими параметрами и, в сущности, различаются лишь в цене и максимальной мощности. Они являются достаточно востребованными в холодных регионах страны, несмотря на то, что тенденция их развития почти прекратилась.
9.Взаимосвязь требований потребителя и инженерных характеристик
Метод структурирование функции качества предназначен для связи технических характеристик продукции и параметров процесса ее изготовления с требованиями потребителя.
Развитие данного метода связано с тем, что потребители заинтересованы в выходных свойствах продукции и обычно высказывают пожелания об улучшении каких-либо свойств продукции. Между потребителем и производителем очень тяжело создать взаимопонимание, так как обычно потребители формируют свои требования на уровне ощущения, бытовым языком. Для этого и существует данный метод, который позволит превратить пожелания в определенные технические характеристики продукции.
Теперь сформируем рейтинг каждого пожелания потребителя и составим список важных инженерных характеристик в таблице 7.
Для этого выберем 3-балльную шкалу для оценки взаимосвязи (сильная взаимосвязь 3 баллов, средняя 2, слабая 1)
Таблица 7 Взаимосвязь требований потребителя и инженерных характеристик.
|
Требования потребителя |
Важность для заказчика |
Инженерные характеристики |
||||
|
Таймер |
Пульт ДУ |
Площадь обогрева |
Габариты |
Вес |
||
|
Компактность |
1 |
1 |
1 |
9 |
9 |
9 |
|
Легкость |
2 |
1 |
1 |
3 |
3 |
9 |
|
Удобства в управлении |
3 |
9 |
9 |
1 |
1 |
1 |
|
Важность характеристики |
11 |
11 |
13 |
13 |
19 |
Определим важность каждой инженерной характеристики, сложив по столбцу произведения важности для заказчика и взаимосвязи требований потребителя и инженерных характеристики
10.Перспективные показатели
В ходе анализа показателей качества исследуемого изделия был выявлен ряд перспективных показателей качества, представленных на рисунке 1., совершенствование значений которых приведет в будущем к существенному повышению качества продукции и, следовательно, ее конкурентоспособности на мировом рынке. К таким показателям были отнесены: пульт ДУ, таймер, эргономические и эстетические показатели.
11.Формирование рекомендаций изготовителю
Анализируя циклограмму можно отметить, что для повышения качества, а значит и конкурентоспособности, производителю необходимо улучшить такие показатели качества как:
Эргономичные и эстетические показатели;
Пульт ДУ;
Таймер.
12.Заключение
Общая рекомендация по приобретению бытового термовентилятора определиться, необходимы ли вам пульт ДУ и таймер, а в целом, термовентилятор это важный предмет в плохо отапливаемых помещениях, создающий комфортные условия для работы и жизни. Поэтому каждый покупатель сам для себя должен решить, какой термовентилятор ему по вкусу, то есть учесть габаритный размер, эстетичность и эргономичность, и сопоставить их с ценой.
13.Список использованных источников
- Гайков-Алехов А.А., Мурашев Ю.Г. Квалиметрический анализ. Учебное пособие СПб.: БГТУ «Военмех» им. Д.Ф. Устинова. 2006. с. 22-29.
- Бытовой термовентилятор Polaris PFH 2056 [Электронный ресурс]. Режим доступа: https://market.yandex.ru/product/7334457?hid=90577&track=tabs, свободный.
- Бытовой термовентилятор EWT CLIMA Futur 110 LCD [Электронный ресурс]. Режим доступа: https://market.yandex.ru/product/1038868?hid=90577, свободный.
- Бытовой термовентилятор Korting KCF724TG [Электронный ресурс]. Режим доступа: https://market.yandex.ru/product/7738359?hid=90577&track=tabs, свободный.
- Бытовой термовентилятор BORK 0704 [Электронный ресурс]. Режим доступа: https://market.yandex.ru/product/7880284?hid=90577, свободный.
PAGE 2
PAGE
PAGE 18



