Расчёт спирального теплообменника для подогрева жидкого металла
Министерство образования и науки РФ
Государственное автономное образовательное учреждение
высшего образования
«Самарский государственный аэрокосмический университет
имени академика С.П. Королёва
(Национальный исследовательский университет)»
Институт двигателей и энергетических установок
Кафедра теплотехники и тепловых двигателей
РАСЧЕТНО-ПОЯСНИТЕЛЬНАЯ ЗАПИСКА
к курсовой работе
«Расчёт спирального теплообменника для подогрева жидкого металла»
Вариант №13
|
Выполнил: |
студентка группы 2313 |
|
Скачкова В.О. |
|
|
Проверил: |
Угланов Д.А. |
г. Самара 2015
Задание
Цель курсовой работы
Рассчитать теплообменный аппарат змеевикового типа для подогрева G кг/с жидкого металла от до .
Жидкий металл движется по трубке змеевика и подогревается горячим воздухом, протекающим по кольцевому каналу, образованному поверхностями кожуха и барабана. Горячий воздух поступает в теплообменный аппарат из электроподогревателя. Температура воздуха при выходе из подогревателя , на входе в теплообменный аппарат , на выходе из теплообменного аппарата .
В результате расчета должны быть определены размеры теплообменного аппарата: внутренний и наружный диаметры змеевика dвн и dII; Dб диаметр барабана; Dз диаметр змеевика; минимальный размер диаметра кожуха, при котором потеря давления в теплообменном аппарате Р не превышает заданного значения.
Расчет теплообменного аппарата провести без учета тепловых потерь в окружающую среду.
Рассчитать тепловую изоляцию подводящего трубопровода, выполненную в виде воздушной прослойки, заключенной между поверхностями подводящего и изоляционного трубопроводов.
По заданной толщине тепловой изоляции вычислить температуру воздуха на выходе из электронагревателя , необходимую для получения заданного значения на .
Диаметр подводящего трубопровода выбрать из условия движения по нему воздуха со скоростью u1 м/с.
Длина трубопровода Lтр. Температура окружающей среды tH.
Определить: dвн, dII,Dб, Dз, Dк, dm1, dm2, du1, du2,
Исходные данные
|
Параметры |
Значения |
|
, кг/с |
2 |
|
, |
600 |
|
, |
320 |
|
Р, Па |
50000 |
|
, |
500 |
|
, |
450 |
|
u1 ,м/с |
40 |
|
Lтр ,мм |
300 |
|
, мм |
15 |
Содержание
Задание …………………………………………………………………..2
Исходные данные………………………………………………………..3
1. Тепловой расчет………………………………………………………4
2. Гидравлический расчет……………………………………………..10
3. Расчет тепловых потерь…………………………………………….13
Заключение……………………………………………………………..17
Приложение…………………………………………………………….18
Список использованных источников…………………………………20
1. Тепловой расчет
1. Определяется средняя температура воздуха в теплообменном аппарате
(1)
2. Определяется среднелогарифмический температурный напор в теплообменнике
(2)
где наибольшая концевая разность температур независимо от того, на каком конце аппарата она получается; наименьшая концевая разность температур.
3. Определяется средняя температура металла
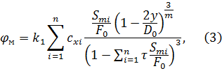
(3)
4. Выбирается среднее значение скорости жидкого металла. В соответствии со списком использованных источников [3] с.204, для жидких металлов

Анализ зависимостей, приведенных в пунктах 8, 16, 18, 19 и 30, показывает, что минимальный размер Dк получается при наименьшем возможном диаметре трубки змеевика.
5. Определяется среднее значение плотности жидкого металла в соответствии со списком использованных источников [8] с.14.

6. Определяется приближенное значение площади поперечного сечения трубки змеевика
(4)
7. Определяется диаметр трубки змеевика
(5)
Полученная величина округляется до стандартного значения. Практически для жидкометаллических теплоносителей величина принимается в пределах 10…20мм.
8. Выбирается значение наружного диаметра трубки змеевика
(6)
где толщина стенки трубки, определяемая из расчета на прочность.
В данном задании расчет на прочность не производится. Из условия надежности при длительной эксплуатации величина должна быть не менее 1,5…2 мм.
9. Определяется окончательное значение
(7)
10. Определяется окончательное значение
(8)
11. Определяется количество тепла, необходимое для нагревания кг/с металла от до
(9)
где среднее значение теплоемкости в данном интервале температур (см. табл. 1) [8].
12. Определяется расход воздуха через теплообменный аппарат
(10)
где средняя теплоемкость воздуха (см. табл. 2) [8].
13. Выбирается среднее значение скорости воздуха с учетом загромождения сечения кольцевого канала змеевиком. Целесообразно задаться тремя значениями скорости воздуха в пределах [3] с.204.

14. Определяется
(11)
где среднее давление в кольцевом канале.
15. Определяется приближенное значение площади поперечного сечения кольцевого канала с учетом загромождения его змеевиком
. (12)
16. Выбирается диаметр барабана из условия [3] с.173.
(13)

17. Определяется диаметр кожуха из условия
(14)
где
(15)

Представленное выражение является квадратным уравнением относительно. После постановки числовых значений уравнение решается обычным способом. Найденное значение округляется до ближайшего целого числа миллиметров.

18. Определяется средний диаметр змеевика
(16)
19. Определяется наружный диаметр змеевика
(17)
20. Определяется уточненное значение площади сечения кольцевого канала
(18)
21. По уточненному значению находится средняя скорость в узком сечении кольцевого канала
(19)
22. Определяется коэффициент теплоотдачи от воздуха к змеевику


(20)
где и выбираются по из табл.2. [8]
Коэффициент теплоотдачи для первого витка змеевика

Коэффициент теплоотдачи для второго витка змеевика

Среднее значение коэффициента теплоотдачи для всего змеевика
(21)
где z число витков змеевика.
Поскольку z неизвестно, то принимается по соотношению (20).
23. Определяется коэффициент теплоотдачи от жидкого металла к змеевику [2] с.330.


(22)
Значение физических параметров выбираются по из табл.1. [8]
Поправка на кривизну змеевика [2] с.92.
(23)
(24)
24. Определяется суммарное тепловое сопротивление

где коэффициент теплопроводности материала змеевика.
В качестве материала трубки змеевика используются аустенитные хромоникелевые стали типа 1Х18Н9Т и др. Теплопроводность в интервале температур 100700 изменяется в пределах . Температурная зависимость может приниматься линейной. Ориентировочно (с погрешностью 10-15%) теплопроводность сталей аустенитного класса может быть определена по формуле [6] с.390.

Пределы применимости формулы для сталей аустенитного класса при
Практически , поэтому температура стенки змеевика близка к температуре расплава. В формуле (25) величину следует принимать при средней температуре расплава (п.3).

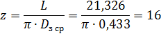
25.Определяется длина трубки змеевика

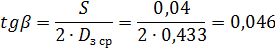
26. Выбирается шаг S между витками змеевика

27. Определяется угол наклона витка

28. Определяется число витков змеевика

29. Определяется окончательное значение коэффициента теплоотдачи

Погрешность

2. Гидравлический расчет
Цель гидравлического расчета определение необратимой потери давления воздушного потока, проходящего через аппарат.
Полное сопротивление аппарата складывается из местных потерь, обусловленных загромождением поперечного сечения кожуха змеевиком и барабаном и сопротивлением трения, возникающего при течении в длинных каналах.
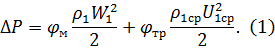
1. Потеря давления в общем виде определяется соотношением:

Индекс «1» относится к условиям входа потока в кожух. Величина складывается из коэффициентов местного сопротивления для барабана и змеевика

В уравнении (1) - скорость набегающего потока в основном канале. Для данной схемы теплообменника величина определяется по максимальной площади канала

Где ; - определяется по условиям входа:
2. Определение .
При наличии в одном сечении трубы нескольких тел (комплект тел, в общем случае разных форм и размеров) суммарный коэффициент местного сопротивления этих тел подсчитывается по формуле, полученной И.Е.Идельчиком [6], с.345, (10-4)

Где y расстояние центра тяжести тела от оси канала;
; - площадь и диаметр наружного канала;
- площадь миделевого сечения тел, находящихся в канале;
- коэффициент лобового сопротивления тела, зависящий от формы тела, числа Re и других параметров.
Определяется из справочных данных

где - сила лобового сопротивления;
- площадь миделевого сечения тел, находящихся в канале;
k коэффициент, учитывающий неравномерность скоростного поля. Является функцией числа Re канала.
Определяется из справочных таблиц [6], с. 343.
В таблице 1 где - м/с скорость, отнесенная к полной площади канала
Величина , входящая в (3), связана с k отношением

поправочный коэффициент, учитывающий влияние формы и взаимное расположение отдельных тел.
Для случая осесимметричной системы (рисунок 1)

С учетом последних значений выражение (3) перепишется в форме

Площади:

[6], c. 354, диаграмма 10 6;
- коэффициент сопротивления одного витка змеевика.
На основе литературных данных применительно к условиям проектирования данной конструкции величина может быть выбрана в пределах В данных расчетах принимаем
3. Определение .
Величина определяется соотношением

где - длина змеевиковой части теплообменника;
гидравлический диаметр проточной части теплообменника;
- площадь проточной части;
- смоченный периметр;

Величина определяется на основе опытных данных по результатам продувки труб с различной шероховатостью и зависит от числа

Условно считая проточную часть гладкой, величину можно определить на основе закона Флазиуса (в пределах )

Вычислим , соответствующее значение k=1,23; тогда






По результатам расчета строится график и для заданного определяются искомые значения
3. Расчет тепловых потерь на участке подводящего трубопровода
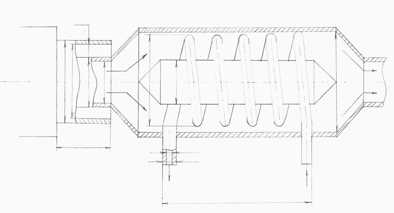
На участке между подогревателем и теплообменником тепловая изоляция осуществлена за счет воздушной прослойки между внешним кожухом и центральным трубопроводом (рисунок 1). Определение тепловых потерь в этом случае затруднительно, так как термическое сопротивление подобной системы зависит от температур внутренней и внешней стенки, величина которых заведомо неизвестна. Поэтому задачу необходимо решать методом последовательных приближений.
С этой целью прежде всего выбираются конструктивные размеры трубопровода.
- Величина определяется по уравнению расхода, принимая скорость движения воздуха заданной

[кг/] плотность горячего воздуха, определяется по параметрам на входе в теплообменник.
Из (1) следует .
Толщина стенок трубопровода - выбирается в пределах . Принимаем Значения диаметров



- В первом (и достаточно точном) приближении можно принять, что температура внутренней стенки .

(высокая скорость движения и соответственно достаточно высокое значение коэффициента теплоотдачи ).
- В качестве неизвестной величины, определяющей тепловые потери, принимается температура внешней стенки .
При соблюдении условия (2) с возрастанием тепловой поток от внутренней стенки к внешней убывает, а тепловой поток от внешней стенки в окружающую среду возрастает.
Задаваясь рядом значений , вычисляя и и откладывая графически зависимости в точке пересечения графиков определяются равновесная температура внешней стенки и величина тепловых потерь.
- Расчет

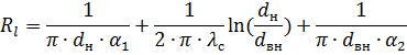
Где полное термическое сопротивление между воздухом во внутренней трубе и внешней поверхностью наружной трубы складывается из четырех элементов:

коэффициент теплоотдачи от воздуха во внутренней трубе к поверхности на диаметре .
- коэффициент теплопроводности материала стенок (хромоникелевая сталь) принимается при температурах и ;
эквивалентный коэффициент теплопроводности кольцевой воздушной прослойки, учитывающий перенос тепла путем теплопроводности и конвекцией в ограниченном пространстве.
Величина определяется из отношения

где физические параметры воздуха отнесены к температуре.


Величина определяется соотношением [2], с. 79:

- коэффициент теплопроводности воздуха при средней температуре в воздушной прослойке

- поправочный множитель, учитывающий влияние конвекции на перенос тепла в кольцевой прослойке.
Определяется соотношением:


Физические величины, входящие в состав уравнения (8), принимаются при средней температуре воздуха по соотношению (7).
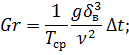
Развернутое выражение критерия Gr имеет вид

Где - температурный напор;
- толщина воздушной прослойки;
- кинематическая вязкость воздуха, [];
- Определение .
Величина определяется как тепло, отдаваемое внешней поверхностью (на диаметре ) в окружающую среду путем естественной конвекции:

Величина определяется из критериального соотношения [2], с.73 (табл. 4).

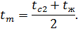
Индекс «m» указывает, что физические параметры, входящие в состав критериев, берутся при средней температуре

Развернутое выражение для критерия Gr имеет вид

Где

кинематическая вязкость воздуха при температуре
- Вычислив величины и при нескольких значениях (34), строится график (рисунок 2) и определяется равновесная потерь. Найденные величины являются первым приближением. Погрешность расчета не превышает 5-10%, поэтому дальнейшие уточнения не проводятся. Следует иметь в виду, что величина тепловых потерь заметно зависит от толщины воздушной прослойки :

Поэтому более правильно было бы задаться несколькими значениями с целью подбора оптимальной толщины воздушной прослойки. В силу трудоемкости расчетов в курсовой работе расчет производится только для заданного .


- Определяется значение температуры воздуха на выходе из электронагревателя, необходимое для получения заданного значения .

Где - теплоемкость воздуха может быть оценена по значению температуры .

Заключение
В данной курсовой работе был проведен тепловой и гидравлический расчет теплообменного аппарата змеевикового типа для подогрева жидкого металла. В результате расчета были определены размеры теплообменного аппарата: внутренний и наружный диаметры змеевика и ; диаметр барабана ; диаметр змеевика ; минимальный размер кожуха, при котором потеря давления в теплообменном аппарате не превышает заданного значения ,
Была рассчитана тепловая изоляция подводящего трубопровода, выполненная в виде воздушной прослойки, заключенной между поверхностями подводящего и изоляционного трубопроводов . По данной толщине тепловой изоляции вычислена температура воздуха на выходе из электронагревателя, необходимая для получения заданного значения ,
ПРИЛОЖЕНИЕ

Рисунок 1 схема теплообменного аппарата

Рисунок 2 графики Q1 и Q2
Таблица 1 Таблица значений Q1 и Q2
|
tc2, С |
Q2, Дж |
Q1, Дж |
|
20 |
57704,60155 |
0 |
|
30 |
56711,06392 |
1827,738355 |
|
40 |
55717,86455 |
4111,207116 |
|
50 |
54724,95155 |
6556,536391 |
|
60 |
53732,27502 |
9089,562539 |
|
70 |
52739,78819 |
11676,04187 |
|
80 |
51747,44808 |
14297,71151 |
|
90 |
50755,21584 |
16944,3421 |
|
130 |
46786,72989 |
27702,99466 |
|
140 |
45794,59159 |
30432,05669 |
|
150 |
44802,40588 |
33178,72389 |
|
160 |
43810,15641 |
35944,81848 |
|
170 |
42817,82852 |
38732,4535 |
|
180 |
41825,40896 |
41543,9596 |
|
190 |
40832,88559 |
44381,83563 |
|
200 |
39840,24728 |
47248,71564 |
|
210 |
38847,48372 |
50147,34729 |
|
220 |
37854,58537 |
53080,57832 |
|
230 |
36861,54343 |
56051,34856 |
|
280 |
31893,92467 |
71577,33141 |
|
290 |
30899,87944 |
74840,01119 |
|
300 |
29905,65122 |
78163,30674 |
|
310 |
28911,23789 |
81550,89612 |
|
320 |
27916,63821 |
85006,56153 |
|
330 |
26921,8518 |
88534,19201 |
|
340 |
25926,8791 |
92137,78575 |
|
350 |
24931,72125 |
95821,45202 |
|
370 |
22940,85799 |
103446,0033 |
|
400 |
19953,23681 |
115592,6239 |
|
410 |
18957,02322 |
119849,3737 |
|
440 |
15977,70183 |
133311,8913 |
|
450 |
14980,08788 |
138047,2251 |
|
460 |
13982,33448 |
142915,2719 |
|
490 |
10988,27442 |
158370,4732 |
|
500 |
9989,998161 |
163824,6188 |
|
510 |
8991,597741 |
169439,5493 |
|
520 |
7993,074562 |
175221,1321 |
|
530 |
6994,429158 |
181175,3073 |
|
540 |
5995,660933 |
187308,0821 |
|
550 |
4996,767754 |
193625,5251 |
|
560 |
3997,745251 |
200133,7601 |
|
570 |
2998,585468 |
206838,9601 |
|
580 |
1999,273853 |
213747,3401 |
Список использованных источников
- Под ред. В.К.Кошкина. Основы теплопередачи в авиационной и ракетной технике.
- Михеев М.А. Основы теплопередачи. М., «Энергия», 1977, с. 343.
- Петунин В.В. Теплоэнергетика ядерных установок. М., Атомиздат, 1960.
- Воскресенский К.Д. Сборник расчетов и задач по теплопередаче. М., Госэнергоиздат, 1959.
- Кутателадзе С.С., Боришанский В.М. Справочник по теплопередаче. М., Госэнергоиздат, 1959.
- Идельчие И.Е. Справочник по гидравлическим сопротивлениям. М., Госэнергоиздат, 1960.
- Исаченко В.П. Теплопередача. М., «Энергия», 1963, с. 439.
- Огородников Н.Н., Довгялло А.И. Расчет спирального теплообменника для подогрева жидкого металла. Куйбышев, КуАИ, 1979.
PAGE \* MERGEFORMAT 1
Расчёт спирального теплообменника для подогрева жидкого металла