Основы конструирования (Курс лекций)
Основы конструирования (Курс лекций)
Содержание.
Предисловие.
Тема 1. Общие сведения о деталях машин.
Лекция №1. Общие сведения о деталях машин.
Тема 2. Механические передачи
Лекция № 2. Ремённые передачи
Лекция № 3. Цепные передачи
Лекция № 4. Общие сведения о зубчатых передачах
Лекция № 5. Цилиндрические и конические зубчатые передачи
Лекция № 6. Червячные передачи
Лекция № 7. Червячные передачи (продолжение)
Лекция № 8. Планетарные и волновые передачи
Тема 3. Валы и подшипники
Лекция № 9. Валы и оси
Лекция № 10. Подшипники скольжения
Лекция № 11. Подшипники качения
Тема 4. Соединения деталей
Лекция № 12. Неразъёмные соединения
Лекция № 13. Резьбовые соединения
Лекция № 14. Разъёмные соединения для передачи крутящего момента
Тема 5. Корпусные детали механизмов, смазочные и уплотняющие устройства
Лекция № 15. Корпусные детали, смазочные и уплотняющие устройства
Тема 6. Муфты механических приводов
Лекция № 16. Механические муфты
Тема 7. Упругие элементы машин
Лекция № 17. Упругие элементы машин
Приложение 1. Основные понятия о допусках и посадках
Приложение 2. Система отверстия (Поля допусков)
Предисловие
Настоящее издание курса лекций представляет собой учебное пособие по учебному курсу «Детали машин и основы конструирования», читаемому в Новосибирском высшем военном командном училище (военном институте) НВВКУ.
Курс лекций нацелен на формирование базовых знаний, необходимых курсантам для успешного последующего изучения многоцелевых гусеничных и колесных машин, их конструкции и рабочих процессов, происходящих в них при обычных и экстремальных условиях. В свою очередь, Курс лекций базируется на знаниях, полученных курсантами при изучении естественнонаучных и общепрофессиональных дисциплин: высшей математики, физики, теоретической механики, теории механизмов и машин, инженерной графики, сопротивления материалов, материаловедения, а также общего устройства боевых машин и принципов работы основных систем, механизмов и узлов.
Учебное пособие имеет в основном военно-прикладную направленность. При изложении учебного материала даются ссылки на примеры применения изучаемых типовых изделий в многоцелевых гусеничных и колесных машинах, средствах технического обслуживания и паркового оборудования.
В лекциях изложена основная часть теоретического материала. Они отражают состояние вопроса в целом, содержат классификацию и обобщения, систематизирующие знания обучаемых, а также включают конкретные сведения и указания, направленные на решение практических задач. Расчётная часть максимально приспособлена к использованию современных вычислительных средств, табличные данные в основном заменены эмпирическими регрессионными формулами, имеющими высокую степень корреляции (как правило не ниже 0,9) и легко решаемыми с применением инженерных калькуляторов. Из выводов расчетных зависимостей исключены громоздкие математические преобразования, а расчетные схемы и формулы представлены в виде, удобном для вычислений. Основное внимание обращается на физический смысл и размерность входящих в зависимость величин, а также на выбор основных параметров и расчетных коэффициентов.
ТЕМА 1. ОБЩИЕ СВЕДЕНИЯ О ДЕТАЛЯХ МАШИН
Лекция № 1. Общие сведения о деталях машин
Вопросы, изложенные в лекции:
1. Предмет и дисциплина «Детали машин».
2. Общие сведения о деталях машин. Требования к деталям машин.
3. Работоспособность и надежность изделий.
4. Проектирование и расчет типовых изделий.
|
Предмет и дисциплина «Детали машин». |
Детали машин - прикладная научная дисциплина, изучающая общеинженерные методы проектирования (расчета и конструирования) элементов машин и механизмов. Изучение машин и их проектирование базируется на известных фундаментальных законах природы.
Курс «Детали машин и основы конструирования» является завершающим в общеинженерной подготовке курсантов высших общевойсковых и танковых командных институтов.
Цель курса - создать теоретическую базу для последующего изучения конструкции многоцелевых гусеничных и колесных машин (МГКМ), их эксплуатации и ремонта с учетом критериев работоспособности, надежности и технологичности.
Задача курса - изучение типовых конструкций элементов механизмов общепромышленного и военного применения, основных принципов их работы и методов проектирования, включая расчет параметров и конструктивные особенности. В результате изучения дисциплины курсанты должны:
Иметь представление:
о принципах проектирования деталей и узлов боевых машин и автомобилей;
о влиянии материалов и технологичности конструкций на эффективность и эксплуатационные качества БМП и БТР.
Знать:
характерные виды разрушения и основные критерии работоспособности узлов и агрегатов БМП и БТР.
Уметь:
производить оценку работоспособности механизмов бронетанкового вооружения, выполнять расчеты при проектировании типовых деталей и узлов ВВТ;
оценивать достоинства и недостатки конструкции узлов и агрегатов боевых машин;
конструировать узлы и агрегаты боевых машин.
Внимательный анализ состава самых различных машин (транспортных, военных, сельскохозяйственных, технологических и т.п.) показывает, что все они включают значительное количество однотипных деталей узлов и механизмов. По этой причине курс деталей машин посвящен изучению наиболее общих элементов машин, способов их расчета и конструирования. Это, в свою очередь, обусловливает важность данного курса не только в свете прикладного применения, но также и с точки зрения развития технической культуры будущего офицера, поскольку техническая культура - это одна из многочисленных граней общечеловеческой культуры.
Объем курса составляет 180 часов; из них учебных занятий с преподавателем (аудиторных) 116 часов - лекций 32 часа, практических, лабораторных и самостоятельных занятий под руководством преподавателя 84 часа, включая 36 часов курсового проектирования.
Литература для изучения:
0. Детали машин и подъемное оборудование: Учеб. пособие для высших общевойсковых и танковых училищ /Мельников Г.И., Леоненок Ю.В. и др. - М.: Воениздат, 1980. - 376 с.
1. Гузенков П.Г. Детали машин: Учеб. пособие для студентов втузов.- 3-е изд., перераб. и доп.- М.: Высш. школа, 1982.- 351 с.
2. Куклин Н.Г. и др. Детали машин: Учебник для техникумов / Н.Г. Куклин, Г.С. Куклина, В.К. Житков. 5-е изд., перераб. и допол. М.: Илекса, 1999.- 392 с.
3. Иванов М.Н. Детали машин: Учеб. для вузов. - М.: Высшая школа, 1991. - 383 с.
4. Соловьев В.И. и др. Курсовое проектирование деталей машин. Методич. рекомендации / В.И. Соловьев, В.В. Коробков, Л.П. Соловьева, И.С. Кацман. Изд. 2-е. - Новосибирск: НВОКУ, 1995. - 151 с.
5. Соловьева Л.П., Соловьев В.И. Курсовое проектирование деталей машин: Учебно-справ. пособие. - Новосибирск: НВОКУ, 1994. - 56 с.
6. Шейнблит А.Е. Курсовое проектирование деталей машин: Учеб. пособие. - М.: Высшая школа, 1991. - 432 с.
|
Общие сведения о деталях машин. Требования к деталям машин. |
Основные определения.
Машина (от латинского machina) - механическое устройство, выполняющее движения с целью преобразования энергии, материалов или информации.
Основное назначение машин - частичная или полная замена производственных функций человека с целью повышения производительности, облегчения человеческого труда или замены человека в недопустимых для него условиях работы.
В зависимости от выполняемых функций машины делятся на энергетические, рабочие (транспортные, технологические, транспортирующие), информационные (вычислительные, шифровальные, телеграфные и т.п.), машины-автоматы, сочетающие в себе функции нескольких видов машин, включая информационные.
Агрегат (от латинского aggrego - присоединяю)- укрупненный унифицированный элемент машины (например, в автомобиле: двигатель, топливоподающийнасос), обладающий полной взаимозаменяемостью и выполняющий определенные функции в процессе работы машины.
Механизм - искусственно созданная система материальных тел, предназначенная для преобразования движения одного или нескольких тел в требуемое (необходимое) движение других тел.
Прибор - устройство, предназначенное для измерений, производственного контроля, управления, регулирования и других функций, связанных с получением, преобразованием и передачей информации.
Сборочная единица (узел) - изделие или часть его (часть машины), составные части которого подлежат соединению между собой (собираются) на предприятии изготовителе (смежном предприятии). Сборочная единица имеет, как правило, определенное функциональное назначение.
Деталь - наименьшая неделимая (не разбираемая) часть машины, агрегата, механизма, прибора, узла.
Сборочные единицы (узлы) и детали делятся на узлы и детали общего и специального назначения.
Узлы и детали общего назначения применяются в большинстве современных машин и приборов (крепежные детали: болты, винты, гайки, шайбы; зубчатые колеса, подшипники качения и т.п.). Именно такие детали изучаются в курсе деталей машин.
К узлам и деталям специального назначения относятся такие узлы и детали, которые входят в состав одного или нескольких типов машин и приборов (например, поршни и шатуны ДВС, лопатки турбин газотурбинных двигателей, траки гусениц тракторов, танков и БМП) и изучаются в соответствующих специальных курсах (например, таких как "Теория и конструкция ДВС", "Конструкция и расчет гусеничных машин" и др.).
В зависимости от сложности изготовления детали, в свою очередь, делятся на простые и сложные. Простые детали для своего изготовления требуют небольшого числа уже известных и хорошо освоенных технологических операций и изготавливаются при массовом производстве на станках-автоматах (например, крепежные изделия - болты, винты, гайки, шайбы, шплинты; зубчатые колеса небольших размеров и т.п.). Сложные детали имеют чаще всего достаточно сложную конфигурацию, а при их изготовлении применяются достаточно сложные технологические операции и используется значительный объем ручного труда, для выполнения которого в последние годы все чаще применяются роботы (например, при сборке-сварке кузовов легковых автомобилей).
По функциональному назначению узлы и детали делятся на:
1. Корпусные детали, предназначенные для размещения и фиксации подвижных деталей механизма, для их защиты от действия неблагоприятных факторов внешней среды, а также для крепления механизмов в составе машин и агрегатов. Часто, кроме того, корпусные детали используются для хранения эксплуатационного запаса смазочных материалов.
2. Соединительные для разъемного и неразъемного соединения (например, муфты устройства для соединения вращающихся валов; болты винты шпильки гайки детали для разъемных соединений; заклепки детали для неразъемного соединения).
3. Передаточные механизмы и детали, предназначенные для передачи энергии и движения от источника (двигателя) к потребителю (исполнительному механизму), выполняющему необходимую полезную работу.
В курсе деталей машин рассматриваются в основном передачи вращательного движения: фрикционные, зубчатые, ременные, цепные и т.п. Эти передачи содержат большое число деталей вращения: валы, шкивы, зубчатые колеса и т.п.
Иногда возникает необходимость передавать энергию и движение с преобразованием последнего. В этом случае используются кулачковые и рычажные механизмы.
4. Упругие элементы предназначены для ослабления ударов и вибрации или для накопления энергии с целью последующего совершения механической работы (рессоры колесных машин, противооткатные устройства пушек, боевая пружина стрелкового оружия).
5. Инерционные детали и элементы предназначены для предотвращения или ослабления колебаний (в линейном или вращательном движениях) за счет накопления и последующей отдачи кинетической энергии (маховики, противовесы, маятники, бабы, шаботы).
6. Защитные детали и уплотнения предназначены для защиты внутренних полостей узлов и агрегатов от действия неблагоприятных факторов внешней среды и от вытекания смазочных материалов из этих полостей (пылевики, сальники, крышки, рубашки и т.п.).
7. Детали и узлы регулирования и управления предназначены для воздействия на агрегаты и механизмы с целью изменения их режима работы или его поддержания на оптимальном уровне (тяги, рычаги, тросы и т.п.).
Основными требованиями, предъявляемыми к деталям машин, являются требования работоспособности и надежности. К деталям, непосредственно контактирующим с человеком-оператором (ручки и рычаги управления, элементы кабин машины, приборные щитки и т.п.), кроме названных предъявляются требования эргономичности и эстетичности.
|
Работоспособность и надежность изделий. |
Работоспособность - состояние изделия, при котором в данный момент времени его основные параметры находятся в пределах, установленных требованиями нормативно-технической документации и необходимых для выполнения его функциональной задачи.
Работоспособность количественно оценивается следующими показателями:
1 .Прочность - способность детали выдерживать заданные нагрузки в течение заданного срока без нарушения работоспособности.
2. Жесткость - способность детали выдерживать заданные нагрузки без изменения формы и размеров.
3. Износостойкость - способность детали сопротивляться изнашиванию.
4. Стойкость к специальным воздействиям - способность детали сохранять работоспособное состояние при проявлении специальных воздействий (теплостойкость, вибростойкость, радиационная стойкость, коррозионная стойкость и т.п.).
Неработоспособное состояние наступает вследствие отказа.
Отказ - событие, нарушающее работоспособность. Отказы делятся на постепенные и внезапные; полные и частичные; устранимые и неустранимые.
Надежность - свойство изделия выполнять заданные функции, сохраняя свои показатели в пределах, установленных требованиями нормативно-технической документации, при соблюдении заданных условий использования, обслуживания, ремонта и транспортирования.
Свойство надежности количественно оценивается следующими показателями: наработкой на отказ (среднее время работы изделия между двумя, соседними по времени отказами), коэффициентом готовности или коэффициентом технического использования (отношение времени работы изделия к сумме времен работы, обслуживания и ремонта в течение заданного срока эксплуатации), вероятностью безотказной работы и некоторыми другими.
|
Проектирование и расчет типовых изделий. |
Проектирование изделия разработка комплекта документации, необходимой для его изготовления, наладки и эксплуатации в заданных условиях и в течение заданного срока.
Такой комплект технической документации включает:
1. Комплект конструкторской документации (регламентируется комплексом стандартов ЕСКД).
2. Комплект технологической документации (регламентируется комплексом стандартов ЕСТД).
3. Комплект эксплуатационной документации (регламентируется комплексом стандартов ЕСКД). Последний включает формуляры, технические описания, инструкции по эксплуатации, инструкции по техническому обслуживанию, плакаты, макеты и т.п.
4. Комплект ремонтной документации - ремонтные карты, ремонтно-технологические документы и т.п.
При проектировании решаются следующие основные задачи:
1. Обеспечение заданных параметров изделия для работы в заданных условиях.
2. Обеспечение минимальных затрат на производство заданного количества изделий при сохранении заданных эксплуатационных параметров для каждого выпущенного изделия.
3. Сведение к минимуму эксплуатационных затрат при сохранении заданных эксплуатационных параметров изделия.
При решении каждой из основных задач приходится находить решение целого ряда частных задач на разных этапах проектирования. При этом различные требования к изделию зачастую вступают в противоречие между собой. Искусство конструктора как раз и состоит в том, чтобы принять решение, максимизирующее положительный эффект от разрабатываемого изделия.
Процесс проектирования изделия состоит из многих этапов (составление технического задания, расчет, конструирование, изготовление и испытание опытных образцов, разработка технологической документации, разработка эксплуатационной документации и т.п.), одними из главных среди которых являются расчет и конструирование.
В машиностроении основным является расчет деталей на прочность, который обычно выполняется в двух вариантах: 1) проектный расчет, и 2) проверочныйрасчет.
Целью проектного расчета является установление необходимых размеров узлов и деталей, соответствующих заданным нагрузкам и условиям работы. В этом случае расчет выполняется исходя из основного условия прочности:
p<[p], (1.1)
где р - наиболее опасные напряжения (нормальные, изгибающие, касательные или контактные) из действующих в детали, а [р] - напряжения того же вида,допускаемые для материала, из которого планируется изготавливать деталь. Допускаемые напряжения для материала детали определяют как результат деления предельных для данного материала напряжений на выбранный (или заданный нормативной документацией) коэффициент запаса прочности:
, (1.2)
где под предельным напряжением pl в зависимости от условий работы детали понимается чаще всего либо предел прочности рв (в или в), либо предел текучестирт (т или т), либо предел выносливости рr (r или r); в частном случае это может быть предел выносливости при симметричном цикле нагружения р-1 (-1 или-1). При этом допускаемый коэффициент запаса назначается либо нормативными документами (международные и государственные стандарты, ведомственные нормали и правила), либо из условия безотказной работы изделия в течение заданного нормативного срока его эксплуатации (указывается в техническом задании на разрабатываемое изделие).
Проверочный расчет в зависимости от поставленной задачи обычно выполняется в одном из двух вариантов: 1) определение предельно допустимых параметров (нагрузки, деформации, температуры нагрева и т.п.) в критической ситуации или 2) определение параметров, явившихся причиной разрушения детали, в процессе экспертизы аварий и катстроф. Проверочный расчет выполняется, исходя из условия
, (1.3)
где p действующий параметр; pn предельный параметр. Или же при проверочном расчете определяется действующий (фактический) коэффициент запаса по проверяемому параметру:
(1.4)
Для нормально работающей детали величина нормативного и фактического коэффициентов запаса обычно больше единицы, а фактический коэффициент запаса по величине больше нормативного.
В первой части лекции кратко очерчен круг вопросов, исследуемых прикладной научной дисциплиной «Детали машин», представлены объем, цели и задачи учебного курса «Детали машин и основы конструирования».
Во второй ее части определены основные элементы машин, изложены главные требования к ним и даны основные понятия и определения, касающиеся эксплуатационных качеств изделий (машин, механизмов и приборов).
Третья часть лекции раскрывает смысл и содержание понятия «проектирование». Здесь же представлены базовые положения расчета типовых изделий.
Материал настоящей лекции служит основой при изучении всех последующих разделов курса «Детали машин и основы конструирования».
|
Вопросы для самоконтроля: |
1. Каков круг вопросов, исследуемых научной дисциплиной «Детали машин»?
2. Почему эту дисциплину называют прикладной научной дисциплиной?
3. Что изучается в курсе «Детали машин и основы конструирования»?
4. Что понимается в деталях машин под термином «машина», в чем ее назначение?
5. Какие виды машин Вы можете назвать в зависимости от их функционального назначения?
6. Какие элементы машин вы знаете?
7. В чем разница между механизмом и прибором?
8. Может ли быть агрегат механизмом или механизм агрегатом? В чем заключается разница между ними?
9. Чем отличается сборочная единица от механизма и агрегата?
10. Назовите основные отличительные особенности детали. Приведите примеры.
11. Назовите основные отличительные особенности агрегата. Приведите примеры.
12. Какие функции могут выполнять узлы и детали в машине?
13. Какие основные требования, предъявляемые к элементам машин?
14. Что понимается под термином «работоспособность»? Какими показателями она характеризуется?
15. Какое событие нарушает работоспособность?
16. Что понимается под термином «надежность»? Какими показателями она характеризуется?
17. Что понимается под термином «проектирование изделия»?
18. Наличие каких комплектов документации позволяет утверждать, что проектирование изделия выполнено полностью?
19. Какие основные задачи решаются в процессе проектирования?
20. Назовите главный вид расчета деталей, выполняемый в процессе проектирования?
21. В чем разница между проектным и проверочным расчетом? Какие критерии используются при этих видах расчета?
ТЕМА 2. МЕХАНИЧЕСКИЕ ПЕРЕДАЧИ.
Лекция № 2. Ременные передачи.
Вопросы, изложенные в лекции:
1. Общие сведения о передачах.
2. Ременные передачи.
|
Общие сведения о передачах. |
Передачей будем называть устройство, предназначенное для передачи энергии из одной точки пространства в другую, расположенную на некотором расстоянии от первой.
В зависимости от вида передаваемой энергии передачи делятся на механические, электрические, гидравлические, пневматические и т.п. В курсе деталей машин изучаются, в основном, механические передачи.
Механической передачей называют устройство (механизм, агрегат), предназначенное для передачи энергии механического движения, как правило, с преобразованием его кинематических и силовых параметров, а иногда и самого вида движения.
Наибольшее распространение в технике получили передачи вращательного движения, которым в курсе деталей машин уделено основное внимание (далее под термином передача подразумевается, если это не оговорено особо, именно передача вращательного движения).
Классификация механических передач вращательного движения:
1. По способу передачи движения от входного вала к выходному:
1.1. Передачи зацеплением:
1.1.1. с непосредственным контактом тел вращения зубчатые, червячные, винтовые;
1.1.2. с гибкой связью цепные, зубчато-ременные.
1.2. Фрикционные передачи:
1.2.1. с непосредственным контактом тел вращения фрикционные;
1.2.2. с гибкой связью - ременные.
2. По взаимному расположению валов в пространстве:
2.1. с параллельными осями валов зубчатые с цилиндрическими колесами, фрикционные с цилиндрическими роликами, цепные;
2.2. с пересекающимися осями валов - зубчатые и фрикционные конические, фрикционные лобовые;
2.3. с перекрещивающимися осями - зубчатые - винтовые и коноидные, червячные, лобовые фрикционные со смещением ролика.
3. По характеру изменения угловой скорости выходного вала по отношению к входному: редуцирующие (понижающие) и мультиплицирующие (повышающие).
4. По характеру изменения передаточного отношения (числа): передачи с постоянным (неизменным) передаточным отношением и передачи с переменным (изменяемым или по величине, или по направлению или и то и другое вместе) передаточным отношением.
5. По подвижности осей и валов: передачи с неподвижными осями валов рядовые (коробки скоростей, редукторы), передачи с подвижными осями валов (планетарные передачи, вариаторы с поворотными роликами).
6. По количеству ступеней преобразования движения: одно-, двух-, трех-, и многоступенчатые.
7. По конструктивному оформлению: закрытые и открытые (безкорпусные).
Главными характеристиками передачи, необходимыми для ее расчета и проектирования, являются мощности и скорости вращения на входном и выходном валах - Pвх, Pвых, вх, вых. В технических расчетах вместо угловых скоростей обычно используются частоты вращения валов - nвх и nвых. Соотношение между частотой вращения n (общепринятая размерность 1/мин) и угловой скоростью (размерность в системе SI 1/с) выражается следующим образом:
и
(2.1)
Отношение мощности на выходном валу передачи Pвых (полезной мощности) к мощности Pвх, подведенной к входному валу (затраченной), принято называть коэффициентом полезного действия (КПД):
(2.2)
Отношение потерянной в механизме (машине) мощности (Pвх - Pвых) к ее входной мощности называют коэффициентом потерь, который можно выразить следующим образом:
(2.3)
Следовательно сумма коэффициентов полезного действия и потерь всегда равна единице:
(2.4)
Для многоступенчатой передачи, включающей k последовательно соединенных ступеней, общий КПД равен произведению КПД отдельных ступеней:
. (2.5)
Следовательно КПД машины, содержащей ряд последовательных передач, всегда будет меньше КПД любой из этих передач.
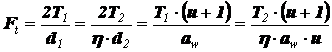
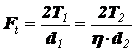
Силовые показатели передачи определяются по известным из теории механизмов и машин (ТММ) формулам:
усилие, действующее по линии движения на поступательно движущейся детали (например, на ползуне кривошипно-ползунного механизма) F=P/v, где P мощность, подведенная к этой детали, а v ее скорость;
аналогично, момент, действующий на каком-либо из валов передачи (редуктора, коробки передач, трансмиссии), T=P/, где P мощность, подведенная к этому валу, а - скорость его вращения. Используя соотношение (2.1), получаем формулу, связывающую момент, мощность и частоту вращения:
. (2.6)
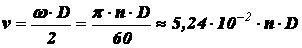
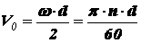
Окружная (касательная) скорость в любой точке вращающегося элемента (колеса, шкива, вала), лежащей на диаметре D этого элемента будет равна:
. (2.7)
При этом тангенциальную (окружную или касательную) силу можно вычислить по следующей формуле:
. (2.8)
Передаточное отношение - это отношение скорости входного звена к скорости выходного звена, что для вращательного движения выразится следующим образом:
, (2.9)
где верхний знак (плюс) соответствует одинаковому направлению вращения входного и выходного звеньев (валов), а нижний - встречному.
Однако в технических расчетах (особенно прочностных) направление вращения чаще всего не имеет решающего значения, поскольку оно не определяет нагрузки, действующие в передаче. В таких расчетах используется передаточное число, которое представляет собой абсолютную величину передаточного отношения:
. (2.10)
В многоступенчатой передаче с последовательным расположением k ступеней (что чаще всего наблюдается в технике) передаточное число и передаточное отношение определяются следующими выражениями:
. (2.11)
Среди множества разнообразных передач вращательного движения достаточно простыми конструктивно (по устройству) являются передачи с гибкой связью, принцип работы которых строится на использовании сил трения или зубчатого зацепления это ременные передачи.
|
Ременные передачи. |
Ременная передача это механизм, предназначенный для передачи вращательного движения посредством фрикционного взаимодействия или зубчатого зацепления замкнутой гибкой связи ремня с жесткими звеньями шкивами, закрепленными на входном и выходном валах механизма.
Ременная передача (рис. 2.1) состоит из двух или большего числа шкивов, насаженных на валы, участвующие в передаче вращательного движения, и гибкой связи, называемой ремнем, которая охватывает шкивы с целью передачи движения от ведущего шкива ведомому (или ведомым) и взаимодействует с ними посредством сил трения или зубчатого зацепления.
Основную часть лекции посвятим фрикционным ременным передачам, поэтому далее под термином ременная передача, если это не будет оговорено особо, будем понимать именно фрикционную передачу.
|
Рис. 2.1. Принципиальная схема ременной передачи и основные виды фрикционных ремней: а) плоский; б) клиновой; в) круглый; г) поликлиновой. |
Ременные передачи трением наиболее старый и простой по конструкции вид передачи. Эти передачи и в настоящее время находят достаточно широкое применение, они широко применяются на быстроходных ступенях привода (передача вращения от электродвигателей к последующим механизмам). В двигателях внутреннего сгорания МГКМ ременные передачи применяются для привода вспомогательных агрегатов (вентилятор, насос системы водяного охлаждения, электрический генератор), а зубчатоременная передача применяется в некоторых автомобильных двигателях для привода газораспределительного механизма.
Достоинства ременных передач: 1. Простота конструкции и низкая стоимость. 2. Возможность передачи движения на достаточно большие расстояния (до 15 м). 3. Возможность работы с большими скоростями вращения шкивов. 4. Плавность и малошумность работы. 5. Смягчение крутильных вибраций и толчков за счет упругой податливости ремня. 6. Предохранение механизмов от перегрузки за счет буксования ремня при чрезмерных нагрузках.
Недостатки ременных передач: 1. Относительно большие габариты. 2. Малая долговечность ремней. 3. Большие поперечные нагрузки, передаваемые на валы и их подшипники. 4. Непостоянство передаточного числа за счет проскальзывания ремня. 5. Высокая чувствительность передачи к попаданию жидкостей (воды, топлива, масла) на поверхности трения.
Классификация ременных передач:
1. По форме поперечного сечения ремня: плоскоременные (поперечное сечение ремня имеет форму плоского вытянутого прямоугольника, рис. 2.1.а);клиноременные (поперечное сечение ремня в форме трапеции рис. 2.1.б); поликлиноременные (ремень снаружи имеет плоскую поверхность, а внутренняя, взаимодействующая со шкивами, поверхность ремня снабжена продольными гребнями, выполненными в поперечном сечении в форме трапеции рис. 2.1.г);круглоременные (поперечное сечение ремня имеет форму круга рис. 2.1.в); зубчатоременная (внутренняя, контактирующая со шкивами, поверхность плоского ремня снабжена поперечными выступами, входящими в процессе работы передачи в соответствующие впадины шкивов).
2. По взаимному расположению валов и ремня: с параллельными геометрическими осями валов и ремнем, охватывающим шкивы в одном направлении открытая передача (шкивы вращаются в одном направлении); с параллельными валами и ремнем, охватывающим шкивы в противоположных направлениях перекрестная передача (шкивы вращаются во встречных направлениях); оси валов перекрещиваются под некоторым углом (чаще всего 90) полуперекрестнаяпередача.
3. По числу и виду шкивов, применяемых в передаче: с одношкивными валами; с двушкивным валом, один из шкивов которого холостой; с валами, несущимиступенчатые шкивы для изменения передаточного числа (для ступенчатой регулировки скорости ведомого вала).
4. По количеству валов, охватываемых одним ремнем: двухвальная, трех-, четырех- и многовальная передача.
5. По наличию вспомогательных роликов: без вспомогательных роликов, с натяжными роликами; с направляющими роликами.
|
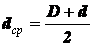
Рис. 2.2. Геометрия открытой ременной передачи. |
Геометрические соотношения в ременной передаче рассмотрим на примере открытой плоскоременной передачи (рис. 2.2). Межосевое расстояние а это расстояние между геометрическими осями валов, на которых установлены шкивы с диаметрами D1 (он, как правило, является ведущим) и D2 (ведомый шкив). При расчетах клиноременных передач для ведущего и ведомого шкивов используются расчетные диаметры dр1 и dр2. Угол между ветвями охватывающего шкивы ремня - 2, а угол охвата ремнем малого (ведущего) шкива (угол, на котором ремень касается поверхности шкива) 1. Как видно из чертежа (рис. 2.2) половинный угол между ветвями составит
, (2.12)
а так как этот угол обычно невелик, то во многих расчетах допустимым является приближение sin, то есть
. (2.13)
Используя это допущение угол охвата ремнем малого шкива можно представить в следующем виде
(2.14)
в радианной мере, или
(2.15)
в градусах.
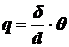
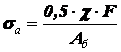
Длину ремня при известных названных выше параметрах передачи можно подсчитать по формуле
. (2.16)
Однако, весьма часто ремни изготавливаются в виде замкнутого кольца известной (стандартной) длины. В этом случае возникает необходимость уточнять межосевое расстояние по заданной длине ремня
. (2.17)
С целью обеспечения стабильности работы передачи обычно принимают
для плоского ремня
,
а для клинового
,
где hp высота поперечного сечения ремня (толщина ремня).
В процессе работы передачи ремень обегает ведущий и ведомый шкивы, чем короче ремень (чем меньше Lp) и чем быстрее он движется (чем больше его скорость Vp), тем чаще происходит контактирование его рабочей поверхности с поверхностью шкивов и тем интенсивнее он изнашивается. Поэтому отношение Vp /Lp (его размерность в системе СИ с-1) характеризует долговечность ремня в заданных условиях его работы чем больше величина этого отношения, тем ниже при прочих равных условиях долговечность ремня. Обычно принимают
для плоских ремней Vp / Lp = (3…5) с-1,
для клиновых - Vp / Lp = (20…30) с-1.
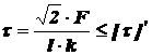
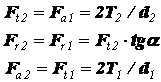
Силовые соотношения в ременной передаче. Необходимым условием нормальной работы любой фрикционной передачи, включая ременные, является наличие сил нормального давления между поверхностями трения. В ременной передаче такие силы возможно создать только за счет предварительного натяжения ремня. При неработающей передаче силы натяжения обеих ветвей будут одинаковыми (обозначим их F0, как на рис 2.3.а). В процессе работы передачи набегающая на этот шкив ветвь ремня за счет трения ведущего шкива о ремень получает дополнительное натяжение (обозначим силу натяжения этой ветви F1), в то время как вторая, сбегающая с ведущего шкива, ветвь ремня несколько ослабляется (её силу натяжения обозначим F2, см. рис. 2.3.б). Тогда, очевидно, окружное усилие, передающее рабочую нагрузку
, но с другой стороны, как и для всякой передачи вращения
(см. (2.8)), а для поступательно движущихся ветвей ремня можно записать
, где P мощность передачи, а Vp средняя скорость движения ремня. Суммарное натяжение ветвей ремня остается неизменным, как в работающей, так и в неработающей передаче, то есть
. Но по формуле Эйлера для ремня, охватывающего шкив,
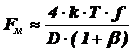
, где основание натурального логарифма (e 2,7183), f коэффициент трения покоя (коэффициент сцепления) между материалами ремня и шкива (табл. 2.1), угол охвата ремнем шкива (определен выше).
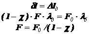
С учетом высказанных соображений и используя известные соотношения нетрудно получить зависимость для вычисления оптимальной величины сил предварительного натяжения ремня
, (2.18)
а из последнего, выражая тяговое усилие на ведущем шкиве в соответствии с (2.8), получим
, (2.19)
|
Рис. 2.3. Силы в ременной передаче. |
где индексы «1» указывают на параметры, относящиеся к ведущему шкиву передачи. Если величину предварительного натяжения ремня сделать меньшей по сравнению с представленным в выражении (2.19), то произойдет буксование (проскальзывание) ремня, и переданная на выходной вал мощность уменьшится до величины, соответствующей фактическому значению силы предварительного натяжения. Если же силы предварительного натяжения ветвей будут больше оптимальной величины, необходимой для передачи заданной мощности, то возрастёт относительная доля мощности, затраченная на упругое скольжение ремня по шкивам, что также приведет к снижению мощности на выходном валу передачи, то есть к уменьшению её КПД.
Аналогично, сила натяжения ведущей ветви составит
. (2.20)
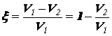
Отношение разности сил натяжения в ветвях ремня работающей передачи к сумме этих сил называется коэффициентом тяги ().
. (2.21)
Коэффициент тяги характеризует качество работы передачи. Его оптимальное значение нетрудно найти, используя выражение (2.18),
. (2.22)
Как видно из последнего выражения оптимальная величина коэффициента тяги не зависит ни от передаваемой мощности, ни от предварительного натяжения ремня, а только лишь от свойств фрикционной пары материалов, из которых изготовлены ремень и шкив, и от конструктивных параметров передачи. Численные значения 0 для ремней из различных материалов и угла охвата ремнем стального ведущего шкива, равного 180, представлены в табл. 2.1.
|
Таблица 2.1 Коэффициенты сцепления и коэффициент тяги для некоторых материалов ремней по стальному шкиву. Материал ремня Коэфф. сцепления f Оптимальный коэфф. тяги 0 Кожаные:
растительного дубления 0,25 0,374 минерального дубления 0,4 0,557 Смазанный кожаный ремень 0,23 0,346 Мокрый кожаный ремень 0,36 0,512 Хлопчатобумажные:
цельнотканые 0,22 0,332 шитые 0,20 0,304 Шерстяные 0,35 0,500 Прорезиненные 0,30 0,439 |
|
|
Кинематика ременной передачи. Как показано выше сила натяжения ведущей ветви ремня существенно превышает силу натяжения свободной ветви (F1>F2). Отсюда следует, что удлинение каждого отдельно взятого элемента ремня меняется в зависимости от того, на какую его ветвь этот элемент в данный момент времени попадает. Изменение этой элементарной части ремня может происходить только в процессе ее движения по шкивам. При этом, проходя по ведущему шкиву (при переходе с ведущей ветви на свободную), эта элементарная часть укорачивается, а при движении по ведомому шкиву (переходя со свободной ветви ремня на его ведущую ветвь) удлиняется. Изменение длины части ремня, соприкасающейся с поверхностью шкива, возможно только с её частичным проскальзыванием. Изложенные соображения позволяют сформулировать два важнейших следствия неодинаковой загрузки ведущей и холостой ветвей ремня:
Работа ременной передачи без скольжения ремня по рабочей поверхности шкивов невозможна.
Скорости движения ведущей и свободной ветвей ремня различны, а следовательно различны и скорости рабочих поверхностей ведущего и ведомого шкивов.
Окружная скорость рабочей поверхности ведущего шкива всегда больше окружной скорости ведомого шкива (V1 > V2).
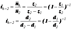
Отношение разности между окружными скоростями на рабочей поверхности ведущего и ведомого шкивов к скорости ведущего шкиве называюткоэффициентом скольжения передачи ().
, (2.23)
где индекс «1» соответствует ведущему, а индекс «2» ведомому шкивам.
Выражая в (2.23) линейные (тангенциальные) скорости рабочих поверхностей шкивов через угловую скорость и их радиус, нетрудно получить выражение, определяющее передаточное число ременной передачи через ее конструктивные параметры:
. (2.24)
|
Таблица 2.2. Рекомендуемые передаточные числа ременных передач Тип передачи Передаточное число u Плоскоременная 4…5 Клиноременная 6…8 Поликлиноременная 15 |
|
|
Рекомендуемые значения передаточных чисел фрикционных ременных передач представлены в табл. 2.2.
Тяговая способность и долговечность ремня являются основными критериями работоспособности ременной передачи. Проектный расчет ременной передачи обычно выполняется по тяговой способности, а расчет долговечности при этом является проверочным. Проиллюстрируем поведение ременной передачи графиком, на котором по оси абсцисс отложен коэффициент тяги, а по оси ординат - коэффициент скольжения и КПД (рис. 2.4). На графике можно выделить три основных зоны:
|
Рис. 2.4. Кривые скольжения и КПД. |
1 зона, где 0 0, эту область называют зоной упругого скольжения;
2 зона, где 0 max, её называют зоной частичного буксования;
3 зона, где max, эту область называют зоной полного буксования.
В зоне упругого скольжения коэффициент скольжения растет линейно с увеличением коэффициента тяги, одновременно возрастает и КПД передачи, достигая максимального значения при оптимальной величине коэффициента тяги 0. Дальнейшее увеличение коэффициента тяги приводит к частичному буксованию ремня, коэффициент скольжения растет нелинейно и намного интенсивнее по сравнению с 1 зоной, а КПД также нелинейно и интенсивно снижается. При достижении коэффициентом тяги величины max наступает полное буксование передачи (ведомый шкив останавливается), величина скольжения становится равной единице, а КПД падает до нулевого значения.
Представленный выше анализ показывает, что наиболее благоприятной для работы передачи является область коэффициентов тяги, прилегающая к его оптимальному значению, поскольку именно в этой области передача обладает максимальным КПД. При этом величина упругого скольжения для разных типов ремней лежит в пределах 1…2%, а КПД для передачи плоским ремнем можно принять равным 0,95…0,97, клиновым или поликлиновым 0,92…0,96.
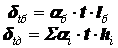
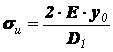
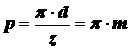
Напряжения в ремне. Напряжения, возникающие в ведущей ветви ремня от действия рабочих нагрузок, нетрудно определить, разделив (2.20) на площадь поперечного сечения ремня Aр,
. (2.25)
Кроме рабочих напряжений, обусловленных предварительным натяжением ремня и тяговым усилием, участвующем в передаче мощности от ведущего шкива к ведомому, в ремне возникают еще два вида дополнительных напряжений изгибные и центробежные.
Изгибные напряжения возникают при изгибе ремня в момент огибания им шкивов, при этом наибольшая величина изгибных напряжений соответствует меньшему радиусу изгиба, то есть максимальные напряжения изгиба возникают в ремне при обегании меньшего (чаще всего являющегося ведущим) шкива. Учитывая последнее, на основе формул сопротивления материалов получаем
, (2.26)
|
Таблица 2.3. Модуль упругости материала некоторых ремней Тип ремня Модуль упругостиE, МПа Резинотканевый 200…300 Капроновый 600 Клиновой: кордтканевый кордшнуровой
250…400 500…600 |
|
|
где E модуль упругости материала ремня (см. табл. 2.3), y0 расстояние от нейтрального слоя до наружного (растянутого) волокна ремня, D1 диаметр наименьшего шкива передачи. Принимая для плоского ремня y0 = / 2, где толщина ремня, а для клинового y0 = (0,25…0,38)h, где h толщина ремня, получаем:
для плоского ремня
, (2.27)
а для клинового ремня
. (2.28)
Таким образом, напряжения изгиба пропорциональны толщине ремня и обратнопропорциональны диаметру наименьшего из шкивов, работающих в передаче.
Часть ремня, прилегающая к шкиву участвует в круговом движении, что обусловливает действие на неё центробежных сил, вызывающих в ремне растягивающие напряжения. Напряжения от центробежных сил можно вычислить по простому соотношению
, (2.29)
где - средняя плотность материала ремня, а Vр средняя скорость движения ремня, обегающего шкив.
Выражая скорость ремня через частоту вращения и диаметр наименьшего шкива, получим
. (2.30)
Как видим, напряжения, вызванные в ремне действием центробежных сил, квадратично зависят как от частоты вращения наименьшего шкива, так и от его диаметра.
На внешней стороне ремня все три вида названных напряжений являются растягивающими и потому суммируются. Таким образом, максимальные растягивающие напряжения в ремне
. (2.31)
Анализ реальных передач показывает, что напряжения от изгиба и и от действия центробежных сил ц обычно сравнимы и часто даже превосходят по величине напряжения от рабочей нагрузки р. При этом следует учитывать, что увеличение и не способствует повышению тяговой способности передачи, с другой стороны, эти напряжения, периодически меняясь, являются главной причиной усталостного износа ремней.
Расчет ременных передач основан на общей теории ременных передач и экспериментальных данных. При этом формула Эйлера и зависимость (2.31) непосредственно не используются, а влияние дополнительных напряжений и и ц на долговечность передачи учитывают при выборе её геометрических параметров (a, D1, и др.) и допускаемых напряжений [t]0 и [t], используемых в расчете.
При проектном расчете диаметр малого шкива D1 можно оценить по модифицированной формуле М.А. Саверина
|
Таблица 2.4 Коэффициент KD для некоторых передач Тип передачи KD, мм Плоскоременная 55…65 Клиноременная 30…40 Клиноременная, узкий ремень 20…25 Поликлиноременная 25…30 |
|
|
, (2.32)
где вращающий момент T1 в Нм, диаметр малого шкива D1 в мм, а эмпирический коэффициент KD для различных типов передач представлен в табл. 2.4. Полученный расчетом диаметр малого шкива увеличивается до ближайшего большего стандартного линейного размера.
Далее расчет плоскоременной передачи базируется на показателях тяговой способности и сводится к выполнению основного условия прочности ремня
; (2.33)
где Ft окружная сила, передаваемая ремнем, Н; Ft расчетное полезное напряжение, МПа; b и - ширина и толщина ремня, мм. При этом допускаемое полезное напряжение определяется исходя из опытных данных, полученных при стандартном испытании ремня, с введением поправок на пространственное расположение передачи, угол обхвата на малом шкиве и скорость движения ремня (уменьшение сцепления центробежными силами), на режим работы передачи.
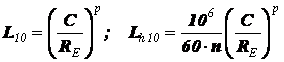
Обычно такой расчет предполагает минимальный срок службы передачи (ремня) 2000 ч. Однако, экспериментально установлено, что для ремней не удается установить предел неограниченной выносливости, а ресурс ремня, выраженный числом пробегов за срок службы N, связан с наибольшим напряжением, вычисленным по зависимости (2.31), соотношением
. (2.34)
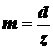
Вводя в рассмотрение число пробегов ремня в секунду
при постоянном режиме нагружения и u 1 ( = 180), нетрудно получить выражение для определения срока службы ремня T0 в часах работы
, (2.35)
где zш число шкивов, огибаемых ремнем. Формулы (2.34) и (2.35) получены при диаметре малого шкива D1 = 200 мм, u 1 (угол охвата малого шкива = 180) и 0 = 1,2 МПа. Опытные значения коэффициентов C и m для некоторых типов ремней представлены в табл. 2.5.
|
Рис. 2.5. Размеры сечений клинового (а, б) и поликлинового(в) ремней |
|
Таблица 2.5 Коэффициенты C и m для некоторых типов ремней Тип ремня C, МПа m Плоский прорезиненный 60…70 5…6 Клиновой:
кордтканевый 21 9…11 кордшнуровой 30 6…11 |
|
|
Особенности конструкции, работы и расчета клиноременных и поликлиноременных передач.Клиновые ремни имеют трапециевидное поперечное сечение, а поликлиновые выполненную в форме сочленённых основаниями клиньев рабочую часть (рис. 2.5). Угол клина для обоих видов ремней одинаков и составляет 40. На шкивах такой передачи выполняются соответствующие сечению рабочей части ремня канавки, называемые ручьями. Профили ремней и ручьёв шкивов контактируют только боковыми (рабочими) поверхностями (рис. 2.6). В клиноременных передачах для снижения изгибных напряжений часто применяют комплект из нескольких ремней (2…6), работающих параллельно на одной паре шкивов. Размеры сечений клиновых ремней стандартизованы (ГОСТ 1284.1-89, ГОСТ 1284.2-89, ГОСТ 1284.3-89). Стандартом предусмотрено 7 ремней нормального сечения (Z, A, B, C, D, E, E0), у которых b0/h1,6, и 4 узкого сечения (YZ, YA, YB, YC), у которых b0/h1,25. Ремни изготавливаются в виде замкнутого кольца, поэтому их длина тоже стандартизована.
|
Рис. 2.6. Расположение клинового ремня в ручье шкива. |
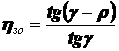
Таким образом, ремень со шкивом образуют клиновую кинематическую пару, для которой приведенный коэффициент трения f* выражается зависимостью
, (2.36)
где f коэффициент трения между контактирующими поверхностями ремня и шкива, а - угол между боковыми рабочими поверхностями ремня. После подстановки в (2.36) фактического значения угла получаем, что f*=2,92 f, то есть при одном и том же диаметре ведущего шкива несущая способность клиноременной передачи будет примерно втрое выше по сравнению с плоскоременной. Поэтому, если в плоскоременных передачах рекомендуют угол охвата меньшего шкива 150, то в клиноременных - 120 и допускается даже = 75…80. Последнее обстоятельство позволяет использовать 1 ремень для передачи вращательного движения от одного ведущего нескольким ведомым шкивам (например, в автомобильных ДВС используется ременный привод одним ремнем водяной помпы в системе охлаждения, электрогенератора и вентилятора).
Проектный расчет клиноременных передач выполняется достаточно просто методом подбора, поскольку в стандартах указывается мощность, передаваемая одним ремнем при определенном расчетном диаметре меньшего шкива и известной средней скорости ремня или частоте вращения шкива.
Изложенная лекция, как и предыдущая, состоит из двух частей, первая из которых посвящена общим вопросам проектирования механических передач. В этой части лекции представлены основные параметры, характеризующие всякую механическую передачу, и показана связь между ними.
Во второй части лекции изложены теоретические основы расчета ременных передач, их геометрические, кинематические и силовые характеристики, представлены соотношения связывающие различные параметры ременных передач между собой. Более полные сведения о ременных передачах можно найти в учебной и технической литературе.
|
Вопросы для самоконтроля: |
1. Какое устройство можно назвать механической передачей?
2. Какие основные параметры характеризуют механическую передачу?
3. В чем заключается разница между передаточным отношением и передаточным числом?
4. Что означает коэффициент полезного действия, коэффициент потерь, какова их сумма?
5. В чем разница между угловой скоростью и частотой вращения, в каких единицах они измеряются?
6. Как связаны скоростные и нагрузочные параметры прямолинейного и вращательного движения?
7. Как связаны тангенциальная сила и вращающий момент, ею создаваемый?
8. Что называют ременной передачей?
9. Какие виды ремней используются в ременных передачах?
10. Назовите основные геометрические параметры ременной передачи.
11. Каковы соотношения между силами натяжения ветвей ремня в ременной передаче - при неработающей передаче, в процессе работы?
12. Что характеризует коэффициент тяги ременной передачи?
13. Какие показатели ременной передачи непосредственно влияют на величину оптимального коэффициента тяги?
14. Что характеризует коэффициент скольжения ременной передачи?
15. Как определить точное значение передаточного числа ременной передачи?
16. Как меняется коэффициент скольжения и КПД с ростом коэффициента тяги?
17. Какие силы создают напряжения в ремне при работе ременной передачи?
18. Какие процессы, происходящие в ремне при работе передачи, ответственны за его усталостный износ?
19. Как выполняется проектный расчет плоскоременной передачи?
20. По какому критерию выполняется проверочный расчет ременной передачи?
21. Назовите основные особенности поперечного сечения клинового и поликлинового ремней?
22. Почему передача клиновым ремнем имеет большую несущую способность по сравнению с плоскоременной?
23. По каким критериям выполняется проектный расчет клиноременной передачи?
Тема 2. Механические передачи
Лекция № 3. Цепные передачи (ЦП)
Вопросы, изложенные в лекции:
1. Конструктивные особенности ЦП.
2. Кинематика ЦП.
3. Динамика и расчет ЦП.
|
Конструктивные особенности ЦП. |
Цепная передача механизм для передачи вращательного движения между параллельными валами с помощью жестко закрепленных на них зубчатых колес звездочек и охватывающей их многозвенной гибкой связи с жесткими звеньями, называемой цепью.
|
Рис. 3.1. Цепная передача. |
Простейшая цепная передача (рис. 3.1) состоит из двух, закрепленных каждая на своем валу, звездочек (1 и 2), меньшая из которых чаще всего бывает ведущей, и охватывающей их цепи 3, составленной из множества жестких звеньев, имеющих возможность поворачиваться друг относительно друга.
Цепные передачи нашли широкое применение в машинах общепромышленного назначения и в военной технике: в двигателях внутреннего сгорания для привода кулачковых валов механизма газораспределения; для привода ведущих колес в автогрейдерах; для привода дополнительных колес в БРДМ; в приводе лебедки БТР-80; в автомате заряжания пушки БМП-3. Гусеничный движитель гусеничных машин также является цепной передачей специфического назначения, преобразующей вращательное движение ведущего колеса в поступательное движение самой машины.
Цепные передачи находят широчайшее применение в различных подъемных (например, в многоковшовых элеваторах) и транспортирующих устройствах. Применение цепных передач в этих случаях упрощает конструкцию узлов машин, повышает их надежность и производительность. В этих устройствах применяются цепи самых разных конструктивных типов.
Цепные передачи используют как для редуцирования (снижения скорости в процессе передачи) вращательного движения, так и для его мультиплицирования (повышения скорости).
Достоинства цепных передач: 1. Возможность передачи движения на достаточно большие расстояния (до 8 м). 2. Возможность передачи движения одной цепью нескольким валам. 3. Отсутствие проскальзывания, а следовательно, и стабильность передаточного отношения при уменьшенной поперечной нагрузке на валы и на их опоры. 4. Относительно высокий КПД (0,96…0,98 при достаточной смазке).
Недостатки цепных передач: 1. Повышенная шумность и виброактивность при работе вследствие пульсации скорости цепи и возникающих при этом динамических нагрузок. 2. Интенсивный износ шарниров цепи вследствие ударного взаимодействия со впадиной звездочки, трения скольжения в самом шарнире и трудности смазки. 3. Вытягивание цепи (увеличение шага между шарнирами звеньев) вследствие износа шарниров и удлинения пластин. 4. Сравнительно высокая стоимость.
Уже из названия и определения цепной передачи становится ясно, что основным её элементом является цепь. Цепи достаточно широко применяются в промышленности и по назначению могут быть разделены на:
1. тяговые цепи, предназначенные для перемещения грузов по горизонтальной или наклонной поверхности;
2. грузовые цепи, предназначенные для подъема грузов;
3. приводные цепи, предназначенные для передачи движения, чаще всего вращательного, в цепных передачах.
Наибольшее распространение в качестве приводных получили роликовые, втулочные и зубчатые цепи. Эти три разновидности цепей стандартизованы.
|
Рис. 3.2. Конструкция роликовой цепи. |
Рассмотрим конструкцию роликовой цепи, как наиболее часто применяемой (рис. 3.2). Эта цепь состоит из звеньев двух типов: звена с наружными пластинами 1, соединенными между собой двумя осями 2, и звена с внутренними пластинами 3, которые соединены между собой втулками 4. Втулки 4 при сборке цепи одеваются на оси 2 с возможностью проворота, образуя таким образом шарнир цепи. На каждую из втулок 4 одевается свободно вращающийся ролик 5. Цепь проектируется чаще всего с четным числом звеньев, тогда замыкающим звеном, соединяющим концы цепи в замкнутое кольцо, является звено с наружными пластинами, оси которого могут выниматься и закрепляются при сборке разрезной шайбой или шплинтом (рис. 3.2, б). Иногда допускается использование в цепи и нечетного числа звеньев. В этом случае для замыкания цепи применяется специализированное звено с неодинаковыми концевыми частями (рис. 3.2, в). Однако, применение такого звена нежелательно в связи с его пониженной прочностью в сравнении с другими звеньями цепи.
Втулочная цепь отличается от роликовой только отсутствием роликов, что несколько снижает массу цепи и позволяет уменьшить шаг между шарнирами звеньев, однако способствует увеличению скорости износа шарниров цепи и несколько снижает КПД цепной передачи.
Пластины роликовых и втулочных цепей изготавливаются из углеродистых или углеродистых легированных сталей (стали 45, 50, 40Х, 40ХН, 30ХН3А и др.) и закаливают до HRCЭ 40…50; оси, втулки и ролики из мало- или среднеуглеродистых сталей с различной степенью легирования (стали 15, 20, 15Х, 20Х, 20ХН3А, 20ХН4А, 30ХН3А и др.), их подвергают поверхностной химико-термической обработке (цементация, цианирование, азотирование) и закаливают до поверхностной твердости HRC 50…65.
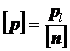
Параметры роликовой цепи, основными из которых являются шаг между геометрическими осями шарниров t и предельная разрушающая нагрузка Fp, стандартизованы (ГОСТ 13568-75). Обозначение таких цепей строится следующим образом: ПР-15,875-22,7-1 или2ПР-15,875-45,4; где первая цифра означает число рядов (для однорядной цепи цифра не ставится), буквы ПР приводная роликовая, цифра, стоящая после букв, шаг цепи в мм, следующая за ней цифра разрушающая нагрузка в кН, последняя цифра вид исполнения (1 облегченная цепь, 2- нормальное исполнение), при наличии только одного исполнения для данного типоразмера цепи последняя цифра не ставится.
|
Рис. 3.3. Схема цепной передачи. |
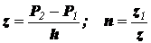
Основные геометрические соотношения в цепной передаче (рис. 3.3). Как указывалось выше, главным геометрическим параметром цепи и цепной передачи в целом является шаг t между осями шарниров цепи, равный расстоянию между центрами впадин между зубьями звездочек. Межосевое расстояние передачи выбирается в зависимости от шага цепи по следующему соотношению
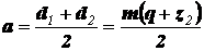
. (3.1)
В этом выражении меньшие значения коэффициента в правой части соответствуют меньшим передаточным числам и наоборот.
Делительный диаметр d звездочки (диаметр окружности на которой лежат оси шарниров цепи, охватывающей звездочку) также зависит от шага цепи t
, (3.2)
где z число зубьев звездочки.
В свою очередь число зубьев меньшей звездочки (её параметрам присвоим индекс «1») выбирают по эмпирическим соотношениям:
для роликовых и втулочных цепей
при условии z1 13; (3.3)
для зубчатых цепей
при условии z1 17; (3.4)
где u передаточное число.
Число зубьев большей звездочки
с округлением до ближайшего большего нечетного числа. При этом рекомендуется принимать число зубьев большей звездочки не более 120 для роликовых и втулочных цепей и не более 140 для зубчатых цепей.
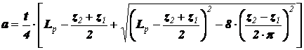
Длину цепи Lр, выраженную в шагах (число звеньев цепи), для известного межосевого расстояния a можно вычислить по выражению
. (3.5)
Полученное по выражению (3.5) значение необходимо округлить до ближайшего целого четного числа. При четном числе звеньев цепи и нечетных числах зубьев звездочек будет обеспечен наиболее равномерный износ как самих звездочек, так и шарниров цепи.
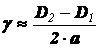
Далее по выбранному числу звеньев цепи необходимо уточнить межосевое расстояние передачи
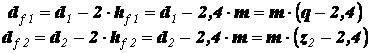
. (3.6)
Полученное расчетом по (3.6) значение межосевого расстояния с целью исключения перенатяжения цепи из-за неточностей изготовления и монтажа сокращают на 0,2…0,4%, так чтобы свободная (ведомая) ветвь цепи имела некоторое провисание f (рис. 3.3). Для передачи, у которой угол наклона межосевой линии к горизонту не превышает 40, величина провисания ведомой ветви цепи
, а для передач с углом
.
|
Кинематика ЦП. |
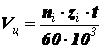
Среднюю скорость Vц (м/с) цепи в цепной передаче можно определить по выражению
, (3.7)
где ni частота вращения i-того вала, об/мин; zi число зубьев звездочки, закрепленной на i-том валу; t шаг цепи, мм.
Передаточное число u цепной передачи можно выразить через её кинематические и конструктивные показатели
, (3.8)
где угловая скорость звездочки, индекс «1» соответствует ведущей звездочке, а «2» ведомой.
Передаточное отношение, вычисленное по (3.7) является средним за оборот, но в пределах поворота звездочки на один угловой шаг (2/z) мгновенное передаточное отношение не остается постоянным. Для доказательства этого обратимся к схеме рис. 3.4.
|
Рис. 3.4. Схема совместного движения цепи и звездочки. |
Пусть ведущая звездочка, имеющая z зубьев, вращается с угловой скоростью =const по ходу часовой стрелки. Тогда тангенциальная скорость любой точки, лежащей на делительной окружности может быть найдена по известному соотношению
. (3.9)
Эта тангенциальная скорость всегда может быть представлена горизонтальной Vг и вертикальной Vв составляющими.Cоставляющие тангенциальной скорости звездочки для места входа шарнира цепи во впадину звездочки (на схеме рис. 3.4 левый шарнир верхней, набегающей, ветви цепи) и для предыдущего шарнира, уже движущегося совместно со звездочкой (на схеме рис. 3.4 правый верхний шарнир) по величине составляют
;
;
|
Рис. 3.5. Относительная пульсация скорости цепи в зависимости от количества зубьев ведущей звёздочки. |
где угол составляет половину углового шага звездочки, то есть
. Скорость движения цепи равна горизонтальной составляющейVг и, следовательно, в этом положении цепи и звездочки несколько меньше тангенциальной скорости V0. После того как шарнир цепи попал во впадину звездочки он движется вместе с нею и после поворота звездочки на половину углового шага его горизонтальная скорость движения сравняется с V0, а при последующем повороте звездочки ещё на полшага эта скорость снова сократится до первоначального значения. Величина пульсации скорости цепи, равная отношению разности этих двух скоростей к средней скорости цепи в этом случае составит
. (3.10)
При подходе шарнира цепи к месту его входа в контакт с впадиной звездочки он имеет только горизонтальную скорость равную скорости цепи, а дно впадины между зубьями звездочки в момент встречи с шарниром цепи кроме горизонтальной имеет вертикальную скорость (см. схему рис. 3.4), следовательно их встреча произойдет с ударом. Соударение впадины звездочки с шарниром цепи ведет к возникновению микропластических деформаций в контактирующих поверхностях и, в конечном итоге, к усталостному изнашиванию этих поверхностей. Кроме того, соударение шарнира цепи со впадиной звездочки вызывает шум в работе передачи, а поперечные по отношению к ветви цепи движения шарнира генерируют в ней поперечные волновые колебания. Перечисленные отрицательные эффекты увеличиваются с уменьшением количества зубьев звездочки, это стало одной из причин ограничения числа зубьев звездочек с минимальной стороны (см. (3.3) и (3.4)).
|
Динамика и расчетЦП. |
При работе цепной передачи на цепь действуют:
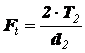
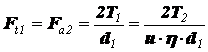
1. Окружная (тангенциальная для звездочек) сила Ft, участвующая в передаче мощности от ведущей звездочки к ведомой. Эту силу приближенно (то есть в среднем, поскольку её величина колеблется) можно найти по известному выражению
, (3.11)
где T2 момент сопротивления на валу ведомой звездочки, а d2 делительный диаметр этой звездочки. Усилие это пульсирует в силу изменения расстояния между направлением действия этой силы и осью вращения ведомой звездочки. При постоянном моменте сопротивления относительная величина пульсации этой силы Ft, как и пульсация скорости, составит
. (3.12)
2. Сила предварительного натяжения F0, обусловленная провисанием ведомой ветви цепи
; (3.13)
где q удельная масса цепи, кг/м; a межосевое расстояние передачи, м; g ускорение свободного падения, м/с2; kf коэффициент учитывающий условия провисания цепи. Для горизонтальной передачи (=0) kf = 6; для наклонной передачи, у которой 0 < 45, kf = 3; для вертикальной передачи ( = 90) kf = 1.
3. Натяжение FV, от действия центробежных сил на злементы цепи при обегании ими звездочек. Это усилие, также как и в ременной передаче, составит
; (3.14)
Сила FV растягивает цепь по всей её длине, но звездочкам не передается.
В ведущей ветви цепи все эти силы суммируются
. (3.15)
В ведомой ветви натяжение F2 равно большей из двух сил F0 или FV.
Нагрузку, передаваемую цепью на валы звездочек можно определить по выражению
, (3.16)
где kв безразмерный коэффициент нагрузки вала, изменяющийся в зависимости от условий работы цепной передачи в пределах 1,05…1,3.
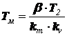
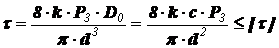
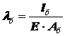
Главным критерием работоспособности цепных передач является долговечность цепи, определяемая изнашиванием шарниров. Поэтому основным является расчет цепных передач по контактному давлению в шарнирах цепи, обеспечивающий их достаточную износостойкость.
Порядок расчета цепной передачи. Исходные данные для расчета: мощность P2, которую необходимо обеспечить на выходном валу; частоты вращения -входного вала (ведущей звездочки) n1 и ведомой звездочки n2.
Пошаговый алгоритм расчета цепной передачи с роликовой цепью:
1. Вычислить передаточное число u по формуле (3.8).
2. Определить число зубьев ведущей звездочки z1 по формуле (3.3) и,
используя зависимость (3.8), найти число зубьев ведомой звездочки z2. Полученные значения округлить до ближайшего целого нечетного числа. Проверить ограничительные условия для малой звездочки (обычно это z113) и для большой звездочки (z2120). Если ограничительные условия выполнены, уточнить передаточное число uф по (3.8). Далее, где это необходимо, использовать только uф.
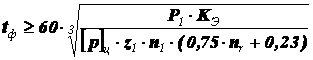
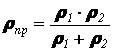
3. Выбрав по конструктивным условиям цепь с известным шагом tф, по таблицам в технической литературе (стандарты, технические условия, справочники и т.п.) определить величину допустимого давления в шарнире [p]ц или вычислить её по эмпирической формуле
; (3.17)
где n1 частота вращения меньшей из звёздочек, мин-1, t шаг цепи, мм.
4. Проверить шаг цепи по ограничению снизу согласно формуле
; (3.18)
где KЭ коэффициент, учитывающий условия эксплуатации; nr число рядов цепи, а выражение в скобках эквивалентно коэффициенту, учитывающему неравномерность распределения нагрузки по рядам многорядной цепи.
Коэффициент эксплуатации KЭ является произведением пяти частных коэффициентов
; (3.19)
где KД коэффициент динамичности нагрузки (1,2…1,5); KС коэффициент способа смазывания передачи, при непрерывном смазывании KС = 0,8, при регулярном капельном KС = 1, при периодическом KС = 1,5; K - коэффициент наклона передачи, при угле наклона к горизонту 45 K =1, при 45
; KН коэффициент способа натяжения цепи, при регулировании натяжения путем смещения оси одной из звездочек KН = 1, при регулировании специальными оттяжными звездочками или нажимными роликами KН = 1,1, для нерегулируемой передачи KН = 1,25;
- коэффициентсменности, работы, в котором Тр - время работы передачи в течение суток, часов.
Если выбранный шаг цепи не удовлетворяет условию (3.18), следует использовать для передачи цепь с большим шагом и повторить проверку по (3.18), при удовлетворении этого условия перейти к п. 5.
5. Вычислить делительные диаметры звездочек d1 и d2 по выражению (3.2).
6. Назначить предварительную величину межосевого расстояния передачи a по выражению (3.1), учитывая, что цепной передачей обычно охватываются передаточные числа u = 1…7.
7. По выражению (3.5) определить необходимое число звеньев цепи, округляя величину, полученную расчетом, до ближайшего большего четного числа.
8. Уточнить величину межосевого расстояния для полученного числа звеньев цепи по формуле (3.6), сократив полученное расчетом значение на 0,2…0,4%, как рекомендовано выше. Назначить величину провисания свободной ветви цепи f.
9. Используя выражения (3.11; 3.13…3.15), определить нагрузку в ведущей ветви цепи.
10. Вычислить коэффициент запаса цепи по нагрузке, используя выражение
, (3.20)
где QЦ паспортное разрывное усилие цепи, а [KЦ] нормативный коэффициент запаса цепи по разрывному усилию. В общем машиностроении принимают[KЦ] = 3…5. При получении меньших значений KЦ необходимо выбрать другую цепь с большим шагом и расчет повторить для новой цепи. При получении коэффициента запаса KЦ, значительно превышающего указанную величину допустим выбор цепи с уменьшенным шагом, что будет способствовать сокращению габаритных размеров передачи.
В заключение следует отметить, что в настоящей лекции в связи с малым количеством учебного времени свойства и качества цепных передач, а также порядок их расчета рассмотрены, в основном, на примере наиболее распространенной цепной передачи с роликовой цепью. Безусловно, расчет и конструирование цепных передач с цепями других типов имеют некоторые специфические особенности, познакомиться с которыми в случае необходимости можно по соответствующей технической литературе.
|
Вопросы для самоконтроля: |
1. Какой механизм называют цепной передачей?
2. Назовите примеры применения цепных передач.
3. Назовите достоинства и недостатки цепных передач.
4. Назовите основные виды цепей (по их функциональному назначению), применяемых в промышленности.
5. Какие виды приводных цепей Вы знаете?
6. Какова конструкция роликовых и втулочных цепей?
7. Из каких материалов изготавливаются элементы приводных цепей?
8. Какой параметр цепи и цепной передачи является определяющим, какие параметры включены в маркировку цепей?
9. Назовите основные конструктивные параметры цепной передачи, как они взаимосвязаны?
10. Назовите основные кинематические параметры цепной передачи, и покажите их
11. взаимную связь.
12. Что является причиной нестабильности (периодического изменения) некоторых кинематических параметров? Назовите кинематические параметры, подвергающиеся периодическому изменению.
13. Какие конструктивные меры способствуют повышению стабильности скорости цепи и тягового усилия цепной передачи?
14. Какими силами обусловлено натяжение свободной ветви цепи в цепной передаче?
15. Какими силами обусловлено натяжение ведущей ветви цепи в цепной передаче?
16. Что является основным критерием работоспособности цепной передачи?
17. Какие данные необходимо иметь, чтобы спроектировать цепную передачу?
18. По какому параметру подбирается цепь при проектировании цепной передачи?
19. В процессе расчета цепной передачи получен коэффициент запаса цепи по разрывному усилию KЦ = 1,5. Каковы будут Ваши дальнейшие действия?
ТЕМА 2. МЕХАНИЧЕСКИЕ ПЕРЕДАЧИ
Лекция № 4. Общие сведения о зубчатых передачах (ЗП)
Вопросы, изложенные в лекции:
5. Общие сведения.
6. Передачи с эвольвентным зацеплением.
7. Передачи с зацеплениями других типов.
|
Общие сведения. |
Зубчатая передача - трехзвенный механизм, включающий два подвижных звена, взаимодействующих между собой через высшую зубчатую кинематическую пару и образующих с третьим неподвижным звеном низшие (вращательные или поступательные) кинематические пары (рис. 4.1).
|
Рис. 4.1. Виды зубчатых передач. |
Меньшее зубчатое колесо, участвующее в зацеплении обычно называют шестерней, большее зубчатым колесом, звено зубчатой передачи, совершающее прямолинейное движение, называют зубчатой рейкой (рис. 4.1, к).
Назначение зубчатой передачи - передача движения (чаще всего вращательного) с преобразованием параметров, а иногда и его вида (реечная передача). Зубчатые передачи вращательного движения наиболее распространены в технике (рис. 4.1, а…и). Они характеризуются передаваемыми мощностями от микроватт (механизм кварцевых наручных часов) до десятков тысяч киловатт (крупные шаровые мельницы, дробилки, обжиговые печи) при окружных скоростях до 150 м/с.
Классификация зубчатых передач:
1. По величине передаточного числа:
1.1. с передаточным числом u 1 редуцирующие (редукторы - большинство зубчатых передач);
1.2. с передаточным числом u < 1 мультиплицирующие (мультипликаторы).
2. По взаимному расположению валов:
2.1. с параллельными валами цилиндрические зубчатые передачи (рис. 4.1, а…г);
2.2. с пересекающимися осями валов - конические зубчатые передачи
(конические передачи с углом 90 между осями валов называют ортогональными; рис. 4.1, д…ж);
2.3. с перекрещивающимися осями валов - червячные, винтовые (рис. 4.1, и), гипоидные (рис. 4.1, з);
2.4. с преобразованием движения реечные (рис. 4.1, к).
3. По расположению зубьев относительно образующей поверхности колеса:
3.1. прямозубые - продольная ось зуба параллельна образующей поверхности колеса (рис. 4.1, а, г, д, к);
3.2. косозубые - продольная ось зуба направлена под углом к образующей поверхности колеса (рис. 4.1, б, е, и);
3.3. шевронные - зуб выполнен в форме двух косозубых колес со встречным наклоном осей зубьев (рис. 4.1, в);
3.4. с круговым зубом - ось зуба выполнена по окружности относительно образующей поверхности колеса (рис. 4.1, ж, з).
4. По форме зацепляющихся звеньев:
4.1. с внешним зацеплением - зубья направлены своими вершинами от оси вращения колеса (рис. 4.1, а…в);
4.2. с внутренним зацеплением - зубья одного из зацепляющихся колес направлены своими вершинами к оси вращения колеса (рис. 4.1, г);
4.3. реечное зацепление - одно из колес заменено прямолинейной зубчатой рейкой (рис. 4.1, к);
4.4. с некруглыми колесами.
5. По форме рабочего профиля зуба:
5.1. эвольвентные - рабочий профиль зуба очерчен по эвольвенте круга (линия описываемая точкой прямой, катящейся без скольжения по окружности);
5.2. циклоидальные - рабочий профиль зуба очерчен по круговой циклоиде (линия описываемая точкой окружности, катящейся без скольжения по другой окружности);
5.3. цевочное (разновидность циклоидального) зубья одного из колес, входящих в зацепление, заменены цилиндрическими пальцами цевками;
5.4. с круговым профилем зуба (зацепление Новикова) рабочие профили зубьев образованы дугами окружности практически одинаковых радиусов.
6. По относительной подвижности геометрических осей зубчатых колес:
6.1. с неподвижными осями колес - рядовые передачи (рис. 4.1);
6.2. с подвижными осями некоторых колес - планетарные передачи.
7. По жесткости зубчатого венца колес, входящих в зацепление:
7.1. с колесами неизменяемой формы (с жестким венцом);
7.2. включающая колеса с венцом изменяющейся формы (гибким).
8. По окружной (тангенциальной) скорости зубьев:
8.1. тихоходные (Vз < 3 м/с);
8.2. среднескоростные (3< Vз < 15 м/с);
8.3. быстроходные (Vз > 15 м/с).
9. По конструктивному исполнению:
9.1. открытые (бескорпусные);
9.2. закрытые (корпусные).
Наиболее широкое применение находят редуцирующие зубчатые передачи вращательного движения, в том числе и в многоцелевых гусеничных и колесных машинах (коробки передач, бортовые редукторы, приводы различных устройств). Поэтому дальнейшее изложение, если это не упоминается особо, касается только передач вращательного движения.
Достоинства зубчатых передач: 1. Высокая надежность работы в широком диапазоне нагрузок и скоростей. 2. Большой ресурс. 3. Малые габариты. 4 Высокий КПД. 5. Относительно малые нагрузки на валы и подшипники. 5. Постоянство предаточного числа. 6. Простота обслуживания.
Недостатки зубчатых передач: 1. Сложность изготовления и ремонта (необходимо высокоточное специализированное оборудование). 2. Относительно высокий уровень шума, особенно на больших скоростях. 3. Нерациональное использование зубьев в работе передачи одновременно участвуют обычно не более двух зубьев каждого из зацепляющихся колёс.
Конструктивные (геометрические) параметры зубчатых передач (на примере цилиндрических зубчатых передач):
Межосевое расстояние aw расстояние между геометрическими осями валов, на которых закреплены шестерня и зубчатое колесо.
Диаметры начальных цилиндров (окружностей) зубчатых колес dw1 и dw2[1], участвующих в зацеплении диаметры мнимых цилиндров (в сечении, перпендикулярном осям вращения взаимодействующих зубчатых колес, окружностей), которые в процессе работы передачи обкатываются один по другому без проскальзывания. При изменении межосевого расстояния передачи меняются и диаметры начальных цилиндров (окружностей). У отдельно взятого колеса диаметра начального цилиндра (окружности) не существует.
Названные параметры передачи связаны между собой простым соотношением
, (4.1)
где знак «+» относится к внешнему зацеплению (рис. 4.1, а…в, и), а знак «» к внутреннему (рис. 4.1, г).
Числа зубьев зубчатых колес z1 и z2. Суммарное число зубьев колес, участвующих в передаче
. (4.2)
Делительные диаметры d1 и d2 зубчатых колес, участвующих в зацеплении диаметры цилиндров (окружностей) по которым обкатывается без скольжения инструмент при нарезании зубьев колеса методом обкатки. У большинства зубчатых передач (при отсутствии ошибок в изготовлении) делительные диаметры и диаметры начальных цилиндров совпадают, то есть dw1 = d1 и dw2 = d2. Поскольку делительные диаметры связаны с процессом изготовления зубчатого колеса, а каждое зубчатое колесо изготавливается отдельно, следовательно делительный диаметр (делительный цилиндр, в поперечном сечении делительная окружность)имеется у каждого отдельно взятого колеса.
Часть делительного диаметра, приходящаяся на один зуб колеса называется модулем m, следовательно для любого нормального зубчатого колеса
. (4.3)
Модуль является основной размерной характеристикой зубьев колеса. С целью обеспечения взаимозаменяемости зубчатых колес, унификации и сокращения номенклатуры режущего инструмента для их изготовления модуль стандартизован, то есть при проектировании передачи выбирается из ряда стандартных значений.
Расстояние между одноименными боковыми поверхностями двух соседних зубьев, измеренное по дуге делительной окружности называют окружным делительным шагом зубьев p. Так как длина делительной окружности равна d, то, учитывая (4.3), для любого зубчатого колеса имеем
. (4.4)
Из сказанного следует, в зацеплении могут находиться только зубчатые колеса с одинаковым модулем.
Кинематические параметры зубчатых передач: угловые скорости 1, 2 и частоты вращения n1, n2 ведущего и ведомого зубчатых колес, а также связанное с ними передаточное число зубчатой передачи, вычисляемое по соотношению
. (4.5)
Учитывая вышеизложенное, нетрудно установить, что
. (4.6)
Для нормальной работы зубчатой передачи (обеспечение плавности работы, отсутствие излишних вибраций и инерционных сил, относительно высокий КПД зубчатого зацепления) форма рабочей поверхности профиля зубьев должна удовлетворять следующим требованиям:
1. в течение времени взаимодействия рабочих поверхностей двух сопряженных зубьев ведущего и ведомого колес передаточное отношение должно сохраняться постоянным (основная теорема зубчатого зацепления);
2. профиль зуба должен обеспечивать выполнение условия 1 при зацеплении данного колеса с любым другим колесом того же модуля;
3. профиль зуба должен обеспечивать возможность изготовления колеса любого диаметра одним инструментом;
4. инструмент для нарезания зубьев должен быть простым и легко доступным для изготовления и контроля.
|
Передачи с эвольвентным зацеплением. |
Наиболее полно перечисленным требованиям удовлетворяет эвольвентное зацепление, предложенное Леонардом Эйлером (в 1760или 65 г.), которое и получило самое широкое распространение в общепромышленной и военной технике.[2]
Основные параметры эвольвентных цилиндрических зубчатых передач стандартизованы, при обозначении параметрам шестерни приписывается индекс "1", параметрам колеса - "2" (рис. 4.2):
|
Рис. 4.2. Схема эвольвентного зацепления. |
1. Межосевая линия О1О2 - прямая линия, пересекающая оси зубчатых колес передачи под прямым углом.
2. Межосевое расстояние (аw) - расстояние между осями зубчатых колес О1 и О2, измеренное по межосевой линии.
3. Линия зацепления (NN) - геометрическое место точек контакта между сопряженными профилями зубьев. Линия зацепления одновременно является нормалью к профилю боковой (рабочей) поверхности зуба, и потому усилие нормального давления между зубьями всегда направлено по линии зацепления.
4. Угол зацепления (w) - угол между линией зацепления и перпендикуляром к межосевой линии. (стандартный угол зацепления w = 20°; уменьшенный угол зацепления w = 15°; увеличенный - w =22,5°).
5. Основная окружность (основной цилиндр; его диаметры обозначаются db1 и db2, радиусы rb1 иrb2) - окружность, по которой обкатывается без скольжения прямая, точки которой описывают эвольвенту, очерчивающую боковую поверхность зуба, следовательно это окружность с центром на оси вращения колеса, касающаяся линии зацепления.
6. Начальные окружности (начальный цилиндр; его диаметры обозначаются dw1, dw2) - окружностисопряженных зубчатых колес, которые при их вращении обкатываются одна по другой безпроскальзывания.
7. Делительные окружности (делительные цилиндры их диаметры обозначаются d1, d2) окружности зубчатых колес, при измерении по которым теоретические толщина зуба и ширина впадины равны между собой (окружности по которым обкатывается инструмент при нарезании зубьев). У некоррегированныхзубчатых колес делительная и начальная окружности совпадают.
8. Окружность выступов (цилиндры выступов; их диаметры обозначаются da1, da2) окружность, очерченная по вершинам зубьев.
9. Окружность впадин (цилиндры впадин; их диаметры обозначаются df1, df2) - окружность, очерченная по дну впадин между зубьями.
10. Шаг нарезки зубьев (р) расстояние между одноименными точками боковой (рабочей) поверхности зубьев, измеренное по дуге окружности с центром на оси вращения колеса. В зависимости от окружности по которой измеряется шаг нарезки различают основной (рb) начальный (pw) и делительный (р1) шаги (см. формулу 4.4).
11. Модуль (т) часть диаметра делительной окружности, приходящаяся на 1 зуб колеса (см. формулу 4.3).
12. Высота головки зуба (hа) расстояние между делительной окружностью и окружностью выступов, измеренное по радиусу (обычно hа= т).
13. Высота ножки зуба (hf) расстояние между делительной окружностью и окружностью впадин, измеренное по радиусу (обычно hf = 1,25т для цилиндрических колес и hf = 1,20т для конических колес).
14. Высота зуба (h) расстояние между окружностью впадин и окружностью выступов, измеренное по радиусу. Высота зуба складывается из высот его ножки и головки (h = ha + hf, следовательно, для цилиндрических колес h = 2,25т, а для конических h = 2,20т).
15. Ширина зубчатого венца (b) расстояние между торцовыми поверхностями зубчатого венца колеса.
16. Боковой зазор в зацеплении (j) полуразность между толщиной зуба и шириной впадины, измеренными по дуге делительной окружности (обычно j =0,0125m для литых колес и j = (0…0,0065)m для механически обработанных колес).
17. Угол наклона зубьев () угол между продольной осью зуба и образующей поверхности зубчатого венца колеса (для прямозубых колес =0 и, как правило, не указывается).
18. Радиальный зазор (с) разница между высотой ножки и головки зуба (обычно с = 0,25т для цилиндрических колес и с =0,20т для конических колес).
19. Длина активной линии зацепления (g) - часть линии зацепления, отсекаемая окружностями выступов сопрягаемых колес (на рис. 4.2 не показана).
20. Коэффициент торцового перекрытия ( = g /рь) - отношение длины активной линии зацепления к основному шагу колеса. Коэффициент торцового перекрытия показывает сколько зубьев в среднем за поворот колеса на 1 шаг находятся в зацеплении.
Основные параметры эвольвентных конических зубчатых передач. Конические зубчатые эвольвентные передачи предназначены для передачи вращательного движения между валами, геометрические оси которых пересекаются. Наиболее часто угол между осями валов составляет 90°, передачи с таким углом принято называть ортогональными (рис. 4.3).
|
Рис. 4.3. Схема зацепления ортогональной конической передачи: 1, 2, 3 образующие внутреннего, среднего и внешнего дополнительных конусов; 4 - эквивалентное цилиндрическое колесо. |
Зубья колес в конической передаче имеют переменные размеры сечения по длине, что обусловливает большую трудность изготовления (отсюда ниже точность) и меньшую несущую способность передачи (в среднем примерно на 15%). Конусная образующая поверхность зубчатого венца вызывает появление значительных осевых сил на валах передачи, что является причиной усложнения конструкции опор и всей передачи в целом.
Конусы, аналогичные начальному и делительному цилиндрам цилиндрического колеса, называют начальным и делительным конусами.
Угол между осью начального конуса и его образующей называют углом начального конуса (обозначают 1 угол начального конуса ведущего колеса; 2 угол начального конуса ведомого колеса). В некоррегированныхпередачах начальные и делительные конусы совпадают.
Дополнительные конусы конусы, образующая которых перпендикулярна образующей начального конуса.Обычно у зубчатого колеса имеется 2 дополнительных конуса внешний, наиболее удаленный от точки пересечения осей колес и внутренний, расположенный ближе к этой точке.
Ширина зубчатого венца конического колеса (b) часть образующей делительного конуса колеса между дополнительными конусами.
Сечение зубьев поверхностью дополнительного конуса называют торцевым сечением. Различают внешнее, среднее и внутреннее торцевые сечения. Для передач с прямыми и косыми зубьями стандартизуются и указываются в конструкторской документации обычно параметры, относящиеся к внешнему торцевому сечению, а в расчетах используются параметры, относящиеся к среднему (медиальному) торцевому сечению. Для передач с круговым зубом расчетные и конструктивные ( в том числе стандартизованные) параметры относятся к среднему (медиальному) торцевому сечению.
Расстояние от вершины делительного конуса до пересечения его образующей с образующей внешнего дополнительного конуса называют внешним конусным расстоянием (Rе), а расстояние от вершины делительного конуса до пересечения его образующей с образующей среднего (медиального) дополнительного конуса называют медиальным конусным расстоянием (R). Для сопряженных (находящихся в зацеплении) зубчатых колес Rе1= Rе2 и R1= R2.
Эквивалентное цилиндрическое колесо получается при развертке внешнего дополнительного конуса на плоскость с дополнением полученной развертки до полной окружности. Делительный диаметр эквивалентного колеса с прямолинейными зубьями можно представить в следующем виде
, (4.7)
откуда следует, что
. (4.8)
Для передачи с круговыми зубьями эквивалентное число зубьев выразится зависимостью
, (4.9)
где m угол наклона кругового зуба в медианальном сечении.
|
Передачи с зацеплениями других типов. |
Циклоидальные и цевочные зацепления были известны примерно на 100 лет раньше эвольвентных.
Циклоидальное зацепление это зацепление, в котором боковые рабочие поверхности зубьев сопряженных колес очерчены по циклоиде.
Циклоида - кривая, описываемая точкой окружности, катящейся без скольжения по другой окружности. При обкатывании производящей окружности по главной окружности с внешней стороны получаем эпициклоиду, а при обкатывании с внутренней стороны гипоциклоиду. При этом производящая окружность обкатывается по делительной окружности зубчатого колеса, совпадающей в зацеплении с начальной окружностью.
Для циклоидального зацепления выполняется основная теорема зацепления нормаль в точке взаимодействия профилей сопряженных зубьев проходит через полюс зацепления.
В циклоидальном зацеплении рабочий профиль головки зуба очерчен по эпициклоиде, а профиль ножки зуба по гипоциклоиде. Оба профиля образованы обкаткой производящих окружностей по начальным окружностям шестерни и колеса. Обычно принимают диаметр производящей окружности dпр = (0,35…0,4)d. В следствие этого циклоидальное зацепление по сравнению с эвольвентным более чувствительно к неточностям межосевого расстояния.
В настоящее время зубчатые колеса циклоидального зацепления нарезают, как правило, по методу обкатки способом фрезерования червячной фрезой. При этом боковой профиль зуба червячной фрезы также состоит из двух ветвей эпо- и гипоциклоиды.
Достоинства циклоидального зацепления: 1) Пониженные по сравнению с эвольвентным зацеплением контактные напряжения на рабочих поверхностях зубьев, вследствие увеличения приведенного радиуса кривизны контактных поверхностей. 2) Уменьшенный коэффициент скольжения зубьев при одном и том же коэффициенте перекрытия . 3) Повышенная плавность работы передачи вследствие увеличения коэффициента перекрытия зубьев. Преимущество циклоидального зацепления особенно заметно проявляется при их использовании в ускоряющих (мультиплицирующих) передачах. Применение циклоидального зацепления в таких передачах способствует более благоприятному расположению нагрузки, действующей на зубья (значительно меньше угол зацепления), следовательно выше их КПД.
Недостатки циклоидального зацепления: 1) Сложность инструментального профиля (две циклоиды по сравнению с прямой у эвольвентного зацепления). 2) Высокая чувствительность к ошибкам в исполнении межосевого расстояния (нарушается постоянство передаточного числа). 3) Трудности ремонта передачи при изготовлении заменяющего колеса необходимо точно знать размеры производящей окружности.
В машиностроении циклоидальное зацепление находит применение в винтовых насосах и компрессорах, в счетчиках оборотов и некоторых других устройствах.
|
Рис. 4.4. Схема построения цевочного зацепления. |
Частным случаем циклоидального зацепления является цевочное зацепление. В цевочном зацеплении радиус производящей окружности одного из колес выбирается равным радиусу начальной (полоидной) окружности (рис. 4.4). В этом случае гипоциклоидальный профиль зубьев ответного колеса обращается в точку, что позволяет зубья первого колеса выполнить в форме цилиндрических пальцев, называемых цевками, укрепленных между двумя дисками; второе колесо при этом выполняется как зубчатое. Преимуществом цевочного зацепления является возможность отказаться от фрезерования зубцов одного из колес цевочного колеса. Кроме того, цевки можно сделать вращающимися, заменив трение скольжения между зубьями колес трением качения, что увеличивает КПД передачи.
Цевочное зацепление может быть как внешним, так и внутренним.
Цевочное зацепление применяется в зубчатых механизмах больших габаритов: в подъемно-транспортных механизмах, в механизмах поворота орудийных башен, в некоторых типах планетарных редукторов. Во всех этих механизмах цевочным выполняют большее колесо, что позволяет отказаться от крупногабаритных зубофрезерных станков.
Кроме того, в военной технике цевочное зацепление широко применяется в гусеничных движителях МГКМ для зацепления ведущего колеса с гусеницей, обеспечивая равномерность движения гусеницы при равномерном вращении ведущего колеса и безударное взаимодействие цевок гусеничной цепи с его впадинами.
Передачи с круговым профилем рабочей поверхности зуба зацепление М.Л. Новикова.
Передача с круговым профилем зуба предложена инженер-полковником академии им. Н.Е. Жуковского М.Л. Новиковым в 1954 году. В основу разработки этого зацепления Новиковым положены следующие соображения. Согласно формуле Герца максимальные контактные напряжения между поверхностями взаимодействующих зубьев
; (4.10)
где q удельное усилие по линии контакта зубьев, Н/м; Eпр приведенный модуль упругости материалов, из которых изготовлены зубчатые венцы взаимодействующих колес, Н/м2; пр приведенный радиус кривизны контактирующих поверхностей зубьев, вычисляемый по соотношению
. (4.11)
Из соотношения (4.10) следует, что снизить напряжения в области контакта рабочих поверхностей зубьев возможно только за счет увеличения приведенного радиуса кривизны контактирующих поверхностей пр. В свою очередь, соотношение (4.11) показывает, что максимальное увеличение пр достигается в том случае, когда в контакте находятся поверхности противоположной кривизны, выпуклой и вогнутой, с близкими по абсолютной величине радиусами кривизны. Но в этом случае сохранение постоянства передаточного отношения при радиальном смещении точки контакта по поверхности зуба становится невозможным (нарушается основная теорема зацепления). Следовательно, остается единственная возможность сохранить постоянство положения точки контакта в радиальном направлении и обеспечить её перемещение при вращении сцепляющихся колес параллельно их осям вращения.
В зацеплении Новикова профиль контактирующих зубьев шестерни и колеса в торцевом сечении очерчен дугами окружности (рис. 4.5, б). Практически принимают
, где 1 радиус окружности вогнутого профиля зуба, а 2 радиус окружности выпуклого профиля зуба, m модуль зацепления. В этом случае контакт зубьев происходит в точке и только в момент прохождения профилей через эту точку. Для обеспечения перемещения точки контакта зубьев параллельно оси вращения шестерен зубья делают косыми с углом наклона обычно не более 25. При этом ширину зацепления выбирают такой, чтобы обеспечивался осевой коэффициент перекрытия зубьев не менее 1,1, поскольку окружное перекрытие зубьев в таком зацеплении невозможно.
|
Рис. 4.5. Схема контактного взаимодействия и движения контактной площадки в зубчатом зацеплении: а) эвольвентном; б) круговинтовом (Новикова). |
При выполнении зуба ведущего колеса с вогнутым профилем (вращение левого колеса на рис. 4.5 против часовой стрелки) точка контакта зубьев всегда будет расположена перед полюсом зацепления, поэтому такое зацепление называют дополюсным. Если же профиль зуба ведущего колеса сделать выпуклым, а ведомого вогнутым (это соответствует вращению левого колеса на рис. 4.5 по часовой стрелке), то зуб ведущего колеса будет входить в контакт уже после прохождения полюса зацепления, такое зацепление называют заполюсным.
|
Рис. 4.6. Исходный контур дозаполюсной круговинтовой передачи (Новикова) |
Зубья сопряженных колес, выполненные как показано на рис. 4.5, требуют для изготовления различного инструмента, что неудобно в производственных условиях. Поэтому было предложено зубья обоих взаимодействующих колес выполнять одинаковыми головку зуба делать с выпуклым профилем, а ножку с вогнутым (рис. 4.6). В этом случае зубья имеют две точки контакта, одна из которых расположена на головке зуба, а вторая на его ножке, которые к тому же расположены по разные стороны полюса зацепления. Поэтому такое зацепление принято называть дозаполюсным. В российской промышленности профиль дозаполюсного зацепления стандартизован (ГОСТ 17744-72). Для этого профиляha = 0,9; c = 0,15; n = 27; a = 1,14…1,15; f = 1,25…1,3.
В следствие более высокой контактной прочности несущая способность круговинтовой передачи может до двух раз превышать несущую способность эвольвентной передачи тех же размеров. Передача Новикова работает более плавно, а её КПД из-за отсутствия взаимного скольжения зубьев несколько выше.
К недостаткам передачи Новикова можно отнести повышенную чувствительность к колебаниям межосевого расстояния и некоторое снижение изломной прочности зубьев вблизи торцов зубчатого венца.
Круговинтовое зацепление можно использовать как в цилиндрических так и в конических зубчатых передачах.
В лекции представлены: основная терминология, относящаяся к зубчатым передачам, классификация зубчатых передач, их основные достоинства и недостатки, представлены наиболее общие параметры зубчатых передач и рассмотрены основные свойства различных зубчатых зацеплений, используемых в силовых зубчатых передачах.
Поскольку эвольвентное зацепление занимает превалирующее место в современной технике, включая военную, его свойства, критерии проектирования и прочностного расчета будут рассмотрены в последующих лекциях. Однако, информация, полученная уже в этой лекции позволяет решать основной вопрос о выборе того или иного зацепления при проектировании передачи. Представленная информация достаточно важна и при назначении условий эксплуатации передач, если известно зацепление, примененное в данной конкретной передаче.
|
Вопросы для самоконтроля: |
1. Какой механизм называют зубчатой передачей?
2. Назовите основные классификационные признаки зубчатых передач.
3. Назовите примеры применения зубчатых передач.
4. Назовите достоинства и недостатки зубчатых передач.
5. Назовите основные конструктивные параметры зубчатых передач, как они меж собой соотносятся?
6. Назовите основные кинематические параметры зубчатых передач, как они меж собой соотносятся?
7. В чем заключается главная особенность эвольвентных передач?
8. Назовите основные конструктивные параметры эвольвентных зубчатых передач, как они меж собой соотносятся?
9. Назовите основные кинематические параметры эвольвентных зубчатых передач, как они меж собой соотносятся?
10. Что называют конической зубчатой передачей?
11. Как различается несущая способность конической и цилиндрической передач?
12. Какае дополнительные параметры характерны для конических зубчатых передач?
13. Что означают термины «эквивалентное зубчатое колесо» и «эквивалентное число зубьев» по отношению к конической передаче?
14. Какое зацепление называют циклоидальным?
15. Каковы достоинства и недостатки циклоидального зацепления?
16. Какое зацепление называют цевочным, в чем его преимущества?
17. Где применяется цевочное зацепление?
18. Какова главная особенность зубчатого зацепления М.Л. Новикова?
19. Какое зацепление называют дополюсным, заполюсным, дозаполюсным?
20. Сравните несущую способность эвольвентного и круговинтового зацеплений, что является причиной различия в их несущей способности?
ТЕМА 2. МЕХАНИЧЕСКИЕ ПЕРЕДАЧИ
Лекция № 5. Цилиндрические и конические зубчатые передачи (ЦКЗП)
Вопросы, изложенные в лекции:
1. Конструктивные особенности и параметры ЦКЗП.
2. Кинематика и динамика ЦКЗП.
3. Расчет ЦКЗП.
|
Конструктивные особенности и параметры ЦКЗП. |
В предыдущей лекции представлены конструкция и параметры зубчатого венца зубчатых колёс. Конструкция остальных частей зубчатого колеса в значительной мере определяется выбранными материалами, габаритными размерами колеса и технологией его изготовления.
Обычно в большинстве зубчатых колес можно выявить три основных элемента:
обод часть зубчатого колеса, несущая зубчатый венец (1 на рис. 5.1, г и 5.2, а); наиболее часто обод совмещают с зубчатым венцом, но иногда их выполняют раздельными (например, из разных материалов);
ступица часть зубчатого колеса, соединяющая его с валом, несущим зубчатое колесо (3 на рис. 5.1, г и 5.2, а); зубчатые колеса малого диаметра по сравнению с валом, несущим это колесо, выполняются, как правило, за одно целое с этим валом и называются вал-шестерня (рис. 5.1, д и 5.2, б);
диск часть зубчатого колеса, соединяющая обод со ступицей; в литых и сварных зубчатых колесах диск зачастую заменяется отдельными спицами.
|
Рис. 5.1. Виды цилиндрических зубчатых колёс. |
|
Рис. 5.2. Виды конических зубчатых колёс. |
В единичном и мелкосерийном производстве зубчатые колеса диаметром до 200 мм обычно изготавливают методом точения из круглого проката. Заготовку для колес диаметром до 600 мм часто получают ковкой, а в массовом производстве горячей штамповкой в двусторонних молотовых штампах. Заготовки колес большего диаметра в мелкосерийном производстве изготавливают сваркой, а в массовом производстве для этой цели используют технологию литья в земляные формы.
Конструктивные параметры зубчатых колес представлены на рис. 5.3. Толщина обода цилиндрических и конических зубчатых колес может быть выбрана по эмпирическому соотношению
|
Рис. 5.3. Конструктивные параметры точеных и кованых колес (пояснения в тексте). |
, (5.1)
в котором m модуль зацепления (для конических колес следует использовать внешний модуль me (mte)), b ширина зубчатого венца.
Толщину диска принимают равной:
для цилиндрических колёс
, (5.2)
для конических колёс
. (5.3)
Диаметр ступицы - dст = 1,55d, а её длину lст = (0,8…1,5)d, где d посадочный диаметр вала.
У колес большого диаметра с целью экономии легированной стали иногда применяют насадной зубчатый венец (сборные зубчатые колёса), который крепится на ободе так, чтобы исключить возможность его проворачивания.
|
Кинематика и динамика ЦКЗП. |
|
Рис. 5.4. Скольжение зубьев в процессе работы передачи |
В процессе работы эвольвентной зубчатой передачи рабочие участки профилей зубьев одновременно обкатываются и скользят друг по другу (рис. 5.4.). Учитывая, что тангенциальные скорости зубьев в полюсе зацепления для шестерни и колеса равны между собой, и разлагая тангенциальные скорости v1 и v2 контактирующих точек сопряженных зубьев на две составляющих, одна из которых (v1 и v2) направлена по линии зацепления (то есть по нормали к взаимодействующим поверхностям зубьев), а вторая (v1” и v2”) перпендикулярно к ней (то есть по касательной к поверхности контакта), обнаруживаем, что в момент прохождения точки контакта через полюс зацепления касательные скорости контактирующих профилей равны нулю, и скольжение профилей отсутствует (рис. 5.4, б). Во всех остальных случаях касательная скорость части профиля зуба, прилегающей к головке, больше аналогичной скорости контактирующего профиля сопряженного зуба, прилегающего к ножке последнего (рис. 5.4, а, в). Поскольку протяженность профилей ножки и головки примерно одинаковы, ножка зуба работает в наиболее неблагоприятных условиях (дольше работает в условиях трения скольжения), что ведет к её более интенсивному изнашиванию.
|
Рис. 5.5. Силы в прямозубой цилиндрической передаче. |
|
Рис. 5.6. Силы в косозубой цилиндрической передаче. |
Поскольку перенос точки приложения силы по линии её действия не меняет результатов действия силы, то силы взаимодействия зубьев принято определять в полюсе зацепления (рис. 5.5). Тогда нормальную силу взаимодействия рабочих поверхностей зубьев прямозубой передачи можно разложить на тангенциальную и радиальную составляющие. Из параллелограмма сил получаем
;
и
. (5.4)
Тангенциальная сила передает вращающий момент в передаче и таким образом участвует в передаче энергии (мощности) от входного (ведущего) вала передачи к её выходному (ведомому) валу.
Но, выражая тангенциальную силу через передаваемые моменты и конструктивные параметры передачи, имеем
. (5.5)
В косозубой передаче за счет наклона продольной оси зуба к образующей делительного цилиндра кроме тангенциальной и радиальной сил появляется осевая сила (рис. 5.6).Соотношения между составляющими силы взаимодействия зубьев в этом случае будут следующими:
;
. и
(5.6)
При этом соотношения (5.5), связывающие тангенциальную силу с геометрическими параметрами передачи, остаются теми же самыми.
|
Рис. 5.7. Силы в прямозубой конической передаче. |
В конической зубчатой передаче также как и в цилиндрической косозубой появляются осевые составляющие силы взаимодействия зубьев, но причиной их возникновения является наклонное расположение зубьев. Силы в конической зубчатой передаче обычно приводятся к плоскости серединного сечения зубчатого венца (рис. 5.7).
Соотношения между силами, действующими на зубе шестерни будут следующими
. (5.7)
А силы на колесе выражаются через силы на шестерне Fr2 = Fa1 и Fa2= Fr1.
Тангенциальная составляющая выражается в этом случае с помощью конструктивных параметров передачи следующим образом
. (5.8)
|
Расчет ЦКЗП. |
Основными критериями работоспособности закрытых зубчатых передач, обеспеченных достаточным количеством смазки является контактная прочность взаимодействующих поверхностей зубьев и прочность зубьев на изгиб.
При недостаточной контактной прочности рабочих поверхностей зубьев на этих поверхностях в области ножки происходит прогрессирующее усталостное выкрашивание металла, нарушающее геометрию зацепления и ослабляющее поперечное сечение зуба по отношению к изгибным напряжениям, что в конечном итоге приводит к усталостному излому зуба.
Таким образом расчет ведется из условия
и
(5.9)
При проектном расчете цилиндрических передач вначале вычисляется межосевое расстояние передачи
; (5.10)
где для прямозубой передачи Ka = 450 (Н/мм2)1/3;
для косозубой передачи Ka = 410 (Н/мм2)1/3;
KH коэффициент нагрузки, учитывающий условия работы зубьев и качество их рабочих поверхностей и состоящий из произведения нескольких других коэффициентов; T1 вращающий момент на шестерне, Нм; u - передаточное число передачи; []H допускаемые напряжения для материалов, из которых изготовлены зубчатые колеса передачи, МПа ba коэффициент ширины зубчатого венца колеса (венец шестерни обычно выполняется на 2…4 мм шире зубчатого венца колеса), изменяющийся обычно в пределах 0,2…0,5 в зависимости от способа закрепления валов, несущих зубчатые колеса. Полученное значение awокругляется до ближайшего большего стандартного значения.
Ширина зубчатого венца колеса в этом случае составит
. (5.11)
Далее определяется минимально допустимое значение модуля передачи
; (5.12)
где Km = 3,4103 для прямозубых передач и Km = 2,8103 для косозубых передач KF коэффициент нагрузки, зависящий от точности изготовления передачи, скоростного режима её работы и качества материалов зубчатых колес; остальные величины определены выше.
Максимально возможное значение модуля зацепления определяют из условия неподрезания зубьев шестерни у основания
. (5.13)
В полученном диапазоне выбирают стандартное значение модуля, учитывая, что при малом значении модуля увеличивается коэффициент перекрытия зубьев, повышается КПД, снижается уровень шума, уменьшаются отходы металла в стружку, сокращается трудоемкость изготовления колеса, но при больших значениях модуля передача менее чувствительна к неточности межосевого расстояния, выше изгибная прочность зубьев её колес.
Далее определяют числа зубьев шестерни и колеса
и
(5.14)
При наличии перечисленных параметров остальные параметры передачи вычисляются по приведенным ранее формулам.
При проектном расчете конических зубчатых передач в первую очередь вычисляют внешний делительный диаметр зубчатого колеса, как определяющий в конечном итоге максимальный габаритный размер передачи.
; (5.15)
где Kd = 165 вспомогательный коэффициент; T2 вращающий момент на зубчатом колесе (на выходном валу), Нм; KH - коэффициент неравномерности распределения нагрузки по длине зуба, зависящий от твердости поверхностей зубьев и характера закрепления валов, несущих зубчатые колеса передачи; []H допускаемые контактные напряжения для материалов из которых изготовлены зубчатые колеса; vH коэффициент, учитывающий ослабление зубьев конической передачи по сравнению с цилиндрической, для прямозубой конической передачи vH = 0,85; u необходимое передаточное число конической зубчатой передачи.
Полученное значение внешнего делительного диаметра колеса следует округлить до ближайшего стандартного значения.
Ширину зубчатого венца можно определить по соотношению
; (5.16)
где
- коэффициент ширины зубчатого венца.
Число зубьев колеса вычисляют по эмпирической формуле
; (5.17)
где коэффициент С изменяется в пределах от 11,2 до 18 в зависимости от вида термической обработки рабочих поверхностей зубьев.
Далее вычисляют число зубьев шестерни
; (5.18)
Полученные числа зубьев округляют до ближайших целых величин и определяют фактическое передаточное число uф = z2/z1 с точностью не ниже 4-х знаков после запятой.
После этого вычисляют минимально допустимый внешний окружной модуль из условия прочности зуба при изгибе
; (5.19)
Далее определяют углы делительных конусов
и
; внешнее конусное расстояние
и среднее конусное расстояние
.
Внешние диаметры вершин зубьев шестерни и колеса находят по идентичным выражениям
. (5.20)
Таким образом в настоящей лекции представлены основные расчетные соотношения необходимые для выполнения проектного расчета цилиндрических и конических зубчатых колес с эвольвентным профилем зуба. Методику проверочного расчета, а также проектного расчета зубчатых передач с неэвольвентными зубчатыми колесами можно найти в учебной и справочной литературе.
|
Вопросы для самоконтроля: |
1. Назовите основные элементы зубчатых колес.
2. Назовите основные способы изготовления заготовок зубчатых колес.
3. Назовите достоинства и недостатки зубчатых передач.
4. Назовите основные конструктивные параметры зубчатых передач, как они меж собой соотносятся?
5. Назовите основные кинематические параметры зубчатых передач, как они меж собой соотносятся?
6. В чем заключается главная особенность эвольвентных передач?
7. Назовите основные конструктивные параметры эвольвентных зубчатых передач, как они меж собой соотносятся?
8. Назовите основные кинематические параметры эвольвентных зубчатых передач, как они меж собой соотносятся?
9. Что называют конической зубчатой передачей?
10. Какова несущая способность конической передачи по сравнению с цилиндрической?
11. Какие дополнительные параметры характерны для конических зубчатых передач?
12. Что означают термины «эквивалентное зубчатое колесо» и «эквивалентное число зубьев» по отношению к конической передаче?
13. Какое зацепление называют циклоидальным?
14. Каковы достоинства и недостатки циклоидального зацепления?
15. Какое зацепление называют цевочным, в чем его преимущества?
16. Где применяется цевочное зацепление?
17. В чем заключается главная особенность зубчатого зацепления, предложенного М.Л. Новиковым?
18. Какое зацепление называют дополюсным, заполюсным, дозаполюсным?
19. Сравните несущую способность эвольвентного и круговинтового зацеплений, что является причиной различия в их несущей способности?
ТЕМА 2. МЕХАНИЧЕСКИЕ ПЕРЕДАЧИ
Лекция № 6. Червячные передачи (ЧП)
Вопросы, изложенные в лекции:
1. Определение, классификация ЧП.
2. Геометрия, кинематика и динамика ЧП.
3. Материалы и изготовление ЧП.
|
Определение и классификация ЧП. |
В предыдущих лекциях рассмотрены конструкция и параметры зубчатых передач с зацеплениями некоторых типов. В этих передачах в качестве подвижных звеньев фигурируют зубчатые колеса, сидящие на вращающихся валах. Кроме подобных зубчатых передач в технике получили широкое распространение передачи, имеющие зубчато-винтовое зацепление червячные передачи (механизмы натяжения гусениц БМП и танков, привод лебёдки БТР-80, главные передачи некоторых тяжелых грузовых автомобилей).
Червячная передача это передача, два подвижных звена которой, червяк и червячное колесо, образуют совместно высшую зубчато-винтовую кинематическую пару, а с третьим, неподвижным звеном, низшие вращательные кинематические пары.
|
Рис. 6.1. Червячная передача: 1 червяк; 2 червячное колесо. |
Как следует из определения, червячная передача обладает свойствами как зубчатой (червячное колесо на своем ободе несет зубчатый венец), так и винтовой (червяк имеет форму винта) передач. Червячная передача, также как и винтовая, характеризуется относительно высокими скоростями скольжения витков червяка по зубьям червячного колеса.
Достоинства червячных передач: 1) компактность и относительно небольшая масса конструкции; 2) возможность получения больших передаточных чисел в одной ступени стандартные передачи u 80, специальные u 300; 3) высокая плавность и кинематическая точность; 4) низкий уровень шума и вибраций; 5) самоторможение при обратной передаче движения, то есть невозможность передачи движения в обратном направлении - от ведомого червячного колеса к ведущему червяку.
Недостатки червячных передач обусловлены большими скоростями скольжения витков червяка по зубьям червячного колеса, а также значительными осевыми силами, действующими на валах передачи.
Недостатки червячных передач: 1) Низкий КПД и высокое тепловыделение; 2) повышенный износ и уменьшенный срок службы; 3) склонность к заеданию, что вызывает необходимость применения специальных антифрикционных материалов для изготовления зубчатого венца червяч-ного колеса и специальных видов смазки с антизадирными присадками.
Классификация червячных передач:
1. по направлению линии витка червяка
1.1. правые (при наблюдении с торца червяка и его вращении по часовой стрелке червяк вкручивается в пространство - уходит от наблюдателя);
1.2. левые (при наблюдении с торца червяка и его вращении по часовой стрелке червяк выкручивается из пространства - идёт на наблюдателя);
2. по числу заходов червяка
2.1. с однозаходным червяком, имеющим один гребень, расположенный по винтовой линии, наложенной на делительный цилиндр червяка;
2.2. с двух-, трёх-, четырёх-, многозаходным червяком, имеющим соответственно 2, 3, 4 или более одинаковых гребней расположенных по винтовой линии, наложенной на делительный цилиндр червяка;
3. по форме делительной поверхности червяка
3.1. с цилиндрическим червяком (образующая делительной поверхности прямая линия);
3.2. с глобоидным червяком (образующая делительной поверхности дуга окружности, совпадающая с окружностью делительной поверхности червячного колеса);
4. по положению червяка относительно червячного колеса
4.1. с нижним расположением червяка;
4.2. с верхним расположением червяка;
4.3. с боковым расположением червяка;
5. по пространственному положению вала червячного колеса
5.1. с горизонтальным валом червячного колеса;
|
Рис. 6.2. Установка резца при нарезании архимедовых (1), конволютных (2) и эвольвентных (3) червяков. |
5.2. с вертикальным валом червячного колеса;
6. по форме боковой (рабочей) поверхности витка червяка (рис. 6.2)
6.1. с архимедовым червяком, боковая поверхность его витков очерчена прямой линией в продольно-диаметральном сечении (обозначается ZA);
6.2. с конволютным червяком, боковая поверхность его витков очерчена прямой линией в нормальном к направлению витков сечении (обозначается ZN);
6.3. с эвольвентным червяком, боковая поверхность его витков в продольно-диаметральном сечении очерчена эвольвентой (обозначается ZI).
Эвольвентный червяк эквивалентен цилиндрическому эвольвентному косозубому колесу с числом зубьев, равным числу заходов червяка.
Форма боковой поверхности червяка мало влияет на работоспособность червячной передачи и, в основном, связана с выбранной технологией изготовления червяка (рис. 6.2).
|
Геометрия, кинематика и динамика ЧП. |
|
Рис. 6.3. Размеры цилиндрического червяка |
Геометрию, кинематику и динамику червячной передачи рассмотрим на примере передачи с архимедовым червяком.
Геометрические характеристики червячной передачи связаны между собой соотношениями, во многом аналогичными соотношениям зубчатых передач.
Основным стандартизованным параметром червячной передачи является модуль m (измеряется в мм), осевой для червяка и окружной (торцовый) для червячного колеса. Поскольку делительный диаметр червяка невозможно связать с числом его заходов z1 (витки червяка нарезаются вдоль его оси, а не по окружности, как у зубчатого колеса), для определения делительного диаметра червяка вводится специальный коэффициент диаметра червяка q, показывающий число модулей, укладывающихся в делительный диаметр.
Свои особенности имеет и геометрия венца червячного колеса. В виду того, что образующая делительной поверхности венца червячного колеса (рис. 6.4) имеет дугообразную форму и, следовательно, в разных точках разное удаление от оси вращения колеса, все основные размерные показатели (делительный диаметр, высота зуба и др.) измеряются в серединной плоскости, проходящей через геометрическую ось червяка.
Учитывая изложенное, модуль с делительными диаметрами червяка (рис. 6.3) и червячного колеса (рис. 6.4) связан соотношениями
. (6.1)
Расстояние, измеренное между одноименными поверхностями двух соседних гребней нарезки червяка, называют расчетным шагом нарезки червяка. Расчетный шаг нарезки червяка (размер р на рис. 6.3) связан с модулем червячного зацепления соотношением, аналогичным таковому для зубчатого зацепления:
. (6.2)
Расстояние, измеренное между одноименными поверхностями двух соседних гребней, принадлежащих общей винтовой линии нарезки червяка, называютходом витка червяка. Из определения следует, что расчетный шаг p и ход витка pz связаны соотношением
|
Рис. 6.4. Параметры венца червячного колеса |
. (6.3)
Высота головок витков червяка и зубьев червячного колеса также как и в зубчатом зацеплении равна модулю зацепления (ha1 = ha2 = m), а высота ножек с целью исключения возможности утыкания головки зуба в дно впадины, как и в конических передачах, на 20% больше модуля зацепления (hf1 = hf2 = 1,2m). Тогда диаметр вершин витков (внешний диаметр) червяка da1 (рис. 6.3) и диаметр вершин зубьев червячного колеса da2 (рис. 6.4) могут быть найдены по выражениям
; (6.4)
а диаметр впадин витков (внутренний диаметр) червяка df1 (рис. 6.3) и диаметр впадин зубьев червячного колеса df2 (рис. 6.4) по выражениям
. (6.5)
Измеренный в плоскости осевого сечения угол между касательной к боковой поверхности витков червяка и нормалью к оси его вращения для архимедовых червяков является величиной постоянной, стандартизован и равен 20. Следовательно, угол между двумя касательными к противоположным боковым поверхностям одного витка (угол заострения гребня) составляет 2 или 40.
Длина нарезанной части червяка b1 (рис. 6.3) зависит от числа его заходов и выбирается по эмпирической формуле
при числе витков червяка z1 = 1 и z1 = 2
; (6.6)
а при числе витков червяка z1 = 4[3]
. (6.7)
Отношение хода витка к длине делительной окружности червяка есть величина тангенса угла подъёма винтовой линии нарезки червяка
(6.8)
Особенностью червячного колеса (рис. 6.4) является то, что диаметр вершин зубьев da2 не самый большой его диаметр. Максимальный диаметр червячного колеса daM2 устанавливается в некоторой степени произвольно. Увеличение этого диаметра способствует увеличению площади контактной поверхности зубьев колеса, а следовательно, и снижению контактных напряжений на этой поверхности, возникающих в процессе работы передачи. Однако чрезмерное его возрастание приводит к заострению периферийных участков зуба и исключению их из передачи рабочих нагрузок вследствие повышенной гибкости. Поэтому максимальный диаметр зубьев червячного колеса daM2 имеет ограничение сверху по соотношению
. (6.9)
Ширину зубчатого венца червячного колеса b2 выбирают по стандартному ряду размеров. При этом размер b2 должен удовлетворять соотношению
при числе витков червяка z1 = 1 и z1 = 2
; (6.10)
а при числе витков червяка z1 = 4
. (6.11)
При прочностных расчетах червячной передачи возникает потребность в знании условного угла 2 охвата витков червяка зубьями червячного колеса (рис. 6.4). Этот угол определяют по точкам пересечения боковых (торцовых) поверхностей червячного колеса с условной окружностью, диаметр которой равен
, следовательно
. (6.12)
Межосевое расстояние для несмещенной червячной передачи определяется по формуле
. (6.13)
|
Рис. 6.5. Схема скоростей в червячной передаче |
В червячной передаче, в отличие от зубчатой, окружные скорости витков червяка v1 и зубьев червячного колеса v2 (рис. 6.5) различны как по величине, так и по направлению. Витки червяка при его вращении получают скорость v1, направленную по касательной к его начальной окружности, а зубья червячного колеса движутся совместно с винтовой линией параллельно оси червяка со скоростью v2. За один оборот червяка червячное колесо повернется на угол, охватывающий число зубьев колеса, равное числу заходов червяка. Эти простые наблюдения позволяют записать следующую зависимость для вычисления передаточного числа червячной передачи
. (6.14)
Геометрическая сумма скоростей v1 и v2 равна скорости относительного движения витков червяка по отношению к зубьям колеса. План скоростей, построенный для зацепления, позволяет записать следующие зависимости
. (6.15)
Таким образом, скорость скольжения витков червяка по зубьям червячного колеса является наибольшей по сравнению с тангенциальными скоростями движения витков червяка и зубьев червячного колеса.
Коэффициент полезного действия з червячного зацепления можно вычислить как КПД винтовой кинематической пары:
при ведущем червяке
; (6.16)
а при ведущем червячном колесе
; (6.17)
где
- угол трения в червячной кинематической паре, а f коэффициент трения для материалов витков червяка и зубчатого венца червячного колеса.
При зо = 0 передача движения от червячного колеса к червяку становится невозможной происходит самоторможение. Свойство самоторможения обратного движения широко используется в лебёдках и грузоподъёмных механизмах. Однако необходимо отметить, что у таких самотормозящихся механизмов и в прямом направлении передачи движения КПД невелик.
|
Рис. 6.6. Силы в червячной передаче |
В червячной передаче сила Fn, действующая со стороны червяка, воспринимается, как правило, не одним, а несколькими зубьями. Однако, также как и в зубчатых передачах, при выполнении расчетов эту силу принято располагать в полюсе зацепления (рис. 6.6, а). Эту силу не трудно разложить по правилу параллелограмма на три взаимно перпендикулярных составляющих Ft1, Fr1 и Fa1. Далее, согласно третьему закону Ньютона устанавливаем, что (рис. 6.6, б)Ft2 = Fa1, Fa2 = Ft1 и Fr2 = Fr1.
Тангенциальные силы на червяке и червячном колесе наиболее удобно вычислить через вращающие моменты на соответствующих валах, тогда
(6.18)
и
. (6.19)
Радиальные силы на червяке и колесе
. (6.20)
|
Материалы и изготовление ЧП. |
Витки червяка и зубчатый венец червячного колеса должны обладать достаточной прочностью и составлять антифрикционную пару, обладающую высокой износостойкостью и сопротивляемостью заеданию в условиях больших скоростей скольжения при значительных нормальных силах между контактирующими поверхностями.
Для изготовления червяков применяют все три типа сталей, распространенных в машиностроении:
1. Качественные среднеуглеродистые стали марок 40, 45, 50. Из них изготавливают малоответственные червяки. Заготовку перед механической обработкой подвергают улучшающей термической обработке (HRCэ 36). Червяк точат на токарном станке с последующей ручной или механической шлифовкой и полировкой рабочих поверхностей витков.
2. Среднеуглеродистые легированные стали марок 40Х, 45Х, 40ХН, 40ХНМА, 35ХГСА. Из этих сталей изготавливают червяки ответственных передач. Улучшающей термообработке (HRCэ 45) подвергают деталь после предварительной обработки на токарном станке. После термообработки рабочие поверхности витков шлифуют на специальных червячно-шлифовальных станках или на токарном станке с применением специальной шлифовальной головки.
3. Мало- и среднеуглеродистые легированные стали марок 20Х, 12ХН3А, 25ХГТ, 38ХМЮА. Из этих сталей изготавливают червяки высоконагруженных передач, работающие в реверсивном режиме. Деталь, изготовленная с минимальным припуском под окончательную обработку, подвергается поверхностной химико-термической обработке (цементация, азотирование и т.п.) глубиной до 0,8 мм, после чего закаливается до высокой поверхностной твердости (HRCэ 55…65). Рабочая поверхность витков червяка шлифуется и полируется (иногда шевингуется).
Зубчатые венцы червячных колёс изготавливают чаще всего литьём из бронзы или чугуна.
Чугунный венец (серые чугуны СЧ15, СЧ20 или ковкие чугуны КЧ15, КЧ20) может отливаться за одно целое с ободом червячного колеса при отливке последнего. Такие колеса применяются, как правило, в низкоскоростных открытых и закрытых передачах (vs 2 м/с).
При средних скоростях скольжения (2 < vs 5 м/с) для изготовления зубчатых венцов червячных колес применяются безоловянистые бронзы и латуни. Чаще всего для этой цели используются железоалюминиевые литейные бронзы (Бр А9Ж3Л, Бр А10Ж4Н4Л). Эти бронзы имеют высокую механическую прочность, но обладает пониженными антизадирными свойствами, поэтому её применяют в паре с червяками, имеющими шлифованную и полированную рабочую поверхность витков высокой твердости (HRC 45).
В передачах с высокой скоростью скольжения (5 < vs 25 м/с) зубчатые венцы червячных колёс изготавливают из оловянистых бронз (Бр О10Ф1, Бр О10Н1Ф1). Эти бронзы обладают пониженной прочностью по сравнению с безоловянистыми, но обладают хорошими антизадирными свойствами.
Бронзовые венцы червячных колёс обычно изготавливают отливкой в землю, в кокиль (металлическую форму) или центробежным литьём. При этом отливки, полученные центробежным литьём, имеют наилучшие прочностные характеристики.
Заготовка для зубчатого венца может быть отлита непосредственно на ободе червячного колеса, либо отливаться в виде отдельной детали, тогда венец выполняется насадным с закреплением его как от возможности проворота, так и от продольного смещения.
С целью выбора материала для изготовления зубчатого венца червячного колеса предварительно ожидаемую скорость скольжения vs можно определить по эмпирическому выражению
, (6.21)
где vs скорость скольжения, м/с; n1 частота вращения червяка, мин-1; T2 вращающий момент на червячном колесе, Нм.
В настоящей лекции изложены начальные сведения по конструкции, кинематике и динамике червячных передач, представлены основные материалы, используемые для изготовления червяков и зубчатых венцов червячных колес, а также некоторые технологические сведения по их изготовлению. Вопросы, связанные с проектным и проверочным расчетом червячных передач будут рассмотрены в дальнейшем.
|
Вопросы для самоконтроля: |
1. Назовите основные признаки червячной передачи.
2. Почему червячные передачи называют зубчато-винтовыми.
3. Назовите достоинства червячных передач.
4. Назовите недостатки червячных передач, чем они обусловлены?
5. Назовите основные классификационные признаки червячных передач.
6. В чём различия между эвольвентным, конволютным и архимедовым червяками?
7. Чем является модуль в червячной передаче и как он связан с начальным (делительным) диаметром червяка?
8. Какие размеры червяка называют шагом нарезки и ходом витка, у каких червяков, по вашему мнению, эти два размера совпадают?
9. Выразите высоту витков червяка и зубьев червячного колеса через модуль червячной передачи.
10. Покажите связь диаметров впадин и диаметров выступов витков червяка и зубьев червячного колеса.
11. Как определить угол подъёма винтовой линии витков червяка?
12. Как назначаются максимальный диаметр и ширина зубчатого венца червячного колеса?
13. Что называют условным углом охвата витков червяка зубьями червячного колеса; как его величина связана с другими геометрическими параметрами передачи?
14. Возможно ли передаточное число червячной передачи выразить через начальные диаметры подвижных звеньев аналогично зубчатой передаче?
15. Какой показатель называют скоростью скольжения в червячной передаче и как он связан со скоростями движения витков червяка и зубьев червячного колеса?
16. От чего зависит коэффициент полезного действия червячного зацепления?
17. Что понимают под самоторможением червячной передачи?
18. Назовите составляющие силы, действующей на витки червяка в зацеплении, и равные им составляющие силы, действующей на зубья червячного колеса.
19. Почему элементы зубчатого зацепления выполняют, как правило, из одинаковых
20. материалов, а червячного из разных?
21. Какие основные критерии червячной передачи влияют на выбор материала для изготовления зубчатого венца червячного колеса?
ТЕМА 2. МЕХАНИЧЕСКИЕ ПЕРЕДАЧИ
Лекция № 7. Червячные передачи (продолжение) (ЧП)
Вопросы, изложенные в лекции:
1. Критерии работоспособности и допускаемые напряжения ЧП.
2. Прочностной и тепловой расчет ЧП.
|
Критерии работоспособности и допускаемые напряжения ЧП. |
В лекции № 6 рассмотрены конструкция, параметры, кинематика и динамика червячной передачи; представлены наиболее распространенные материалы для изготовления червяков и червячных колёс и изложены начальные сведения по изготовлению элементов зубчато-винтового зацепления.
Как можно было заметить по материалу предыдущей лекции, зубчатый венец червячного колеса изготавливается всегда из менее прочного материала по сравнению с витками червяка (чугун, бронза и латунь, как правило, менее прочны по сравнению со сталью). Поэтому в червячном зацеплении зуб червячного колеса является наиболее слабым элементом. Для него возможны все виды разрушений и повреждений, характерных для зубчатых передач: изнашивание и усталостное выкрашивание рабочих поверхностей зубьев, заедание и поломка зубьев. Однако, в отличие от зубчатых, в червячных передачах чаще возникает износ и заедание. При мягком материале зубчатого венца колеса (оловянистые бронзы) заедание проявляется в виде «намазывания» материала венца на червяк, но в этом случае передача может работать ещё достаточно продолжительное время (постепенный отказ). Если же материал венца червячного колеса достаточно твердый (чугун, алюминиево-железистые бронзы), заедание переходит в задир поверхности и провоцирует быстрое разрушение зубьев. Повышенный износ и заедание червячных передач связаны с большими скоростями скольжения и неблагоприятным направлением скольжения относительно линии контакта витков червяка с зубьями червячного колеса (скольжение вдоль линии контакта на поверхности зуба). По этой причине имеет важнейшее значение выбор материала для венца червячного колеса, который, в свою очередь, зависит от скорости скольжения витков червяка по зубьям червячного колеса.
С целью выбора материала для изготовления зубчатого венца червячного колеса предварительно ожидаемую скорость скольжения vs можно определить по выражению
, (7.1)
где vs скорость скольжения, м/с; n1 частота вращения червяка, мин-1; T2 вращающий момент на червячном колесе, Нм.
Далее материал зубчатого венца червячного колеса выбирают в зависимости от скорости скольжения vs и в соответствии с рекомендациями, представленными в предыдущей лекции.
После этого определяют циклическую долговечность передачи
, (7.2)
где n2 частота вращения червячного колеса, мин-1, Lh ресурс работы передачи, час (например, при 300 рабочих днях в году и односменной восьмичасовой работе годовой ресурс составит 3008=2400 часов).
Допускаемые контактные напряжения для оловянистых бронз (группа I) вычисляют из условия обеспечения контактной выносливости материала:
, (7.3)
|
Таблица7.1. Механические показатели материалов венцов червячных колёс Группа материалов Марка материала Способ отливки Т В ВН Скорость скольжения, м/с Н/мм2 (МПа) I БрО10Н1Ф1 Центробежный 195 285 >5 БрО10Ф1 В кокиль 165 245 В песок 132 215 II БрА9Ж3Л Центробежный 200 500 2…5 В кокиль 195 490 В песок 195 395 III СЧ15 В песок 320 <2 |
|
|
где H0 предел контактной выносливости рабочей поверхности зубьев, соответствующий числу циклов нагружения, равному 107. Обычно принимают
, где В предел прочности материала зубчатого венца червячного колеса для разных материалов представлен в табл. 7.1. ZN коэффициент долговечности, вычисляемый по соотношению
. (7.4)
Если по расчету циклическая долговечность передачи NH=N 25107, то в зависимость (7.4) следует подставить 25107, что дает ZN 0,67.
CV коэффициент, учитывающий интенсивность изнашивания зубьев червячного колеса в зависимости от скорости скольжения vs, при vs 3 CV принимают равным 1,11, при vs 8 CV принимают равным 0,8, а в интервале 3<vs<8 он может быть определен по эмпирической зависимости
. (7.5)
Допускаемые контактные напряжения для безоловянистых бронз (группа II) вычисляют из условия сопротивления заеданию:
. (7.6)
Допускаемые контактные напряжения для чугуна (группа III) определяют также из условия сопротивления заеданию:
. (7.7)
В выражениях (7.3), (7.6) и (7.7) []Н в Н/мм2 (МПа), vS в м/с, а большие значения []Н принимают для червяков с твердостью рабочей поверхности витков 45 HRC.
После выбора материалов для элементов зубчато-винтового зацепления и определения допускаемых напряжений приступают к прочностному расчету передачи. При этом допускаемые напряжения изгиба зубьев определяют на стадии проверочного расчета с учетом конкретных параметров передачи.
|
Прочностной и тепловой расчет ЧП. |
Прочностной расчет червячной передачи включает два основных этапа: 1) проектный расчет, имеющий целью определение основных геометрических, кинематических и силовых параметров передачи, и 2) проверочный расчет, имеющий целью проверку сохранения работоспособности передачи в течение заданного срока работы.
Проектный расчет, как уже отмечалось, обычно выполняется по контактным напряжениям, а в основу вывода расчетных формул положены те же исходные зависимости и допущения, что и при расчете зубчатых передач (формула Герца для контакта двух упругих криволинейных поверхностей).
Наибольшее контактное напряжение в зоне контакта витка червяка с зубом червячного колеса по формуле Герца можно представить в следующем виде
, (7.а)
где E1 и E2, 1 и 2 модули упругости и коэффициенты Пуассона для материалов червяка и венца червячного колеса, пр приведенный радиус кривизны поверхностей в точке контакта, Fn нормальное усилие сжатия поверхностей в точке контакта, lk - суммарная длина контактной линии.
При проектном расчете передачи, предварительно задавшись величиной коэффициента расчетной нагрузки KH = 1,1…1,4 (меньшие значения для передачи с постоянной нагрузкой, большие для высокоскоростных передач и переменной нагрузки), определяют межосевое расстояние передачи
. (7.8)
Полученное значение межосевого расстояния aw для стандартного редуктора следует округлить до ближайшего стандартного значения (ГОСТ 2144-93; табл. 7.2), для нестандартной червячной передачи до ближайшего значения по ряду Ra40 нормальных линейных размеров (ГОСТ 6636-69)
|
Таблица7.2. Ряды межосевых расстояний червячных передач 1-й ряд (предпочтительно) 50 63 80 100 125 160 200 250 315 400 2-й ряд 140 180 225 280 355 |
|
|
В зависимости от необходимого передаточного числа uн назначают число витков (число заходов) червяка z1 по табл. 7.3.
|
Таблица 7.3. Рекомендуемое число витков червяка в зависимости от передаточного числа червячной передачи. uн 8…14 Св. 14…30 Св. 30 z1 4 2 1 |
По выбранному числу заходов червяка z1 и необходимому передаточному числу uн вычисляют число зубьев червячного колеса
, (7.9)
и полученное значение z2 округляют до ближайшего целого числа.
По принятым z1 и z2 уточняют фактическое передаточное число
, (7.10)
которое не должно отличаться от необходимого более чем на 4%.
Интервал, в котором должен лежать осевой модуль зацепления вычисляют по эмпирической зависимости
. (7.11)
В выделенном интервале выбирают стандартное значение модуля m (табл. 7.4). По известному значению модуля m, межосевого расстояния aw и числа зубьев колеса z2 определяют необходимую величину коэффициента диаметра червяка q
|
Таблица 7.4. Сочетание модулей m и коэффициентов диаметра червяка q(ГОСТ 2144-93) m q m q 2,00 2,50 3,15 4,00 5,00 8,0 10,0 12,5 16,0 20,0 8,00 10,00 12,5 8,0 10,0 12,5 16,0 20,0 6,30 8,0 10,0 12,5 14,0 16,0 20,0 16,00 8,0 10,0 12,5 16,0 20,00 8,0 10,0 |
|
Примечание: Допустимо любое сочетание m и q из клеток, соседствующих по горизонтали. |
. (7.12)
Полученное значение коэффициента диаметра червяка q округляют до стандартной величины (табл. 7.4). При этом с целью обеспечения достаточной жесткости червяка должно удовлетворяться условие
. (7.13)
По принятым параметрам m, q, z1 и z2 вычисляют все геометрические параметры передачи по формулам табл. 7.5. Результаты проектного расчёта собирают в итоговую таблицу (подобную табл. 7.5), в одном столбце которой представлены геометрические параметры передачи, в другом их значение: линейных размеров в мм; угловых в десятичных градусах с не менее чем шестью знаками после запятой, либо в градусах, минутах и секундах.
Таблица 7.5. Формулы для определения геометрических параметров червячного зацепления
|
Определяемый параметр |
Расчетные формулы |
|
1. Межосевое расстояние |
|
|
2. Делительный диаметр червяка |
|
|
3. Диаметр вершин витков червяка |
|
|
Диаметр впадин витков червяка |
|
|
Угол подъёма витков червяка |
|
|
Длина нарезанной части червяка при |
|
|
z1 = 1 или 2 |
|
|
z1 = 4 |
|
|
Делительный диаметр червячного колеса |
|
|
Диаметр вершин зубьев червячного колеса |
|
|
Диаметр впадин зубьев червячного колеса |
|
|
Наибольший диаметр червячного колеса |
|
|
Ширина венца червячного колеса при |
|
|
z1 = 1 или 2 |
|
|
z1 = 4 |
|
На этом проектная часть прочностного расчета заканчивается (геометрические параметры передачи установлены) и начинается проверочный расчет. В процессе проверочного расчета зубья червячного колеса проверяются на контактную выносливость и на прочность при изгибе. Кроме того, выполняется проверка передачи на сохранение температурного режима при продолжительной работе.
|
Таблица7.6. Коэффициент динамической нагрузки KHv Степень точности по ГОСТ 3675-81 Скорость скольжения vs, м/с До 1,5 1,5…3 3…7,5 7,5…12 12…18 6 1,0 1,1 1,3 7 1,0 1,0 1,1 1,2 8 1,15 1,25 1,4 9 1,25 |
Фактическая скорость скольжения вычисляется по формуле
. (7.27)
По полученной скорости скольжения vS и выбранной степени точности передачи назначается коэффициент динамической нагрузки KHv (табл.7.6), а по числу витков червяка и коэффициенту его диаметра назначают коэффициент деформации червяка Kf (табл. 7.7).
|
Таблица7.7. Коэффициент деформации червяка Kf z1 Коэффициент диаметра червяка q 8 10 12,5 14 16 20 1 72 108 154 176 225 248 2 57 86 121 140 171 197 3 51 76 106 132 148 170 4 47 70 98 122 137 157 |
Далее определяют коэффициент режима работы передачи Kр по табл. 7.8.
|
Таблица7.8. Коэффициент режима работы червячной передачи Kр Интенсивность работы эл. двигателя Коэффициент режима Kр при нагрузке постоянной пульсирующей ударной При редких пусках 0,0177t + 0,8257 0,0245t + 0,9386 0,0283t + 1,1171 При частых пусках и остановках 0,0245t + 0,9386 0,0283t + 1,1171 0,0283t + 1,3671 |
|
Примечание: t среднее время работы передачи в течение суток, часов в сутки |
Определяют величину коэффициента концентрации нагрузки KH из выражения
(7.28)
или
, (7.28а)
а, зная коэффициент концентрации нагрузки KH и коэффициент динамической нагрузки KHv, можно вычислить коэффициент расчетной нагрузки KH
, (7.29)
Проверку передачи на выносливость выполняют по формуле
. (7.30)
Если условие (7.30) не удовлетворяется, необходимо увеличить межосевое расстояние aw и произвести перерасчет передачи. Если же действующие напряженияН меньше допускаемых более чем на 20 %, необходимо уменьшить межосевое расстояние передачи с последующим перерасчетом параметров передачи.
По реальной скорости скольжения vS (м/с) в передаче определяют коэффициент f и угол трения
, (7.31)
где коэффициенты A, B и C для разных групп материалов (табл. 7.1) представлены в таблице 7.9.
|
Таблица 7.9. Значения коэффициентов формулы (7.31) Группа материалов A B C I (бронзы оловянистые) 1,04 6,40 0,8429
II (бронзы безоловянистые) 1,64 7,60 0,9534
III (чугуны)
|
|
|
Известный угол трения позволяет уточнить КПД передачи. Принимая КПД одной подшипниковой пары равным 0,98, для передачи в целом имеем
. (7.32)
По реальному КПД уточняют вращающий момент на червяке
(7.33)
и вычисляют нагрузки в зацеплении
. (7.34)
Допускаемые напряжения изгиба для материала венца червячного колеса составляют:
для всех бронз
при нереверсивной (односторонней) нагрузке
; (7.35)
при реверсивной (двухсторонней) нагрузке
; (7.36)
для чугунных венцов
при нереверсивной (односторонней) нагрузке
; (7.37)
при реверсивной (двухсторонней) нагрузке
; (7.38)
где Т, В и Ви предел текучести, предел прочности и предел прочности при изгибе материала, для которого вычисляются допускаемые напряжения.
Определяют число зубьев эквивалентного прямозубого колеса по формуле
. (7.39)
Используя которое, коэффициент формы зуба YF2 можно вычислить по эпирической зависимости
(7.40)
Проверку прочности зубьев червячного колеса на изгиб выполняют по формуле
. (7.41)
Если в результате расчета условие (7.40)не удовлетворяется, то прочность зуба на изгиб можно повысить за счёт увеличения модуля с последующим пересчетом всех геометрических параметров передачи, либо заменой материала венца червячного колеса на другой с более высокими механическими характеристиками.
Высокое тепловыделение в червячной передаче, обусловленное её относительно малым КПД, требует принятия специальных мер для поддержания нормальной рабочей температуры деталей передачи. Допустимая температура масла в корпусе червячного редуктора обычно не должна превышать 70…90С.
Тепловой расчет червячной передаче базируется на соотношении
(7.42)
где Qвыд количество тепловой энергии, выделяемое при работе передачи, Qотд количество тепла, которое способно отдать в окружающую среду охлаждающее устройство. Эти количества тепла могут быть вычислены по формулам
, (7.43)
где P1 мощность, подводимая к червяку передачи, Aохл площадь, омываемая охлаждающим агентом (воздух, охлаждающая вода), KТ - коэффициент теплоотдачи охлаждаемой поверхности, tМ и tо температура масла в корпусе передачи и охлаждающего агента, соответственно.
При охлаждении потоком воздуха с целью увеличения площади охлаждаемой поверхности её оребряют, причем рёбра должны быть направлены по ходу потока охлаждающего воздуха.
При свободном конвективном охлаждении коэффициент теплоотдачи КТ = 8…17 Вт/м2С, при вентиляторном охлаждении (вентилятор обычно закрепляют на свободном конце вала-червяка) - КТ = 20…28 Вт/м2С, при водяном охлаждении - КТ = 70…100 Вт/м2С
В лекции рассмотрены основы проектного и проверочного расчета параметров червячных передач. Представлены основные критерии работоспособности передач, порядок выбора материалов для элементов передачи и методы определения допускаемых напряжений. Достаточно подробно изложены проектный и проверочный расчеты. В следующей лекции будут рассмотрены, другие виды передач, применяемых в транспортной и военной технике.
|
Вопросы для самоконтроля: |
1. Назовите наименее прочный элемент червячного зацепления.
2. Назовите основные виды возможных разрушений зубьев червячного колеса.
3. Какой критерий является главным при выборе материала венца червячных колес?
4. Как определяется циклическая долговечность передачи?
5. Какие группы материалов применяются для изготовления венцов червячных колёс, в чём их различия?
6. Какие напряжения приняты в качестве основных при проектном расчёте червячных передач?
7. Назовите геометрический параметр, определяемый в первую очередь при проектном расчёте?
8. Перечислите другие геометрические параметры, определяемые при проектном расчёте червячной передачи.
9. По каким параметрам прочности выполняется проверочный расчет червячной передачи?
10. Что следует предпринять, если спроектированная передача не обеспечивает необходимой контактной прочности зубьев? А если запас прочности чрезмерно велик?
11. Как установить реальный КПД червячной передачи?
12. Сравните КПД червячной передачи в момент пуска (vs нач 0,1 vs ном) и при нормальной её работе.
13. Что следует предпринять, если спроектированная передача не обеспечивает необходимой изгибной прочности зубьев? А если запас прочности чрезмерно велик?
14. Чем обусловлена необходимость теплового расчета червячной передачи?
15. Какие меры необходимо предпринять с целью предотвращения перегрева червячной передачи?
16. Как следует расположить охлаждающие рёбра на поверхности корпуса червячного редуктора при конвективном охлаждении его наружным воздухом, а как при принудительном обдуве?
ТЕМА 2. МЕХАНИЧЕСКИЕ ПЕРЕДАЧИ
Лекция № 8. Планетарные и волновые передачи.
Вопросы, изложенные в лекции:
8. Планетарные передачи.
9. Волновые передачи.
|
Планетарные передачи. |
|
Рис. 8.1. Планетарная передача (редуктор). |
В предыдущих лекциях речь шла о зубчатых передачах с неизменяемой геометрией звеньев. В этих механизмах положение зубчатых колёс и их конфигурация в процессе работы передачи оставались неизменными. Однако в многоцелевых самодвижущихся машинах, и особенно в машинах войскового применения, находят всё более широкое использование передачи с изменяемой геометрией формы или расположения подвижных звеньев. Наиболее широко из передач такого вида используются планетарные и волновые передачи.
|
Рис. 8.2. Планетарная передача (кинематическая схема): 1 солнечное колесо; 2 сателлит; 3 эпицикл; H водило. |
Планетарной называется передача, имеющая в своём составе зубчатые колёса с перемещающимися геометрическими осями(рис. 8.1). Такие колёса (рис. 8.1, поз. 2) принято называтьсателлитами. Колёса, геометрические оси которых совпадают с общей осью передачи (с осью входного и выходного валов), называют центральными. Центральное колесо с зубьями на внешней стороне обода (рис. 8.1, поз. 1), то есть направленными от оси вращения колеса, называют солнечной шестерней, а второе центральное колесо, взаимодействующее с сателлитами внутренними зубьями (рис. 8.1, поз. 3), то есть направленными к оси колеса, называют эпициклическим или просто эпициклом. Звено, несущее на себе подвижные оси сателлитов, называют водилом (рис. 8.1, поз. 4). На кинематических схемах (рис. 8.2) зубчатые колёса обычно обозначают арабскими цифрами, а водило буквой H или h.
Простейшая планетарная передача обычно включает одно солнечное колесо, один эпицикл и одно водило. Такую планетарную передачу принято называть простым планетарным рядом. Главной кинематической характеристикой простого планетарного ряда является его кратность
[4]; где z3 количество зубьев эпицикла; а z1 количество зубьев солнечного колеса. По количеству планетарных рядов планетарные передачи бывают одно-, двух-, трёх-, четырех- и многорядные. В российской литературе часто используют классификацию планетарных передач, предложенную проф. В.Н. Кудрявцевым. По этой классификации число центральных колёс обозначается цифрой и буквой K, далее в обозначении передачи через тире указывается число водил, равное количеству планетарных рядов, и буква H. Согласно этой классификации представленная на рис. 8.2 кинематическая схема будет соответствовать передаче 2К-Н.
Планетарный ряд, у которого ни одно из звеньев не соединено со стойкой, обладает двумя степенями свободы, то есть требует для однозначного характера движения всех своих звеньев подвода движения извне к двум из этих звеньев. Такой механизм принято называть дифференциальным. Если же в планетарном дифференциальном механизме одно из звеньев соединить со стойкой (сообщить ему постоянную скорость вращательного движения равную 0 радиан в секунду), то такой механизм превращается в передачу. Связывание со стойкой (или между собой) разных звеньев дифференциального планетарного ряда ведёт к изменению передаточного числа планетарной передачи. Применив этот приём к простому планетарному ряду, можно получить, по крайней мере, 7 вариантов передачи с различными передаточными отношениями**, представленными в таблице 8.1.
|
Таблица 8.1.Варианты передаточных отношений простого планетарного ряда (рис. 8.2) № п/п № входного звена № выходного звена № заторможенного звена Передаточное отношение i 1 1 3 H -K 2 1 H 3 1+K 3 3 1 H -K-1 4 3 H 1 1+K-1 5 H 1 3 (1+K)-1 6 H 3 1 (1+K-1)-1 7 1 H 1 |
|
Примечание: Вариант 7 соответствует непосредственному соединению входного и выходного звеньев механизма. |
Данные таблицы 8.1 показывают, что использование простого планетарного ряда в качестве коробки передач транспортного средства позволяет получить 5 различных скоростей вперёд и 2 назад при кратности изменения скоростей: вперёд
, назад
.
Такие возможности планетарного ряда предопределили его использование как в качестве самостоятельных передач (бортовой редуктор БМП-2 и танков Т72), так и в коробках передач (БМП-3, танки Т80, Т90). Применение планетарных механизмов в коробках передач обеспечивает следующие преимущества:
1. уменьшение габаритов трансмиссии;
2. высокую надежность работы (сохранение работоспособности даже при потере нескольких зубьев на центральных колёсах);
3. высокий КПД при относительно больших передаточных числах;
4. отсутствие поперечной нагрузки на основных валах;
5. возможность изменения передаточного числа без вывода зубчатых колёс из зацепления;
6. возможность отсоединения вала двигателя от трансмиссии при использовании фрикционов коробки передач (коробка передач одновременно выполняет роль главного фрикциона);
7. высокую скорость переключения передач, что способствует повышению среднего темпа движения машины.
Недостатки планетарных передач:
1. необходимость повышенной точности изготовления вследствие наличия избыточных связей (наличия «лишних» сателлитов);
2. резкое снижение КПД при больших передаточных числах.
Как правило, планетарные передачи, имеющие в своём составе эпициклические колёса, отличаются более высоким КПД по сравнению с передачами, состоящими только из колёс внешнего зацепления. Именно поэтому в планетарных коробках передач используются простейшие планетарные ряды с эпициклом. Число переключений в одном ряду обычно не превосходит трёх с целью упрощения системы управления фрикционами и тормозами. Количество планетарных рядов в одной коробке передач тоже обычно не бывает более трёх.
Особенности проектирования и расчёта планетарных передач связаны с наличием избыточных кинематических связей (нескольких сателлитов). Предельно возможное число сателлитов в одном планетарном ряду ограничивается условием соседства, которое гласит: число сателлитов в планетарном ряду должно быть таким, чтобы соседние сателлиты не касались друг друга. Анализ геометрии планетарного ряда позволяет записать для возможного числа сателлитов ограничение сверху:
|
при расчёте по солнечному колесу (внешнее зацепление) |
|
(8.1) |
|
при расчёте по эпициклу (внутреннее зацепление) |
|
(8.2) |
где z1, z2, z3 числа зубьев солнечного колеса, сателлита и эпицикла, соответственно, а углы выражены в радианной мере. Но в практике машиностроения число сателлитов редко принимают более шести в связи с трудностью обеспечения равномерного распределения нагрузки между ними при большом их количестве.
Второе необходимое условие существования планетарного ряда называется условием соосности. Суть его вытекает из необходимости соблюдения соосности центральных колёс, солнечного и эпицикла, и водила. Для простого планетарного ряда это условие выливается в равенство межосевых расстояний зацепления солнечного колеса с сателлитом a1-2 и зацепления сателлита с эпициклом a2-3. Так как в планетарных рядах применяются преимущественно прямозубые колёса, а в простом ряду все колёса одного модуля m, можем записать
. (8.3)
Приравнивая друг другу правые части равенств (8.3), получаем
; (8.4)
после деления обеих частей равенства на z1 имеем
; (8.5)
что для передаточного числа между солнечным колесом и сателлитом даёт
. (8.6)
Но, как известно, передаточное число простого планетарного ряда максимально при ведущем солнечном колесе и ведомом водиле
; (8.7)
и для такой кинематической схемы имеем
. (8.8)
Третье условие диктуется необходимостью равномерного размещения сателлитов по окружности вокруг солнечного колеса и называется условием сборки. В конечном итоге это условие выливается в следующее требование: отношение чисел зубьев центральных зубчатых колёс к числу сателлитов должно быть целым числом или в формульном выражении
и
; (8.9)
где int (читается «интегер») аббревиатура, означающая любое целое число.
Разветвление потока мощность при передаче силовых нагрузок через сателлиты обусловливает необходимость принятия специальных мер для обеспечения равномерности распределения нагрузок между сателлитами. Причин неравномерной загрузки сателлитов может быть несколько: неточность изготовления зубчатых колёс, неодинаковость межосевого расстояния у разных сателлитов, перекос геометрических осей сателлитов (непараллельность осей сателлитов и главной оси передачи) и др. При необеспечении равномерного распределения нагрузки между сателлитами расхождение между её величиной у отдельных сателлитов может достигать до 70 %.
Выравнивание нагрузки между сателлитами может быть достигнуто путём:
1. повышения точности изготовления всех деталей передачи;
2. выполнения одного из центральных колёс или водила плавающим, то есть имеющим некоторую радиальную подвижность относительно корпуса и сопряжённых деталей (эпицикл в бортовом редукторе БРДМ), и
3. использование упругих элементов конструкции (обод эпицикла повышенной гибкости, оси сателлитов малой жёсткости и т.п.).
Прочностной расчёт планетарных передач выполняют по формулам для цилиндрических передач. При определении расчётного момента, действующего в зубчатом зацеплении, учитывается число сателлитов, передающих рабочие нагрузки, и неравномерность нагружения их зубьев. Для жёсткой передачи без специальных мер выравнивания нагрузки в расчётные формулы вводят коэффициент неравномерности
, а при использовании приёмов, выравнивающих нагрузку на зубьях сателлитов
. Далее расчёт ведут по наиболее нагруженному зацеплению.
КПД планетарной передачи можно подсчитать по формулам
|
для передачи с ведущим центральным колесом |
|
(8.10) |
|
для передачи с ведущим водилом |
|
(8.11) |
где i передаточное отношение планетарной передачи, Н суммарный коэффициент потерь обращённой передачи (передачи, получающейся из рассчитываемой при дополнительном сообщении всем её звеньям угловой скорости равной скорости водила и навстречу ей направленной).
В свою очередь
; (8.12)
где п потери в подшипниковых узлах передачи (для пары подшипников п=510-3…110-2); зп коэффициент потерь в зубчатой паре; гп=610-3…110-2 коэффициент, учитывающий затраты энергии на перемешивание смазки.
Потери энергии в зубчатом зацеплении
; (8.13)
где fзп коэффициент трения в зубчатой паре (без смазки fзп0,2; со смазкой fзп=0,08…0,15); коэффициент окружного перекрытия z1 и z2 числа зубьев колёс, входящих в зубчатую пару. В формуле (8.13) знак «+» принимается для внешнего зацепления, «-» для внутреннего.
Для изготовления элементов планетарных передач используют материалы, предназначенные для рядовых зубчатых передач, это, главным образом, углеродистые машиностроительные и углеродистые легированные стали, подвергаемые улучшающей термической обработке.
Как уже упоминалось выше, планетарные механизмы в исходном состоянии имеют две степени свободы, и это их свойство предопределило использование этих механизмов в качестве дифференцирующих (суммирующих). В режиме дифференциала работают планетарные суммирующие механизмы автомобильных дифференциалов с коническими колёсами, планетарные механизмы поворота гусеничных машин (БМП-2, БМП-3, танков, гусеничных тягачей и т.п.). Так, например, в многоцелевой гусеничной машине БМП-3 в качестве второго ведущего звена в механизме поворота используется эпицикл, что обеспечивает возможность изменения радиуса поворота машины в широких пределах без изменения её скорости движения.
|
Волновые передачи. |
Волновыми называют механические передачи, включающие контактирующие между собой гибкое и жёсткое звенья и обеспечивающие передачу и преобразование движения при циклическом деформировании гибкого звена.
В технике применяется несколько видов волновых передач:
винтовые волновые передачи, предназначенные для преобразования вращательного движения в поступательное и/или для передачи этого движения в загерметезированное пространство;
фрикционные волновые передачи, предназначенные для преобразования (чаще всего сильного редуцирования) вращательного движения и/или для передачи этого движения в загерметезированное пространство, и
зубчатые волновые передачи, имеющие аналогичное фрикционным предназначение, но способные передавать существенно большие мощности.
|
Рис. 8.3. Волновая зубчатая передача |
Принцип использования волновой деформации для передачи и преобразования движения был предложен инженером А.И. Москвитиным в 1944 году для фрикционной передачи с электромагнитным генератором волн, а в 1959 году в США был выдан патент Уолтону Массеру (Walton Musser) на зубчатую передачу с механическим генератором волн. В дальнейшем для силовых передач нашли применение главным образом зубчатые волновые передачи, которые и будут рассмотрены в настоящей лекции.
Волновой механизм вращательного движения при соответствующем исполнении может использоваться в качестве редуцирующей передачи, мультипликатора или дифференциального механизма. Наиболее широкое распространение получили зубчатые волновые редукторы. Кинематически волновая передача может быть отнесена к группе планетарных передач, то есть волновую передачу следует рассматривать как планетарную, у которой одно из центральных колёс выполнено в форме гибкого зубчатого венца.
Гибкое колесо в волновой передаче в зависимости от конструкции генератора волн может нести одну, две, три и более волн деформации. Но, поскольку передаточное отношение волновой передачи не зависит от количества волн деформации на гибком колесе, а увеличение числа волн способствует росту изгибных напряжений в теле гибкого колеса, чаще всего используется симметричная двухволновая схема деформации гибкого колеса, позволяющая исключить возможность возникновения поперечных нагрузок на валах передачи.
В большинстве известных конструкций гибким является колесо с внешним зубчатым венцом, а жёсткое колесо снабжено внутренними зубьями (рис. 8.3). Такая волновая передача включает 3 основных звена: гибкое 1 и жёсткое 2 колёса и генератор волн H. Обычно бывает наиболее удобным конструктивно входной вал редуктора соединить с генератором волн, а выходной с гибким колесом, в этом варианте конструкция редуктора получается наиболее компактной и технологичной. Однако при передаче вращательного движения через герметичную стенку удобнее гибкое колесо сделать неподвижным, а выходной вал связать с жёстким колесом.
В недеформированном состоянии гибкое колесо волнового редуктора имеет диаметр и количество зубьев, меньшие по сравнению с жёстким колесом. При деформировании волновым генератором гибкое колесо удлиняется в направлении длинной оси кулачка генератора так, что его зубья входят в контакт с зубьями жёсткого колеса, вместе с тем вдоль короткой оси кулачка генератора гибкое колесо сжимается, и его зубья в этом направлении не могут взаимодействовать с зубьями жёсткого колеса. При вращении кулачка генератора волн последние пробегают по окружности зубчатого венца гибкого колеса, заставляя тем самым часть зубьев то входить в зацепление с зубьями жёсткого колеса, то выходить из него. За один оборот генератора волн в зацепление войдут все зубья жёсткого колеса, а так как число зубьев гибкого колеса z1 несколько меньше числа зубьев жёсткого колеса z2, гибкое колесо вынуждено будет сделать часть оборота равную разности чисел зубьев жёсткого и гибкого колёс z2- z1, но в противоположную вращению генератора волн сторону, следовательно, передаточное отношение составит
; (8.14)
а с учётом одинаковости модуля зацепляющихся колёс
. (8.14а)
Рассматривая аналогичным образом передачу движения в редукторе с неподвижным гибким колесом и подвижным, связанным с выходным валом, жёстким колесом не трудно установить, что передаточное отношение
. (8.15)
Разность в числах зубьев жесткого и гибкого колёс с целью исключения интерференции зубьев должна быть пропорциональна числу волн волнового генератора.
КПД волновых передач относительно высок и также как в планетарных передачах падает с увеличением передаточного числа, а с увеличением нагрузки вначале растёт до максимально возможной величины, а потом, при дальнейшем возрастании нагрузки, начинает резко снижаться. При оптимальной нагрузке в пределах передаточного числа 80u250 коэффициент полезного действия 0,90,8.
Достоинства волновых передач:
1. большое передаточное число (до 320, а в некоторых случаях и более);
2. большое число зубьев, одновременно находящихся в зацеплении (обычно от 40 до 80%) и, как следствие этого, большая нагрузочная способность масса волнового редуктора меньше массы планетарного той же мощности, а объём может составлять около 30% от объёма последнего;
3. высокая кинематическая точность вследствие многозонности и многопарности зацепления, кинематическая погрешность передачи в некоторых случаях не превышает 0,5 мин;
4. высокий КПД, при больших передаточных числах превышающий КПД планетарных передач;
5. отсутствие поперечных нагрузок на валах вследствие симметричности конструкции;
6. возможность передачи движения в герметизированное пространство;
7. низкий уровень шума;
8. возможность использования в качестве дифференциального механизма;
9. малое число деталей и относительно низкая стоимость;
10. высокая технологичность изготовления.
Недостатки волновых передач:
1. невозможность получения низких значений передаточных чисел (для стальных гибких колёс umin 80, для пластмассовых umin 20);
2. необходимость специального инструмента и оснастки для изготовления гибкого колеса, что затрудняет индивидуальное производство и ремонт передач;
3. относительно низкий срок службы (срок службы стандартных волновых редукторов составляет около 104 часов чуть больше года непрерывной работы).
Гибкие колёса силовых редукторов изготавливают из легированных высокопрочных сталей 30ХГСА; 30ХГСН2А; 40ХНМА; 50С2 и некоторых других с термообработкой до 38…45 HRC и последующей шлифовкой диаметра, посадочного на подшипник генератора волн. Для изготовления остальных деталей применяются те же материалы, что и для рядовых зубчатых передач.
В военной технике волновые передачи нашли применение в приборах наведения и некоторых узлах боевых и вспомогательных машин.
Основной причиной выхода из строя волновых передач является поломка гибкого колеса и гибких колец подшипника генератора волн вследствие усталостного разрушения от действия знакопеременных изгибающих напряжений. Поэтому размеры передачи определяют исходя из предела выносливости на изгиб гибкого колеса и наружного кольца подшипника генератора волн.
Проектным расчётом определяется внутренний диаметр гибкого колеса по формуле
; (8.16)
где T1 вращающий момент на валу гибкого колеса, Нм; [] допускаемые напряжения, МПа (для стали 30ХГСА []=150…170 МПа); E - модуль упругости материала колеса (для сталей можно принять E=2,1105 МПа) bd=b1/d=0,15…0,20 коэффициент ширины зубчатого венца; Sd=S1/d=0,012…0,014 коэффициент толщины зубчатого венца.
При использовании кулачкового генератора волн полученный расчётом диаметр округляется до ближайшего наружного диаметра гибкого подшипника. Далее определяются остальные параметры зубчатого зацепления по формулам, аналогичным с формулами цилиндрических передач.
Рассчитанное гибкое колесо: а) проверяется по напряжениям изгиба, изменяющимся по симметричному циклу в процессе деформирования колеса генератором волн; б) по напряжениям растяжения зубчатого венца, возникающим от действия на колесо тангенциальных сил и изменяющимся по отнулевому циклу, и по напряжениям кручения зубчатого венца, возникающим при передаче крутящего момента гибким колесом выходному валу и изменяющимся по отнулевому циклу.
Этой лекцией заканчивается рассмотрение механических передач. Представленные в настоящем цикле лекций передачи далеко не охватывают все возможные варианты строения и применения механических передач. Однако освоение заложенных в курсе основ подхода к их изучению позволит при необходимости самостоятельно разобраться с особенностями конструкции и работы вновь встреченных, ранее незнакомых механизмов.
|
Вопросы для самоконтроля: |
1. Назовите главную особенность планетарной передачи.
2. Какие звенья составляют простой планетарный ряд?
3. В качестве каких механизмов может быть использован простой планетарный ряд?
4. Что называют кратностью простого планетарного ряда?
5. Какие основные свойства планетарного ряда позволяют использовать его в коробках передач?
6. Какие преимущества даёт использование планетарного ряда в коробке передач?
7. Назовите недостатки планетарной передачи.
8. Назовите главные условия, которые необходимо выполнить при создании планетарной передачи.
9. Какими свойствами передачи обусловлена возможная неравномерность загрузки сателлитов планетарного ряда?
10. Что необходимо предпринять для обеспечения равномерной загрузки сателлитов?
11. Какие особенности прочностного расчёта планетарного ряда?
12. Как установить КПД спроектированной планетарной передачи?
13. Используется ли планетарных механизм в качестве суммирующего, если да, то подтвердите примерами?
14. Назовите главную особенность волновой передачи.
15. Какие виды волновых передач Вы знаете?
16. Назовите основные элементы волновой передачи.
17. За счёт какого эффекта передаётся движение и нагрузка в волновой передаче?
18. Как подсчитать передаточное отношение в волновой передаче?
19. Назовите достоинства и недостатки волновой передачи.
20. Какой элемент волновой передачи наименее долговечен, какие материалы применяются для его изготовления?
21. Как выполняется проектный и проверочный расчёты волновой передачи?
ТЕМА 3. ВАЛЫ И ПОДШИПНИКИ
Лекция № 9. Валы и Оси (ВиО)
Вопросы, изложенные в лекции:
1. Назначение, классификация ВиО, применение в МГКМ.
2. Материалы для изготовления ВиО, термическая и механическая обработка.
3. Критерии работоспособности и расчет ВиО.
|
Назначение, классификацияВиО, применение в МГКМ. |
В предыдущих лекциях шла речь о передачах, как едином целом механизме, а также рассматривались элементы, непосредственно участвующие в передаче движения от одного звена механизма к другому. В данной теме будут представлены элементы, предназначенные для крепления частей механизма, непосредственно участвующих в передаче движения (шкивы, звёздочки, зубчатые и червячные колёса и т.п.). В конечном итоге, качество механизма, его КПД, работоспособность и долговечность в значительной мере зависят и от тех деталей, о которых будет идти речь в дальнейшем. Первыми из таких элементов механизма рассмотрим валы и оси.
|
Рис. 9.1. Вал редуктора. |
|
Рис. 9.2.Ось барабана лебёдки: а) вращающаяся; б) неподвижная. |
Вал (рис. 9.1) деталь машины или механизма предназначенная для передачи вращающего или крутящего момента вдоль своей осевой линии. Большинство валов это вращающиеся (подвижные) детали механизмов, на них обычно закрепляются детали, непосредственно участвующие в передаче вращающего момента (зубчатые колёса, шкивы, звёздочки цепных передач и т.п.).
Ось (рис. 9.2) деталь машины или механизма, предназначенная для поддержания вращающихся частей и не участвующая в передаче вращающего или крутящего момента. Ось может быть подвижной (вращающейся, рис. 9.2а) или неподвижной (рис. 9.2б).
Классификация валов и осей:
1. По форме продольной геометрической оси
1.1. прямые (продольная геометрическая ось прямая линия), например, валы редукторов, валы коробок передач гусеничных и колёсных машин;
1.2. коленчатые (продольная геометрическая ось разделена на несколько отрезков, параллельных между собой смещённых друг относительно друга в радиальном направлении), например, коленвал двигателя внутреннего сгорания;
1.3. гибкие (продольная геометрическая ось является линией переменной кривизны, которая может меняться в процессе работы механизма или при монтажно-демонтажных мероприятиях), часто используются в приводе спидометра автомобилей.
2. По функциональному назначению
2.1. валы передач, они несут на себе элементы, передающие вращающий момент (зубчатые или червячные колёса, шкивы, звёздочки, муфты и т.п.) и в большинстве своём снабжены концевыми частями, выступающими за габариты корпуса механизма;
2.2. трансмиссионные валы предназначены, как правило, для распределения мощности одного источника к нескольким потребителям;
2.3. коренные валы валы, несущие на себе рабочие органы исполнительных механизмов (коренные валы станков, несущие на себе обрабатываемую деталь или инструмент называют шпинделями).
3. Прямые валы по форме исполнения и наружной поверхности
3.1. гладкие валы имеют одинаковый диаметр по всей длине;
3.2. ступенчатые валы отличаются наличием участков отличающихся друг от друга диаметрами;
3.3. полые валы снабжены сквозным или глухим отверстием, соосным наружной поверхности вала и простирающимся на большую часть длины вала;
3.4. шлицевые валы по внешней цилиндрической поверхности имеют продольные выступы шлицы, равномерно расположенные по окружности и предназначенные для передачи моментной нагрузки от или к деталям, непосредственно участвующим в передаче вращающего момента;
3.5. валы, совмещённые с элементами, непосредственно участвующими в передаче вращающего момента (вал-шестерня, вал-червяк).
Конструктивные элементы валов представлены на рис. 9.3.
Опорные части валов и осей, через которые действующие на них нагрузки передаются корпусным деталям, называются цапфами. Цапфу, расположенную в средней части вала, обычно называют шейкой. Концевую цапфу вала, передающую корпусным деталям только радиальную нагрузку или радиальную и осевую одновременно, называют шипом, а концевую цапфу, передающую только осевую нагрузку, называют пятой. С цапфами вала взаимодействуют элементы корпусных деталей, обеспечивающие возможность вращения вала, удерживающие его в необходимом для нормальной работы положении и воспринимающие нагрузку со стороны вала. Соответственно элементы, воспринимающие радиальную нагрузку (а часто вместе с радиальной и осевую) называют подшипниками, а элементы, предназначенные для восприятия только осевой нагрузки подпятниками.
|
Рис. 9.3. Основные элементы вала. |
Кольцевое утолщение вала малой протяжённости, составляющее с ним одно целое и предназначенное для ограничения осевого перемещения самого вала или насаженных на него деталей, называют буртиком.
Переходная поверхность от меньшего диаметра вала к большему, служащая для опирания насаженных на вал деталей, называется заплечиком.
|
Рис. 9.4. Различные способы оформления переходной части между цилиндрической поверхностью и заплечиком. |
Переходная поверхность от цилиндрической части вала к заплечику, выполненная без удаления материала с цилиндрической и торцевой поверхности (рис. 9.4. б, в), называется галтелью. Галтель предназначается для снижения концентрации напряжений в переходной зоне, что в свою очередь ведёт к увеличению усталостной прочности вала. Чаще всего галтель выполняют в форме радиусной поверхности (рис. 9.4. б), однако в отдельных случаях галтель может быть выполнена в форме поверхности переменной двойной кривизны (рис. 9.4. в). Последняя форма галтели обеспечивает максимальное уменьшение концентрации напряжений, однако требует выполнения специальной фаски в отверстии насаживаемой детали.
Углубление малой протяжённости на цилиндрической поверхности вала, выполненное по радиусу к оси вала, называют канавкой (рис. 9.4. а, г, е). Канавка, также как и галтель, очень часто используется для оформления перехода от цилиндрической поверхности вала к торцевой поверхности его заплечика. Наличие канавки в этом случае обеспечивает благоприятные условия для формирования цилиндрических посадочных поверхностей, так как канавка является пространством для выхода инструмента, формирующего цилиндрическую поверхность при механической обработке (резец, шлифовальный круг). Однако канавка не исключает возможности образования ступеньки на торцевой поверхности заплечика.
Углубление малой протяжённости на торцевой поверхности заплечика вала, выполненное вдоль оси вала, называют поднутрением (рис. 9.4. д). Поднутрение обеспечивает благоприятные условия для формирования торцевой опорной поверхности заплечика, так как является пространством для выхода инструмента, формирующего эту поверхность при механической обработке (резец, шлифовальный круг), но не исключает возможности образования ступеньки на цилиндрической поверхности вала при её окончательной обработке.
Обе указанные проблемы решает введение в конструкцию вала наклонной канавки (рис. 9.4. е), которая совмещает достоинства, как цилиндрической канавки, так и поднутрения.
|
Рис. 9.5. Разновидности конфигурации цапф |
Цапфы валов могут иметь форму различных тел вращения (рис. 9.5): цилиндрическую, коническую или сферическую. Шейки и шипы чаще всего выполняют в форме цилиндра (рис. 9.5 а, б). Цапфы такой формы достаточно технологичны при изготовлении и ремонте и широко применяются как с подшипниками скольжения, так и с подшипниками качения. В форме конуса выполняют концевые цапфы (шипы, рис. 9.5 в) валов, работающие, как правило, с подшипниками скольжения, с целью обеспечения возможности регулировки зазора и фиксации осевого положения вала. Конические шипы обеспечивают более точную фиксацию валов в радиальном направлении, что позволяет уменьшить биения вала при высоких частотах вращения. Недостатком конических шипов является склонность к заклиниванию при температурном расширении (увеличении длины) вала.
Сферические цапфы (рис. 9.5 г) хорошо компенсируют несоосности подшипников, а также снижают влияние изгиба валов под действием рабочих нагрузок на работу подшипников. Основным недостатком сферических цапф является повышенная сложность конструкции подшипников, что увеличивает стоимость изготовления и ремонта вала и его подшипника.
Пяты (рис. 9.6) по форме и числу поверхностей трения можно разделить на сплошные, кольцевые, гребенчатые исегментные.
Сплошная пята (рис. 9.6 а) наиболее проста в изготовлении, но характеризуется значительной неравномерностью распределения давления по опорной площади пяты, затруднительным выносом продуктов износа смазочными жидкостями и существенно неравномерным износом.
Кольцевая пята (рис. 9.6 б) с этой точки зрения более благоприятна, хотя и несколько сложнее в изготовлении. При подаче смазки в приосевую область её поток движется по поверхности трения в радиальном направлении, то есть перпендикулярно направлению скольжения, и таким образом отжимает трущиеся поверхности одна от другой, создавая благоприятные условия для относительного проскальзывания поверхностей.
|
Рис. 9.6. Некоторые формы пят. |
Сегментная пята может быть получена из кольцевой посредством нанесения на рабочую поверхность последней нескольких неглубоких радиальных канавок, симметрично расположенных по кругу. Условия трения в такой пяте ещё более благоприятные по сравнению с вышеописанными. Наличие радиальных канавок способствует образованию жидкостного клина между трущимися поверхностями, что ведёт к их разделению при пониженных скоростях скольжения.
Гребенчатая пята (рис. 9.6 в) имеет несколько опорных поясков и предназначена для восприятия осевых нагрузок значительной величины, но в этой конструкции достаточно трудно обеспечить равномерность распределения нагрузки между гребнями (требуется высокая точность изготовления, как самой пяты, так и подпятника). Сборка узлов с такими подпятниками тоже достаточно сложна.
|
Рис. 9.7. Вал цилиндрической передачи в сборе с шестерней и подшипниками качения |
Выходные концы валов (рис. 9.1; 9.7) обычно имеют цилиндрическую или коническую форму и снабжаются шпоночными пазами или шлицами для передачи вращающего момента.
Цилиндрические концы валов проще в изготовлении и особенно предпочтительны для нарезания шлицов. Конические концы лучше центрируют насаженные на них детали и в связи с этим более предпочтительны для высокоскоростных валов.
|
Материалы для изготовления ВиО, термическая и механическая обработка. |
Материалы валов и осей должны быть прочными (хорошо противостоять знакопеременным нагрузкам), обладать высокой жесткостью (иметь высокий модуль упругости) и вместе с тем хорошо обрабатываться. Наиболее полно этим требованиям удовлетворяют углеродистые и легированные стали.
Для изготовления малонагруженных валов применяют углеродистые стали Ст5, Ст6, а для более ответственных - все три группы сталей, распространенных в машиностроении:
1. Качественные среднеуглеродистые стали марок 40, 45, 50 используются для изготовления валов стационарных машин и механизмов. Заготовку из таких сталей перед механической обработкой подвергают улучшающей термической обработке (HRCэ 36). Валы вытачивают на токарном станке с последующей шлифовкой посадочных мест и цапф на шлифовальном станке.
2. Среднеуглеродистые легированные стали марок 40Х, 45Х, 40ХН, 40ХНМА, 35ХГСА. Из этих сталей изготавливают валы для ответственных передач подвижных машин (валы коробок передач гусеничных машин). Улучшающей термообработке (HRCэ 45) чаще всего подвергают деталь уже после предварительной токарной обработки. Окончательно посадочные поверхности и цапфы шлифуют на шлифовальных станках, а в ремонтном производстве иногда на токарном станке с применением специальной шлифовальной головки.
3. Мало- и среднеуглеродистые легированные стали марок 20Х, 12ХН3А, 18ХГТ, 25ХГТ, 38Х2МЮА идут на изготовление валов высоконагруженных передач, работающих в реверсивном режиме (шлицевые валы коробок передач колёсных машин). Вал, изготовленный с минимальным припуском под окончательную обработку, подвергается поверхностной химико-термической обработке (цементация, азотирование и т.п.), и закаливается до высокой поверхностной твердости (HRCэ 55…65). Рабочие поверхности шлицов, посадочные поверхности и поверхности цапф шлифуются после термической обработки с целью получения необходимой точности.
|
Критерии работоспособности и расчет ВиО. |
Вращающиеся валы и оси обычно нагружены со стороны элементов, непосредственно участвующих в передаче движения (шкивы, звёздочки, зубчатые колёса, барабаны и т.п.), силами, направление действия которых по отношению к опасным сечениям вала постоянно меняется из-за вращения самих этих сечений. Кроме того, поперечные сечения валов, как элементов, передающих крутящий момент, испытывают и касательные напряжения, которые при реверсировании движения тоже меняют своё направление. Чрезмерный изгиб валов в поперечном направлении приводит к нарушению нормальной работы элементов, непосредственно передающих движение, и, вследствие поворота поперечных сечений цапф, подшипниковых узлов. В силу этого основными критериями работоспособности валов и вращающихся осей являются усталостная прочность и жёсткость.
При расчете осей и валов их прочность оценивают по коэффициенту запаса усталостной прочности, а жёсткость величиной прогиба под действием рабочих нагрузок, углом поворота отдельных сечений (чаще всего опорных сечений цапф) в плоскости осевого сечения и углом закручивания поперечных сечений под действием крутящего момента.
Таким образом, основными расчётными нагрузочными факторами являются крутящие T и изгибающие M моменты. Влияние на прочность вала растягивающих и сжимающих сил само по себе незначительно и в большинстве случаев не учитывается.
Расчёт вала должен, как правило, включать, по меньшей мере, три основных этапа: проектировочный расчёт, формирование расчетной схемы и проверочный расчёт. В некоторых случаях к этим трём этапам расчёта добавляются и другие, например, для быстроходных валов часто выполняют расчёт на колебания (расчёт вибрационной стойкости), для валов, работающих в широком температурном диапазоне, расчёт тепловых деформаций, теплостойкости и т.п.
Проектный расчёт валов производят только на статическую прочность по передаваемому крутящему моменту T. При этом расчёте определяется минимальный из всех диаметр вала (чаще всего таковым является диаметр выходного конца вала), а с целью компенсации неучтённых изгибных нагрузок и других факторов (концентраторов напряжений, шпоночных канавок и т.п.), влияющих на прочность вала, принимают заниженные значения допускаемых касательных напряжений []к (0,025…0,030)В.
В этом случае диаметр вала определяется по известной зависимости сопромата
; (9.1)
где к максимальные касательные напряжения, действующие в наружных волокнах опасного сечения вала; Tк - крутящий момент, передаваемый через это сечение; Wп полярный момент инерции рассматриваемого сечения.
Учитывая, что большинство валов в машиностроении имеет круговое либо кольцевое (для полых валов) поперечное сечение, после представления полярного момента инерции сечения через его диаметры из (9.1) получаем
; (9.2)
где D внешний диаметр вала; = d/D относительный диаметр осевого отверстия полого вала (d абсолютное значение диаметра этого отверстия). При этом можно отметить, что для 0,5 расчёт полого вала как сплошного даёт погрешность менее 2,5% от диаметра вала, значительно перекрываемую за счёт занижения допускаемых напряжений. Отсюда следует возможность рассчитывать толстостенные валы как сплошные (выражение в скобках принять равным 1).
Полученный таким расчётом диаметр вала округляют до ближайшего большего значения из рядов нормальных линейных размеров по ГОСТ 6636-69. Диаметры других ступеней вала устанавливают из конструктивных соображений в процессе эскизного проектирования механизма.
Формирование расчётной схемы возможно только после полного конструктивного оформления вала на основе проектного расчёта, эскизного проектирования, подбора подшипников и расчёта конструктивных элементов, участвующих в передаче вращающего момента.
При формировании расчётной схемы вал обычно представляют в виде балки, лежащей на опорах (число опор обычно равно числу подшипников), одна из которых считается закреплённой в осевом направлении.
Если вал закреплён в корпусе посредством радиальных или сферических, шариковых либо роликовых подшипников, опору считают расположенной на геометрической оси вала в точке пересечения с поперечной осью симметрии подшипника.
При использовании радиально-упорных подшипников за точку опоры принимают точку продольной геометрической оси вала, лежащую на её пересечении с нормалью к поверхности качения, проведённой через центр тел качения.
Для подшипников скольжения, а также при установке сдвоенных подшипников качения за точку опоры принимают точку, лежащую на оси вращения и расположенную на расстоянии, равном 0,2…0,3 длины подшипника (суммарной длины пары подшипников качения) от его (их) внутренней кромки.
Силы, действующие на вал со стороны ступиц шкивов, шестерён, звёздочек и других подобных элементов, считают приложенными по середине ступицы, если последняя расположена между подшипниками, и на расстоянии 0,25…0,3 длины ступицы со стороны её внутреннего края, при её консольной установке (то есть на конце вала).
Величину и направление сил, действующих на вал со стороны элементов, непосредственно передающих вращательное движение, определяют по результатам расчёта соответствующей передачи, а величину сил от муфт, возникающих вследствие несоосности валов, определяют по формулам, представленным в расчёте муфт выбранной конструкции. Направление поперечных сил, действующих на вал в плоскости его поперечного сечения со стороны муфт, может быть любым, поэтому при формировании расчётной схемы принимают наиболее неблагоприятное направление этих сил с точки зрения прочности вала. Так, например, при формировании расчётной схемы вала, представленного на рис. 9.7, если его наружный конец будет снабжён муфтой, силу на этом конце со стороны муфты следует направить в направлении, совпадающем с направлением тангенциальной составляющей силы, действующей на зубья шестерни. Именно в этом случае нагружение вала поперечными силами будет наиболее неблагоприятным с точки зрения прочности и жёсткости вала.
Проверочный расчёт валов производится после формирования расчётной схемы и уточнения всех нагрузок, как по величине, так и по направлению. Этот вид расчёта предусматривает проверку вала на статическую прочность по наибольшей возможной кратковременной нагрузке и на усталостную прочность при переменных напряжениях. В последнем случае вычисляется коэффициент фактического запаса прочности в предположительно опасных сечениях, которые предварительно намечаются согласно эпюре моментов с учётом размеров поперечного сечения и зон концентрации напряжений.
На статическую прочность валы рассчитывают по наибольшей возможной кратковременной нагрузке с учётом динамических и ударных воздействий. Для валов, работающих в условиях кручения и изгиба, продольными усилиями можно пренебречь. В этом случае эквивалентное напряжение в наружном волокне вала
; (9.3)
где и максимальное напряжение от изгиба; к наибольшее напряжение от кручения. Поскольку и = Mи / Wи, а к = Tк / Wк, где Wи и Wк момент сопротивления вала в опасном сечении изгибу и кручению, соответственно, и учитывая, что
(9.4)
после подстановки всех значений в (9.3) получим
. (9.5)
Зная эквивалентные напряжения, можно проверить запас прочности по пределу текучести
, (9.6)
где нормативный запас прочности [n] обычно принимают равным 1,2…1,8.
Опасные сечения (как правило, на прочность исследуются несколько подозрительных сечений), в которых необходимо установить величину запаса прочности, определяются по максимальным изгибающим и крутящим моментам с учётом размеров сечений. Максимальные значения моментов находят после построения эпюр изгибающих и крутящих моментов. При наличии сил, действующих на вал в разных плоскостях, эти силы проецируют на координатные оси и строят эпюры изгибающих моментов в координатных плоскостях, после чего выполняют геометрическое суммирование изгибающих моментов.
Проверочный расчёт на сопротивление усталости проводят по максимальной длительно действующей нагрузке без учёта кратковременных пиковых нагрузок (возникающих, например, во время пуска), слабо влияющих на возникновение усталостных разрушений, поскольку такие нагрузки занимают малое число циклов нагружения. Для каждого опасного сечения, установленного в соответствии с эпюрами изгибающих и крутящих моментов, определяют расчётный коэффициент запаса прочности S и сравнивают его с допускаемым [S] (обычно принимают [S] = 1,2…2,5) по выражению
; (9.7)
где S и S - коэффициенты запаса прочности по нормальным и касательным напряжениям соответственно:
(9.8)
где -1 и -1 пределы выносливости для материала вала при симметричном цикле изгиба и кручения; а и а амплитуды изменения напряжений изгиба и кручения; m и m средние значения за цикл тех же напряжений; и коэффициенты чувствительности материала вала к асимметрии цикла напряжений ( / 2; 0,05 0,2); KD и KD коэффициенты снижения пределов выносливости по изгибу и кручению, определяемые по формулам:
(9.9)
в которых K и K - эффективные коэффициенты концентрации напряжений для данного сечения вала в зависимости от его формы, Kd коэффициент влияния абсолютных размеров поперечного сечения, KF коэффициент влияния шероховатости поверхности вала (для посадок с натягом KF 1), Kv коэффициент, учитывающий упрочнение поверхности (при отсутствии поверхностного упрочнённого слоя Kv 1). Перечисленные коэффициенты устанавливаются по справочным данным с учётом материала и конструкции рассчитываемого вала.
Пределы выносливости -1 и -1 для улучшенных или нормализованных углеродистых и углеродистых легированных сталей с известным пределом прочностиВ, при симметричном цикле изгиба и кручения можно определить по эмпирическим зависимостям
(9.10)
где все значения напряжений в Н/мм2 (МПа).
Амплитудные значения нормальных а и касательных а напряжений вычисляют согласно известным выражениям
(9.11)
где max и min, max и min максимальные и минимальные значения нормальных и касательных напряжений в точках наружных волокон опасного сечения вала, которые, в свою очередь, вычисляются по соответствующим формулам сопротивления материалов
(9.12)
Типичными являются такие условия нагружения, когда напряжения от изгиба валов имеют чисто симметричный характер, то есть максимальный и минимальный изгибающие моменты в данном сечении равны по величине и противоположны по направлению. Для таких условий, а средние напряжения за цикл m= 0.
Изменения крутящих моментов во время установившейся работы во многих механизмах весьма незначительны и ими (при достаточном запасе прочности) можно пренебречь. Тогда можно принять
min = 0, а a = m = max / 2.
Проверочный расчёт валов на жёсткость чаще всего выполняется по нескольким критериям, поскольку упругие перемещения валов и их элементов оказывают неблагоприятное влияние на работу связанных с валом соединений, подшипников, зубчатых колёс и других деталей увеличивают концентрацию контактных напряжений и износ, снижают сопротивление усталости деталей и соединений, понижают точность механизмов, увеличивают вибрации и т.п. Наиболее часто при этом виде расчёта определяются: 1) прогиб вала в определённых сечениях (например, под зубчатым или червячным колесом); 2) максимальный прогиб вала; 3) поворот отдельных сечений вала, вызванный его изгибом (чаще всего в местах установки подшипников); 4) закручивание вала под действием рабочих моментов. Исходя из изложенного, получаем следующие критерии жесткости вала:
1. прогиб под элементами зацепления y [y];
2. полная стрела прогиба f [f];
3. угол поворота сечения [];
4. удельный угол закручивания вала 0 [0];
где допустимые значения прогибов и углов составляют:
Предельный прогиб в месте установки зубчатых колёс при модуле зацепления m
o цилиндрических [y] = 0,01m;
o конических, гипоидных, глобоидных, червячных [y] = 0,005m;
o полная стрела прогиба [f] = 310-4l, где l полная длина вала;
o допустимый удельный угол закручивания вала0,025 [0] 1,0 градус/м в зависимости от конструкции и назначения вала.
Для осей полный прогиб [f] (2…3)10-3l, где l полная длина оси.
Проверку прогиба вала в заданных сечениях наиболее удобно выполнять методом перемножения эпюр Максвелла-Мора (само перемножение эпюр, в котором можно произвести способом Симпсона или способом Верещагина), согласно которому деформация от изгиба в заданном сечении равна
; (9.13)
где M1(s) - изгибающий момент от единичной фиктивной нагрузки, приложенной в исследуемом сечении; Mи(s) - изгибающий момент от реально действующей нагрузки; E - модуль упругости материала вала I - осевой момент инерции сечений вала; s - текущая координата сечений вдоль оси вала.
Если моменты монотонно изменяются на каждом участке по длине вала, а осевой момент инерции сечений вала I можно считать постоянным по его длине, то выражение (9.13) существенно упрощается.
В этом случае по способу Симпсона величина прогиба может быть подсчитана по следующей формуле:
; (9.14)
в которой m и M - ординаты однородных участков (участков, на которых нет изломов и скачков) эпюр от единичной фиктивной и реальной нагрузок, а индексы "Л", "С" и "Пр" относятся к левому концу, середине и правому концу каждого участка соответственно. Формула Симпсона особенно удобна для определения прогибов валов, эпюры изгибающих моментов которых имеют линейный характер.
А по способу Верещагина при вышеназванных условиях величина прогиба в исследуемом сечении определяется следующим образом:
; (9.15)
в которой А - площади однородных участков эпюр изгибающих моментов, а hc - ординаты второй эпюры под центром тяжести этих площадей.
|
Рис. 9.8. Схема возникновения поперечной пульсирующей силы
|
Расчет валов на колебания. Колебания валов могут быть поперечными (изгибными) и крутильными. Поперечные вызываются наличием несбалансированных масс - маховиков, шкивов, зубчатых колес и т.п. (рис. 9.8). Крутильные колебания возникают вследствие неравномерности вращательного движения валов, связанных с инерционными деталями, механизма.
В простейшем случае, когда вал соединен с одной неуравновешенной вращающейся массой - маховиком (массой и моментом инерции самого вала в этом случае чаще всего можно пренебречь), деформацию вала при вынужденных колебаниях можно представить следующим образом:
. (9.16)
Верхнее равенство относится к изгибным колебаниям, нижнее к крутильным. В этих равенствах f и величина смещения (поперечного или углового) присоединенного маховика; Pа и Ma возмущающий фактор (сила или момент); m и J характеристика инерционности (масса или момент инерции маховика) 0и и0к частоты собственных изгибных и крутильных колебаний системы, соответственно; в частота действия возмущающего фактора. При этом частота собственных колебаний равна корню квадратному из отношения жесткости к характеристике инерции:
. (9.17)
где k - изгибная жесткость вала (величина прогиба от действия единичной поперечной силы), а - крутильная жесткость вала (величина угла закручивания от действия единичного крутящего момента).
В знаменатель обоих выражений (9.16) входит разность между собственной частотой вала и частотой действия вынуждающего фактора. При совпадении этих двух частот величина деформации устремляется в бесконечность, что эквивалентно разрушению. Явление совпадения вынуждающей и собственной частот называется резонансом. Если вынуждающая частота больше собственной, то, во-первых, деформация меняет знак (то есть по направлению становится противоположной вынуждающему фактору), во-вторых, с увеличением вынуждающей частоты величина деформации становится все меньше. Большинство валов передач работают в зарезонансном режиме (в >> 0), и в таких случаях при разгоне и торможении машины вал проходит через область резонанса. Длительная работа вала в резонансном режиме ведёт к увеличению его деформаций, а, следовательно, и напряжений в нём, способствуя тем самым быстрому его разрушению. Следовательно, необходимо сокращать время разгона и торможения, чтобы амплитуда колебаний вала не достигла опасной величины.
Материал данной лекции касается элементов передачи, которые не могут в ходе её работы непосредственно влиять на силовые и кинематические параметры передачи. Однако от качества этих элементов валов и осей в существенной мере зависят качество и работоспособность передачи в целом.
|
Вопросы для самоконтроля: |
1. Какие детали машин являются валами, какие осями?
2. Назовите основные функции, выполняемые валами в механизмах и машинах.
3. Назовите основные разновидности валов и осей по геометрическим характеристикам (геометрическая ось, внешняя форма).
4. Назовите основные конструктивные элементы валов.
5. Какую роль выполняют в валах канавки и поднутрения? Чем они различаются?
6. Что такое галтель и для чего она предназначена?
7. Какие разновидности цапф вы знаете, каковы их достоинства и недостатки?
8. Для чего предназначены пяты валов, какие разновидности пят Вам известны?
9. Как оформляются концы валов, предназначенные для передачи момента другим механизмам?
10. Назовите основные группы материалов, используемых для изготовления валов.
11. Какие требования предъявляются к валам и осям с точки зрения работоспособности механизмов, их содержащих?
12. Назовите основные нагрузочные факторы, учитываемые при расчёте валов.
13. Назовите основные этапы расчёта валов.
14. Почему при проектном расчёте валов занижаются допускаемые напряжения?
15. Каковы основные допущения, принятые при создании расчётной схемы вала?
16. Проанализируйте сходство и различие проверочного расчёта валов на статическую и динамическую (усталостную) прочность вала.
17. Назовите основные критерии жёсткости вала.
18. Какие приёмы применяются при определении прогибов валов?
19. Какие виды колебаний возможны в работающем вале, что является причиной, их вызывающей?
20. При каких условиях проявляются резонансные явления в валах, чем они опасны?
ТЕМА 3. ВАЛЫ И ПОДШИПНИКИ
Лекция № 10. Подшипники скольжения (ПС)
Вопросы, изложенные в лекции:
1. Подшипники, классификация.
2. Подшипники скольжения (ПС).
|
Подшипники, классификация. |
В лекции № 9 уже упоминались опоры валов и осей, фиксирующих их положение в пространстве, обеспечивающих возможность вращения этих валов и осей, а также передающих корпусным деталям механизмов нагрузки, возникающие во вращающихся звеньях, закреплённых на валах и осях. Настоящая и следующая лекции посвящены более подробному рассмотрению основных элементов таких опор, называемых подшипниками.
Подшипником принято называть часть опоры, непосредственно взаимодействующей с цапфой вала или оси.
Без подшипников невозможно существование ни стационарных, ни, тем более, подвижных машин (транспортных и боевого применения). Качество конструкции подшипников, условия их смазки, защищённость от воздействия неблагоприятных факторов внешней среды в значительной мере определяют работоспособность, долговечность и энергетическую эффективность машин.
Классификация подшипников:
1. По направлению силовой нагрузки, воспринимаемой подшипником
1.1. радиальные подшипники воспринимают нагрузку, направленную перпендикулярно (по радиусу) к оси вращения;
1.2. упорные подшипники воспринимают нагрузку, направленную вдоль оси вращения (упорные подшипники иногда называют подпятниками);
1.3. радиально-упорные подшипники воспринимают одновременно и радиальную, и осевую нагрузки, при этом величина радиальной нагрузки обычно существенно больше осевой;
1.4. упорно-радиальные подшипники так же, как и предыдущие, воспринимают и радиальную, и осевую нагрузки, но в этом случае величина радиальной нагрузки значительно меньше осевой.
2. В зависимости от вида трения
2.1. подшипники качения;
2.2. подшипники скольжения
Конструктивные особенности подшипников качения будут рассмотрены в следующей лекции.
|
Подшипники скольжения (ПС). |
Подшипники скольжения по конструктивным признакам делятся на неразъёмные (глухие) и разъёмные.
Неразъёмные подшипники скольжения (рис. 10.1) находят широкое применение там, где нагрузки и скорости скольжения невелики (vск 3 м/с) в приборах и механизмах управления.
|
Рис. 10.1. Неразъёмные подшипники скольжения: а) встроенный в корпус; б) фланцевый |
|
Рис. 10.2. Разъёмный подшипник скольжения: |
Разъёмные подшипники (рис. 10.2) основное применение находят там, где невозможна или нежелательна осевая сборка (шатунные шейки коленчатых валов двигателей внутреннего сгорания), а также в тяжёлом машиностроении для крепления тяжело нагруженных валов.
|
Рис. 10.3. Самоустанавливающийся подшипник |
При большой длине цапф и в некоторых других случаях используют самоустанавливающиеся подшипники (рис. 10.3), которые способны менять в небольших пределах угловое положение продольной оси по отношению к поверхности основания, то есть отслеживать угловое положение поперечного сечения цапфы вала.
Подшипники скольжения обычно имеют прочный корпус, иногда совмещаемый с корпусом механизма (рис. 10.1, а) или другой детали, и вкладыш, выполненный в виде втулки (рис. 10.1, 10.3) или отдельных цилиндрических сегментов (рис. 10.2) и покрытый по поверхности, контактирующей с цапфой вала, антифрикционным материалом, обладающим малым коэффициентом трения в паре с материалом цапфы вала и достаточно высокой износоустойчивостью.
Достоинства подшипников скольжения:
1. малые габариты в радиальном направлении;
2. хорошая восприимчивость к динамическим (ударным и вибрационным) нагрузкам;
3. высокая точность сопряжения;
4. хорошая прирабатываемость;
5. высокая долговечность в условиях обильной жидкостной смазки;
6. возможность работы в водной, абразивной и коррозионно-активной среде (при соответствующем подборе материалов и изготовлении);
7. возможность сборки (в зависимости от конструкции) как в осевом, так и в радиальном направлении;
8. простота конструкции и низкая стоимость.
Недостатки подшипников скольжения:
1. большие габариты в осевом направлении;
2. значительный расход смазочного материала;
3. необходимость следить за постоянным поступлением смазочного материала к рабочим поверхностям;
4. высокий пусковой момент и большой износ в период пуска;
5. необходимость использования в подшипнике дорогостоящих антифрикционных материалов.
Коэффициент потерь энергии в подшипниках скольжения при благоприятных условиях работы (обильная смазка, защита от попадания абразивных частиц, хорошее удаление продуктов износа, достаточный теплоотвод) невелик и лежит в пределах (0,5…5)10-2.
В качестве материала, контактирующего с цапфой вала, в подшипниках скольжения применяются:
1. при спокойной нагрузке, удельном давлении до 20 МПа и малых скоростях скольжения до 5 м/с антифрикционные чугуны с повышенным содержанием свободного графита (табл. 10.1);
Таблица 10.1
Режимы работы подшипников из антифрикционных чугунов
|
Чугун (марка) |
НВ, 10Н/мм2 |
Состояние цапфы вала |
Удельное давление, p не более, МПа |
Скорость скольжения, v не более, м/с |
pv, не более, МПам/с |
|
АЧС-1 |
177-225 |
Термообработанная |
8,8 |
2 |
1,8 |
|
АЧС-2 |
186-225 |
Термообработанная |
5,9 |
3 |
4,4 |
|
АЧС-3 |
157-186 |
Сырая |
5,9 |
3 |
4,4 |
|
АЧВ-1 |
206-255 |
Термообработанная |
11,8 |
5 |
11,8 |
|
АЧВ-2 |
164-193 |
Сырая |
|||
|
АЧК-1 |
193-213 |
Термообработанная |
11,8 |
5 |
11,8 |
|
АЧК-2 |
164-193 |
Сырая |
|||
|
ЧМ-1,3 |
183-257 |
Термообработанная |
19,6 |
1 |
19,6 |
|
ЧМ-1,8 |
203-257 |
Термообработанная |
0,5 |
25 |
12,5 |
2. бронзы оловянистые (БрОЦС5-5-5; БрОФ10-1 и др.), свинцовистые и оловянисто-свинцовистые (БрС-30; БрО5С25 и др.), безоловянистые (БрА9Ж3Л; БрА10Ж4Н4Л и др.) являются наиболее распространённым подшипниковым материалом при скоростях скольжения до 12 м/с и удельных давлениях до 25 МПа;
3. латуни (медноцинковые сплавы, например, ЛАЖМц52-5-2-1, ЛКС80-3-3 и др.) применяют для изготовления низкоскоростных подшипников при скоростях скольжения до 2 м/с и удельных давлениях до 12 МПа;
4. для изготовления высокоскоростных подшипников в условиях обильной смазки и хорошего теплоотвода при скоростях скольжения до 15 м/с и удельных давлениях до 12 МПа; применяют оловянные, свинцово-оловянные и свинцовые баббиты, например Б89 (89% олова, 9% сурьма, ост. медь), Б16 (16% олова, 16% сурьма, 1,8% медь, ост. свинец);
5. лёгкие сплавы на алюминиевой основе находят широкое применение, для изготовления поверхностей трения подшипников для неответственных подшипников используют алюминиево-кремниевые сплавы (литейные АЛ3, АЛ4, АЛ5, деформируемые АК4, АК4-1), наиболее высокими антифрикционными качествами обладают алюминиево-оловянные композиты, получаемые спеканием порошковых материалов (например, АО20); по рабочим характеристикам эти материалы приближаются к баббитам при существенно меньшей цене и более высокой износостойкости;
6. неметаллические материалы (ДСП, текстолит, поликарбонаты, капрон, найлон, фторопласты, резины) применяют для изготовления подшипников, работающих при скоростях скольжения до 5 м/с и удельных давлениях до 10 МПа, некоторые из этих материалов (ДСП, резины) допускают использование воды в качестве смазки;
7. металлокерамика (бронзографит, железографит) получается спеканием порошков при высокой температуре и применяется при скоростях скольжения до 3 м/с, удельных давлениях до 6 МПа и недостатке смазки, металлокерамика отличается высокой пористостью (поры занимают до 40% объёма), вследствие чего способна впитывать большие количества масла, этого запаса масла хватает обычно на несколько месяцев работы подшипника без смазки.
Для работы с большинством перечисленных антифрикционных материалов цапфы вала необходимо подвергать термической или химикотермической обработке с целью получения высокой твёрдости рабочей поверхности > HRC 50, а в некоторых случаях (железистые бронзы высокой твёрдости, алюминиевые сплавы) > HRC 55. При этом точность изготовления диаметральных размеров для большинства подшипников лежит в пределах 6…7 квалитетов ЕСДП (единая система допусков и посадок), а шероховатость поверхности Ra 2,5…0,25 мкм. Более высокая гладкость поверхности цапфы нежелательна вследствие слабого удержания на ней смазки.
В зависимости от количества смазочного материала в подшипнике скольжения различают следующие виды трения:
1. жидкостное трение обеспечивает полное разделение твёрдых поверхностей цапфы и подшипника слоем смазки (коэффициент трения, а следовательно, и коэффициент потерь энергии в подшипнике при этом виде трения минимальны);
2. полужидкостное трение основная часть взаимодействующих поверхностей разделена слоем смазочной жидкости, а поверхности подшипника и цапфы контактируют только вершинами микронеровностей;
3. полусухое (граничное) трение поверхности цапфы вала и подшипника почти постоянно контактируют между собой, однако между ними имеется некоторое количество смазочного материала;
4. сухое трение в зазоре между поверхностями цапфы вала и подшипника смазочный материал отсутствует полностью, вследствие чего эти поверхности находятся в состоянии непрерывного контакта.
Для смазывания подшипников скольжения применяются самые разнообразные материалы, которые по степени консистентности (по густоте, по твёрдости) можно условно разделить на твёрдую - графит, дисульфид молибдена, некоторые обволакивающие металлы, например, индий; пластичную (консистентную, то есть не обладающую свойством каплепадения) солидол, консталин, литол, некоторые смазки ЦИАТИМ; жидкую органические и минеральные масла, иногда вода и другие жидкости, и газообразные воздух, азот, инертные газы, в первую очередь аргон. Чем выше вязкость смазочного материала, тем труднее он выдавливатеся из рабочего зазора подшипника и, следовательно, тем более толстым может быть его слой между цапфой и поверхностью подшипника в процессе их совместной работы. Наибольшее распространение в промышленных условиях получили жидкая и консистентная смазки.
При использовании жидкостной смазки в зависимости от способа подачи смазки в рабочий зазор подшипника и разделения твёрдых поверхностей слоем жидкой смазки различают гидростатический и гидродинамический способы смазывания.
|
Рис. 10.4. Гидростатическая смазка подшипника скольжения. |
Гидростатический способ основан на разделении трущихся поверхностей за счёт статического напора подводимой к подшипнику смазочной жидкости, то есть за счёт давления, создаваемого внешним источником (насосом). Поэтому при гидростатическом способе смазывания смазочная жидкость подаётся навстречу основным нагрузкам (рис. 10.4), действующим на цапфу вала, а давление насоса выбирается таким, чтобы цапфа вала всплывала на слое смазки. Применяется этот способ подачи смазки для смазывания подшипников тихоходных тяжело нагруженных валов (например, для смазки подшипников валов прокатных станов), для гидростатической центровки валов в прецизионных машинах, а также в периоды разгона до достижения гидродинамического режима смазывания.
|
Рис. 10.5. Гидродинамическая смазка подшипника скольжения |
Гидродинамическое смазывание реализуется только в процессе вращения цапфы в подшипнике после достижения определённой (критической) скорости вращения (рис. 10.5). Первоначально цапфа неподвижного вала лежит на поверхности подшипника (рис. 10.5.а), и потому начальный период вращения вала характеризуется режимом граничного трения. По мере увеличения угловой скорости цапфы частицы смазочного масла за счёт налипания на её поверхность втягиваются в клиновой зазор между поверхностями цапфы и подшипника. Давление масла в этом зазоре повышается и при достижении критической скорости вращения цапфа вала, всплывая, оторвётся от поверхности подшипника, произойдёт полное разделение трущихся поверхностей. Среднее давление, развивающееся в клиновом зазоре, прямо пропорционально динамической вязкости масла, частоте вращения вала и обратно пропорционально толщине масляного слоя. Последнее свойство способствует саморегулированию толщины смазочного слоя в соответствии с действующей на цапфу вала нагрузкой увеличение нагрузки ведёт к снижению толщины слоя смазки и наоборот. Давление в клиновом слое может достигать больших величин, и поэтому подача масла производится в зону разрежения, что не требует больших затрат мощности на смазывание и системы смазки (насосы, фильтры, радиаторы, трубопроводы и т.п.) высокого давления.
Коэффициент трения при жидкостном разделении трущихся поверхностей составляет (1…3)10-3, в то время как при граничном трении коэффициент трения для разных материалов колеблется от 110-2 (оловянистые баббиты) до 810-2 (антифрикционные чугуны).
Из изложенного ясно, что максимальный износ подшипников в нормальных условиях работы механизмов должен происходить при граничном трении, то есть в периоды их разгона (в периоды запуска механизмов). Однако интенсивное изнашивание во многих случаях наблюдается и вследствие многих других причин (тяжёлые условия работы, небрежное обслуживание и т.п.). В практике эксплуатации подшипников скольжения можно наблюдать следующие виды их изнашивания: 1) абразивное (происходит при попадании твёрдых частиц в рабочий зазор подшипника); 2) усталостное выкрашивание при действии пульсирующих нагрузок; 3)перегрев, являющийся следствием сухого трения и приводящий в конечном итоге к заеданию цапфы в подшипнике, появлению задиров или к выплавлению антифрикционного слоя материала.
Таким образом, основным критерием работоспособности подшипника, работающего на принципе трения скольжения, следует считать износоустойчивость трущейся пары.
Поэтому проектный расчёт подшипника (определение основных габаритных размеров) ведут, как правило, ориентируясь на возможность граничного трения, авеличину зазора в трущейся паре, интенсивность подачи смазки при принудительном циркуляционном смазывании определяют по условию обеспечения режима гидродинамической смазки трущихся поверхностей. Расчёты подшипников на обеспечение гидродинамического режима смазки в настоящем курсе лекций не рассматриваются.
При проектном расчёте принимается допущение: удельное давление считается распределённым равномерно как по диаметру цапфы, так и по её длине. В этом случае условие прочности по среднему давлению p между контактирующими поверхностями цапфы вала и подшипника будет
; (10.1)
где R радиальная нагрузка, действующая на цапфу вала, d диаметр цапфы, l рабочая длина подшипника, p величина действующего среднего давления в подшипнике, [p] допустимая величина этого давления.
При проектном расчёте обычно задаются величиной коэффициента длины подшипника , величина которого зависит от конструкции опор и их расположения относительно вала. Так для несамоустанавливающихся опор с целью уменьшения неравномерности давления по длине подшипника рекомендуют принимать = 0,4…1,2 (в отечественной технике чаще всего = 0,6…0,9). При этом следует учитывать, что из короткого подшипника легче и быстрее удаляется смазочная жидкость, что, в свою очередь, ведёт к повышенному расходу смазочного материала, но и к более интенсивному охлаждению подшипника. Применение самоустанавливающегося подшипника позволяет увеличить коэффициент длины до = 1,5…2,5. При заданном коэффициенте длины подшипника его диаметр может быть найден по соотношению
. (10.2)
Величину энерговыделения в работающем подшипнике характеризует произведение среднего давления p на скорость скольжения v. С целью предотвращения перегрева подшипника со всеми неприятными последствиями этого явления производится проверка подшипника и по этому критерию. Выражая скорость скольжения через параметры вращательного движения
( и n угловая скорость и частота вращения цапфы вала, r её радиус) и среднее давление по зависимости (10.1), критерий работоспособности подшипника по условию перегрева можно записать следующим образом
. (10.3)
Исходя из последнего выражения, при известных материалах трущейся пары цапфа-вкладыш подшипника длина подшипника может быть найдена следующим образом
(10.4)
а далее по выражению (10.1) можно вычислить необходимый диаметр цапфы
. (10.1)
Приведённый вид расчёта обычно используется при проектировании опор с необеспеченным жидкостным трением либо является предварительным при проектировании опор жидкостного гидродинамического трения, параметры которых уточняются в последующем в процессе гидродинамического расчёта подшипника скольжения.
В настоящей лекции изложены основные сведения о подшипниках скольжения с основами расчёта таких подшипников по условному среднему давлению и по допустимому энергетическому показателю [pv]. Расчёт подшипников гидродинамического трения можно найти в технической литературе.
|
Вопросы для самоконтроля: |
1. Для выполнения каких функций предназначены опоры осей и валов?
2. Дайте определение подшипника.
3. Как влияет качество подшипников на долговечность и качество машины?
4. Назовите основные классификационные признаки подшипников.
5. Какой элемент машины можно назвать подшипником скольжения, какие разновидности этих подшипников Вы знаете?
6. Назовите основные достоинства и недостатки подшипников скольжения.
7. Какие требования предъявляются к материалам, предназначенным для изготовления подшипников?
8. Назовите основные группы материалов, используемых для изготовления подшипников.
9. Какие требования предъявляются к цапфе вала, работающей в подшипнике скольжения?
10. Назовите основные виды трения в подшипнике скольжения по условиям смазывания.
11. Назовите основные виды смазочных материалов, применяемых для смазывания подшипников скольжения.
12. В каких случаях используются и чем различаются гидростатический и гидродинамический способы смазывания?
13. Назовите основные виды изнашивания подшипников скольжения.
14. Назовите основные критерии работоспособности подшипников скольжения.
15. Назовите основные допущения при расчёте подшипников скольжения.
ТЕМА 3. ВАЛЫ И ПОДШИПНИКИ
Лекция № 11. Подшипники качения (ПК)
Вопросы, изложенные в лекции:
1. Общие сведения, условия работы и критерии работоспособности ПК.
2. Подбор, посадки, крепление и смазка ПК.
|
Общие сведения, условия работы и критерии работоспособности ПК. |
Предыдущая лекция акцентирована на рассмотрение основных свойств подшипников скольжения и вопросов, касающихся их проектирования. Наряду с подшипниками скольжения в технических устройствах находят широкое применение подшипники,работающие по принципу трения качения подшипники качения. Рассмотрению конструкции, основных свойств, и основ конструирования узлов с такими подшипниками и посвящена настоящая лекция.
|
Рис. 11.1. Подшипник качения (конструкция). |
Подшипник качения имеет, как правило, более сложную конструкцию в сравнении с подшипником скольжения и, в подавляющем большинстве случаев, является готовым (то есть изготовленным на специализированном предприятии) изделием, устанавливаемым в механизм или машину без какой-либо дополнительной доработки.
Конструктивно подшипник качения (рис. 11.1), как правило, включает 4 основных элемента: 1) наружное кольцо, обычно устанавливаемое в корпусе, и потому неподвижное; 2) внутреннее кольцо, обычно насаживаемое на цапфу вала, и вращающееся вместе с ней; 3) тела качения (шарики, ролики или другие), обкатывающиеся при работе подшипника по беговым дорожкам наружного и внутреннего колец, и 4) сепаратор, предотвращающий в процессе работы подшипника набегание тел качения друг на друга. В отдельных случаях применяются подшипники, как более простой (например, без одного из колец), так и более сложной (например, с составными кольцами) конструкции.
Подшипники качения широко применяются в стационарных и подвижных машинах многих отраслей машиностроения, в том числе и в МГКМ (многоцелевых гусеничных и колёсных машинах). В силу этого они стандартизованы, выпускаются в массовом количестве на специализированных предприятиях с высокой степенью автоматизации производства, что гарантирует их относительно невысокую стоимость.
Достоинства подшипников качения:
1. малые потери на трение (приведённый к цапфе вала коэффициент трения подшипников качения в зависимости от типа подшипника и других его характеристик составляет f = 1,510-3…610-3);
2. малые габариты в осевом направлении;
3. низкая стоимость при высокой степени взаимозаменяемости;
4. малый пусковой момент сопротивления, практически одинаковый с моментом, действующим в процессе установившегося движения;
5. малый расход смазочных материалов и, следовательно, малый объём работ по обслуживанию;
6. пониженные требования к материалу и качеству обработки цапф.
Недостатки подшипников качения:
1. высокая чувствительность к ударным и вибрационным нагрузкам вследствие малых площадей контакта между телами качения и беговыми дорожками колец подшипника;
2. большие габариты в радиальном направлении;
3. малая надёжность в высокоскоростных приводах.
Классификация подшипников качения:
|
Рис. 11.2. Основные формы тел качения, применяемые в подшипниках: а) шарик; ролики б)цилиндрический; в) конический; г) бочкообразный; д)игольчатый; е) витой |
1. по форме тел качения (рис. 11.2) шариковые, роликовые с цилиндрическими, коническими или бочкообразными роликами, игольчатые;
2. по количеству рядов тел качения однорядные, двухрядные, трёх- и более рядные;
3. по направлению воспринимаемой нагрузки радиальные, предназначенные для восприятия нагрузки, перпендикулярной оси вращения, радиально-упорные (радиальная и осевая нагрузки, причём радиальная нагрузка больше осевой), упорно-радиальные (радиальная и осевая нагрузки, но радиальная нагрузка меньше осевой), упорные (только под осевую нагрузку), комбинированные (радиальная и осевая нагрузки воспринимаются разными телами качения);
4. по самоустанавливаемости несамоустанавливающиеся и самоустанавливающиеся;
|
Рис. 11.3. Серии диаметров и ширин подшипников качения: 1) особо лёгкая; 2) лёгкая; 3) лёгкая широкая; 4) средняя; 5) средняя широкая; 6) тяжёлая. |
5. по габаритным размерам (серии диаметров и ширин, рис. 11.3) особо лёгкая, лёгкая, лёгкая широкая, средняя, средняя широкая, тяжелая серии;
6. по точности изготовления для подшипников качения стандартом (ГОСТ 520-71) предусмотрены 5 классов точности (Р0, Р6, Р5, Р4, Р2); класс точности указывается перед номером подшипника, при этом буква «Р» может опускаться (Р4-205 или 4-205), а нулевой класс (подшипники общего назначения) может не указываться вообще;
7. по конструктивным особенностям с защитными шайбами, с упорным бортом на наружном кольце, с канавкой на наружном кольце, с составными кольцами и др.
|
9 |
8 |
7 |
6 |
5 |
4 |
3 |
2 |
1 |
|
|
Класс точности |
Тире |
Серия ширин |
Коструктивная разновидность |
Тип подшипника |
Серия диаметров |
Диаметр отверстия / 5 |
Специальные буквенные обозначения |
|
Рис. 11.4. Схема построения условного обозначения подшипника качения |
Условные обозначения (маркировка, паспорт) подшипников качения (рис. 4) являются в основном цифровыми и наносятся на торцовые поверхности колец. Основное обозначение подшипника может включать от двух до семи цифр (нули на левой стороне обозначения, то есть в начале цифры, не проставляются).
Две последние цифры справа обозначают диаметр отверстия во внутреннем кольце (диаметр цапфы вала), делённый на 5, за исключением следующих четырёх размеров: диаметр отверстия 10 мм обозначается цифрами 00; 12 мм 01; 15 мм 02, и 17 мм 03. Так, например, подшипник с диаметром отверстия внутреннего кольца 20 мм будет иметь две последние цифры обозначения 04, с диаметром 75 мм 15, с диаметром 495 мм 99 и т.д. Из этого следует, что для большей части подшипников диаметр отверстия внутреннего кольца изменяется с шагом 5 мм.
Третья цифра справа соответствует серии диаметров наружных колец (наружных диаметров подшипника): сверхлёгкая серия 8 или 9; особолёгкая 1; лёгкая 2; средняя 3; тяжёлая 4.
|
Рис. 11.5. Некоторые типы подшипников качения: верхний ряд шариковые; нижний ряд роликовые (тип подшипника указан цифрой). |
Четвёртой цифрой справа обозначается тип подшипника: шариковый радиальный 0; шариковый сферический 1; роликовый радиальный 2; роликовый сферический 3; игольчатый 4; роликовый с витыми роликами 5; шариковый радиально-упорный 6; роликовый радиально-упорный 7; шариковый упорный 8; роликовый упорный 9.
Пятая и шестая цифры отведены для обозначения конструктивной разновидности подшипника.
Седьмой цифрой обозначается серия ширин (цифры от 0 до 9), лёгкой серии обычно соответствует 0 или 1.
Материалы для изготовления подшипников качения. Кольца подшипников качения и их тела качения(шарики, ролики) изготавливают из специальных высокохромистых легированных сталей (ШХ15, ШХ15СГ, ШХ20СГ, 20ХН4А и др.) с улучшающей термообработкой до HRC 61…67 при неоднородности твёрдости не более 3 HRC для каждого из колец и для всех тел качения. Сепараторы чаще всего выполняют штампованными из стальной (мягкая малоуглеродистая сталь) ленты. Сепараторы скоростных подшипников выполняют из антифрикционных материалов (латуни, бронзы, алюминиевых сплавов, текстолита и некоторых других пластмасс).
|
Подбор, посадки, крепление и смазка ПК. |
Подшипники качения могут терять работоспособность по нескольким причинам.
Усталостное выкрашивание отслаивание (шелушение) частичек металла с рабочих поверхностей и появление на них раковин является, в конечном итоге, следствием циклического нагружения контактных поверхностей тел качения и беговых дорожек колец.
Смятие (пластическая деформация) поверхности тел качения и беговых дорожек на кольцах возникает вследствие чрезмерных статических нагрузок или при действии однократных ударных нагрузок. Характерный признак: для тел качения нарушение геометрической формы; для колец наличие на беговых дорожках местных углублений, по форме повторяющих поверхность тел качения (наиболее характерно для внутреннего кольца).
Разрушение тел качения или колец под воздействием чрезмерных ударных нагрузок, возникающих вследствие неправильного монтажа или нарушения правил эксплуатации (раскалывание тел качения или колец, скалывание бортов колец и т.п.).
Абразивное изнашивание происходит при попадании в подшипник частиц высокой твёрдости через нарушенные уплотнительные элементы.
Разрушение сепараторов происходит, как правило, из-за изнашивания их за счёт трения тел качения при недостаточной смазке, от воздействия тел качения на них при наличии центробежных сил большой величины (при больших скоростях вращения) и некоторых других причин.
Внешними признаками потери работоспособности подшипниками качения являются повышенный шум при работе механизма, перегрев подшипникового узла (увеличение потерь мощности в подшипниковом узле), излишние люфты, то есть потеря точности вращения валов. Внешними признаками усталостного выкрашивания являются появление зеркальных частичек в смазочной жидкости, повышенная шумность в процессе работы механизма, чрезмерная вибрация валов при вращении.
Таким образом, в качестве основных критериев работоспособности подшипника качения следует считать износостойкость поверхностей качения,сопротивляемость пластическим деформациям и, в конечном итоге, долговечность подшипника.
Так как подшипники качения в подавляющем большинстве являются стандартизованными изделиями, при разработке подшипникового узла их проектный расчёт заменяется процедурой подбора подшипника.
Выбор подшипника качения (и установление необходимого паспорта подшипника) определяются следующими основными показателями:
1. характером нагрузки (постоянная, переменная, ударная), её величиной и направлением действия;
2. диаметром цапф вала и частотой его вращения;
3. необходимой долговечностью подшипникового узла;
4. нагрузочной способностью подшипника (статическая и динамическая грузоподъёмность).
Долговечность количество миллионов оборотов (L) одного кольца подшипника относительно другого либо число моточасов работы (Lh) до появления усталостного разрушения.
Поскольку в силу разных причин (различия в прочности исходных материалов, колебания технологических режимов обработки и т.п.) однотипные подшипники качения могут несколько отличаться по долговечности, то в расчётах широко используется понятие базовой долговечности, под которой понимают долговечность большинства из одновременно испытанных подшипников. В общем машиностроении и при стандартных испытаниях подшипников обычно используется 90% базовая долговечность L10[5], то есть долговечность, которую имеют не менее 90 % участвующих в испытаниях подшипников (90 %-ная надёжность подшипников). При более жёстких требованиях к надёжности подшипникового узла в расчётах используется 95 %-ная базовая долговечность L5, а иногда и 97 %-ная L3.
Базовая долговечность обеспечивается при базовой динамической грузоподъёмности. Базовая динамическая грузоподъёмность (Cr радиальная для радиальных и радиально-упорных подшипников, Ca осевая для упорных и упорно-радиальных) нагрузка, которую выдерживает подшипник при сохранении базовой долговечности. В стандартах для каждого конкретного подшипника указывается обычно базовая динамическая грузоподъёмность C и предельно допустимая статическая нагрузка C0. Под статической понимается нагрузка, действующая на подшипник при относительной частоте вращения колец до 10 оборотов в минуту.
В реальных механизмах действующие в подшипнике нагрузки часто одновременно имеют как радиальную, так и осевую составляющие, а испытания подшипников производятся, как правило, под действием однонаправленной нагрузки. Поэтому для возможности сравнения долговечности подшипника под действием реальной и испытательной нагрузок введено понятие эквивалентной нагрузки. Эквивалентная динамическая нагрузка - постоянная однонаправленная нагрузка, при которой подшипник имеет такую же долговечность, как и в реальных условиях работы. Использование в расчётах эквивалентной нагрузки позволяет учесть не только характер и направление действующих сил, но и некоторые другие факторы, действующие на подшипниковый узел в реальных условиях его работы. Эквивалентная нагрузка RE подшипника качения может быть вычислена по выражению
; (11.1)
где Fr и Fa радиальная и осевая составляющие нагрузки, действующей на вращающееся кольцо подшипника, X и Y коэффициенты влияния радиальной и осевой нагрузок, соответственно; V коэффициент вращающегося кольца (если относительно действующей нагрузки вращается внутреннее кольцо, то V = 1, если наружное V = 1,2); КБ динамический коэффициент безопасности, учитывающий действие динамических перегрузок на долговечность подшипника (для редукторов общего применения КБ = 1,3…1,5); КТ коэффициент, учитывающий влияние температуры подшипникового узла на долговечность подшипника. При рабочей температуре подшипникового узла t 100 C, принимают KT = 1, а для температур 100 < t 250 C температурный коэффициент можно определить по эмпирической зависимости
. (11.2)
Для радиальных подшипников, неспособных воспринимать осевую нагрузку (например, для роликовых цилиндрических), Fa = 0 и X = 1; для упорных Fr = 0и Y = 1. Для шариковых радиальных, шариковых и роликовых радиально-упорных (конических) подшипников в стандарте указывается величина «e», зависящая в основном от угла наклона беговой дорожки к оси вращения. Если для внешних сил, действующих на подшипник, Fa / VFr e, то X = 1, а Y = 0. В противном случае, когда Fa / VFr > e, X и Y определяются по каталогу для данного типа подшипников.
|
Рис. 11.6. Схема к определению сил, действующих на радиально-упорные подшипники (пояснения в тексте). |
При нагружении радиально-упорных подшипников радиальной нагрузкой наклон контактной линии между внешним кольцом и телом качения на угол к торцовой плоскости подшипника вызывает появление горизонтальной составляющей (рис. 11.6, б, сила Si). Для шариковых радиально-упорных подшипников эта сила Si = eFri, а для роликовых конических Si= 0,83eFri. В этом случае осевые составляющие сил, действующих на каждый из подшипников вала, в существенной степени зависят от Si. Так для расчётной схемы, представленной на рис. 11.6, а) S2 совпадает по направлению с внешней осевой нагрузкой Fa, действующей на вал, а S1 направлена ей навстречу. Если при этом суммарная нагрузка Fa + S2 > S1, тоFa1 = Fa + S2, а Fa2 = S2; если же Fa + S2 < S1, то Fa1 = S1, а Fa2 = S2 - Fa.
Долговечность подшипника, его базовая динамическая грузоподъёмность и эквивалентная динамическая нагрузка связаны соотношением
; (11.3)
где L10 в миллионах оборотов вращающегося кольца, а Lh10 в моточасах работы подшипника; n частота вращения подвижного кольца, мин.-1, p показатель степени кривой усталости; для шариковых подшипников p = 3, для роликовых p = 10/3.
Обычно в техническом задании на разработку механизма указывается и срок его работоспособности. Принимая долговечность подшипника равной этому сроку (предпочтительный вариант) или при назначении замен подшипников в процессе эксплуатации (вариант с текущим ремонтом) некоторой части этого срока и используя зависимость (11.3), нетрудно установить необходимую динамическую грузоподъёмность подшипника
; (11.4)
где величина p в показателе степени у скобок зависит от типа подшипника (см. выше). По известной требуемой величине грузоподъёмности подшипник может быть выбран из соответствующего каталога, при этом грузоподъёмность выбранного подшипника должна быть не меньше требуемой.
|
Рис. 11.7. Схема расположения полей допусков для посадочных диаметров подшипника и сопрягаемых с ними поверхностей (вал и корпус)
|
Подшипники качения обладают полной взаимозаменяемостью. Присоединительными размерами этих подшипников являются наружный диаметр D, внутренний диаметр d и ширина кольца B. Допуски на изготовление посадочных поверхностей подшипника не совпадают с допусками по квалитетам, установленными для гладких поверхностей.
На рис. 11.7 представлены схемы расположения полей допусков для посадочных диаметров колец подшипника и поля допусков сопрягаемых с ними поверхностей для подшипника класса точности Р0 в соответствие с данными табл. 11.1.
|
Таблица 11.1 Поля допусков посадочных поверхностей, сопрягаемых с подшипниками качения по ГОСТ 3325 Класс точности подшипника Поля допусков посадочных поверхностей отверстий корпусов для посадок валов для посадок с зазором переходных с натягом с зазором переходных с натягом 0 и 6 (E9), E8, G7, (H9), H8, H7 Js7, (J7), K7, M7, N7 P7 (e9), e8, f8, f9, f7, f6 h11, (h10), h9, h8, h7, h6, js6, (j6), g6 r7, r6, p6, n6, m6, k6 5 и 4 G6, H6 Js6, (J6), K6, M6 P6, N6 g5 js5, (j5), h5 p5, n5, m5, k5 |
Стандартом установлены следующие обозначения полей допусков по классам точности подшипников: для внутренних колец (отверстия) L0, L6, L5,L4, L2; для наружных колец (валы) l0, l6, l5,l4, l2 (рис. 11.7). При этом допуски на отверстия внутренних колец перевернуты относительно нулевой линии, то есть поле допуска расположено не в тело кольца, как это принято для рядовых деталей, а из тела. Вследствие перевернутости поля допуска L все посадки внутреннего кольца сдвигаются в сторону больших натягов - переходные посадки n, m и k становятся посадками с натягом, причем величина натяга в таких посадках несколько меньше по сравнению с нормальными посадками с натягом (от p до zc), а посадки с зазором h переходят в группу переходных посадок (рис. 11.7).
Режим работы подшипника определяется по отношению динамической эквивалентной нагрузки RE к динамической грузоподъемности C: легкий режим RE/C 0,07; нормальный режим 0,07< RE/C 0,15; тяжелый режим RE/C > 0,15.
При назначении посадок следует учитывать:
1. тип подшипника;
2. частоту вращения;
3. характер (постоянная или переменная по величине и направлению, спокойная или ударная) и величину нагрузки на подшипник;
4. жёсткость вала и корпуса;
5. характер температурных деформаций подшипникового узла (изменение плотности посадки при достижении рабочей температуры);
6. способ креплания подшипника (с затяжкой или без неё);
7. удобство монтажа и разборки подшипникового узла.
Посадки вращающихся колец с натягом предотвращают проворачивание колец на посадочных поверхностях, смятие и фрикционную коррозию этих поверхностей.
Посадки невращающихся колец подшипников с минимальным зазором обеспечивают равномерность износа беговых дорожек на этих кольцах за счёт их чрезвычайно медленного проворачивания в сторону вращения подвижного кольца.
Посадочные поверхности под установку подшипников должны иметь качественную обработку поверхности во избежание смятия и среза местных выступов (шероховатостей) при запрессовке и эксплуатации подшипников. При установке подшипников весьма желательно применение тепловой сборки (нагрев подшипника в масляной ванне с одновременным охлаждением вала твердой углекислотой или жидким азотом), а демонтаж подшипников необходимо выполнять с применением специализированного инструмента (съемников). Применяемая обычно в ремонтном производстве силовая сборка резко снижает срок жизни подшипника из-за взаимного перекоса колец после сборки. Обычно для тяжёлых условий работы назначаются более плотные посадки.
Перед установкой подшипников посадочные поверхности необходимо смазать жидкой или консистентной смазкой.
Вид смазывающего материала и способ его подачи к поверхностям трения зависит от условий работы подшипника (нагрузка, защищённость от действия неблагоприятных факторов внешней среды, возможность и периодичность обслуживания и т.п.) и скорости относительного движения подвижного и неподвижного колец подшипника, которую однозначно характеризует произведение внутреннего диаметра подшипника dп на частоту вращения подвижного кольца n. В первом приближении характер смазки можно выбрать в соответствии с табл. 11.2.
Таблица 11.2. Назначение смазки и, выбор уплотнительных элементов для разных условий работы подшипников
|
dпn, 106 ммоб/мин |
Смазка |
Уплотнение |
|
0,55 |
Консистентная |
Сальник, лабиринт |
|
0,60 |
Жидкая погружением |
Резиновая манжета, маслосгонная канавка |
|
0,75 |
Жидкая фитильная и капельная 5…10 капель в час. |
|
|
1,70 |
Жидкая масляным туманом |
Металлические кольца, полиамидная манжета, центробежное уплотнение |
|
> 2,0 |
Жидкая струйная под углом 15-20 к оси подшипника, охлаждение потоком масла |
В дельнейшем условия смазки подшипников согласуются с выбранной схемой смазывания агрегата, в котором эти подшипники установлены.
Представленный в настоящей лекции материал показывает, что обеспечить высокую надёжность подшипникового узла с подшипником качения возможно только при обязательном выполнении ряда условий. Качество таких узлов в значительной мере зависит, как от правильности конструкторского решения, так и от точности соблюдения технологического регламента изготовления и сборки подшипникового узла, а также и от соблюдения регламента эксплуатации и обслуживания. Следовательно, знания основных требований к узлам трения такого рода необходимы каждому участнику процесса жизнеобеспечения машин, начиная от конструктора и заканчивая эксплуатационником.
|
Вопросы для самоконтроля: |
1. Назовите главную особенность подшипников качения.
2. Назовите основные элементы подшипника качения.
3. Каковы достоинства подшипников качения?
4. Каковы недостатки подшипников качения?
5. Какие основные свойства подшипников качения предопределили их широкое использование в технике?
6. Назовите основные классификационные признаки подшипников качения.
7. Как маркируются подшипники качения? Приведите примеры.
8. Назовите основные группы материалов, используемых для изготовления подшипников качения.
9. Назовите основные виды изнашивания подшипников качения.
10. Назовите основные причины и признаки потери работоспособности подшипниками качения.
11. Что необходимо знать при назначении подшипника качения во вновь проектируемый узел?
12. Как назначить необходимую долговечность подшипника, от каких параметров она зависит?
13. В чём отличие полей допусков посадочных размеров подшипников качения от аналогичных размеров рядовых деталей?
14. Как обозначаются посадки подшипников качения на чертежах?
15. Изложите порядок сборки подшипниковых узлов с подшипниками качения.
ТЕМА 4. СОЕДИНЕНИЯ
Лекция № 12. Неразъёмные соединения (НС)
Вопросы, изложенные в лекции:
10. Соединения, классификация.
11. Заклёпочные соединения.
12. Сварные соединения.
13. Паяные и клеевые соединения.
|
Соединения, классификация |
Нормальная работа машины возможна только в том случае, когда детали, её составляющие, связаны между собой и взаимодействуют заданным образом. При этом часть таких деталей имеют относительную взаимную подвижность, эта подвижность обусловлена, как правило, кинематической схемой узлов и механизмов. Другие детали соединены так, что сохраняют в процессе работы машины постоянное и неизменное положение относительно друг друга. Неподвижные связи между деталями обусловлены необходимостью расчленения машины для удобства изготовления, сборки, транспортировки, ремонта и т.п. Неподвижные связи между элементами машин называют соединениями.
Соединение деталей конструктивное обеспечение их контакта с целью кинематического и силового взаимодействия либо для образования из них частей (деталей, сборочных единиц) механизмов, машин и приборов.
Соединения являются важными элементами всех машин и механизмов. Во многих случаях именно выход из строя соединений является причиной аварий при работе машин. В арсенале конструктора имеется значительное количество различных видов соединений, которые могут быть классифицированы по разным признакам.
Классификация соединений:
1. по возможности разборки без разрушения соединяемых деталей разъёмные и неразъёмные соединения;
2. по возможности относительного взаимного перемещения соединяемых деталей подвижные и неподвижные соединения;
3. по форме сопрягаемых (контактных) поверхностей плоское, цилиндрическое, коническое, сферическое, винтовое, профильное соединения;
4. по технологическому методу образования сварное, паяное, клеёное (клеевое), клёпаное, прессовое, резьбовое, шпоночное, шлицевое, штифтовое, клиновое, профильное соединения.
Первыми в настоящей лекции представлены неразъёмные соединения такие соединения, которые после изготовления невозможно разобрать без разрушения деталей, участвующих в соединении.
Из всех известных видов неразъёмных соединений наиболее широко распространены заклёпочные, сварные, паяные и клеевые соединения.
|
Заклёпочные соединения. |
Заклёпочным (клёпаным) называют неразъёмное неподвижное соединение, образованное с применением специальных закладных деталейзаклёпок, выполненных из высокопластичного материала. Таким образом, заклёпочное соединение (Рис. 12.1) включает, по меньшей мере, 3 элемента (рис. 12.1, а): две соединяемых детали 1 и 2 и заклёпку 3, которая помещена в соосные отверстия, выполненные в соединяемых деталях. После сформирования соединения заклёпка, удерживающая во взаимном контакте соединяемые детали, имеет следующие 3 части (рис. 12.1, б): тело заклёпки или стержень 4 и две головки закладную 5, изготавливаемую до формирования соединения, и замыкающую 6, создаваемую в момент образования заклёпочного соединения. Ряд заклёпок, соединяющих кромки двух или нескольких деталей, принято называть заклёпочным швом.
|
Рис. 12.1. Заклёпочное соединение: а в процессе сборки; б в собранном виде |
До появления современных видов сварки заклёпочные соединения были распространены особенно широко, однако и в настоящее время этот вид соединения достаточно активно используется в некоторых областях техники, например, в авиации, водном транспорте, приборостроении. Они применяются для соединения листовых, профильных (уголок, швеллер, двутавр и т.п.) и штампованных деталей, работающих в условиях переменных, вибрационных и ударных нагрузок. Особенно широко употребляются заклёпки для соединения разнородных или нагортованных (подвергнутых холодной деформации) материалов (сталь алюминиевые сплавы; холоднокатаный лист; соединение металла с неметаллом).
Достоинства заклёпочных соединений:
1. простота конструкции и технологического исполнения;
2. возможность соединения разнородных и нагортованных материалов;
3. пригодность для неразрушающего контроля;
4. высокая стабильность;
5. высокая стойкость при действии ударных и вибрационных нагрузок.
Недостатки заклёпочных соединений:
1. высокий расход металла на образование соединения;
2. высокая трудоёмкость, а значит, и стоимость соединения;
3. ослабление прочности соединяемых деталей отверстиями под заклёпки;
4. нарушение плотности швов в процессе эксплуатациии.
Большое разнообразие областей применения заклёпочных соединений порождает и большое число их разновидностей.
Классификация заклёпочных соединений:
1) по функциональному назначению прочные, предназначенные только для передачи нагрузки; плотные, обеспечивающие герметичное разделение сред, ипрочно-плотные, способные выполнять обе названные функции;
2) по конструктивным признакам шва нахлёсточное соединение (рис. 12.2, а); стыковое соединение, которое в свою очередь может быть выполнено с одной(рис. 12.2, б) либо с двумя (рис. 12.2, в) накладками;
|
Рис. 12.2. Основные типы заклёпочных швов: а нахлёсточный; б стыковой с одной накладкой; в стыковой с двумя накладками. |
3) по числу поверхностей среза, приходящихся на одну заклёпку под действием рабочей нагрузки односрезные;двухсрезные; и т.д.; многосрезные;
4) по количеству заклёпочных рядов в шве однорядные; двухрядные; и т.д.; многорядные.
|
Рис. 12.3. Некоторые виды заклёпок (пояснения в тексте) |
|
Рис. 12.4. Параметры заклёпочного соединения |
Разнообразие заклёпочных соединений порождает соответственно большое число разновидностей самих заклёпок. По форме закладных головок заклёпки бывают: с полукруглой(полусферической, рис. 12.3, а), потайной, (рис. 12.3, б), полупотайной (рис. 12.3, в), цилиндрической (рис. 12.3, г) и др. головками. А по форме стержня (тела) заклёпки могут быть сплошными (полнотельными, рис. 12.3, а…в); пустотелыми (со сквозным центральным отверстием, рис. 12.3, д);полупустотелыми (часть стержня сплошная, а часть пустотелая с отверстием, рис. 12.3, г). Большая часть типоразмеров заклёпок стандартизована. Обозначение заклёпки в конструкторской документации обычно включает номер стандарта, диаметр стержня и длину тела заклёпки, выбираемую из ряда нормальных линейных размеров с учётом запаса длины на формирование замыкающей головки.
Подбор заклёпок для заклёпочного соединения при равной толщине склёпываемых листов и одинаковой их прочности и заклёпок выполняется в зависимости от толщины листов s (рис. 12.4), а для соединения листов разной толщины диаметр заклёпки устанавливают в соответствии с суммарной толщиной всего пакета S.
При соединении листов равной толщины (все размеры в мм)
диаметр заклёпки
; (12.1)
шаг установки заклёпок в ряду
; (12.2)
расстояние оси заклёпки от края листа
. (12.3)
Для соединения листов разной толщины диаметр заклёпки
; (12.4)
остальные размеры можно назначать в соответствии с зависимостями (12.2) и (12.3).
Для швов с накладками толщина накладок составляет при одной накладке
; для двухнакладочного шва толщина каждой из накладок
.
Заклёпки изготавливают из малоуглеродистых и легированных сталей, меди и медных сплавов (чаще это латуни), алюминия и алюминиевых сплавов. Материал заклёпок должен удовлетворять следующим требованиям:
высокая пластичность и незакаливаемость при нагревании, облегчающие клёпку и способствующие равномерному нагружению заклёпок рабочими нагрузками;
температурный коэффициент расширения, мало отличающийся от такового для материала склёпываемых деталей;
не образовывать гальваническую пару с материалом склёпываемых деталей.
Критерием работоспособности большинства заклёпочных соединений является их прочность. При недостаточной прочности соединения возможно его разрушение четырёх различных видов (рис. 12.5):
|
Рис. 12.5. Напряжения в заклёпочном шве |
1. под действием касательных напряжений в теле заклёпки возможен её срез по сечению, лежащему в плоскости контакта склёпываемых листов;
2. под действием контактных напряжений, действующих между телом заклёпки и поверхностью отверстий под её установку, возможно смятие контактирующих (цилиндрических) поверхностей;
3. под действием нормальных напряжений в теле склёпываемых листов, действующих в сечении шва, ослабленном отверстиями под установку заклёпок (сечение 1-1, рис. 12.5), возможен разрыв листов по этому ослабленному сечению;
4. под действием касательных напряжений в теле склёпываемых листов возможен вырыв (срез) части металла склёпываемых листов (часть листа, ограниченная сечениями 2-2, рис. 12.5).
Поэтому ответственные соединения требуют прочностного расчета по всем четырём видам напряжений. При этом допускаемые напряжения назначаются в зависимости от прочностных показателей материала заклёпок и склёпываемого металла, от качества подготовки соединения под клёпку (чистота и точность обработки отверстий, точность их совмещения, прилегание склёпываемых деталей и т.п.), от характера рабочей нагрузки (статическая, отнулевая, знакопеременная), а также от внешних условий, в которых должно работать соединение (температура, агрессивность среды и др.).
|
Таблица 12.1. Допускаемые напряжения для заклёпок из малоуглеродистой стали Вид напряжений Характер обработки отверстия и материал заклёпки Пробитое отверстие Сверлёное отверстие Стали 10 и 20 Сталь Ст3 Стали 10 и 20 Сталь Ст3 Срез [], МПа 100 240 140 100 Смятие [], МПа 240 280 280 320 |
Допускаемые напряжения для заклёпок из малоуглеродистой стали, работающих при статической нагрузке можно принять в соответствии с табл. 12.1. Для швов работающих при отнулевой (пульсирующей) нагрузке, допускаемое напряжение должно быть снижено на 10…20%, а для швов, нагруженных знакопеременной (циклической) нагрузкой на 30…50%.
|
Сварные соединения |
Сварные соединения неразъёмные соединения, образованные посредством установления между деталями межатомных связей, при помощи расплавления соединяемых кромок, их пластического деформирования или совместным действием того и другого.
Сварные соединения нашли самое широкое применение в промышленности и, в частности, при производстве транспортной и военной техники. Без применения сварки в настоящее время не выпускается практически ни одна машина. Многие автомобили имеют сварные рамы, корпус заднего моста, диски колёс, кузова. В военной технике сварными изготавливаются бронекорпуса боевых машин (танки, БМП, БТР), башни, опорные плиты миномётов, орудийные лафеты и многое другое.
Широкому распространению сварных соединений способствовало наличие у них большого числа преимуществ перед клёпаными соединениями.
Достоинства сварных соединений:
1. высокая технологичность сварки, обусловливающая низкую стоимость сварного соединения;
2. снижение массы сварных деталей по сравнению с литыми и клёпаными на 25…30%;
3. возможность получения сварного шва, равнопрочного основному металлу (при правильном конструировании и изготовлении);
4. возможность получения деталей сложной формы из простых заготовок;
5. возможность получения герметичных соединений;
6. высокая ремонтопригодность сварных изделий.
Недостатки сварных соединений:
1. коробление (самопроизвольная деформация) изделий в процессе сварки и при старении;
2. возможность создания в процессе сварки сильных концентраторов напряжений;
3. сложность контроля качества сварных соединений без их разрушения;
4. сложность обеспечения высокой надежности при действии ударных и циклических, в том числе и вибрационных, нагрузок.
По способу образования сварного шва сварные соединения можно разделить на образованные с расплавлением соединяемых кромок (сварка плавлением) ибез расплавления кромок соединяемых деталей. Из наиболее распространённых способов к сварке плавлением относятся соединения, выполненныеэлектродуговой сваркой с различными её модификациями (ручная дуговая плавящимся и неплавящимся электродом, сварка под слоем флюса, сварка в среде защитных газов и пр.), газовой сваркой (при нагреве свариваемых кромок теплом газового пламени), электрошлаковой сваркой, сваркой лазерным лучом, электронным пучком и некоторые другие виды сварных соединений.
В группу соединений без расплавления кромок входят соединения, выполненные кузнечной сваркой, всеми видами контактной сварки (стыковой, точечной, шовной), сваркой посредством пластического холодного деформирования, сваркой взрывом, диффузионной сваркой в вакууме, сваркой трением и другие виды соединений.
Но, пожалуй, самое широкое применение в промышленности, строительстве и других областях производства нашла электродуговая сварка плавлением с применением неплавящихся (уголь, вольфрам) и плавящихся электродов. Электродуговая сварка неплавящимся электродом изобретена в конце XIX века (сварка угольным электродом предложена в 1882 г., патент в 1885 г.) Николаем Николаевичем Бенардосом (18421905), а в 1888 Николай Гаврилович Славянов (18541897) усовершенствовал этот метод, применив металлический плавящийся электрод.
|
Рис. 12.6. Типы сварных соединений: а) стыковое; б)угловое; в) тавровое; г)нахлёсточное; д) торцовое |
В настоящее время основная масса сварных соединений, выполненных электродуговой сваркой стандартизованы. По взаимному расположению частей сварного соединения последние можно разделить на 5 основных типов: стыковое (рис. 12.6, а),угловое (рис.12.6, б), тавровое (рис. 12.6, в), нахлёсточное (рис. 12.6, г) и торцовое (рис. 12.6, д).
Металл, затвердевший после расплавления и соединяющий сваренные детали соединения, называют сварочным швом.Формирование сварочного шва сопровождается частичным оплавлением поверхностей деталей, участвующих в образовании сварного соединения. Поверхности свариваемых деталей, подвергающиеся частичному оплавлению при формировании сварчного шва и участвующие в образовании соединения, называются свариваемыми кромками.
По аналогии с заклёпочными швами сварные швы по функциональному назначению делят на прочные, от которых не требуется обеспечение герметичности, плотные, главное требование к которым герметичность, и прочноплотные, у которых требование прочности сочетается с требованием герметичности разделяемых пространств.
По форме поперечного сечения сварные швы делятся на стыковые (рис. 12.7, I) и угловые (рис. 12.7, II). Кроме того, поперечное сечение шва зависит от формы подготовки кромок под сварку. Так, например, в стыковых соединениях применяются швы с отбортовкой кромок, без скоса кромок (рис. 12.5, Iа), с V-образной разделкой кромок (рис. 12.7, Iб) с K-образной разделкой кромок (рис. 12.7, Iв) X-образной разделкой кромок (рис. 12.7, Iг). Швы с разделкой кромок применяются и в других видах соединений. Форма разделки кромок зависит от толщины свариваемого металла, от вида сварки (ручная или автоматическая), от способа защиты расплавленного металла от окисления (сварка под слоем флюса, сварка в среде защитных газов и т.п.) и некоторых других факторов. Для наиболее распространённых видов сварки (ручная плавящимся электродом, полуавтоматическая и автоматическая под слоем флюса и др.) разделка кромок стандартизована.
|
Рис. 12.7. Швы сварочные: I стыковые II угловые |
По форме наружной поверхности швы могут быть плоские (рис. 12.7, IIа), вогнутые (рис. 12.7, IIб), выпуклые (рис. 12.7, IIв). Иногда выпуклые швы необоснованно называют усиленными, а вогнутые ослабленными. Однако усиление сварочного шва способствует концентрации напряжений в околошовной зоне металла, что отрицательно сказывается на работоспособности соединения при переменных нагрузках, а вогнутость уменьшает рабочее сечение шва, увеличивая тем самым напряжения в нём.
По расположению швов относительно действующей нагрузки сварные швы разделяют на: лобовые (рис. 12.8, а), продольная ось которых перпендикулярна действующим усилиям, фланговые (рис. 12.8, б) или боковые, продольная ось которых по направлению совпадает с направлением действующих усилий, и косые (рис. 12.8, в), продольная ось которых направлена под некоторым углом к направлению действующей нагрузки. Швы, участки которых имеют различное направление по отношению к действующим усилиям, называют комбинированными (рис. 12.8, г).
|
Рис. 12.8. Расположение сварочных швов по отношению к действующей нагрузке. |
Для сварных конструкций наиболее существенным является различие швов по условиям работы. По этому признаку все швы можно разделить нарабочие, предназначенные для восприятия основных нагрузок, исоединительные или связующие, назначением которых является только скрепление отдельных элементов конструкции в единое целое.
Известны и некоторые другие признаки деления сварочных швов, не представленные в данной лекции.
Критерием работоспособности большинства сварных соединений можно считать прочность шва и околошовной зоны при действующих в соединении нагрузках, которые могут иметь самый различный характер.
При расчёте сварных соединений принимается ряд упрощений и допущений:
1. Нагрузку, приложенную к сварочному шву, считают равномернораспределённой по всей длине шва, в то время как измерения, выполненные на реальных швах, свидетельствуют о существенной неравномерности распределения нагрузки по длине шва, для большинства их типов.
2. При расчёте стыковых швов высоту шва принимают равной толщине свариваемого металла, независимо от наличия выпуклости (усиления) или вогнутости (ослабления или мениска).
3. При расчёте угловых швов (нахлёсточные и тавровые соединения) в качестве сечения шва принимается равнобедренный прямоугольный треугольник, вписанный в фактическое сечение шва (рис. 12.7.II, а…г), выпуклость шва и в этом случае не принимается во внимание.
4. При определении нагрузки парных фланговых швов, расположенных несимметрично относительно линии действия внешней нагрузки, величину нагрузки на каждый из швов считают обратно пропорциональной расстоянию от оси шва до линии действия внешней нагрузки.
Напряжения растяжения в стыковом шве вычисляют так же, как и для основного металла
; (12.5)
где F усилие, воспринимаемое сварочным швом; l длина шва; s толщина меньшего из свариваемых листов;
допускаемые напряжения растяжения для металла шва (
- допускаемые напряжения для свариваемого металла).
Угловые швы обычно рассчитываются на срез по опасному (наименьшему) сечению (сечение I-I на рис. 12.7, IIа). В этом случае касательные напряжения
; (12.6)
где k катет шва,
допускаемые касательные напряжения для металла шва. При определении допускаемых напряжений для металла шва (наплавленного металла) величины коэффициентов в скобках принимаются в зависимости от вида сварки и качества присадочного металла.
Прочностные характеристики сварочных швов при других видах сварки (электрошлаковая, различные разновидности контактной и др.) в данном курсе не рассматриваются, их можно найти в справочной литературе.
|
Паяные и клеевые соединения. |
Паяные соединения - это соединения, образованные за счет химического или физического (адгезия, растворение, образование эвтектик) взаимодействия расплавляемого материала - припоя с соединяемыми кромками деталей. Применение расплавляемого припоя обусловливает нагревание соединяемых деталей. Тем не менее, существенным отличием пайки является отсутствие оплавления соединяемых поверхностей.
|
Рис. 12.9. Некоторые типы паяных соединений: а) встык; б) встык с накладкой; в) в косой стык; г) внахлёстку; д) втавр; е) телескопическое; ж) сотовая конструкция. |
Паяные соединения широко применяются в транспортном машиностроении (паяные радиаторы охлаждающих систем), в приборостроении и электронике (монтаж печатных плат и навесных элементов), а также в некоторых других отраслях производства. Некоторые типы паяных соединений представлены на рис. 12.9.
Достоинства паяных соединений:
1. возможность соединения разнородных материалов;
2. возможность соединения тонкостенных деталей;
3. возможность получения соединения в труднодоступных местах;
4. коррозионная стойкость;
5. малая концентрация напряжений вследствие пластичности припоя;
6. герметичность паяного шва.
Недостатки паяных соединений:
1. пониженная прочность шва в сравнении с основным металлом;
2. требования высокой точности обработки поверхностей, сборки и фиксации деталей под пайку.
В качестве припоев для пайки соединений чаще всего применяются различные металлы и некоторые сплавы, температура плавления которых существенно ниже,температуры плавления материала соединяемых деталей.
Все припои по температуре плавления можно весьма условно разделить на 3 группы: низкотемпературные (Тпл < 150...200 С) сплавы олова, свинца, висмута, кадмия, индия (Олово - Тпл = 232 С; свинец Тпл = 327 С, эвтектика 61,9% Sn - 183,3 С; сплав Вуда = Bi - 50,0%, Pb -25,0%, Sn - 12,5%, Cd - 12,5%, Tпл = 68С; Bi - 49,4%, Pb - 18,0%, Sn -11,6%, Zn 21,0% Tпл = 58 С); среднетемпературные или мягкие (150...200 <Тпл <350...400 С) сплавы олова, свинца, сурьмы, цинка; высокотемпературные или твердые
(350...400 <Тпл <850... 1000 С) медь, цинк, серебро и их сплавы, наиболее распространенными и дешевыми из которых являются латуни.
Маркировка и назначение некоторых припоев: ПОС-90 (олово 90%, остальное свинец, Тпл = 222 С) пайка посуды; ПОС-30 (Тпл =256 С) третник пайка радиоаппаратуры; ПМЦ-48, (медь 48%, остальное цинк, Тпл = 865 С) пайка медных сплавов, имеющих температуру плавления не ниже 920С; ПСр-72 (серебро 72%, остальное медь, Тпл = 779 С) пайка чёрных и цветных металлов, имеющих температуру плавления не ниже 800С; ПСр-40 (серебро 40%, медь 16,7%, цинк 17,0%, кадмий 26,0%, никель 0,3% Тпл = 605 С) - пайка чёрных и цветных металлов, имеющих температуру плавления не ниже 650С.
Для защиты металла, удаления окисной пленки при пайке используются флюсы, которые бывают твердые, жидкие и газообразные. Наиболее известные из них: для мягких припоев - канифоль, нашатырь (хлористый аммоний), раствор хлористого цинка; для твердых припоев - бура (натрий борнокислый), борная кислота, хлористые и фтористые соли металлов.
Для обеспечения заполнения зазора в паяном соединении, он не должен быть слишком большим: обычно для легкоплавких припоев принимают зазор до 0,2...0,3 мм на сторону, для твердых припоев несколько меньше - до 0,15 мм. Но величина зазора зависит как от конструкции паяного соединения, так и от технологии пайки для пайки в печи нужен один зазор, для пайки в соляной ванне другой.
Клеевые соединения образуются посредством адгезионных сил, возникающих при затвердевании или полимеризации клеевого слоя, наносимого на соединяемые поверхности. Отличие клеевого соединения от паяного заключается в том, что клеи не являются металлами, в то время как припои это либо металлы, либо их сплавы. В зависимости от состава и свойств клеев их полемирезация может происходить как при комнатной температуре, так и при нагревании.
Все клеи можно разделить на конструкционные - такие которые способны выдерживать после затвердевания нагрузку на отрыв и сдвиг, и неконструкционные соединения с применением которых не способны длительное время выдерживать нагрузки.
К конструкционным можно отнести клеи БФ, эпоксидные, циакрин и др. К неконструкционным - клей 88Н, иногда резиновый и др.
Большинство клеев требует выдержки клеевого соединения под нагрузкой до образования схватывания и последующей досушки в свободном состоянии. Некоторые клеи требуют нагрева для выпаривания растворителя и последующей полимеризации. Клеевые соединения часто применяют в качестве контровочных для резьбовых соединений. Как правило, клеевые соединения лучше работают на сдвиг, чем на отрыв.
Расчет паянных и клеевых соединений ведется на сдвиг или на отрыв - в зависимости от их конструкции.
В заключение следует отметить, что перечень неподвижных соединений, используемых в промышленности, далеко не ограничивается представленными в настоящей лекции. Кроме того, техническая мысль не стоит на месте, а, следовательно, постоянно появляются новые методы соединения деталей, а значит, и новые виды соединений.
Кроме неподвижных соединений, которые не подлежат разборке, существует большой класс разъёмных соединений. Последние и будут рассмотрены в последующих лекциях.
|
Вопросы для самоконтроля: |
1. Какого рода связи могут существовать между элементами машин?
2. Что следует понимать под термином соединение?
3. Какие типы соединений Вы знаете?
4. Какие признаки характеризуют неразъёмное соединение?
5. Назовите главный признак заклёпочного соединения.
6. Назовите основные элементы заклёпки.
7. Что называют заклёпочным швом?
8. Назовите преимущественные области производства, где применяют заклёпочные соединения.
9. Какие типы заклёпочных соединений Вы знаете?
10. Какие разновидности заклёпок Вы знаете?
11. Как и по каким параметрам подобрать заклёпки для заклёпочного соединения?
12. Как назначить размеры равнопрочного заклёпочного соединения?
13. Назовите основные требования, которым должен удовлетворять материал заклёпок.
14. Какие виды разрушения возможны в заклёпочном шве?
15. Что понимается под термином сварные соединения?
16. Назовите достоинства и недостатки сварных соединений.
17. В чём заключается основное различие соединений, выполненных электродуговой и контактной сваркой?
18. Кто и где изобрёл электродуговую сварку?
19. Назовите 4 основных типа соединений, выполняемых электродуговой сваркой.
20. Что называют сварочным швом, а что свариваемыми кромками?
21. Как можно классифицировать сварочные швы по функциональному назначению?
22. Какая разница между стыковым и угловым швами?
23. Как делятся швы по расположению относительно рабочей нагрузки, а по условиям её восприятия?
24. Назовите основные упрощения и допущения, принятые при расчёте сварочных швов.
25. Назовите главные различия между сварочным и паяным швом.
26. Перечислите достоинства и недостатки паяных соединений.
27. В чём разница между твёрдыми и мягкими припоями?
28. Для чего служат флюсы при пайке?
29. Какие флюсы по консистенции Вы знаете?
30. Какое соединение можно назвать клеевым?
31. В чём заключается разница между конструкционным и неконструкционным соединениями?
ТЕМА 4. СОЕДИНЕНИЯ
Лекция № 13. Резьбовые соединения (РС)
Вопросы, изложенные в лекции:
1. Геометрия и кинематика РС.
2. Силы в РС, передача энергии, стопорение РС.
3. Прочностной расчёт РС.
|
Геометрия и кинематика РС. |
При создании и обслуживании современной техники невозможно обойтись только неразъёмными соединениями. Необходимость разборки механизмов при ремонте и обслуживании (замена масла, контроль износа и пр.) обусловливает применение таких неподвижных соединений, которые могли бы нормально выполнять заданные функции после неоднократной разборки и сборки. Одной из разновидностей таких соединений являются резьбовые соединения.
Резьбовые соединения это разборные соединения с применением резьбовых крепёжных деталей (винтов, болтов, шпилек, гаек) или резьбовых элементов, выполненных непосредственно на соединяемых деталях.
Основным признаком резьбового соединения является наличие резьбы хотя бы на некоторых из деталей, входящих в соединение. Резьбой называют совокупность чередующихся выступов и впадин определённого профиля, расположенных по винтовой линии на поверхности тела вращения (обычно цилиндра или конуса).
|
Рис. 13.1. Образование винтовой линии (а) и треугольной резьбы (б). |
Винтовую линию, например, образует гипотенуза плоского прямоугольного треугольника при его навёртывании на прямой круговой цилиндр. Если длина окружности основания цилиндра равна длине катета, служащего основанием треугольника (рис. 13.1, а), то точки А и В на цилиндре лягут на одну общую для них прямую, параллельную оси цилиндра. При этом угол между гипотенузой и катетом-основанием называют углом подъёма винтовой линии, а величину катета, параллельного оси вращения цилиндра, pb ходом винтовой линии.
Резьба образуется посредством перемещения по этой винтовой линии какой-либо плоской фигуры так, чтобы плоскость этой фигуры при любом её положении совпадала с плоскостью, в которой лежит ось вращения (рис. 13.1, б).
Резьбовые соединения находят самое широкое применение в различных областях техники. В современных машинах количество резьбовых деталей, как правило, численно превышает количество нерезьбовых деталей ( 60 % общего числа деталей). Широкая распространённость резьбовых соединений обусловлена их достоинствами.
Достоинства резьбовых соединений:
1. возможность создания больших осевых нагрузок при относительно низких усилиях на инструменте (ключе);
2. возможность фиксации в затянутом состоянии вследствие эффекта самоторможения;
3. удобство сборки и разборки с применением стандартного набора инструментов (ключи, отвёртки);
4. простота конструкции и возможность точного изготовления;
5. наличие широкой номенклатуры стандартных изделий (винты, болты гайки);
6. низкая стоимость крепёжных изделий благодаря массовости и высокой степени автоматизации производства;
7. малые габариты в сравнении с соединяемыми деталями.
Недостатки резьбовых соединений:
1. высокая концентрация напряжения в дне резьбовой канавки вследствие малых радиусов скругления;
2. значительные энергопотери в подвижных резьбовых соединениях (низкий коэффициент полезного действия);
3. большая неравномерность распределения нагрузки по виткам резьбы (первый виток воспринимает, как правило, до 55% приложенной к соединению осевой нагрузки);
4. склонность к самоотвинчнванию при воздействии знакопеременных осевых нагрузок;
5. ослабление соединения и быстрый износ резьбы при частых разборках и сборках.
Большое разнообразие функций, для выполнения которых предназначены те или иные резьбовые соединения, явилось причиной и большой номенклатуры применяемых резьб. Поэтому классификация резьбовых соединений фактически является классификацией резьбы, использованной в соединениях.
Классификация резьб:
5. по эксплуатационному назначению крепёжная, крепёжно-уплотняющая, ходовая (для преобразования движения), специальная (например, ниппельная);
6. по форме поверхности, несущей резьбу цилиндрическая и коническая;
|
Рис. 13.2. различные профили резьб: а треугольный; б трапециедальный; в упорный; г прямоугольный; д круглый. |
7. по форме профиля резьбы в поперечном сечении нарезки (рис. 13.2) треугольная, трапецеидальная, упорная, прямоугольная, круглая;
8. по расположению наружная и внутренняя;
9. по величине шага нарезки нормальная (с крупным шагом нарезки) и мелкая (с уменьшенным шагом нарезки);
10. по направлению нарезки правая (применяется чаще) и левая;
11. по числу заходов (по количеству параллельных гребешков движущихся вдоль одной и той же винтовой линии) одно-, двух-, трёх-, и т.д., многозаходная;
12. по исходной метрической системе метрическая и дюймовая.
|
Рис. 13.3. Профиль нарезки метрической резьбы. |
Наиболее распространены во всех областях хозяйства крепёжные цилиндрические правые резьбы с треугольным профилем нарезки и нормальным шагом. В особых случаях применяются резьбовые детали с левой нарезкой (например, резьбовое соединение оси левой педали велосипеда с шатуном). В большинстве стран, пользующихся метрической системой мер, применяется метрическая резьба с углом профиля 60 (рис. 13.3). Далее, если это не будет оговорено особо, основные рассуждения будут касаться именно этой резьбы.
Дюймовая крепёжная резьба в странах использующих метрическую систему мер применяется только при ремонте импортных машин, поступающих из стран, использующих дюймовую систему мер. Профиль дюймовой резьбы в диаметральном сечении имеет вид равнобедренного треугольника с углом при вершине = 55. Вместо шага для этой резьбы задаётся число витков резьбы в одном дюйме (1 дюйм = 25,4 мм) длины нарезки (количество ниток на дюйм).
|
Рис. 13.4. Профиль нарезки трубной резьбы. |
Трубная резьба относится к прочно-плотным резьбам. Профиль трубной резьбы равнобедренный треугольник с углом при вершине = 55 и скруглёнными вершинами и впадинами (рис. 13.4). Трубная резьба относится к дюймовым резьбам и обозначается в дюймах по условному диаметру внутреннего прохода трубы (Dу = 1/4''; 1/2''; 3/4''; 1''; и т.д.). Шаг трубной резьбы обозначается числом витков (ниток резьбы) на один дюйм. С целью максимального сохранения толщины стенок трубы трубная резьба выполняется «мелкой», то есть с уменьшенными шагами. Этот вид резьбы находит широкое применение при создании бытовых водопроводных и отопительных систем.
Коническая дюймовая резьба (угол профиля 60, конусность 1:16) обеспечивает герметичное соединение без применения дополнительных уплотняющих материалов при более равномерном в сравнении с другими резьбами распределении нагрузки по виткам, позволяет компенсировать износ нарезки за счёт затяжки при завинчивании. Детали с конической резьбой широко применяются в гидравлических и смазочных системах. Резьбовые соединения с этой резьбой выдерживают без потери герметичности давление до нескольких десятков МПа.
В механизмах преобразования движения широко применяются подвижные резьбовые соединения. Для подвижных соединений предназначены:трапецеидальная, упорная и прямоугольная резьбы.
|
Рис. 13.5. Профиль нарезки трапецеидальной резьбы. |
Трапецеидальная резьба (рис. 13.5) стандартизована и имеет угол профиля нарезки 30. Резьба широко используется для подвижных соединений, работающих в обе стороны под одинаковой нагрузкой.
|
Рис. 13.6. Профиль нарезки упорной резьбы. |
Упорная резьба (рис. 13.6) также стандартизована, а её нарезка имеет несимметричный профиль: угол наклона упорной поверхности в диаметральном сечении составляет 3, а свободной, не воспринимающей рабочую нагрузку 30. Этот вид резьбы предназначен для тяжело нагруженных ходовых винтов, работающих преимущественно при односторонней нагрузке.
|
Рис. 13.7. Профиль нарезки прямоугольной резьбы. |
Прямоугольная резьба (рис. 13.7) в сечении имеет форму прямоугольника. Эта резьба не стандартизована, легко изготавливается на токарно-винторезных станках, но неудобна для массового производства. Углы во впадинах являются сильными концентраторами напряжений, что резко снижает усталостную прочность винта. По этой причине резьба применяется ограниченно в малонагруженных передачах.
|
Рис. 13.8. Профиль нарезки круглой резьбы. |
Круглая резьба (рис. 13.8) имеет профиль, состоящий из дуг окружности, соединённых короткими прямолинейными отрезками, угол между которыми составляет 30. Винты с такой резьбой обладают высокой усталостной прочностью. Кроме того, данная резьба высокотехнологична при изготовлении без снятия стружки (отливка, прессование, накатка, выдавливание из тонкого листа). Резьба стандартизована.
Основными геометрическими параметрами метрической цилиндрической резьбы являются:
d номинальный диаметр резьбы (наружный диаметр болта или винта), этот диаметр входит в обозначение резьбы и во всех документах указывается в миллиметрах, например, М5, М8, М24 (буква М указывает, что резьба метрическая);
d1 внутренний диаметр резьбы гайки диаметр цилиндра, касающегося вершин гребней резьбы в гайке;
d3 внутренний диаметр резьбы винта диаметр цилиндра, касающегося дна впадин между гребнями резьбы;
d2 средний диаметр резьбы диаметр цилиндра, на котором толщина выступов резьбы равна ширине впадин между ними;
p шаг резьбы расстояние между одноимёнными точками двух соседних гребней резьбы;
ph ход резьбы расстояние между одноимёнными точками двух соседних гребней резьбы, принадлежащих одному гребню нарезки;
угол профиля резьбы;
угол подъёма резьбы угол подъёма винтовой линии, по которой нарезается резьба (см. рис. 13.1, а).
Между геометрическими параметрами метрической резьбы нетрудно выявить ряд соотношений. Так ход резьбы
, (13.1)
где z число заходов резьбы количество параллельных гребешков образованных по общей винтовой линии.
Для угла подъёма резьбы получаем
. (13.2)
Из последней формулы следует, что с увеличением числа заходов резьбы возрастает и угол её подъёма.
Теоретическая высота гребней метрической резьбы (как высота равностороннего треугольника) составляет
. (13.3)
Учитывая соотношения, представленные на рис. 13.3, получаем, что внутренний диаметр резьбы в гайке
. (13.4)
Для нормальных (с крупными шагами) метрических резьб, диаметры которых лежат в интервале
мм, с достаточной для практики точностью (не хуже 1,8%) этот диаметр можно вычислить по эмпирической формуле
. (13.5)
В механизмах для преобразования вращательного движения в поступательное (рулевые механизмы тяжёлых автомобилей, винтовые прессы и домкраты, ходовые винты токарно-винторезных станков и т.п.) важным кинематическим параметром является передаточное число, которое при условии, что винт является ведущим и совершает вращательное движение, а гайка ведомой и совершает поступательное движение, по определению может быть представлено, как
(передаточное число в этом случае величина размерная, а его размерность в системе СИ м-1). Через геометрические параметры винтовой пары передаточное число такого механизма может быть представлено, как
; (13.6)
где средний диаметр резьбы d2 должен быть выражен в мм.
|
Силы в РС, передача энергии, стопорение РС. |
|
Рис. 13.9. Силы в винтовой кинематической паре |
|
Рис. 13.10. Силы на витках резьбы при =0: а) прямоугольная резьба; б) треугольная резьба. |
Силовые взаимодействия в винтовой кинематической паре аналогичны таковым в системе тела, движущегося по наклонной плоскости (рис. 13.9). Предположим, что винт вращается по часовой стрелке, если смотреть на его верхний торец, а гайка, на которую действует осевая сила F, удерживается от проворота тангенциальной силой Ft. С целью упрощения картины сил развернём виток резьбы винта в неподвижную наклонную плоскость, а виток резьбы гайки заменим ползуном, движущимся аналогично движению гайки вправо и вверх по наклонной плоскости со скоростью
. В этом случае со стороны наклонной плоскости на ползун действует опорная реакция R, которая складывается из нормальной составляющей Nи силы трения Rf, которая в свою очередь связана с силой нормального давления известным соотношением
. Тогда для соблюдения условия равновесия необходимо, чтобы
. (13.7)
В резьбах, имеющих треугольный или трапециедальный профиль, опорная поверхность витка имеет кроме представленного угла наклона в тангенциальном направлении дополнительный угол наклона /2 в плоскости продольного диаметрального сечения (рис. 13.10). Влияние этого угла учитывается использованием приведённого коэффициента трения
(13.8)
вместо действительного коэффициента трения f и, соответственно, приведённого угла трения
. Сравнение приведённого коэффициента трения в резьбе с истинным представлено в таблице 13.1.
Таким образом из таблицы видно, что с точки зрения удержания резьбового соединения в затянутом положении наиболее надёжной является метрическая резьба, а с точки зрения минимальных потерь энергии в подвижных винтовых кинематических парах наилучшей является прямоугольная резьба. Упорная резьба при работе передней гранью в этом смысле мало уступает прямоугольной, но она существенно прочнее прямоугольной и потому её применение предпочтительнее при односторонней нагрузке.
|
Таблица 13.1. Влияние профильного угла резьбы /2 на величину приведённых коэффициента и угла трения. Резьба /2, град. Приведённые показатели Относительный коэффициент трения f'/f Приведённый угол трения , градус., при фактическом = 6 Прямоугольная 0 1,000 6,00 Метрическая 30 1,155 6,92 Дюймовая 27,5 1,127 6,76 Трапецеидальная 15 1,035 6,21 Упорная, передняя грань 3 1,001 6,006 задняя грань 30 1,155 6,92 Круглая 15 1,035 6,21 |
В винтовой паре основной критерий качества передачи энергии коэффициент полезного действия (КПД) в отличие от большинства передач различается в зависимости от того, какое движение является ведущим. Так, если ведущим является вращательное движение вращающийся винт сообщает поступательное движение невращающейся гайке, или, например, вращением гайки при затяжке соединения ей сообщается поступательное движение, КПД определяется соотношением
. (13.9)
Если же ведущим становится поступательное движение, например, при попытке вращать винт посредством перемещения вдоль его оси, закреплённой от проворота гайки (как в механизме самовращающей отвёртки), то КПД
. (13.10)
В последнем выражении при углах подъёма равных или меньших чем приведённый угол трения числитель становится равным нулю или даже отрицательным, что является сигналом невозможности передачи энергии, а, значит, и движения в данном направлении. Следовательно, крепёжные резьбы с точки зрения стопорения от самоотвинчивания предпочтительно выполнять с мелкими шагами, обеспечивая тем самым наименьший угол подъёма резьбы.
Однако, даже мелкие резьбы под действием вибрационных и ударных нагрузок склонны к постепенному ослаблению и развинчиванию. В этих условиях необходимо применять дополнительные средства, предотвращающие самоотвинчивание резьбовых соединений. Известно множество приёмов борьбы с самоотвинчиванием резьбовых соединений. Применение любого из таких приёмов и называют стопорением резьбового соединения. Все способы стопорения можно разделить на 3 категории:
1. создание повышенных сил трения в резьбе между винтом и гайкой (пружинные шайбы, гайки с контргайками, предварительно обжатые гайки, гайки с пластмассовой вставкой, свинчивание на краску или клей и т.п.);
|
Рис. 13.11. Некоторые способы стопорения резьбовых соединений: а)установкой пружинной шайбы; б) пружинная шайба в свободном состоянии; в) коронная гайка со шплинтом; г) отгибная шайба с усом;д) обвязка болтов проволокой; е) раклёпывание выступающего конца болта; ж) кернение в резьбу; з) прихватка сваркой в резьбу. |
2. жёсткая взаимная фиксация свинченных деталей друг относительно друга (шплинты и корончатые гайки, обвязка проволокой, отгибные шайбы с усиками, пружинные кольца с усом, кернение в резьбу, обварка в резьбу и т.п.);
3. фиксация резьбовых деталей относительно скрепляемых деталей (отгибные шайбы на корпус, закрепление головки болта в канавке корпуса или фланца, прихватка к корпусу или фланцу сваркой и т.п.).
Некоторые, достаточно распространённые, способы стопорения резьбовых соединений представлены на рис. 13.11.
|
Прочностной расчёт РС. |
Для изготовления крепёжных резьбовых деталей используются самые различные материалы, чаще всего цветные (алюминий, медь, титан и их сплавы) и чёрные металлы (углеродистые и легированные стали). Тем не менее, основная масса потребляемых промышленностью резьбовых изделий изготавливается из сталей. При этом крепёж, изготовленный из разных сталей, может иметь одинаковые прочностные характеристики, а детали, изготовленные из одной и той же стали, но получившие разную термообработку, могут значительно различаться по своим прочностным характеристикам. Отсюда следует, что при заказе стандартных резьбовых деталей недостаточно указать материал, из которого они должны быть изготовлены, но ещё необходимо показать требуемые прочностные характеристики материала заказываемых деталей. Обозначение прочностных характеристик крепёжных резьбовых деталей стандартизовано и представлено 12-ю классами прочности. Оно состоит из двух цифр, разделённых точкой (в некоторых документах точка не ставится): первая цифра представляет предел прочности материала, выраженный в МПа и поделённый на 100; вторая цифра (стоящая после точки) равна отношению предела текучести материала к его пределу прочности умноженному на 10. В стандарте представлены следующие классы прочности: 3.6; 4.6; 4.8; 5.6; 5.8; 6.6; 6.8; 6.9; 8.8; 10.9; 12.9; 14.9. Учитывая изложенное, обозначение, например, стандартного болта в спецификации к сборочному чертежу будет выглядеть следующим образом: Болт М10-6g100.58.ГОСТ 7798-70. Если при этом от материала требуются особые свойства, то в обозначение дополнительно вводится и марка стали, например, при требовании повышенной кислотостойкости болта представленное обозначение будет таким: Болт М10-6g100.58-4Х13. ГОСТ 7798-70.
При затяжке резьбового соединения и в процессе его последующей работы в деталях соединения действуют самые разнообразные напряжения. Так, например, под действием осевой силы в болтовом соединении сечение тела болта нагружено растягивающими напряжениями, в переходной области между телом и головкой возникают касательные напряжения, а в витках резьбы напряжения изгиба, смятия и среза одновременно. Таким образом, прочность элементов резьбового соединения является основным критерием работоспособности. Наиболее частым является обрыв тела винта в области первых одного-двух витков резьбы, считая от опорного торца гайки. У соединений с мелкими резьбами возможен срез витков резьбы.
|
Рис. 13.12. Болтовое соединение, нагруженное растягивающей силой. |
|
Рис. 13.13. Болтовое соединение, нагруженное поперечной силой. |
Стандартные болты, винты шпильки, гайки с крупными шагами спроектированы по условиям равнопрочности, то есть таким образом, что разрушение по любому из видов напряжений может произойти приметно при одной и той же нагрузке на соединение. Это условие позволяет выполнять предварительный (проектный) расчёт соединения в упрощенном варианте. Наиболее часто встречаются три простейшие статически определимые конструктивные схемы (рис. 13.12…13.14). Для схемы (рис. 13.12) с растягивающей рабочей нагрузкой приложенной вдоль продольной оси стержня винта (болта, шпильки) диаметр резьбового стержня по заданному внешнему усилию выбирают по формуле
; (13.11)
где F0 усилие воспринимаемое (передаваемое) резьбовым соединением, d1 внутренний диаметр резьбовой части стержня,
- допускаемые напряжения для материала стержня при растяжении. Допускаемые напряжения на растяжение для разных сталей принимают в соответствии с табл. 13.2.
|
Таблица 13.2 Отношение []р/Т для болтов резьбовых соединений Сталь При постоянной нагрузке и диаметре резьбы, мм При отнулевой нагрузке и диаметре резьбы, мм Св. 6 до 16 Св. 16 до 30 Св. 6 до 16 Св. 16 до 30 Углеродистая 0,20… 0,25 0,25…0,40 0,08…0,12 0,12 Легированная 0,15…0,20 0,20…0,30 0,10…0,15 0,15 |
Используя таблицы стандартных резьб по данному внутреннему диаметру и выбранному шагу резьбы можно подобрать необходимый диаметр стержня. Для стержня с крупной резьбой, обращая формулу 13.5, получаем

(13.12)
с последующим округлением результат до ближайшего большего стандартного значения.
Если болт поставлен в отверстие с зазором (рис. 13.13) и должен удерживать скрепляемые детали от взаимного поперечного смещения за счёт сил трения, то в этом случае диаметр болта подбирается по формуле
. (13.13)
Далее диаметр стержня болта, винта или шпильки определяется аналогично предыдущему варианту. Значение коэффициента трения в формуле (13.13) зависит от множества разных факторов и может меняться в широких пределах (0,06…0,3).
|
Рис. 13.14. Соединение деталей призонным болтом, нагруженное поперечной силой. |
Возможен и другой вид соединения, когда специальный болт с тщательно обработанной (обычно шлифованной) цилиндрической либо конической поверхностью вставляется в отверстие в скрепляемых деталях без зазора (рис. 13.14) или даже с небольшим натягом. Такой болт называют призонным. В этом случае тело болта нагружается перерезывающей силой, и диаметр призонной части болта определяется из расчёта на срез
; (13.14)
где z число плоскостей среза; [] (0,2…0,3)Т допускаемые напряжения материала болта на срез. За диаметр резьбовой части болта принимают ближайший стандартный диаметр резьбы, меньший диаметра цилиндрической части.
Более сложными расчетными схемами резьбовых соединений являются статически неопределимые схемы. В таких схемах долю нагрузки, приходящейся на каждый болт (винт, шпильку), определить непосредственно из уравнений статики (уравнений равновесия) не представляется возможным. Расчёт таких резьбовых соединений выполняется с учётом дополнительных условий, наиболее часто таким дополнительным условием является условие совместности деформаций, учитывающее как деформацию резьбовых деталей соединения, так и деформацию соединяемых деталей. Наиболее часто встречающимися задачами такого рода можно считать задачи:
1. расчет группового соединения, воспринимающего моментную нагрузку;
2. проверка способности соединения воспринимать переменную нагрузку;
3. проверка соединения на нераскрытие стыка;
4. проверка соединения на восприятие температурной нагрузки.
|
Рис. 13.15. Болтовое соединение корпуса и крышки ресивера |
В качестве примера рассмотрим расчет стыкового соединения крышки с корпусом ресивера (рис.13.15).
При сборке соединения гайка затягивается, и каждый из болтов нагружается усилием предварительной затяжки F0. Под воздействием этого усилия болт получает удлинение lБ=F0б, а стягиваемые детали сжимаются, получая укорочение lд=F0д, где б и д податливость[6] болта и стягиваемых деталей, соответственно.
При поступлении в ресивер газа под давлением последнее стремится оторвать крышку от цилиндра ресивера, дополнительно нагружая болты резьбового соединения и одновременно разгружая сжатые при затяжке болтов детали. Величина приходящейся на каждый болт нагрузки найдётся из соотношения
; (13.15)
где D внутренний диаметр ресивера; pг давление газа в ресивере; z число болтов, крепящих крышку ресивера. Под действием этого усилия болт получит дополнительное удлинение l, а так как сжимаемые детали и болт с гайкой находятся в непосредственном контакте, то на эту же величину возрастёт длина сжатых деталей, напряжения сжатия в которых за счёт этого уменьшатся. Если долю рабочей нагрузки, затраченную на удлинение болта обозначить (читается «хи»), то на удлинение сжатых деталей будет затрачена (1-) часть рабочей нагрузки. Условие совместности деформации в этом случае запишется как
; (13.16)
где l удлинение болта равное удлинению стягиваемых деталей; б податливость болта; д податливость соединяемых деталей. Для болта
; (13.17)
где lб длина болта; Aб площадь его поперечного сечения; E модуль упругости материала болта. Податливость стягиваемых болтом деталей подсчитывается более сложным образом и зависит от многих факторов, методика её вычисления имеется в специализированной литературе и здесь не рассматривается.
Из равенства (13.16) получаем
. (13.18)
Полная нагрузка на болт в этом случае
. (13.19)
Анализируя (13.18) и (13.19), видим, что чем выше податливость болта, тем меньшая доля рабочей нагрузки приходится непосредственно на болт.
При приближённых расчётах принимают:
для стальных и чугунных деталей, стягиваемых без прокладки, =0,2…0,3;
для таких же деталей, но при наличии между ними упругой прокладки, (паронит, картон, тонкая резина и т.п.) =0,4…0,5.
Условие совместности деформации для болтового соединения будет соблюдаться до тех пор, пока удлинение сжатых деталей, вызванное рабочей нагрузкой, не сравняется с величиной их укорочения, созданного при предварительной затяжке резьбы, то есть до момента, когда
. (13.20)
При превышении рабочей нагрузкой предельного значения, полученного в (13.20), крышка ресивера отойдёт от фланца корпуса (освободит прокладку) и между стягиваемым деталями появится зазор, то есть произойдёт раскрытие стыка и нарушится плотность соединения крышки с корпусом.
Из последнего равенства следует, что предварительная затяжка болтового соединения должна быть не меньше части рабочей нагрузки, приходящейся на болт в процессе его работы, то есть
. (13.21)
В практических расчетах с целью обеспечения нераскрытия стыка принимают
; (13.22)
где Kзат коэффициент запаса затяжки болтового соединения: при статической нагрузке Kзат = 1,25…2,0, при меняющейся нагрузке Kзат = 2,5…4,0.
В качестве расчётной нагрузки болта с учётом напряжений кручения, возникающих при затяжке соединения, принимается
, (13.23)
или с учетом (13.22)
, (13.24)
При действии переменной нагрузки, изменяющейся от нуля до Fmax, нагрузка на болт будет меняться от наименьшей нагрузки, равной F0, до её максимальной величины, равной
. Следовательно, средние напряжения, действующие в теле болта, будут
, (13.25)
а амплитудное их отклонение от среднего
. (13.26)
Зная средние и амплитудные значения напряжений в теле болта, проверяют запас прочности по усталости
; (13.27)
где S фактический коэффициент запаса прочности по усталостному разрушению; [S] нормативный коэффициент запаса прочности по усталостному разрушению; Ka эффективный коэффициент концентрации напряжений в резьбе; 0,1 коэффициент чувствительности к асимметрии цикла напряжений. Для углеродистых сталей рекомендуется принимать
, а для легированных
.
Кроме того, оценивается запас прочности по максимальному напряжению
; (13.28)
где SТ фактический коэффициент запаса прочности по максимальным напряжениям; [S]Т нормативный коэффициент запаса прочности по максимальным напряжениям; Т предел текучести материала болта. При контролируемой затяжке принимается
, большие величины для меньших диаметров болтов.
Сборка резьбовых соединений производится при нормальной температуре, однако рабочая температура соединения зачастую существенно превышает нормальную. Пример: крепление с помощью резьбовых шпилек головки к блоку цилиндров двигателя внутреннего сгорания. Во многих случаях, как, например, в большинстве двигателей армейских машин, блок цилиндров и его головка выполняются из лёгких сплавов на основе алюминия, а соединяются между собой посредством стальных шпилек. Но алюминиевые сплавы и стали имеют существенно (примерно в 2 раза) различные коэффициенты линейного термического расширения. Нагревание такого соединения создаёт в его элементах дополнительные нагрузки, которые, суммируясь с усилиями предварительной затяжки, могут привести к разрушению элементов соединения или другим неприятным последствиям (заклинивание резьбы, смятие опорных поверхностей, вытяжение шпилек и т.п.).
При повышении температуры на tC болт (шпилька) и соединяемые детали в свободном состоянии должны получить удлинение
; (13.29)
где tб и tд свободное температурное удлинение болта и соединяемых деталей, соответственно; б и i коэффициенты линейного теплового расширения болта и каждой из соединяемых деталей, соответственно; lб длина болта; hi толщина каждой из отдельных деталей, входящих в соединение; причём lб=hi.
Но в результате совместной деформации при нагревании в соединении появляется температурная нагрузка (сила), которая сообщает болту дополнительное удлинение, а стягиваемым деталям укорочение (отрицательное удлинение)
; (13.30)
где Ft усилие в соединении, возникшее в связи с его нагреванием; tб и tд дополнительная деформация от действия Ft болта и соединяемых деталей, соответственно; б и д податливость болта и суммарная податливость соединяемых деталей.
Но в силу совместности деформации изменение длины болта и соединяемых деталей одинаковы, то есть tб+Fб=tд+Fд, или в развёрнутом виде
. (13.31)
Из последнего выражения находим дополнительную нагрузку на соединение, вызванную его нагреванием,
. (13.32)
Разделив Ft на площадь поперечного сечения болта, получим величину температурных напряжений, которые суммируются с рабочими напряжениями.
В настоящем лекционном курсе невозможно и нерационально пытаться рассмотреть все варианты группового расчета резьбовых соединений. При проектировании технических устройств и систем могут встретиться различные схемы резьбовых соединений, требующие для расчета использования методики совместности деформаций. Варианты расчета таких систем можно найти в специализированной литературе.
|
Вопросы для самоконтроля: |
1. Для чего нужны резьбовые соединения в технических объектах?
2. Какое соединение называют резьбовым, по каким признакам его можно отличить от других соединений?
3. Какими положительными качествами можно объяснить распространённость резьбовых соединений?
4. Влияние каких качеств резьбовых соединений желательно компенсировать при проектировании машин?
5. Назовите классификационные признаки резьбовых соединений.
6. Назовите типы резьб, применяемых в неподвижных соединениях.
7. Какие резьбы применяются в механизмах, преобразующих движение?
8. Как определить передаточное число винтового механизма, в чём заключается его особенность.
9. Покажите связь силовых параметров входного и выходного звеньев винтового механизма?
10. Почему в качестве крепёжной применяют треугольную резьбу, а не прямоугольную?
11. Какие параметры винтового механизма влияют на качество передачи энергии в процессе его работы?
12. Какое свойство резьбы называют самоторможением?
13. Почему необходимо стопорение крепёжных резьб?
14. Какие принципы используются при стопорении резьбовых соединений?
15. Для каких резьбовых изделий назначаются классы прочности, что входит в состав класса прочности?
16. Какие виды напряжений могут возникать в резьбовых соединениях?
17. Как подобрать болт для соединения, нагруженного растягивающей силой?
18. Как подобрать болт для соединения, нагруженного поперечной силой?
19. Назовите главный принцип, используемый при расчете статически неопределимых резьбовых соединений.
20. Почему при расчете статически неопределимых резьбовых систем проверяются коэффициенты запаса прочности?
ТЕМА 4. СОЕДИНЕНИЯ
Лекция № 14. Разъёмные соединения для передачи крутящего момента
Вопросы, изложенные в лекции:
1. Шпоночные соединения.
2. Шлицевые соединения.
3. Профильные, призматические и фрикционные соединения.
|
Шпоночные соединения. |
В предыдущей лекции были рассмотрены соединения, передающие (воспринимающие) главным образом силовые нагрузки. Для связи деталей, передающих крутящий момент, применяются другие неподвижные или подвижные разъёмные соединения: шпоночные, шлицевые,профильные, призматические и фрикционные.
Шпоночные соединения это разборные подвижные или неподвижные соединения двух деталей, с применением специальных закладных деталей шпонок.
Шпоночное соединение применяется, как правило, для подвижного или неподвижного соединения двух деталей (вала и ступицы) с целью предотвращения их относительного проворота при передаче крутящего момента. Иногда шпоночное соединение применяется для предотвращения относительного сдвига соединяемых плоских деталей, например, при защите стягивающих болтов от воздействия перерезывающей нагрузки. Плоские соединения в данной лекции не рассматриваются, поэтому в дальнейшем под понятием шпоночное соединение имеются в виду только соединения типа вал-ступица.
Классификация шпоночных соединений:
1) по степени подвижности:
1.1) подвижное
1.1.1) с направляющей шпонкой;
1.1.2) со скользящей шпонкой;
2.2) неподвижное;
2) по усилиям, действующим в соединении:
2.1) напряжённые, такие, в которых напряжения создаются при сборке и существуют независимо от наличия рабочей нагрузки, все напряжённые соединения являются неподвижными;
2.2) ненапряжённые, в которых напряжения возникают только при воздействии рабочей нагрузки;
3) по виду применяемых шпонок:
3.1) с призматической шпонкой, могут быть либо неподвижными, либо подвижными, скользящая и направляющая шпонки в подвижном соединении являются призматическими;
3.2) с сегментной шпонкой;
3.3) с цилиндрической шпонкой;
3.4) с клиновой шпонкой, соединение напряжённое;
3.5) с тангенциальной шпонкой, соединение напряжённое;
Достоинства шпоночных соединений:
1. простота и надёжность конструкции;
2. лёгкость сборки и разборки;
3. простота изготовления и низкая стоимость.
Недостатки шпоночных соединений:
1. ослабление сечений вала и ступицы шпоночным пазом;
2. высокая концентрация напряжений в углах шпоночного паза;
3. для большинства соединений децентровка (смещение оси ступицы относительно оси вала) на половину диаметрального зазора.
Для закладки шпонок соединяемые детали, вал и ступица должны иметь шпоночные канавки. Шпоночные канавки выполняются: на валу под сегментную шпонку дисковой шпоночной фрезой, под остальные виды шпонок, кроме цилиндрической, либо дисковой, либо концевой (торцовой, пальцевой) шпоночными фрезами; паз в ступице выполняется либо протягиванием (инструмент шпоночная протяжка, точность и качество изготовления паза высокие) либо долблением (точность на 1…2 квалитета ниже, чем при протягивании). Поэтому протягивание применяют в массовом и крупносерийном производстве, долбление в индивидуальном, поскольку оно не требует специализированного инструмента (протяжки).
Шпонки в своём большинстве изготавливаются из качественных среднеуглеродистых сталей 45, 50, 55. В некоторых случаях для изготовления особо ответственных шпонок используются легированные стали 40Х, 40ХН, 25ХГС и некоторые другие. С целью повышения прочности шпонок заготовки для их изготовления подвергаются улучшающей термической обработке. Однако твердость поверхности шпонок должна быть ниже таковой для соединяемых деталей.
|
Рис. 14.1. Неподвижное соединение призматической шпонкой. |
В производстве машин наиболее широкое применение находят призматические шпонки. Призматические шпонки применяются трёх видов: закладные (рис. 14.1), направляющие (рис. 14.2, а) и скользящие (рис. 14.2, б). По форме исполнения торцов призматические шпонки бывают с двумя закруглёнными торцами (рис. 14.1; 14.2), с одним закруглённым и другим прямым торцами и с двумя прямыми торцами.
Закладные шпонки применяются в неподвижных соединениях (ступица неподвижна относительно вала; рис. 14.1), направляющие и скользящие шпонки в подвижных. Направляющая шпонка (рис. 14.2, а) крепится в пазу вала, а вращающаяся вместе с валом и имеющая возможность скольжения вдоль его продольной оси ступица при движении скользит стенками своего паза по закреплённой на валу шпонке. Скользящая шпонка (рис. 14.2, б) закрепляется неподвижно в пазу ступицы и при движении последней скользит в пазу вала.
|
Рис. 14.2. Подвижные соединения призматической шпонкой: а) направляющая шпонка; б) скользящая шпонка. |
Поперечные размеры призматических шпонок стандартизованы для различных диаметров валов. В поперечном сечении призматические шпонки имеют форму прямоугольника с отношением высоты к ширине h/b = 1:1…1:2. В зависимости от диаметра вала ширина шпонки (в номинальном значении равная ширине пазов вала и ступицы)b (0,2…0,3)d, где d - диаметр вала, причём, чем больше диаметр вала, тем меньше отношение b/d. Глубина шпоночного паза на валу обычно составляет t1=0,6h, а глубина паза ступицы t2=0,5h, таким образом, радиальный зазор между дном паза ступицы и верхней гранью шпонки с=0,1h. Шпонка в паз вала устанавливается в большинстве случаев по более плотной посадке по сравнению с пазом ступицы.
Одним из главных недостатков призматических шпонок является необходимость их индивидуальной подгонки к размерам пазов вала и ступицы, то есть трудность обеспечения взаимозаменяемости, что ограничивает их применение в крупносерийном производстве.
В качестве другого недостатка следует назвать способность призматической шпонки к опрокидыванию в процессе износа и смятия боковых рабочих поверхностей, так как силы, действующие на шпонку, образуют моментную пару, а по высоте шпонки в пазу всегда имеется некоторый зазор.
|
Рис. 14.3. Соединение сегментной Шпонкой |
От последнего недостатка свободны сегментные шпонки, поскольку они существенно глубже сидят в пазу вала (рис. 14.3). Такое заглубление сегментной шпонки и её форма в виде сегмента прямого кругового цилиндра позволяет устанавливать шпонку в паз вала без натяга, что, в свою очередь, облегчает сборку соединения и обеспечивает выполнение условий взаимозаменяемости, то есть позволяет использовать шпонку без предварительной подгонки.
Недостатком сегментных шпонок является более сильное в сравнении с призматическими ослабление сечения вала. Поэтому сегментные шпонки применяются, как правило, на малонагруженных изгибающими моментами участках валов. Такими участками чаще всего являются концевые участки валов.
Сегментные шпонки так же, как и призматические, стандартизованы, причём в обоих случаях стандарт составлен так, что прочность шпонки на срез по границе прилегания вала и ступицы всегда выше прочности боковых поверхностей шпонок по напряжениям смятия. Это обусловливает главенство расчёта на смятие боковых поверхностей шпонки. Проверка призматических и сегментных шпонок на смятие выполняется по формуле
; (14.1)
где T передаваемый соединением крутящий момент; d диаметр вала; lр рабочая длина шпонки (без учета длины закруглённых торцов); h высота шпонки; t1 величина заглубления шпонки в паз вала.
В особо ответственных соединениях или при использовании нестандартных материалов для изготовления шпонки выполняется её проверочный расчёт на срез
; (14.2)
где l полная длина шпонки; b её ширина; остальные величины определены выше.
Шпоночные пазы ослабляют как поперечное сечение вала, так и продольное сечение ступицы. Поэтому внешний диаметр ступицы под шпоночное соединение необходимо несколько увеличивать. Для чугунных и стальных ступиц внешний диаметр может быть вычислен по эмпирическим формулам:
|
чугунная ступица |
|
(14.3) |
|
стальная ступица |
|
(14.4) |
где d диаметр сопрягаемого со ступицей вала.
|
Рис. 14.4. Соединение цилиндрической шпонкой. |
Цилиндрические шпонки по условиям изготовления и сборки соединения применяют на концевых участках валов (рис. 14.4). Шпонку в этом случае устанавливают с некоторым натягом. Гнездо под установку цилиндрической шпонки засверливают и развёртывают в соединяемых деталях совместно. Такая технология изготовления соединения требует, чтобы материалы вала и ступицы не сильно отличались по показателям прочности и твёрдости, с одной стороны, а с другой неудобна к применению в массовом производстве, поскольку не обеспечивает условий взаимозаменяемости. По этой причине в массовом производстве цилиндрические шпонки почти не применяются.
Цилиндрическая шпонка, выдерживающая в процессе работы соединения напряжения смятия, имеет, как правило, достаточную прочность и на срез. Поэтому подбор диаметра шпонки производят по напряжениям смятия
; (14.5)
где T передаваемый крутящий момент; а геометрические параметры соединения, входящие в формулу представлены на рис. 14.4.
Тангенциальные и клиновые шпонки применяются в напряжённых соединениях. Как тангенциальные, так и клиновые шпонки стандартизованы.
|
Рис. 14.5. Соединение тангенциальной шпонкой. |
Тангенциальная шпонка (рис. 14.5) состоит из двух деталей, каждая из которых выполнена в форме призматического клина с прямоугольным поперечным сечением. Уклон клина обычно составляет 1:100. Тангенциальные шпонки устанавливаются парами с углом между опорными поверхностями шпонок на валу 120…180.
Достоинства тангенциальных шпонок:
1. материал тангенциальной шпонки работает на сжатие[7];
2. более благоприятная форма шпоночного паза в отношении концентрации напряжений.
Недостатком тангенциальной шпонки можно считать её конструктивную сложность.
Тангенциальные шпонки наиболее широко применяются в тяжёлом машиностроении, для крупных валов, нагруженных переменными нагрузками (силами и моментами) большой интенсивности.
Клиновые шпонки (рис.14.6) передают момент посредством сил трения, возникающих при взаимодействии шпонки с поверхностями паза вала и паза ступицы, перпендикулярными радиусу (дном шпоночных пазов вала и ступицы). Уклон клина клиновых шпонок так же, как и у тангенциальных, составляет 1:100. При сборке соединения клиновая шпонка под нагрузкой, иногда ударами, загоняется в шпоночный паз, создавая в соединении предварительный натяг.
Преимущества клиновых шпонок:
1. не требуется дополнительных деталей, удерживающих ступицу от осевого перемещения;
2. соединение с клиновой шпонкой может выдерживать и небольшую (относительно крутящего момента) осевую нагрузку;
3. хорошо работают при действии переменных нагрузок.
|
Рис. 14.6. Соединение клиновой шпонкой: а) продольный разрез; б) напряжённое состояние после сборки; в) усилия в шпоночном пазе вала в процессе работы. |
Недостатки клиновых шпонок:
1. сильная децентровка ступицы относительно геометрической оси вала;
2. при малой длине ступицы возможен её значительный перекос и осевое биение обода закрепляемой детали (шкива, звёздочки, зубчатого колеса);
3. затруднена разборка при ремонте.
Соединение применяется для крепления шкивов и звёздочек на концевых участках валов.
Выбор допускаемых напряжений производится по материалу наименее прочной детали соединения, так при стальных соединяемых деталях, вале и ступице, наименее прочной является, как правило, шпонка, при ступице из лёгких алюминиевых сплавов последняя оказывается самой слабой деталью, и т.д. Допускаемые напряжения смятия определяются по выражению
; (14.6)
где [n] нормативный коэффициент запаса, назначаемый в зависимости от требований работоспособности и надёжности, предъявляемых к соединению. Обычно 1,5 [n] 2.
Так для призматических шпонок, выполненных из стали 45, при постоянной нагрузке и непрерывной работе соединения принимают []см = (50…70) МПа, при периодической работе соединения с 50 % загрузкой по времени []см = (130…180) МПа, при проверке соединения на работоспособность при предельных статических нагрузках (например, при запуске механизма) []см = 200 МПа. Для подвижных соединений с целью предупреждения образования задиров и заедания при осевом перемещении ступицы под нагрузкой допускаемые напряжения снижают ещё в 2…4 раза. При незакалённых поверхностях соединяемых деталей подвижного соединения принимают []см = (10…30) МПа.
|
Шлицевые соединения. |
Шлицевое (зубчатое, пазовое) соединение подвижное или неподвижное соединение двух соосных деталей, имеющих равномерно расположенные пазы и выступы (выступы одной детали входят в пазы другой).
|
Рис. 14.7. Шлицевое соединение: а) прямобочными шлицами; б)эвольвентными шлицами; в) треугольными шлицами; 1 вал, 2 ступица. |
Шлицевое соединение (рис. 14.7) конструктивно включает всего две детали: вал, несущий на своей цилиндрической поверхности продольные выступы определённой формы шлицы, и ступицу, в отверстии которой выполнены продольные пазы, соответствующие по конфигурации шлицам вала.
В шлицевых соединениях используются шлицы трёх разновидностей поперечного сечения: прямобочные (рис. 14.7, а), эвольвентные (рис. 14.7, б) итреугольные(рис. 14.7, в). Прямобочные шлицы в поперечном сечении имеют боковые стенки в виде прямой линии, боковая поверхность эвольвентных шлицов в поперечном сечении образует эвольвенту, а треугольные шлицы в поперечном сечении имеют форму треугольника со срезанной вершиной.
По направлению продольной оси шлицы бывают: прямолинейные, продольная ось которых направлена вдоль образующей несущего цилиндра, и винтовые, имеющие продольную ось, направленную по винтовой линии под некоторым углом к образующей несущего цилиндра.
Шлицевые соединения находят самое широкое применение, как в общемашиностроительных конструкциях (станки, транспортные и транспортирующие машины, грузоподъёмные устройства и т.п.), так и в машинах армейского применения (военные автомобили, гусеничные и колёсные многоцелевые и специальные машины, летательные машины и т.п.). Широкое применение шлицевых соединений обусловлено их преимуществами перед шпоночным.
Преимущества шлицевого соединения:
1. высокая нагрузочная способность;
2. меньшая концентрация напряжений в материале вала и ступицы;
3. лучшее центрирование соединяемых деталей и более точное направление при осевых перемещениях;
4. высокая надёжность при динамических и реверсивных нагрузках;
5. минимальное число деталей, участвующих в соединении.
Недостатком шлицевого соединения является относительно высокая стоимость и трудоёмкость изготовления.
Шлицевые валы изготавливаются в массовом производстве по технологии, аналогичной технологии изготовления зубчатых колёс (метод обкатки, способ нарезание посредством червячных фрез), в штучном и мелкосерийном производстве используется метод копирования (требует наличия специального инструмента), а в случае отсутствия специнструмента валы изготавливаются методом фрезерования на универсальных фрезерных станках. Возможно также изготовление таких валов на обрабатывающих центрах с числовым программным управлением.
Шлицевые пазы в отверстиях ступиц при массовом производстве изготавливаются методом протягивания (инструмент протяжка) или долблением специальными долбяками. В штучном производстве изготовление ведётся только долблением.
Прямобочные и эвольвентные шлицевые соединения стандартизованы. Прямобочные шлицевые соединения выполняются с числом шлицов 6 z 20 для диаметров валов 14 d 125 мм; эвольвентные 6 z 82 для валов диаметром 4 d 500 мм. Стандартом для прямобочных шлицов предусмотрены 3 серии соединений: лёгкая, средняя и тяжёлая, предназначенные для восприятия нагрузки разной интенсивности.
|
Рис. 14.8. Типы и центрирование зубчатых соединений: прямобочные а) по боковым поверхностям b; б) по наружному диаметру D; в) по внутреннему диаметру d; эвольвентные г) по боковым поверхностям; д) по наружному диаметру; треугольные е) центрируются только по боковым поверхностям. |
Центрирование вала и ступицы в шлицевых соединениях может выполняться тремя способами:
1. по боковым поверхностям шлицов;
2. по внешнему (наружному) диаметру (диаметру вершин шлицов);
3. по внутреннему диаметру (по дну впадин между шлицами).
В прямобочных шлицевых соединениях используют любой из трёх названных способов центрирования (рис. 14.8, а, б, в), в эвольвентных только два, по боковым поверхностям или по наружному диаметру (рис. 14.8, г, д), в соединениях с треугольными шлицами применим только способ центрирования по боковым поверхностям (рис. 14.8, е).
Центрирование по боковым поверхностям зубьев обеспечивает более равномерное распределение нагрузки, но хуже центрирует соединение. При наличии радиальной нагрузки происходит смещение зубцов относительно впадин, что ведёт к быстрому износу соединения вследствие возникновения фриттинг-коррозии. Этот вид центрирования наиболее выгоден для соединений подверженных действию реверсивных и неравномерных (особенно ударных) нагрузок при относительно невысоких скоростях вращения.
Центрирование по диаметрам, наружному или внутреннему обеспечивает более высокую соосность вала и ступицы. Выбор в качестве центрирующего внутреннего или наружного диаметра определяется технологическими требованиями. При относительно невысокой твёрдости ступицы (350 HB или 38 HRC) центрирование лучше выполнять по наружному диаметру (80 % прямобочных шлицевых соединений). В этом случае вал шлифуется по внешнему диаметру, а шлицевое отверстие ступицы выполняют протягиванием. При более высоких значениях твёрдости ступицы центрировать соединение предпочтительно по внутреннему диаметру. В этом варианте центрирования внутренний диаметр ступицы и вала шлифуется, но шлифование выполняют на разных станках: ступицу шлифуют на внутришлифовальном, а вал на шлицешлифовальном.
Обозначение прямобочного шлицевого соединения в документации включает параметры:
|
№ позиции |
Параметр |
|
1. |
Поверхность центрирования: D наружный диаметр; d внутренний диаметр; b боковая поверхность; (разделитель позиций тире). |
|
2. |
Число шлицов (разделитель позиций знак умножения). |
|
3. |
Внутренний диаметр |
|
4. |
Посадка по внутреннему диаметру (разделитель позиций знак умножения). |
|
5. |
Наружный диаметр |
|
6. |
Посадка по наружному диаметру (разделитель позиций знак умножения). |
|
7. |
Ширина шлица (зуба на валу). |
|
8. |
Посадка по ширине шлица. |
|
9. |
Стандарт, регламентирующий параметры соединения. |
Пример обозначения прямобочного шлицевого соединения с указанием позиций:
|
№ позиции |
1 |
2 |
3 |
4 |
5 |
6 |
7 |
8 |
9 |
|
Обозначение |
D - |
8 |
36 |
H11/a11 |
40 |
H7/js6 |
6 |
F8/f8 |
ГОСТ 1139-80. |
Эвольвентные шлицевые соединения по сравнению с прямобочными обладают повышенной несущей способностью и меньшей концентрацией напряжений (примерно в 2 раза). Эти соединения удобно изготавливать по технологии изготовления зубчатых колёс (методом обкатки). Шлицы вала при этом могут изготавливаться фрезерованием модульной червячной фрезой на зубофрезерном станке, а пазы ступицы либо долблением на зубодолбёжном станке, либо протягиванием. Угол профиля образующей рейки (в некотором роде аналог угла зацепления зубчатых колёс) = 30 (см. рис. 14.8, г), а высота шлица (0,8…1,0)m.
Обозначение эвольвентного шлицевого соединения в документации несколько проще и включает параметры:
|
№ позиции |
Параметр |
|
Центрирование по боковым поверхностям зубьев |
|
|
1. |
Наружный диаметр (разделитель позиций знак умножения). |
|
2. |
Модуль шлицевого соединения (разделитель позиций знак умножения). |
|
3. |
Посадка по боковым поверхностям шлицов (разделитель позиций знак умножения). |
|
4. |
Стандарт, регламентирующий параметры соединения. |
|
Центрирование по наружному диаметру |
|
|
1. |
Наружный диаметр (разделитель позиций знак умножения). |
|
2. |
Посадка по наружному диаметру (разделитель позиций знак умножения). |
|
3. |
Модуль шлицевого соединения. |
|
4. |
Стандарт, регламентирующий параметры соединения. |
Пример обозначения эвольвентного соединения с указанием позиций:
|
№ позиции |
1 |
2 |
3 |
4 |
|
Центрирование по боковым поверхностям зубьев |
||||
|
Обозначение |
70 |
3 |
H9/k8 |
ГОСТ 6033-80. |
|
Центрирование по наружному диаметру |
||||
|
Обозначение |
50 |
H7/g6 |
2 |
ГОСТ 6033-80. |
Треугольные шлицевые соединения не стандартизованы и применяются главным образом в качестве неподвижных при тонкостенных соединяемых элементах или при наличии жёстких ограничений в диаметральных размерах. Центрирование в этих соединениях, как упоминалось выше, возможно только по боковым поверхностям шлицов. Угол впадины между боковыми поверхностями шлицов вала может составлять = 90, = 72 или = 60 (см. рис. 14.8, е). Модуль таких шлицов невелик и обычно лежит в пределах 0,2 m 1,5 мм. Иногда треугольное шлицевое соединение для удобства сборки выполняют конусным при конусности 1:16.
Расчёт шлицевых соединений. Основными критериями работоспособности шлицевых соединений является сопротивление боковых поверхностей зубьев изнашиванию и смятию. Неподвижные шлицевые соединения рассчитывают только на смятие (при отсутствии осевых и опрокидывающих нагрузок).
Расчёт на смятие производится по формуле:
; (14.7)
где см и []см действующие и допускаемые напряжения для детали, изготовленной из наиболее слабого материала; T момент, передаваемый соединением;dср средний диаметр соединения; z число зубьев в соединении; h и l высота и длина контактной поверхности зубьев; - коэффициент, учитывающий неравномерность распределения давления по длине контактной поверхности зуба (0,7 0,8).
Высота контактной поверхности зуба h и средний диаметр соединения dср для разных типов соединений составляют:
для соединений с прямобочными шлицами
,
;
где f величина фаски зуба;
для соединений с эвольвентными шлицами
,
;
для соединений с треугольными шлицами
,
.
Допускаемые напряжения для подвижных шлицевых соединений стальных деталей принимаются:
|
при лёгких условиях работы |
|
|
при тяжёлых условиях работы |
|
Для неподвижных соединений допускаемые напряжения
; (14.8)
где [s] = (1,25…1,4) нормативный коэффициент запаса, учитывающий условия работы и изготовления деталей соединения; Kсм = (4…5) коэффициент концентрации нагрузки, определяемый по ГОСТ 21425-75; Kд = (2…2,5) коэффициент динамичности нагрузки при реверсировании нагрузки без ударов.
При проверке соединения на износ действующие напряжения, вычисленные по (14.7), проверяются на выполнение соотношения
; (14.9)
где
коэффициент, учитывающий число циклов нагружения, а допускаемые напряжения по износу []изн зависят от параметров внешней нагрузки и термообработки рабочих поверхностей шлицов. Для шлицов, закалённых до поверхностной твёрдости HRC 60, принимают []изн = 40…85 МПа, а для шлицованных деталей без термохимической обработки []изн = 25…50 МПа.
|
Профильные, призматические и фрикционные соединения. |
Профильное соединение подвижное или неподвижное соединение двух соосных деталей, контактная поверхность которых в поперечном сечении имеет форму плавной замкнутой кривой, отличной от окружности.
|
Рис. 14.9. Профильное соединение: а) продольное сечение; б), в), г)возможные поперечные сечения: овальное, треугольное, квадратное. |
Достоинством профильного соединения является отсутствие выступающих элементов, вызывающих концентрацию напряжений. Однако в профильных соединениях вследствие малых плеч контактные напряжения существенно выше по сравнению со шлицевыми, причём напряжения эти тем больше, чем большее число граней имеет профильное соединение. Кроме того, в профильном соединении на ступицу действуют значительные распорные силы, требующие большей толщины её стенок. По этой причине профильные соединения применяются в малонагруженных передачах, например, в соединениях рычагов с поворотными валиками в механизмах переключения передач.
|
Рис. 14.10. Соединение призматическое «на квадрат». |
Призматическое соединение подвижное или неподвижное соединение двух соосных деталей, контактная поверхность которых в поперечном сечении имеет форму многоугольника. Наиболее распространёнными среди призматических соединений являются соединения «на квадрат» (рис. 14.10) или «на шестигранник». Призматические соединения наиболее просты в изготовлении при индивидуальном производстве.
При передаче моментной нагрузки в призматическом соединении нагрузка на каждой грани распределяется по треугольнику на одной стороне грани напряжения равны нулю, а на другой кромке максимальны. Максимальные напряжения смятия в призматическом соединении
; (14.10)
а допустимый передаваемый момент
; (14.11)
где z число граней; a и l ширина и длина рабочей части грани; []см допускаемые напряжения смятия для наиболее слабой детали.
К группе фрикционных соединений (соединений с натягом) относятся соединения, в которых передача крутящего момента происходит за счёт сил трения, возникающих между контактирующими поверхностями соединения вследствие их предварительного сжатия при сборке. Такими являются соединения прессовые,клеммовые и конусные.
Фрикционные соединения просты в изготовлении и сборке, но склонны к ослаблению несущей способности при многократной переборке. Разборка и сборка таких соединений требует особой аккуратности и, как правило, должна выполняться с применением специальных технологических приёмов и приспособлений.
Прессовое соединение характеризуется тем, что в свободном состоянии (до сборки) диаметр посадочной поверхности вала несколько больше, чем диаметр отверстия в ступице. После сборки эти два диаметра выравниваются, при этом посадочная часть вала сжимается в радиальном направлении, а ступица растягивается. Между контактирующими поверхностями вала и ступицы действуют контактные напряжения сжатия, а нагружение соединения крутящим моментом вызывает появление и сил трения. Момент, который способно передать прессовое соединение выражается соотношением
; (14.12)
а осевое усилие, необходимое для силовой сборки соединения, составит
. (14.13)
|
Рис. 14.11. Поперечное сечение прессового соединения |
В этих двух выражениях q давление на контактирующих поверхностях, МПа; d и l диаметр и длина контактирующих поверхностей соединения, мм; f коэффициент трения между контактирующими поверхностями (для стального вала и чугунной ступицы f = 0,10…0,15).
Давление на контактных поверхностях
; (14.14)
где величина натяга (разность между диаметрами вала и ступицы в свободном состоянии); - коэффициент, зависящий от конфигурации соединяемых деталей (рис. 14.11):
; (14.15)
где коэффициенты Пуассона, а E модули упругости для материалов вала и ступицы; индекс «1» относится к параметрам вала, индекс «2» к параметрам ступицы, причём
, (14.16)
а
; (14.17)
где d диаметр посадочной поверхности в соединении; d1 диаметр отверстия вала; d2 наружный диаметр ступицы. Максимальное давление на посадочных поверхностях соединения не должно превышать допускаемого напряжения смятия для наиболее слабого из материалов соединения, q []см. Для стальных деталей, подвергнутых улучшению, []см=200…250 МПа, для чугунных деталей []см=20…50 МПа, для деталей из алюминиевых сплавов []см=10…20 МПа.
|
Рис. 14.12. Конусное фрикционное соединение |
На концевых участках валов предпочтение часто отдаётся конусным соединениям (рис. 14.12), для затяжки которых конец вала снабжается резьбовой частью. Затяжка соединения осуществляется навинчиванием гайки на резьбовой конец вала, либо завинчиванием винта, если концевой участок вала снабжён внутренней резьбой. Контроль затяжки осуществляется, как правило, по величине осевого перемещения ступицы относительно вала. После необходимой затяжки резьбовой элемент, винт или гайка, стопорится каким-либо из известных способов.
|
Рис. 14.13.Клеммовое соединение |
Расчёт несущей способности соединения производится по формулам для цилиндрических прессовых соединений (см. (14.12)…(14.17)), принимая в качестве расчётных диаметры в серединном сечении соединения. Величина натяга в этом случае определяется как произведение конусности на осевое перемещение ступицы при затяжке соединения.
В клеммовом соединении сжатие деталей обеспечивается специальными болтами. Соединение вследствие отсутствия шпонок позволяет выполнять закрепление деталей в произвольном положении, как по длине, так и по углу поворота. Это позволяет использовать соединение для закрепления на валах кривошипов, рычагов, кронштейнов.
Клеммовое соединение способно передать крутящий момент
Нм; (14.18)
где Fзат усилие затяжки болтов, Н; d диаметр соединения (вала), мм; f коэффициент трения для материалов деталей, входящих в соединение. В свою очередь усилие затяжки болтов зависит от прочности каждого из них
; (14.19)
где z число болтов в соединении; d1 внутренний диаметр резьбы болта; []р допускаемые напряжения растяжения для материала болта.
Напряжения смятия на контактных поверхностях деталей, входящих в соединение
; (14.20)
где l длина контактной поверхности соединяемых деталей; 0,5 коэффициент неравномерности давления по посадочной поверхности, возникающей за счёт жесткости ступицы; остальные величины определены выше.
Несущая способность клеммового соединения примерно в 2 раза ниже по сравнению с прессовым при тех же размерах и величине сжатия поверхностей.
При расчёте всех фрикционных соединений обычно принимают коэффициент запаса по крутящему моменту [n] = 1,5…2.
Представленный в настоящей лекции материал о разборных соединениях для передачи крутящего момента даёт самые общие и краткие сведения о таких соединениях и не претендует на исчерпывающую полноту описания. Учащемуся необходимо самостоятельно знакомиться с встречающимися конструктивными вариантами, осваивать способы их проектирования и применения, пользуясь справочной и другой технической литературой.
|
Вопросы для самоконтроля: |
1. В чём отличие рассмотренных в данной лекции соединений от описанных ранее?
2. Какое соединение называют шпоночным, какой признак отличает его от других соединений?
3. Какие разновидности шпоночных соединений Вы знаете?
4. Какими положительными качествами обладают шпоночные соединения?
5. Каковы недостатки шпоночных соединений?
6. Назовите основные материалы, необходимые для изготовления шпонок.
7. Назовите разновидности призматических шпонок.
8. Какие параметры призматических шпонок стандартизованы?
9. В чём заключаются преимущества сегментных шпонок перед призматическими.
10. Назовите предпочтительные места валов для установки призматических и сегментных шпонок?
11. Как выполняется проектный расчёт призматических и сегментных шпонок?
12. Что можно предпринять, если призматическая или сегментная шпонка не удовлетворяет заданным условиям работы?
13. Что называют цилиндрической шпонкой?
14. Расскажите о тангенциальных шпонках, почему их так называют?
15. Какие особенности клиновых шпоночных соединений, в чем их достоинства и недостатки?
16. Назовите главный признак шлицевых соединений.
17. Какие виды шлицевых соединений Вы знаете?
18. Назовите основные достоинства и недостатки шлицевых соединений.
19. Как осуществляется центрирование деталей шлицевого соединения?
20. Как обозначить прямобочное шлицевое соединение?
21. Каковы особенности и достоинства эвольвентного шлицевого соединения.
22. Как обозначить эвольвентное шлицевое соединение?
23. Каковы особенности и достоинства треугольного шлицевого соединения.
24. Как назначить параметры прямобочного шлицевого соединения? А как эвольвентного?
25. Какое шлицевое соединение необходимо проверять на прочность по износу?
26. Назовите главные особенности профильного соединения.
27. Назовите главные особенности призматического соединения.
28. Назовите главные особенности фрикционных соединений.
29. Какие виды соединений можно отнести к группе фрикционных?
30. Назовите параметры, за счёт изменения которых можно увеличить несущую способность прессового соединения.
31. Каким способом создаётся необходимый натяг в конусных соединениях?
32. Назовите основные особенности клеммового соединения.
33. Можно ли повысить несущую способность клеммового соединения за счёт удлинения ступицы?
ТЕМА 5. КОРПУСНЫЕ ДЕТАЛИ, СМАЗОЧНЫЕ И УПЛОТНЯЮЩИЕ УСТРОЙСТВА
Лекция № 15. Корпусные детали смазочные и уплотняющие устройства.
Вопросы, изложенные в лекции:
1. Корпуса агрегатов и корпусные детали.
2. Смазка механизмов и смазочные устройства.
3. Уплотняющие устройства.
|
Корпуса агрегатов и корпусные детали. |
В предыдущих лекциях были рассмотрены свойства передач и соединений деталей машин, а также способы их проектного и проверочного расчётов. Однако для объединения всех деталей и образования из них единого работоспособного механизма или тем более машины необходимы корпусные детали, свойства которых и представлены в настоящей лекции.
Корпус (от латинского corpus тело, сущность, единое целое) деталь или группа сочленённых деталей, предназначенная дляразмещения и фиксации подвижных деталей механизма или машины, для защиты их от воздействия неблагоприятных факторов внешней среды, а также для крепления механизмов в составе машин и агрегатов. Кроме того, корпусные детали весьма часто выполняют роль ёмкости для хранения эксплуатационного запасасмазочных материалов.
Корпусные детали составляют значительную часть (иногда до 80 %) массы машин или механизмов. Разрушение корпусных деталей в процессе работы наиболее часто ведет к необратимой аварии машины, то есть к потере последней.
В подвижной технике корпусными деталями являются броневые корпуса МГКМ, рамы автомобилей, корпуса двигателей, коробок передач, раздаточных коробок, коробок отбора мощности, ведущих мостов и некоторых других узлов.
Классификация корпусных деталей:
1) По степени конструктивной сложности
1.1) простые, не имеющие внутренних перегородок, рёбер и приливов;
1.2) сложные.
2) По сообщённости внутреннего пространства с внешней средой
2.1) закрытые, внутренняя полость которых, как во время работы, так и в неработающем состоянии, полностью изолирована от внешней среды;
2.2) полузакрытые, внутренняя полость которых может сообщаться с внешней средой в отдельные моменты (часть времени) работы машины (механизма) или в неработающем состоянии;
2.3) открытые, внутренняя полость которых постоянно сообщена с внешней средой.
3) По пригодности для хранения эксплуатационного запаса смазочных материалов
3.1) сухие корпуса, не предназначенные для хранения эксплуатационного запаса смазочных материалов;
3.2) маслонаполненные, ёмкость которых достаточна для хранения эксплуатационного запаса смазочных материалов.
4) По основному материалу, из которого изготовлены детали корпуса
4.1) металлические (чугун, сталь литая, сталь сварная, лёгкие сплавы алюминиево-кремниевые, алюминиево-магниевые);
4.2)неметаллические (пластики, дерево, фанера).
Серый чугун (СЧ15, СЧ20) является одним из самых дешёвых и распространённых материалов для изготовления корпусных деталей. Вместе с тем чугунные корпусные детали имеют наибольшую массу по сравнению с аналогичными деталями, выполненными из других материалов. Поэтому из чугуна изготавливают корпуса стационарных машин и механизмов, устанавливаемых на фундаменте. Существенным недостатком чугуна, как корпусного материала, является плохая его ремонтопригодность. Толщину стенок Ч чугунного корпуса редуктора, удовлетворяющую условиям прочности, можно назначать по эмпирическому выражению
; (15.1)
где Твых вращающий момент на выходном валу механизма, Нм.
Стальные литые корпуса (стали 20Л, 35Л и другие) существенно прочнее чугунных, имеют меньшую массу и более благоприятны в отношении ремонтопригодности и модернизации (поддаются различным видам сварки). Стенки стальных литых корпусов можно выполнять существенно тоньше чугунных С= (0,75…0,85)Ч.
Корпуса из алюминиевых сплавов (сплавы: алюминий-кремниевые АЛ2, АЛ4, АЛ9 и др.; алюминий-магниевые АЛ8, АЛ13, АЛ22 и некоторые другие) в силу низкой плотности алюминиевых сплавов по общей массе существенно меньше стальных и чугунных. Такие корпуса легко обрабатываются на станках, а по ремонтопригодности с применением сварки являются примерно такими же, как и чугунные. При высоком уровне технологической обеспеченности ремонтного производства ремонт корпусов из алюминиевых сплавов не вызывает особых затруднений. Стенки корпусов из неупрочняемых алюминиевых сплавов необходимо выполнять более толстыми по сравнению с чугунными А = (1,8…2,2)Ч.
Полученную расчётом толщину стенок корпусных деталей необходимо проверить на возможность технологического выполнения (отливки) по приведённому габариту корпуса N, который вычисляется по выражению
; (15.2)
где L длина, B ширина и H высота корпуса.
Толщину стенки, получаемой литьём в землю, можно вычислить для известного приведённого габарита корпуса по эмпирическому выражению
, (15.3)
коэффициенты которого a, b, c и d представлены в табл. 15.1.
Таблица 15.1.
Коэффициенты для определения допустимых толщин стенок литого корпуса
|
Материал корпуса |
Коэффициенты к уравнению 15.3 |
|||
|
a, мм |
b, мм |
c |
d, мм |
|
|
Чугун серый |
2,00 |
234,30 |
0,750 |
4,00 |
|
Сталь углеродистая |
1,64 |
137,10 |
0,758 |
4,36 |
|
Алюминиевые литейные сплавы |
6,19 |
1285,20 |
0,679 |
1,81 |
Литой корпус должен удовлетворять не только конструктивным, но и технологическим требованиям. Так, например, поверхности, расположенные по направлению выемки формы при формовании должны снабжаться литейными уклонами (обычно 3…5). Места стыковки разнонаправленных поверхностей должны сопрягаться радиусными переходами (радиус скругления r = 0,2…0,35 от полусуммы толщин сопрягаемых стенок). При разнотолщинности сопрягаемых стенок превышающей 25 % необходимо между ними формировать плавный переход на длине, равной 3…5 толщин наиболее толстой стенки.
Поверхность дна маслонаполненных корпусов должна иметь уклон 2…3 в сторону сливного отверстия.
Поверхности корпусов, подвергаемые механической обработке, выполняются, как правило, так, чтобы обеспечивалось движение режущего инструмента «на проход».
Места установки подшипниковых опор в корпусах обычно выполняются утолщёнными и подкрепляются рёбрами жесткости. Кроме того, корпуса механизмов с высоким тепловыделением (например, червячных редукторов) снабжаются рёбрами с целью увеличения поверхности, отдающей тепло окружающему воздуху. При этом направление простирания рёбер должно совпадать с направлением движения охлаждающего воздуха. Толщина рёбер жёсткости и охлаждающих рёбер принимается равной толщине стенки или несколько меньше её (р = (0,8…1)с).
Основными критериями работоспособности корпусных деталей являются прочность, жёсткость и долговечность.
Нагрузки, действующие на корпусные детали, имеют сложный характер и не всегда могут быть учтены при проектном расчёте. Вместе с тем и конфигурация корпусных деталей обычно достаточно сложна. Поэтому расчет корпусных деталей затруднителен и выполняется с большим числом упрощений и допущений, что снижает их точность и вызывает необходимость модельных и натурных испытаний корпусов с последующей корректировкой документации.
|
Смазка механизмов и смазочные устройства. |
Защита элементов механизма от неблагоприятных факторов внешней среды ещё не гарантирует нормальной его работы. Одним из необходимых условий длительной и эффективной работы любого механизма является смазывание поверхностей трения.
Смазыванием называют подведение смазывающего материала к поверхностям трения механизма с целью снижения потерь энергии в механизме, уменьшения скорости изнашивания поверхностей трения и защиты этих поверхностей от коррозии.
В зависимости от времени смазывание различают
разовое (например, смазывание подшипников асинхронных электродвигателей),
периодическое (например, смазка шарниров рулевого управления и элементов ходовой части автомобилей при техническом обслуживании) и
непрерывное (например, смазка зубьев шестерен в коробках передач МГКМ, главных передач автомобилей);
от способа подвода смазывающего агента к поверхностям трения
картерную смазку (смазку окунанием; например, в коробках передач автомобилей),
циркуляционную смазку (например, смазка подшипников скольжения ДВС);
от количества пар трения, обслуживаемых системой смазки
индивидуальная (смазывающий агент подается только к одной паре трения),
централизованная (смазывающий агент подается к нескольким парам трения).
Подачу смазывающего агента к поверхностям трения обеспечивают смазочные устройства. Конструкция смазочных устройств определяется особенностями и ответственностью проектируемого механизма или машины в целом, режимом её работы, размерами элементов пары трения, условиями эксплуатации и многими другими факторами.
|
Рис. 15.1. Маслёнки для периодической смазки: а, б жидкими маслами; в, г консистентной смазкой. |
Простейшими устройствами, предназначенными для индивидуальной периодической смазки узлов трения, являются маслёнки (рис. 15.1). Для подачи жидких масел применяют масленки с поворотной крышкой (рис. 15.1, а) и шариковые (рис. 15.1, б). Масло в эти маслёнки подается с помощью переносных наливных маслёнок или специальных шприцов. Для подачи консистентной (пластичной) смазки применяются колпачковые маслёнки (рис. 15.1, в) и прессмаслёнки (рис. 15.1, г). Внутренняя полость колпачковой маслёнки заполняется смазочным материалом и посредством периодического подкручивания колпачка на 1…2 оборота проталкивается к узлу трения. Прессмаслёнки стандартизованы (ГОСТ 19853-74) и выпускаются массовым тиражом промышленностью. Консистентная смазка через прессмаслёнку продавливается в узел трения специальным шприцом, в полости которого создаётся избыточное давление вручную или механически.
Для обеспечения постоянного смазывания зубчатых, червячных и цепных передач наибольшее распространение получила картерная смазка окунанием. При этом способе смазки жидкое масло необходимой консистенции заливается непосредственно в корпус механизма, причём его уровень устанавливается таким, чтобы часть зубьев, участвующих в работе передачи, в своём движении проходила через масляную ванну. Такой способ смазки применим при окружных скоростях зубчатых венцов колёс до 15 м/с. При более высоких окружных скоростях зубьев колёс применяют струйную смазку с подачей масла струёй под избыточным давлением непосредственно в зону контакта зубьев. Глубина погружения в масляную ванну зубьев цилиндрических колёс должна составлять не менее удвоенной высоты зуба в неработающем механизме. Глубина погружения червяка при его нижнем расположении относительно червячного колеса может составлять до половины его делительного диаметра, однако уровень масла выше середины тел качения подшипников, установленных на валу червяка, нежелателен.
При низком уровне масла в картере на быстроходные валы устанавливают специальные разбрызгиватели. Смазывание зубчатого зацепления и подшипников в этом случае осуществляется за счёт образования масляного тумана в полости корпуса передачи.
|
Уплотняющие устройства. |
В местах соединения корпусных деталей, а также в местах входа и выхода валов в корпус механизма устанавливаются уплотняющиеустройства (уплотнения), предназначенные для защиты внутреннего пространства механизма от попадания вредных ингредиентов внешней среды (воды, пыли, абразивных частиц) и для предохранения от вытекания из внутреннего пространства смазочных материалов.
Классификация уплотнений:
1. по характеру относительной подвижности деталей, между которыми устанавливается уплотнение подвижное и неподвижное;
2. по характеру взаимодействия с движущейся деталью контактные (рис. 15.2, а, б, в, г) и бесконтактные (рис. 15.2, д, е);
3. по способу создания уплотняющего давления между уплотнительным элементом и подвижной деталью пассивные или натяжные (рис. 15.2, а, б), в которых необходимое давление между уплотняемыми поверхностями создается за счёт деформации уплотняющего элемента и не зависит от давления среды в полости корпуса механизма, и активные (рис. 15.2, в, г), в которых давление между уплотняемыми поверхностями растет пропорционально увеличению давления во внутренней полости механизма;
4. в зависимости от материала, из которого изготовлен уплотняющий элемент металлические (рис. 15.2, б, г) и неметаллические (рис. 15.2, а, в);
5. по форме подвижной уплотняемой поверхности торцевые (плоскостные, рис. 15.2, г), цилиндрические (рис. 15.2 а, б, в, д, е, ж), конические, сферические.
|
Рис. 15.2. уплотнения валов: а сальник; б металлические кольца; в манжетное; г торцовое; д лабиринтное; е двойное лабиринтное ж комбинированное (сальник + щелевое). |
Из контактных уплотнений валов наиболее широкое применение находят сальниковые (рис. 15.2, а) иманжетные (рис. 15.2, в) уплотнения.
Сальники неметаллические контактные уплотнения пассивного типа. Применяются сальниковые уплотнения при относительных скоростях скольжения (скорость уплотняемой поверхности вала) до 5 м/с и давлениях в рабочей полости до 0,5 МПа.
|
Рис. 15.3. Конструкция резиновой армированной манжеты: 1 браслетная пружина; 2 тело манжеты; 3 металлическая армирующая вставка |
Простейшее сальниковое уплотнение (рис. 15.2, а) содержит кольцо прямоугольного сечения, пропитанное смазывающим материалом и запрессованное в трапециевидную канавку, угол между боковыми поверхностями которой составляет 20…30.Сальниковое кольцо чаще всего выполняют из войлока, или кожи и проваривают его перед установкой в консистентной смазке.
В манжетных уплотнениях (рис. 15.2, в) предварительное поджатие уплотняющей кромки манжеты к поверхности вала происходит за счёт деформации манжеты и натяжения браслетной пружины, которой всегда снабжается манжета (рис. 15.3). Увеличение давления во внутренней полости корпуса механизма способствует возрастанию усилия, прижимающего ласт манжеты к поверхности вала, препятствуя тем самым сообщению внутренней полости с внешней средой. Армированные манжеты могут изготавливаться как из различных резиновых смесей, так и из пластиков (полиуретан, поливинилхлорид). Манжетные уплотнения могут применяться при скоростях скольжения до 10 м/с.
Бесконтактные уплотнения можно разделить на 3 основных группы:
1. уплотнения сопротивления (резистивные);
2. инерционные уплотнения;
3. насосные уплотнения.
|
Рис. 15.4. Бесконтактные уплотнения: а щелевое с канавками в щели, б лабиринтное, в насосное сдвоенное. |
Резистивные уплотнения представляют собой тонкую щель или лабиринт, создающие за счёт малого поперечного сечения и большой протяжённости повышенное сопротивление протеканию жидкостей и газов(рис. 15.2, д, е и рис. 15.4, а, б). В таком уплотнении утечки возможны постоянно, но они не велики и выполняют положительную роль, вынося наружу посторонние частицы, попадающие в зону уплотнения. Щелевые уплотнения зачастую снабжаются дополнительными канавками (рис. 15.4, а), выравнивающими давление протекающей жидкости по окружности щели, и создающие дополнительное сопротивление протекающей жидкости.
К инерционным уплотнениям можно отнести маслоотбрасывающие кольца и диски, устанавливаемые на валах рядом с подшипниковыми гнёздами. Частицы жидкости или твёрдые, попадая на вращающийся вместе с валом диск, отбрасываются силами инерции по радиусам на периферию. Таким образом исключается возможность их попадания в зазор между валом и отверстием, через которое он проходит.
Пример исполнения насосного уплотнения представлен на рис. 15.4, в. Основным элементом этого уплотнения являются резьбовые канавки, нарезанные на поверхности части вала, находящейся в отверстии, через которое вал проходит. Направление нарезки канавок выбрано таким, что любая частица, попавшая в канавку, при вращении вала, двигаясь по канавке за счёт сил инерции, будет выброшена из зазора. Такой процесс может происходить только при вращении вала в одну сторону, на элементе, изображённом на рис. 15.4, в, а уплотнение будет работать только тогда, когда вал будет вращаться против часовой стрелки, если смотреть на его торец с левой стороны. Поэтому такое уплотнение можно применять в тех механизмах, где вал постоянно имеет однонаправленное движение.
Наличие зазора в бесконтактных уплотнениях не обеспечивает их герметичности при неработающем механизме, однако в процессе работы механизма эти уплотнения весьма успешно защищают его внутреннее пространство от пыли и грязи. По этой причине такие уплотнения применяют, как правило, совместно с контактными, устанавливая их снаружи от последних (рис. 15.2, ж).
В настоящей лекции кратко представлены основные сведения о корпусах агрегатов и корпусных деталях, о смазке механизмов и смазочных устройствах, а также об уплотняющих устройствах, предназначенных для герметизации внутреннего пространства механизмов в местах прохождения валов через стенки корпусных деталей. Более полную информацию по этим вопросам можно получить в учебниках, названных в начале курса, и в технической литературе. С некоторыми видами уплотнительных элементов обучаемые смогут ознакомиться на последующих практических и лабораторных занятиях.
|
Вопросы для самоконтроля: |
1. Какие детали машин можно отнести к группе корпусных и почему?
2. По каким параметрам и как можно классифицировать корпусные детали?
3. Какие материалы наиболее часто применяются для изготовления корпусных деталей?
4. Какие факторы необходимо учитывать при проектировании корпусных деталей?
5. Возможен ли учёт всех действующих на корпус факторов при его проектном расчёте, и какими мероприятиями обеспечивается высокая надёжность корпусных деталей при разработке новых машин?
6. Что понимают под термином «смазывание механизмов»?
7. Какие виды и способы смазывания Вы можете назвать?
8. Какими устройствами обеспечивается смазывание механизмов?
9. Какую роль выполняют уплотняющие элементы в механизмах и агрегатах?
10.Назовите классы и виды уплотнительных устройств.
11.Приведите примеры контактных уплотнений, в чём особенность их работы?
12.Сравните работу сальникового и манжетного уплотнения.
13.Приведите примеры бесконтактных уплотнений, в чём особенность их работы?
14.Сравните работу щелевого и лабиринтного уплотнения.
15.Каковы особенности работы насосного уплотнения?
16.Что является причиной совместного применения контактных и бесконтактных уплотнений?
ТЕМА 6. МУФТЫ
Лекция № 16. Механические муфты
Вопросы, изложенные в лекции:
1. Муфты постоянного соединения.
2. Муфты сцепные.
3. Методика подбора стандартных муфт.
|
Муфты постоянного соединения |
Большинство машин компонуется из механизмов, каждый из которых выполнен в виде агрегата, обеспечивающего возможность полной взаимозаменяемости. Кроме того, при передаче движения от двигателя к исполнительному механизму возникает необходимость включать и выключать работу исполнительного механизма, не прекращая работу двигателя. Эти задачи и ряд других решаются посредством применения муфт.
Муфта (от немецкого die Muffe) устройство для соединения валов, тяг, труб, канатов, кабелей. Следует различать муфты соединительные и муфты приводов машин. Именно последние рассматриваются в курсе деталей машин. Поэтому далее понятием муфта объединяются устройства, предназначенные для передачи вращательного движения между валами или между валом и свободно сидящей на нём деталью (шкивом, звёздочкой, зубчатым колесом и т.п.) без изменения параметров движения. Современное машиностроение располагает большим арсеналом муфт, различающихся по функциональному назначению, принципу действия и конструктивному исполнению.
Назначение муфт:
компенсация неточности сопряжения соединяемых концов валов;
смягчение крутильных ударов и гашение колебаний;
предохранение механизмов от разрушения при действии нештатных нагрузок;
периодическое сцепление и расцепление валов в процессе движения или во время остановки;
передача однонаправленного движения или предотвращение передачи обратного движения от ведомого вала к ведущему;
ограничение параметров передаваемого движения скорости (частоты вращения ведомого вала) или крутящего момента.
Классификация муфт:
по виду энергии, участвующей в передаче движения механические, гидравлические, электромагнитные;
по постоянству сцепления соединяемых валов муфты постоянного соединения (неуправляемые), муфты сцепные, управляемые (соединение и разъединение валов по команде оператора), и автоматические (либо соединение, либо разъединение автоматическое по достижении управляющим параметром заданного значения);
по способности демпфирования динамических нагрузок жёсткие, не способные снижать динамические нагрузки и гасить крутильные колебания, и упругие, сглаживающие вибрации, толчки и удары благодаря наличию упругих элементов и элементов, поглощающих энергию колебаний;
по степени связи валов неподвижная (глухая), подвижная (компенсирующая), сцепная, свободного хода, предохранительная;
по принципу действия втулочная, продольно-разъёмная, поперечно-разъёмная, компенсирующая, шарнирная, упругая, фрикционная, кулачковая, зубчатая, с разрушаемым элементом (срезная), с зацеплением (кулачковые и шариковые);
по конструктивным признакам поперечно-компенсирующая, продольно-компенсирующая, универсально-компенсирующая, шарнирная, упругая (постоянной и переменной жёсткости), конусная, цилиндрическая, дисковая, фрикционная свободного хода, храповая свободного хода.
Муфты постоянного соединения позволяют разъединить ведущий и ведомый валы только после разборки соединения. Наиболее простыми из муфт постоянного соединения являются глухие муфты. Глухой называют такую муфту, которая обеспечивает при соединении валов полное совпадение их геометрических осей. Глухими являются втулочные, продольно-разъёмные и поперечно-разъёмные или фланцевые муфты.
|
Рис. 16.1. Втулочная муфта. |
Втулочная муфта (рис. 16.1) наиболее проста по конструкции и представляет собой втулку, одетую на концы соединяемых валов. Вращающий момент от ведущего вала к ведомому передаётся втулкой через штифты, установленные в отверстия, просверленные диаметрально сквозь втулку и концы валов, через шпонки (как на рис. 16.1), или через шлицы.
Недостатком этой муфты является невозможность разъединения валов без смещения хотя бы одного из них.
|
Рис. 16.2. Муфта продольно-разъёмная |
Продольно-разъёмная муфта (рис. 16.2) состоит из двух полумуфт, стягиваемых при сборке винтами или болтами с гайкой. Разъём между полумуфтами расположен в плоскости, проходящей через общую геометрическую ось обоих соединяемых валов. Усилие затяжки винтов выбирается таким, чтобы обеспечить передачу вращающего момента силами трения, действующими между контактирующими поверхностями валов и полумуфт. Такая муфта позволяет разъединять концы валов, не смещая последние со своего места, и облегчает центровку валов при установке агрегатов на общую раму или фундамент.
Внутренний диаметр резьбовой части болтов продольно-разъёмной муфты, необходимых для передачи заданного момента, можно вычислить по формуле
; (16.1)
где T передаваемый муфтой крутящий момент; d диаметр соединяемых концов валов; z количество болтов; k коэффициент режима работы муфты, учитывающий возможные кратковременные перегрузки (в машиностроении 1 k 6); f коэффициент трения между полумуфтами и поверхностью валов (для сухих поверхностей из чугуна и стали принимают f = 0,2, при наличии смазки f = 0,08…0,1); []р допускаемые напряжения растяжения для материала болтов.
Недостатком продольно-разъёмной муфты является возможность смещения её центра масс с оси вращения валов при неодинаковой затяжке винтов на противоположных сторонах, что может вызывать вибрацию валов, особенно опасную при больших скоростях вращения.
|
Рис. 16.3. Муфта фланцевая: а) для закрытой установки; б) для открытой установки; I призонные болты; II обычные болты в отверстиях с зазором. |
Поперечно-разъёмная или фланцевая муфта (рис. 16.3) также состоит из двух полумуфт, но каждая из её полумуфт насаживается на соединяемый конец своего из валов одна на ведущий вал, другая на ведомый. Каждая из них снабжена фланцем. При сборке соединения полумуфты устанавливаются так, чтобы фланцы встали друг против друга с минимальным зазором. В отверстия фланцев вставляются болты, стягивающие полумуфты. При точном изготовлении болтовых отверстий (например, из-под развёртки) применяют призонные болты (рис. 16.3, I), поперечное сечение которых во время передачи вращающего момента работает на срез. При отверстиях малой точности болты устанавливаются с зазором (рис. 16.3, II), и в этом случае тело болтов работает на растяжение, а вращающий момент передаётся за счёт сил трения между торцевыми поверхностями фланцев. Муфты, предназначенные для открытой установки, снабжаются в целях обеспечения безопасности обслуживающего персонала выступами, закрывающими головки болтов и гайки (рис. 16.3, б).
При установке во фланцевую муфту призонных болтов (рис. 16.3, I) диаметр их призонной части, работающей на срез, рассчитывается по формуле
; (16.2)
где D1 диаметр муфты, на котором расположены отверстия для установки болтов (см. рис. 16.3, а, б, I); [] допускаемые касательные напряжения для материала болта; остальные обозначения представлены выше. Для удобства сборки диаметр резьбовой части болта обычно выбирается несколько меньше диаметра его призонной части.
Если болты в отверстиях полумуфт устанавливаются с зазором (рис. 16.3, II), то вращающий момент передаётся за счёт сил трения, возникающих на торцевых поверхностях фланцев полумуфт и инициированных силами затяжки болтов. В этом случае внутренний диаметр резьбовой части болтов может быть найден по выражению
; (16.3)
где DНар максимальный диаметр поверхности трения фланцев муфты, равный наружному диаметру муфты, а
отношение диаметров внутреннего и наружного этой поверхности (см. рис. 16.3, а II).
Глухие муфты изготавливают обычно из углеродистых сталей или из чугунов различных марок.
Глухие муфты, жёстко соединяя концы валов, не позволяют им деформироваться под действием рабочих усилий, возникающих на элементах механизмов, передающих вращательное движение, таких, как шестерни, звёздочки, шкивы. Это ограничение деформации валов способствует повышению изгибных напряжений в них и, в конечном итоге, сокращает срок их службы.
|
Рис. 16.4. Виды возможного относительного смещения соединяемых валов: а) радиальное (поперечное); б) осевое (продольное); в) угловое. |
Исключения этой неприятности добиваются посредством применения подвижных муфт муфт, конструкция которых позволяет отдельным элементам перемещаться в небольших пределах друг относительно друга вместе с концами соединяемых валов. Такие муфты называют иначе компенсирующими. Компенсирующие муфты допускают некоторое несовпадение геометрических осей соединяемых валов. Величину такого несовпадения принято называть величиной смещения (рис. 16.4). Взаимное смещение валов относительно номинального положения может происходить в процессе работы механизмов вследствие самых различных причин: деформации валов под рабочей нагрузкой, температурной деформации, износа подшипников, осадки фундамента и т.п. Нетрудно установить, что при соединении валов возможно 3 вида элементарного смещения: радиальное (поперечное рис. 16.4, а), осевое (продольное рис. 16.4,б) и угловое (рис. 16.4, в). Практически, наиболее часто наблюдается комплексное смещение, включающее сразу несколько из названных элементарных смещений.
Все подвижные компенсирующие муфты можно разделить на две группы: 1) жесткие муфты и 2) упругие муфты.
В жёстких муфтах подвижность частей обеспечивается конструктивными особенностями их элементов (расположение частей, величины зазоров, форма поверхностей и т.п.). Поэтому жёсткие муфты практически не способны гасить крутильные колебания, возникающие в механизмах.
В упругих муфтах подвижность частей достигается за счёт деформации упругого элемента муфты (разного рода пружины, детали из эластомера, например резины). Деформация такого упругого элемента происходит, как правило, с достаточно большим поглощением энергии, последнее способствует интенсивному гашению крутильных колебаний и более спокойной работе привода в целом.
В бронетанковой технике находят применение жёсткие компенсирующие зубчатые муфты, способные компенсировать все три вышеназванных вида относительного смещения соединяемых валов. Зубчатые муфты передают движение от планетарных механизмов поворота бортовым редукторам машины БМП-2, в трансмиссии танка Т-72 соединяют вал двигателя с повышающим редуктором, установлены в приводе стартера-генератора, передают движение от повышающего редуктора планетарным бортовым коробкам передач, и используются в ряде других машин.
Зубчатые муфты общемашиностроительного применения стандартизованы (ГОСТ 5006-83) для валов диаметром от 40 до 200 мм и передаваемых моментов от 1000 до 63000 Нм. Такие муфты выпускаются двух типов: муфты МЗ для непосредственного соединения валов и муфты МЗП для соединения валов через промежуточный вал.
|
Рис. 16.5. Муфта зубчатая МЗ. |
Муфта МЗ (рис. 16.5) состоит из двух втулок 1, насаживаемых на соединяемые валы и несущих на своей наружной поверхности зубчатый венец 3, и двух полуобойм 2, каждая из которых снабжена внутренними зубьями и фланцем. В рабочем состоянии зубья втулок входят во впадины между зубьями полуобойм, а фланцы последних стягиваются между собой болтами. В некоторых вариантах исполнения обойма муфты может быть выполнена в виде единой детали, в этом случае необходимость фланцев отпадает. Торцы обоймы закрываются крышками, а зазор между отверстием каждой крышки и втулкой уплотняется манжетой 4. Внутреннее пространство муфты заполняется консистентной или жидкой смазкой высокой вязкости для уменьшения износа зубьев и повышения КПД муфты.
С целью обеспечения возможности смещения втулок относительно обоймы вершины зубьев втулки выполнены сферическими с центром сферы на оси вращения валов, боковым поверхностям этих зубьев придана овальная форма, а впадины между зубьями обоймы сделаны несколько шире по сравнению с толщиной зубьев втулок.
Зубчатое сопряжение стандартных муфт имеет эвольвентный профиль с углом зацепления = 20, при этом высота зубьев на втулках составляет 2,25m, а высота контактной поверхности зубьев 1,8m.
При проектном расчёте нестандартных зубчатых муфт делительный диаметр зубьев можно вычислить по формуле
; (16.4)
где []см допускаемые напряжения смятия рабочих поверхностей зубьев; = b/D0 коэффициент ширины зубчатого венца (b ширина зубчатого венца втулок); остальные параметры определены выше. Для существующих конструкций муфт = 0,12…0,16.
Далее, задавшись числом зубьев z (обычно выбирают 30 z 80, для более тяжёлых условий работы большее число зубьев), определяют модуль m = D0/z, который округляют до ближайшего большего стандартного значения. По выбранному модулю уточняют все геометрические параметры муфты.
Детали стандартных зубчатых муфт изготавливают коваными из углеродистых сталей типа 45, 40Х или литыми из стали 45Л. Зубья втулок с целью повышения износостойкости подвергают улучшающей термообработке до твёрдости 40HRC, а зубья обоймы 35HRC. Для этих материалов принимают допускаемые напряжения []см = 12…15 МПа.
Стандартные зубчатые муфты допускают угловое смещение осей валов до 1,5 и максимальное поперечное (радиальное) их смещение
; (16.5)
где d диаметр соединяемых валов. При этом, чем больше угловое смещение валов, тем должно быть меньше радиальное смещение, и наоборот большому радиальному смещению должно соответствовать минимальное угловое.
Главными достоинствами зубчатых муфт являются высокая нагрузочная способность при минимальных габаритах и возможность изготовления на высокопроизводительном зуборезном оборудовании.
Коэффициент полезного действия зубчатых муфт м = 0,985…0,995, а поперечное усилие, создаваемое на концах соединяемых валов из-за их относительного смещения F (0,15…0,20)Ft, где Ft тангенциальное усилие в муфте, действующее на диаметре D0.
|
Рис. 16.6. Муфта крестово-кулисная (кулачково-дисковая): а) в сборе; б) подетальная аксонометрическая проекция. |
Для компенсации радиального смещения валов широко применяется крестово-кулисная (кулачково-дисковая) муфта (рис. 16.6), содержащая три главных части: устанавливаемые на соединяемые валы две полумуфты 1 и 2, каждая из которых может быть как ведущей, так и ведомой, и между ними кулиса (диск) 3, снабжённая прямоугольными гребнями на торцевых поверхностях, идущими вдоль взаимно перпендикулярных диаметров. Гребни кулисы при сборке муфты вводятся в пазы, выполненные на обращённых друг к другу торцевых поверхностях полумуфт. Часто с целью облегчения кулисы у неё удаляют центральную часть.
Детали крестово-кулисной муфты изготавливаются, как правило, из углеродистых или легированных сталей (стали 45, 50, 40Х, 15Х, 20Х и др.). Контактные поверхности гребней кулисы и пазов полумуфт подвергают химикотермической или термической обработке с целью достижения высокой твёрдости и контактной прочности.
Крестово-кулисная муфта позволяет соединять валы, относительное смещение осей которых 0,04d, где d диаметр меньшего из соединяемых валов. Кроме того, эта муфта допускает и некоторое угловое смещение валов 040.
При работе крестово-кулисной муфты на несоосных валах гребни кулисы скользят в пазах полумуфт, а центр кулисы (совпадающий, как правило, с её центром масс) движется по окружности, диаметр которой равен величине относительного смещения геометрических осей валов, с угловой скоростью равной удвоенной скорости вращения валов.
Несовпадение центра масс кулисы с её осью вращения приводит к тому, что на кулису действует центробежная сила
; (16.6)
где mк масса кулисы; aц центростремительное ускорение, действующее на кулису; n частота вращения соединяемых валов, мин-1.
Полагая диск кулисы сплошным и пренебрегая массой гребней последнее выражение можно записать
; (16.7)
где s толщина диска кулисы, а - плотность материала, из которого он изготовлен.
Сведя все численные величины в один общий коэффициент и приняв, что = D, получим
. (16.8)
Из (16.8) следует, что центробежная сила, действующая в муфте, пропорциональна кубу её диаметра и квадрату частоты вращения соединяемых валов. Следовательно, с целью сокращения вредных сил, способствующих увеличению потерь энергии в муфте и ускоряющих её износ, следует максимально возможно сокращать внешний диаметр крестово-кулисной муфты и не применять её для соединения валов, вращающихся с высокими скоростями.
Диаметр крестово-кулисной муфты можно вычислить по соотношению
; (16.9)
где h высота гребней кулисы; = dвн/D отношение диаметра отверстия в диске к наружному диаметру муфты; []см допускаемые напряжения смятия на контактных поверхностях элементов муфты. Для перечисленных выше сталей принимают допускаемые напряжения []см = 15…20 МПа.
Радиальное относительное смещение валов и поперечное движение кулисы стимулируют возникновение поперечной нагрузки на концах соединяемых валов
; (16.10)
где f = (0,12…0,25) коэффициент трения между боковыми поверхностями гребней кулисы и пазов полумуфт.
Потери энергии в муфте характеризуются её КПД
|
Рис. 16.7 Муфта крестово-кулисная с неметаллическим промежуточным элементом |
. (16.11)
При практических расчётах обычно принимают м0,985…0,995.
Для соединения быстроходных валов применяется другая разновидность крестово-кулисной муфты (рис. 16.7). В этой муфте дисковая кулиса заменена сухарём, имеющим квадратное поперечное сечение, а пазы на торцах полумуфт расширены до поперечных размеров сухаря. Сам сухарь изготавливается обычно из неметаллических материалов (текстолит, фенольно-формальдегидные пластики, капролон и т.п.). В силу малой плотности материала сухаря, а также меньших его размеров по сравнению с дисковой кулисой, центробежные силы в этой разновидности муфты значительно меньше по сравнению с муфтой, имеющей дисковую кулису.
Вместе с тем контактные напряжения на опорной площади боковых граней сухаря изменяются от нуля на одном ребре грани до максимума на другом её ребре. Обозначив отношение толщины сухаря b к длине боковой грани a как , длину боковой грани сухаря можно вычислить по формуле
. (16.12)
Обычно относительная толщина сухаря = 0,25…0,75, а диаметр муфты D = (1,5…1,8)a. Для муфт с текстолитовым сухарём допускаемые напряжения []см = 10…12 МПа, при использовании для изготовления сухаря стеклотекстолитов конструкционных марок значения допускаемых напряжений смятия могут быть увеличены в (1,25…1,5) раза.
|
Рис. 16.8. Кинематическая схема шарнирной муфты Кардана а) и сдвоенной муфты Кардана б). |
При больших относительных смещениях валов, когда расстояние (см. рис. 16.4) между их геометрическими осями соизмеримо с диаметром самих валов или угол достаточно велик (может достигать до 45), и особенно при передаче вращения между валами, которые способны наряду с вращением перемещаться друг относительно друга в радиальном или в угловом направлении, применяют шарнирные муфты. В настоящее время разработано несколько конструкций таких муфт, имеющих постоянное или переменное передаточное число.
|
Рис. 16.9. Конструкция шарнирной муфты Кардана |
Наибольшее распространение в промышленности и на транспорте получили шарнирные муфты (муфты Кардана) с крестовым шарниром (шарниром Гука) (схема рис. 16.8, конструкция рис. 16.9). Муфта Кардана (рис. 16.8, а) состоит из двух полумуфт, каждая из которых выполнена в форме вилки. Перья вилки каждой из полумуфт A и B расположены под углом 90 друг к другу, а между ними установлена крестовина, концы которой посредством вращательных кинематических пар соединены с перьями вилки.
При равномерном вращении входного вала 1 с угловой скоростью 1 угловая скорость выходного вала 2 не будет постоянной, а мгновенное передаточное число периодически меняется в течение каждого оборота и составляет
; (16.13)
где острый угол между геометрическими осями валов; угол поворота ведущего вала, отсчитываемый от положения ведущей полумуфты, при котором её вилка лежит в плоскости, проходящей через геометрические оси соединяемых валов.
Коэффициент неравномерности вращения ведомого вала в этом случае
. (16.14)
При = 45
, а при 52 коэффициент неравномерности превышает единицу, поэтому применение муфт с шарниром Гука для углов свыше 45нежелательно.
Для выравнивания скорости выходного вала применяют муфту со сдвоенным шарниром Гука (рис. 16.8, б). В этом случае, если вилки промежуточного вала лежат в одной плоскости и 1=2= (геометрические оси входного и выходного валов параллельны), либо 1=3=, при любом значении угловые скорости входного (ведущего) 1 и выходного (ведомого) 2 валов равны и, следовательно, u=1.
Коэффициент полезного действия единичной шарнирной муфты может быть вычислен по соотношению
; (16.15)
где d диаметр цапфы крестовины; D диаметр, на котором расположены цапфы крестовины (расстояние между серединами цапф, имеющих общую геометрическую ось); - угол трения для подшипников крестовины.
Для гашения крутильных колебаний (колебаний угловой скорости), вызванных силами инерции в механических приводах широкое применение находятупругие муфты. Главной особенностью этих муфт является наличие упругого элемента (резиновые втулки, торообразная оболочка, эластичная крестовина, различного рода пружины и т.п.), который при резком возрастании нагрузки (момента сопротивления) способен деформироваться, возвращаясь в исходное состояние при уменьшении нагрузки до нормальной рабочей величины. Упругие муфты, кроме того, допускают радиальное смещение валов до 0,4…0,6 мм и угловое смещение осей валов до 1,5. Кроме упругого элемента муфты ещё снабжаются, как правило, поглощающим устройством, предназначенным для диссипации колебательной энергии и предотвращения резонансных колебаний в элементах привода при неравномерном вращении его валов. Довольно часто упругий и поглощающий элементы совмещаются в одной детали.
Демпфирующая способность муфты характеризуется величиной механической энергии, поглощаемой муфтой необратимо при деформации её упругого элемента. Поглощение энергии в муфте происходит либо за счёт трения её деталей друг о друга (пружинные муфты различной конструкции), либо за счёт внутреннего трения в неметаллическом упругом элементе. Так, например, многие резиновые упругие изделия способны обратить в тепло до 25% энергии затраченной на их деформацию.
В качестве примера из большого числа известных конструкций рассмотрим две наиболее распространённые и простые по устройству упругие муфты.
|
Рис. 16.10. Муфта упругая втулочно-пальцевая |
Муфта упругая втулочно-пальцевая (МУВП; рис. 16.10) состоит из двух полумуфт, каждая из которых выполнена в виде ступицы с фланцем на одном конце. На фланце одной из полумуфт (обычно ведущей) крепятся пальцы с надетыми на их свободные концы резиновыми кольцами трапецеидального сечения или гофрированными резиновыми втулками. При монтаже на соединяемые концы валов полумуфты устанавливаются фланцами друг к другу, а концы пальцев с надетыми на них упругими элементами входят в отверстия второй (обычно ведомой полумуфты). Муфты МУВП стандартизованы для валов диаметром от 9 до 160 мм и передаваемых крутящих моментов от 6,3 до 16103 Нм (ГОСТ 21424-93).
Полумуфты могут быть изготовлены из чугуна марки не ниже СЧ 21-40 или стали Ст. 3. Для изготовления пальцев используется сталь 45 или более прочная. Кольца и втулки изготавливаются из резины, имеющей прочность на растяжение не ниже 6 МПа и твёрдость 55…75 единиц по Шору.
Расчёт нестандартных муфт МУВП ведётся по двум основным параметрам: пальцы муфты рассчитываются на изгиб, а резиновые кольца или втулки на смятие по цилиндрической поверхности. При этом допускаемые напряжения смятия []см = 1,8…2 МПа. Напряжения смятия для колец и втулок
; (16.16)
где Tк вращающий момент; dп диаметр пальца; Dп диаметр полумуфт, на котором расположены отверстия для установки пальцев; l длина упругого элемента (набора колец или втулки); z число пальцев.
Напряжения изгиба в пальцах муфты
; (16.17)
где С зазор между полумуфтами, составляющий для большинства муфт 2…5 мм. Допускаемые напряжения изгиба []и =(0,4…0,5)т, где т предел текучести материала пальцев.
Муфты данного типа обладают большой радиальной и угловой жёсткостью, поэтому и механизмы, валы которых соединяют посредством такой муфты, должны устанавливаться на плитах или рамах большой жёсткости с максимально возможной точностью центровки сопрягаемых валов.
Втулочно-пальцевая муфта требует достаточно точного центрирования (осевое смещение 5 мм; радиальное 0,6 мм; угловое 1).
Следствием высокой радиальной жёсткости муфты являются большие поперечные нагрузки на концах соединяемых валов. В расчётах радиальную жёсткость муфты принимают приблизительно линейной. В этом случае радиальные усилия на валах могут быть вычислены по приближённому эмпирическому соотношению
; (16.18)
в котором диаметр большего из соединяемых валов d и величина их относительного радиального смещения должны подставляться в мм, тогда результат будет получен в кН.
Стандартные муфты МУВП выбираются по величине вращающего момента и диаметру соединяемых валов, как это показано ниже.
|
Рис. 15.11. Муфта упругая с неразрезной торообразной оболочкой: а) выпуклого профиля; б) вогнутого профиля. |
Муфты упругие с торообразной оболочкой обладают большой крутильной, радиальной и угловой податливостью и в соответствии с ГОСТ Р 50892-96 изготавливаются с оболочкой выпуклого или вогнутого профиля. В свою очередь, муфты с оболочкой выпуклого профиля могут быть с разрезной или неразрезной (ГОСТ 20884-93) оболочкой.
Конструкция муфт с неразрезной оболочкой представлена на рис. 16.11. Муфта состоит из двух полумуфт, снабжённых фланцами, и торообразной оболочки, прикреплённой своей периферической частью к фланцам с помощью прижимных дисков и винтов, стягивающих эти диски с фланцами полумуфт. Прижимные диски для неразрезной торообразной оболочки разрезные (выполняются из двух или большего числа деталей, соединяемых посредством винтов), для разрезной неразрезные.
Металлические детали муфты изготавливаются из стали Ст. 3 (ГОСТ 380-71) или более прочной. Торообразная оболочка прессуется из резины с сопротивлением разрыву не менее 10МПа и модулем упругости при 100% удлинении не ниже 5МПа. Торообразные оболочки муфт, диаметр которых превышает 300 мм, армируются кордовыми нитями с целью увеличения несущей способности и срока службы.
Положительным качеством муфт с торообразной оболочкой является высокая демпфирующая способность при больших радиальных и угловых несоосностях соединяемых валов (осевое смещение 5 мм; радиальное
6 мм; угловое 6) при высокой частоте их вращения (до 2500 мин-1 и выше).
Муфты с выпуклой торообразной оболочкой по сравнению с муфтами, имеющими вогнутую оболочку, имеют несколько меньшую массу, способны передавать примерно на 20 % меньший момент и выдерживают примерно в 1,5 раза меньшие обороты, но при этом имеют существенно большую податливость.
При вращении с достаточно большими угловыми скоростями на полумуфтах появляются постоянно действующие осевые усилия, что требует жёсткого осевого закрепления полумуфт на концах соединяемых валов.
Однако, даже при предельных смещениях валов, возникающие радиальные и осевые силы, а также изгибающие моменты невелики и при расчёте валов могут не учитываться.
Подбор муфт с торообразной оболочкой ведётся по передаваемому вращающему моменту и диаметру соединяемых валов.
|
Муфты сцепные |
Сцепными называют муфты, основным назначением которых является соединение или разъединение валов при движении или во время остановки.
Основные требования к сцепным муфтам:
1. быстрота и лёгкость включения (соединения валов) и выключения (разъединения валов);
2. плавность включения;
3. надёжность сцепления валов после включения муфты;
4. высокий КПД, малый износ и нагрев муфты;
5. простота регулирования и настройки;
6. незначительные усилия на органах управления при ручном управлении;
7. минимальные габариты при заданных несущей способности, и сроке эксплуатации.
В качестве сцепных в машиностроении наиболее широкое распространение получили кулачковые, зубчатые и фрикционные муфты.
|
Рис. 16.12. Муфты сцепные: а) кулачковая; б) зубчатая. Форма кулачков в тангенциальном сечении: в)прямоугольная; г) трапецеидальная симметричная;д) треугольная; е) трапецеидальная.несимметричная. |
Кулачковые и зубчатые муфты (рис. 16.12, а, б) имеют подобную конструктивную схему. Оба вида муфт состоят из двух полумуфт, каждая из которых снабжена фланцевой частью. Одна из полумуфт крепится на одном из соединяемых валов неподвижно, другая, закреплённая на втором из этих валов, имеет возможность осевого перемещения или снабжается подвижной в осевом направлении втулкой.
Различие этих муфт заключается в том, что в полумуфтах кулачковой муфты зубья, которые принято называть кулачками, выполнены на торцовой поверхности фланцев (рис. 16.12, а), а в полумуфтах зубчатой муфты зубья расположены на цилиндрической поверхности, причём на одной из полумуфт делаются наружные зубья (правая полумуфта на рис. 16.12, б), на другой внутренние (левая полумуфта на рис.16. 12, б).
Обе разновидности муфт находят широкое применение в коробках передач колёсных и гусеничных машин, а также металлорежущего оборудования.
При сближении полумуфт посредством осевого перемещения подвижной полумуфты кулачки или зубья одной полумуфты входят во впадины другой, и вращающий момент передаётся за счёт силового контактного взаимодействия кулачков или зубьев боковыми сторонами.
При включении таких муфт на ходу, когда либо валы вращаются с разными скоростями, либо один из них вращается, а другой вообще неподвижен, процесс включения произойдёт с ударом между боковыми поверхностями зубьев, что весьма нежелательно из-за воздействия на зубья чрезмерных ударных нагрузок, приводящих к быстрому износу рабочих поверхностей и в некоторых случаях даже способных вызвать поломку зубьев. По этой причине кулачковые и зубчатые муфты часто применяются совместно с дополнительными устройствами, обеспечивающими синхронизацию скорости вращения соединяемых валов перед включением муфты.
В зубчатых муфтах боковые поверхности зубьев обычно выполняются по эвольвентному профилю, поскольку зубья с таким профилем легко нарезаются на широко распространённом зуборезном оборудовании, предназначенном для изготовления зубчатых колёс. Кулачки кулачковых муфт могут иметь самый различный профиль: прямоугольный (рис. 16.12, в), симметричный трапецеидальный (рис. 16.12, г), треугольный (рис. 16.12, д) или несимметричный трапецеидальный (рис. 16.12, е) и некоторые другие. Выбор профиля кулачков определяется многими условиями, как конструктивного, так и технологического характера. Так, например, прямоугольный профиль кулачков хорошо обеспечивает передачу вращающего момента, не создавая при этом осевого выключающего усилия, но при таком профиле кулачков велика вероятность взаимного утыкания кулачков сопряжённых полумуфт при попытке их соединения, что особенно неприятно при включении муфты на ходу. Полумуфты с трапецеидальными кулачками гораздо легче входят во взаимное зацепление, поскольку в начальный момент соединения ширина впадин между кулачками существенно превышает толщину входящих в них вершин кулачков. Наиболее благоприятны с точки зрения лёгкости включения кулачки треугольной формы, но вследствие относительно больших углов наклона рабочих граней кулачков в муфтах с такими кулачками действуют максимальные выключающие силы.
Кулачковые и зубчатые муфты изготавливаются обычно из углеродистых или легированных сталей (сталь 45, 50, 40ХН, 38ХМЮА и др.). Рабочие поверхности кулачков подвергаются химической или химико-термической обработке для достижения высокой твёрдости контактной поверхности (HRC 56…62).
Кулачки кулачковых муфт обычно рассчитываются на контактную прочность и, если длина кулачка по серединной окружности не превышает его высоты, на изгиб. При этом предполагается, что нагрузка между кулачками распределена равномерно и давление по площадке контакта также распределено равномерно. В этом случае
напряжения смятия
; (16.19)
а напряжения изгиба
; (16.20)
где Tк расчётный момент, определяемый как сумма рабочего и инерционного (возможно пускового) моментов; dср средний диаметр муфты по кулачкам; z число кулачков в одной из полумуфт; F и h площадь проекции контактной поверхности кулачка на диаметральную плоскость и высота кулачка, соответственно;Wи осевой момент сопротивления основания кулачка.
При увеличении степени рассинхронизации скорости соединяемых валов в момент включения допускаемые контактные напряжения уменьшают в 1,5…3 раза.
На наклонных рабочих гранях кулачков в работающей муфте возникает осевая сила, стремящаяся развести полумуфты, то есть произвести её выключение. Эта сила
; (15.21)
где f1 коэффициент трения подвижной полумуфты относительно вала; d диаметр вала; угол наклона рабочей грани кулачка по отношению к диаметральной плоскости; угол трения между гранями сопряжённых кулачков (tg = f, где f коэффициент трения для тех же поверхностей). Для исключения выключающей силы, гарантирующего невозможность самопроизвольного расцепления полумуфт, необходимо, чтобы выражение в квадратных скобках не превышало по величине нуля. Если принять f1 = f, что достаточно часто соответствует действительности, то условие невыключаемости муфты самопроизвольно запишется, как
; (15.22)
Для принудительного включения муфты под нагрузкой требуется приложить включающее осевое усилие к подвижной полумуфте
. (15.23)
При расчёте кулачковых муфт обычно принимают f1 = f = 0,15…0,2.
Фрикционные муфты передают вращающий момент посредством сил трения, возникающих на поверхностях сцепляющихся элементов (рис. 16.13).
Фрикционные муфты нашли широкое применение в подвижных машинах, как колёсных, так и гусеничных (в автомобилях это муфта сцепления, в танках, БМП и других гусеничных машинах главный фрикцион).
|
Рис. 15.13. Некоторые разновидности фрикционных муфт |
Широкое распространение фрикционных муфт обусловлено их несомненными достоинствами:
1. допускают включение при любом различии угловых скоростей соединяемых валов (не нужно их предварительно синхронизировать);
2. обеспечивают плавный разгон ведомого вала;
3. позволяют плавно регулировать скорость вращения ведомого вала и время его разгона;
4. выполняют предохранительную функцию, ограничивая величину нагрузочного момента, передаваемого от ведомого вала ведущему.
Основным недостатком фрикционных муфт является неспособность обеспечить полную синхронность вращения ведущего и ведомого валов вследствие проскальзывания.
Классификация фрикционных муфт:
1. по направлению действия замыкающего усилия осевые и радиальные;
2. по форме и конструкции элементов трения
|
осевые: |
а) конусные; |
|
б) дисковые; |
|
|
радиальные: |
в) колодочные; |
|
г) ленточные; |
|
|
д) с разжимным кольцом; |
3. по наличию смазки на поверхностях трения сухие и масляные.
В сухих муфтах поверхности трения работают без смазки, в масляных тела трения погружены в масляную ванну.
Качество фрикционных муфт (жесткость и стабильность сцепления, срок службы, частота включений-выключений) определяются главным образом качеством использованных для их изготовления фрикционных материалов. Эти материалы должны отвечать следующим требованиям:
1. обеспечивать высокий и постоянный во времени коэффициент трения;
2. обладать высокой износоустойчивостью;
3. иметь достаточную прочность при одновременной способности хорошо прирабатываться;
4. иметь высокую теплопроводность для теплоотвода от поверхности
трения;
5. иметь высокую теплоустойчивость и химическую стойкость против продуктов разложения и окисления смазочных материалов при высокой температуре;
6. иметь хорошую обрабатываемость, малую стоимость и недефицитность.
Расчёт прочности и работоспособности фрикционных муфт выполняется по удельному давлению на поверхностях трения, а расчёт несущей способности по удельному давлению и коэффициенту трения на рабочих поверхностях (табл. 16.1)
Таблица 16.1
Допустимые удельные давления [p] и коэффициенты трения f для некоторых фрикционных пар.
|
Фрикционная пара |
Условия смазки |
||||
|
масляные |
сухие |
С попаданием смазки |
|||
|
[p], МПа |
f |
[p], МПа |
f |
f |
|
|
Сталь сталь |
0,6…0,8 |
0,05…0,08 |
0,18 |
0,1 |
|
|
Чугун чугун или сталь |
0,6…0,8 |
0,08…0,1 |
0,2…0,3 |
0,15…0,18 |
0,12 |
|
Сталь бронза |
0,4…0,6 |
0,08 |
0,18 |
0,11 |
|
|
Металлокерамика сталь |
0,8 |
0,08 |
0,3 |
0,25…0,45 |
|
|
Текстолит сталь |
0,4…0,6 |
0,1 |
0,12 |
||
|
Феродо сталь |
0,08 |
0,2…0,3 |
0,3 |
Данные таблицы соответствуют скорости скольжения при включении vs 2,5 м/с и частоте включений не выше 100 в час. При скоростях скольжения фрикционных элементов в момент включения, превышающих указанную величину рабочее удельное давление следует уменьшить. Для этих условий работы удельное давление может быть вычислено по эмпирической формуле
; (16.24)
где vs скорость скольжения, м/с; [p] допустимые удельные давления из табл. 16.1.
Расчётный рабочий момент муфты зависит от величины передаваемого момента (от момента сопротивления на ведомом валу):
; (16.25)
где коэффициент запаса сцепления (1,2 3,5, для колёсных транспортных машин принимают = 1,2…1,5, для гусеничных = 1,5…2,0); km коэффициент, учитывающий частоту включения муфты (при nвкл 100 km =1, в остальных случаях
); kv коэффициент, учитывающий скорость скольжения vs (
, где vs м/с).
Рабочий момент конусной муфты (рис. 16.13, в) и осевое усилие, необходимое для обеспечения контакта фрикционных поверхностей в процессе её работы, связаны с конструктивными параметрами муфты соотношениями
. (16.26)
В этих выражениях Dт средний диаметр поверхности трения; b ширина поверхности трения; p удельное давление; f коэффициент трения; угол между образующей конуса и осью вала.
Задавшись коэффициентом ширины поверхности трения = 0,15…0,25 ( = b / Dт) и выбрав значение угла конусной муфты (для трения металла по металлу = 8…10, для дерева по металлу 20, для кожи и феродо по металлу 12,5) можно определить средний диаметр поверхности трения (проектный расчёт).
Дисковая муфта может иметь одну (рис. 16.13, а) или несколько пар трения (рис. 16.13, б). При этом наружный D и внутренний d диаметры поверхностей трения для всех контактных пар практически одинаковы. Тогда для всех этих поверхностей ширина
, а средний диаметр
. В этом случае рабочий момент муфты и осевое усилие, необходимое для обеспечения необходимого сжатия дисков, связаны с конструктивными параметрами муфты соотношениями
(16.27)
и
. (16.28)
В последних выражениях z количество пар поверхностей трения, остальные обозначения определены выше.
Достаточно часто с целью уменьшения диаметра дисковой муфты увеличивают количество поверхностей трения за счёт увеличения числа дисков, связанных с ведущей и ведомой полумуфтами. При этом, как правило, число дисков ведущей полумуфты n1 берут на один меньше числа дисков ведомой полумуфты n2. Общее число дисков
не может быть более 30, поскольку при большом числе дисков из-за их перекоса либо коробления муфта плохо выключается (говорят: «муфта ведёт»).
При проектном расчёте фрикционных муфт удобным является в первую очередь вычислить приведённый диаметр муфты Dm (см. рис. 16.13), удовлетворяющий соотношению
, в котором Ff полная тангенциальная сила трения по всем фрикционным поверхностям. Приведённый диаметр муфты связан с наружным и внутренним диаметрами поверхностей трения выражением
; (16.29)
где
. (16.30)
Относительный внутренний диаметр поверхности трения и коэффициент её ширины для конических и дисковых муфт связаны соотношением
. (16.31)
Однако более удобным для вычисления относительного внутреннего диаметра поверхности трения по заданному её коэффициенту ширины является приближённое эмпирическое выражение
. (16.32)
С учётом использования нескольких пар поверхностей трения, как в многодисковой муфте, приведённый диаметр муфты может быть вычислен по соотношению
; (16.33)
где z число взаимодействующих пар поверхностей трения, остальные обозначения определены выше.
При использовании сегментных накладок или отдельных колодок необходимо учесть потери площади трения на промежутки между отдельными накладками или колодками.
|
Методика подбора стандартных муфт |
Муфты, нашедшие в промышленности наибольшее применение, стандартизованы (например, шарнирные, с упругой торообразной оболочкой, втулочно-пальцевые и ряд других). Главной паспортной характеристикой стандартной муфты является величина максимального момента [T] (указывается в стандарте), который она способна передать. Поэтому стандартизованные муфты подбираются в соответствии с величиной передаваемого вращающего момента по условию
; (16.34)
где T рабочий момент, передаваемый муфтой, K коэффициент ответственности и условий работы привода, учитывающий возможное возрастание нагрузки при случайных нештатных ситуациях. Обычно в машиностроении 1,0 K 6,0. В свою очередь коэффициент K состоит из произведения нескольких частных коэффициентов. Наиболее употребимыми являются два из них, что позволяет записать
; (16.35)
где kот коэффициент ответственности (если отказ муфты вызывает просто остановку машины, то kот=1, аварию машины kот=1,2, аварию нескольких машин kот=1,5, аварию с человеческими жертвами, катастрофу kот=1,8); kур коэффициент условий работы машины (спокойная работа без реверсированияkур=1, неравномерная нагрузка kур=(1,1…1,3), тяжёлая работа с ударами и реверсированием kур=(1,3…1,5)). Особые условия работы могут быть учтены посредством введения дополнительных повышающих коэффициентов.
После выбора муфты с соответствующим максимальным передаваемым моментом проверяется возможность установки элементов муфты на соединяемые валы уже известного диаметра. При этом следует учесть, что, во-первых, стандартами допускается изготовление одинаковых элементов муфты на несколько вариантов посадочных диаметров, а во-вторых, большинство муфт допускает расточку посадочных отверстий в достаточно широком диапазоне, и такая расточка, если она необходима, должна быть указана в заказной спецификации.
В лекции рассмотрена только незначительная часть из огромной номенклатуры муфт, используемых в промышленности. Расширить свои знания в этой области можно с помощью многочисленных учебников и специальной технической литературы.
|
Вопросы для самоконтроля: |
1. Что в технике называют муфтой? Какие устройства подразумеваются под этим названием в курсе «детали машин»?
2. Какие функции выполняют муфты в механизмах и агрегатах?
3. Назовите основные классификационные признаки муфт.
4. Назовите основные разновидности глухих муфт. Перечислите их главные достоинства и недостатки.
5. В чём разница продольно-разъёмных и поперечно-разъёмных муфт?
6. Что и на какие виды напряжений рассчитывается во втулочной муфте?
7. Что и на какие виды напряжений рассчитывается в продольно-разъёмной муфте?
8. Что и на какие виды напряжений рассчитывается в поперечно-разъёмной муфте?
9. Какие муфты можно назвать подвижными?
10. Что компенсируют компенсирующие муфты? Назовите возможные виды относительного смещения валов, соединяемых муфтой.
11. Назовите принципиальные различия между жёсткими и упругими муфтами.
12. Объясните конструктивную схему и особенности зубчатых муфт. Для какой цели они применяются?
13. Назовите основной принцип проектного расчёта нестандартных зубчатых муфт.
14. Объясните конструктивную схему и особенности крестово-кулисной муфты. Для какой цели она применяется?
15. Какие процессы идут в крестово-кулисной муфте при соединении вращающихся несоосных валов? Как можно бороться с нежелательными эффектами работы крестово-кулисной муфты?
16. назовите основной принцип проектного расчёта крестово-кулисной муфты.
17. Как можно сократить нежелательные центробежные силы при установке крестово-кулисной муфты на высокоскоростные валы?
18. Объясните конструктивную схему и особенности шарнирной муфты. Для какой цели она применяется?
19. В чём заключается главный недостаток шарнирной муфты? Каким способом его исключают при использовании таких муфт в машинах?
20. Какое устройство называют упругой муфтой? Для чего оно предназначено?
21. Объясните конструктивную схему втулочно-пальцевой муфты? Как она рассчитывается?
22. Объясните конструктивную схему муфты с торообразной упругой оболочкой? Как она рассчитывается?
23. Какие муфты называют сцепными? Какие требования к ним предъявляются?
24. Объясните конструктивную схему и особенности кулачковых и зубчатых сцепных муфт. Для какой цели она применяется?
25. Какие отрицательные эффекты могут наблюдаться при работе кулачковых и зубчатых сцепных муфт?
26. Объясните основные принципы расчёта кулачковых и зубчатых сцепных муфт.
27. Объясните конструктивную схему и особенности работы фрикционной муфты. Для какой цели она применяется?
28. Перечислите основные достоинства и недостатки фрикционных муфт.
29. назовите основные виды фрикционных муфт.
30. Назовите основные фрикционные материалы, используемые во фрикционных муфтах, и требования к ним.
31. Объясните основные принципы проектного и проверочного расчёта фрикционных муфт.
32. Объясните основной принцип подбора стандартных муфт.
ТЕМА 7. УПРУГИЕ ЭЛЕМЕНТЫ МАШИН
Лекция № 17. Упругие элементы машин
Вопросы, изложенные в лекции:
1. Упругие элементы. Назначение, классификация, область применения.
2. Винтовые пружины растяжения сжатия.
3. Торсионные валы.
|
Упругие элементы. Назначение, классификация, область применения. |
Упругими элементами называют детали машин, работа которых основана на способности изменять свою форму под воздействием внешней нагрузки и восстанавливать ее в первоначальном виде после снятия этой нагрузки.
В технических устройствах используется большое число различных упругих элементов, но наиболее распространены следующие три типа элементов, выполненных как правило из металла:
Пружины (рис. 16.1, а…м) упругие элементы, предназначенные для создания (восприятия) сосредоточенной силовой нагрузки.
Торсионы (рис. 16.1, н) - упругие элементы, выполненные обычно в форме вала и предназначенные для создания (восприятия) сосредоточенной моментной нагрузки.
Мембраны - упругие элементы, предназначенные для создания (восприятия) распределенной по их поверхности силовой нагрузки (давления).
|
Рис. 17.1. Некоторые упругие элементы машин: винтовые пружины - а) растяжения, б)сжатия, в) коническая сжатия, г) кручения; д)телескопическая ленточная пружина сжатия; е)наборная тарельчатая пружина; ж, з) кольцевые пружины; и) составная пружина сжатия; к)спиральная пружина; л) пружина изгиба; м)рессора (наборная пружина изгиба); н)торсионный валик. |
Упругие элементы в машинах и механизмах могут выполнять следующие функции:
1) создавать постоянно действующие усилия (моменты), необходимые для силового замыкания кинематических пар (кулачковые механизмы, муфты фрикционные, кулачковые и др., стопоры, защелки и т.п.);
2) обеспечивать беззазорность в кинематических парах механизмов с целью повышения их кинематической точности (например, в составных зубчатых колесах приборов);
3) предохранять механизмы от воздействия чрезмерных нагрузок при ударах и вибрациях (рессоры, пружины, амортизаторы);
4) накапливать энергию в процессе деформации под действием внешней нагрузки и отдавать ее для работы механизмов в процессе восстановления исходной формы (часовая пружина в механических часах, боевая пружина стрелкового оружия);
5) Выполнять преобразование силы в перемещение при использовании в качестве чувствительных элементов приборов (весоизмерительные приборы, приборы измерения давления, вакуумметры и т.п.)
Классификация упругих элементов:
1) По виду создаваемой (воспринимаемой) нагрузки: силовые (пружины, амортизаторы, демпферы) - воспринимают сосредоточенную силу; моментные (моментные пружины, торсионы) сосредоточенный крутящий момент (пару сил);воспринимающие распределенную нагрузку (мембраны давления, сильфоны, трубки Бурдона и т.п.).
2) По виду материала, использованного для изготовления упругого элемента: металлические (стальные, стальные нержавеющие, бронзовые, латунные пружины, торсионы, мембраны, сильфоны, трубки Бурдона) и неметаллические, изготовленные из резин и пластмасс (демпферы и амортизаторы, мембраны).
3) По виду основных напряжений, возникающих в материале упругого элемента в процессе его деформации:растяжения-сжатия (стержни, проволоки), кручения (винтовые пружины, торсионы), изгиба (пружины изгиба, рессоры).
4) В зависимости от взаимосвязи нагрузки, действующей на упругий элемент, с его деформацией: линейные (график нагрузка-деформация представляет прямую линию) и нелинейные (график нагрузка-деформация непрямолинеен).
5) В зависимости от формы и конструкции: пружины, цилиндрические винтовые, одно- и многожильные, конические винтовые, бочкообразные винтовые, тарельчатые, цилиндрические прорезные, спиральные (ленточные и круглые), плоские, рессоры (многослойные пружины изгиба), торсионы (пружинные валы),фигурные и т.п.
6) В зависимости от способа изготовления: витые, точеные, штампованные, наборные и т.п.
Упругие элементы находят самое широкое применение в различных областях техники. Их можно обнаружить и в авторучках, которыми вы пишете конспекты, и в стрелковом оружии (например, боевая пружина), и в МГКМ (клапанные пружины двигателей внутреннего сгорания, пружины в муфтах сцепления и главных фрикционах, пружины тумблеров и переключателей, резиновые кулаки в ограничителях поворота балансиров гусеничных машин и т.д. и т.п.).
В военной технике наряду с цилиндрическими винтовыми одножильными пружинами растяжения-сжатия широкое распространение получили моментные пружины и торсионные валы.
В данной лекции рассматриваются только два вида из большого числа упругих элементов: цилиндрические винтовые пружины растяжения-сжатия иторсионы.
|
Винтовые пружины растяжения-сжатия. |
В машиностроении наибольшее распространение получили винтовые одножильные пружины, витые из проволоки цилиндрические, конические и бочкообразные. Цилиндрические пружины имеют линейную характеристику (зависимость сила-деформация), две другие нелинейную.
|
Рис. 17.2. Цилиндрическая пружина сжатия |
Цилиндрические пружины изготавливаются, как правило, методом навивки проволоки на оправку. При этом пружины из проволоки диаметром до 8 мм навиваются, как правило, холодным способом, а из проволоки (прутка) большего диаметра горячим способом, то есть с предварительным подогревом заготовки до температуры пластичности металла. Пружины сжатия навиваются с необходимым шагом между витками. При навивке пружин растяжения проволоке обычно придается дополнительное осевое вращение, обеспечивающее плотное прилегание витков друг к другу. При таком способе навивки между витками возникают силы сжатия, достигающие до 30 % от максимально допустимого значения для данной пружины. Крайние (опорные) витки пружин сжатия (рис. 17.2.) обычно поджимаются и сошлифовываются, чтобы получить плоскую, перпендикулярную продольной оси пружины, опорную поверхность, занимающую не менее 75 % круговой длины витка. После обрезки в нужный размер, подгибки и подшлифовки концевых витков пружины подвергаются стабилизирующему отжигу.
Наибольшее количество пружин изготавливают из высокоуглеродистых и легированных сталей с содержанием углерода 0,5…1,1%. Модуль упругости пружинных сталей E = (2,1…2,2)105 МПа, модуль сдвига G = (7,6…8,2)104 МПа.
Для изготовления пружин, работающих в агрессивной среде, вызывающей коррозию углеродистых сталей применяют нержавеющие стали, или сплавы на основе меди. Модуль упругости сплавов на медной основе E = (1,2…1,3)105 МПа, модуль сдвига G = (4,5…5,0)104 МПа.
Механические свойства некоторых материалов, применяемых для изготовления пружин представлены в табл. 17.1.
Основными геометрическими параметрами цилиндрических винтовых пружин растяжения-сжатия (рис. 17.2) являются: D0 средний диаметр навивки пружины, d диаметр проволоки (прутка), t шаг навивки, H0 длина пружины в свободном состоянии (обычно геометрические параметры измеряются в мм);конструктивными параметрами являются: n число рабочих витков, n1 полное число витков (с учетом концевых подогнутых, опорных витков), c = D0 / d индекс пружины, характеризующий кривизну ее витка. Все перечисленные конструктивные параметры величины безразмерные. К силовым и упругим параметрам можно отнести: жесткость пружины z, жесткость одного витка пружины z1 (обычно единицей измерения жесткости является Н/мм), минимальную рабочую P1, максимальную рабочую P2 и предельную P3 силы пружины (измеряются в Н), величину деформации пружины F под действием приложенной силы, а также величину деформации одного витка f под действием нагрузки. Жесткость пружины z равна величине нагрузки, необходимой для деформации всей пружины на единицу длины, а жесткость одного витка пружины z1 равна величине нагрузки, необходимой для деформации одного витка этой пружины на единицу длины. Присваивая символу F, обозначающему деформацию, необходимый подстрочный индекс, можно записать соответствие между деформацией и силой, её вызвавшей (см. первое из соотношений (17.1)).
|
Таблица 17.1 Механические свойства материалов для пружин Материал Марка Предел прочности на растяжениев, МПа Предел прочности на кручение , МПа Относительное удлинение , % Материалы на основе железа Углеродистые стали 65 70 75 85 1000 1050 1100 1150 800 850 900 1000 9 8 7 6 Рояльная проволока -- 2000…3000 1200…1800 2…3 Холоднокатаная пружинная проволока (нормальной Н, повышенной П и высокой В прочности) Н П В 1000…1800 1200…2200 1400…2800 600…1000 700…1300 800…1600 Марганцовистые стали 65Г 55ГС 700 650 400 350 8 10 Хромованадиевая сталь 50ХФА 1300 1100 10 Коррозионно-стойкая сталь 40Х13 1100 800 12 Кремнистые стали 55С2 60С2А 70С3А 1300 1300 1800 1200 1200 1600 6 5 5 Хромо-марганцовистые стали 50ХГ 50ХГА 1300 1100 1200 5 6 Никель-кремниевая сталь 60С2Н2А 1800 1600 5 Хромокремневанадиевая сталь 60С2ХФА 1900 1700 5 Вольфрамокремниевая сталь 65С2ВА Медные сплавы Оловянисто-цинковая бронза Кремнемарганцовистая бронза БрО4Ц3 БрК3Мц1 800…900 500…550 1…2 Бериллиевые бронзы БрБ2 БрБ2,5 800…1000 500…600 3…5 |
Силовые и упругие характеристики пружины связаны между собой простыми соотношениями:
(17.1)
Цилиндрические винтовые пружины, выполненные из холоднокатаной пружинной проволоки (см. табл. 17.1.), стандартизованы. В стандарте указываются: наружный диаметр пружины DН, диаметр проволоки d, максимально допустимая сила деформации P3, предельная деформация одного витка f3, и жесткость одного витка z1. Проектный расчет пружин из такой проволоки выполняют методом подбора. Для определения всех параметров пружины в качестве исходных данных необходимо знать: максимальное и минимальное рабочие усилия P2 и P1 и одну из трех величин, характеризующих деформацию пружины величину рабочего хода h, величину ее максимальной рабочей деформации F2, или жесткость z, а также размеры свободного пространства для установки пружины.
Обычно принимают P1 = (0,1…0,5)P2 и P3 = (1,1…1,6)P2. Далее по величине предельной нагрузки P3 подбирают пружину с подходящими диаметрами наружным пружины DН и проволоки d. Для выбранной пружины, используя соотношения (17.1) и параметры деформации одного витка, указанные в стандарте, можно определить необходимые жесткость пружины и число рабочих витков:
. (17.2)
Полученное расчетом число витков округляют до 0,5 витка при n 20 и до 1 витка при n > 20. Поскольку крайние витки пружины сжатия подгибают и сошлифовывают (они не участвуют в деформации пружины), полное число витков обычно увеличивают на 1,5…2 витка, то есть
n1 = n + (1,5…2). (17.3)
Далее, используя связь жесткости пружины с жесткостью одного витка (см. 17.1), уточняют жесткость пружины.
Зная жесткость пружины и нагрузки на ней, можно вычислять все ее геометрические параметры. Длина пружины сжатия в полностью деформированном состоянии (под действием силы P3)
. (17.4)
Длина пружины в свободном состоянии
. (17.5)
Далее можно определить длину пружины при нагружении ее рабочими силами, предварительного сжатия P1 и предельной рабочей P2
. (17.6)
При выполнении рабочего чертежа пружины на нем параллельно продольной оси пружины обязательно строится диаграмма (график) ее деформации, на котором отмечаются с допускаемыми отклонениями длины H1, H2, H3 и силы P1, P2, P3. На чертеже справочными размерами наносятся: шаг навивки пружины t =f3 + d и угол подъема витков = arctg(t / D0).
Винтовые цилиндрические пружины, выполненные из других материалов, не стандартизованы. Проектный расчет таких пружин производится из условия прочности по напряжениям скручивания, поскольку все остальные виды напряжений составляют малую долю от скручивающих. Как известно, при кручении стержня напряжения в опасном сечении
; (17.7)
где Mкр крутящий момент, а
полярный момент сопротивления сечения витка пружины, навитой из проволоки диаметром d. Для учета неравномерности распределения напряжения по сечению витка, обусловленного кривизной его оси, в формулу (17.7) вводится коэффициент k, зависящий от индекса пружины
. При обычных углах подъема витка, лежащих в пределах 6…12 коэффициент k с достаточной для расчетов точностью можно вычислить по выражению
. (17.8)
Учитывая изложенное, зависимость (17.7) преобразуется к следующему виду
. (17.9)
Из последнего получаем
или
. (17.10)
При известных геометрических параметрах цилиндрической винтовой пружины ее жесткость можно вычислить по формуле
; (17.11)
а величину деформации (осадки) пружины
. (17.12)
При проектном расчете нестандартных пружин выражения (16.11) или (16.12) используют, как правило, для вычисления количества рабочих витков. Длина проволоки, необходимой для навивки пружины с заданными геометрическими параметрами, может быть определена по выражению
. (17.13)
Для углов подъема витка = 6…9 последнее выражение может быть заменено более простым приближенным выражением, дающим результат с достаточной для практического применения точностью
. (17.14)
Длина проволоки, необходимой для навивки пружины указывается в технических требованиях ее чертежа.
|
Таблица 17.2 Рекомендации по выбору допускаемых напряжений при расчете пружин и торсионов Характер нагрузки Допускаемые напряжения кручения [] Статическая 0,6В Отнулевая (0,45…0,5)В Знакопеременная или ударная (0,25…0,3)В |
Отношение длины пружины в свободном состоянии H0 к ее среднему диаметру D0 называют индексом гибкости пружины (или просто гибкостью). Обозначим индекс гибкости , тогда по определению = H0 / D0. Обычно при 2,5 пружина сохраняет устойчивость до полного сжатия витков, если же 2,5 возможна потеря устойчивости (возможен изгиб продольной оси пружины и выпучивание ее вбок). Поэтому для длинных пружин применяют либо направляющие стержни, либо направляющие гильзы, удерживающие пружину от выпучивания в сторону.
|
Торсионные валы. |
Торсионные валы устанавливаются таким образом, чтобы исключить на них воздействие изгибающей нагрузки. Наиболее распространенным является соединение концов торсионного вала с взаимно подвижными в угловом направлении деталями при помощи шлицевого соединения. Поэтому материал торсионного вала работает в чистом виде на кручение, следовательно для него справедливо условие прочности (17.7). Это означает что наружный диаметр D рабочей части полого торсиона можно подобрать по соотношению
; (17.15)
где b = d / D относительная величина диаметра отверстия, выполненного по оси торсиона.
При известных диаметрах рабочей части торсиона его удельный угол закручивания (угол поворота вокруг продольной оси одного конца вала относительно другого его конца, отнесенный к длине рабочей части торсиона) определится равенством
, (17.16)
а предельно допустимый угол закручивания для торсиона в целом будет
. (17.17)
Таким образом, при проектном расчете (определении конструктивных размеров) торсиона его диаметр вычисляют исходя из предельного момента (формула 17.15), а длину - из предельного угла закручивания по выражению (17.17).
Допускаемые напряжения для винтовых пружин сжатия-растяжения и торсионов можно назначать одинаковыми в соответствии с рекомендациями табл. 17.2.
В лекции представлены краткие сведения, касающиеся конструкции и расчета двух, наиболее часто встречающихся, упругих элементов механизмов машин цилиндрических винтовых пружин и торсионов. Однако номенклатура применяемых в технике упругих элементов достаточно велика. Каждый из них характеризуется своими особенностями. Поэтому для получения более подробных сведений по проектированию и расчету упругих элементов следует обращаться к технической литературе.
|
Вопросы для самоконтроля: |
1. Какие детали машин можно назвать упругими элементами?
2. В чем различие между пружиной и торсионом?
3. Какие функции может выполнять упругий элемент в механизме (назначение упругих элементов)?
4. Как различаются упругие элементы по виду воспринимаемой (создаваемой) нагрузки?
5. Что понимается под термином: «линейная (нелинейная) упругая характеристика»?
6. Какие конструктивные разновидности упругих элементов Вы знаете?
7. Назовите основные типы материалов, применяемых для изготовления упругих элементов.
8. Назовите основные способы изготовления пружин.
9. Чем различаются винтовые пружины сжатия и растяжения?
10. Назовите основные конструктивные параметры цилиндрических винтовых пружин сжатия.
11. Назовите основные силовые и деформационные характеристики цилиндрических винтовых пружин сжатия.
12. Назовите основные конструктивные параметры торсионов.
13. Назовите основные силовые и деформационные характеристики торсионов.
14. Какие виды напряжений наиболее опасны для винтовых цилиндрических пружин и торсионов?
15. Как назначаются допускаемые напряжения при расчете винтовых пружин и торсионов?
16. Какие характеристики пружины указываются на ее рабочем чертеже?
ПРИЛОЖЕНИЕ 1
ОСНОВНЫЕ ПОНЯТИЯ О ВЗАИМОЗАМЕНЯЕМОСТИ, ДОПУСКАХ И ПОСАДКАХ
При производстве, эксплуатации и ремонте изделий принцип взаимозаменяемости имеет важное значение.
Взаимозаменяемость свойство составной части изделия, обеспечивающее возможность ее применения взамен другой подобной с сохранением заданного качества изделия, в состав которого она входит.
Необходимо различать 4 вида взаимозаменяемости:
полная взаимозаменяемые однотипные детали изделия могут быть изготовлены и установлены «на свое место» без всякой дополнительной обработки (подшипники, крепежные изделия);
неполная взаимозаменяемость обеспечивается в среднем, на основе теоретико-вероятностных расчетов (широко применяется в массовом производстве);
групповая детали изготавливаются на распространенном станочном оборудовании с технологически выполнимыми на данном оборудовании допусками, перед установкой сопрягаемые детали сортируются на несколько размерных групп, а на сборку подаются детали с одинаковым номером группы (поршни, гильзы цилиндров и поршневые кольца двигателей внутреннего сгорания);
обеспечиваемая посредством регулирования и подгонки в этом случае указывается деталь или её элемент, подвергаемые пригоночной доработке в процессе сборки, или вводятся регулировочные детали, называемые компенсаторами.
Обеспечению взаимозаменяемости посвящено значительное число стандартов, большая часть которых объединена в две системы: ЕСДП «Единая система допусков и посадок» и ОНВ «Основные нормы взаимозаменяемости». ЕСДП охватывает допуски гладких элементов деталей и посадки, образуемые при соединении по ним (плоскость, цилиндр, сфера). ОНВ регламентируют допуски и посадки шпоночных, шлицевых, резьбовых и конических соединений, а также зубчатых передач и колес.
Допуски характеризуют точность изготовления размерных характеристик детали, а посадки характеризуют характер и качество сопряжения соединяемых деталей. Допуски и посадки указываются на рабочих и сборочных чертежах, чертежах общих видов и в другой технической документации.
Основным документом, регламентирующим размеры и качество изготовления детали является ее рабочий чертеж. Размеры элементов детали делятся наноминальные те, которые проставляются непосредственно на чертеже, действительные размеры, полученные фактически после изготовления детали, ипредельные те размеры, выход за которые действительного размера приводит к нарушению взаимозаменяемости или работоспособности детали. Номинальные размеры, проставляемые на чертеже, регламентированы ГОСТ 6636, который включает четыре ряда основных размеров (в порядке предпочтения: Ra5, Ra10, Ra20, Ra40) и один ряд дополнительных размеров. Чем ниже номер ряда, тем более крупная градация размеров в нем используется (табл. П1.1). Размеры, меньшие 1 мм и большие 10 мм, можно получить умножением размеров табл. П1.1 на соответствующую степень десяти (10-1; 10-2; 10; 102 и т.д.).
Предельные размеры, в свою очередь, делятся на наименьшие предельные размеры и наибольшие предельные размеры.
|
Таблица П1.1. Ряды основных нормальных линейных размеров, мм Ряд Размеры Ra5 1,0
Ra10 1,0
1,2
Ra20 1,0
1,1
1,2
1,4
Ra40 1,0 1,05 1,1 1,15 1,2 1,3 1,4 1,5 Ряд Размеры Ra5 1,6
Ra10 1,6
2,0
Ra20 1,6
1,8
2,0
2,2
Ra40 1,6 1,7 1,8 1,9 2,0 2,1 2,2 2,4 Ряд Размеры Ra5 2,5
Ra10 2,5
3,2
Ra20 2,5
2,8
3,2
3,6
Ra40 2,5 2,6 2,8 3,0 3,2 3,4 3,6 3,8 Ряд Размеры Ra5 4,0
Ra10 4,0
5,0
Ra20 4,0
4,5
5,0
5,6
Ra40 4,0 4,2 4,5 4,8 5,0 5,3 5,6 6,0 Ряд Размеры Ra5 6,3
Ra10 6,3
8,0
Ra20 6,3
7,1
8,0
9,0
Ra40 6,3 6,7 7,1 7,5 8,0 8,5 9,0 9,5 |
|
|
Но на чертежах проставляются не предельные размеры, а предельные отклонения (обязательно со знаком «+» или «-»). Предельное отклонение это разность между предельным и номинальным размерами. Действительное отклонение это разность между действительным (полученным при изготовлении конкретной детали) и номинальным размерами.
Предельные отклонения проставляются справа от номинального размера в виде надстрочного и подстрочного индексов. Верхнее предельное отклонение всегда ставится вверху, нижнее - внизу (независимо от их знаков). Если одно из предельных отклонений равно нулю, то оно на чертеже не ставится.
Все размеры деталей принято делить на 3 группы: Охватывающие, которым присвоено общее название отверстие; охватываемые, которые объединены общим названием вал, и ступенчатые размеры, относимые к прочим. Охватывающие это размеры, измеряемые поверхности которых смотрят внутрь, одна на другую (обычно обозначаются буквой «D» - D, Dmin, Dmax). Охватываемые это размеры, измеряемые поверхности которых смотрят наружу, в противоположные стороны (обычно обозначаются буквой «d» - d, dmin, dmax). Ступенчатые (прочие) это размеры, измеряемые поверхности которых направлены в одну сторону.
|
Рис. П1.2. Схема расположения полей допусков вала относительно нулевой линии (номинальной поверхности): а -выше; б - симметрично; в - ниже; ei - нижнее отклонение; es - верхнее отклонение; Td - поле допуска размера. |
|
Рис. П1.1. Схема расположения полей допусков при посадке с зазором; Dnom, Dmax, Dmin - номинальный, максимальный и минимальный диаметры отверстия; dnom, dmax, dmin - номинальный, максимальный и минимальный диаметры вала; es - верхнее отклонение, ei - нижнее отклонение размера; Td - поле допуска размера. |
Точность изготовления детали характеризуется допусками (рис. П1.1, П1.2). Допуск величина разности между максимальным и минимальным предельными размерами.
Размерную зону между верхним предельным отклонением и нижним предельным отклонением называют полем допуска (Td, рис. П1.1, П1.2). Для наглядности сравнения полей допусков их принято изображать графически в форме прямоугольников на плоскости (рис. П1.2), где отклонения откладываются по вертикали от нулевой линии, соответствующей номинальному размеру детали. Отклонения на таких диаграммах обычно изображаются в микронах (110-6 м) с применением необходимого масштаба.
ЕДИНАЯ СИСТЕМА ДОПУСКОВ И ПОСАДОК (ЕСДП)
|
Порядок формирования полей допусков |
Поля допусков стандартизованы. Стандарты ЕСДП распространяются на гладкие сопрягаемые и несопрягаемые элементы деталей с номинальными размерами до 10000 мм и регламентируют величину основных отклонений и полей допусков в этом диапазоне размеров.
Каждому классу (степени) точности в системе ЕСДП соответствует определенный квалитет (всего их 19) со своей величиной поля допуска.
Внутри каждого квалитета размеры полей допусков растут с увеличением номинальных размеров. Квалитеты нумеруются порядковыми номерами: 01; 0; 1…17. В технической документации поле допуска обозначается IT c номером квалитета (пример: IT7; IT14). В табл. П1.2 представлены рекомендации по применению полей допусков различных квалитетов.
|
Таблица П1.2. Применение квалитетов допусков ЕСДП Квалитеты Область применения 01; 0; 1 Плоскопараллельные концевые меры длины 2; 3; 4 Измерительные калибры (пробки, кольца, скобы) 5; 6 Высокоточные детали (подшипники качения, шейки коленвалов, шпиндели высокоточных станков и т.п.) 7; 8 Детали общего машиностроения средней точности 9 Детали машин низкой точности (тепловозы, полиграфические, текстильные и сельхозмашины) 10 Неответственные соединения сельхозмашин, тракторов и вагонов 11; 12 Неответственные соединения, допускающие применение поверхностей без механической обработки 13 - 17 Размеры поверхностей деталей, не входящих в соединение с другими деталями |
|
|
Основным отклонением называют одно из двух отклонений поля допуска (верхнее или нижнее), используемое для определения положения поля допуска относительно нулевой линии. Основным всегда является ближайшее к нулевой линии предельное отклонение. Основные отклонения на чертеже и в документации обозначаются буквами латинского алфавита для основных отклонений отверстий используются прописные (большие) буквы, а для обозначения основных отклонений валов строчные (малые) буквы. При этом буквы I и i не используются, но существуют основные отклонения, обозначаемые двумя буквами (CD, EF, FG, ZA,ZB,ZC). Во всех размерных группах основные отклонения H и h равны 0, а основные отклонения J и j располагаются симметрично относительно нулевой линии. Основные отклонения A…H (a…h) расположены в тело детали (для отверстий имеют знак «+», для валов «-»), а основные отклонения K…Z (k…z) расположены из тела детали (для отверстий имеют знак «-», для валов «+»). Неосновное (второе предельное) отклонение образуется путем прибавления допуска квалитета к основному отклонению в сторону от нулевой линии (кроме основных отклонений J и j). Таким образом обозначение допуска размера состоит из одной или двух букв (основное отклонение) и цифры (поле допуска для квалитетов от 01 до 17), например: D5; CD11; d6; H7; h9; J14; P6; r8 и т.д.
Сочетанием любых основных отклонений с каждым из квалитетов возможно образовать свыше тысячи полей допусков валов и отверстий. Такое разнообразие полей допусков в производственных условиях является неэкономичным, так как затрудняет унификацию режущего и мерительного инструмента. Поэтому в стандартах произведен ограничительный отбор полей допусков, рекомендованных к применению, а среди последних выделены поля допусков предпочтительного применения (в стандартах поля предпочтительного применения обычно заключены в рамки).
|
Порядок формирования посадок в соединениях |
Посадкой называется характер соединения двух деталей, определяемый величиной зазора или натяга на поверхностях контакта соединяемых деталей. Различают три типа посадок: с зазором, с натягом и переходные. Посадка (натяг или зазор) обеспечивается за счет сочетания определенного вида полей допусков на сопрягаемые поверхности. В технической документации посадка обозначается в виде дроби, числитель которой всегда является допуском отверстия, знаменатель - вала.
|
Рис. П1.3. Схема расположения полей допусков при формировании посадок в системе отверстия и системе вала; з поля допусков посадки с зазором; п - переходные посадки; н - посадки с натягом. |
При назначении основных отклонений для размеров, принадлежащих разным деталям соединения используютсистему отверстия и систему вала (рис. П1.3). В системе отверстия отверстие является основным, и для него обычно в качестве основного отклонения назначают отклонение Н (равное 0), а формирование посадки производят за счет основного допуска вала (от a до h зазор, остальные либо переходные, либо натяг); в системе вала все наоборот - основным является вал (основное отклонение вала h, равное 0), а формирование посадки производят за счет основного допуска отверстия. Стандартами рекомендуются предпочтительные сочетания полей допусков сопрягаемых деталей для посадок разной степени плотности, но принципиально возможно применение для сопрягаемых деталей самых различных сочетаний основных отклонений и квалитетов. Наиболее предпочтительным является выбор квалитета для размеров отверстий на один выше (то есть менее точного) по сравнению с валами (отверстие труднее обработать), в этом случае стоимость обработки обеих сопрягаемых поверхностей будет примерно одинакова, а качество соединения почти не ухудшается.
Наиболее наглядно посадки изображаются на диаграммах полей допусков (рис. П1.3):
при посадке с зазором поле допуска вала всегда лежит ниже поля допуска отверстия (наибольший предельный размер вала всегда меньше наименьшего предельного размера отверстия), то есть посадка гарантирует зазор в соединении при любых, выполненных в пределах допуска, размерах соединяемых деталей;
при посадке с натягом поле допуска вала всегда лежит выше поля допуска отверстия (наименьший предельный размер вала всегда больше наибольшего предельного размера отверстия), то есть посадка гарантирует натяг в соединении при любых, выполненных в пределах допуска, размерах соединяемых деталей;
при переходной посадке поля допусков частично или полностью перекрываются (наибольший предельный размер вала больше наименьшего предельного размера отверстия, а наименьший предельный размер вала меньше наибольшего предельного размера отверстия), и в этом случае в соединении возможен как некоторый зазор, так и некоторый натяг, в зависимости от действительных размеров соединяемых деталей.
Изготовление деталей с допусками, установленными в системе отверстия, обходится (при прочих равных условиях) дешевле вследствие использования меньшей номенклатуры режущего и мерительного инструмента. По этой причине основная масса деталей, изготавливаемых в машиностроении выполняется с допусками по системе отверстия. Поля допусков для отверстий и валов представлены в табл. П1.3 и П1.4 (численные значения полей допусков см. приложение 2).
Таблица П1.3 Поля допусков валов и отверстий (система отверстия)
|
Основное отверстие |
Поля допусков валов для образования посадок |
||||||
|
с зазором |
переходных |
с натягом |
|||||
|
H5 |
g4 |
g5 |
c8 |
js4 |
js5 |
n4 |
p4 |
|
H6 |
g6 |
g7 |
c9 |
js6 |
js7 |
p5 |
p6 |
|
H7 |
f4 |
f5 |
c11 |
k4 |
k5 |
p7 |
r5 |
|
H8 |
f6 |
f7 |
b9 |
k6 |
k7 |
r6 |
r7 |
|
H9 |
f8 |
f9 |
b11 |
m4 |
m5 |
s5 |
s6 |
|
H10 |
e5 |
e6 |
b12 |
m6 |
m7 |
s7 |
s8 |
|
H11 |
e7 |
e8 |
a9 |
n5 |
n6 |
t5 |
t6 |
|
H12 |
e9 |
d8 |
a11 |
n7 |
-- |
t7 |
u5 |
|
H13 |
d7 |
d8 |
-- |
-- |
-- |
u6 |
u7 |
|
H14 |
d9 |
d10 |
-- |
-- |
-- |
u8 |
v6 |
|
H15 |
d11 |
-- |
-- |
-- |
-- |
v7 |
x7 |
|
H16 |
-- |
-- |
-- |
-- |
-- |
x8 |
z7 |
|
H17 |
-- |
-- |
-- |
-- |
-- |
z8 |
-- |
|
Предпочтительные поля допусков выделены темным фоном |
Таблица П1.4 Поля допусков валов и отверстий (система вала)
|
Основной вал |
Поля допусков отверстий для образования посадок |
||||||
|
с зазором |
переходных |
с натягом |
|||||
|
h4 |
G5 |
G6 |
C8 |
Js5 |
Js6 |
P5 |
P6 |
|
h5 |
G7 |
F5 |
C9 |
J6 |
Js7 |
P7 |
P8 |
|
h6 |
F6 |
F7 |
C11 |
J7 |
Js8 |
P9 |
R6 |
|
h7 |
F8 |
F9 |
B9 |
J8 |
K5 |
R7 |
R8 |
|
h8 |
E5 |
E6 |
B11 |
K6 |
K7 |
S6 |
S7 |
|
h9 |
E7 |
E8 |
B12 |
K8 |
M5 |
T6 |
T7 |
|
h10 |
E9 |
E10 |
-- |
M6 |
M7 |
-- |
U8 |
|
h11 |
D6 |
D7 |
A9 |
M8 |
N6 |
-- |
-- |
|
h12 |
D8 |
D9 |
A11 |
N7 |
N8 |
-- |
-- |
|
h13 |
D10 |
D11 |
CD11 |
N9 |
-- |
-- |
-- |
|
h14 |
-- |
-- |
-- |
-- |
-- |
-- |
-- |
|
h15 |
-- |
-- |
-- |
-- |
-- |
-- |
-- |
|
h16 |
-- |
-- |
-- |
-- |
-- |
-- |
-- |
|
h17 |
-- |
-- |
-- |
-- |
-- |
-- |
-- |
|
Предпочтительные поля допусков выделены темным фоном |
|
Назначение и краткая характеристика посадок ЕСДП |
В таблицах П1.5 и П1.6 представлены посадки ЕСДП в системе отверстия и системе вала, рекомендуемые к применению для размеров 1- 500 мм.
Таблица П5 Рекомендуемые посадки для номинальных размеров 1-500 мм (система отверстия)
|
Скользящие посадки |
Посадки с зазором |
Посадки переходные |
Посадки с натягом |
||||||||||||||
|
H5 h4 |
H6 h5 |
H5 g4 |
H6 g4 |
H6 f6 |
H7 g6 |
H7 f7 |
H5 js4 |
H5 k4 |
H5 m4 |
H6 p5 |
H6 r5 |
H6 s5 |
H7 p6 |
H7 r6 |
|
||
|
H7 h6 |
H8 h7 |
H7 e7 |
H7 e8 |
H7 d8 |
H7 c8 |
H8 f8 |
H5 n4 |
H6 js5 |
H6 k5 |
H7 s6 |
H7 s7 |
H7 t6 |
H7 u7 |
H8 s7 |
|
||
|
H8 h8 |
H9 h8 |
H8 f7 |
H8 e8 |
H8 d8 |
H8 c8 |
H8 f9 |
H6 m5 |
H6 n5 |
H7 js6 |
H8 u8 |
H8 x8 |
-- |
H8 z8 |
-- |
|
||
|
H8 h9 |
H9 h9 |
H8 e9 |
H8 d9 |
H9 f8 |
H9 f9 |
H9 e9 |
H7 k6 |
H7 m6 |
H7 n6 |
-- |
-- |
-- |
-- |
-- |
|
||
|
H10 h9 |
H10 h10 |
H9 e8 |
H9 d9 |
H10 d10 |
H11 d11 |
H11 c11 |
H8 js7 |
H8 k7 |
H8 m7 |
-- |
-- |
-- |
-- |
-- |
|
||
|
H11 h11 |
H12 h12 |
-- |
H11 b11 |
H11 a11 |
H12 b12 |
-- |
-- |
H8 n7 |
-- |
-- |
-- |
-- |
-- |
-- |
|
||
|
Предпочтительные поля допусков выделены темным фоном |
|||||||||||||||||
Таблица П1.6 Рекомендуемые посадки для номинальных размеров 1-500 мм (система вала)
|
Скользящие посадки |
Посадки с зазором |
Посадки переходные |
Посадки с натягом |
||||||||
|
H5 h4 |
H6 h5 |
G5 h4 |
G6 h5 |
F7 h5 |
G7 h6 |
F8 h6 |
Js5 h4 |
K5 h4 |
M5 h4 |
P6 h5 |
P7 h6 |
|
H7 h6 |
H8 h7 |
F7 h6 |
E8 h6 |
D8 h6 |
F8 h7 |
E8 h7 |
N5 h4 |
Js6 h5 |
K6 h5 |
R7 h6 |
S7 h6 |
|
H8 h8 |
H9 h8 |
D8 h7 |
F9 h8 |
F8 h8 |
E9 h8 |
E8 h8 |
M6 h5 |
N6 h5 |
Js7 h6 |
T7 h6 |
U8 h7 |
|
H8 h9 |
H9 h9 |
D9 h8 |
D8 h8 |
F9 h9 |
E9 h9 |
D10 h9 |
K7 h6 |
M7 h6 |
N7 h6 |
-- |
-- |
|
H10 h9 |
H10 h10 |
D11 h11 |
C11 h11 |
B11 h11 |
D9 h9 |
D10 h10 |
Js8 h7 |
K8 h7 |
M8 h7 |
-- |
-- |
|
H11 h11 |
H12 h12 |
A11 h11 |
B12 h12 |
-- |
-- |
-- |
-- |
N8 h7 |
-- |
-- |
-- |
|
Предпочтительные поля допусков выделены темным фоном |
Посадки с зазором.
|
Рекомендации по применению посадок ЕСДП |
1. Скользящие посадки (H/h) предназначены главным образом для неподвижных соединений при необходимости частой сборки и разборки, а также для соединений подвергаемых регулированию или настройке:
H6/h5 для особо точного центрирования;
H7/h6 для установки сменных зубчатых колес в станках;
- для короткоходовых подвижных соединений (хвостовики подпружиненных клапанов в направляющих втулках, возможна ее замена на H7/g6);
- для соединения деталей со свободным передвижением при затяжке;
- для точного направления при возвратно-поступательных перемещениях (поршневой шток насоса высокого давления в направляющей втулке);
- для центрирования корпусов (стаканов) под установку подшипников качения;
H8/h7 для центрирования соединяемых деталей при пониженных требованиях к соосности;
H8/h8, H8/h9, H9/h9 для неподвижно закрепляемых деталей при невысоких требованиях к точности, относительно небольших нагрузках и необходимости обеспечения легкой сборки (низкоскоростные зубчатые колеса, шкивы и другие детали, соединяющиеся с валом на шпонке, неответственные корпуса для подшипников качения, центрирование фланцевых соединений);
- для низкоскоростных подвижных соединений с малыми перемещениями при низком коэффициенте использования (посадка подвижных элементов сцепных муфт);
H11/h11 для центрирования неподвижных соединений (торцовые и фланцевые крышки);
- для неответственных шарниров.
2. Посадки с гарантированным зазором предназначены главным образом для подвижных соединений (подшипники скольжения):
H7/g6 (движения) характеризуется минимальной величиной гарантированного зазора, применяется для соединения головки шатуна ДВС с шатунной шейкой коленчатого вала;
H7/f7 (ходовая) для подшипников скольжения при умеренных скоростях и постоянных нагрузках (свободно вращающиеся на валах колеса коробок передач, колеса, включаемые муфтами);
H6/f6 (ходовая) для точных подшипников, золотниковых пар гидропередач легковых автомобилей;
H8/f8, H8/f9, H9/f9 для подшипников скольжения при более чем двух или далеко разнесенных опорах;
- для центрирования при относительно невысоких требования к соосности (сцепные муфты, крышки цилиндров);
H7/e7, H7/e8, H8/e8, H8/e9 (легкоходовые) для подшипников скольжения при высокой частоте вращения или разнесенных опорах;
H7/d8, H8/d8 (широкоходовые) для крупных высокоскоростных подшипников скольжения;
H8/d9, H9/d9 для подшипников, температура которых меняется при работе в широких пределах.
Более грубые посадки этого типа (предпочтительно H11/d11) применяются в соединениях, работающих при наличии пыли и грязи, в шарнирных соединениях тяг рычагов и т.п.
3. Переходные посадки предназначены для неподвижных соединений деталей, подвергающихся разборке и сборке при ремонтах или по условиям эксплуатации. Взаимная неподвижность деталей посадкой не гарантируется, а обеспечивается шпонками, штифтами, нажимными винтами и т.п.:
H7/n6 (глухая) для зубчатых колес, муфт, бронзовых венцов червячных колес, поршневых пальцев в бобышках поршней ДВС (посадка в системе вала N7/h6) и других деталей, работающих при значительных нагрузках, ударах и вибрации и подвергаемых разборке при капитальном ремонте (дает наиболее прочное соединение - вероятность зазора чрезвычайно мала, но для передачи вращающего момента без закладных деталей непригодна);
H7/m6 (тугая) для соединений, подвергаемых нечастой разборке, но требующих высокого качества центровки (несколько слабее предыдущей, но вероятность получения зазора в соединении невелика);
H7/k6 (напряженная) для точного центрирования неперемещаемых зубчатых колес в металлорежущих станках, втулок в головке шатуна дизельного ДВС, шкивов, съемных муфт и т.п. (обеспечивает средний зазор близкий к нулю и хорошее центрирование, не требуя больших усилий при сборке и разборке);
H7/j6 (плотная) применяется взамен предыдущей при необходимости ручной сборки и разборки (вероятность получения натяга в соединении мала, но вследствие погрешностей формы сопрягаемых поверхностей требует некоторых усилий при сборке и разборке).
4. Посадки с натягом предназначены для передачи нагрузок между соединяемыми деталями без применения дополнительных фиксирующих элементов, поэтому назначение их параметров требует выполнения двух условий:
- обеспечение прочности соединения и передачи рабочих нагрузок при минимальном натяге;
- сохранение целостности и работоспособности соединяемых деталей при максимально возможном натяге для данной посадки.
H7/p6 для неподвижных соединений, передающих сравнительно малые осевые усилия или небольшие вращающие моменты - соединения валов с тонкостенными втулками, соединения деталей из цветных металлов и легких сплавов, центрирование тяжелонагруженных валов со ступицами с применением дополнительных деталей, передающих нагрузку (клапанное седло в гнезде блока цилиндров ДВС, зубчатые колеса на валах с дополнительным креплением шпонками, штифтами и т.п.);
H7/r6, H7/s6, H8/s7 (прессовые) для неподвижных соединений, передающих средние нагрузки без дополнительного крепления соединяемых деталей (втулка в головке шатуна компрессора, зубчатые колеса на валах коробок скоростей токарных станков, бронзовые зубчатые венцы на чугунном ободе с дополнительным креплением от проворота);
H7/u7, H8/u8 (горячепрессовые) для неподвижных соединений, передающих значительную нагрузку без дополнительного крепления (соединения собираются только тепловым способом);
H8/z8, H8/x8 для тяжелонагруженных соединений или соединений деталей, изготовленных из материалов с относительно небольшим модулем упругости.
|
Неуказанные предельные отклонения размеров в ЕСДП |
Размеры между поверхностями деталей, непосредственно не входящими в соединение (не контактирующими с поверхностями других деталей), обычно имеют точность на несколько квалитетов ниже (больший номер квалитета) по сравнению с посадочными размерами. Допускаемые отклонения на такие размеры обычно не указываются непосредственно после номинального размера, а оговариваются общей записью в технических требованиях чертежа. Такие допускаемые отклонения называют неуказанными предельными отклонениями. Неуказанные предельные отклонения всегда назначают "в тело" детали и назначают либо по квалитетам, либо по одному из специально установленных четырех классов точности: t1 точный (соответствует 12 квалитету); t2 средний (соответствует 14 квалитету); t3 грубый (соответствует 16 квалитету); t4 очень грубый (соответствует 17 квалитету). В технических требованиях чертежа должна быть ссылка либо на один класс точности, либо на один квалитет, либо на один квалитет и соответствующий ему класс точности.
Точный класс применяется для деталей с особыми свойствами (например, для деталей, колебания массы которых строго заданы и ее подгонка невозможна или недопустима).
Средний класс применяется для основной массы деталей машиностроения, подвергаемых механической обработке.
Грубый класс применяется для деталей, получаемых литьем в землю, горячей штамповкой на молотовых штампах и некоторыми другими методами.
|
Таблица П1.7 Варианты обозначения неуказанных предельных отклонений размеров в среднем классе точности Вариант № Размеры отверстий Размеры валов Прочие размеры диаметров остальных диаметров остальных Общая запись неуказанных предельных отклонений 1 +IT14 или H14 -IT14 или h14 IT14/2 или t2/2 2 +t2 -t2 t2/2 3 t2/2 4 +IT14 или H14 t2/2 -IT14 или h14 IT14/2 или t2/2 Темным фоном выделен предпочтительный вариант |
Очень грубый класс назначается для деталей, получаемых свободной и ручной ковкой, ручной газовой резкой и другими методами обработки низкой точности.
Таким образом получаем 5 способов обозначения неуказанных предельных отклонений в чертежах и другой технической документации (табл. П1.7), при этом вариант 1 является предпочтительным, а вариант 2 применять не рекомендуется.
|
Рис. П1.4 Варианты обозначения полей допусков и посадок на чертежах: а - вала; б - отверстия; в - в соединении двух деталей. |
|
Обозначение допусков и посадок в технической документации и на чертежах |
На чертежах и в технической документации допуски и посадки ставятся после номинального размера детали или соединения. ГОСТ 25346-82 предусматривает три варианта задания допусков и посадок (рис. П1.4): 1) с указанием числовых значений верхнего и нижнего предельных отклонений и их знаков, при этом нулевое отклонение не указывается (например, вал
, отверстие
или верхний ряд размеров на рис. П1.4); 2) с обозначением поля допуска основного отклонения и номера квалитета (например, вал 60k6, отверстие 60H7 или средний ряд размеров на рис. П1.4); 3) сочетанием буквенно-цифрового и численного обозначений, то есть соединением двух предыдущих вариантов (например, вал
, отверстие
или нижний ряд размеров на рис. П1.4). На чертежах общего вида и сборочных обычно указывают буквенно-цифровое обозначение допусков соединяемых деталей либо в виде дроби 60H7/k6 (числитель допуск для отверстия, знаменатель для вала), либо в строку, через тире, 60H7-k6 (перед тире допуск отверстия, после тире допуск вала).
Третий вариант обозначения предназначен для назначения стандартных предельных отклонений на размеры, не входящие в ряды нормальных линейных размеров.
В серийном производстве обычно предпочитают буквенно-цифровое обозначение допусков и посадок, поскольку этот способ облегчает выбор специализированного мерительного инструмента (калибры и скобы), в штучном численное, так как это облегчает подбор универсального мерительного инструмента необходимой точности. Таблицы допусков для размеров 1-500 мм представлены в приложении 2.
ДОПУСКИ И ПОСАДКИ ПОДШИПНИКОВ КАЧЕНИЯ
Подшипники качения обладают полной взаимозаменяемостью. Присоединительными размерами подшипника качения являются наружный диаметр D, внутренний диаметр d и ширина кольца B. Допуски на изготовление посадочных поверхностей подшипника не совпадают с допусками по квалитетам, установленными для гладких и цилиндрических поверхностей. Для подшипников качения стандартом (ГОСТ 520-71) предусмотрены 5 классов точности (Р0, Р6, Р5, Р4, Р2). Класс точности указывается перед номером подшипника, при этом буква «Р» может опускаться (Р4-205 или 4-205), а нулевой класс (подшипники общего назначения) может не ставиться.
|
Рис. П1.5. Схема расположения полей допусков для посадочных диаметров подшипника и сопрягаемых с ними поверхностей (вал и корпус) Рис. 1Схема расположения полей допусков для посадочных диаметров и сопрягаемых с ними поверхностей (вал и корпус).
|
На рис. П1.5 представлены схемы расположения полей допусков посадочных диаметров колец подшипника и поля допусков сопрягаемых с ними поверхностей для подшипника класса точности Р0 в соответствие с данными табл. П1.8.
|
Таблица П1.8 Поля допусков посадочных поверхностей, сопрягаемых с подшипниками качения по ГОСТ 3325 Класс точности подшипника Поля допусков посадочных поверхностей отверстий корпусов для посадок валов для посадок с зазором переходных с натягом с зазором переходных с натягом 0 и 6 (E9), E8, G7, (H9), H8, H7 Js7, (J7), K7, M7, N7 P7 (e9), e8, f8, f9, f7, f6 h11, (h10), h9, h8, h7, h6, js6, (j6), g6 r7, r6, p6, n6, m6, k6 5 и 4 G6, H6 Js6, (J6), K6, M6 P6, N6 g5 js5, (j5), h5 p5, n5, m5, k5 |
Стандартом установлены следующие обозначения полей допусков по классам точности подшипников: для внутренних колец (отверстия) L0, L6, L5, L4, L2; для наружных колец (валы) l0, l6, l5, l4, l2 (рис. П1.5).При этом допуски на отверстия внутренних колец перевернуты относительно нулевой линии, то есть поле допуска расположено не в тело кольца, как это принято для рядовых деталей, а из тела. В следствие перевернутости поля допуска L все посадки внутреннего кольца сдвигаются в сторону больших натягов - переходные посадки n, m и k становятся посадками с натягом, причем величина натяга в таких посадках несколько меньше по сравнению с нормальными посадками с натягом (от p до zc), а посадки с зазором hпереходят в группу переходных посадок (рис. П1.5).
Режим работы подшипника определяется по отношению динамической эквивалентной нагрузки P к динамической грузоподъемности C: нормальный режим 0,07< P/C 0,15; легкий режим P/C 0,07; тяжелый режим P/C > 0,15.
Рекомендуемые посадки для различных условий работы подшипника и разных видов нагружения колец представлены в табл. П1.9…П1.11.
Таблица П1.9 Посадки, рекомендуемые для установки колец подшипников при местном нагружении (ГОСТ 3325-85)
|
Режим работы |
Рекомендуемые посадки |
Примеры применения |
|
|
Внутреннее кольцо на оси |
|||
|
Легкий |
L0/g6; L6/g6 |
Ролики конвейеров |
|
|
Нормальный или тяжелый |
L0/f7; L0/g6; L0/h6; L6/f7; L6/g6; L6/h6 |
Колеса автомобилей, тракторов и самолетов |
|
|
L0/h6; L6/h6 |
Ролики конвейеров, блоки грузоподъемных машин |
||
|
Наружное кольцо в корпусе |
|||
|
Легкий |
Js7/l0; H7/l0; Js7/l6; H7/l6 Js6/l5; H6/l5; Js6/l4; H6/l4; Js5/l2;H5/l2 |
Быстроходные электродвигатели, бытовая техника |
|
|
Нормальный |
M7/l0; K7/l0; Js7/l0; M7/l6; K7/l6; Js7/l6 |
Коробки передач, задние мосты автомобилей, узлы на конических роликовых подшипниках |
|
|
Js7/l0; Js7/l6; Js6/l5; Js6/l4 |
Электродвигатели, шпиндели станков, узлы с радиально-упорными подшипниками |
||
|
K6/l5; Js6/l5; K6/l4; Js6/l4; K5/l2; Js5/l2; |
Коленвалы двигателей, шпиндели шлифовальных станков |
||
|
H8/l0; H8/l6 |
Узлы с упорными подшипниками без радиальной нагрузки |
||
|
Тяжелый |
H7/l0; J7/l0; H7/l6; J7/l6 |
Узлы общего машиностроения, редукторы, тяговые электродвигатели, сельхозмашины |
|
|
H9/l0; H8/l0; H9/l6; H8/l6; H6/l5; H6/l4 |
Узлы с упорными подшипниками без радиальной нагрузки |
на шариках |
|
|
G7/l0; G7/l6; G6/l5; G6/l4 |
на роликах |
На сборочных чертежах подшипниковых узлов посадку подшипника обозначают в виде дроби после номинального размера посадочного диаметра. Например, посадка с зазором наружного кольца подшипника диаметром 160 мм в корпус: 160 H7/l0 (допускается 160 H7-l0); переходная посадка внутреннего кольца подшипника диаметром 90 мм на вал: 90 L0/js6 (допускается 90 L0-js6).
Таблица П1.10 Посадки, рекомендуемые для установки внутренних колец подшипников при циркуляционном нагружении (ГОСТ 3325-85)
|
Диаметры отверстий подшипников, мм |
Рекомендуемые посадки |
Примеры применения |
|
|
шариковых |
роликовых |
||
|
Легкий или нормальный режим работы |
|||
|
до 50 |
L5/js5; L5/h5; L4/js5; L4/h5; L2/js4; L2/h4; L2/js3; L2/h3; |
Гидромоторы, малогабаритные электромашины, электрошпиндели, турбохолодильники |
|
|
до 40 |
L0/k6; L0/js6; L6/k6; L6/js6; L5/js5; L4/js5; L2/js4; |
Сельхозмашины, турбокомпрессоры, газотурбинные двигатели, электромоторы, редукторы, коробки передач колесных и гусеничных машин, центрифуги, вентиляторы |
|
|
до 100 |
L0/k6; L0/js6; L6/k6; L6/js6; L5/k5; L4/k5; L2/k4; |
||
|
до 250 |
L0/m6; L6/m6 |
||
|
Нормальный или тяжелый режим работы |
|||
|
до 100 |
до 40 |
L0/k6; L0/js6; L6/k6; L6/js6; L5/k5; L4/k5; L2/k4 |
Электродвигатели (до 100 кВт), турбины, кривошипно-ползунные механизмы, шпиндели станков, крупные редукторы |
|
свыше 100 |
до 100 |
L0/m6; L6/m6; L5/m5; L4/m5; L2/m4 |
|
|
-- |
до 250 |
L0/p6; L0/n6; L6/p6; L6/n6; L5/n5; L4/n5; L2/n4 |
|
|
Тяжелая и ударная нагрузка |
|||
|
-- |
Св. 50 до 140 |
L0/n6; L0/m6; L6/n6; L6/m6 |
Буксы тепловозов, трамваев и электровозов, коленвалы двигателей, крупные электродвигатели, экскаваторы, дорожные машины |
|
-- |
Св. 140 до 200 |
L0/p6; L6/p6 |
|
|
-- |
Св. 200 до 250 |
L0/r7; L0/r6; L6/r7; L6/r6 |
Таблица П1.11
Посадки, рекомендуемые для установки наружных колец подшипников при циркуляционном нагружении (ГОСТ 3325-85)
|
Режим работы |
Рекомендуемые посадки |
Примеры применения |
|
Нормальный |
N7/l0; N7/l6; M7/l0; M7/l6 |
Передние колеса автомашин и тягачей, ролики конвейеров, коленчатые валы, колеса мостовых кранов |
|
Js7/l0; K7/l0; Js7/l6; K7/l6 |
Ролики ленточных конвейеров, барабаны комбайнов |
|
|
Тяжелый |
P7/l0; P7/l6; P6/l5 |
Колеса автомобилей, тракторов, башенных кранов, ведущие колеса гусеничных машин и т.п. |
|
K7/l0; K7/l6 |
Узлы со сферическими роликовыми подшипниками |
|
|
П р и м е ч а н и е. Для отверстий в разъемных корпусах рекомендуется выбирать поля допусков H7, H6, G7, G6. |
Посадочные поверхности под установку подшипников должны иметь качественную обработку поверхности во избежание смятия и среза местных выступов (шероховатостей) при запрессовке и эксплуатации подшипников. При установке подшипников весьма желательно применение тепловой сборки (нагрев подшипника в масляной ванне с одновременным охлаждением вала твердой углекислотой или жидким азотом). Применяемая обычно в ремонтном производстве силовая сборка резко снижает срок жизни подшипника из-за взаимного перекоса колец после сборки. Перед установкой подшипников посадочные поверхности необходимо смазать жидкой или консистентной смазкой.
ДОПУСКИ И ПОСАДКИ ШПОНОЧНЫХ СОЕДИНЕНИЙ
|
Рис. П1.6. Расположение полей допусков трех видов соединения с призматической шпонкой: 1 вал; 2 шпонка; 3 ступица. |
Шпоночное соединение соединение вала с деталью, передающей вращающий момент (шкивом, шестерней, звездочкой и т.п.), посредством закладной детали шпонки, помещаемой в совмещенные пазы соединяемых деталей. Призматические, сегментные, клиновые и тангенциальные с прямоугольным поперечным сечением шпонки стандартизованы.
Шпоночные соединения подразделяют на ненапряженные (с призматическими и сегментными шпонками) и напряженные (с клиновыми и тангенциальными шпонками). Ненапряженные соединения передают только вращающий момент, напряженные кроме момента могут передавать и осевую нагрузку.
За номинальный размер шпоночного соединения принимают размер b, равный ширине шпонки, пазов под шпонку на валу и во втулке. Предусмотрены три вида соединений (рис. П1.6, табл. П1.12): I свободное для получения посадок с гарантированным зазором, обеспечивающим нормальную работу соединения с направляющими и скользящими шпонками, а также облегчение сборки соединения с высокой твердостью поверхностей; II нормальное для получения соединений в условиях серийного и массового производства; III плотное для получения неподвижных соединений с напрессовкой деталей в условиях мелкосерийного и штучного производства, а также для повышения надежности соединения при реверсивных нагрузках.
Таблица П1.12 Поля допусков и предельные размеры (мм) шпонки и пазов на валу и во втулке
|
Диаметр вала d, мм |
Высота шпонкиh (t) |
Поле допуска шпонки по размерам |
Поле допуска паза по размеру b |
Предельные отклонения |
|||||||||||
|
на валу |
во втулке |
||||||||||||||
|
от |
до |
от |
до |
ширина b |
высота h (t) |
длина l |
I |
II |
III |
I |
II |
III |
глубины паза |
угла наклона шпонки |
|
|
вала t1 |
втулки t2 |
||||||||||||||
|
Соединение с призматической или клиновой шпонкой |
|||||||||||||||
|
6 |
22 |
2 |
6 |
h9 |
h9 |
h14 |
H9 |
N9 |
P9 |
D10 |
Js9 |
P9 |
+0,1 0 |
|
|
|
22 |
58 |
6 |
10 |
h11 |
+0,2 0 |
||||||||||
|
58 |
130 |
10 |
18 |
||||||||||||
|
130 |
500 |
18 |
50 |
+0,3 0 |
|||||||||||
|
Соединение с сегментной шпонкой |
|||||||||||||||
|
3 |
8 |
1,4 |
3,7 |
h9 |
h11 |
h12 |
-- |
N9 |
P9 |
-- |
Js9 |
P9 |
+0,1 0 |
+0,1 0 |
-- |
|
8 |
20 |
3,7 |
7,5 |
+0,2 0 |
|||||||||||
|
20 |
28 |
7,5 |
10 |
+0,3 0 |
|||||||||||
|
28 |
38 |
10 |
13 |
+0,2 0 |
|||||||||||
|
Соединение с тангенциальными шпонками |
|||||||||||||||
|
60 |
150 |
7 |
11 |
-- |
h11 |
-- |
-- |
-- |
+0,2 0 |
0 -0,2 |
|
||||
|
160 |
630 |
12 |
42 |
+0,3 0 |
0 -0,3 |
||||||||||
|
670 |
1000 |
46 |
66 |
+0,4 0 |
0 -0,4 |
Длину призматической или клиновой шпонки выбирают из ряда целых
чисел (в мм): 6, 8, 10, 12, 14, 16, 18, 20, 22, 25, 28, 32, 36, 40, 45, 50, 56, 63, 70, 80, 90, 100, 110, 125, 140, 160, 180, 200, 220, 250, 280, 320, 360, 400, 450, 500. Длина тангенциальной шпонки должна быть на 10-15% больше длины ступицы или детали, установленной на валу.
ШЕРОХОВАТОСТЬ ПОВЕРХНОСТИ
После любого вида механической обработки (обработки со снятием с поверхности части материала стружки) на поверхности остаются следы от режущих кромок инструмента в виде периодических или хаотически расположенных неровностей. Шероховатостью поверхности называют совокупность неровностей поверхности относительно малой протяженности, выделенных на базовой длине. Шероховатость поверхности оценивается на базовой длине от средней линии профиля базовой линии, совпадающей с номинальной поверхностью детали. Профиль шероховатой поверхности состоит из выступов и впадин. Выступ профиля часть профиля, соединяющая две соседние точки пересечения его со средней линией профиля и направленная из тела изделия. Впадина профиля часть профиля, соединяющая две соседние точки пересечения его со средней линией профиля и направленная в тело изделия.
В технической документации назначаются требования по нескольким параметрам шероховатости (высота неровностей, шаг неровностей профиля, опорная длина профиля и др.), основными из которых являются высота неровностей профиля по 10-ти точкам - Rz и среднее арифметическое отклонений профиля - Ra.
Высота неровностей профиля Rz равна среднему от суммы высот пяти наибольших выступов профиля и глубин пяти наибольших впадин профиля в пределах базовой длины (формула а).
Среднее арифметическое отклонений профиля Ra равно среднему арифметическому абсолютных значений отклонений профиля в пределах базовой длины (формула б).
(а)
(б)
|
Таблица П1.13 Минимальные требования к шероховатости поверхности (параметр Ra, мкм) в зависимости от допусков размера и формы Допуск размера по квалитетам Допуск формы в % от допуска размера Номинальные размеры, мм Допуск размера по квалитетам Допуск формы в % от допуска размера Номинальные размеры, мм До 18 Св.18 до 50 Св. 50 до 120 Св. 120 до 500 До 18 Св.18 до 50 Св. 50 до 120 Св. 120 до 500 IT5 100 60 40 0,4 0,2 0,1 0,8 0,4 0,2 1,6 0,8 0,4 1,6 0,8 0,4 IT10 100, 60 40 25 3,2 1,6 0,8 6,3 3,2 1,6 6,3 3,2 1,6 6,3 6,3 3,2 IT6 100 60 40 0,8 0,4 0,2 1,6 0,8 0,4 1,6 0,8 0,4 3,2 1,6 0,8 IT11 100, 60 40 25 6,3 3,2 1,6 6,3 3,2 1,6 12,5 6,3 3,2 12,5 6,3 3,2 IT7 100 60 40 1,6 0,8 0,4 3,2 1,6 0,8 3,2 1,6 0,8 3,2 3,2 1,6 IT12 IT13 100, 60 40 12,5 6,3 12,5 6,3 25 12,5 25,0 12,5 IT8 100 60 40 1,6 0,8 0,4 3,2 1,6 0,8 3,2 3,2 1,6 3,2 3,2 1,6 IT14 IT15 100, 60 40 12,5 12,5 25,0 12,5 50 25 50 25 IT9 100, 60 40 25 3,2 1,6 0,8 3,2 3,2 1,6 6,3 3,2 1,6 6,3 6,3 3,2 IT16 IT17 100, 60 40 25 25 50 25 100 50 100 50 |
|
|
В документации предпочтительно использовать среднее арифметическое отклонение профиля Ra. Для заданного значения базовой длины нормативные параметры Ra и Rz связаны соотношением: Rz 4Ra.
Шероховатость поверхностей связана с точностью изготовления изделия (детали). Чем выше точность обработки какого-либо размера детали (меньше номер квалитета - уже поле допуска), тем меньшую шероховатость должны иметь поверхности, ограничивающие этот размер. Минимальные требования к качеству обработки поверхностей в зависимости от допусков размера, ограниченного этими поверхностями представлены в табл. П1.13.
Подшипники качения работают в сложных условиях, обусловленных большими нагрузками, высокими частотами вращения колец, относительно малой поверхностью контакта с посадочной поверхностью. Поэтому к качеству поверхностей под посадку подшипников предъявляются более высокие требования по сравнению с другими поверхностями. Посадочные поверхности под подшипники и торцовые поверхности заплечиков высококачественно обрабатывают (алмазное точение, тонкая шлифовка) во избежание смятия и среза местных выступов в процессе запрессовки и эксплуатации подшипников. Рекомендуемые показатели чистоты обработки посадочных поверхностей под установку подшипников представлены в табл. П1.14.
|
Таблица П1.14 Рекомендуемые параметры шероховатости поверхностей под установку подшипников качения. Подшипник качения Посадочные поверхности Класс точности Номинальный диаметр, мм валов отверстий корпуса опорных торцов заплечика Параметр шероховатости Ra, мк 0 До 80 80-500 1,25 2,5 1,25 2,5 2,5 2,5 6 и 5 До 80 80-500 0,63 1,25 0,63 1,25 1,25 2,5 4 До 80 80-500 0,32 0,63 0,63 1,25 1,25 2,5 2 До 80 80-500 0,16 0,32 0,32 0,63 0,63 0,63 |
|
Таблица П1.15 Шероховатость Ra поверхности элементов шпоночных соединений (не более, мкм) Квалитет размера Номинальные размеры поверхности, мм До 18 Св. 18 до 50 Св. 50 до 120 Св. 120 до 500 IT9 3,2 3,2 6,3 6,3 IT10 3,2 6,3 6,3 6,3 IT11 6,3 6,3 12,5 12,5 IT12, IT13 12,5 12,5 25 25 IT14, IT15 12,5 25 50 50 |
Шпоночные пазы на валах обычно выполняются методом фрезерования. Получить высокое качество рабочих поверхностей пазов при таком способе изготовления весьма затруднительно, поэтому требования к шероховатости поверхностей пазов несколько ниже по сравнению с другими поверхностями деталей. Рекомендации по выбору качества поверхностей шпоночных соединений представлены в табл. П1.15.
|
Рис. П1.7 Обозначение шероховатости на чертежах: а) вид механической обработки не устанавливается (предпочтительно); б)механическая обработка со снятием слоя материала; в) без механической обработки; г) поля для простановки параметров шероховатости и способа обработки поверхности; д) простановка размеров профиля. |
В чертежах обозначение шероховатости (рис. П1.7) ставится либо на линии обозначающей номинальное положение обрабатываемой поверхности, либо на линии-выноске, проведенной от этой поверхности таким образом, что угол значка шероховатости всегда смотрит в сторону обрабатываемой поверхности. На зубчатых венцах колес, червяков и других элементах, изображаемых условно, знак шероховатости, относящийся к рабочей поверхности зубьев, ставится на линии обозначающей делительный цилиндр, делительный конус, на резьбовых элементах детали знак шероховатости ставится на номинальный диаметр (допускается простановка знака на размерную линию) и т.п.
ПРИЛОЖЕНИЕ 2
Система отверстия (Поля допусков предпочтительного применения выделены темным)
Таблица П2.1 Верхние отклонения основных отверстий (1-500 мм), мкм
|
Поле допуска |
Отклонение |
Номинальные размеры основных отверстий, мм |
||||||||||||
|
От 1 до 3 |
Св. 3 до 6 |
Св. 6 до 10 |
Св. 10 до 18 |
Св. 18 до 30 |
Св. 30 до 50 |
Св. 50 до 80 |
Св. 80 до 120 |
Св. 120 до 180 |
Св. 180 до 250 |
Св. 250 до 315 |
Св. 315 до 400 |
Св. 400 до 500 |
||
|
H5 |
+ES |
4 |
5 |
6 |
8 |
9 |
11 |
13 |
15 |
18 |
20 |
23 |
25 |
27 |
|
H6 |
+ES |
6 |
8 |
9 |
11 |
13 |
16 |
19 |
22 |
25 |
29 |
32 |
36 |
40 |
|
H7 |
+ES |
10 |
12 |
15 |
18 |
21 |
25 |
30 |
35 |
40 |
46 |
52 |
57 |
63 |
|
H8 |
+ES |
14 |
18 |
22 |
27 |
33 |
39 |
46 |
54 |
63 |
72 |
81 |
89 |
97 |
|
H9 |
+ES |
25 |
30 |
36 |
43 |
52 |
62 |
74 |
87 |
100 |
115 |
130 |
140 |
155 |
|
H10 |
+ES |
40 |
48 |
58 |
70 |
84 |
100 |
120 |
140 |
160 |
185 |
210 |
230 |
250 |
|
H11 |
+ES |
60 |
75 |
90 |
110 |
130 |
160 |
190 |
220 |
250 |
290 |
320 |
360 |
400 |
|
H12 |
+ES |
100 |
120 |
150 |
180 |
210 |
250 |
300 |
350 |
400 |
460 |
520 |
570 |
630 |
|
H13 |
+ES |
140 |
180 |
220 |
270 |
330 |
390 |
460 |
540 |
630 |
720 |
810 |
890 |
970 |
|
H14 |
+ES |
250 |
300 |
360 |
430 |
520 |
620 |
740 |
870 |
1000 |
1150 |
1300 |
1400 |
1550 |
|
H15 |
+ES |
400 |
480 |
580 |
700 |
840 |
1000 |
1200 |
1400 |
1600 |
1850 |
2100 |
2300 |
2500 |
|
H16 |
+ES |
600 |
750 |
900 |
1100 |
1300 |
1600 |
1900 |
2200 |
2500 |
2900 |
3200 |
3600 |
4000 |
|
H17 |
+ES |
1000 |
1200 |
1500 |
1800 |
2100 |
2500 |
3000 |
3500 |
4000 |
4600 |
5200 |
5700 |
6300 |
Таблица П2.2 Скользящие посадки. Нижние отклонения (основных) валов (1-500 мм), мкм
|
Поле допуска |
Отклонение |
Номинальные размеры основных отверстий, мм |
||||||||||||
|
От 1 до 3 |
Св. 3 до 6 |
Св. 6 до 10 |
Св. 10 до 18 |
Св. 18 до 30 |
Св. 30 до 50 |
Св. 50 до 80 |
Св. 80 до 120 |
Св. 120 до 180 |
Св. 180 до 250 |
Св. 250 до 315 |
Св. 315 до 400 |
Св. 400 до 500 |
||
|
h5 |
-ei |
4 |
5 |
6 |
8 |
9 |
11 |
13 |
15 |
18 |
20 |
23 |
25 |
27 |
|
h6 |
-ei |
6 |
8 |
9 |
11 |
13 |
16 |
19 |
22 |
25 |
29 |
32 |
36 |
40 |
|
h7 |
-ei |
10 |
12 |
15 |
18 |
21 |
25 |
30 |
35 |
40 |
46 |
52 |
57 |
63 |
|
h8 |
-ei |
14 |
18 |
22 |
27 |
33 |
39 |
46 |
54 |
63 |
72 |
81 |
89 |
97 |
|
h9 |
-ei |
25 |
30 |
36 |
43 |
52 |
62 |
74 |
87 |
100 |
115 |
130 |
140 |
155 |
|
h10 |
-ei |
40 |
48 |
58 |
70 |
84 |
100 |
120 |
140 |
160 |
185 |
210 |
230 |
250 |
|
h11 |
-ei |
60 |
75 |
90 |
110 |
130 |
160 |
190 |
220 |
250 |
290 |
320 |
360 |
400 |
|
h12 |
-ei |
100 |
120 |
150 |
180 |
210 |
250 |
300 |
350 |
400 |
460 |
520 |
570 |
630 |
|
h13 |
-ei |
140 |
180 |
220 |
270 |
330 |
390 |
460 |
540 |
630 |
720 |
810 |
890 |
970 |
|
h14 |
-ei |
250 |
300 |
360 |
430 |
520 |
620 |
740 |
870 |
1000 |
1150 |
1300 |
1400 |
1550 |
|
h15 |
-ei |
400 |
480 |
580 |
700 |
840 |
1000 |
1200 |
1400 |
1600 |
1850 |
2100 |
2300 |
2500 |
|
h16 |
-ei |
600 |
750 |
900 |
1100 |
1300 |
1600 |
1900 |
2200 |
2500 |
2900 |
3200 |
3600 |
4000 |
|
h17 |
-ei |
1000 |
1200 |
1500 |
1800 |
2100 |
2500 |
3000 |
3500 |
4000 |
4600 |
5200 |
5700 |
6300 |
|
Поле допуска Отклонение Номинальные размеры основных отверстий, мм От 1 до 3 Св. 3 до 6 Св. 6 до 10 Св. 10 до 18 Св. 18 до 30 Св. 30 до 50 Св. 50 до 80 Св. 80 до 120 Св. 120 до 180 Св. 180 до 250 Св. 250 до 315 Св. 315 до 400 Св. 400 до 500 g4 -es -ei 2 5 4 8 5 9 6 11 7 13 9 16 10 18 12 22 14 26 15 29 17 33 18 36 20 40 g5 -es -ei 2 6 4 9 5 11 6 14 7 16 9 20 10 23 12 27 14 32 15 35 17 40 18 43 20 47 f6 -es -ei 6 12 10 18 13 22 16 27 20 33 25 41 30 49 36 58 43 68 50 79 56 88 62 98 68 108 g6 -es -ei 2 8 4 12 5 14 6 17 7 20 9 25 10 29 12 34 14 39 15 44 17 49 18 54 20 60 f7 -es -ei 6 16 10 22 13 28 16 34 20 41 25 50 30 60 36 71 43 83 50 96 56 108 62 119 68 131 e7 -es -ei 14 24 20 32 25 40 32 50 40 61 50 75 60 90 72 107 85 125 100 146 110 162 125 182 135 198 e8 -es -ei 14 28 20 38 25 47 32 59 40 73 50 89 60 106 72 126 85 148 100 172 110 191 125 214 135 232 d8 -es -ei 20 34 30 48 40 62 50 77 65 98 80 119 100 146 120 174 145 208 170 242 190 271 210 299 230 327 f8 -es -ei 6 20 10 28 13 35 16 43 20 53 25 64 30 76 36 90 43 106 50 122 56 137 62 151 68 165 f9 -es -ei 6 31 10 40 13 49 16 59 20 72 25 87 30 104 36 123 43 143 50 165 56 186 62 202 68 223 e9 -es -ei 14 39 20 50 25 61 32 75 40 92 50 112 60 134 72 159 85 185 100 215 110 240 125 265 135 290
-es -ei 20 45 30 60 40 76 50 93 65 117 80 142 100 174 120 207 145 245 170 285 190 320 210 350 230 385 d10 -es -ei 20 60 30 78 40 98 50 120 65 149 80 180 100 220 120 260 145 305 170 355 190 400 210 440 230 480 d11 -es -ei 20 80 30 105 40 130 50 160 65 195 80 240 100 290 120 340 145 395 170 480 190 510 210 570 230 630 |
|
Поле допуска Отклонение Номинальные размеры основных отверстий, мм От 1 до 3 Св. 3 до 6 Св. 6 до 10 Св. 10 до 18 Св. 18 до 30 Св. 30 до 50 Св. 50 до 80 Св. 80 до 120 Св. 120 до 180 Св. 180 до 250 Св. 250 до 315 Св. 315 до 400 Св. 400 до 500 js4 +es -ei 1,5 1,5 2 2 2 2 2,5 2,5 3 3 3,5 3,5 4 4 5 5 6 6 7 7 8 8 9 9 10 10 js5 +es -ei 2 2 2,5 2,5 3 3 4 4 4,5 4,5 5,5 5,5 6,5 6,5 7,5 7,5 9 9 10 10 11,5 11,5 12,5 12,5 13,5 13,5 js6 +es -ei 3 3 4 4 4,5 4,5 5,5 5,5 6,5 6,5 8 8 9,5 9,5 11 11 12,5 12,5 14,5 14,5 16 16 18 18 20 20 js7 +es -ei 5 5 6 6 7 7 9 9 10 10 12 12 15 15 17 17 20 20 23 23 26 26 28 28 31 31 k4 +es +ei 3 0 5 1 5 1 6 1 8 2 9 2 10 2 13 3 15 3 18 4 20 4 22 4 25 5 m4 +es +ei 5 2 8 4 10 6 12 7 14 8 16 9 19 11 23 13 27 15 31 17 36 20 39 21 43 23 n4 +es +ei 7 4 12 8 14 10 17 12 21 15 24 17 28 20 33 23 39 27 45 31 50 34 55 37 60 40 k5 +es +ei 4 0 6 1 7 1 9 1 11 2 13 2 15 2 18 3 21 3 24 4 27 4 29 4 32 5 m5 +es +ei 6 2 9 4 12 6 15 7 17 8 20 9 24 11 28 13 33 15 37 17 43 20 46 21 50 23 n5 +es +ei 8 4 13 8 16 10 20 12 24 15 28 17 33 20 38 23 45 27 51 31 57 34 62 37 67 40 k6 +es +ei 6 0 9 1 10 1 12 1 15 2 18 2 21 2 25 3 28 3 33 4 36 4 40 4 45 5 m6 +es +ei 8 2 12 4 15 6 18 7 21 8 25 9 30 11 35 13 40 15 46 17 52 20 57 21 63 23 n6 +es +ei 10 4 16 8 19 10 23 12 28 15 33 17 39 20 45 23 52 27 60 31 66 34 73 37 80 40 k7 +es +ei 10 0 13 1 16 1 19 1 23 2 27 2 32 2 38 3 43 3 50 4 56 4 61 4 68 5 m7 +es +ei -- 16 4 21 6 25 7 29 8 34 9 41 11 48 13 55 15 63 17 72 20 78 21 86 23 n7 +es +ei 14 4 20 8 25 10 30 12 36 15 42 17 50 20 58 23 67 27 77 31 86 34 94 37 103 40 |
|
Таблица П2.5 Посадки с натягом. Верхние и нижние отклонения валов (1-500 мм), мкм Поле допуска Отклонение Номинальные размеры основных отверстий, мм От 1 до 3 Св. 3 до 6 Св. 6 до 10 Св. 10 до 14 Св. 14 до 18 Св. 18 до 24 Св. 24 до 30 Св. 30 до 40 Св. 40 до 50 Св. 50 до 65 Св. 65 до 80 Св. 80 до 100 Св. 100 до 120 p5 +es +ei 10 6 17 12 21 15 26 18 31 22 37 26 45 32 52 37 r5 +es +ei 14 10 20 15 25 19 31 23 37 28 45 34 54 41 56 43 66 51 69 54 s5 +es +ei 18 14 24 19 29 23 36 28 44 35 54 43 66 53 72 59 86 71 94 79 p6 +es +ei 12 6 20 12 24 15 29 18 35 22 42 26 51 32 59 37 r6 +es +ei 16 10 23 15 28 19 34 23 41 28 50 34 60 41 62 43 73 51 76 54 s6 +es +ei 20 14 27 19 32 23 39 28 48 35 59 43 72 53 78 59 93 71 101 79 t6 +es +ei -- -- -- -- -- 54 41 64 48 70 54 85 66 94 75 113 91 126 104 s7 +es +ei 24 14 31 19 38 23 46 28 56 35 68 43 83 53 89 59 106 71 114 79 u7 +es +ei 28 18 35 23 43 28 51 33 62 41 69 48 85 60 95 70 117 87 132 102 159 124 179 144 u8 +es +ei 32 18 41 23 50 28 60 33 74 41 81 48 99 60 109 70 133 87 148 102 178 124 198 144 x8 +es +ei 34 20 46 28 56 34 67 40 72 45 87 54 97 64 119 80 136 97 168 122 192 146 232 178 264 210 z8 +es +ei 40 26 53 35 64 42 77 50 87 60 106 73 121 88 151 112 175 125 210 150 225 165 260 190 280 210 |
Продолжение таблицы П2.5
|
Поле допуска |
Отклонение |
Номинальные размеры основных отверстий, мм |
||||||||||||||||||||||||
|
Св. 120 до 140 |
Св. 140 до 160 |
Св. 160 до 180 |
Св. 180 до 200 |
Св. 200 до 225 |
Св. 225 до 250 |
Св. 250 до 280 |
Св. 280 до 315 |
Св. 315 до 355 |
Св. 355 до 400 |
Св. 400 до 450 |
Св. 450 до 500 |
|||||||||||||||
|
p5 |
+es +ei |
61 43 |
70 50 |
79 56 |
87 62 |
95 68 |
||||||||||||||||||||
|
r5 |
+es +ei |
81 63 |
83 65 |
86 68 |
97 77 |
100 80 |
104 84 |
117 94 |
121 98 |
133 108 |
139 114 |
153 126 |
159 132 |
|||||||||||||
|
s5 |
+es +ei |
110 92 |
118 100 |
126 108 |
142 122 |
150 130 |
160 140 |
181 158 |
193 170 |
215 190 |
233 208 |
259 232 |
279 252 |
|||||||||||||
|
p6 |
+es +ei |
68 43 |
79 50 |
88 56 |
98 62 |
108 68 |
||||||||||||||||||||
|
r6 |
+es +ei |
88 63 |
90 65 |
93 68 |
106 77 |
109 80 |
113 84 |
126 94 |
130 98 |
144 108 |
150 114 |
166 126 |
172 132 |
|||||||||||||
|
s6 |
+es +ei |
117 92 |
125 100 |
133 108 |
151 122 |
159 130 |
169 140 |
190 158 |
202 170 |
226 190 |
244 208 |
272 232 |
292 252 |
|||||||||||||
|
t6 |
+es +ei |
147 122 |
159 134 |
171 146 |
195 166 |
209 180 |
225 196 |
250 218 |
272 240 |
304 268 |
330 294 |
370 330 |
400 360 |
|||||||||||||
|
s7 |
+es +ei |
132 92 |
140 100 |
148 108 |
168 122 |
176 130 |
186 140 |
210 158 |
222 170 |
247 190 |
265 208 |
295 232 |
315 252 |
|||||||||||||
|
u7 |
+es +ei |
210 170 |
230 190 |
250 210 |
282 236 |
304 258 |
330 284 |
367 315 |
402 350 |
447 390 |
492 435 |
553 490 |
603 540 |
|||||||||||||
|
u8 |
+es +ei |
233 170 |
253 190 |
273 210 |
308 236 |
330 258 |
356 284 |
396 315 |
431 350 |
479 390 |
524 435 |
587 490 |
637 540 |
|||||||||||||
|
x8 |
+es +ei |
311 248 |
343 280 |
373 310 |
422 350 |
457 385 |
497 425 |
556 475 |
606 525 |
679 590 |
749 660 |
837 740 |
917 820 |
|||||||||||||
|
z8 |
+es +ei |
428 365 |
478 415 |
528 465 |
592 520 |
647 575 |
712 640 |
791 710 |
871 790 |
989 900 |
1089 1000 |
1197 1100 |
1347 1250 |
|||||||||||||






























(7.14)
(7.15)
(7.16)
(7.17)
(7.18)
(7.19)
(7.20)
(7.21)
(7.22)
(7.23)
(7.24)
(7.25)
(7.26)

;
;
;
;














































;
;




;
.































