Влияние комплексов специальных упражнений на развитие силы и силовых способностей у подростков 15-16 лет
Курсовая работа
Влияние комплексов специальных упражнений на развитие силы и силовых способностей у подростков 15-16 лет
Оглавление
Введение 3
Глава 1. Обзор научно-методической литературы 5
1.1. Сущность понятия силы и силовых способностей 5
1.2. Возрастные особенности детей 15-16 лет 10
1.3. Средства и методы развития силы и силовых способностей подростков 15-16 лет 14
Глава 2. Методы и организация исследования 28
2.1. Методы исследования 28
2.2. Организация исследования 32
2.3. Экспериментальные комплексы упражнений 33
Глава 3. Анализ результатов исследования 37
3.1. Анализ полученных результатов до эксперимента 37
3.2. Анализ полученных результатов на промежуточном этапе 40
Выводы 45
Библиографический список 47
Приложение
Введение
Актуальность заключается в том, что одним из важнейших физических качеств в абсолютном большинстве видов спорта является - сила, поэтому ее развитию уделяют исключительно много внимания. Силовая подготовка имеет важное значение для успешной спортивной тренировки. Подростковый возраст создает благоприятные предпосылки для развития силы и силовых способностей. В специальной литературе высказываются мнения в пользу необходимости максимально возможного использования подросткового периода для развития силы и силовых способностей, а также для сбалансированного развития физического потенциала подростка.
Физическая подготовка учащихся 15-16 лет, как правило, соотносится с воспитанием основных физических качеств человека: скоростных, силовых, координационных, выносливости и гибкости. В настоящее время значительно расширились и углубились наши познания о механизмах спортивной работоспособности, в основе которой лежит уровень физической подготовленности человека. Результаты исследований тренировочных и соревновательных упражнений и нагрузок заставили специалистов подойти к этой проблеме с учетом, прежде всего того, какие упражнения выполняют учащиеся, и на что они воздействуют. Однако всегда следует помнить, что существуют определенные условия, при которых отдельные физические качества совершенствуются наиболее эффективно.
Цель исследования - выявить влияние комплексов специальных упражнений на развитие силы и силовых способностей у подростков 15-16 лет.
Объект исследования - развитие силы и силовых способностей подростков 15-16 лет.
Предмет исследования - комплексы специальных упражнений развития силы и силовых способностей подростков 15-16 лет.
Задачи исследования:
- Провести анализ литературы по проблеме исследования.
- Провести тестирование и определить показатели развития силы и силовых способностей у подростков 15-16 лет на начало эксперимента.
- Разработать комплексы специальных упражнений для развития силы и силовых способностей подростков 15-16 лет и внедрить в учебный процесс экспериментальной группы.
- Выявить эффективность предложенных комплексов упражнений для развития силы и силовых способностей подростков 15-16 лет на промежуточном этапе.
Гипотеза - предположим, что экспериментальное использование комплексов специальных упражнений будет более эффективно способствовать развитию силы и силовых способностей подростков 15-16 лет.
Методами исследования является:
1. Анализ научно-методической литературы.
2. Наблюдение.
3. Беседа.
4. Педагогическое тестирование.
5. Педагогический эксперимент.
6. Метод математической статистики.
Теоретическая значимость работы заключается в расширении и углублении знаний по вопросам методов и средств развития силы и силовых способностей подростков 15-16 лет.
Практическая значимость заключается в том, что комплексы упражнений, направленные на развитие силы и силовых способностей, могут активно применяться на учебных занятиях и в учебно-тренировочном процессе подростков 15-16 лет.
Теоретико-методологической основой работы являются труды отечественных авторов: А.И. Жилкиной, В.С. Кузьминой, Е.В. Сидорчука, И.В. Сухоцкого и др.
Структура работы. Работа состоит из введения, трех глав, выводов, библиографического списка и приложений. В работе представлено 13 таблиц, 30 библиографических источников и 6 приложений.
Глава 1. Обзор научно-методической литературы
1.1. Сущность понятия силы и силовых способностей
Сила - это способность человека преодолевать внешнее сопротивление или противостоять ему за счет мышечных усилий (напряжений). Силовые способности - это комплекс различных проявлений человека в определенной двигательной деятельности, в основе которых лежит понятие «сила» [1, с. 34].
Силовые способности проявляются не сами по себе, а через какую-либо двигательную деятельность. При этом влияние на проявление силовых качеств оказывают разные факторы, вклад которых в каждом конкретном случае меняется в зависимости от конкретных двигательных действий и условий их осуществления, вида силовых качеств, возрастных, половых и индивидуальных особенностей человека. Среди них выделяют:
1) собственно мышечные;
2) центрально-нервные;
3) личностно-психические;
4) биомеханические;
5) биохимические;
6) физиологические факторы;
7) условия внешней среды, в которых осуществляется двигательная деятельность [1, с. 41].
К собственно мышечным факторам относят: сократительные свойства мышц, которые зависят от соотношения белых (относительно быстро сокращающихся) и красных (относительно медленно сокращающихся) мышечных волокон; активность ферментов мышечного сокращения; мощность механизмов анаэробного энергообеспечения мышечной работы; физиологический поперечник и массу мышц; качество межмышечной координации.
Суть центрально-нервных факторов состоит в интенсивности (частоте) эффекторных импульсов, посылаемых к мышцам, в координации их сокращений и расслаблений, трофическом влиянии центральной нервной системы на их функции.
От личностно-психических факторов зависит готовность человека к проявлению мышечных усилий. Они включают в себя мотивационные и волевые компоненты, а также эмоциональные процессы, способствующие проявлению максимальных либо интенсивных и длительных мышечных напряжений.
Определенное влияние на проявление силовых качествоказывают биомеханические (расположение тела и его частей в пространстве, прочность звеньев опорно-двигательного аппарата, величина перемещаемых масс и др.), биохимические (гормональные) и физиологические (особенности функционирования периферического и центрального кровообращения, дыхания и др.) факторы.
Различают собственно силовые способности и их соединение с другими физическими способностями (скоростно-силовые, силовая ловкость, силовая выносливость) [8, с. 45].
Собственно силовые способности проявляются:
1) при относительно медленных сокращениях мышц, в упражнениях, выполняемых с околопредельными, предельными отягощениями (например, при приседаниях со штангой достаточно большого веса);
2) при мышечных напряжениях изометрического (статического) типа (без изменения длины мышцы). В соответствии с этим различают медленную силу и статическую силу.
Собственно силовые способности характеризуются большим мышечным напряжением и проявляются в преодолевающем, уступающем и статическом режимах работы мышц. Они определяются физиологическим поперечником мышцы и функциональными возможностями нервно-мышечного аппарата.
В.С. Кузнецов отмечает, что статическая сила характеризуется двумя ее особенностями проявления:
1) при напряжении мышц за счет активных волевых усилий человека (активная статическая сила);
2) при попытке внешних сил или под воздействием собственного веса человека насильственно растянуть напряженную мышцу (пассивная статическая сила) [6, с. 16].
Воспитание собственно силовых качеств может быть направлено на развитие максимальной силы (тяжелая атлетика, гиревой спорт, силовая акробатика, легкоатлетические метания и др.); общее укрепление опорно-двигательного аппарата занимающихся, необходимое во всех видах спорта (общая сила) и строительства тела (бодибилдинг).
Скоростно-силовые способности характеризуются непредельными напряжениями мышц, проявляемыми с необходимой, часто максимальной мощностью в упражнениях, выполняемых со значительной скоростью, но не достигающей, как правило, предельной величины. Они проявляются в двигательных действиях, а которых наряду со значительной силой мышц требуется и быстрота движений (например, отталкивание в прыжках в длину и в высоту с места и с разбега, финальное усилие при метании спортивных снарядов и т.п.). При этом, чем значительнее внешнее отягощение, преодолеваемое спортсменом (например, при подъеме штанги на грудь), тем большую роль играет силовой компонент, а при меньшем отягощении (например, при метании копья) возрастает значимость скоростного компонента,
К скоростно-силовым способностям относят быструю силу и взрывную силу. Быстрая сила характеризуется непредельным напряжением мышц, проявляемым в упражнениях, выполняемых со значительной скоростью, не достигающей предельной величины.
Взрывная сипа отражает способность человека по ходу выполнения двигательного действия достигать максимальных показателей силы в возможно короткое время (например, при низком старте в беге на короткие дистанции, в легкоатлетических прыжках и метаниях и т.д.). Для оценки уровня развития взрывной силы пользуются скоростно-силовым индексом I в движениях, где развиваемые усилия близки к максимуму:
(1)
где F max - максимальная сила, проявляемая в конкретном упражнении; t max - максимальное время к моменту достижения F max.
Взрывная сила характеризуется двумя компонентами: стартовой силой и ускоряющей силой. Стартовая сила - это характеристика способности мышц к быстрому развитию рабочего усилия в начальный момент их напряжения. Ускоряющая сила - способность мышц к быстроте наращивания рабочего усилия в условиях их начавшегося сокращения [17, с. 17].
К специфическим видам силовых качеств относят силовую выносливость и силовую ловкость.
Силовая выносливость - это способность противостоять утомлению, вызываемому относительно продолжительными мышечными напряжениями значительной величины. В зависимости от режима работы мышц выделяют статическую и динамическую силовую выносливость.
Динамическая силовая выносливость характерна для циклической и ациклической деятельности, а статическая силовая выносливость типична для деятельности, связанной с удержанием рабочего напряжения в определенной позе.
Например, при упоре рук в стороны на кольцах или удержании руки при стрельбе из пистолета проявляется статическая выносливость, а при многократном отжимании в упоре лежа, приседании со штангой, вес которой равен 20-50% от максимальных силовых возможностей человека, сказывается динамическая выносливость.
Силовая ловкость проявляется там, где есть сменный характер режима работы мышц, меняющиеся и непредвиденные ситуации деятельности (регби, борьба, хоккей с мячом и др.). Ее можно определить, как «способность точно дифференцировать мышечные усилия различной величины в условиях непредвиденных ситуаций и смешанных режимов работы мышц» [26, с. 56].
В физическом воспитании и на спортивной тренировке для оценки степени развития собственно силовых качеств различают абсолютную и относительную силу.
Абсолютная сила - это максимальная сила, проявляемая человеком в каком-либо движении, независимо от массы его тела. Относительная сила - это сила, проявляемая человеком в пересчете на 1 кг собственного веса. Она выражается отношением максимальной силы к массе тела человека.
В двигательных действиях, где приходится перемещать собственное тело, относительная сила имеет большое значение. В движениях, где есть небольшое внешнее сопротивление, абсолютная сила не имеет значения, если сопротивление значительно - она приобретает существенную роль и связана с максимумом взрывного усилия.
Результаты исследований позволяют утверждать, что развитие абсолютной силы человека в большей степени обусловлено факторами среды (тренировка, самостоятельные занятия и др.).
В то же время показатели относительной силы в большей мере испытывают на себе влияние генотипа. Скоростно-силовые способности примерно в равной мере зависят как от наследственных, так и от средовых факторов. Статическая силовая выносливость определяется в большей мере генетическими условиями, а динамическая силовая выносливость зависит от взаимных (примерно равных) влияний генотипа и среды [10, с. 48].
Таким образом, сила - способность человека преодолевать внешнее сопротивление или противостоять ему за счет мышечных усилий (напряжений). Силовые способности - это комплекс различных проявлений человека в определенной двигательной деятельности, в основе которых лежит понятие «сила». Силовые способности проявляются не сами по себе, а через какую-либо двигательную деятельность.
1.2. Возрастные особенности детей 15-16 лет
Рациональное планирование занятий физической культурой, правильное использование средств и методов развития физических качеств на всем протяжении обучения возможно лишь при условии знаний анатомо-физиологических особенностей растущего детского организма [6, с. 51].
Возраст 15-16 лет характеризуется интенсивным ростом и увеличением размеров тела. Быстро растут длинные трубчатые кости верхних и нижних конечностей, ускоряется рост в высоту позвонков.
Позвоночный столб подростка очень подвижен. Чрезмерные мышечные нагрузки, ускоряя процесс окостенения, могут замедлять рост трубчатых костей в длину.
В этом возрасте быстрыми темпами развивается и мышечная система. С 13 лет отмечается резкий скачок в увеличении общей массы мышц, главным образом за счет увеличения толщины мышечных волокон [20, с. 23].
У подростков на фоне морфологической и функциональной незрелости сердечно-сосудистой системы, а также продолжающегося развития центральной нервной системы особенно заметно выступает незавершенность формирования механизмов, регулирующих и координирующих различные функции сердца и сосудов.
В период полового созревания у подростков отмечается наиболее высокий темп развития дыхательной системы. Режим дыхания у детей среднего школьного возраста менее эффективный, чем у взрослых. За один дыхательный цикл подросток потребляет 14 мл кислорода, в то время как взрослый - 20 мл.
Подростки меньше, чем взрослые, способны задерживать дыхание и работать в условиях недостатка кислорода. У них быстрее, чем у взрослых, снижается насыщение крови кислородом.
Как отмечает Е.А. Бондаревский, подростковый возраст - это период продолжающегося двигательного совершенствования моторных качеств, больших возможностей в развитии двигательных качеств.
У детей 15-16 лет достаточно высокими темпами улучшаются отдельные координационные способности (в метаниях на меткость и на дальность, в спортивно-игровых двигательных действиях), силовые и скоростно-силовые способности; умеренно увеличиваются скоростные способности и выносливость. Низкие темпы наблюдаются в развитии гибкости [3, с. 53].
15-16 лет - самый благоприятный для развития силовых качеств человека. Наиболее высокими темпами возрастают показатели силы крупных мышц, туловища, бедра, голени, стоп. Относительные же показатели за это время улучшаются у лиц мужского пола примерно на 200%, а у лиц женского пола - только на 150%.
Самыми благоприятными периодами развития силы у мальчиков и юношей считается возраст от 13 - 14 лет до 17 - 18 лет, а у девочек и девушек от 11 - 12 до 15 - 16 лет, чему в немалой степени соответствует доля мышечной массы в общей массе тела (к 10 -11 годам она составляет примерно 23 %, 15-16 годам - 33%, а к 17 - 18 годам - 45%).
Правда за это время увеличивается и общая масса тела, поэтому прирост относительной силы не столь уж выражен, особенно у девочек. В этой связи наиболее значительные темпы возрастания относительной силы различных мышечных групп наблюдаются в младшем школьном возрасте, особенно у детей от 9 до 11 лет [20, с. 35].
Показатели развития силовых качеств определяются не только возрастными и половыми особенностями, но сильно колеблются довольно в больших пределах в зависимости от индивидуальных различий детей, характера двигательной активности, занятий конкретными видами спорта и других обстоятельств.
В таблице 1 представлены показатели темпов прироста различных физических качеств у подростков 15-16 лет.
Таблица 1
Темпы прироста различных физических качеств у детей старшего школьного возраста (%) (И.В. Бельский)
|
Физические способности |
Среднегодовой прирост |
Общий прирост |
||
|
Мальчики |
Девочки |
Мальчики |
Девочки |
|
|
Скоростные |
3,9 |
2,9 |
15,4 |
11,5 |
|
Силовые |
15,8 |
18,4 |
79,0 |
92,0 |
|
Общая выносливость |
3,3 |
2,1 |
13,0 |
8,4 |
|
Скоростная выносливость |
4,1 |
1,0 |
16,4 |
4,0 |
|
Силовая выносливость |
9,4 |
3,3 |
37,5 |
13,1 |
Как и в любом другом возрасте, в подростковом необходимо тщательно следить за дозировкой нагрузки при выполнении упражнений, направленных на развитие силовых качеств. В таблице 2 и 3 представлены показатели по темпам прироста силовых качеств у детей старшего школьного возраста и объемы нагрузки в соответствии с видами силовых качеств.
Таблица 2
Темпы прироста силовых качеств у подростков 15-16 лет
|
Силовые способности |
Среднегодовой прирост |
Общий прирост |
||
|
Мальчики |
Девочки |
Мальчики |
Девочки |
|
|
Сила |
15,8 |
18,4 |
79,0 |
92,0 |
|
Силовая выносливость |
9,4 |
3,3 |
37,5 |
13,1 |
Материал, представленный в таблице 3, позволяет сформулировать основные задачи развития силовых качеств у подростков 15-16 лет.
1. В рамках базового физического воспитания необходимо обеспечить гармоническое развитие всех мышечных групп опорно-двигательного аппарата. Эта задача решается путем избирательно направленного воздействия силовых упражнений. Здесь важное значение имеют объем и содержание силовых упражнений. Они должны обеспечить пропорциональное развитие различных мышечных групп. Внешне это выражается в соответствующих формах телосложения и осанке. Внутренний эффект применения силовых упражнений состоит в обеспечении высокого уровня жизненно важных функций организма и двигательной активности. Скелетные мышцы являются не только органами движения, но и своеобразными периферическими сердцами, активно помогающими кровообращению, особенно венозному. Особое внимание следует обратить на важнейшие мышечные группы: мышцы брюшного пресса, туловища, поясничной области, шеи, плечевого пояса, ног и рук.
Таблица 3
Объемы нагрузки в соответствии с видами силовых качеств у подростков 15-16 лет
|
Вид силовых качеств |
Нагрузка |
|||
|
Объем |
Число повторений |
Интенсивность |
Отдых |
|
|
Собственно силовые (подтягивания, отжимания, наклоны, приседания) |
Малый |
2-3, 4-7, 8-12 |
Максимальная |
Полный, 2-5 минут |
|
Малый |
4-7, 8-12 |
Субмаксимальная |
Полный, 2-5 минут |
|
|
Скоростно-силовые |
Малый |
8-15 |
Максимальная |
Полный, 3-4 минуты |
2. Разностороннее развитие силовых качеств в единстве с освоением жизненно важных двигательных действий (умений и навыков). Данная задача предполагает развитие силовых качеств всех основных видов.
3. Создание условий и возможностей (базы) для дальнейшего совершенствования силовых качеств в рамках занятий конкретным видом спорта или в плане профессионально-прикладной физической подготовки. Решение этой задачи позволяет удовлетворить личный интерес в развитии силы с учетом двигательной одаренности, вида спорта и выбранной профессии.
Таким образом, в 15-16-летнем возрасте происходит активное развитие организма учащегося, которое отражается в интенсивном росте и увеличении размеров тела, в развитии мышечной и дыхательной системы. В этот период совершенствуются моторные и силовые способности детей, развиваются двигательные качества. Воспитание силы может осуществляться в процессе общей физической подготовки (для укрепления и поддержания здоровья, совершенствования форм телосложения, развития силы всех групп мышц человека) и специальной физической подготовки (воспитание различных силовых качеств тех мышечных групп, которые имеют большое значение при выполнении основных соревновательных упражнений). Каждое из этих направлений имеет свою конкретную установку на развитие силы и задачи, которые необходимо решить, исходя из этой установки. Исходя из этого, подбирают определенные средства и методы воспитания силы.
1.3. Средства и методы развития силы и силовых способностей подростков 15-16 лет
Средствами развития силы являются физические упражнения с повышенным отягощением (сопротивлением), которые направленно стимулируют увеличение степени напряжения мышц. Такие средства называются силовыми. Они условно подразделяются на основные и дополнительные [12, с. 68].
Основные средства воспитания силовых качеств:
- Упражнения с весом внешних предметов: штанги с набором дисков разного веса, разборные гантели, гири, набивные мячи, вес партнера и т.д.
Первоначально масса гантелей должна быть такой, чтобы занимающиеся могли поднять их прямыми руками через стороны вверх не менее 6 и не более 10 раз. Если занимающийся сможет поднять гантели менее 6 раз, то они будут для него слишком тяжелые, а если более 12 раз, то не окажут достаточного тренирующего воздействия. Тренироваться следует 4-5 раз в неделю не менее 35-40 минут. Упражнения с гантелями рекомендуется выполнять в следующей последовательности: для мышц сгибателей и разгибателей предплечий, мышц плечевого пояса, разгибателей туловища, разгибателей и сгибателей голени, мышц брюшного пресса, сгибателей и разгибателей стопы.
Упражнения с гирями тоже возможны в подростковом возрасте, но рекомендуется применять гири малой массы (10 килограммов) и избегать сложных, особенно на первом этапе, вызывающих максимальное настуживание упражнений. Продолжительность тренировок - не более 30 минут.
Штанга обеспечивает максимальную и в то же время достаточно тонко дифференцированную нагрузку на организм в целом и на отдельные мышечные группы. Масса штанги подбирается с учетом возможности поднять ее в одном подходе не менее 8-10 раз, причем два последних повторения должны даваться занимающемуся с трудом. Число повторений в одном подходе зависит от задач, решаемых при развитии силовых качеств.
2. Упражнения, отягощенные весом собственного тела - упражнения, в которых мышечное напряжение создается за счет веса собственного тела (подтягивание в висе, отжимания в упоре, удержание равновесия в упоре, в висе):
- упражнения, в которых собственный вес отягощается весом внешних предметов (например, специальные пояса, манжеты);
- упражнения, в которых собственный вес уменьшается за счет использования дополнительной опоры;
- ударные упражнения, в которых собственный вес увеличивается за счет инерции свободно падающего тела (например, прыжки с возвышения 25-70 см и более с мгновенным последующим выпрыгиванием вверх).
Эти упражнения заключаются в самосопротивлении. Отягощение создается за счет силы тяжести различных звеньев собственного тела или путем преднамеренного затруднения сокращений одних мышц направленным сопротивлением других мышц-антагонистов. Величина отягощения в таких упражнениях дозируется изменением исходного положения (например, отжимание в упоре лежа на опоре различной высоты).
3. Упражнения с использованием различных силовых тренажеров, тренажерных устройств, эспандеров, резиновых амортизаторов. Если при использовании гантелей, гирь, штанги наибольшее напряжение мышц возникает тогда, когда угол сгибания конечностей равен 90, то при использовании амортизатора сопротивление увеличивается постепенно с самого начала движения и достигает максимального в конце его. Также как набивной мяч и гантели, эспандер и другие амортизаторы должны соответствовать по силе сопротивления физической подготовленности занимающегося. Чрезмерно тугой амортизатор приводит к быстрому утомлению мышц, отчего интерес к занятиям с амортизаторами у многих падает. Поэтому в начале занятий надо у эспандера снять 2-3 звена и сделать его доступным для выполнения наиболее трудных упражнений на полную амплитуду без чрезмерного напряжения с таким расчетом, чтобы 8-10-кратное их повторение не вызывало сильного утомления. Желательно иметь 2 эспандера на одного человека или длинный амортизатор, дающий возможность выполнять упражнение на полную амплитуду одновременно двумя руками. Как и при других упражнениях на силу, необходимо следить за дыханием, не допускать его задержки. Если упражнение без задержки дыхания трудно выполнить, значит, амортизатор туг. Для увеличения нагрузки необходимо использовать более толстый амортизатор (или складывать ленту, жгут вдвое, втрое) или укорачивать его длину.
4. Статические упражнения в изометрическом режиме (изометрические упражнения) - это упражнения, в которых мышечное напряжение создается за счет волевых усилий с использованием внешних предметов (различные упоры, удержания, поддержания, противодействия и т.п.); в которых мышечное напряжение создается за счет волевых усилий без использования внешних предметов в самосопротивлении.
Наиболее просты упражнения с использованием сопротивления партнера (в парах). Преимущество этих упражнений состоит в том, что в них легко дозировать нагрузку, регулируя силу воздействия партнера. Одно обязательное условие: пары надо подбирать таким образом, чтобы рост, масса тела и силы соупражняющихся были примерно равными.
Чрезмерная разница в силе иногда делает упражнения опасными, а в большинстве случаев неинтересными как для сильного, так и для слабого партнера. Выполняя упражнение на сопротивление, каждый должен сопротивляться в меру сил партнера, чтобы давать возможность выполнить двигательное действие. Упражнения в сопротивлении не должны переходить в своеобразное «соревнование» партнеров.
5. Упражнения, в которых мышечное напряжение создается за счет волевых усилий без использования внешних предметов в самосопротивлении.
6. Подвижные игры и игровые задания с проявлением силовых качеств.
Подвижные игры и игровые задания улучшают физическую подготовленность играющих, укрепляют их организм, содействуют формированию двигательных умений и навыков детей любого школьного возраста. Двигательные действия в игре мотивированы ее сюжетом (идеей, темой). Эти действия направлены на преодоление различных трудностей и препятствий при достижении цели игры [15, c. 37].
При помощи подвижных игр и игровых заданий можно в увлекательной и интересной форме развивать различные виды силовых качеств: максимальную силу, скоростно-силовые качества (стартовую и взрывную силу), силовую выносливость.
Дополнительные средства воспитания силы:
1. Упражнения с использованием внешней среды (бег и прыжки по рыхлому песку, бег и прыжки в гору, бег против ветра и т.д.).
2.Упражнения с использованием сопротивления упругих предметов (эспандеры, резиновые жгуты, упругие мячи и т.п.).
- Упражнения с противодействием партнера.
- Специальные игровые упражнения [16, с. 69].
По степени избирательности воздействия на мышечные группы силовые упражнения подразделяются на локальные (с усиленным функционированием примерно 1/3 мышц двигательного аппарата), региональные (с преимущественным воздействием примерно 2/3 мышечных групп) и тотальные, или общего воздействия (с одновременным или последовательным активным функционированием всей скелетной мускулатуры).
Силовые упражнения могут занимать всю основную часть занятия, если воспитание силы - его главная задача. В других случаях силовые упражнения выполняются в конце основной части занятия, но не после упражнений на выносливость. Силовые упражнения хорошо сочетаются с упражнениями на растягивание и на расслабление.
Частота занятий силового направления должна быть до трех раз в неделю. Применение силовых упражнений ежедневно допускается только для отдельных небольших групп мышц.
При использовании силовых упражнений величину отягощения дозируют или весом поднятого груза, выраженного в процентах от максимальной величины, или количеством возможных повторений в одном подходе, что обозначается термином повторный максимум (ПМ).
В первом случае вес может быть минимальным (60% от максимума), малым (от 60 до 70% от максимума), средним (от 70 до 80% от максимума), большим (от 80 до 90% от максимума), максимальным (свыше 90% от максимума).
Во втором случае вес может быть:
- предельным - 1 ПМ,
- околопредельным - 2-3 ПМ,
- большим - 4-7 ПМ,
- умеренно большим - 8-12 ПМ,
- малым - 19-25 ПМ,
- очень малым - свыше 25 ПМ [9].
В подростковом возрасте нежелательно акцентировать внимание только на развитие силы какой-либо одной группы мышц. Поэтому следует ориентировать школьников на включение в свои комплексы упражнения для разных мышечных групп. Причем желаемый эффект будет достигнут в том случае, если упражнения выполняются сериями. Иногда ученик, отжавшись несколько раз от пола, считает, что он поработал над развитием силы, и через некоторое время после таких «тренировок» удивляется, почему у него не растут результаты. В таком случае надо объяснять, что для каждой мышечной группы нужно проделать минимум 3 серии упражнений с интервалами отдыха 45-90 секунд.
Комплексы могут быть следующими: небольшая разминка (общеразвивающие упражнения для подготовки мышц к работе), упражнения для рук с гантелями, упражнения для ног - приседания на одной или обеих ногах, выпрыгивание из приседа, передвижения в приседа, упражнения для туловища - поднимание ног в висе или лежа на спине, пригибание в положение лежа на животе, наклоны вперед, назад, в стороны, повороты. В некоторых случаях можно делать в тренировке акцент на какую-либо группу мышц, но все же нельзя совсем отказываться от нагрузок и на другие мышцы [2, с. 127].
Этот метод хорош тем, что при его применении, особенно на первых порах легко дозировать нагрузки, следить за их влиянием на организм. Такие тренировки способствуют не только развитию силы, но и значительному приросту мышечной массы.
Когда учащийся в состоянии повторить упражнение 1-3 раза, основное воздействие сказывается на росте максимальной силы. Мышечная масса при этом практически не увеличивается. Рекомендовать такой метод развития силы можно только хорошо подготовленным учащимся, после освоения ими навыков самоконтроля. Между повторениями таких упражнений должен быть значительный интервал.
Увлечение однонаправленными упражнениями для развития силы может причинить занимающимся вред. Об опасности этого надо предупредить. Поэтому наряду с приведенными выше способами, особенно в подростковом возрасте, когда воздействие на развитие силы приносит хорошие результаты, следует научить ребят методу динамических усилий. Он заключается в том, что, применяя небольшие отягощения, выполняют упражнения с максимально возможной скоростью. По сути дела это способствует повышению уровня развития скоростно-силовых качеств.
Для развития силы можно применять изометрические силовые упражнения, которые представляют собой максимальные напряжения мышц в течение коротких промежутков времени. Например, сидя на полу, попробовать приподнять себя, попытаться «отодвинуть» стену. Необходимо рассказать ребятам о правилах выполнения статических упражнений, которые полезны для подготовки к выполнению работы, связанной с переносом тяжестей, удержанием тяжелых предметов и тому подобное [20].
Работая с девочками над развитием силы, учитель должен быть очень осторожен при определении дозировки, условий выполнения упражнений.
Даже сравнительно небольшие по объему тренировки, направленные на развитие силовых качеств, могут отрицательно повлиять на эластические свойства мышц, их способности к расслаблению, ухудшить и привести к «закрепощению», скованности движений. Могут даже наблюдаться нарушения координации, снижение быстроты и точности движений [17, с. 18].
Подобные последствия не возникают, если силовые упражнения чередовать с упражнениями на расслабление работавших мышц,
самомассажем, а также включением в комплексы упражнений, которые подчеркивали бы контрастный переход от напряжения к расслаблению.
Формируя навыки и умения самостоятельной работы над развитием качества силы, нельзя не сказать о способах измерения и контроля величины мышечных групп. Дети должны знать, что для измерения силы мышц применяют различные типы динамометров. С помощью ручного динамометра определяют силу мышц спины, ног, рук. Но можно судить о силе своих мышц и без специальных приборов. При занятиях физическими упражнениями в большинстве случаев приходится преодолевать вес собственного тела. Такие упражнения и являются одним из способов определения своей силы.
Например, силу мышц - сгибателей рук определяют по количеству подтягиваний, разгибателей рук - по отжиманиям в упоре лежа, силу мышц передней поверхности бедра - по приседаниям, силу мышц брюшного пресса по подниманием прямых ног в положении лежа на спине или в висе.
Подросток - это клубок психологических, эндокринных и соматических преобразований, что часто перестает контролировать себя, неадекватно реагирует на нагрузки. Поэтому следует тщательно контролировать развитие подростка, его реакцию на нагрузку. В начале подросткового возраста (у мальчиков - в 12-13 лет, у девочек - на 1-1,5 года раньше) нередко снижается выносливость, ловкость, координация движений. Это временное явление связано с глубокими эндокринными перестройками и возрастным рассогласованием деятельности отдельных физиологических систем. Сам подросток начинает стесняться своей неловкости, физического несовершенства. Нужны большой такт и терпение взрослого, чтобы направить физкультурные занятия в наиболее благоприятное русло, оптимально использовать возможности этого этапа индивидуального развития. Очень полезен в этом возрасте бег, который повышает физическую и умственную работоспособность. Скоростно-силовые упражнения в этом возрасте следует чередовать с чисто силовыми [6, с. 61].
К 15 годам у большинства девочек и у многих мальчиков наиболее трудный этап полового созревания заканчивается. Системы организмов постепенно вновь обретают способность действовать слаженно, реакции на нагрузки нормализуются, поэтому необходимо использовать данные резервы.
К этому возрасту, относительная сила мышц рук достигает наибольшей величины, что обусловлено изменениями в составе мышечных волокон и в деятельности нервных центров, управляющих сократительной деятельностью скелетных мышц.
И это открывает для педагога новые возможности в развитии силы: мышцы почти достигли качественного совершенства и могут увеличиваться, что является основой силы. Непременным компонентом физической тренировки должны стать упражнения на гимнастической стенке и перекладине. Приемы гантельной гимнастики именно в этом возрасте могут дать наиболее значительный эффект. Не нужно забывать про упражнения скоростно-силового характера [21, с. 36].
В подростковом периоде практически заканчивается развитие аэробных качеств, поэтому для поддержания этого качества в дальнейшем необходимо применять значительный объем нагрузок на выносливость.
Выносливость может увеличиваться также благодаря приспособлению организма к высоким концентрациям молочной кислоты, что происходит в подростковый период. Это свойство и нужно развивать, используя более интенсивные нагрузки. И центр тяжести занятий можно постепенно перемещать [17, с. 18].
На развитие силы и силовой выносливости, используя элементы гантельной и гиревой гимнастики, упражнения с облегченной штангой, гимнастические упражнения на перекладине, кольцах, брусьях. Благодаря тому, что этот период является «критическим» для развития анаэробных возможностей, даже сравнительно небольшое воздействие высокоинтенсивных нагрузок будет подстегивать совершенствование силы и скоростно-силовых качеств [27, с. 77].
Частота занятий силового направления не должна превышать 3 раз в неделю. Применение силовых упражнений ежедневно допускается только для отдельных небольших групп мышц.
В практике физического воспитания используется большое количество методов, направленных на воспитание различных видов силовых качеств. Данные методы применяются в работе со всеми возрастными группами детей, в том числе и с подростками 15-16 лет. Наиболее распространенными методами являются:
1) метод максимальных усилий;
2) метод непредельных усилий;
3) метод динамических усилий;
4) «ударный» метод;
5) метод статистических (изометрических) усилий;
6) статодинамический метод;
7) метод круговой тренировки;
8) игровой метод.
Метод максимальных усилий предусматривает выполнение заданий, связанных с необходимостью преодоления максимального сопротивления (например, поднимание штанги предельного веса). Этот метод обеспечивает развитие способности к концентрации нервно-мышечных усилий, дает больший прирост силы, чем метод непредельных усилий. В работе с начинающими и детьми его применять не рекомендуется, но если возникла необходимость в его применении, то следует обеспечить строгий контроль за выполнением упражнений. Данный метод является основным для развития максимальной силы.
Метод непредельных усилий предусматривает использование непредельных отягощений с предельным числом повторений (до отказа). В зависимости от величины отягощения, не достигающего максимальной величины, и направленности в развитии силовых качеств используется строго нормированное количество повторений от 5-6 до 100.
В физиологическом плане суть этого метода развития силовых качествсостоит в том, что степень мышечных напряжений по мере утомления приближается к максимальному (к концу такой деятельности увеличиваются интенсивность, частота и сумма нервно-эффекторных импульсов, в работу вовлекается все большее число двигательных единиц, нарастает синхронизация их напряжений).
Серийные повторения такой работы с непредельными отягощениями содействуют сильной активизации обменно-трофических процессов в мышечной и других системах организма, способствуют повышению общего уровня функциональных возможностей организма.
Метод динамических усилий. Суть метода состоит в создании максимального силового напряжения посредством работы с непредельным отягощением с максимальной скоростью. Упражнение при этом выполняется с полной амплитудой. Применяют данный метод при развитии быстрой силы, т.е. способности к проявлению большой силы в условиях быстрых движений.
«Ударный» метод предусматривает выполнение специальных упражнений с мгновенным преодолением ударно воздействующего отягощения, которые направлены на увеличение мощности усилий, связанных с наиболее полной мобилизацией реактивных свойств мышц (например, спрыгивание с возвышения высотой 45-75 см с последующим мгновенным выпрыгиванием вверх или прыжком в длину). После предварительного быстрого растягивания наблюдается более мощное сокращение мышц. Величина их сопротивления задается массой собственного тела и высотой падения.
Метод статических (изометрических) усилий. В зависимости от задач, решаемых при воспитании силовых качеств, метод предполагает применение различных по величине изометрических напряжений. В том случае, когда стоит задача развить максимальную силу мышц, применяют изометрические напряжения в 80-90% от максимума продолжительностью 4-6 сек. и 100% - 1-2 сек. Если же стоит задача развития общей силы, используют изометрические напряжения в 60-80% от максимума продолжительностью 10-12 сек. в каждом повторении. Обычно на тренировке выполняется 3-4 упражнения по 5-6 повторений каждого, отдых между упражнениями 2 мин.
При воспитании максимальной силы изометрические напряжения следует развивать постепенно. После выполнения изометрических упражнений необходимо выполнить упражнения на расслабление. Тренировка проводится в течение 10-15 мин.
Изометрические упражнения следует включать в занятия как дополнительное средство для развития силы.
Недостаток изометрических упражнений состоит в том, что сила проявляется в большей мере при тех суставных углах, при которых выполнялись упражнения, а показатели развития силы удерживаются меньшее время, чем после динамических упражнений.
Статодинамический метод. Характеризуется последовательным сочетанием в упражнении двух режимов работы мышц - изометрического и динамического. Для воспитания силовых качеств применяют 2-6-секундные изометрические упражнения с усилием в 80-90% от максимума с последующей динамической работой взрывного характера со значительным снижением отягощения (2-3 повторения в подходе, 2-3 серии, отдых 2-4 мин. между сериями). Применение этого метода целесообразно, если необходимо воспитывать специальные силовые способности именно при вариативном режиме работы мышц в соревновательных упражнениях.
Метод круговой тренировки. Обеспечивает комплексное воздействие на различные мышечные группы. Упражнения проводятся по станциям и подбираются таким образом, чтобы каждая последующая серия включала в работу новую группу мышц. Число упражнений, воздействующих на разные группы мышц, продолжительность их выполнения на станциях зависят от задач, решаемых в тренировочном процессе, возраста, пола и подготовленности занимающихся. Комплекс упражнений с использованием непредельных отягощений повторяют 1-3 раза по кругу. Отдых между каждым повторением комплекса должен составлять не менее 2-3 мин, в это время выполняются упражнения на расслабление.
Метод круговой тренировки имеет три разновидности.
1. Непрерывно-поточный метод заключается в выполнении упражнений слитно, одно за другим, с небольшим интервалом отдыха. Особенность этого метода - постепенное повышение индивидуальной нагрузки за счет повышения мощности работы (до 60% максимума) и увеличения числа упражнений в одном или нескольких кругах. Одновременно сокращается продолжительность выполнения упражнений (до 30-40 секунд). Этот метод способствует комплексному развитию физических качеств.
2. Поточно-интервальный метод базируется на 20-40 секундном выполнении простых по технике упражнений (50% от максимальной мощности) на каждой станции с минимальным отдыхом. Цель его -сокращение контрольного времени до 1-2 кругов. Такой режим развивает общую и силовую выносливость, совершенствует дыхательную и сердечно-сосудистую системы.
3. Интенсивно-интервальный метод используют с ростом уровня физической подготовленности занимающихся. Мощность его задания составляет 75% от максимальной и достигается за счет увеличения интенсивности и сокращения продолжительности работы (до 10-20 секунд). Цель его - сокращение продолжительности работы при ее стандартном объеме и сохранении временных параметров отдыха (до 40-90 секунд). Подобный режим развивает максимальную и взрывную силу. Интервалы отдыха 30-40 секунд обеспечивают прирост результатов в упражнениях скоростной и силовой выносливости [4, с. 115].
Игровой метод предусматривает воспитание силовых качеств преимущественно в игровой деятельности, где игровые ситуации вынуждают менять режимы напряжения различных мышечных групп и бороться с нарастающим утомлением организма.
К таким играм относятся игры, требующие удержания внешних объектов (например, партнера в игре «Всадники»), игры с преодолением внешнего сопротивления (например, «Перетягивание каната», игры с чередованием режимов напряжения различных мышечных групп (например, различные эстафеты с переноской грузов разного веса).
Педагог по физической культуре и спорту всегда должен творчески подходить к выбору методов воспитания силовых качеств занимающихся, учитывая природный индивидуальные показатели их развития и требования, предусмотренные программами по физическому воспитанию и характером соревновательной деятельности.
Таким образом, средствами развития силы являются физические упражнения с повышенным отягощением, которые направленно стимулируют увеличение степени напряжения мышц. Силовые средства подразделяются на основные и дополнительные. К основным относятся упражнения с весом внешних предметов (штанги с набором дисков разного веса, разборные гантели, гири, набивные мячи, вес партнера и т.д.); упражнения, отягощенные весом собственного тела; упражнения с использованием различных силовых тренажеров, тренажерных устройств, эспандеров, резиновых амортизаторов; статические упражнения в изометрическом режиме. К дополнительным: упражнения с использованием внешней среды (бег и прыжки по рыхлому песку, бег и прыжки в гору, бег против ветра и т.д.); упражнения с использованием сопротивления упругих предметов (эспандеры, резиновые жгуты, упругие мячи и т.п.); упражнения с противодействием партнера; специальные игровые упражнения. Среди методов воспитания силы выделяют метод максимальных усилий, метод непредельных усилий, метод динамических усилий, «ударный» метод, метод статических (изометрических) усилий, статодинамический метод, метод круговой тренировки, игровой метод. В подростковом периоде можно добиться больших успехов в формировании детского организма, используя для этого все многообразие методов воспитания силы.
Глава 2. Методы и организация исследования
2.1. Методы исследования
Для решения поставленных задач исследования были использованы следующие методы:
1. Теоретические: анализ научно-методической литературы. Анализ научно-методической литературы показал, что сила - это способность человека преодолевать внешнее сопротивление или противостоять ему за счет мышечных усилий (напряжений). Силовые способности - это комплекс различных проявлений человека в определенной двигательной деятельности, в основе которых лежит понятие «сила». Силовые способности проявляются не сами по себе, а через какую-либо двигательную деятельность. В 15-16-летнем возрасте происходит активное развитие организма учащегося, которое отражается в интенсивном росте и увеличении размеров тела, в развитии мышечной и дыхательной системы. В этот период совершенствуются моторные и силовые способности детей, развиваются двигательные качества. Средствами развития силы являются физические упражнения с повышенным отягощением, которые направленно стимулируют увеличение степени напряжения мышц. Силовые средства подразделяются на основные и дополнительные. К основным относятся упражнения с весом внешних предметов (штанги с набором дисков разного веса, разборные гантели, гири, набивные мячи, вес партнера и т.д.); упражнения, отягощенные весом собственного тела; упражнения с использованием различных силовых тренажеров, тренажерных устройств, эспандеров, резиновых амортизаторов; статические упражнения в изометрическом режиме. К дополнительным: упражнения с использованием внешней среды (бег и прыжки по рыхлому песку, бег и прыжки в гору, бег против ветра и т.д.); упражнения с использованием сопротивления упругих предметов (эспандеры, резиновые жгуты, упругие мячи и т.п.); упражнения с противодействием партнера; специальные игровые упражнения. Среди методов воспитания силы выделяют метод максимальных усилий, метод непредельных усилий, метод динамических усилий, «ударный» метод, метод статических (изометрических) усилий, статодинамический метод, метод круговой тренировки, игровой метод. В подростковом периоде можно добиться больших успехов в формировании детского организма, используя для этого все многообразие методов воспитания силы.
2. Наблюдение
Метод педагогического наблюдения использовался для изучения основных вопросов тренировочного процесса: задачи технической подготовки; средства физической подготовки, их место в тренировочном процессе; методы обучения и воспитания; поведение учащихся ГБОУ СПО РХ «Училище (техникум) олимпийского резерва» и их тренера-преподавателя; характер и величина нагрузки в процессе тренировок, а также в процессе наблюдения были определены контрольная и экспериментальная группы. В методике проведения исследования был использован непосредственный вид наблюдения.
3. Беседа
Применяется как самостоятельный метод или как дополнительный в целях получения необходимой информации. Проводится по заранее намеченному плану с выделением вопросов, подлежащих выяснению. Беседа ведется в свободной форме, без записи ответов собеседника. В данном исследовании проводились беседы с тренером на изучение его опыта работы:
- Какие методы используются в учебно-тренировочном процессе?
- Какие средства и формы используются в процессе формирования и развития силовых способностей?
- Какие методы наиболее эффективны при формировании и развитии силовых способностей у подростков 15-16 лет?
4. Педагогическое тестирование.
Нами были подобраны контрольные испытания (тесты), направленные на выявления показателей развития силовых способностей подростков 15-16 лет.
Для определения показателей развития силовых способностей нами были использованы следующие контрольные тесты:
- подтягивание на высокой перекладине из виса;
- сгибание-разгибание рук в упоре лежа;
- бросок набивного мяча 2 кг двумя руками из-за головы.
Критериями оценки силовых способностей служит максимальное количество подтягиваний и отжиманий, а так же дальность бросков.
Подтягивание на высокой перекладине из виса (максимальное количество):
- высокие показатели - 13-15 раз;
- средние показатели - 8-12 раз;
- низкие показатели - до 7 раз.
Сгибание-разгибание рук в упоре лежа (максимальное количество):
- высокие показатели - 17-20 раз;
- средние показатели - 11-16 раз;
- низкие показатели - до 10 раз.
Бросок набивного мяча 2 кг двумя руками из-за головы (максимальная дальность в см):
- высокие показатели - 700 см и более;
- средние показатели - 555-695 см;
- низкие показатели - до 550 см.
5. Педагогический эксперимент осуществлялся с целью выявления первоначальных показателей развития силовых способностей у подростков 15-16 лет. В данном исследовании был использован сравнительный эксперимент: сравнение полученных результатов развития силовых способностей подростков 15-16 лет контрольной и экспериментальной групп. Деятельность испытуемых протекала в атмосфере конфиденциальности и при полном отсутствии оценочного отношения со стороны экспериментатора. Проводились контрольные испытания с участием исследуемых групп: контрольной и экспериментальной. Все контрольные испытания проводились в разные дни и после тщательной разминки, в начале основной части занятия. Место проведения - спортзал. Занятия в экспериментальной и контрольной группах проводились параллельно (в одну смену), определялась результативность изучаемых факторов.
6. Метод математической статистики.
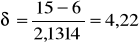
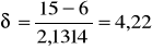
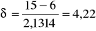
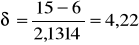
Метод оценки достоверности различий арифметических средних по t-критерию Стьюдента применялся для количественного анализа экспериментальных данных. Он включает в себя выявление закономерности и статистический анализ полученных результатов по таблице вероятности Стьюдента. Рассчитывается достоверность различий между полученными в итоге проведения сравнительного педагогического эксперимента результатами экспериментальных и контрольных групп.
Порядок вычисления достоверности различий по критерию t Стьюдента:
1) вычисление средней арифметической величины Х;
2) в обеих группах вычислить стандартное отклонение;
3) вычислить стандартную ошибку среднего арифметического значения;
4) вычислить среднюю ошибку разности;
5) по специальной таблице определить достоверность различий.
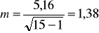
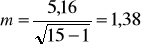
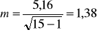
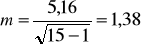
В работе мы использовали формулы для вычисления средней арифметической величины:
(1)
где хi - значение отдельного измерения; n - общее число измерений в группе.
Стандартное отклонение определяли по следующей формуле:
(2)
где хimin - наименьший показатель; хimax - наибольший показатель; К - табличный коэффициент (в данном случае К=2,1314).
Стандартную ошибку среднего арифметического значения находим по формуле:
(3)
Среднюю ошибку разности вычисляют по формуле:
(4)
Если Р(t) 0,05, то различия в группах эксперимента не являются достоверными.
Если P(t) 0,05, то различия в группах достоверные.
2.2. Организация исследования
Исследование проводилось на базе ГБОУ СПО РХ «Училище (техникум) олимпийского резерва».
В исследовании принимали участие подростки в возрасте 15-16 лет, учащиеся ГБОУ СПО РХ «Училище (техникум) олимпийского резерва». Всего в эксперименте приняло участие 30 подростков, среди которых 15 чел. - экспериментальная группа (ЭГ) и 15 чел. - контрольная группа (КГ).
Первый этап эксперимента (с сентября по октябрь 2012 г.) включал в себя теоретическое обоснование, изучение и анализ учебно-методической литературы. На этом этапе был проведен теоретико-методологический анализ литературных источников, посвященных изучению анатомо-физиологических особенностей подростков 15-16 лет и развитию силовых способностей. Были подобраны следующие контрольные испытания (тесты), направленные на выявление первоначальных показателей развития силовых способностей подростков 15-16 лет: подтягивание на высокой перекладине из виса; сгибание-разгибание рук в упоре лежа; бросок набивного мяча 2 кг двумя руками из-за головы. Также в ходе данного этапа были сформированы контрольная и экспериментальная группы. Проведено тестирование по определению показателей развития силы на начало эксперимента.
На втором этапе эксперимента (с ноября 2012 г. по апрель 2013 г.) были определены средства и методы развития силовых способностей подростков 15-16 лет. Учебный процесс с использованием специального комплекса упражнений проходил в экспериментальной группе.
На третьем этапе (май 2013 г.) в контрольной и экспериментальной группах было проведено повторное тестирование для выявления эффективности предложенных комплексов специальных упражнений для развития силы и силовых способностей на промежуточном этапе.
2.3. Экспериментальные комплексы упражнений
В ходе изучения научно-методической литературы по проблеме исследования нами было подобрано два комплекса упражнений для развития силовых способностей подростков 15-16 лет.
Первый комплекс включает в себя 12 упражнений на развитие мышц рук и плечевого пояса, мышц шеи, живота и спины.
Упражнения для укрепления мышц рук и плечевого пояса
1. В упоре лежа:
а) сгибать и разгибать руки,
б) попеременно сгибать каждую руку,
в) те же упражнения при опоре пальцами.
2. В упоре лежа с приподнятым тазом медленно сгибать руки, опуская таз и подавая туловище вперед. Движение вверх производят в обратном направлении.
3. Стоя ноги врозь на ширину шага или пря ходьбе по кругу, руки в стороны:
а) делать мелкие пружинящие движения руками в передне-заднем направлении;
б) делать мелкие пружинящие движения руками вверх-вниз;
в) делать мелкие круговые движения руками;
г) резко сводить руки вперед и медленно разводить их в стороны.
4. При ходьбе широким шагом энергично взмахивать выпрямленными руками вверх и вниз:
а) при шаге правой ногой - мах левой рукой вверх, правой - вниз;
б) при шаге левой - наоборот.
Упражнения для укрепления мышц шеи
5. Стоя на «мосту», покачиваться из стороны в сторону или нагибать голову в различных направлениях при уступающей и преодолевающей работе мышц шеи с помощью собственных рук или рук партнера.
Упражнения для укрепления мышц живота
6. Стоя ноги врозь на ширину шага, руки вытянуты в стороны - энергично поворачивать туловище направо и налево.
7. При ходьбе широким шагом попеременно поворачивать туловище с вытянутыми в стороны руками. Поворот туловища делать в сторону вышагивающей ноги.
8. Сидя широко расставив ноги врозь, попеременно доставать каждой ладонью ступню разноименной ноги с поворотом туловища.
9. Лежа на спине, вытянув руки вдоль тела или соединив их под затылок «в замок» и приподняв ноги:
а) сгибать и разгибать ноги в коленных суставах;
б) делать быстрые круговые движения ногами, напоминающие движения велосипедиста;
в) сводить и разводить ноги в стороны;
г) разводить и сводить ноги круговыми движениями;
д) поднимать выпрямленные ноги до касания носками пола за головой;
е) поднимать туловище и наклонять вперед, держа при этом ноги выпрямленными и соединенными вместе.
10. Лежа на спине, руки в стороны (упираясь ладонями в пол), ноги приподняты до вертикального положения - опускать и приподнимать ноги из стороны в сторону.
11. Лежа на спине, руки вытянуты за головой, садиться с маховым движением руками вперед и наклоняться вперед, доставая ладонями ступни. Ноги при этом выпрямлены и соединены вместе.
Упражнения для укрепления мышц спины
12. Лежа на животе с вытянутыми вперед руками, прогибаться назад с пружинящими движениями рук и ног. То же, лежа на гимнастической скамейке поперек, опускать руки до касания пола кистями.
Второй комплекс упражнений включает в себя упражнения с отягощением, т.е. с использованием гантелей и штанги. Гантели используют, чтобы увеличить в упражнениях нагрузку на руки и плечевой пояс и этим содействовать более эффективному развитию различных мышечных групп.
1. Руки опущены вниз, ладони обращены вперед:
а) одновременно сгибать руки в локтевых суставах;
б) попеременно сгибать руки в локтевых суставах.
2. Руки опущены вниз, ладони обращены назад:
а) одновременно поднимать руки вперед и далее вверх до вертикального положения;
б) попеременно поднимать руки вперед и далее вверх до вертикального положения;
в) быстро вращать гантели по вертикальной оси.
3. Руки опущены вниз, ладони обращены внутрь:
а) одновременно поднимать дугами наружу руки вверх до вертикального положения;
б) попеременно поднимать дугами наружу руки вверх до вертикального положения;
в) одновременно двигать вытянутыми руками в передне-заднем направлении;
г) попеременно двигать вытянутыми руками в передне-заднем направлении.
4. Руки вытянуты в стороны, ладони обращены вперед:
а) резко сводить руки перед собой до горизонтального положения;
б) поднимать руки вверх до вертикального положения;
в) делать мелкие круговые движения руками;
г) делать мелкие движения руками вверх и вниз;
д) делать мелкие движения руками вперед и назад.
5. Руки вытянуты вперед:
а) резко разводить руки в стороны до горизонтального положения;
б) поднимать руки вверх до вертикального положения;
в) одновременно двигать обеими руками в правую и левую стороны.
6. Руки опущены и согнуты в локтях:
а) одновременно разгибая руки, быстро выбрасывать их вверх;
б) попеременно разгибая руки, быстро выбрасывать их вверх.
7. Гантели в опущенных руках. Сгибайте и разгибайте кисти рук. Упражнение выполняйте до утомления мышц предплечья.
8. Отжимания в упоре лежа на пальцах. Туловище и ноги должны составлять одну прямую линию. По мере тренированности отжимания выполняйте, опираясь на четыре и три пальца.
9. Отжимания из положения лежа на ладошках, кулачках, пальчиках. Выполняется по 10 раз с перерывом в 2 минуты после смены упора на ладошки, пальцы, кулачки.
10. Жим штанги из положения лежа от груди. Выполняется из положения лежа с небольшим отягощением (используется штанга не более 30 кг).
11. Поднятие штанги из положения стоя. Штанга держится в руках. Руки опущены. Штанга поднимается вверх до уровня плеч за счет бицепса и сил спины.
12. Приседания со штангой. Штанга лежит на плечах и держится руками.
Таким образом, экспериментальные комплексы упражнений, внедренные в учебно-тренировочный процесс, будут способствовать эффективному развитию силы и силовых способностей подростков 15-16 лет.
Глава 3. Анализ результатов исследования
3.1. Анализ полученных результатов до эксперимента
В результате проведения тестов на определение показателей развития силовых способностей в экспериментальной группе были получены данные, которые представлены в таблице 4.
Таблица 4
Показатели развития силы и силовых способностей в ЭГ
до эксперимента
|
Показатели |
Подтягивание на перекладине, раз |
Сгибание и разгибание рук, раз |
Бросок мяча, см |
|||
|
чел. |
% |
чел. |
% |
чел. |
% |
|
|
Высокие |
3 |
20 |
4 |
26,7 |
3 |
20 |
|
Средние |
9 |
60 |
8 |
53,3 |
7 |
46,7 |
|
Низкие |
3 |
20 |
3 |
20 |
5 |
33,3 |
|
ИТОГО |
15 |
100 |
15 |
100 |
15 |
100 |
Результаты проведенного исследования в экспериментальной группе показали, что в среднем они могли подтянуться на перекладине 11 раз, отжаться от пола 13 раз, бросить мяч из-за головы на 615 см.
В результате проведения тестов на определение показателей развития силовых способностей в контрольной группе были получены данные, которые представлены в таблице 5.
Таблица 5
Показатели развития силы и силовых способностей в КГ
до эксперимента
|
Показатели |
Подтягивание на перекладине, раз |
Сгибание и разгибание рук, раз |
Бросок мяча, см |
|||
|
чел. |
% |
чел. |
% |
чел. |
% |
|
|
Высокие |
4 |
27 |
2 |
13 |
2 |
13 |
|
Средние |
8 |
53 |
7 |
47 |
7 |
47 |
|
Низкие |
3 |
20 |
6 |
40 |
6 |
40 |
|
ИТОГО |
15 |
100 |
15 |
100 |
15 |
100 |
Результаты проведенного исследования в КГ показали, что в среднем они могли подтянуться на перекладине 10 раз, отжаться от пола 15 раз, бросить мяч из-за головы на 628 см.
Средние результаты развития силы и силовых способностей подростков 15-16 лет до эксперимента представлены в Таблице 6.
Таблица 6
Средние результаты развития силы и силовых способностей подростков
15-16 лет до эксперимента
|
Тест |
Контрольная |
Экспериментальная |
|
Подтягивание на перекладине, раз |
10,87 |
11,13 |
|
Сгибание и разгибание рук, раз |
15,13 |
13,47 |
|
Бросок мяча, см |
627,67 |
615 |
Данные, представленные в таблице 6, демонстрируют, что показатели развития силы и силовых способностей подростков 15-16 лет до эксперимента в КГ и ЭГ различается незначительно.
Показатели развития силы и силовых способностей в контрольной и экспериментальной группах до эксперимента представлены в таблице 7.
Таблица 7
Показатели развития силы и силовых способностей в КГ и ЭГ
до эксперимента
|
Показатели |
Подтягивание на перекладине, % |
Сгибание и разгибание рук, % |
Бросок мяча, % |
|||
|
ЭГ |
КГ |
ЭГ |
КГ |
ЭГ |
КГ |
|
|
Высокие |
20 |
27 |
26,7 |
13 |
20 |
13 |
|
Средние |
60 |
53 |
53,3 |
47 |
46,7 |
47 |
|
Низкие |
20 |
20 |
20 |
40 |
33,3 |
40 |
Полученные результаты наглядно отображены на рис. 1.

Рис. 1. Показатели развития силы и силовых способностей
в КГ и ЭГ до эксперимента
Показатели достоверности результатов развития силы и силовых способностей подростков 15-16 лет в ЭГ и КГ до эксперимента представлены в Таблице 8.
Таблица 8
Показатели достоверности результатов развития силы и силовых способностей подростков 15-16 лет до эксперимента
|
Тесты |
Группа |
Х ± m |
T |
P |
|
|
Подтягивание на переклади не, раз |
КГ |
10,87 ± 1,13 |
4,22 |
0,1625>0,05 |
|
|
ЭГ |
11,13 ± 1,13 |
4,22 |
|||
|
Сгибание и разгибание рук, раз |
КГ |
13,13 ± 1,38 |
5,16 |
0,86>0,05 |
|
|
ЭГ |
13,47 ± 1,38 |
5,16 |
|||
|
Бросок мяча, см |
КГ |
627,67 ± 25,1 |
93,83 |
0,36>0,05 |
|
|
ЭГ |
615 ± 25,1 |
93,83 |
Из таблицы 8 видно, что до начала эксперимента имеются незначительные различия в результатах средних показателей развития силы и силовых способностей испытуемых у контрольной и экспериментальной групп. При этом, по всем тестам показатель t больше граничного значения 0,05, следовательно, различия между полученными средними арифметическими значениями являются недостоверными. Результаты, полученные в ходе тестирования испытуемых до эксперимента, говорят о том, что группы подобраны идентичные по показателям развития силы и силовых способностей (Приложения 1, 2, 3).
Таким образом, первоначальные показатели развития силы и силовых способностей у подростков 15-16 лет контрольной и экспериментальной группы приблизительно одинаковые, однако большинство тестов выполнено с преобладанием среднего результата, что говорит о необходимости развития силовых способностей у подростков 15-16 лет через выполнение упражнений с отягощением.
3.2. Анализ полученных результатов на промежуточном этапе
После проведения занятий с использованием экспериментального комплекса упражнений было проведено повторное тестирование контрольной и экспериментальной групп. В результате проведения тестов на определение показателей развития силы и силовых способностей в экспериментальной группе были получены данные, которые представлены в таблице 9.
Таблица 9
Показатели развития силы и силовых способностей в ЭГ
на промежуточном этапе
|
Показатели |
Подтягивание на перекладине, раз |
Сгибание и разгибание рук, раз |
Бросок мяча, см |
|||
|
чел. |
% |
чел. |
% |
чел. |
% |
|
|
Высокие |
6 |
40 |
7 |
47 |
7 |
47 |
|
Средние |
8 |
53 |
6 |
40 |
7 |
47 |
|
Низкие |
1 |
7 |
2 |
13 |
1 |
6 |
|
ИТОГО |
15 |
100 |
15 |
100 |
15 |
100 |
Результаты проведенного исследования в экспериментальной группе показали, что после использования комплексов экспериментальных упражнений в ЭГ число подростков 15-16 лет, продемонстрировавших высокие показатели развития силы и силовых способностей, увеличилось (подтягивание на перекладине - 40%, сгибание и разгибание рук - 47%, бросок мяча - 47%). Также следует отметить, что число подростков, проявивших низкие показатели развития силы и силовых способностей, уменьшилось.
В результате проведения тестов на определение показателей развития силы и силовых способностей в контрольной группе были получены данные, которые представлены в таблице 10.
Таблица 10
Показатели развития силы и силовых способностей в КГ
на промежуточном этапе
|
Показатели |
Подтягивание на перекладине, раз |
Сгибание и разгибание рук, раз |
Бросок мяча, см |
|||
|
чел. |
% |
чел. |
% |
чел. |
% |
|
|
Высокие |
5 |
33 |
4 |
27 |
4 |
27 |
|
Средние |
7 |
47 |
5 |
33 |
5 |
33 |
|
Низкие |
3 |
20 |
6 |
40 |
6 |
40 |
|
ИТОГО |
15 |
100 |
15 |
100 |
15 |
100 |
Результаты проведенного исследования в КГ показали, что число подростков 15-16 лет, достигших в ходе тестирования высоких показателей развития силы и силовых способностей увеличилось незначительно (подтягивание на перекладине - 33%, сгибание и разгибание рук - 27%, бросок мяча - 27%). При этом стоит отметить, что количество подростков с низкими показателями развития силы и силовых способностей в КГ не изменилось.
Средние результаты развития силы и силовых способностей подростков 15-16 лет на промежуточном этапе представлены в таблице 11.
Таблица 11
Средние результаты развития силовых способностей подростков 15-16 лет
на промежуточном этапе
|
Тест |
Контрольная |
Экспериментальная |
|
Подтягивание на перекладине, раз |
11,2 |
11,73 |
|
Сгибание и разгибание рук, раз |
15,4 |
15,87 |
|
Бросок мяча, см |
633,33 |
671,87 |
Из таблицы 11 видно, что на промежуточном этапе различия результатов развития силовых способностей испытуемых между контрольной и экспериментальной группы существенны (Приложения 4, 6, 7).
Сравнительные показатели развития силы и силовых способностей в КГ и ЭГ на промежуточном этапе представлены в таблице 12.
Таблица 12
Показатели развития силы и силовых способностей в КГ и ЭГ
на промежуточном этапе
|
Показатели |
Подтягивание на перекладине, % |
Сгибание и разгибание рук, % |
Бросок мяча, % |
|||
|
ЭГ |
КГ |
ЭГ |
КГ |
ЭГ |
КГ |
|
|
Высокие |
40 |
33 |
47 |
27 |
47 |
27 |
|
Средние |
53 |
47 |
40 |
33 |
47 |
33 |
|
Низкие |
7 |
20 |
13 |
40 |
6 |
40 |
Данные, представленные в таблице, демонстрируют, что при подтягивании на перекладине высоких показателей развития силы и силовых способностей достигли 40 % подростков ЭГ и 33% подростков КГ. При выполнении сгибания и разгибания рук высоких показателей достигли 47% участников ЭГ и 27% участников КГ. При выполнении бросков мяча высокие показатели проявили 47% подростков ЭГ и 27% подростков КГ.

Рис. 2. Показатели развития силовых способностей в КГ и ЭГ на промежуточном этапе
Как свидетельствуют результаты, представленные в таблице 12 и на рис. 2, отмечается положительная динамика развития силы и силовых способностей у испытуемых экспериментальной группы.
Показатели достоверности результатов развития силы и силовых способностей подростков 15-16 лет в ЭГ и КГ на промежуточном этапе представлены в таблице 13.
Таблица 13
Показатели достоверности результатов развития силы и силовых способностей подростков 15-16 лет на промежуточном этапе
|
Тесты |
Группа |
Х ± m |
T |
P |
|
|
Подтягивание на переклади не, раз |
КГ |
11,2 ± 1,13 |
4,22 |
0,33>0,05 |
|
|
ЭГ |
11,73 ± 1,13 |
4,22 |
|||
|
Сгибание и разгибание рук, раз |
КГ |
15,4 ± 1,38 |
5,16 |
0,94>0,05 |
|
|
ЭГ |
15,87 ± 1,38 |
5,16 |
|||
|
Бросок мяча, см |
КГ |
633,33 ± 25,1 |
93,83 |
1,08>0,05 |
|
|
ЭГ |
671,87± 25,1 |
93,83 |
Из таблицы 13 видно, что на промежуточном этапе эксперимента коэффициент достоверности расчетный показатель (t) выше критической точки распределения Стьюдента (0,05), отмечается прирост показателей развития силы и силовых способностей в экспериментальной группе.
Таким образом, в ходе эксперимента выявили, что предложенные комплексы экспериментальных упражнений позволяют повысить показатели развития силы и силовых способностей у подростков 15-16 лет. Результаты контрольных испытаний показали, что различия в показателях развития силы и силовых способностей у подростков 15-16 лет контрольной и экспериментальной группы существенны. Большинство тестов подростками экспериментальной группы выполнено с преобладанием высокого и среднего результата, отмечается прирост показателей развития силы и силовых способностей в экспериментальной группе.
Выводы
Для достижения поставленной цели, в ходе выполнения работы были решены следующие задачи:
- Проведен анализ литературы по проблеме исследования. Анализ научно-методической литературы по теме исследования показал, что сила - способность человека преодолевать внешнее сопротивление или противостоять ему за счет мышечных усилий (напряжений). Силовые способности проявляются не сами по себе, а через какую-либо двигательную деятельность. Специфика развития подростков 15-16 лет в значительной мере определяется важнейшим биологическим фактором - половым созреванием. Данный возраст сопровождается существенными изменениями в деятельности всех физиологических систем, включая центральную нервную систему. Исходя из экспериментальных данных, можно сказать, что у подростков 15-16 развития силы, в частности силы рук, предплечий, соответствует среднему. При развитии силовых качеств у подростков 15-16 лет активно используется метод круговой тренировки, метод статических, изометрических усилий, игровой метод.
- Проведено тестирование и определены показатели развития силы и силовых способностей у подростков 15-16 лет до эксперимента. Организовано исследование по определению показателей развития силовых способностей у учащихся 15-16 лет ГБОУ СПО РХ «Училище (техникум) олимпийского резерва». В исследовании принимали участие подростки в возрасте 15-16 лет, учащиеся ГБОУ СПО РХ «Училище (техникум) олимпийского резерва». Всего в эксперименте приняло участие 30 подростков, среди которых 15 чел. - экспериментальная группа и 15 чел. - контрольная группа. Результаты тестирования до проведения эксперимента показали, что первоначальные показатели развития силовых способностей у подростков 15-16 лет контрольной и экспериментальной группы приблизительно одинаковый, однако большинство тестов выполнено с преобладанием среднего результата, что говорит о необходимости развития силовых способностей у подростков 15-16 лет через выполнение упражнений с отягощением.
- Разработаны комплексы специальных упражнений для развития силы и силовых способностей подростков 15-16 лет и внедрен в учебный процесс экспериментальной группы.
- В ходе эксперимента выявили, что предложенные комплексы экспериментальных упражнений позволяют повысить показатели развития силы и силовых способностей у подростков 15-16 лет экспериментальной группы. Результаты контрольных испытаний, проведенных на промежуточном этапе, показали, что у подростков 15-16 лет экспериментальной группы преобладают высокие показатели развития силы и силовых способностей, а в контрольной группе - средние показатели развития силы и силовых способностей.
Библиографический список
- Ашмарин, А.Л. Сила и методика ее воспитания [Текст] / А.Л. Ашмарин. - М: Физкультура и спорт, 2007. - 195 с.
- Бельский, И.В. Тренировка силы [Текст] / И.В. Бельский. - М.: ООО «Вида-Н», 2009. - 352 с.
- Бондаревский, Е.А. Физическая подготовка подростков [Текст] / Е.А. Бондаревский. - Минск, 2006. - 172 с.
- Воробьев, А.Н., Сорокин, Ю.К. Анатомия силы [Текст] / А.Н. Воробьев, Ю.К. Сорокин. - М.: Физкультура и спорт, 2005. - 284 с.
- Красильников, И.М. Контрольные нормативы по общефизической подготовке [Текст] / И.М. Красильников // Физкультура в школе. - 2006. - № 5. - С. 47-48.
- Кузнецов, B.C. Силовая подготовка детей школьного возраста [Текст]: метод. пособие / В.С. Кузнецов. - М.: Изд-во НЦ ЭНАС, 2009. - 85 с.
- Курамшин, Ю. Теория и методика физической культуры [Текст] / Ю. Курамшин. - М.: Просвещение, 2007. - 464 с.
- Легкая атлетика [Текст]: учебное пособие / Под общ. ред. А.И. Жилкина, В.С. Кузьмина, Е.В. Сидорчук. - М.: Просвещение, 2008. - 225 с.
- Лях, В.И. Методика физического воспитания учащихся 8-9 кл. [Текст] / В.И. Лях. - М.: Просвещение, 2007. - 112 с.
- Лях, В.И. Тесты в физическом воспитании школьников [Текст]: пособие для учителя / В.И. Лях. - М.: ООО «Фирма «Издательство ACT», 2007. - 110 с.
- Методика физического воспитания школьников [Текст] / Д.А. Аросьев, Л.В. Бавина, Г.А. Баранчукова и др.; Под ред. Г.Б. Мейксона, Л.Е. Любомирского. - М.: Просвещение, 2007. - 294 с.
- Мороз, Р.П. Развивайте силу [Текст] / Р.П. Мороз. - М.: Физкультура и спорт, 2005. - 163 с.
- Олейник, М.В. Развитие физических качеств [Текст] / М.В. Олейник // Физкультура в школе. - 2003. - № 7. - С. 62.
- Определение физической подготовленности школьников [Текст] / Под ред. Б.В. Сермеева. - М.: Педагогика, 1999. - 223 с.
- Петров, В. Анатомия силы [Текст] / В. Петров. - М.: Просвещение, 2006. - 84 с.
- Петров, В.К. Сила нужна всем [Текст] / В.К. Петров. - М.: Физкультура и спорт, 2009. - 142 с.
- Полозов, А.А. Основы развития силы [Текст] / А.А. Полозов // Физкультура в школе. - 2006. - № 6. - С. 17-19.
- Северова Т.С. По приросту: оценка физической подготовленности школьников [Текст] / Т.С. Северова // Физкультура в школе. - 2003. - № 2. - С. 26-27.
- Сонькин, В.Д. Растем сильными и выносливыми [Текст] / В.Д. Сонькин. - М: Знание, 2005. - 112 с.
- Сухорев, А.Г. Здоровье и физическое воспитание детей и подростков [Текст] / А.Г. Сухорев. - М.: Инфра-М, 2007. - 77 с.
- Сухоцкий, И.В. Силовая подготовка учащихся подросткового периода [Текст] / И.В. Сухоцкий. - М.: Академия, 2008. - 85 с.
- Талага, Е. Энциклопедия физических упражнений [Текст] / Е. Талага. - М.: Физкультура и Спорт, 2008. - 412 с.
- Теория и методика физического воспитания [Текст]: учебник для студ. фак. физической культуры, педагогических институтов / Под ред. Б.А. Ашмарина. - М.: Просвещение, 2007. - 253 с.
- Фарасов, Н.Б. Игровые упражнения для развития силы [Текст] / Н.Б. Фарасов // Физкультура в школе. - 1998. - №4. - С. 24-25.
- Хожуев, М.Б. Как научить подтягиванию [Текст] / М.Б. Хожуев // Физкультура в школе. - 2002. - №7. - С. 28-29.
- Холодов, Ж.К., Кузнецов, В.С. Теория и методика физического воспитания и спорта [Текст]: учеб. пособие для студ. высш. учеб. заведений Ж.К. Холодов, В.С. Кузнецов. - М.: Издательский центр «Академия», 2008. - 209 с.
- Хужеловский, К.Г. Воспитание силовых способностей [Текст] / К.Г. Хужеловский. - М.: Физкультура, 2009. - 145 с.
- Шапошников, Ю. Сила и как сделаться сильным [Текст] / Ю. Шапошников. - М.: Спорт, 2008. - 184 с.
- Шубов, В.М. Красота силы [Текст] / В.М. Шубов. - М.: Спорт, 2007. - 112 с.
- Янсон, Ю.А. Педагогика физического воспитания школьников [Текст] / Ю.А. Янсон. - Ростов н/Д, 2009. - 240 с.
Приложение 1
Протокол контрольной группы
|
Тесты |
Подтягивание на перекладине, раз |
Сгибание и разгибание рук, раз |
Бросок мяча, см |
|
Александр |
15 |
20 |
710 |
|
Алексей |
12 |
16 |
650 |
|
Василий |
7 |
9 |
660 |
|
Виктор |
10 |
19 |
720 |
|
Виталий |
14 |
15 |
670 |
|
Дамир |
11 |
16 |
660 |
|
Дмитрий |
6 |
15 |
680 |
|
Егор |
12 |
18 |
640 |
|
Игорь |
6 |
9 |
540 |
|
Кирилл |
15 |
16 |
520 |
|
Никита |
12 |
15 |
720 |
|
Николай |
11 |
15 |
535 |
|
Олег |
10 |
15 |
540 |
|
Роман |
11 |
9 |
650 |
|
Федор |
11 |
20 |
520 |
Приложение 2
Протокол экспериментальной группы
|
Тесты |
Подтягивание на перекладине, раз |
Сгибание и разгибание рук, раз |
Бросок мяча, см |
|
Алексей |
15 |
20 |
710 |
|
Валерий |
12 |
10 |
650 |
|
Владимир |
7 |
9 |
660 |
|
Дмитрий |
10 |
19 |
720 |
|
Иван |
14 |
15 |
670 |
|
Илья |
15 |
16 |
660 |
|
Константин |
6 |
15 |
680 |
|
Максим |
12 |
9 |
640 |
|
Никита |
6 |
9 |
540 |
|
Николай |
15 |
16 |
520 |
|
Павел |
12 |
15 |
530 |
|
Семен |
11 |
15 |
535 |
|
Сергей |
10 |
15 |
540 |
|
Степан |
11 |
9 |
650 |
|
Юрий |
11 |
10 |
520 |
Приложение 3
Расчет t-критерия Стьюдента
Средняя арифметическая величина для подтягивания на перекладине контрольной группы:

Средняя арифметическая величина для сгибания и разгибания рук контрольной группы:

Средняя арифметическая величина для броска мяча контрольной группы:

Стандартное отклонение для подтягивания на перекладине контрольной группы:

Стандартное отклонение для сгибания и разгибания рук контрольной группы:

Стандартное отклонение для броска мяча в контрольной группы:

Стандартную ошибку среднего арифметического значения подтягивания на перекладине контрольной группы:

Стандартную ошибку среднего арифметического значения для сгибания и разгибания рук контрольной группы:
Продолжение Приложения 3

Стандартную ошибку среднего арифметического значения для броска мяча в контрольной группе:

Средняя арифметическая величина для подтягивания на перекладине экспериментальной группы:

Средняя арифметическая величина для сгибания и разгибания рук экспериментальной группы:

Средняя арифметическая величина для броска мяча контрольной группы:

Стандартное отклонение для подтягивания на перекладине экспериментальной группы:

Стандартное отклонение для сгибания и разгибания рук экспериментальной группы:

Стандартное отклонение для броска мяча в экспериментальной группы:

Продолжение Приложения 3
Стандартную ошибку среднего арифметического значения подтягивания на перекладине экспериментальной группы:

Стандартную ошибку среднего арифметического значения для сгибания и разгибания рук экспериментальной группы:

Стандартную ошибку среднего арифметического значения для броска мяча в экспериментальной группе:

Средняя ошибка разности подтягивания на перекладине:

Средняя ошибка разности сгибания и разгибания рук:

Средняя ошибка разности броска мяча:

Приложение 4
Протокол контрольной группы на промежуточном этапе
|
Тесты |
Подтягивание на перекладине, раз |
Сгибание и разгибание рук, раз |
Бросок мяча, см |
|
Александр |
15 |
20 |
710 |
|
Алексей |
12 |
18 |
650 |
|
Василий |
7 |
9 |
660 |
|
Виктор |
10 |
19 |
720 |
|
Виталий |
14 |
15 |
670 |
|
Дамир |
11 |
16 |
660 |
|
Дмитрий |
6 |
15 |
710 |
|
Егор |
12 |
18 |
640 |
|
Игорь |
6 |
9 |
540 |
|
Кирилл |
15 |
18 |
520 |
|
Никита |
14 |
15 |
720 |
|
Николай |
11 |
15 |
535 |
|
Олег |
10 |
15 |
540 |
|
Роман |
14 |
9 |
705 |
|
Федор |
11 |
20 |
520 |
Приложение 5
Протокол экспериментальной группы на промежуточном этапе
|
Тесты |
Подтягивание на перекладине, раз |
Сгибание и разгибание рук, раз |
Бросок мяча, см |
|
Алексей |
15 |
20 |
710 |
|
Валерий |
12 |
14 |
705 |
|
Владимир |
9 |
13 |
720 |
|
Дмитрий |
10 |
19 |
720 |
|
Иван |
14 |
15 |
710 |
|
Илья |
15 |
18 |
660 |
|
Константин |
9 |
15 |
710 |
|
Максим |
14 |
9 |
710 |
|
Никита |
6 |
13 |
650 |
|
Николай |
15 |
19 |
648 |
|
Павел |
14 |
18 |
650 |
|
Семен |
11 |
18 |
660 |
|
Сергей |
10 |
18 |
655 |
|
Степан |
11 |
14 |
650 |
|
Юрий |
11 |
15 |
520 |
Приложение 6
Расчет t-критерия Стьюдента
Средняя арифметическая величина для подтягивания на перекладине контрольной группы на промежуточном этапе:

Средняя арифметическая величина для сгибания и разгибания рук контрольной группы на промежуточном этапе:

Средняя арифметическая величина для броска мяча контрольной группы на промежуточном этапе:

Стандартное отклонение для подтягивания на перекладине контрольной группы на промежуточном этапе:

Стандартное отклонение для сгибания и разгибания рук контрольной группы на промежуточном этапе:

Стандартное отклонение для броска мяча в контрольной группы на промежуточном этапе:

Стандартную ошибку среднего арифметического значения подтягивания на перекладине контрольной группы на промежуточном этапе:

Продолжение Приложения 6
Стандартную ошибку среднего арифметического значения для сгибания и разгибания рук контрольной группы на промежуточном этапе:

Стандартную ошибку среднего арифметического значения для броска мяча в контрольной группе на промежуточном этапе:

Средняя арифметическая величина для подтягивания на перекладине экспериментальной группы на промежуточном этапе:

Средняя арифметическая величина для сгибания и разгибания рук экспериментальной группы на промежуточном этапе:

Средняя арифметическая величина для броска мяча контрольной группы на промежуточном этапе:

Стандартное отклонение для подтягивания на перекладине экспериментальной группы на промежуточном этапе:

Стандартное отклонение для сгибания и разгибания рук экспериментальной группы на промежуточном этапе:

Стандартное отклонение для броска мяча в экспериментальной группы на промежуточном этапе:
Продолжение Приложения 6

Стандартную ошибку среднего арифметического значения подтягивания на перекладине экспериментальной группы на промежуточном этапе:

Стандартную ошибку среднего арифметического значения для сгибания и разгибания рук экспериментальной группы на промежуточном этапе:

Стандартную ошибку среднего арифметического значения для броска мяча в экспериментальной группе на промежуточном этапе:

Средняя ошибка разности подтягивания на перекладине на промежуточном этапе:

Средняя ошибка разности сгибания и разгибания рук на промежуточном этапе:

Средняя ошибка разности броска мяча на промежуточном этапе:

Влияние комплексов специальных упражнений на развитие силы и силовых способностей у подростков 15-16 лет