ПРИЁМНИК СИГНАЛОВ С ИМПУЛЬСНОЙ МОДУЛЯЦИЕЙ
МИНИСТЕРСТВО ОБРАЗОВАНИЯ И НАУКИ УКРАИНЫ
Харьковский национальный университет радиоэлектроники
Кафедра радиоэлектронных систем
КУРСОВАЯ РАБОТА
ПОЯСНИТЕЛЬНАЯ ЗАПИСКА
ПРИЁМНИК СИГНАЛОВ С ИМПУЛЬСНОЙ МОДУЛЯЦИЕЙ
дисциплина: Радиоприёмные устройства
Выполнил Проверил
студент группы РТ-12-1 преподаватель
Милько А. С. Цопа А. И.
Харьков 2015
СОДЕРЖАНИЕ
ВВЕДЕНИЕ……………………………………………………………………………..
1. Обоснование выбранного варианта технического решения приёмника……….
2. Эскизный расчёт приёмника……………………………………………………….
2.1. Расчёт полосы пропускания линейного тракта………………………………..
2.2. Расчёт коэффициента шума линейного тракта…………………………………
2.3. Обеспечение частотной избирательности……………………………………..
2.4. Выбор вида селективной системы тракта УПЧ………………………………..
2.5. Расчёт коэффициента передачи линейного тракта……………………………
3. Электрический расчёт каскада приёмника………………………………………
Выводы………………………………………………………………………………..
Список литературы…………………………………………………………………..
Приложения…………………………………………………………………………..
ВВЕДЕНИЕ
Современную радиотехнику трудно представить без такой важной составляющей, как радиоприёмное устройство. Радиоприёмным устройством принято называть систему таких элементов, с помощью которых осуществляется улавливание радиосигналов, их преобразование и извлечение из них информации. Все радиоприёмники разделяются на две группы: профессиональные и радиовещательные. Профессиональные приёмники предназначаются для выполнения специальных технических задач: радиосвязи, радиолокации, радионавигации, радиотелемеханики, радиотелеметрии и т. д. Радиовещательные приёмники служат для приёма звуковых и телевизионных программ.
В данном курсовом проекте ставится задача разработки приёмника сигналов с импульсной модуляцией, имеющего несущую частоту равную 42.5 МГц и длительность импульса 28 мкс, для системы радиоуправления. Приёмник имеет чувствительность равную 3 мкВ, промежуточную частоту равную 8 МГц. Так же данный приёмник должен обеспечивать избирательность по зеркальному каналу не хуже 42 дБ и избирательность по соседнему каналу 32.5 дБ при расстройке по соседнему каналу равной 3.8 ширины полосы пропускания линейного тракта.
Мною была выбрана одна из разновидностей импульсной модуляции, амплитудно-импульсная модуляция (АИМ), так как, при амплитудно-импульсной модуляции ширина спектра модулированного сигнала, как правило, значительно меньше, чем при угловой модуляции (частотной и фазовой). Таким образом, на лицо экономия частотного спектра: для амплитудно-модулированных сигналов можно отводить при передачи более узкую полосу частот. Такая модуляция полезна также для временного разделения нескольких сигналов при передачи их по одному каналу связи, так как, время между выборками может быть использовано для передачи выборки другого сигнала (конечно, при увеличении полосы пропускания).
1. Обоснование выбранного варианта технического решения приёмника
Для реализации приёмного устройства необходимо выбрать его структурную схему. Структурные схемы приёмников различаются прежде всего, построение радиотракта. Существует большое количество приёмных устройств отличающихся по принципу построения радиотракта, но наибольшее распространение получили приёмники прямого усиления, детекторные и супергетеродинные приёмники.
Для выбора схемы приёмного устройства, которое обеспечивало бы задание техническое требования нужно проанализировать различные схемы радиоприёмных устройств.
Детекторный приёмник
Наиболее простым является приёмник прямого детектирования (детекторный), структурная схема представлена на Рис. 1.1.

Рис.1.1 - Схема детекторного приёмника
Перестраиваемая входная цепь (ВЦ) осуществляет частотную избирательность и настройку приёмника на частоту принимаемого сигнала.
Детектор (Д) преобразует принимаемые модулированные сигналы в напряжение, соответствующее передаваемому сообщению.
В последетекторном тракте реализуется необходимое усиление низкочастотного сигнала.
Достоинством схемы Рис.1. является её простота, а недостатки - низкая чувствительность и избирательность из-за отсутствия усиления до детектора и простоты фильтра. Имеет ограниченное применение в миллиметровом и более высокочастотных диапазонах волн.
Приёмник прямого усиления
Схема приёмника усиления представлена на Рис.1.2. Этот приёмник отличается наличием усилителей радиочастоты, настроенных на частоту принимаемого сигнала и перестраиваемых вместе с ВЦ. Имеет значительно большую чувствительность и избирательность.

Рис.1.2 - Схема приёмника прямого усиления
Недостатками этого приёмника являются:
1. Сложность системы управления. Необходимость обеспечения избирательности требует формирования АЧХ радиотракта, близкой к прямоугольной, что предполагает использование резонансных цепей (например, фильтров из нескольких колебательных контуров). При этом, очевидно, усложняется перестройка по диапазону.
2. Трудность обеспечения усиления на высокой частоте, а, следовательно, сравнительно низкая чувствительность приёмника. Кроме того, при большом количестве усилительных каскадов, работающих на одной частоте, возникает опасность самовозбуждения.
3. Непостоянство параметров радиотракта при перестройке. Перестройка контуров обеспечивается изменением емкости, что заметно увеличивает.
В настоящее время РПрУ с фиксированной настройкой применяются лишь в микроволновом и оптическом диапазонах.
Супергетеродинный приёмник
Перечисленных выше недостатков лишена схема супергетеродинного приёмника, изображенного на Рис.1.3.

Рис.1.3 - Схема супергетеродинного приёмника
В радиотракте помимо усиления сигнала происходит преобразование частоты принятого колебания. На Рис.1.3 представлена схема с однократным преобразованием. В таком примере сигналы частоты fc преобразуются в преобразователе частоты (ПрЧ), следующей из смесителя (См), генератора вспомогательных колебаний - гетеродина (Г) и фильтра (например, фильтра сосредоточенной селекции - ФСС) в колебания фиксированной, так называемой промежуточной частоты fпр, на которой и осуществляются основное усиление и частотная избирательность. Смеситель содержит нелинейный элемент или элемент с переменным параметром, поэтому в результате воздействия сигналов с частотам fc и fг на его выходе возникают колебания с комбинационными частотами:
, где n,k - целые числа от нуля до бесконечности. Одна из этих комбинационных составляющих выделяется фильтром на выходе смесителя и используется в качестве новой несущей частоты выходного сигнала, усиливаемого затем усилителем промежуточной частоты УПЧ, который может содержать несколько каскадов апериодических усилителей. Обычно используется наиболее интенсивная комбинационная составляющая с k=1, n=1 (простое преобразование). Если , то преобразование называется комбинационным. Чаще всего в качестве промежуточной используется разносная частота fпр=fг-fc. При этом происходит понижение частоты и облегчается дальнейшее усиление, а верхняя настройка гетеродина () упрощает сопряжение настроек контуров, настроенных на разные частоты. Сопряженная перестройка ВЦ, резонансных цепей УРЧ и гетеродина обеспечивает постоянство fпр при перестройке по диапазону, что дает возможность использовать в тракте промежуточной частоты сложные неперестраиваемые фильтры сосредоточенной селекции, реализующие АЧХ, близкую к идеальной и обеспечивающие основную избирательность.
В супергетеродинном приёмнике реализуется высокое устойчивое усиление за счёт ослабления роли паразитных обратных связей. Основные качественные показатели практически не изменяются при перестройке приёмника, так как, определяются в основном неперестраиваемым трактом промежуточной частоты.
Однако, такой приёмник не лишён недостатков, основным из которых является наличие побочных каналов приёма, а также влияние нестабильности частоты гетеродина на настройку и возможность излучения колебаний гетеродина через приёмную антенну.
При выборе структурной схемы приёмного устройства сигналов с импульсной модуляцией я учёл требования технического задания, а именно: обеспечение сравнительно высокой чувствительности, избирательности, стабильности частоты гетеродина, а также учёл минимум искажений формы импульсных сигналов при их усилении. Супергетеродинная схема обладает рядом преимуществ по сравнению с другими схемами приёмников. Опираясь на вышесказанное, я остановил свой выбор на супергетеродинной схеме приёмника с однократным преобразованием частоты.
2. Эскизный расчёт приёмника
2.1. Расчёт полосы пропускания линейного тракта
Исходные данные:
f0=42,5 МГц несущая частота сигнала;
длительность радиоимпульса;
fпч=8 МГЦ промежуточная частота.
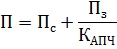
Ширина полосы пропускания линейного тракта П складывается из:
ширины спектра принимаемого сигнала Пс;
доплеровского смещения частоты сигнала fД;
запаса полосы, требуемого для учёта нестабильности и неточностей настроек приёмника Пз.
И определяется по формуле:

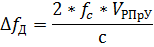
Доплеровское смещение:

где частота сигнала;
с=3*108 скорость света (м/с);
скорость перемещения мобильного приёмника (м/с).
Но, так как, у меня приёмник стационарный, то и ширина полосы пропускания данного приёмника рассчитывается по формуле:



где относительная нестабильность несущей частоты принимаемого сигнала; в данном передатчике применим кварцевую стабилизацию несущей частоты. При этом ;
относительная нестабильность частоты гетеродина, которую на данном этапе можно оценить лишь приблизительно. Выбрав транзисторный однокаскадный гетеродин с кварцевой стабилизацией, для него ;
относительная погрешность и нестабильность настройки контуров тракта промежуточной частоты, принимаем ;
относительная нестабильность частоты, вызванная неточностью настройки контуров гетеродина, .
Для расчёта ещё необходима частота гетеродина. Я выбрал верхнюю настройку гетеродина, т.е. частота гетеродина больше частоты сигнала на . Верхняя настройка гетеродина обладает рядом преимуществ по сравнению с нижней, а именно:
высшие гармоники fг заведомо не попадают в полосу пропускания входного устройства;
диапазон перестройки гетеродина оказывается уже.



Из расчёта видно, что П существенно превышает ширину спектра сигнала Пс. Для уменьшения полосы пропускания используем в приёмнике автоматическую подстройку частоты гетеродина (АПЧГ).
В этом случае полоса пропускания приёмника рассчитывается по формуле:

где коэффициент подстройки частоты системы АПЧ.
Выбираю для большего приближения полосы пропускания приёмника к ширине спектра принимаемого сигнала.

2.2. Расчёт коэффициента шума линейного тракта
Исходные данные:
;
;
;

При выборе структурной схемы преселектора, исходя из заданной реальной чувствительности, необходимо рассчитать допустимый коэффициент шума приёмника. В техническом задании реальная чувствительность задана в виде электродвижущей силы (ЭДС) в антенне, при которой обеспечивается заданное соотношение сигнал/шум на выходе приёмника.
Для расчёта допустимого коэффициента шума нужно рассчитать требуемое входное отношение сигнал/шум, которое рассчитывается по формуле:

где минимально допустимое отношение сигнал/шум на выходе приёмника;
пик-фактор модулирующего сообщения, т.е. отношение максимального напряжения к действующему. При приёме импульсного сигнала ;
максимальный коэффициент модуляции сигнала, М=0,3;
полоса пропускания УНЧ. Она определяется по формуле ;
шумовая полоса линейного тракта.



Допустимый коэффициент шума приёмника рассчитывают по формуле:

где удельная напряженность поля внешней помехи в полосе 1 Гц, имеющая размерность В/м. Этот параметр выбирается из Рис.2.1;
действующая высота антенны;
Дж/К постоянная Больцмана;
стандартная температура приёмника;
эквивалентная шумовая полоса пропускания приёмника;
активное внутреннее сопротивление антенны.
Из Табл.2.1 выбираем действующую высоту антенны и её активное внутреннее сопротивление исходя из условия, что данный приёмник работает на ультракоротких волнах (УКВ), так как, несущая частота сигнала равняется 42,5 МГц.
Таблица 2.1
|
Тип антенны |
Диапазон |
hД, м |
RA, Ом |
|
Внешняя |
ДВ, СВ, КВ |
|
|
|
Штыревая |
КВ |
|
|
|
Автомобильная штыревая |
ДВ, СВ, КВ |
|
|
|
Магнитная |
ДВ, СВ |
|
|
|
Штыревая |
УКВ |
|
|
Для данного диапазона частот применяется штыревая антенна со следующими параметрами:
;
.

Рис 2.1 Частотная зависимость удельной напряженности поля внешней помехи
1 промышленной, 2 атмосферной, 3 космической
Так как разрабатываемый приёмник будет находится в условиях сельской местности, то промышленных помех не будет и принимаем Eп равную удельной напряженности поля атмосферной помехи:

В результате расчёта по формуле при такой удельной напряженности поля допустимый коэффициент шума ШД оказывается меньше единицы (ШД1). В таком случае приёмник не реализуем.
Для увеличения допустимого коэффициента шума зададим предельное значение ЕП=0. В таком случае допустимый коэффициент шума равен:

Так как ШД5, то нужно ставить малошумящий усилитель.
Теперь нужно рассчитать общий коэффициент шума Ш0 данного супергетеродинного приёмника:

где коэффициенты передачи по мощности фидера, входной цепи, УРЧ и смесителя соответственно;
коэффициенты шума входной цепи, УРЧ, смесителя и УПЧ соответственно.
Общий коэффициент шума определяется коэффициентом шума ВЦ и первыми каскадами УРЧ, так как, шумовые и усилительные свойства последующих каскадов не оказывают существенного влияния на него.
Из этого следует, что общий коэффициент шума супергетеродинного приёмника Ш0 можно рассчитать по формуле:

Из расчётов видно, что общий коэффициент шума приёмника меньше допустимого коэффициента шума . Из этого следует вывод, что приёмник реализуем.
2.3. Обеспечение частотной избирательности
Исходные данные для расчёта:
;
;
;

Для определения избирательности по зеркальному каналу сначала нужно определить обобщенную расстройку зеркального канала. При верхней настройке гетеродина она определяется по формуле:

Избирательность по зеркальному каналу :

Следующий расчёт расчёт числа контуров n, работающих на частоте принимаемого сигнала при заданной избирательности по зеркальному каналу покажет необходимость применения резонансного УРЧ.

где ;
;
;
.
В связи с тем, что рассчитываемое радиоприёмное устройство перестраиваемое, то есть, настроено на одну частоту, то вместе подставляем несущую частоту сигнала .
Эквивалентная добротность входного контура определяется формулой:


Согласно расчёту нет необходимости применения резонансного УРЧ, так как, однокаскадный преселектор обеспечит требуемую избирательность по зеркальному каналу, которая была задана в техническом задании 33 дБ (не хуже).
2.4. Выбор вида селективной системы тракта УПЧ
Исходные данные для расчёта:
;
;
;
Вид селективной системы определяется полосой пропускания приёмника и заданной частотной избирательностью по соседнему каналу . Тракт промежуточной частоты может быть построен с распределённой или сосредоточенной избирательностью.
Для данного приёмника целесообразно использовать УПЧ с распределительной избирательностью, так как, данный приёмник является приёмником импульсных сигналов. В УПЧ с распределённой избирательностью каждый каскад УПЧ с одиночным контуром или связанными контурами вносит свой вклад в частотную избирательность и усиление УПЧ.
Для определения избирательности по соседнему каналу сначала нужно определить обобщенную расстройку соседнего канала:

где


Избирательность по соседнему каналу :


2.5. Расчёт коэффициента передачи линейного тракта
Коэффициент усиления линейного тракта должен быть выбран с запасом:

где напряжение на входе детектора, необходимое для его нормальной работы. Оно выбирается в пределах


где , , , коэффициенты усиления входной цепи, усилителя радиочастоты, преобразователя частоты и усилителя промежуточной частоты соответственно. Они выбираются из Таблицы 2.2.
Таблица 2.2
|
Наименование цепи или каскада |
Обозначение |
Значение коэффициента усиления (передачи) |
|
Входная цепь с наружной антенной при коэффициенте включения nвх=0,1 |
|
0,1-0,6 |
|
Каскад усилителя высокой частоты: резонансный апериодический |
|
3-7 3-5 |
|
Каскад усилителя промежуточной частоты: Апериодический Одноконтурный широкополосный Одноконтурный широкополосный на входе детектора двухконтурный |
|
10-40*103 20-30*103 30-150*103 15-20*103 |
|
Преобразователь частоты: с двухконтурным фильтром с ФСС |
|
12-20 7-12 |
Мною были выбраны вариации каскадов и их значения коэффициентов усиления описанные в Таблице 2.3.
Таблица 2.3
|
Наименование цепи или каскада |
Обозначение |
Значение коэффициента усиления (передачи) |
|
Входная цепь с наружной антенной при коэффициенте включения nвк=0,1 |
|
0,4 |
|
Апериодический каскад усилителя радиочастоты |
|
3-5 |
|
Двухконтурный каскад усилителя промежуточной частоты |
|
20*102 |
|
Преобразователь частоты с ФСС |
|
11 |
3. Электрический расчёт приёмника
При выборе схемы для расчёта импульсного детектора я остановил свой выбор на последовательной схеме диодного детектора с цепью коррекции, потому что последовательная схема получила наибольшее распространение, так как, она имеет большее входное сопротивление при тех же параметрах нагрузки и лучшую фильтрацию высокочастотного напряжения, чем параллельная. Так же такая схема имеет достаточно простую конструкцию, что обеспечивает надёжность и меньшие экономические затраты на её изготовление.
Последовательная схема диодного детектора с цепью коррекции отличается от обычной последовательной схемы увеличенным сопротивлением нагрузки детектора и дополнительными элементами, такими как специальный дроссель Lф и переходной цепочкой состоящей из элементов Сд и Lд. Переходная цепочка на выходе детектора используется для защиты приёмника от длительно действующей помехи. Увеличенное сопротивление нагрузки несколько повышает коэффициент передачи детектора. Дроссель Lф служит для фильтрации токов промежуточной частоты на выходе детектора импульсных сигналов, так как при детектировании радиоимпульсов спектр модулирующего сигнала весьма широк и промежуток приёмника может оказаться достаточно близкой к верхним модулирующим фильтрам. Lф с собственной ёмкостью образует параллельный колебательный контур, настроенный в резонанс на частоту, меньшую промежуточной (обычно ~ 0,7 fпр). В связи с этим для токов промежуточной частоты дроссель эквивалентен весьма малой ёмкости. Образующийся в результате емкостной делитель, состоящий из эквивалентной ёмкости дросселя и сравнительно большой входной ёмкости следующего каскаду, существенно улучшает фильтрацию токов промежуточной частоты на выходе детектора.





















