Применение метода электронного парамагнитного резонанса при изучении нефтей и рассеянного органического вещества
КУРСОВАЯ РАБОТА
Реферативная тема
«Применение метода электронного парамагнитного резонанса при изучении нефтей и рассеянного органического вещества»
Оглавление.
Введение……………………………………………………………………………………………...3
Физическая сущность метода ЭПР…………………………………………………………………4
Аппаратура…………………………………………………………………………………………...9
Параметры спектра ЭПР…………………………………………………………………………...11
Сверхтонкая структура (СТС) спектров ЭПР…………………………………………………….14
Факторы, влияющие на целесообразность использования метода ЭПР………………………..16
Применение метода ЭПР…………………………………………………………………………..18
Определение генезиса рассеянного органического вещества и нефтей………………………..20
Заключение…………………………………………………………………………………………23
Список литературы………………………………………………………………………………...24
Введение
Я выбрал тему «Применение метода электронного парамагнитного резонанса при изучении нефтей и рассеянного органического вещества», так как данная тема является во первых очень интересной, а во вторых актуальной в современной науке. Актуальность данной темы подтверждается, на мой взгляд тем, что наука развивается и человечеству нужны новые мотоды анализа веществ, более удобные и точные.
Открытый в 1944 году советским ученым Е. К. Завойским парамагнитный резонанс развился в крупную отрасль физики магниторезонансную радиоскопию, исследующую свойства вещества на атомном и молекулярном уровне.
Важнейшие качества метода ЭПР, как метода анализа органического вещества и нефтей, это:
-Быстрота проведения анализа
-Проведение анализа без малейшего химического вмешательства
-Точность анализа
-Простота выявления ионов ванадия, что помогает нам судить о генезисе данного органического вещества
Метод ЭПР имеет огромное значение для геохимии и широко применяется для анализа органических веществ и нефтей.
Физическая сущность метода ЭПР
Сам метод электронного магнитного резонанса (далее ЭПР) был открыт советским физиком Е. К. Завойским (1944, Казанский университет), и стал одним из основных структурных методов в физике, химии, биологии и минералогии. Метод ЭПР опирается на явлении электронного парамагнитного резонанса. Данный метод основан на поглощении электромагнитных волн парамагнитными веществами в постоянном магнитном поле. Поглощение энергии регистрируется специальным прибором-радиоспектрометром в виде спектра ЭПР. Метод позволяет получить информацию о магнитных свойствах вещества, которые напрямую зависят от его молекулярной структуры. С помощью метода ЭПР можно узнать сведения о строении вещества, он также перспективен в исследовании тонкой структуры ОВ, свидетельствующей о наличии свободных радикалов ароматического типа. ЭПР спектроскопия применяется не только в геохимии, но и в ряде других наук, таких как физика, химия и биология.
Парамагнетики вещества, которые намагничиваются во внешнем магнитном поле в направлении внешнего магнитного поля. В спектроскопии ЭПР используют радиоспектрометры, принципиальная блок-схема которых представлена на рис. 1.

Рис. 1. Блок-схема ЭПР-спектрометра. К - источник СВЧ излучения, В -волноводы, Р - объемный резонатор, Д - детектор СВЧ излучения, У - усилитель, NS - электромагнит, П - регистрирующее устройство.
Образец, который может находиться в любом агрегатном состоянии, помещают в постоянное магнитное поле и начинают исследование. В процессе записи спектра сохраняется целостность вещества, и оно может быть подвергнуто дальнейшим исследованиям. В серийных приборах частота электромагнитного излучения задается постоянной, а условие резонанса достигается путем изменения напряженности магнитного поля. Большинство спектрометров работает на частоте V=9000 МГц, длина волны 3,2 см, магнитная индукция 0,3 Тл. Электромагнитное излучение сверхвысокой частоты (СВЧ) от источника (К) по волноводам (В) поступает в объемный резонатор (Р), содержащий исследуемый образец и помещенный между полюсами электромагнита NS.
В условиях резонанса СВЧ излучение поглощается спиновой системой. Модулированное поглощением СВЧ излучение по волноводу (В) поступает на детектор (Д). После детектирования сигнал усиливается на усилителе (У) и подается на регистрирующее устройство (П) в виде первой производной.
Метод ЭПР позволяет получить важную информацию о магнитных свойствах вещества, а так как магнитные свойства вещества находятся в прямой зависимости от его молекулярной структуры, то метод ЭПР является весьма перспективным для изучения строения веществ.
Магнитные свойства вещества определяются магнитными моментами элементарных заряженных частиц электронов и протонов, входящих в состав атомов и молекул вещества. Благодаря вращению вокруг собственной оси эти частицы имеют спиновой магнитный момент. Двигаясь в атоме или молекуле по замкнутой орбите, электроны приобретают орбитальный магнитный момент. Поскольку собственный магнитный момент протона примерно в 1000 раз меньше спинового магнитного момента электрона, магнитные моменты атомов, молекул и макроскопических тел определяется в основном спиновыми и орбитальными моментами электронов [Диндойн, 1973].
Парамагнитными свойствами обладают ионы элементов, имеющих частично заполненные внутренние электронные оболочки, например ионы переходных элементов периодической системы Д. И. Менделеева (титан, ванадий, медь и др.). Переходными называются такие элементы, у которых электроны начинают заполнять внешнюю (валентную) оболочку (s-орбиталь) прежде, чем будут заполнены внутренние d- и f-оболочки. Электронная конфигурация металлического ванадия это: 3d34s2. Также возможны и другие его валентные состояния:
V+23d34so парамагнитен;
V+33d34so парамагнитен, из-за того, что оба электрона имеют одинаковое направленные спины;
V+43d34so парамагнитен;
V+53d34so диамагнитен
Кроме вышеизложенных групп, парамагнитными свойствами обладает небольшое количество молекул с четным числом электронов, но некомпенсированных (к примеру, молекула кислорода, являющаяся простейшим бирадикалом два ее валентных электрона обладают параллельными спинами), а также некоторые атомы с нечетным числом электронов, так называемые активные атомы H, O, N, Na, Ka, которые в обычных условиях не могут существовать в атомном состоянии.
Небольшую группу парамагнетиков составляют центры окраски F-центры, содержащие некомпенсированные спины. F-центры это дефекты, сообщающие видимую окраску кристаллам, которые при отсутствии дефектов были бы бесцветными. Окраска обусловлена двумя состояниями электронов или их энергетическими уровнями, разность энергий которых равна энергии фотона, (частота лежит в видимой области спектра).
При отсутствии внешнего магнитного поля, вследствие хаотического теплового движения частиц, их магнитные моменты направлены беспорядочно, и между носителями магнитных моментов либо нет взаимодействия вовсе, либо существует весьма слабое взаимодействие, и результирующий момент практически равен нулю [Унгер, Андреева, 1995]. При наложении внешнего постоянного магнитного поля парамагнитные частицы приобретают определенное направление (параллельно или антипараллельно внешнему полю). При этом происходит явление Зеемана, заключающееся в расцеплении основного энергетического уровня частицы на (2s + 1) подуровней, отдельных друг от друга интервалами энергий равной:
E = gH,
где s квантовое число частицы (в случае одного некомпенсированного электрона s = ); g фактор спектроскопического расцепления парамагнитной частицы; магнитный момент электрона, обусловленный наличием спина и равный 0,9273 * 10-20 эрг/э. H напряженность постоянного магнитного поля в эрстедах.
Распределение электронов по подуровням происходит в соответствии с законом Больцмана:
= exp (-),
где n1 и n2 число электронов соответственно на верхнем и нижнем энергетическом уровне; K константа Больцмана; Т абсолютная температура. Согласно этому закону, n2 всегда больше n1 на величину, которая зависит от типа парамагнитной частицы (в случае одного некомпенсированного электрона эта разница составляет около 0,2%).
Суть открытия ученого Завойского Е. К. заключалась в том, что при подаче на парамагнитный образец, помещенный в постоянное магнитное поле, переменного магнитного поля с частотой , направленного перпендикулярно к постоянному магнитному полю при условии, что:
h = gH,
где h постоянная Планка (или квант действия), равная 6,624 * 10-27 эрг*сек; частота электромагнитного поля в герцах, с равной вероятностью индуцируются переходы электронов между двумя соседними уровнями [Унгер, Андреева, 1995].
Так как уровни населены по-разному, то число актов поглощения энергии превысит число актов вынужденного излучения, и в результате вещество будет поглощать энергию поля. И при таком поглощении населенность уровней n1 и n2, будет стремиться выровняться, что приводит к нарушению Больцмановского равновесия распределения. Процесс поглощения энергии сверхвысокой частоты (далее СВЧ) сразу бы прекратился и спектр ЭПР не зарегистрировался, если бы не существовал иной механизм, возвращающий электроны с верхнего уровня на нижний. Механизм этих неиндуцированных переходов связан с релаксационными процессами, которые действуют и в отсутствии СВЧ-поля. Явление спин-решеточной релаксации заключается в передаче избыточной энергии электронов тепловым колебаниям окружающей среды, называемой «кристаллической решеткой». Процесс перераспределения избыточной энергии между самими электронами называется спин-спиновой релаксацией. Скорости этих процессов характеризуется временем спин-решеточной релаксацией Т1 и временем спин-спиновой релаксацией Т2. В системах, имеющих сравнительно большие времена релаксации, выравнивание заселенностей энергетических уровней происходит значительно быстрее, чем релаксационные процессы, и явление насыщения сигнала наблюдается уже при сравнительно низкихуровнях мощности СВЧ-излучения. В случае малых времен релаксации сигнал и вовсе не насыщается, даже при больших мощностях радиочастотной энергии [Унгер, Андреева, 1995].
Аппаратура

Приборы, регистрирующие спектры ЭПР, называются радиоспектрометрами (рис. 2 ). По техническим соображениям в современных радиоспектрометрах частота переменного магнитного поля поддерживается постоянной, а напряженность статического магнитного поля измеряется в широких пределах [Белоногов, 1987]. В качестве генератора СВЧ-колебаний применяется клистрон. Наиболее широко используют частоту около 9000 мгц. Эта область называется Х-диапозоном (длина волны 3,0-3,5 см). Кроме этой области, также используют и более высокие частоты: К-диапозон с длиной волны 1,2-1,5 см, и I-диапозон с длиной волны 0,75-1,20 см. СВЧ-колебания, генерируемые клистроном, передаются по волноводу в объемный резонатор, в который помещается ампула с исследуемым образцом. Этот резонатор расположен между двумя полюсами большого электромагнита таким образом, чтобы действующие на образец статическое и переменное магнитные поля были взаимно перпендикулярны. Если при фиксированной частоте переменного магнитного поля менять ток в обмотке электромагнита и тем самым изменять напряженность магнитного поля, то при достижении условий резонанса можно наблюдать поглощение энергии. Приблизительная схема прибора представлена на рис. 3.
Для регистрации спектров в современных радиоспектрометрах применяется метод двойной модуляции, который придает прибору помехоустойчивость к внешним толчкам, вибрациям и увеличивает чувствительность прибора. Метод двойной модуляции позволяет достичь того, что кривая резонансного поглощения записывается в виде первой производной.
В качестве дополнительной аппаратуры для калибровки развертки магнитного поля применяют следящий измеритель напряженности.
Из всех существующих в настоящее время способов обнаружения и идентификации свободных радикалов метод ЭПР является наиболее чувствительным. Преимущество метода ЭПР по сравнению с другими статическими методами магнитных измерений состоит в том, что на результаты измерений не оказывает влияния диамагнетизм молекул системы. Чувствительность современных отечественных радиоспектрометров, таких как: РЭ-13-01, ЭПА-2, ЭПА-3, ЭПА-4, ЭПР-3, выраженная по минимально обнаруживаемому числу частиц, равна 1011 - 1012 парамагнитных частиц.

Рис. 3. Устройство радиоспектрометра:
1 СВЧ-генератор; 2- волноводы; 3 резонатор; 4 Электромагнит;
5 детектор; 6 усилитель; 7 регистрирующий прибор.
Образцы, исследуемые методом ЭПР, могут находиться в любом агрегатном состоянии. В процессе записи спектра сохраняется целостность вещества, и оно может быть подвергнуто дальнейшим исследованиям. При записи спектра образец обычно помещают в стеклянную, не дающую сигнала ЭПР ампулу. Поскольку стекло ампул снижает добротность прибора, толщина стенок ампул должна быть по возможности небольшой. Если используется кварцевое стекло, то потери СВЧ-энергии незначительны. Ампула должна быть погружена в резонатор на такую глубину, чтобы вся навеска находилась в центре пучка СВЧ-энергии. В соответствии с этим требованием эксперимента на отечественных радиоспектрометрах высота слоя навески в ампуле не должна превышать одного сантиметра. Внешний диаметр ампулы, как правило 3-5 мм [Диндойн, 1973].
Параметры спектра ЭПР.

Основной задачей при наблюдении сигнала ЭПР является точная регистрация поглощаемой высокочастотной энергии. Запись спектра осуществляется в координатах: Iпогл = f(H) при = const, где Iпогл интегральная амплитуда поглощения высокочастотной энергии; H напряженность постоянного магнитного поля; частота СВЧ-энергии. (рис. 4).
Из анализа спектра ЭПР можно почерпнуть следующие данные: ширину и форму линии, g-фактор, интегральную амплитуду сигнала, сверхтонкую структуру спектра, ширину производной линии поглощения, которая определяется расстоянием между точками перегиба кривой в эрстедах. Физический смысл этого параметра заключается в том, что в силу соотношения неопределенности Гайзенберга он обратно пропорционален времени жизни парамагнитно частицы в возбужденном состоянии. Это время является критерием возможности наблюдения спектра ЭПР. При малых временах линия сильно уширяется и не может наблюдаться экспериментально. Форма линии это математическое выражение зависимости интенсивности поглощения от напряженности магнитного поля. Формы линий, описываемые уравнениями Лоренса или Гауса, в практике встречаются редко. Для органических свободных радикалов они обычно являются промежуточными, что связанно с быстрыми движениями парамагнитных частиц относительно друг друга, с делокализацией неспаренных электронов и их обменным воздействием. Поскольку ширина и форма линии характеризуют детали структуры и некоторые особенности взаимодействия парамагнитных частиц между собой и с окружающей средой, важно знать форму линии исследуемого образца. Для правильного определения концентрации парамагнитных частиц это тоже имеет большое значение. Из существующих способов наиболее простой и вместе с тем точный и эффективный способ анализа формы линии заключается в построении линейных анаморфоз по экспериментальным данным, исходя из теоретических формул. Фактор спектроскопического расщепления (g-фактор) равен отношению магнитного момента нескомпенсированного электрона к механическому [Диндойн, 1973]. По существу, g-фактор является эффективным магнитным моментом частицы, определяя меру влияния орбитального магнитного момента на спиновый. Для свободного электрона, когда имеет место спиновый магнетизм, g равно 2,0023. Если электрон парамагнитного образца обладает отличным от нуля орбитальным количеством движения, то орбитальный магнитный момент его будет суммироваться с собственным, давая результирующий момент. Вследствие такого спиноорбитального воздействия значение g-фактора будет отлично от 2,0023.
Как правило интегральная амплитуда сигнала при прочих равных условиях пропорциональна количеству парамагнитных центров в образце. Но, поскольку зачастую эксперимент по определению концентрации парамагнитных частиц проводится с образцами и эталонами, имеющие разные ширины и формы линий, в общем случае необходимо знать площадь под кривой резонансного поглощения. Современные радиоспектрометры записывают первую производную этой кривой, поэтому для определения площади необходимо выполнить двойное интегрирование. Применение интегралов значительно облегчает эту задачу, но пока ими оснащены далеко не все радиоспектрометры, а графическое двойное интегрирование и несколько облегченное интегрирование с помощью номограммы являются трудоемкими и весьма неточными методами.
Итак, зная для исследуемого образца и эталона площади под кривыми резонансного поглощения, записанными в одинаковых условиях, можно рассчитывать число парамагнитных центров в исследуемом образце по формуле:
Nx = Nэт* [пмц],
где Nx и Nэт количество парамагнитных центров (КПЦ) в исследуемом образце и эталоне соответственно; Ax и Aэт площади под кривыми поглощения для исследуемого образца и эталона соответственно.
В случае, когда эксперимент связан со снятием спектров серии однотипных образцов, имеющих одинаковую форму линии с эталоном при меняющейся ширине сигнала, в формуле вместо площадей берется произведение интегральных амплитуд на квадраты ширины линий:
Nx = N,
где I амплитуда сигнала; H ширина сигнала, N КПЦ в эталоне. В данном случае индексы «эт» - относятся к отновному эталону, «х» - к исследуемому образцу, «Си» - к вспомогательному эталону (CuSO4*5H2O).
При этом КПЦ подсчитывается в 1г вещества, путем деления результата на вес исследуемого образца.
Если форма линии эталона отлична от формы линии исследуемой серии одинаковых образцов, необходимо вводить поправочный коэффициент. В Противном случае максимальная ошибка (когда одна линия Лоренцева, а другая Гауссова) достигает ±38%, но она всегда будет систематической. Из-за несовершенства аппаратуры и методик приготовления эталонов, точность абсолютных измерений составляет 30-40%. В случае измерений в относительных единицах, точность метода повысится при двух- и трех-кратных съемах до 3-10%.
В качестве эталона часто используется стабильный радикал дифенилпикрилгидразила (ДФПТ). При молекулярном весе 394 он имеет 1,53*1021 спин/г, но эту концентрацию снижают инертным разбавителем, так как в большинстве случаев исследуют образцы с более низкой концентрацией. Кроме ДФПТ, применяют монокристаллы CuCl2*2H2O, CuSO4*5H2O и другие [Диндойн, 1973].
Сверхтонкая структура (СТС) спектров ЭПР.
Если исследуемая парамагнитная система содержит атомы с ядерными магнитными моментами (H1, D2, N14, C13 и другие), то при этом за счет взаимодействия электронных и ядерных магнитных моментов возникает сверхтонкая структура линии ЭПР линия, как бы, расщепляется на несколько компонентов.
Для ароматических свободных радикалов существует важная эмпирическая зависимость константы протонного сверхтонкого расцепления от плотности неспаренного электрона на соседнем углеродном атоме. Благодаря этому из эксперимента можно определить, плотность неспаренного электрона на соответствующих атомах, что позволяет непосредственно судить о рекционной способности различных мест в радикалах.
Изучение СТС в парамагнитных ионах дает возможность определить по числу компонент спин ядра и судить о его магнитном моменте.

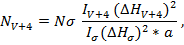
Один из важнейших элементов, ЭПР-спектр, которого является сверхтонким, это V+4. В большой группе нефтей обнаруживается сложная структура линии резонансного поглощения, обусловленная присутствием в них парамагнитного иона V+4 . В нефтях V+4 связан с порфирином, смолами, входит в структуру асфальтенов. Ион ванадия легко образует тетрапиррольные соединения в результате катагенеза (рис. 5.).
CТС спектр V+4 состоят из восьми линий. Центральная из этих восьми линий (компонента 5) с проекцией ядерного спина является аномально большой в сравнении с другими компонентами СТС (рис. 6.)
Благодаря этому разработан эффективный метод определения V+4 в нефтях и ее фракциях по интегральной амплитуде этой аномальной компоненты спектра, расчетная формула такова:

где - количество парамагнитных центров в эталоне; - интегральная амплитуда пятой компоненты СТС V+4 в мм; - ширина пятой компоненты в мм; - интегральная амплитуда и ширина эталона в мм; a навеска исследуемого образца в г [Диндойн, 1973].

Рис. 6. Сверхтонкая структура спектра V+4.
Факторы, влияющие на целесообразность использования метода ЭПР.
Для установления факторов, влияющих на углеродный сигнал ЭПР осадочных пород, в работе [Барташевич, 1975] были рассмотрены экспериментальные данные. Промеренные образцы из коллекции дали значения КПЦ на 1г породы от 0.2* 1017 до 15*1017. Если расположить эти значения в зависимости от процентного содержания Сорг в породе, то для большинства образцов наблюдается прямая зависимость, откуда следует, что первый фактор, влияющий на интенсивность углеродного сигнала ЭПР это содержание Сорг в породе. В некоторых случаях, выявляются отклонения от этой основной закономерности, анализ которых показывает наличие еще двух факторов, влияющих на интенсивность сигнала ЭПР. В тех случаях, когда взятая порода представляла собой нефтенасыщенные образцы, амплитуда сигнала была незначительной, тогда как содержание Сорг доходило до 1% и более. В этих случаях по данным химико-битуминологического анализа органическое вещество состоит более 50% из битуминозных компонентов.
Второй фактор это влияние, которое оказывает на величину сигнала ЭПР групповой состав органического вещества рассеянного в породе, то есть количественные соотношения битуминозных и небитуминозных компонентов. В том случае, когда в балансе ОВ преобладают битуминозные компоненты, сигнал имеет незначительную величину, так как битуминозные компоненты, выделенные из породы, имеют количество парамагнитных центров на порядок меньше, чем нерастворимых компонентах ОВ. Если основу органики составляют небитуминозные компоненты ОВ, сигнал возрастает.
Третьим фактором это влияющим на сигнал ЭПР, следует считать изменение степени метаморфизма ОВ. Так, например, в глинах палеогена, взятых с глубины 150-200 м при содержании Сорг1,8 КПЦ составило 0,2*1017 КПЦ/гр. В аналогичных отложениях, взятых с глубины 1500-1700 м, при более низком содержании Сорг (0,4%) КПЦ осталось почти тем же 0,3*1017. Очевидно, что при увеличении степени метаморфизма происходит перестройка структуры ОВ, которая влечет за собой увеличение КПЦ.
Полученные закономерности о влиянии трех основных факторов на сигнал ЭПР органического вещества в породе в некоторой степени ограничивают использование метода ЭПР для сложных геологических резервов, в которых изменяются количество, состав и степень метаморфизма ОВ. Так как содержание Сорг является лишь одним из трех факторов, влияющих на величину углеродного сигнала, то установление закономерностей в расположении ОВ методом ЭПР возможно лишь при условиях обеспечивающих неизменность остальных двух факторов. Такие условия имеют место в едином литологостратиграфическом комплексе.
В проблеме изучения нефтегазообразования и поисков нефтегазовых залежей принципиально важное значение имеют геохимические исследования органического вещества в горных породах. Первым этапом этих исследований массовые определения ОВ по разрезам скважин.
Высокая чувствительность и экспрессность анализа исследуемых проб без из разрушения определяют перспективность метода ЭПР для установления геохимических закономерностей в разрезах скважин.
Применение метода ЭПР
При наблюдении сигнала ЭПР главной задачей является точная регистрация поглощаемой высокочастотной энергии. Запись спектра осуществляется в координатах Iпогл= F(H) при V=const, где Iпогл интегральная амплитуда поглощения высокочастотной энергии; H- напряженность постоянного магнитного поля, V-частота СВЧ -энергии. По пикам на спектре возможно определение количества ароматических структур, типа и количества свободных радикалов. Концентрация парамагнитных центров (КПЦ) в смолах, асфальтенах и керогенах приблизительно соответствует одному порядку 1019 кпц/г. вещества. Интенсивность поглощаемой энергии пропорциональна КПЦ и связана с показателем Сорг: чем выше интенсивность, тем соответственно больше Сорг. Существуют работы, которые показали связь между данными ЭПР и геологическими условиями образования нефти. Показано, что в нефтях глубокозалегающих месторождений (1000-2000-2800 м.) КПЦ увеличивается с глубиной, а для нефтей, залегающих на небольшой глубине - зависимость обратная (рис. 7).
Рис. 7. Изменение КПЦ с увеличением глубины погружения, грамм*1019
Изучение остаточного ОВ осадочных пород методом ЭПР впервые было предпринято коллективом исследователей под руководством К.Ф.Родионовой с целью выяснения возможностей метода для оценки характера ОВ, исходного для образования нефти. Результаты последующих исследований, в том числе и других авторов, показывают, что КПЦ изменяется в зависимости от типа и метаморфизма ОВ осадочных пород. Химическими методами были установлены два основных (гумусовый и сапропеливый) и промежуточные типы остаточного ОВ. Оказалось, что каждому типу свойственен вполне определенный и присущий только ему характер зависимости концентраций парамагнитных центров от содержания углерода. Следовательно, для установления типа ОВ осадочных пород и степени его преобразованности наряду с химическими методами применяют метод ЭПР, причем он не только является вполне приемлемым количественным критерием степени диагенеза керогена, но и более точным, чем результаты ИК- спектроскопии.
Согласно всем предшествующим результатам исследований НОВ концентрация парамагнитных центров (КПЦ) в керогене изменяется в зависимости от его типа и степени катагенетической преобразованности. Например, установлено, чем уже , тем более преобразован кероген. Керогены имеют порядка 1019 парамагнитных центров на грамм вещества [Диндойн, 1973].
Таким образом, изменение ЭПР-параметров используется в геохимии при изучении керогенов различных генетических типов и степени катагенетической преобразованности. Важно, что этот метод не деструктирующий, то есть в процессе записи спектра сохраняется целостность вещества, и оно может быть подвергнуто дальнейшим исследованиям.
Определение генезиса рассеянного органического вещества и нефтей.
Изучение остаточного ОВ осадочных пород методом ЭПР впервые было предпринято коллективом под руководством Родионовой К.Ф, [Барташевич, 1975] с целью выяснения возможностей метода для оценки характера ОВ, исходного для образования нефти. Результаты, опубликованные в этой работе, показали, что КПЦ изменяется в зависимости от многих факторов, основным же является тип метаморфизма ОВ осадочных пород. Химическим путем были установлены два основных (гумусовый и сапропелевый) и промежуточные типы остаточного ОВ. Оказалось, что каждому типу свойственен вполне определенный и присущий только ему характер зависимости КПЦ от содержания углерода.

Интересные результаты по использованию метода ЭПР при определении типа ОВ были получены Л.С. Борисовой [Борисова, 2004] при изучении асфальтенов РОВ различной генетической природы. В качестве объекта исследования асфальтенов гумусового ОВ были выбраны континентальные озерно-болотные и озерно-аллювиальные отложения нижней-средней юры (тюменская свита) и нижнего (апт-альб) верхнего (сеноман) мела (покурская свита) Западно-Сибирской мегасинеклизы, аквагенного (сапропелевого) ОВ баженовская свита (J3v) и ее возрастные аналоги. Свободных радикалов в структуре асфальтенов аквагенного ОВ в среднем меньше (5*1017 ПМЦ/г), чем в асфальтенах ТОВ (12*1017 ПМЦ/г), что согласуется с более высокой степенью ароматичности и низкими значениями H/Cат асфальтенов битумоидов угленосных толщ. (рис. 8)
Для меня особый интерес представила работа сотрудников ИНГГ СО РАН Л.С. Борисовой, Л.Г. Гилинской, Е.А. Костыревой и др. «Распределение V+4 в асфальтенах нефтепроизводящих пород и нефтей Западной Сибири» [Борисова и др., 1999].
Результаты данной работы показали, что в асфальтенах РОВ абаланской свиты V+4 присутствует в очень малых количествах (максимальное содержание 0,1 отн.ед.). Кроме ванадия также было обнаружено трехвалентное железо. В пробах асфальтенов баженовской свиты наблюдается высокая концентрация V+4 (максимальное значение 35 отн.ед.), причем она зависит от вмещающих пород: в баженовитах содержание V+4 в 5-10 раз выше, чем в аргиллитах.
Таким образом, сравнительное изучение в работе [Борисова и др., 1999] асфальтенов РОВ баженовской и абалакской свит показало, что в отложениях баженовской свиты, сформировавшейся в морском бассейне в условиях сероводородного заражения, накапливался V+4 в значительном количестве. Содержание же V+4 в абалакской свите крайне мало (рис. 9).

Рис. 9. Распределение V+4 в асфальтенах и асфальтеновых кислотах РОВ
Б баженовская свита; А абалакская свита [Борисова и др., 1999].
Также наличие V+4,определяемого методом ЭПР, может служить показателем или «генетической меткой» нефтей. Экспериментально доказано, что наибольшее значение V+4 отмечается в меловых и верхнеюрских нефтях центральной части Западной Сибири (рис. 10). Это нефти типа С1, (по классификации А.Э. Конторовича и О.Ф. Стасовой [Борисова, 2009]) генетически связанные с морскими глубоководными отложениями. Нефти типа А1 практически не содержат V+4, и лишь в отдельных пробах в малых количествах наблюдается его присутствие. В нижне-среднеюрской толще по содержанию ванадия Л.С. Борисовой выделено два типа нефтей: малосернистые нефти Красноленинского свода и северных районов Западной Сибири (тип А2 и А1, соответственно), которые имеют низкие значения V+4 и высокосернистые нефти Юганской впадины (тип С2), содержание асфальтенов в которых значительно [Борисова и др., 1999] Кроме того замечена явная связь между содержанием в асфальтенах V+4 и серы в нефтях. Таким образом, самые высокосернистые нефти морского типа имеют самые высокие показатели содержания V+4. Малосернистые нефти же практически не содержат или содержат мизерные количества V+4.
Из этого можно сделать предположение, что благоприятные условия для накопления ванадия, порфиринов, а также серы, возникают на дне устойчиво погружающихся впадин с некомпенсированным осадконакоплением и застойным морским режимом [Борисова, 2009].

Рис. 10. Содержание ванадия (V4+) в асфальтенах нефтей различных генетических типов
(по классификации А.Э.Конторовича, О.Ф.Стасовой, 1978) [Борисова, 2009].
Заключение
Как видно из всего вышесказанного, метод ЭПР имеет огромное значение для органической геохимии. Этот метод обладает очень важными качествами, обеспечивающими его преимущество перед другими методами, а именно:
-Быстрота проведения анализа
-Проведение анализа без малейшего химического вмешательства
-Точность анализа
-Простота выявления ионов ванадия, что помогает нам судить о генезисе данного органического вещества.
С помощью метода ЭПР изучают асфальтены современных осадков с целью выявления эволюции тетрапиррольных пигментов, изучают асфальтены РОВ при диагностике нефтематеринских толщ (в частности при определении типа ОВ), изучают влияние степени катагенеза в асфальтенах РОВ на КПЦ, исследуют парамагнитные свойства нефтей (СТС ванадия), изучают парамагнетизм углей, исследуют ЭПР параметры керагена в зависимоститот катагенеза и многое другое.
В процессе написания курсовой работы, я научился работать с научной литературой, структурировать полученные знания и излагать их в виде реферативной работы.
Список используемой литературы:
- Барташевич О.В. Геологические методы поисков месторождений нефти и газа. Москва. ВНИИЯГГ, 1975, 30с.
- Белонов А.М. Магнитный резонанс при изучении природных образований. Ленинград «Недра» Ленинградское отделение 1987, 191 с.
- Борисова Л.С. Геохимия асфальтенов нефтей Западной Сибири / Л.С. Борисова // Геология нефти и газа 2009 № 1. с. 76-80.
- Борисова Л.С. Гетероциклические компоненты рассеянного органического вещества и нефтей Западной Сибири // Геология и геофизика. 2004. -№7.- с. 884-894.
- Борисова Л,С., Гилинская Л.Г., Е.А. Костырева и др. распределение V+4 в асфальтенах нефтепроизводящих пород и нефтей Западной Сибири / Органическая геохимия нефтепроизводящих пород Западно Сибири: тез.докл. науч. Совещания / ИГНГ СО РАН. Новосибирск, 2009. с 147-149.
- Диндойн В.М. Современные методы анализа в органической геохимии. Труды СНИИГГИМС 2008, вып. 166, 23 с.
- Унгер Ф.Г., Андреева Л.Н. Фундаментальные аспекты химии нефти. Новосибирск, ВО «Наука», 2012, 187 с.
Применение метода электронного парамагнитного резонанса при изучении нефтей и рассеянного органического вещества