Релейной защиты на микропроцессорной основе
Содержание:
Аннотация 3
1. Параметры защищаемого оборудования 4
2. Выбор защит линии 110 кВ 5
3. Расчет защит линии 110 кВ 6
4. Выбор защит генератора, работающего на сборные шины ГРУ 17
5. Расчет защит генератора, работающего на сборные шины ГРУ 18
Список литературы 38
Аннотация
Релейная защита является важнейшей и наиболее ответственной частью автоматики, применяемой в современных энергосистемах. Релейная защита изучает вопросы по автоматической ликвидации повреждений и ненормальных режимов.
Задачи релейной защиты, ее роль и значение в обеспечении надежной работы энергосистем и бесперебойного снабжения электроэнергией потребителей. Это обусловлено усложнением схем и ростом электросетей. В связи с этим требованиям к быстроте действия, селективности, чувствительности и надежности работы релейной защиты увеличиваются. Все большее распространение получают устройства релейной защиты с использованием полупроводниковых приборов. Их применение открывает больше возможностей для создания быстродействующих защит.
В настоящее время разрабатываются устройства релейной защиты на микропроцессорной основе, что позволит еще больше увеличить быстродействие защит.
1. Параметры защищаемого оборудования
Параметры защищаемого генератора.
|
Тип |
Sном, МВА |
Частота вращения. об/мин. |
Рном, МВт |
Cos ном |
Iном, кА |
Uном, кВ |
nном, % |
Xd |
Xd |
Xd |
X2 |
X0 |
Схема соединения обм. статора |
Охлажд. обмоток |
Примечание |
|
|
Статор |
Ротор |
|||||||||||||||
|
ТВФ-63-2ЕУ3 |
78,75 |
3000 |
63 |
0,8 |
4,33 |
10,5 |
98,1 |
0,1361 |
0,202 |
1,5131 |
0,166 |
0,072 |
YY |
НВ |
КВ |
G1, G2 |
Имеют место обозначения:
Т - турбогенератор;
ВФ - водородное форсированное охлаждение;
63 - активная мощность, МВт;
2 - количество полюсов ротора;
Е - единая унифицированная серия;
У - климатическое исполнение - умеренный климат;
3 - категория размещения - в закрытом помещении, по ГОСТ 15150-69.
Параметры защищаемой воздушной линии.
|
Наименование линии |
Uном ВЛ, кВ |
Вид нейтрали |
Длина линии, км |
Тип линии |
Удельное реактивное сопротивление |
|
|
Прямой последов-ти Ом/км |
Нулевой последов-ти Ом/км |
|||||
|
W5 |
110 |
заземлена |
25 |
одноцепная |
0,4 |
0,8 |
2. Выбор защит линии 110 кВ
2.1 Защиты линии 110 кВ W5.
На одиночных линиях с односторонним питанием согласно ПУЭ (п.3.2.110) предусматриваться ступенчатые токовые защиты:
- От междуфазных к.з. комплект, состоящий:
а) из токовой отсечки и максимальной токовой защиты с выдержкой времени (для тупиковых линий)
2. От замыканий на землю комплект, состоящий:
а) из токовой отсечки нулевой последовательности и максимальной токовой защиты с выдержкой времени нулевой последовательности (для тупиковых линий)
3. Расчет защит линии 110 кВ.
3.1 Схема замещения прямой последовательности
Расчет выполняем в именованных единицах при Uбаз=115кВ
Приложение 1
Сопротивление системы:

Сопротивление генераторов:


Сопротивление линий:




Сопротивление трансформаторов без учета регулирования напряжения


Сопротивление трансформаторов Т1,Т2 с учетом РПН
ТДТН40000/110/10
Uном.вн=115 кВ ±12% (±12 ступеней)
Uном.нн=11 кВ
Uк.min=9.52%= Uк(РО)
Uк.ном=10,5%
Uк.max=11.56%= Uк(+РО)

Сопротивление трансформатора Т1,Т2 при крайней ступени «отрицательного» регулирования

где =1-0,12=0,88
Сопротивление трансформатора Т1,Т2 на 10-й ступени «положительного» регулирования

где =1+0,1=1,1

Сопротивление трансформатора Т5
ТДТН25000/110/10
Uном.вн=115 кВ ±12% (±12 ступеней)
Uном.нн=11 кВ
Uк(РО)=9.99%
Uк.ном=10,5%
Uк(+РО)=11.86%
Сопротивление трансформатора Т5 при номинальных данных

Сопротивление трансформатора Т5 при крайней ступени «отрицательного» регулирования

где =1-0,12=0,88
Сопротивление трансформатора Т5 на 10-й ступени «положительного» регулирования

где =1+0,1=1,1

3.2 Схема замещения нулевой последовательности.
Выбор режимов работы нейтралей 110 кВ трансформаторов:
- На ТЭЦ принят режим глухозаземленных нейтралей Т1 и Т2.
- На транзитной ПС принимаем режим: один трансформатор 25 МВА с глухозаземленной нейтралью, второй трансформатор нейтраль заземлена через разрядник (Т3 и Т4)
- На тупиковой ПС трансформатор Т5 работает с нейтралью заземленной через разрядник..
При составлении схемы учитываются сопротивления тех элементов, по которым проходят токи нулевой последовательности (схема представлена в приложении 2)
Приложение 2
Сопротивление нулевой последовательности системы:

Сопротивление нулевой последовательности линии:

КЛЭП=3,0 для 2-х цепных линий с грозозащитным тросом



КЛЭП=2,0 для одноцепных линий с грозозащитным тросом
Сопротивление трансформаторов

3.3 Расчет токов короткого замыкания в точках К1,К2,К3 для выбора настройки МТЗ линии W5.
Сворачиваем схему замещения прямой последовательности приведенной к точкам К3








Точка К1


Точка К2
X21=Xрез=X20+X11=12,5+15=22,5 Ом


Точка К3
Нормальный режим:
X22=Xрез=X21+X12 сред=22,5+55,5=78 Ом


Максимальный режим:
X22=Xрез=X21+X12 min=22,5+74,4=96.9 Ом


Выбираем комплект КЗ-9 для I ступени (ТО) и выбираем два комплекта КЗ-14 для II и III ступеней МТЗ с выдержками времени.
1 ступень
Ток срабатывания Iср выбирается из условия отстройки от тока 3-х фазного КЗ в точке К3 в максимальном режиме.

Котс=1,21,3 коэффициент отстройки
Принимаем:

nтт=200/5

Выбираем реле РТ 140/50 с последовательным соединением обмоток.
Чувствительность I ступени при 2-х фазном КЗ в конце линии


tср=0,1 сек для отстройки от tср разрядников установленных на линии.
2 ступень
Ток срабатывания Iср выбирается из условия отстройки от максимального рабочего тока защищаемой линии

Котс=1,21,3 коэффициент отстройки
Ксз=23 коэффициент самозапуска электродвигателя
Квоз=0,8 коэффициент возврата реле РТ-40 (РТ-140)



Выбираем реле РТ-140/20 с параллельным соединением обмоток.
Чувствительность II ступени к 2-х фазному КЗ в точке К3 в минимальном режиме:

Аналогично в нормальном режиме

Время срабатывания выбирается из условия согласования с МТЗ трансформатора на стороне 110 кВ

Принимаем:


3 ступень
Ток срабатывания Iср выбирается из условия обеспечения Кч 1,2 при КЗ в точке К3 в максимальном режиме.



Выбираем реле РТ-140/10 с параллельным соединением обмоток

Выбираем реле времени РВ-132


3.4 Расчет защиты от замыкания на землю
Сворачиваем схему замещения нулевой последовательности и определяем токи однофазного КЗ в точках К1 и К2 в различных режимах
|
Максимальный режим |
Минимальный режим |
|
|
|
|
|
|
|
|
|
|
|
|
Схема замещения принимает вид
|
Максимальный режим |
Минимальный режим |
|
|
|
|
|
|
|
Для точки КЗ К1 |
|
|
|
|
|
Для точки КЗ К2 |
|
|
|
|
|
Точка КЗ К1 |
|
|
|
|
|
Точка КЗ К2 |
|
|
|
|
Выбираем комплект КЗ-115, содержащий 3 токовых реле и два реле времени. Реле направления мощности нулевой последовательности не используем.
3.5 Выбор настройки токовой защиты от замыкания на землю
I ступень
nтт=200/5
Ток срабатывания выбираем по условию обеспечения требуемой чувствительности при КЗ на землю в конце линии в минимальном режиме (точка К2)

К4=1,5 требуемый коэффициент чувствительности.
Принимаем


Выбираем реле РТ-140/50 с параллельным соединением обмоток.

II ступень
Настройку II ступени выбираем из условий согласования со своей I ступенью (резервирование защит)

Принимаем


Выбираем реле РТ-140/20 с параллельным соединением обмоток.




III ступень
Настройку III ступени выбираем по условию отстройки от максимального тока небаланса протекающего через защиту при 3-з фазном КЗ за трансформатором (точка К3).

где:
Котс=1,25 коэффициент отстройки
Кпер=1,0 коэффициент учитывающий увеличение тока небаланса в переходном режиме
Кнб=0,051 коэффициент небаланса
I(3)=852 (А) расчетный ток КЗ
Iном.тр-ра=125 (А)

Кнб=0,1

Принимаем


Выбираем реле РТ-140/10 с параллельным соединением обмоток.



4. Выбор защит генератора, работающего на сборные шины ГРУ
В соответствии с ПУЭ устанавливаются следующие защиты:
- от многофазных КЗ в обмотках статора генератора и на его выводах продольная дифференциальная защита генератора;
- от КЗ между витками одной фазы в обмотке статора генератора поперечная дифференциальная токовая защита;
- от замыкания на землю в обмотке статора генератора защита не имеющая зоны нечувствительности;
- от внешних симметричных КЗ и для резервирования основных защит генератора дистанционная защита;
- от внешних несимметричных КЗ и перегрузок, а также для резервирования основных защит генератора токовая защита обратной последовательности с интегральной время-токовой характеристикой;
- от симметричных перегрузок токовая защита с использованием тока одной фазы;
- от перегрузки ротора генератора током возбуждения токовая защита с интегрально-зависимой характеристикой выдержки времени;
- от замыкания на землю в одной или двух точках цепи ротора генератора защита с наложением переменного напряжения частотой 25 Гц;
- то асинхронного режима при потере возбуждения генератора защита на реле сопротивления.
5. Расчет защит генератора, работающего на сборные шины ГРУ
5.1. Расчет токов КЗ для защит генератора
Схема замещения прямой последовательности.
Параметры схемы замещения взяты из раздела настоящего проекта расчет защит линии W5. Все параметры приведены к Uб=115 кВ.
Преобразуем схему замещения.




Схема примет вид:
|
Максимальный режим |
Минимальный режим |
|
|
|
|
|
|
Схема замещения принимает вид
|
Максимальный режим |
Минимальный режим |
|
Для точки КЗ К1 |
|
|
|
|
|
|
|
|
|
|
|
|
|
|
|
|
|
|
|
|
От генератора G1 |
|
|
|
|
|
Ток от системы и генератора G2 |
|
|
|
|
|
Приведем токи к стороне 10,5 кВ от генератора G1 |
|
|
|
|
|
|
|
|
От системы и G2 |
|
|
|
|
|
|
|
5.2 Расчет токов КЗ в точке К1 (шины 10,5 кВ ГРУ) в режиме отключения генератора G2
Схема замещения.
|
Максимальный режим |
Минимальный режим |
|
|
|
|
|
|
|
|
|
|
От генератора G1 |
|
|
|
|
|
От системы |
|
|
|
|
|
Приведем токи КЗ к стороне 10,5 кВ от генератора G1 |
|
|
|
|
|
|
|
|
От системы |
|
|
|
|
|
|
|
5.3 Расчет токов при КЗ в точке К2 (сторона 110 кВ)
Схема замещения прямой последовательности (используем данные из расчетов токов КЗ в точку К1)
|
Максимальный режим |
Минимальный режим |
|
=
|
=
|
|
|
|
|
|
|
|
|
|
|
От генераторов G1 и G2 |
|
|
|
|
|
От одного генератора G1(G2) |
|
|
|
|
|
Приведем токи к стороне 10,5 кВ от генератора G1 |
|
|
|
|
|
|
|
5.4 Расчет токов КЗ в точку К2 (шины 110 кВ) в режиме отключения генератора G2
|
Максимальный режим |
Минимальный режим |
|
|
|
|
|
|
|
|
|
|
Ток КЗ от генератора G1 |
|
|
|
|
|
Приведем токи к стороне 10,5 кВ от генератора G1 |
|
|
|
|
|
|
|
Результаты расчетов сведем в таблицу.
Необходимые токи КЗ для расчета защит генератора приведены к U=10,5 кВ.
|
Точка КЗ |
Ток КЗ, кА |
||||||||
|
Все оборудование включено |
Отключен G2 |
||||||||
|
Максимальный режим |
Минимальный режим |
Максимальный режим |
Минимальный режим |
||||||
|
Ток от G1 |
Ток от C и G2 |
Ток от G1 |
Ток от C и G2 |
Ток от G1 |
Ток от C |
Ток от G1 |
Ток от C |
||
|
К1 (шины 10,5 кВ) |
|
31,76 |
32,0 |
31,76 |
27,5 |
31,76 |
19,38 |
31,76 |
14,9 |
|
|
27,6 |
27,9 |
27,6 |
23,9 |
27,6 |
16,86 |
27,6 |
12,96 |
|
|
К2 (шины 110 кВ) |
|
15,39 |
|
10,62 |
|
18,73 |
|
14,56 |
|
|
|
13,38 |
|
9,24 |
|
16,29 |
|
12,67 |
|
5.5 Расчет защит генератора
5.5.1 Продольная дифференциальная защита
5.5.1.1 Продольная дифференциальная защита является основной быстродействующей защитой генератора и предназначена для защиты от внутренних междуфазных повреждений.
Защищаемая зона ограничена трансформаторами тока установленными со стороны нулевых выводов и со стороны фазных выводов генератора.
При срабатывании дифзащита действует:
на отключение выключателя генератора;
на пуск УРОВ этого выключателя;
на гашение поля генератора и возбудителя;
на релейную форсировку системы регулирования турбины;
на схему технологических защит на останов турбины.
5.5.1.2 Расчет уставок продольной дифзащиты генератора с реле ДЗТ-11/5

Ток срабатывания защиты:

nтт=8000/5

Wраб=144 витка число витков рабочей обмотки со стороны линейных выводов.
Определим число витков тормозной обмотки реле по условию отстройки защиты от тока небаланса:
а) при внешнем КЗ (точка К1)
ток 3-х фазного КЗ от генератора при КЗ на стороне 10,5 кВ в максимальном режиме.

Кодн=0,5 при одинаковых ТТ (в нейтрали и на фазных выводах генератора)
E=0,1 полная токовая погрешность трансформаторов

б) при несинхронном включении генератора

Iа.х. ток асинхронного хода при несинхронном включении генератора

Приводим Iа.х. к U=10,5 кВ


Принимаем Iнб расч=1600 А
Намагничивающая сила создаваемая током небаланса в рабочей обмотке реле в режиме несинхронного включения генератора:

где Котс=1,6 коэффициент отстройки.
МДС тормозной обмотки в условиях минимального торможения
По тормозной характеристике реле при Fраб=230,4 Ав определяем Fтор=350 Ав (Рис. 3.4 [ 7 ] )
Расчетное число витков тормозной обмотки:

Принимаем число витков тормозной обмотки

Чувствительность защиты при 2-х фазном КЗ на выводах генератора в режиме холостого хода генератора

Схема включения реле ДЗТ-11/5
5.5.2 Поперечная дифференциальная защита
Предназначена для защиты от витковых замыканий и выполняется на генераторах, обмотки статора которых содержат две параллельные ветви.
Выполнена на реле РТ-40/Ф с фильтром высших гармоник подключенного к ТТ с nтт=1500/5.
Защита действует на отключение генератора без выдержки времени.

используется I диапазон уставок (1,752,5 А)
5.5.3 Защита от замыкания на землю в обмотке статора генератора
При работе генератора на сборные шины защита выполняется на принципе контроля емкостного тока присоединения или на принципе соотношения уровней высших гармонических составляющих дифференциальных токов трех фаз.
Блок реле БРЭ 1301.03
Ток срабатывания защиты

Напряжение срабатывания защиты

Время срабатывания
tср=0,5 сек.
Пусковые органы:
реле напряжения нулевой последовательности и третьей гармоники подключаются к трансформатору напряжения TV со стороны линейных выводов генератора;
по токовым цепям защита подключается на разность вторичных токов ТТ, установленных со стороны линейных и нулевых выводов генератора.
5.5.4 Защита от внешних симметричных КЗ и для резервирования основных защит генератора дистанционная защита.
Защита выполняется одноступенчатой на одном из трех реле БРЭ 2801
м.н=680800
Характеристика круговая, расположенная в I квадранте комплексной плоскости и охватывает начало координат за счет смещения в III квадрант. Защита действует на отключение генератора, гашение поля генератора и возбудителя и на останов турбины.
Сопротивление срабатывания защиты выбирается по условию отстройки от режима наибольшей нагрузки.

Umin минимальное напряжение на выводах генератора принимается равным 0,95Uном
Iнагр.макс максимальный ток нагрузки, принимается равным 1,5Iном.

Для реле с круговой характеристикой

Котс=1,2 коэффициент отстройки
Кв=1,05 коэффициент возврата реле
м.ч.=800 угол максимальной чувствительности реле
нагр угол нагрузки
Угол нагрузки определяется:

где, 

тогда



Смещение характеристики в III квадрант по линии м.ч. возможно на 5%, 12% или 20% уставки.
Принимаем смещение в 12%.
Z=0,12Zуст
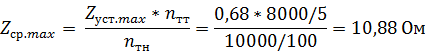
Сопротивление срабатывания защиты
Zуст.max= Zуст.maxZ=0,770,77*0,12=0,68 Ом
Сопротивление срабатывания реле

Проверим чувствительность защиты:
по замеряемому сопротивлению при КЗ на шинах 110 кВ (точка К2)
Сопротивление Xт приводим к стороне генераторного напряжения


по току точной работы при 3-х фазном КЗ в точку К2 (шины 110 кВ)


Iтр ток 10%-й точности реле, принимается равным 2А.

5.5.5 Защита генератора от внешних несимметричных КЗ и несимметричных перегрузок
Используем токовую защиту обратной последовательности с интегральной время-токовой характеристикой.
Защита выполняется на блоке БЭ 1101.
Пуск интегрального органа (ИО) следует производить при токе, превышающем I*2min для обеспечения соответствия характеристики блока защиты тепловой характеристики генератора во всем диапазоне токов перегрузки..
Соответствие выдержек времени интегрального органа напряжению:

обеспечивается, начиная с минимального относительного тока обратной последовательности.
I*2min=0,082 при А=510
Уставка пускового органа (ПО)
I*2 с.р. ПО=Котс* I*2min =1,05*0,082=0,086
Котс=1,05 коэффициент отстройки
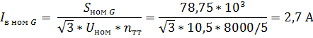
I2 с.р. ПО= I*2 с.р. ПО* Iв ном G =0,086*2,7=0,23 А

Допустимая длительность перегрузки определяется по тепловому действию тока равного I*2 с.р. ПО

Орган токовой отсечки (ОТО) резервирует отказ защит присоединений.
Ток срабатывания ОТО определяется из условия обеспечения необходимой чувствительности при 2-х фазном КЗ на шинах 110 кВ трансформатора (точка К2).

Кч=1,3 коэффициент чувствительности

Выдержка времени отсечки должна быть больше на ступень селективности максимальных выдержек времени резервных защит линий, отходящих от шин 110 кВ.
t=0,3 сек.
tср ОТО tВЛ+t=5,5+0,3=5,8 сек.
Ток срабатывания сигнального органа (СО)
I*2 с.р. СО= 0,05
I2 с.р. СО= 0,05*Iв ном G=0,05*2,7=0,135 А
Выдержка времени сигнального органа должна быть больше времени действия резервных защит блока.
tср СО 5,8+0,36,1 сек.
5.5.6 Защита генератора от симметричных перегрузок
Защита выполняется с помощью блока БЭ 1103 и действует при перегрузках генератора на его отключение с зависимой от тока статора выдержкой времени.
Характеристика интегрального органа блока БЭ 1103 соответствует перегрузочной характеристике обмотки статора генератора.
Сигнальный орган (СО) срабатывает с фиксированной выдержкой времени:
tc.з. (CО)=9 сек. при увеличении тока статора выше уставки сигнального органа.
Пусковой орган (ПО) срабатывает без выдержки времени при увеличении тока статора выше уставки пускового органа и осуществляет пуск интегрального органа. Интегральный орган (ИО) действует на отключение с зависимой от тока статора выдержкой времени.
Уставка пускового органа (ПО):
I*с.р. ПО= 1,1
Iс.з. ПО=1,1*Iном G=1,1*4330=4763 А
Уставка сигнального органа
I*с.р. СО= 1,05
Iс.з. СО=1,05*Iном G=1,05*4330=4546 А
Характеристика интегрального органа (ИО) защиты от перегрузок

Согласно техническим данным генератора (ПТЭ таб.5.1):
при допустимое время перегрузки 4 мин или 240 сек.;
при допустимое время перегрузки 3 мин или 180 сек.
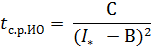
Расчет коэффициентов В, С характеристики ИО блока БЭ 1103 производится методом последовательного приближения:

Время срабатывания интегрального органа (ИО) блока ЬЭ 1103 уменьшено на 10 % относительно перегрузочной способности генератора (ПУЭ табл.5.1).
Где:
I1*, I2* кратности входных токов;
tг1, tг2 времена срабатывания интегрального органа.
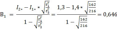
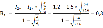
С1= tг1(I1* В1)2=162*(1,4-0,8)2=58,32
Согласно техническим данным на блок БЭ 1103:
В=0,81,0. Принимаем В=0,8.
С=350. Принимаем С=50.

При I*=1,3
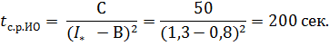
tср ИО=200 сек. < tдоп=240 сек.
5.5.7 Защита от перегрузки ротора турбогенератора током возбуждения
Предусматривается защита с интегрально-зависимой характеристикой выдержки времени. Защита выполняется на блок-реле БЭ 1102-2402А.04. Блок БЭ 1102 содержит функциональные узлы:
входное преобразовательное устройство (ВП), которое обеспечивает согласование номинального тока ротора генератора с номинальным током блока /БЭ 1102 в диапазоне их отношений от 0,7 до 1,0;
сигнальный орган (СО) срабатывающий с фиксированной выдержкой времени от 0,4 до 12,8 сек. при увеличении тока I* рот выше значения уставки;
пусковой орган (ПО) срабатывает без выдержки времени при увеличении I* рот выше значения уставки органа и осуществляет пуск и возврат интегрального органа;
интегральный орган (ИО) учитывает накопление тепла в обмотке ротора при перегрузке и срабатывает с зависимой от тока I* рот выдержкой времени.
Для пускового органа (ПО) принимается ток срабатывания защиты:
Iс.з. ПО=1,1*Iрот.ном =1,1*1815=1996 А
Iрот.ном =1815 А
Ток срабатывания сигнального органа защиты:
Iс.з. СО=1,05*Iрот.ном =1,05*1815=1905 А
Выдержка времени интегрального органа защиты:

Расчет коэффициентов В и С характеристики ИО блока БЭ 1102 производится методом последовательного приближения.
Время срабатывания ИО в табличных точках характеристики уменьшается на 10% относительно перегрузочной способности генератора (табл. 3.4 [ 7 ] ).

Где:
I1*, I2* кратности входных токов;
tг1, tг2 времена срабатывания интегрального органа блок БЭ 1102.
Согласно техническим данным на блок БЭ 1102.
В=0,81,0. Принимаем В=0,8.
С=340. Принимаем С=34.
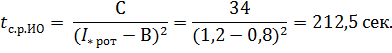
Срасч= tг1(I1* В)2=216*(1,2-0,8)2=34,56

tср ИО=212,5 сек. < tдоп=240 сек.
5.5.8 Защита от замыканий на землю в одной точке цепи возбуждения
Предусматривается защита для обнаружения замыкания на землю в одной точке цепи возбуждения генератора путем замера сопротивления изоляции обмотки ротора относительно земли.
Защита выполняется с наложением на цепь возбуждения переменного тока с частотой 25 Гц. Защита от замыкания на землю в одной точке цепи возбуждения должна иметь две уставки:
при снижении сопротивления цепи возбуждения до 10 кОм с действием на сигнал;
при снижении сопротивления цепи возбуждения до 4 кОм с действием на отключение.
Защита выполняется с помощью двух блоков: контроля сопротивления изоляции типа БЭ 1104 и частотного фильтра типа БЭ 1105, подключенных к цепям возбуждения генератора.
5.5.9 Защита от асинхронного режима при потере возбуждения
Защита выполняется с помощью одного реле в блоке реле сопротивления БРЭ 2801.
При потере возбуждения генератор работает в режиме потребления реактивной мощности из сети и при этом продолжает нести активную нагрузку. Вектор сопротивления перемещается в IV квадрант комплексной плоскости. Поэтому характеристика реле должна находиться в IIIIV квадрантах.
Для предотвращения срабатывания реле при нарушениях синхронизации в энергосистеме его характеристика смещается по оси комплексной плоскости в сторону III и IV квадрантов на величину 0,4Xd.
Угол чувствительности ми=26502660
Исходные данные:
Sном G=78,75 МВА
Uном G=10,5 кВт
Iном G=4330 А
Xd*=1,5131
Xd*=0,202
Сопротивление срабатывания защиты определяется из условия обеспечения надежной работы реле при потере возбуждения ненагруженного генератора:
Zс.з.=1,1*Xd=1,1*2,12=2,33 Ом
где
продольное синхронное
сопротивление генератора
Величина смещения характеристики реле по оси абсцисс комплексной плоскости сопротивлений:
Zсмещ=0,4*X'd=0,4*0,283=0,113 Ом
где
Сопротивление срабатывания реле:
ми=2600
Время действия защит 1-2 сек., что необходимо для предотвращения срабатывания защиты при нарушении динамической устойчивости и асинхронном ходе в системе.
Защита действует на отключение выключателя генератора АГП и гашения поля генератора и возбудителя.
Список литературы
- Правила устройства электроустановок, М.: Энергоатомиздат,1986г.
- Чернобровов Н.В., Семенов В.А, «Релейная защита энергетических систем»: М: Энергоатомиздат,1998 г
- Неклепаев Б.Н., Крючков И.П. «Электрическая часть электростанций и подстанций. Справочные материалы.» М.:Энергоатомиздат,1989г.
- Методика проверки трансформаторов тока в схемах РЗ по допустимой погрешности, разработанной горьковским отделением института «Энергосетьпроект», 1974 г.
- Руководящие указания «Релейная защита понижающих трансформаторов и автотрансформаторов 110 500 кВ» Схемы, 13А, Москва «Энергоатомиздат», 1985 г
- Руководящие указания «Релейная защита понижающих трансформаторов и автотрансформаторов 110 500 кВ» Расчеты, 13Б, Москва «Энергоатомиздат», 1985 г
- Орлова Л.М Методические указания к выполнению курсового проекта по дисциплине «Релейная защита электроэнергетических систем» и к дипломному проектированию для студентов заочников специальности 140203 по дисциплине «Релейная защита и автоматизация электроэнергетических систем», МЗЭТ ГОУ СПО ИЭК
- Цыганова И.И. Методические указания по выполнению курсового и дипломного проектирования по дисциплине «Релейная защита и автоматизация электроэнергетических систем», Иваново ИЭК 2004г
- Карнеева Л.К., Рожкова Л.Д. «Электрооборудование электростанций и подстанций», Иваново 2006 г












































































































