Ефективність управлінської праці
PAGE \* MERGEFORMAT 3
Міністерство освіти і науки України
Запорізький національний технічний університет
Кафедра управління персоналом і економіки праці
К У Р С О В А Р О Б О ТА
з дисципліни
«Менеджмент»
на тему: «Ефективність управлінської праці»
Виконала:
студентка 3 курсу, групи МТУ 212 Єськова Л. І.
денного відділення
Перевірив: к.е.н., доц. Жданов В. В.
Запоріжжя, 2014
ЗМІСТ
РЕФЕРАТ……………………………………………………………………...3
ВСТУП…………………………………………………………………………4
1 ТЕОРЕТИЧНІ АСПЕКТИ ЕФЕКТИВНОСТІ УПРАВЛІНСЬКОЇ ПРАЦІ………………………………………………………………………………...6
1.1 Поняття та характеристика управлінської праці………………………..6
1.2 Ефективність управлінської праці та фактори впливу на неї………….9
1.3 Методи оцінки ефективності управлінської праці…………………….12
2 ДОСЛІДЖЕННЯ ЕФЕКТИВНОСТІ УПРАВЛІНСЬКОЇ ПРАЦІ НА ПІДПРИЄМСТВІ ПрАТ «ТЕХПРОМІНВЕСТ»…………………………….……16
2.1 Організаційно-економічна характеристика підприємства ПрАТ
«Техпромінвест»……………………………………………………………………16
2.2 Оцінка ефективності управління на підприємстві ПрАТ
«Техпромінвест»…………………………………………………………………..23
2.3Аналіз ефективності управління на ПрАТ «Техпромінвест» ………30
3 ПІДВИЩЕННЯ ЕФЕКТИВНОСТІ УПРАВЛІНСЬКОЇ ПРАЦІ……….33
3.1.Пропозиції щодо підвищення ефективності управлінської праці
на підприємстві ПрАТ «Техпромінвест»…………………………………………33
ВИСНОВКИ…………………………………………………………………41
ПЕРЕЛІК ПОСИЛАНЬ…………………………………………………...…43
РЕФЕРАТ
Курсова робота містить 45с., 2 рис., 9 табл.., 30 джерел.
Обєкт дослідження система управління персоналом ПрАТ «Техпромінвест» (ФГ).
Предмет дослідження - ефективність організації й управління персоналом підприємства.
Мета роботи полягає в підвищенні ефективності управлінської праці з урахуванням специфіки й особливостей промислових металургійних підприємств України на прикладі ПрАТ «Техпромінвест».
Поставлена мета потребує рішення ряду взаємозалежних завдань, а саме:
- уточнити сутність і поняття ефективності управлінської праці, фактори впливу та особливості її визначення;
- дослідити критерії і показники ефективності управління;
- дослідити методи розрахунку економічної та соціальної ефективності управлінської праці;
- проаналізувати ефективність управління на ПРАТ «Техпромінвест»;
- запропонувати заходи щодо підвищення ефективності управлінської праці на підприємстві;
У роботі використані теоретично-аналітичні методи, методи стратегічного управління, кадрового менеджменту, організаційно-структурне моделювання й метод порівняльного аналізу.
Інформаційною базою дослідження послужили дані органів статистики, фактичні матеріали, що характеризують різні аспекти керування персоналом промислових підприємств України, дані по підприємства «Техпромінвест» за 2011 2013 рр. Теоретичною й методологічною основою дослідження є наукові праці й розробки вітчизняних і закордонних авторів із проблем стратегічного й кадрового менеджменту, ефективності управління персоналом.
УПРАВЛІННЯ, ПЕРСОНАЛ, ЕФЕКТИВНІСТЬ, МЕНЕДЖЕР, ПІДПРИЄМСТВО.
ВСТУП
Соціально-економічна ситуація, що сформувалася в нашій країні складна, зміни в економічній й політичній системах одночасно несуть як великі можливості, так і серйозні погрози для кожної особистості, для стабільності її існування, вносять значну невизначеність у життя практично кожної людини. Керування персоналом у такій ситуації набуває особливу значимість - дозволяє узагальнити й реалізувати широкий спектр питань по адаптації індивіда до зовнішніх умов і урахуванню особистісного фактору в побудові системи керування персоналом підприємства.
Необхідність удосконалювання системи керування на сучасному етапі визначається багатьма факторами. Це й оптимізація чисельності апарата керування, його функцій; впровадження автоматизованих систем керування й розробка систем ухвалення рішень.
Вивчення теорії й практики кадрового менеджменту, а саме: проблем керування персоналом, у нашій країні почалося порівняно недавно. Однак проблеми підвищення ефективності діяльності підприємств шляхом удосконалювання керування персоналом знайшли певне відображення в роботах вітчизняних і закордонних авторів. Ведуть активну роботу й займаються дослідженнями в цій області такі вчені, як Т.Ю.Базарів, О.І.Боткін, В.Р.Веснін, В.А.Дятлов, Б.Л.Єремін, А.Я.Кибанів, А.Л.Кузнєцов, А.А.Крилів, А.А.Лобанів, В.І.Михайлів, Р.В. Можаїв, А.В. Молодчик, А.Н.Питкін, Є.А.Смірнов, В.А.Співак, А.І.Татаркін, В.В.Травин і ін.
Загальні аспекти методології прийняття управлінських рішень по управлінню персоналом знайшли відображення в працях І. Ансоффа, В.А. Антропова, О.С. Виханського, Б.Г. Литвака, С. Янга.
Методи й підходи до вивчення здібностей персоналу представлені в роботах фахівців в області психології С.Л. Рубинштейна, Е.В. Руденського, П.С. Таранова, С.В. Шмачиліной і ін. Аналіз робіт російських та українських авторів показав, що в них розглядається коло питань, пов'язаних з конкретними напрямками підвищення ефективності діяльності підприємства на основі вирішення проблем удосконалювання керування персоналом. Разом з тим науково обґрунтованих і адаптованих до умов сьогоднішніх економічних відносин рекомендацій, спрямованих на підвищення ефективності керування персоналом, на поточному етапі розвитку економіки явно недостатньо.
Серед закордонних вчених, що розглядають проблеми підвищення ефективності функціонування підприємств і керування персоналом, слід зазначити Ж. Годфруа, Г. Десслера, В. Зигерта, Дж. Іванцевича, Л. Ланга, К. Левина, Д. Макгрегора, М.Х. Мескона, Р. Марра, М. Шмидта, Л. Якокка й ін.
Дана робота присвячена пошуку шляхів покращення роботи металургійного підприємства за допомогою вдосконалення управлінської праці. В роботі в якості типового підприємства чорної металургії розглядається маріупольський ПРАТ «Техпромінвест».
1 ТЕОРЕТИЧНІ АСПЕКТИ ЕФЕКТИВНОСТІ УПРАВЛІНСЬКОЇ ПРАЦІ
1.1 Управлінська праця та організація праці менеджера
Існує багато концептуальних трактувань категорій «управлінська діяльність» та «управлінська праця». Їх сутність доцільно розглянути за допомогою розуміння категорії «управління». Управління це складна, ємна та
багатогранна категорія, для визначення якої використовуються декілька підходів. До них відносять такі: управління як мистецтво виконання праці; управління як наука (галузь знань людей); управління як функція (вид діяльності); управління як процес; управління як людська діяльність, що здійснюються за рахунок керівництва підприємством; управління як орган або апарат управління.
Використання підходів щодо трактування даної категорії зумовлює відмінності у визначенні терміна «управління». Так, енциклопедичний словник з управління організацією трактує управління як "вплив субєкта на все те, що він намагається підкорити своїй волі, змінити, трансформувати, спрямувати на досягнення поставленої цілі" [1, с. 207].
На думку Мурашко М. І. управління - це процес або форма діяльності, що передбачає керівництво певною групою людей чи орієнтацію її на досягнення мети організації [2, с. 34].
Управління - це цілеспрямована діяльність людини, за допомогою якої вона впорядковує та підпорядковує своїм інтересам певні елементи внутрішнього і зовнішнього середовища організації чи іншого обєкта управління [3, с. 5].
Управління здійснює активний вплив на параметри будь-якого обєкта з метою усунення небажаних відхилень від заданих режимів роботи, підтримання стану впорядкованості та динамічної рівноваги з зовнішнім середовищем.
Управління не тільки вид діяльності, а й певна система, яка складається з двох частин: обєкта і субєкта управління.
Обєкт управління - це сама організація, її колектив, матеріальні, фінансові та інші ресурси.
Субєкт управління - це орган управління, керівники та апарат адміністративно-управлінських працівників організації, оформлений у вигляді відповідних посад [3, с. 6].
Взаємовідносини між субєктом і обєктом управління - процес управлінської праці.
Управлінська праця - це планомірна діяльність працівників адміністративно-управлінського персоналу, спрямована на організацію, регулювання, мотивацію і контроль за роботою співробітників організації. Зміст управлінської праці залежить від його об'єкта і визначається структурою виробничих процесів, прийомами праці, її технічним оснащенням, а також взаєминами, що виникають у процесі виконання управлінських функцій.
Центральною фігурою сучасного менеджменту є менеджер. Варто зазначити, що на сьогоднішній день не склалося єдиного підходу до розуміння сутності терміну "менеджер".
За визначенням Завадського Й. С. менеджер - це керівник (директор, адміністратор, керуючий), що, як правило, має спеціальну управлінську освіту і відповідає за розробку і прийняття рішень з організаційних питань менеджменту [4, с. 92].
Вітчизняні автори, такі як Кузьмін О. Є., Мельник О. Г вважають. Що менеджер - це управлінець ринкової орієнтації, який активно впроваджує ефективні умови господарювання, нововведення та досягнення науково-технічного прогресу, виважено враховує зміни в міжнародних відносинах, своєчасно впливає на конюнктуру і динаміку попиту та пропозиції, вміло перебудовує виробничо-господарську діяльність з урахуванням вимог ринку [6, с. 10].
Отже, менеджери - це професійний прошарок управлінців, головне завдання яких - координація й організація діяльності колективів на основі врахування обєктивних законів і закономірностей, тобто управління на науковій основі. Найважливішою рисою професійного менеджера є його залучення до управлінської праці організації за певну плату. Такий критерій дає змогу відрізняти цю категорію професійних менеджерів від керівників-власників.
Робота менеджера відрізняється від обовязків, наприклад працівника на виробництві чи в торгівлі, котрий повинен постійно виконувати денну норму виробітку. Робота керівника, особливо вищої ланки, не має чіткого завершення, йому доводиться відслідковувати ситуацію і приймати рішення практично постійно, в звязку з чим він завжди відчуває, що має зробити щось іще.
Таким чином, в керівника практично ніколи немає чіткого розпорядку робочого дня, однак, натомість у нього існує схема розподілу управлінського часу (рис. 1.1).[8, с. 8]
Рисунок 1.1- Схема розподілу робочого часу менеджера
Щодо організації робочого дня менеджера, то слід відмітити, що робочий день прийнято поділяти на три частини:
- ранок - з 9.00 до 11.00;
- основна частина дня - з 11.00 до 16.00 (з перервою на обід);
- вечір з 16.00 до 18.00.
Стосовно ранкового розпорядку роботи менеджера, то, як правило, на 9.00 щоранку відбувається коротка нарада головного менеджера з менеджерами підрозділів для вироблення і координування розроблених планів роботи на день.
Інша ж частина робочого ранку менеджера зазвичай присвячується вирішенню нагальних питань, які залишилися невирішеними з минулого дня, перегляду кореспонденції.
Основна частина робочого дня менеджера присвячена вирішенню поточних питань, проведенню зустрічей і поїздок, роботі з бухгалтерією та фінансовим відділом.
Стосовно вечірніх годин роботи менеджера з господарської діяльності, то їх призначення, в основному, для доопрацювання тих питань, на які не вистачило часу протягом робочого дня, опрацювання щоденних аналітичних звітів керівників відділів і для опрацювання з секретарем можливих змін у планах роботи на наступні робочі дні.
Слід відмітити, що до обовязків менеджера не входить конкретне планування поточної роботи, тобто складання планів роботи на наступний день, на тиждень. Дані обовязки покладаються на секретаря і, при цьому, від менеджера лише залежить прийняття складених секретарем планів і уточнення або заміна конкретних їх пунктів.
Зазвичай, менеджери зіштовхуються з безліччю дрібних перешкод в роботі - коли час від часу тривожать телефонні дзвінки, неочікувані відвідувачі - однак даний вид роботи належить до посадових обовязків секретаря керівника.[10, с. 43]
Тобто, можемо відзначити, що робота менеджера організована таким чином, щоб фактично нічого не заважало продуктивній управлінській праці.
1.2 Ефективність управлінської праці та фактори впливу на неї
Ефективність управлінської праці - категорія соціально-економічна, вона розкриває взаємозв'язок результатів управлінської діяльності, виражених техніко-економічним і соціальним результатом, з витратами на їх досягнення.
Поняття «ефективність» управлінської праці часто ототожнюється з поняттям його «продуктивність». Одні під ефективністю управлінської праці розуміють умовну продуктивність, що виражається здатністю праці виробляти відповідні роботи в одиницю часу і забезпечувати при цьому оперативність, надійність і оптимальність управління виробництвом. Інші відзначають, що ефективність управлінської праці, крім його продуктивності, характеризує якість робіт, їх складність і своєчасність виконання, також вважаючи, що ефективність управлінської праці визначається продуктивністю праці колективу даного підприємства і суспільної праці в цілому.
Результат діяльності працівників апарату управління включений в загальну ефективність роботи підприємства. Як у витратах сукупного праці певну частину займає праця з управління, так і певну частку виробничого ефекту необхідно віднести на рахунок управління.
Ефективність управлінської праці визначають шість факторів:
1.Чіткая постановка завдання.
2. Відповідальність за продуктивність цілком покладається на самого працівника. Працівники повинні самі собою керувати.
3. Безперервна інноваційна діяльність повинна стати невід'ємною частиною роботи управлінця.
4. Працівникові розумової праці треба, з одного боку, постійно вчитися, а з іншого - постійно вчити.
5. Надається велике значення якості виконуваної роботи.
6. Треба, щоб працівники хотіли працювати на дану організацію.[11, с.435]
Перша вимога при розробці плану для працівників апарату управління полягає у визначенні сутності завдання, що дозволяє працівнику розумової праці сконцентруватися на його виконанні. Але для цього потрібно, щоб працівники самі визначили, в чому полягає їх завдання. Після того як завдання визначено, можна переходити до питання відповідальності. Керуючі працівники несуть відповідальність за свій внесок у загальну справу, тобто самі приймають рішення про те, за якими напрямками діяльності вони повинні звітувати в якісних і кількісних показниках, в показниках витрат часу і коштів.
Одним з головних методів здійснення ефективної діяльності колективу є координація різних дій, тобто таке їх розподіл, щоб вони не заважали один одному, а слідувала підготовка одних дій за допомогою інших. Таким чином, одним з критеріїв ефективної управлінської праці є правильне визначення найбільш послідовного способу розподілу дії в групі спільно працюючих і дійових осіб. Дуже важливо правильно встановити загальне порозуміння у питанні виконання роботи членами одного колективу. При цьому доцільно виходити зі складу працівників, встановленого для виконання обсягу робіт; робочої зони, засобів праці, наданих ресурсів.
Цілями підвищення ефективності управлінської праці організації є:
- підвищення конкурентоспроможності підприємства в ринкових умовах;
- підвищення ефективності виробництва і праці, зокрема досягнення максимального прибутку;
- забезпечення високої соціальної ефективності функціонування колективу.[12, с.44]
Управління ефективністю управлінської праці обумовлює підходи до залучення робочої сили, розвитку власного персоналу, підготовки та перепідготовки кадрів, до розробки і реалізації соціальних програм. Підбір потрібної робочої сили повинен будуватися на добре продуманій системі оцінки ділових та особистих якостей, а ефективна система оцінки результатів праці забезпечує взаємозв'язок оплати праці з його результативністю, або стимулюючу функцію заробітної плати. Такий підхід до побудови оплати праці, яка сприймається працівником як справедливої, сприятливо позначається на ставленні людини до своєї роботи, робочого місця, підприємству. Система оцінки результатів праці у взаємозв'язку з оцінкою особистих якостей працівників дозволяє організувати просування працівників по службі.
В управлінні ефективністю праці персоналу використовується і такий метод, як організація праці, насамперед через його основні елементи - поділ і кооперацію праці, умови праці. Поділ праці та взаємозв'язок часткових трудових процесів формують зміст праці працівника, його посадові обов'язки, що має важливе значення для розстановки кадрів, збагачення змісту праці, зняття стомлення з допомогою зміни праці і т.д.
Управління ефективністю має забезпечити сприятливе середовище, в якій реалізовувалися б творчі можливості працівників, розвивалися їхні здібності. У підсумку люди повинні одержувати задоволення від виконуваної роботи і суспільного визнання своїх досягнень.
1.3 Методи оцінки ефективності управлінської праці
Існує три методологічні підходи до оцінки ефективності управлінської праці. Прихильники першого підходу вважають, що кінцеві результати виробництва або діяльності організації повинні служити показниками ефективності праці працівників апарату управління. В якості таких показників приймаються чисельні значення кінцевих результатів роботи організації за конкретний період (рік, квартал, місяць): прибуток організації; собівартість; рівень рентабельності; обсяг товарної продукції; обсяг реалізованої продукції; дохід організації; якість продукції.
Прихильники другого підходу до оцінки ефективності роботи персоналу вважають, що критеріальні показники повинні відображати результативність, якість і складність трудової діяльності. В якості таких показників оцінки управлінського персоналу виділяються: продуктивність праці (виробіток на одного працівника); темпи зростання продуктивності праці та заробітної плати; питома вага заробітної плати в собівартості продукції; загальний фонд оплати праці; втрати робочого часу та ін.
Прихильники третього підходу вважають, що ефективність роботи персоналу значною мірою визначається організацією його роботи, мотивацією праці, соціально-психологічним кліматом у колективі. Як показники ефективності роботи управлінського персоналу пропонуються такі показники: плинність персоналу; рівень трудової та виконавчої дисципліни; професійно-кваліфікаційна структура; співвідношення робітників і службовців; використання фонду робочого часу; витрати на управління; соціально-психологічний клімат у колективі.
Основою для оцінки економічної ефективності управлінської праці є відношення суми витрат на управління до обсягу виробництва або до вартості одиниці продукції. Про дійсної економічної ефективності управління можна говорити тоді, коли витрати на управління не змінилися, а якість управління покращився; або витрати на управління збільшилися, але ще більшою мірою покращилася якість управління. Тобто необхідно враховувати співвідношення темпів зростання витрат на управління і обсягу приросту продукції або продуктивності праці.
Для оцінки економічної ефективності управлінської праці були виділені дві групи показників: синтетичні, що характеризують ефективність роботи всього апарату управління підприємством; приватні, що характеризують ефективність індивідуального управлінської праці. Перша група показників включає показники оперативності та економічності апарату управління, а також координацію роботи підрозділів підприємства. У другу групу входять показники продуктивності управлінської праці та рівня організації управлінської праці.[13, с.274]
Для якісного проведення аналізу ефективності діяльності апарату управління використовується система показників, що всебічно характеризують діяльність підприємства і ефективність його системи організації управління.
Коефіцієнт Кзу характеризує частку витрат на управління і являє відношення загальної суми управлінських витрат Заз до загальної суми витрат на виробництво і реалізацію продукції за рік.
Кзу= (1.1)
Співвідношення чисельності апарату управління Чау до чисельності промислово-виробничого персоналу Чпп показує коефіцієнт Кз:
Кз= (1.2)
Економічну ефективність управлінської діяльності характеризує коефіцієнт Кеа, що розраховується як відношення прибутку П до чисельності апарату управління:
Кеа = (1.3)
Оцінка ефективності апарату управління також може бути зроблена за допомогою наступних комплексних показників:
1. Індекс економічності апарату управління:

де а- питома вага працівників апарату управління в загальній чисельності;
б- питома вага працівників апарату управління в загальному фонді заробітної плати;
в- питома вага працівників апарату управління у собівартості.
2. Індекс результативності управління:

де д валова продукція (ВП) на 1 працівника апарату управління;
е- ВП на 1 грн. заробітної плати працівників апарату управління;
з- ВП на 1 грн. витрат апарат управління;
ж- прибуток на 1 працівника апарату управління;
3. Індекс ефективності управління:
Еф = Кр + (1 - Ке), (1.6)
де Кр - індекс результативності управління;
Ке - індекс економічності управління.
Розглянувши коефіцієнт ефективності діяльності апарату управління та систему показників, далі на наявних даних підставами і визначимо коефіцієнт ефективності на прикладі окремої фірми.
Таким чином, як говорилося вище, управлінський праця - це різновид розумової праці. І що б правильно скоординувати цю працю, потрібні такі фактори, як витрати робочого часу, мотивація управління, правильна організація праці, і сам метод оцінки ефективності управлінської праці. Це великий управлінський процес зачіпає всю ієрархію організації.[14,с.162]
2. ДОСЛІДЖЕННЯ ЕФЕКТИВНОСТІ УПРАВЛІНСЬКОЇ ПРАЦІ НА ПІДПРИЄМСТВІ ПрАТ «ТЕХПРОМІНВЕСТ» (ФГ)
2.1 Організаційно-економічна характеристика підприємства ПрАТ «Техпромінвест» (ФГ)
Приватне акціонерне товариство (ПрАт) «Техпромінвест» (ФГ) одне з відомих будівельних підприємств України. Підприємство входить у трійку лідерів Запорізької області.
Фінансова група «Техпромінвест» займається широким спектром послуг з будівництва, капітального ремонту споруд та їх обслуговування, та оптовий продаж будівельних матеріалів.
Повне найменування підприємства Закрите акціонерне товариство «Техпромінвест» (Фінансова група). Скорочене найменування - ПРАТ «Техпромінвест» (ФГ). Ідентифікаційний код за ЄДРПОУ - 22157647. Дата проведення державної реєстрації - 14.04.1999 р. Місце проведення державної реєстрації - Виконавчий комітет Запорізької ради. Місце знаходження - 69076 м.Запорiжжя вул. Жукова 14-12.
Строк існування - з дати державної реєстрації 14.04.1999 підприємство створено на невизначений строк.
Вищим органом управління ПрАТ «ТЕХПРОМІНВЕСТ» (ФГ) є Загальні збори акціонерів, наглядовим органом є Наглядова рада Товариства, контролюючим органом є Ревізор. Виконавчий орган Товариства - Генеральний директор ПрАТ «ТЕХПРОМІНВЕСТ» (ФГ).
Розглянемо структуру власності підприємства (табл. 2.1). З липня 2006 року підприємство «Техпромінвест» входить у Групу "Метінвест", яка здійснює стратегічне керування гірничо-металургійним бізнесом Групи СКМ ("Систем Кепітал Менеджмент"). Керуючою компанією Групи "Метінвест" є ТОВ "Метінвест Холдинг".
Таблиця 2.1 - Структура власності ПрАТ «ТЕХПРОМІНВЕСТ» (ФГ)
|
% акцій |
Власник |
З яких: |
|
38,02 |
Торговий дім «Техпромінвест» |
95,94 % належить ПРАТ «СКМ» |
|
29,38 |
ПрАТ "Систем Кепітал Менеджмент" |
- |
|
13,71 |
металлотрейдер «Leman Commodities» (Швейцарія) |
- |
|
11,01 |
«SCM Limited» (Кіпр) |
- |
|
4,34 |
ТОВ «Метінвест Холдинг» |
25% належить «Смарт-холдингу» (Вадим Новинський) |
Місія підприємства за категоріями зацікавлених груп:
а) клієнтам підприємства:
- гарантована якість продукції;
- лідерство в обслуговуванні клієнтів;
б) партнерам:
- відкритість і довгостроковість у відносинах;
в) колективу підприємства:
- колектив підприємства - лідируюча команда;
- підприємство - кращі можливості для росту;
- підприємство - гідна винагорода;
- "Наша Сила в Правді";
г) акціонерам і інвесторам:
- капіталізація і прибуток у довгостроковій перспективі;
- прозорість управління;
- зобов'язання менеджерської команди по виконанню задач акціонерів;
ґ) суспільству:
- Розвиток і стабільність розвитку суспільства.
На підприємстві розроблені нормативні документи, що регламентують тісну взаємодію усіх підрозділів та служб, їх діяльність, чітко визначені функції, права, обов'язки, відповідальність кожного підрозділу, а також окремих виконавців з урахуванням специфічних особливостей їх посади, це положення про відділи, служби підприємства, посадові інструкції, накази, правила внутрішнього розкладу.
Організаційна структура ПрАТ «ТЕХПРОМІНВЕСТ» (ФГ) станом на 01.01.2011 року зображена на рисунку 2.1.
Рисунок 2.1 - Організаційна структура ПрАТ «ТЕХПРОМІНВЕСТ» (ФГ)

За 2011 рік в організаційній структурі ПРАТ «Техпромінвест» (ФГ) були проведені деякі зміни, а саме змінено адміністративне підпорядкування таких підрозділів: Відділ управління справами адміністрації (наказ №2 тр от 10.02.2011р.), його підпорядкували до помічника генерального директора.
Розмір зареєстрованого та сплаченого статутного капіталу ПРАТ «Техпромінвест» (ФГ) станом на 01.01.2011 року та станом на 31.08.2011 року складає 10510000 грн.
Щодо динаміки основних показників діяльності, то, як видно з табл. 2.2 дохід від реалізації продукції (послуг) показав, що його величина у 2013р. збільшилася порівняно з 2011 р. на 1138,6 тис.грн. або на 38,0%, а у 2011 р. порівняно з 2013 р. величина обсягу реалізації продукції (послуг) збільшилася на 863,0 тис. грн. або на 20,9%. Збільшення доходу від реалізації повязано з такими факторами, як ритмічність випуску продукції (послуги); ступінь задоволення попиту населення на продукцію (послуги).
Таблиця 2.2 - Динаміка основних показників діяльності ПРАТ «Техпромінвест» (ФГ) за 2011 2013 рр.
|
№ п/п |
Назва показника |
Одн. вим. |
2011 р. |
2013 р. |
Відхилення до 2011 р. |
2013 р. |
Відхилення до 2013 р. |
||
|
+,- |
% |
+,- |
% |
||||||
|
1 |
Дохід від реалізації продукції (послуг) |
тис. грн. |
2995,4 |
4134,0 |
+1138,6 |
138,0 |
4997,0 |
+863,0 |
120,9 |
|
2 |
Чисельність працюючих |
чол. |
180,0 |
174,0 |
-6,0 |
96,7 |
157,0 |
-17,0 |
90,2 |
|
3 |
Собівартість продукції (послуг) |
тис. грн |
2823,1 |
4134,0 |
+1310,9 |
146,4 |
4304,0 |
+170,0 |
104,1 |
|
4 |
Фонд оплати праці |
тис. грн. |
1267,4 |
1842,3 |
+574,9 |
145,4 |
2426,0 |
+583,7 |
131,7 |
|
5 |
Балансовий прибуток (збиток) |
тис. грн. |
172,3 |
599,0 |
+427,0 |
347,6 |
693,0 |
+94,0 |
115,7 |
|
6 |
Середньорічна вартість основних фондів |
тис. грн. |
48242 |
4894,0 |
+69,2 |
101,4 |
2873,0 |
-2021,0 |
58,7 |
|
7 |
Середньорічний обсяг виробництва одного працюючого |
тис. грн |
16,6 |
23,8 |
+7,2 |
143,3 |
31,8 |
+8,0 |
133,6 |
|
8 |
Середньорічна зарплата одного працюючого |
тис. грн. |
7,0 |
10,6 |
+3,6 |
151,4 |
15,5 |
+4,9 |
146,2 |
|
9 |
Фондовіддача основних засобів |
грн/ грн. |
0,6 |
0,8 |
+0,2 |
133,3 |
1,7 |
+0,9 |
112,5 |
|
10 |
Рентабельність |
% |
6,1 |
14,5 |
+8,4 |
- |
16,1 |
-1,6 |
- |
Аналіз чисельності працюючих показав, що їх величина у 2013 р. порівняно з 2011р. зменшилася на 6,0 чол. або на 3,6%, а у 2013 р. порівняно з 2013 р. на 17 чол. або на 9,8%.
Собівартість продукції (послуг) ПРАТ «Техпромінвест» (ФГ) у 2013 р. порівняно з 2011 р. збільшилася на 1310,9 тис. грн. або на 46,4%, а у 2013 р. порівняно з 2013 р. на 170 тис. грн. або на 4,1%.
Аналіз прибутку ПРАТ Фонд оплати праці працівників у 2013 р. порівняно з 2011 р. збільшився на 574,9 тис. грн. або на 45,4%, а у 2013 р. порівняно з 2013 р. на 583,7 тис. грн. або на 31,7%.
Як показав аналіз собівартості продукції ПРАТ «Техпромінвест» (ФГ) її величина в 2013 р. збільшилася порівняно з 2011 р. на 130,0 тис. грн., або на 16,8%, а у 2013 р. порівняно з 2013 р. на 352,9 тис. грн. або на 39,1%.
«Техпромінвест» (ФГ) показав, що у 2013 р. прибуток підприємства збільшився на 427,0 тис.грн. або на 247,6%, а у 2013 р. порівняно з 2013 р. на 94,0 тис. грн. або на 25,7%.
Аналіз продуктивності праці показав, що її величина у 2013 р. порівняно з 2011 р. збільшилася на 7,2 тис. грн. або на 43,3 %. У 2013 р. порівняно з 2013 р. середньорічний виробіток одного працюючого, збільшилався на 8,0 тис.грн. або на 33,6%. Збільшення продуктивності праці відбулося за рахунок збільшення обсягу реалізації продукції та зменшення чисельності працюючих.
Аналіз середньорічної заробітної плати одного працюючого, показав, що її величина у 2013 р. порівняно з 2011 р. збільшилася на 3,6 тис. грн. або на 51,4%, а у 2013 р. порівняно з 2013 р. на 4,9 тис. грн. або на 46,2%. Збільшення середньорічної заробітної плати відбулося за рахунок збільшення фонду оплати праці та зменшення чисельності працюючих підприємства.
Аналіз середньорічної вартості основних фондів, показав, що її величина збільшилася в 2013 р. порівняно з 2011 р. на 69,2 тис. грн. або на 1,4%, а у 2013 р. порівняно з 2013 р., навпаки, зменшилася на 2021,0 тис. грн. або на 41,3%.
Як показав аналіз фондовіддачі основних засобів, її величина у 2013 р. порівняно з 2013 р. збільшилася на 0,2 тис. грн. або на 33,3%, а у 2013 р. порівняно з 2013 р. на 0,9 тис. грн. або на 112,5%.
Аналіз рентабельності ПРАТ «Техпромінвест» (ФГ), показав, що її величина у 2013 р. порівняно з 2011 р. збільшилася на 8,4%, а у 2013 р. порівняно з 2013 р., навпаки, зменшилася на 1,6%.
Отже, як показав аналіз основних техніко-економічних показників діяльності ПРАТ «Техпромінвест» (ФГ), підприємство хоч і прибуткове, однак йому потрібно підтримувати свою прибутковість та рентабельність запровадивши відповідні заходи (зменшення собівартості продукції, зменшення чисельності працюючих та ін.).
Таблиця 2.3 - Показники рентабельності ПрАТ «Техпромінвест» (ФГ) за 2011-2013 роки
|
Показник |
2011 р. |
2013 р. |
Відхилення |
2013 р. |
Відхилення |
||
|
+,- |
% |
+,- |
% |
||||
|
Чистий дохід від реалізації продукції |
2995,4 |
4134,0 |
+1138,6 |
138,0 |
4997,0 |
+863,0 |
120,9 |
|
Собівартість реалізованої продукції |
2823,1 |
4134,0 |
+1310,9 |
146,4 |
4304,0 |
+170,0 |
104,1 |
|
Вартість (баланс) капіталу, тис. грн. |
5385,3 |
5759,0 |
+373,7 |
106,9 |
3694,0 |
-2065,0 |
64,1 |
|
Прибуток до оподаткування, тис. грн. |
771,4 |
1425,8 |
+654,4 |
184,8 |
1693,0 |
+267,2 |
118,7 |
Збільшення рентабельності реалізованої продукції було досягнуто завдяки підвищенню цін. Одночасне збільшення собівартості зменшило рентабельність. Іншими словами, завдяки підвищенню цін (при стабільній собівартості) рентабельність не зміниться, однак при збільшенні собівартості (за умов стабільних цін реалізації) призвело до зменшення рентабельності.
Проаналізуємо показники аналізу рентабельності виробничих фондів ПРАТ «Техпромінвест» (ФГ) (див. табл. 2.4).
Як видно з даної таблиці такі показники, як коефіцієнт закріплення оборотних коштів, рівень рентабельності виробничих фондів та рівень реалізованої продукції протягом 20112013 рр. не змінювалися.
Вплив чинників на зміну рівня рентабельності визначається розрахунком (методом ланцюгових підставлень) [9, c. 123].
1. Збільшення частки прибутку на 1 грн. реалізованої продукції (послуг) спричинило підвищення рівня рентабельності на 16,25 пункта (0,13/(0,2+0,6)*100% ).
Таблиця 2.4 - Вихідні дані та розрахункові показники аналізу рентабельності виробничих фондів ПРАТ «Техпромінвест» (ФГ)
|
Показник |
2011 рік |
2013 рік |
2013 рік |
|
1. Прибуток (збиток) від звичайної діяльності, тис.грн. |
172,3 |
599,0 |
693,0 |
|
2. Чистка виручки від реалізації продукції, тис.грн. |
2995,4 |
4134,0 |
4997,0 |
|
3. Середньорічна вартість основних виробничих фондів, тис.грн. |
4824,8 |
4894,0 |
2873,0 |
|
4. Середньорічна вартість оборотних виробничих фондів (запасів), тис.грн. |
866,0 |
865,0 |
821,0 |
|
5. Середньорічна вартість виробничих фондів (р.3 + р.4), тис.грн. |
5690,8 |
5759,0 |
3694,0 |
|
6. Коефіцієнт фондомісткості продукції (р.3 : р.2) |
1,6 |
1,2 |
0,6 |
|
7. Коефіцієнт закріплення оборотних коштів (р.4 : р2), |
0,3 |
0,2 |
0,2 |
|
8. Рентабельність реалізованої продукції (р.1 : р.2) |
0,12 |
0,14 |
0,13 |
|
9. Рентабельність виробничих фондів (р.1 : р.5) |
0,03 |
0,10 |
0,19 |
Іншими словами, визначається, на скільки б пунктів змінився рівень рентабельності фондів, якщо б вони використовувались з ефективністю попереднього періоду. Тим самим відокремлюється вплив саме чинника прибутку реалізованої продукції.
2. Збільшення фондомісткості та зменшення фондовіддачі основних виробничих фондів, призвело до зниження рентабельності фондів на 0,1 пункти (0,3-0,2).
У цьому разі виключається вплив коефіцієнта закріплення оборотних коштів, бо в розрахунку він приймається на рівні попереднього періоду.
3. Збільшення коефіцієнту закріплення оборотних виробничих фондів, тобто уповільнення їх оборотності, призвело до незмінності рентабельності виробничих фондів у (0,19-0,03).
Таким чином, загальне збільшення рентабельності фондів за наведеними даними становить 0,17 пункта (0,19-0,16+0,14), що відповідає стабільності рентабельності фондів за звітний та попередній період.
Хоч підприємство і є рентабельним, однак важливим завданням для нього є підвищення його рентабельності та прибутковості. Важливими заходами для підвищення прибутковості підприємства може бути пошук дешевшої сировини, зменшення витрат на реалізацію продукції та ін.
2.2 Розрахунок ефективності управління на підприємстві
Вірний розрахунок працівників на підприємстві потрібний для наступного просування підприємства на ринок і знаходження оптимальної кількості робітників. Для цього будуть використані наступні показники: средньоспискова чисельність персоналу і його складові. Аналіз кадрів по категоріях працюючих можна зробити на підставі даних наведених у табл. 2.5.
Аналіз руху робочої сили передбачає розрахунок наступних показників:
- коефіцієнта обороту робочої сили із прийому;
- коефіцієнта обороту робочої сили з вибуття;
- коефіцієнта загального обороту робочої сили;
- коефіцієнта плинності кадрів.
Коефіцієнт обороту робочої сили із прийому визначається відношенням кількості прийнятих протягом року працівників до средньоспискової чисельності працівників.
Коефіцієнт обороту робочої сили з вибуття визначається відношенням кількості вибулих протягом року працівників до средньоспискової чисельності працівників [9, с. 106].
Коефіцієнт загального обороту робочої сили визначається відношенням суми прийнятих і вибулих протягом року працівників до средньоспискової чисельності працівників.
Таблиця 2.5 - Аналіз складу й структури персоналу за категоріями за 2013 р.
|
Показники |
план |
факт |
Абсолютне відхилення, осіб |
|
Средньоспискова чисельність персоналу всього, осіб |
2095 |
2065 |
-30 |
|
робітники, з них |
1862 |
1898 |
-36 |
|
промислові |
1688 |
17138 |
25 |
|
допоміжні |
246 |
185 |
-61 |
|
службовців, з них |
50 |
55 |
+5 |
|
керівників |
200 |
236 |
+36 |
|
фахівців |
300 |
320 |
-20 |
Коефіцієнт плинності кадрів розраховується відношенням працівників, звільнених за власним бажанням, за прогули й інші порушення трудової дисципліни, невідповідність займаній посаді, до средньоспискової чисельності персоналу.
Розрахунок показників руху робочої сили здійснюється на основі даних табл. 2.6.
Таблиця 2.6 - Дані для розрахунку показників руху робочої сили
|
Показники |
в 2013 р., осіб |
|
Прийняті працівники, усього |
186 |
|
Вибуло працівників, усього |
217 |
|
Средньоспискова чисельність персоналу всього, осіб |
2065 |
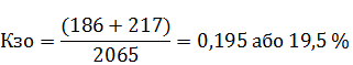
Виходячи з даних табл. 2.6, проведемо аналіз коефіцієнтів по прийманню й по вибуттю кадрів:

де Кп коефіцієнт по прийманню;
Чпр число прийнятих, осіб;
Чср средньоспискова чисельність, осіб.


де Кв коефіцієнт вибуття;
Чзв число звільнених, осіб;
Чср средньоспискова чисельність, осіб.


де Кзо коефіцієнт загального обороту.

Коефіцієнт вибуття кадрів в 2013 р. склав 10 %, а коефіцієнт по прийому склав 9,03 %. Коефіцієнт загального обороту склав 19,5 %.
До можливих причин плинності кадрів відносять зміну місця проживання, незадоволення розмірами заробітку, незадоволення професії, несприятливі умови й режим праці, відсутність можливостей просування по службі, несприятливі соціально-психологічні умови.
Важливою умовою організації праці є співвідношення складу робочих характеру робіт. Для підприємства потрібні працівники певної професії й спеціальності. Рівень професійного забезпечення підприємства характеризується співвідношенням фактичної чисельності працівників до потреби в них (відповідно з виробничою програмою по кожній професії). Наявність цих даних показує надлишкове число робітників, або нестачу робітників і дозволяє приймати замовлення по поліпшенню трудових ресурсів [25].
Тепер проведемо аналіз використання робочого часу. Обсяг товарної продукції, що випускається, продуктивність праці залежить від використання робочого часу й трудової дисципліни.
Продуктивність це ефективність використання ресурсів праці капіталу, землі, матеріалів, енергії, інформації під час виробництва різних товарів і надання послуг. Вона відображає взаємозв'язок між кількістю і якістю вироблених товарів або наданих послуг і ресурсів, які були витрачені на їхнє виробництво. Продуктивність дає можливість порівнювати виробництво на різних рівнях економічної системи з використаними ресурсами.
Аналіз використання робочого часу на ПрАТ «Техпромінвест» (ФГ) наведений у табл. 2.6.
З наведених даних табл. 2.6 розрахуємо коефіцієнти використання робочого часу.
, (2.4)
де Ккч - коефіцієнт використання календарного часу;
Тф відпрацьовано людино-годин;
Тк календарний фонд робочого часу.
.
, (2.5)
де Ктч - коефіцієнт використання табельного фонду часу;
Тсв свята та вихідні.
Таблиця 2.6 - Баланс робочого часу 2013 р.
|
Найменування показників |
кількість людино-годин |
Структура, % |
|
3782364 |
85,17 |
|
17625 |
0,39 |
у тому числі: |
658520 |
14,83 |
|
чергові відпустки |
419915 |
|
|
відпустка за навчанням |
51529 |
|
|
відпустка у зв'язку з вагітністю й пологами |
283 |
|
|
хвороби |
153312 |
|
|
інші неявки, дозволені законом |
17342 |
|
|
неявки з дозволу адміністрації |
15812 |
|
|
прогули |
325 |
|
|
17625 |
0,4 |
|
4440880 |
100 % |
.
, (2.6)
де Кмрч - коефіцієнт використання максимально можливого фонду часу;
Тчв чергові відпустки.
.
Резерв часу матиме вигляд:
РЧ = ТкТсвТчвТф, (2.7)
де Тк - календарний фонд робочого часу;
Тсв свята й вихідні;
Тчв чергові відпустки;
Тф відпрацьовано людиногодин.
РЧ = 4440880 17625 419915 3782364 = 2209800 (людино-годин).
Цей резерв часу можна використовувати для збільшення випуску продукції.
Таким чином, працівниками було відпрацьовано 85,17% з 100% календарного фонду робочого часу, це пов'язано з багатьма причинами наведеними вище. Був виявлений резерв часу в розмірі 2209800 людино - годин, за допомогою якого може збільшуватися обсяг виробництва.
Далі в роботі оцінимо вплив використання трудових ресурсів на виробництво.
У процесі аналізу, визначимо вплив використання трудових ресурсів на обсяг виробництва продукції (табл. 2.7). Установимо вплив двох факторів: зміна чисельності працюючих і зміна середньорічного виробітку на одного працюючого в 2013 р. у порівнянні з 2012 р.
У результаті збільшення продуктивності праці (при зниженні чисельності на 3,2 %) додатково було вироблен продукції на суму 306189,2 тис.грн.
Приріст виробництва продукції внаслідок збільшення продуктивності праці на ПрАТ «Техпромінвест» (ФГ) при зниженні чисельності працюючих слід прийняти досить сприятливим.
Таблиця 2.7 - Аналіз виконання плану по продуктивності праці
|
№ п/п |
Показники |
2012 р. |
2013 р. |
Відхилення |
% |
|
1. |
Товарна продукція в діючих оптових цінах, тис. грн |
6037515,3 |
6343704,4 |
306189,2 |
105,1 |
|
2. |
Среднеспискова чисельність, чол. |
21336 |
20656 |
-680 |
96,8 |
|
3. |
Среднеспискова чисельність робітників, чол. |
19635 |
18988 |
-647 |
96,7 |
|
4. |
Загальне число відпрацьованих усіма робітниками за рік, чол. днів, тис. |
38102 |
37823 |
-279 |
94,4 |
|
5. |
Середнє число днів, відпрацьованих за рік одним робітником, дні (стр4/стр3) |
|
274,2 |
-2,8 |
99,0 |
|
6. |
Загальне число відпрацьованих усіма за рік тис. чол. годин |
39265,4 |
36931,0 |
-2334,4 |
94,1 |
|
7. |
Середня тривалість робочого дня, годин (стр6/стр4) |
7,86 |
7,83 |
0,0 |
99,6 |
|
8. |
Середньорічне вироблення на одного працюючого, грн/чол. (стр1/стр2) |
277765,7 |
305396,9 |
27631,2 |
109,9 |
|
9. |
Середньорічне вироблення на одного робітника, грн/чол. (стр1/стр3) |
334766,6 |
368820,0 |
34053,4 |
110,2 |
|
10. |
Середньоденне вироблення на одного робітника, грн/чол. (стр1/стр4) |
1208,6 |
1345,0 |
136,4 |
111,3 |
|
11. |
Среднечасове вироблення на одного робітника, грн/чол. (стр1/стр6) |
153,8 |
171,8 |
18,0 |
111,7 |
2.3Аналіз ефективності управління на ПрАТ «Техпромінвест»
В результаті різноманітних типів аналізу авторами [7, 9, 26 30] були виділені загальні недоліки систем керування персоналом на українських підприємствах.
За аналізом функціонування систем керування персоналом підприємства ПрАТ «Техпромінвест» (ФГ), були виявлені часткові недоліки існуючої системи керування персоналом на підприємстві (табл. 2.8). Ті ж самі недоліки стосуються і багатьох інших підприємств галузі, що мають схожу структуру управління персоналом. В табл. 2.8 представлені як загальні недоліки систем керування персоналом українських підприємств, так і часткові недоліки, які стосуються ПрАТ «Техпромінвест» та схожих металургійних підприємств.
Виявлені недоліки свідчать про те, що існуючі системи керування персоналом на ряді промислових підприємствах вкрай не відповідають сучасним розробкам, тенденціям і напрямкам у цій області й, безсумнівно, здебільшого потребують удосконалювання, а часом і в корінній реорганізації як системи керування, так і всієї кадрової стратегії підприємства.
Система керування персоналом ПрАТ «Техпромінвест» (ФГ) вцілому більш прогресивна ніж має середньостатистичне металургійне підприємство. Але вона має достатньо своїх недоліків (табл. 2.8) які здебільшого спричинені недостатньою увагою керівництва до проблем керування персоналом, малим фінансуванням цих відділів.
Моніторинг функціонування системи керування персоналом підприємства повинен здійснюватися постійно й вчасно фіксувати зміни, що відбуваються. Оцінка, здійснювана в результаті моніторингу, є одним з найважливіших інструментів формування й удосконалювання кадрової стратегії й політики підприємства. Вона є своєрідним "наскрізним" видом кадрової роботи, оскільки тісно пов'язана із широким колом проблем керування й сприяє (у явному або неявному виді) їх рішенню у всіх структурних елементах системи керування персоналом. Тільки на основі об'єктивної оцінки різних факторів і умов представляється можливим вибрати з наявних альтернатив доцільний варіант рішення тієї або іншої кадрової проблеми.
Таблиця 2.8 - Загальні й часткові недоліки системи керування персоналом підприємства ПрАТ «Техпромінвест»
|
Найменування недоліку |
Причини |
|
Загальні недоліки |
|
|
1. Невисокий рівень організаційної структури СУПП |
відсутність у суб'єктах малого бізнесу необхідних підрозділів і служб по керуванню персоналом; відсутнє чітке розмежування функцій, тобто ті самі посадові особи наділяються відповідальністю за прийняття управлінських рішень в області керування персоналом; більша частина обсягу робіт по керуванню кадрами виконується лінійними керівниками підрозділів. |
|
2. Невисокий рівень кваліфікації керівників і фахівців кадрових служб |
відсутність відповідної освіти в керівників підрозділів і менеджерів кадрових служб; згортання або урізування програм по навчанню співробітників і підвищенню їх професійної кваліфікації. |
|
3. Невисокий рівень автоматизації персоналу кадрових служб |
недостатнє забезпечення співробітників підрозділів СУПП комп'ютерами й ін. оргтехнікою; відсутність сучасного інформаційного й програмного забезпечення (програм по обліку й руху кадрів та ін.), комп'ютерних баз даних. |
|
4. Низький рівень оплати праці персоналу кадрових служб |
низька ефективність існуючих систем оплати праці; відсутність системи додаткового матеріального стимулювання працівників, що враховує перспективи їх професійного росту, особисту ініціативу й обсяги виконуваних робіт |
|
Часткові недоліки |
|
|
1. Висока плинність кадрів |
- великий обсяг робіт; - низька оплата праці. |
|
2. Неефективність структури кадрових служб |
- невиправдана широта управлінського апарата в порівнянні із числом рядових менеджерів. |
|
3. Слабке інформаційне забезпечення |
- відсутність доступу або навичок користування мережею Internet та ін. сучасними інформаційними технологіями. |
|
4. Невисокий рівень організації документообігу |
- не розроблений графік документообігу усередині підрозділів системи керування персоналом і між ними; - повільність реєстрації й обліку руху укладених договорів; - відсутність кваліфікованих співробітників. |
|
5. Низька ефективність роботи кадрових служб |
- відсутність посадових інструкцій для менеджерів і керівників кадрових служб; - нерівномірний розподіл обов'язків між співробітниками. |
|
|
Ігнорування цих питань на практиці може привести до розробки й реалізації неефективних кадрових рішень, негативно вплинути на функціонування системи керування персоналом її розвиток, економічні показники діяльності підприємства в цілому.
Керівництву підприємства «Техпромінвест» необхідно більше уваги приділяти проблемам системи управління персоналом, особливо при таких значних змінах на підприємстві, що відбуваються сьогодні (були розглянуті вище). Проведений аналіз виявив необхідність деяких змін в організації системи управління персоналом, а також важливість впровадження заходів по моніторингу потреб персоналу. В третьому розділі курсової роботи представимо наші рекомендації що до необхідних дій, як керівництва з управління персоналом, так і інших наявних керівників.
3. ПІДВИЩЕННЯ ЕФЕКТИВНОСТІ УПРАВЛІНСЬКОЇ ПРАЦІ
3.1.Пропозиції щодо підвищення ефективності управлінської праці на підприємстві ПрАТ «Техпромінвест» (ФГ)
ПрАТ «Техпромінвест» (ФГ) стійко тримається в даній галузі, обслуговуючи значну частину ринку. Їхня діяльність, різноманітність виконання та надання функцій достатня, тобто така, яка забезпечує найбільш наближений до максимального результат. Організаційна структура дозволяє швидко і ефективно співпрацювати. Можна її скорегувати, варто звернути увагу на такі аспекти чи, інакше кажучи, реалізувати такі напрями, як:
- корегування співвідношення чисельності управлінських працівників між різними рівнями управління;
- прискорити швидкість прийняття управлінських рішень.
Вище перелічені напрямки можна здійснювати, не змінюючи при цьому докорінно організаційну структуру підприємства, тобто витрати, повязані з їх реалізацією можна покрити, використовуючи наявні резерви. Слід памятати, що капіталовкладення такого роду, обовязково покриються за умов системності підходу до реалізації напрямків підвищення ефективності динаміки управлінської діяльності. Політику підвищення ефективності динаміки управлінської діяльності, підвищення її економічної ефективності, вважаю доцільним обрати таку, що базується на наступних заходах:
1. Підвищити технологічні нововведення, особливо сучасні форми автоматизації та інформаційних технологій.
2. Визначити норми витрат ресурсів на виконання того чи іншого замовлення та порядок дій для зменшення ймовірності виникнення браку.
3. Почати співпрацю з новими постачальниками, які порівняно з попередніми мають нижчу вартість продукції, що забезпечить збільшення обсягів реалізації продукції зниження .
Підвищення соціальної ефективності динаміки управлінської діяльності слід досягати через виконання таких заходів:
1. Підвищити рівень кваліфікації працівників, тобто збільшити кількість людей, що відвідують курси чи семінари. Це водночас зменшить ступінь ризику діяльності компанії чи іншими словами забезпечить стабільність її поступального розвитку.
2. Ліквідувати простої в роботі, покращивши рівень трудової дисципліни, тобто здійснювати контроль над вчасністю приходу на роботу та поверненням працівників з обідньої перерви, над тим, з якою результативністю проходять останні 1-2 години в кінці робочого тижня.
3. Знизити рівень конфліктних ситуацій, що випливає з командного духу, формування корпоративного духу. Чим менше часу витрачається на вирішення непорозумінь, тим ефективнішою буде робота. Тому доцільним є виокремлення управлінцями часу на збори для колективного обговорення ідей, для вирішення проблем чи просто відпочинку. Очевидно, що це приведе до позитивного результату, оскільки постійні суперечки не тільки затягують виробничий процес через послаблення взаємодії, але й понижують рівень продуктивності праці на психологічному рівні.
4. Слідкувати за рівнем стабільності кадрів. Тут взаємозвязок між стабільністю та ефектом, як і в попередньому випадку, також прямопропорційний, оскільки звільнення з посади працівника несе за собою втрати з приводу пошуку відповідної заміни та простоїв обладнання.
5. Здійснити економіко-організаційні заходи - прослідкувати як на економію робочої сили впливають фактори удосконалення управління та організації виробництва, збільшення реального фонду робочого часу та структурних змін.
6. Провести техніко-технологічні заходи, а саме обрахувати економію робочої сили за рахунок підвищення технічного рівня виробництва, структурного зрушення виробництва.[30, с. 20]
Робота керівника полягає в тому, щоб бути ефективним. Чим би він не займався малим бізнесом чи великим бізнесом, в урядовому закладі чи в університеті, - від нього потрібно правильне виконання завдань, тобто очікують прояву ефективності.
Проте керівні посади часом займають працівники, які не володіють високою ефективністю, хоча серед них чимало тих, хто має високий інтелектуальний рівень і творчу уяву. Ці люди звичайно добре інформовані і мають великі знання. Однак прямого зв'язку між цими якостями керівника і його ефективністю як працівника не спостерігається. Навіть самі обдаровані люди можуть бути на подив неефективними; вони часом не розуміють, що завдяки одним здібностям не можна домогтися скільки-небудь значних успіхів у роботі. Вони не усвідомлюють, що талант може сприяти ефективності тільки за допомогою цілеспрямованої праці. І навпаки, у кожній організації є високоефективні працівники, що не мають особливих талантів. У той час як одні гарячково мечуться, імітуючи кипучу діяльність, що часом інші приймають за "творчу іскру", інші крок за кроком, повільно рухаються до наміченої мети і досягають її першими, подібно черепасі у відомій старій байці.
Ефективність - це особлива технологія, застосовувана працівником розумової праці в рамках організації. Донедавна у світі існувало небагато таких організацій.
Від фізичної праці потрібно результативність, продуктивність. Іншими словами, працівник фізичної праці повинен бути здатний правильно виконувати поставлені перед ним задачі, але його не стосується сама їхня адекватність. Діяльність працівника фізичного праці завжди можна оцінити по кількості і якості легко піддається визначенню й обліку продукції, як, наприклад, взуття. За останнє сторіччя людство навчилося визначати результативність і якість фізичної праці. Це допомогло збільшити продуктивність праці окремого працівника в багато разів.
Система вимірів і оцінок - від організації виробництва й обліку до контролю якості, - використовувана у відношенні фізичної праці, не застосовна до праці інтелектуальної. Чи можна уявити собі щось менш привабливе і продуктивне, ніж конструкторське бюро, що створює дотепні технічні розробки нікому не потрібної продукції? Саме тому робота над потрібним продуктом є мірилом ефективності інтелектуальної праці. До інтелектуальної, творчої діяльності не підходять ніякі мірки, застосовувані стосовно фізичної праці.
Творчому працівнику далека дріб'язкова опіка. Йому можна тільки допомагати. Разом з тим, він повинний направляти самого себе на виконання поставлених задач, тобто на ефективність.
Мотивація працівника, що займається інтелектуальною діяльністю, залежить від його ефективності, від його здатності досягати поставлені цілі. Якщо його праця позбавлена ефективності, то дуже незабаром його бажання працювати і приносити конкретну користь зникає і він перетворюється в чиновника, що відбуває на роботі свій час з 9 до 17.
Працівник, що володіє теоретичними знаннями, не робить нічого такого, що могло б бути ефективним саме по собі. Він не виготовляє фізично вимірну продукцію, як, наприклад, взуття, деталі машин і т.п. Він робить знання, ідеї й інформацію.
Ефективність керівника залежить не від людей, над якими він має безпосередній контроль, а від тих, хто працює в інших областях, чи від безпосереднього начальства. Діяльність керуючого буде неефективної, якщо він не буде взаємодіяти з цими людьми і вносити свій внесок у їхню роботу.
Єдиним способом збільшення досягнень є підвищення ефективності праці.
Можна на багатьох робочих місцях і посадах використовувати людей з підвищеними здібностями; можна задіяти людей із самими великими знаннями. Але, як представляється, ці два шляхи, узяті самі по собі, не мають великий ефект. Рухаючи в цьому напрямку, ми можемо досягти крапки, після якої всі наші зусилля виявляться марними. Разом з тим ми не збираємося виводити нову расу "зверхлюдей". Нам призначено, щоб на чолі наших організацій стояли звичайні люди.
Потрібно вміти використовувати сильні сторони кожного окремого працівника. Це може підвищити ефективність. Адже якщо неможливо збільшити надходження ресурсів, то необхідно збільшити їхню віддачу. Ефективність саме і є тим інструментом, за допомогою якого можна підвищити результативність таких ресурсів, як знання і здібності.
От тому підвищення ефективності повинне стати одним з найбільш пріоритетних напрямків діяльності організацій. Ще велику важливість здобуває ефективність як інструмент керівника, що дозволяє досягти більш високих результатів роботи.
Існують п'ять основних елементів для підвищення ефективності праці керівника.
1. Ефективні керуючі повинні знати, на що вони витрачають свій час. Уміння контролювати свій час є найважливішим елементом продуктивної роботи.
2. Ефективні керуючі повинні концентруватися на досягнення, що виходять за рамки своїх організацій. Їм варто бути націленими не на виконання роботи як такий, а на кінцевий результат. Гарний керуючий, перш ніж приступити до виконання того чи іншого завдання, задає собі питання: "Яких результатів я повинний досягти?" Сам процес роботи і її методи відходять для нього на другий план.
3. Ефективні керуючі повинні будувати свою діяльність на переважних, сильних якостях, як власних, так і керівників, колег і підлеглих, а також зобов'язані відшукувати позитивні моменти в конкретних ситуаціях. Їм не слід спиратися на те, що ненадійно. Не можна починати роботу з рішення нереальних на даний момент задач.
4. Ефективні керуючі концентрують свою увагу на декількох найважливіших ділянках, у яких виконання поставлених завдань принесе найбільш відчутні результати. Вони повинні навчитися встановлювати пріоритетні напрямки робіт і не відхилятися в їхньому виконанні. Власне, уся їхня діяльність повинна складатися з виконання саме пріоритетних завдань - зобов'язаний займатися лише головним. Порожня витрата сил і часу приводить до самих негативних результатів.
5. Нарешті, ефективні керуючі повинні приймати ефективні рішення. А це насамперед питання системності, тобто процес виконання завдання повинний проходити в потрібній послідовності. Варто пам'ятати, що ефективне рішення - це завжди судження, засноване, скоріше, на "розбіжності думок", чим на "погодженості по фактах". Надмірна поспішність веде до прийняття невірних рішень. Рішень повинне бути небагато, але усі вони повинні бути фундаментальними. У прийнятті рішень потрібно керуватися вірною стратегією, а не тактичними розуміннями. [7, с. 96]
Врахувати і проаналізувати фактичні витрати часу будь-якого менеджера можна шляхом визначення структури його робочого дня.
Для цього використовуються "фотографія" і "самофотографія" робочого дня. І в тому, і в іншому випадку фіксуються витрати часу на певні функції менеджменту, причому або це робиться спеціально виділеним для цього хронометражистом, або самим менеджером.
Складена на основі фотографії або самофотографії робочого дня фактична структура порівнюється з нормативною, на основі чого робляться висновки про відхилення від нормативу і розробляються заходи щодо удосконалювання структури робочого дня менеджера.
Дослідження причин втрат робочого часу показують, що основними з них є наступні:
- Зайві ступені і ланки в апараті управління. Це приводить до ускладнення системи документообігу і зниженню оперативності управління. Істотну шкоду наносять диспропорції в чисельності керівних і допоміжних працівників, що приводить до виконання першими не властивих їм функцій.
- Порушення послідовності виконання процедур управління, особливо при прийнятті рішень, що знижує ефективність управління.
- Нечітка організація виконання прийнятих рішень приводить до дублювання, втратам часу.
Багато часу непродуктивно витрачається на зайву звітність. Як інші причини втрат робочого часу можна вказати такі, як порушення трудової і технологічної дисципліни, значна кількість погана підготовлених нарад, неотримання з інших відділів і служб відомостей у встановлений термін, низьку якість отриманих документів і т.п.[10, с.215]
Тому удосконалювання організації праці припускає як раціоналізацію всіх управлінських робіт, так і підвищення продуктивності праці управлінських працівників.
Цього можна домогтися шляхом удосконалювання оперативного управління, інформаційного забезпечення і діловодства, чіткого визначення функцій працівників, планування особистої праці, створення нормальних умов праці і відпочинку.
Планування особистої праці є невід'ємною рисою свідомої діяльності кожної людини. План особистої праці повинний складатися на тиждень, на місяць. Він повинний бути націлений на рішення головних завдань, на відшукання способів раціоналізації праці.
Роботи, що підлягають виконанню протягом дня, ранжуються за терміновістю і значимістю. На першої годинник роботи треба передбачати ознайомлення з поштою, прийом відвідувачів, тому що в цей період відбувається "впрацювання". Рішення найбільш важких питань треба проводити під час піка своєї працездатності, що кожною людиною виявляється індивідуально. На кінець робочого дня намічають легкі роботи (оформлювальні, складання зведень).
Кожному робочому дню варто додавати свій "профіль", тобто включати один з великих і важливих питань по капітальному будівництву, спеціальним питанням (матеріально-технічного постачання, фінансування й інші). Проведення нарад і засідань варто проводити на початку і наприкінці тижня, коли спостерігається зниження працездатності.
У план особистої праці не слід включати щодня повторювані справи, для них просто треба зарезервувати 25 30% робочого часу. На непередбачені роботи необхідно відвести 10 15% часу.
З метою підвищення ефективності своєї праці будь-який менеджер повинен: уміти визначати важливість і черговість рішення виникаючих проблем; не доручати іншим рішення стратегічних проблем, але другорядні питання передавати заступникам; бути вимогливим до себе й іншим, не допускати безвідповідальності; у надзвичайних ситуаціях діяти швидко і рішуче, але уникати авантюрних рішень; з гідністю програвати; бути послідовним і справедливим у своїх діях, одержувати задоволення від роботи.
ВИСНОВКИ
Для визначення ефективності роботи кожного структурного підрозділу використовують дані про виконання конкретних завдань і рівень досягнення поставлених перед ними цілей.
Практичним результатом удосконалення системи управління може бути зниження витрат на управління, яке досягається за рахунок скорочення чисельності працівників апарату управління і підвищення продуктивності праці. Проте не будь-яке вдосконалення управління призводить до зниження питомих витрат на управління. Оскільки управління є складовою виробничо-фінансової діяльності підприємств, то свідченням підвищення його ефективності може бути зростання економічних показників господарювання при незмінних або навіть дещо зростаючих витратах на управління.
Аналіз середньорічної вартості основних фондів, показав, що її величина збільшилася в 2013 р. порівняно з 2011 р. на 69,2 тис. грн. або на 1,4%, а у 2013 р. порівняно з 2013 р., навпаки, зменшилася на 2021,0 тис. грн. або на 41,3%.
Як показав аналіз фондовіддачі основних засобів, її величина у 2013 р. порівняно з 2013 р. збільшилася на 0,2 тис. грн. або на 33,3%, а у 2013 р. порівняно з 2013 р. на 0,9 тис. грн. або на 112,5%.
Аналіз рентабельності ПрАТ «Техпромінвест» (ФГ), показав, що її величина у 2013 р. порівняно з 2011 р. збільшилася на 8,4%, а у 2013 р. порівняно з 2013 р., навпаки, зменшилася на 1,6%.
Отже, як показав аналіз основних техніко-економічних показників діяльності ПрАТ «Техпромінвест» (ФГ), підприємство хоч і прибуткове, однак йому потрібно підтримувати свою прибутковість та рентабельність запровадивши відповідні заходи (зменшення собівартості продукції, зменшення чисельності працюючих та ін.).
Основними напрямами організації праці на рівні підприємства є: удосконалення розподілу і кооперації праці в колективі; удосконалення організації та обслуговування робочих місць; вивчення і впровадження передових прийомів і методів праці; удосконалення підбору, професійної підготовки і підвищення кваліфікації кадрів; удосконалення нормування і стимулювання праці; поліпшення умов праці та ділової робочої атмосфери у колективі; раціоналізація режиму праці та відпочинку; виховання сумлінного ставлення до праці. Таким чином, організація праці на рівні підприємства це є приведення трудової діяльності людей до системи, що забезпечує досягнення максимально можливого корисного ефекту з урахуванням конкретних умов цієї діяльності та рівня відповідальності.
ПЕРЕЛІК ПОСИЛАНЬ
1. Управление организацией. Энциклопедический словарь. - М.: ИНФРА-М, 2001. - 822 с.
2. Мурашко М. І. Менеджмент персоналу: Навч. посіб. - 3-тє вид., випр. і доп. - К.: Т-во "Знання", КОО, 2008. - 435 с.
3. Стеценко І. Т. Основи менеджменту. Хто такий менеджер: навч. посіб. - К.: Видавництво А. С. К., 2004. - 224 с.
4. Завадський Й. С. Менеджмент - у 3-х т. - т. 1. - 3-тє вид., доп. - К.: Вид-во Європ. ун-ту. - 2001. - 542 с.
5. Іванцевич Дж. М., Лобанів А.А, Людські ресурси управління. - М.: Справа, 2003.;
6. Кузьмін О. Є., Мельник О. Г. Теоретичні та прикладні засади менеджменту: Навчальний посібник - 3-тє вид., доп. і перероб. - Львів: Національний університет "Львівська політехніка", "Інтелект Захід", 2007. - 384 с.
7.Андриенко В.Н., Беликова Т.Ю., Маншилин К.Н., Прокопенко Р.В., Пушкарь А.И., Стасюк В.П. Стратегическое управление персоналом. Донецк: ООО «Юго-Восток», 2002. 196 с.;
8. Чайка Г. Л. Організація праці менеджера: Навч. посібник / Передмова Г. О. Шепелюк. - К.: Знання, 2007. - 420 с
9. Андриенко В.Н., Беликова Т.Ю., Маншилин К.Н., Прокопенко Р.В., Пушкарь А.И., Стасюк В.П. Стратегическое управление персоналом. Донецк: ООО «Юго-Восток», 2002. 196 с.;
10. Управління персоналом, підручник під ред. Базарова Т.Ю., - Москва: «ЮНИТИ», 2003. 341с.;
11. Доронина О.А. Оценка труда как инструмент дифференциации его оплаты // Социально-экономические аспекты промышленной политики: Управление человеческими ресурсами: государство, регион, предприятие. Т.2 / НАН Украины. Ин-т экономики пром-сти. Донецк. 2004. С.433-441.
12. Тимошенко М. М. Оцінка ефективності діяльності працівників апарату управління в організаціях // Агросвіт. - 2009. - № 10. - С. 41 - 44.
13. Управління персоналом, підручник під ред. Базарова Т.Ю., - Москва: «ЮНИТИ», 2003. 341с
14. Коваленко М.А., Сухомлин Л.Є. Мотивація і стимулювання праці менеджерів як напрямок підвищення ефективності корпоративного управління //Наукові записки Тернопільського державного педагогічного університету ім. Володимира Гнатюка. Серія: Економіка. № 18. 2004. C. 162-165.;
15. Переверзев М. П., Шайденко Н. А., Басовский Л. Е. Менеджмент: Учебник. - М.: ИНФРА-М, 2008. - 330 с.
16. Галькович, Р.С. Основы менеджмента: учебник/ Галькович Р.С., Набоков В.И. - М.:Изд-во ИНФРА-М, 2001. 469с.;
17. Дворянских Н. В. Формирование эффективной системы управления персоналом на промышленном предприятии: Диссертация на соискание степени кандидата єкономических наук. Ижевск, 2003. 168с.;
18. Каганец И. Украинская модель менеджмента // Персонал. 1999. №3. с. 38-43;
19. Гриньова В.М., Шульга Г.Ю. Методичний підхід до створення дієвої системи матеріального стимулювання персоналу // Вісник ХДЕУ. 2003. - № 4 (28) С. 103-108.;
20. Григор'єв Л., Черненко А., Управління персоналом і регулярний менеджмент // Робота сьогодні, №5, 2000.;
21. Каганец И. Украинская модель менеджмента// Персонал.- 1999.- №3.-с. 38-43
22. «Техпромінвест» представила уникальный в Украине социальный проект Ура-информ http://ura.dn.ua/;
23. Металл Експерт.2013.№1, №2.;
24. http://www.azovstal.com.ua Официальный сайт ПрАТ «Техпромінвест» (ФГ);
25. http://www.liga.kiev.ua/news Официальный сайт ЛІГАБізнесІнформ;
26. http://www.тмк-group.com. сайт «Трубной металлургической компании» (ТМК);
27. http://intellect.org.ua/index.php Мережа аналітичних центрів України.
28. Антоненко К.В. Система управління персоналом в сучасних умовах // Міжнародний симпозіум “Якість та довкілля 2003”. Київ: 2003. С. 137145.
29. Арутюнов В.В., Волковыкий И.В., Кадария Ф.Д., Шепеляв Е.М. Управление персоналом. Серия “Среднее професиональное образование”. Ростов-на-Дону: “Фенікс”, 2004. 448 с.
30. Булеев И.П., Синельник В.В. Проблемы управления персоналом на предприятии // Проблемы повышения эффективности функционирования предприятий различных форм собственности: Сб. науч. тр. / НАН Украины. Ин-т экономики пром-сти. Донецк, 2003. С. 1925.
Ефективність управлінської праці