Математическая статистика
МАТЕМАТИЧЕСКАЯ СТАТИСТИКА
Математическая статистика - это раздел прикладной математики, в котором рассматриваются методы отыскания законов и характеристик случайных величин по результатам наблюдений и экспериментов.
----------------------------------------------------------------------
Основные задачи математической статистики.
1. Создание методов сбора и группировки обрабатываемого статистического материала, полученного в результате наблюдений за случайными процессами.
2. Разработка методов анализа полученных статистических данных.
3. Получение выводов по данным наблюдений.
----------------------------------------------------------------
Анализ статистических данных включает оценку вероятностей события, функции распределения вероятностей или плотности вероятностей, оценку параметров известного распределения, оценку связей между случайными величинами.
Математическая статистика опирается на теорию вероятностей и в свою очередь служит основой для разработки методов обработки и анализа статистических результатов в конкретных областях человеческой деятельности
----------------------------------------------------------------------
§ 1. ВЫБОРКА И ЕЕ РАСПРЕДЕЛЕНИЕ
1.1. Генеральная совокупность и выборка
Основными понятиями математической статистики являются генеральная совокупность и выборка.
Определение. Генеральная совокупность это совокупность всех мысленно возможных объектов данного вида, над которыми проводятся наблюдения с целью получения конкретных значений определенной случайной величины.
----------------------------------------------------------------
Генеральная совокупность может быть конечной или бесконечной в зависимости от того, конечна или бесконечна совокупность составляющих ее объектов.
Определение. Выборкой (выборочной совокупностью) называется совокупность случайно отобранных объектов из генеральной совокупности.
Выборка должна быть репрезентативной (представительной), то есть ее объекты должны достаточно хорошо отражать свойства генеральной совокупности.
----------------------------------------------------------------
Выборка может быть повторной, при которой отобранный объект (перед отбором следующего) возвращается в генеральную совокупность, и бесповторной, при которой отобранный объект не возвращается в генеральную совокупность.
Применяют различные способы получения выборки.
1) Простой отбор случайное извлечение объектов из генеральной совокупности с возвратом или без возврата.
2) Типический отбор, когда объекты отбираются не из всей генеральной совокупности, а из ее «типической» части.
----------------------------------------------------------------
3) Серийный отбор объекты отбираются из генеральной совокупности не по одному, а сериями.
4) Механический отбор - генеральная совокупность «механически» делится на столько частей, сколько объектов должно войти в выборку и из каждой части выбирается один объект.
Число
объектов генеральной совокупности и число
объектов выборки называют объемами генеральной и выборочной совокупностей соответственно. При этом предполагают, что
(значительно больше).
----------------------------------------------------------------
1.2. Вариационные ряды
Полученные различными способами отбора данные образуют выборку, обычно это множество чисел, расположенных в беспорядке. По такой выборке трудно выявить какую-либо закономерность их изменения (варьирования).
Для обработки данных используют операцию ранжирования, которая заключается в том, что результаты наблюдений над случайной величиной, то есть наблюдаемые значения случайной величины располагают в порядке возрастания.
----------------------------------------------------------------------
Пример 1. Дана выборка : 
Проведем ранжирование выборки :
После проведения операции ранжирования значения случайной величины объединяют в группы, то есть группируют так, что в каждой отдельной группе значения случайной величины одинаковы. Каждое такое значение называется вариантом. Варианты обозначаются строчными буквами латинского алфавита с индексами, соответствующими порядковому номеру группы
.
----------------------------------------------------------------------
Изменение значения варианта называется варьированием.
Определение. Последовательность вариантов, записанных в возрастающем порядке, называется вариационным рядом.
Число, которое показывает, сколько раз встречаются соответствующие значения вариантов в ряде наблюдений, называется частотой или весом варианта и обозначается
, где
- номер варианта.
----------------------------------------------------------------
Отношение частоты данного варианта к общей сумме частот называется относительной частотой или частостью (долей) соответствующего варианта и обозначается
или
, где
- число вариантов. Частость является статистической вероятностью появления варианта
. Естественно считать частость
аналогом вероятности
появления значения
случайной величины
.
----------------------------------------------------------------
Определение. Дискретным статистическим рядом называется ранжированная совокупность вариантов
с соответствующими им частотами
или частостями
.
Дискретный статистический ряд удобно записывать в виде табл.1.
Таблица 1 (для примера 1)
|
|
1 |
2 |
3 |
4 |
7 |
|
|
|
2 |
2 |
3 |
1 |
2 |
|
|
|
|
|
|
|
|
|
----------------------------------------------------------------------
Характеристики дискретного статистического ряда:
1. Размах варьирования
.
2. Мода
- вариант, имеющий наибольшую частоту
( в примере 1.
).
3. Медиана
- значение случайной величины, приходящееся на середину ряда.
----------------------------------------------------------------------
Пусть
- объем выборки.
Если
, то есть ряд имеет четное число членов, то
. Если
, то есть ряд имеет нечетное число членов, то
.
( в примере 1.
).
----------------------------------------------------------------------
Если изучаемая случайная величина
является непрерывной или число значений ее велико, то составляют интервальный статистический ряд.
Сначала определяют число интервалов
, в зависимости от объема выборки, с помощью табл.2.
Таблица 2.
|
Объем выборки |
25-40 |
40-60 |
60-100 |
100-200 |
более 200 |
|
Число интервалов |
5-6 |
6-8 |
7-10 |
8-12 |
10-15 |
----------------------------------------------------------------------
Затем определяют длину частичного интервала
:
, где
- шаг ;
- число интервалов .
Более точно шаг можно рассчитать с помощью формулы Стерджеса:
, число интервалов
.
Если шаг окажется дробным, то за длину интервала берут ближайшее целое число или ближайшую простую дробь (обычно берут интервалы одинаковые по длине, но могут быть интервалы и разной длины).
----------------------------------------------------------------
За начало первого интервала рекомендуется брать величину
, а конец последнего должен удовлетворять условию
. Промежуточные интервалы получают, прибавляя к концу предыдущего интервала шаг.
Просматривая результаты наблюдений, определяют сколько значений случайной величины попало в каждый конкретный интервал. При этом в интервал включают значения, большие или равные нижней границе интервала, и меньшие верхней границы.
----------------------------------------------------------------
В первую строку таблицы статистического распределения вписывают частичные промежутки
.
Во второю строку статистического ряда вписывают количество наблюдений
(где
) попавших в каждый интервал; то есть частоты соответствующих интервалов.
Иногда интервальный статистический ряд, для простоты исследований, условно заменяют дискретным. В этом случае серединное значение
-го интервала принимают за вариант
, а соответствующую интервальную частоту
- за частоту этого варианта.
1.3. Эмпирическая функция распределения
Пусть получено статистическое распределение выборки и каждому варианту из этой выборки поставлена в соответствие его частость.
Определение. Эмпирической функцией (функцией распределения выборки) называется функция
, определяющая для каждого значения
частость события
,
,
- где
- объем выборки,
- число наблюдений, меньших
.
----------------------------------------------------------------------
При увеличении объема выборки частость события
приближается к вероятности этого события. Эмпирическая функция
является оценкой интегральной функции
в теории вероятностей.
Функция
обладает теми же свойствами, что и функция
:
1.
;
2.
-неубывающая функция;
3.
,
.
----------------------------------------------------------------------
1.5. Графическое изображение статистических данных
Статистическое распределение изображается графически с помощью полигона и гистограммы.
Определение. Полигоном частот называют ломаную, отрезки которой соединяют точки с координатами
; полигоном частостей с координатами
, где
,
.
Полигон служит для изображения дискретного статистического ряда.
----------------------------------------------------------------------
Полигон частостей является аналогом многоугольника распределения дискретной случайной величины в теории вероятностей.
Определение. Гистограммой частот (частостей) называют ступенчатую фигуру, состоящую из прямоугольников, основания которых расположены на оси
и длины их равны длинам частичных интервалов
, а высоты равны отношению:
- для гистограммы частот;
- для гистограммы частостей.
----------------------------------------------------------------------
Гистограмма является графическим изображением интервального ряда.
Площадь гистограммы частот равна
, а гистограммы частостей равна 1.
Можно построить полигон для интервального ряда, если его преобразовать в дискретный ряд. В этом случае интервалы заменяют их серединными значениями и ставят в соответствие интервальные частоты (частости). Полигон получим, соединив отрезками середины верхних оснований прямоугольников гистограммы.
----------------------------------------------------------------
1.6. Числовые характеристики выборки
1.6.1. Выборочное среднее. Выборочная дисперсия.
Выборочное среднее квадратическое отклонение
В теории вероятностей определили числовые характеристики для случайных величин, с помощью которых можно сравнивать однотипные случайные величины. Аналогично можно определить ряд числовых характеристик и для выборки. Поскольку эти характеристики вычисляются по статистическим данным (по данным, полученным в результате наблюдений), их называют статистическими характеристиками.
----------------------------------------------------------------------
Пусть дано статистическое распределение выборки объема
:
|
|
|
|
|
|
|
|
|
|
|
|
|
|
|
|
где
- число вариантов.
----------------------------------------------------------------------
Определение. Выборочным средним
называется среднее арифметическое всех значений выборки:
.
Выборочное среднее можно записать и так:
,
где
- частость.
В случае интервального статистического ряда в качестве
берут середины интервалов, а
- соответствующие им частоты.
----------------------------------------------------------------
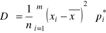
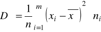
Определение. Выборочной дисперсией
называется среднее арифметическое квадратов отклонений значений выборки от выборочного среднего
:
или
.
----------------------------------------------------------------
Выборочное среднее квадратическое выборки определяется формулой:
.
Особенность
состоит в том, что оно измеряется в тех же единицах, что и данные выборки.
Если объем выборки мал (
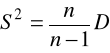
), то пользуются исправленной выборочной дисперсией:
.
Величина
называется исправленным средним квадратическим отклонением.
----------------------------------------------------------------
1.6.2. Выборочные начальные и центральные моменты.
Асимметрия. Эксцесс.
Приведем краткий обзор характеристик, которые наряду с уже рассмотренными применяются для анализа статистических рядов и являются аналогами соответствующих числовых характеристик случайной величины.
Среднее выборочное и выборочная дисперсия являются частным случаем более общего понятия момента статистического ряда.
----------------------------------------------------------------------
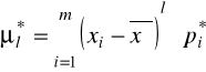
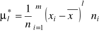
Определение. Начальным выборочным моментом порядка
называется среднее арифметическое
- х степеней всех значений выборки:
или
.
Из определения следует, что начальный выборочный момент первого порядка:
.
----------------------------------------------------------------
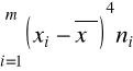
Определение. Центральным выборочным моментом порядка
называется среднее арифметическое
- х степеней отклонений наблюдаемых значений выборки от выборочного среднего
:
или
.
Из определения следует, что центральный выборочный момент второго порядка :
.
----------------------------------------------------------------
Определение. Выборочным коэффициентом асимметрии называется число
, определяемое формулой:
.
Выборочный коэффициент асимметрии служит для характеристики асимметрии полигона вариационного ряда. Если полигон асимметричен, то одна из ветвей его, начиная с вершины, имеет более пологий «спуск», чем другая.
Если
, то более пологий «спуск» полигона наблюдается слева; если
- справа. В первом случае асимметрию называют левосторонней, а во втором - правосторонней.
----------------------------------------------------------------
Определение. Выборочным коэффициентом эксцесса или коэффициентом крутости называется число
, определяемое формулой :
.
Выборочный коэффициент эксцесса служит для сравнения на «крутость» выборочного распределения с нормальным распределением.
Коэффициент эксцесса для случайной величины, распределенной по нормальному закону, равен нулю.
----------------------------------------------------------------
Поэтому за стандартное значение выборочного коэффициента эксцесса принимают
.
Если
, то полигон имеет более пологую вершину по сравнению с нормальной кривой; если
, то полигон более крутой по сравнению с нормальной кривой.
1.7. Вычисление числовых характеристик выборки
Таблица 6
|
|
|
|
|
|
|
|
|
|
|
|||||
|
|
|
|||||
|
|
|
|||||
|
|
|
|
|
|
- середины интервалов;
- частоты;
- объем выборки;
----------------------------------------------------------------------
с помощью суммы
находим
;
с помощью суммы
находим
и
;
с помощью суммы
находим
;
с помощью суммы
находим
.
----------------------------------------------------------------------
Математическая статистика


;





.






























