ОСНОВНЫЕ ПОЛОЖЕНИЯ ТЕОРИИ НАДЕЖНОСТИ
ОСНОВНЫЕ ПОЛОЖЕНИЯ ТЕОРИИ НАДЕЖНОСТИ
ОСНОВНЫЕ ТЕРМИНЫ И ОПРЕДЕЛЕНИЯ
Металлургические машины являются сложными техническими системами непрерывного действия, большой единичной производительности, работающими в условиях интенсивного нагружения и неблагоприятной окружающей среды.
В состав агрегатов входят десятки машин, сотни единиц узлов и тысячи деталей, каждая из которых имеет свой определенный, заранее неизвестный срок службы. Поэтому время нахождения оборудования в работоспособном состоянии является величиной случайной и с течением времени отказ неизбежен.
Для поддержания оборудования в работоспособном состоянии на металлургических предприятиях действует система технического обслуживания и ремонтов машин и агрегатов, призванная обеспечить безотказную работу в межремонтный период.
В период плановых остановок оборудования проводится большой объем ремонтно-восстановительных работ и тем не менее не удается избежать отказов, приводящих к потерям производства и дополнительным затратам на восстановление. Другая проблема заключается в том, что при существующей системе учета отказов оборудования нет объективной информации о техническом состоянии оборудования и, следовательно, присущ субъективный подход к определению содержания и объема ремонтных работ. Оптимальное планирование объема ремонтных работ, в принципе, невозможно, так как имеющаяся информация не приспособлена для обработки на ЭВМ.
Следует заметить, что только наличие объективной информации о техническом состоянии оборудования, возможность обработки ее на ЭВМ позволяют использовать возможности, предоставляемые теорией надежности.
В противном случае теория надежности остается только теорией, позволяющей понимать закономерности возникновения отказов, взаимосвязь элементов системы, поведение системы с течением времени, но не способной прогнозировать и выдавать рекомендации для принятия решений.
То есть отсутствие информации о работоспособном состоянии машины с течением времени есть отсутствие информации о свойстве, присущем любой машине.
Это несколько абстрактное, но важное свойство машины получило название надежность.
Надежность один из важнейших показателей, характеризующих качество машин, является. Уровень надежности характеризует развитие техники по основным ее направлениям: автоматизации производства, интенсификации рабочих процессов и транспорта, экономии трудовых и материальных ресурсов. Недостаточная надежность машин и оборудования вызывает огромные затраты на их техническое обслуживание и ремонт, потери от простоев, перебои в работе транспорта, снабжении населения топливом, электроэнергией и водой, аварий и их последствий с большим экономическим ущербом и человеческими жертвами. Избыточная надежность машин и оборудования связана с низкой эффективностью их производственного использования, перерасходом материальных и энергетических ресурсов. Поэтому надежность машин и оборудования занимает одно из главных мест среди показателей их качества.
Теория надежности это теория, которая устанавливает закономерности возникновения отказов объектов и методы их прогнозирования; изыскивает способы повышения надежности изделий при конструировании, изготовлении и поддержания их работоспособного состояния во время эксплуатации; разрабатывает методы контроля надежности изделий.
Определение надежности. Надежностью называют свойство объекта (машины, прибора, механизма, детали) выполнять заданные функции, сохраняя во времени значения эксплуатационных показателей в заданных пределах, соответствующих заданным режимам и условиям использования, технического обслуживания, ремонтов, хранения и. транспортирования (ГОСТ 27.00289). Теория надежности изучает общие закономерности, которых следует придерживаться при проектировании, испытаниях, изготовлении, приемке и эксплуатации изделий для получения максимальной эффективности их использования. Она выявляет законы возникновения отказов и восстановления работоспособности изделий, создает основы расчета надежности и прогнозирования отказов, изыскивает способы повышения надежности при конструировании и изготовлении изделий, а также ее сохранения при эксплуатации, определяет методы сбора, учета и анализа статических сведений, характеризующих надежность. Свойства надежности. Надежность является комплексной характеристикой, включающей следующие свойства: безотказность, долговечность, ремонтопригодность и сохраняемость.
Безотказностью называют свойство объекта непрерывно сохранять работоспособность в течение некоторого времени или некоторой наработки. Наработкой называют продолжительность или объем работы объекта. Ее измеряют в единицах времени, числом рабочих циклов, количеством перемещенных грузов. Долговечность свойство объекта сохранять работоспособность до наступления предельного состояния при установленной системе технического обслуживания и ремонтов. Под ремонтопригодностью понимают свойство объекта, заключающееся в приспособленности к предупреждению и обнаружению причин возникновения его отказов, повреждений и устранению их последствий путем ремонтов и технического обслуживания. Сохранямость свойство объекта непрерывно сохранять исправное и работоспособное состояние в течение и после хранения и (или) транспортирования.
Для конкретных видов ПТМ в зависимости от условий их применения эти свойства могут иметь различную относительную значимость. Например, для крана, отказ которого может явиться причиной несчастного случая или повлечь крупные убытки от простоев, наиболее существенно свойство безотказности, а для конвейерной линии с вместительными промежуточными емкостями свойство ремонтопригодности, так как непродолжительные отказы не влияют на производительность линии.
В теории надежности различают: состояния исправное (исправность), неисправное (неисправность), работоспособное (работоспособность), неработоспособное (неработоспособность) и предельное; события повреждение и отказ.
В исправном состоянии объект соответствует всем требованиям нормативно-технической документации, а в неисправном состоянии не соответствует хотя бы одному из них.
В работоспособном состоянии объект способен выполнять заданные функции и сохранять значения всех параметров в пределах, установленных нормативно-технической и (или) конструкторской документацией.
Неработоспособное состояние это такое состояние, при котором значение хотя бы одного из параметров не соответствует этим требованиям. Понятие «исправность» шире понятия «работоспособность»: исправный объект удовлетворяет всем требованиям, а работоспособный лишь тем, которые обеспечивают его нормальное функционирование. Например, конвейер с небольшим повреждением ленты работоспособен, но неисправен.
Предельным состоянием называют такое состояние объекта, при котором его дальнейшая эксплуатация должна быть прекращена вследствие: неустранимого нарушения требований безопасности; неустранимого изменения параметров по сравнению с заданными значениями; неустранимого снижения эффективности эксплуатации ниже допустимой; необходимости проведения среднего или капитального ремонта. Например, предельным может быть состояние каната, при котором он подлежит выбраковке согласно Правилам [38, п. 278]; состояние тормоза, когда тормозной момент не соответствует Правилам [38, п. 1301; состояние крана в целом по окончании установленных сроков эксплуатации до капитального (среднего) ремонта в соответствии с Единой системой ППР [15].
Повреждением называют событие, связанное с нарушением исправности объекта или его составных частей. Оно может быть существенным (являться причиной нарушения работоспособности) и несущественным (при сохранении работоспособности). Например, падение крупного куска груза на ленту конвейера вызвало сквозную пробоину. Это же воздействие могло вызвать сквозной продольный порез ленты, если бы упавший кусок застрял в загрузочной воронке. В первом случае конвейер остался работоспособным, а во втором его работоспособность была нарушена, так как груз просыпался в месте пореза, и конвейер эксплуатировать стало нельзя. Некоторые незначительные повреждения со временем могут переходить в значительные с отказами объекта.
Отказом называют событие, заключающееся в нарушении работоспособности объекта. Признаки (критерии) отказов устанавливают нормативно-технической документацией. При классификации отказов применяют термины: незасисимый и зависимый, внезапный и постепенный, перемещающийся, конструкционный, производственный и эксплуатационный и др.
Независимым отказом называют отказ, не обусловленный отказом другого объекта, в отличие от зависимого, возникновение которого связано с отказом одного или нескольких других объектов данной системы. Внезапные отказы характеризуются скачкообразным недопустимым изменением одного или нескольких заданных параметров объекта. Возникают они, как правило, без предшествующих симптомов в результате неблагоприятного сочетания внешних воздействий, превышающих возможности объекта к их восприятию. Чаще всего при таких отказах изделие совсем не может выполнять своих функций (поломка вала механизма подъема, обрыв тяговой цепи или подъемного каната и др.). Внезапные отказы подобного рода называют в литературе отказами функционирования. Постепенные отказы, связанные, как печивают его нормальное функционирование. Например, конвейер с небольшим повреждением ленты работоспособен, но неисправен. Предельным состоянием называют такое состояние объекта, при котором его дальнейшая эксплуатация должна быть прекращена вследствие: неустранимого нарушения требований безопасности; неустранимого изменения параметров по сравнению с заданными значениями; неустранимого снижения эффективности эксплуатации ниже допустимой; необходимости проведения среднего или капитального ремонта. Например, предельным может быть состояние каната, при котором он подлежит выбраковке; состояние тормоза, когда тормозной момент не соответствует Правилам; состояние крана в целом по окончании установленных сроков эксплуатации до капитального (среднего) ремонта в соответствии с Единой системой ППР.
Повреждением называют событие, связанное с нарушением исправности объекта или его составных частей. Оно может быть существенным (являться причиной нарушения работоспособности) и несущественным (при сохранении работоспособности). Например, падение крупного куска груза на ленту конвейера вызвало скжззную пробоину. Это же воздействие могло вызвать сквозной продольный порез ленты, если бы упавший кусок застрял в загрузочной воронке. В первом случае конвейер остался работоспособным, а во втором его работоспособность была нарушена, так как груз просыпался в месте пореза, и конвейер эксплуатировать стало нельзя. Некоторые незначительные повреждения со временем могут переходить в значительные с отказами объекта.
Отказом называют событие, заключающееся в нарушении работоспособности объекта. Признаки (критерии) отказов устанавливают нормативно-технической документацией. При классификации отказов применяют термины: незасисимый и зависимый, внезапный и постепенный, перемещающийся, конструкционный, производственный и эксплуатационный и др.
Независимым отказом называют отказ, не обусловленный отказом другого объекта, в отличие от зависимого, возникновение которого связано с отказом одного или нескольких других объектов данной системы. Внезапные отказы характеризуются скачкообразным недопустимым изменением одного или нескольких заданных параметров объекта. Возникают они, как правило, без предшествующих симптомов в результате неблагоприятного сочетания внешних воздействий, превышающих возможности объекта к их восприятию. Чаще всего при таких отказах изделие совсем не может выполнять своих функций (поломка вала механизма подъема, обрыв тяговой цепи или подъемного каната и др.). Внезапные отказы подобного рода называют в литературе отказами функционирования. Постепенные отказы, связанные, как правило, с процессами изнашивания, коррозии, усталости и ползучести, характеризуются постепенным изменением одного или нескольких параметров объекта с выходом их за допустимые пределы (недопустимое снижение мощности двигателя в результате износа деталей цилиндропоршневой группы; недопустимое увеличение тормозного пути в результате износа деталей тормоза и др.). Такие отказы в литературе называют параметрическими. Перемежающимися называют многократно повторяющиеся отказы одного и того же характера, обусловленные дефектами конструкции, нарушением процесса изготовления, низким качеством монтажа, неправильной эксплуатацией. Подобные отказы называют также систематическими. Деление отказов на конструкционные, производственные и эксплуатационные связывают с тем, на какой стадии жизненного цикла объекта допущены несовершенства или нарушены установленные правила, нормы, требования и условия, обусловившие возникновение отказа.
Отказы могут являться и являются следствием ошибок или недостаточного уровня знаний конструктора, или нарушения установленных правил и норм проектирования и конструирования. Такие отказы носят название конструктивные отказы.
Отказ, возникший по причине, связанной с несовершенством или с нарушением установленного процесса изготовления или ремонта, выполняемого на ремонтном предприятии, получил название производственный отказ.
Если нарушения установленных правил и (или) условий эксплуатации приводят к возникновению отказа, то такой отказ называется эксплуатационным отказом.
Для металлургических машин при пуске их в эксплуатацию наиболее характерными являются внезапные конструктивные отказы.
При установившемся процессе эксплуатации наиболее часто возникают внезапные эксплуатационные отказы.
Если прочностные свойства детали не изменяются, то внезапный отказ связан с перегрузкой. Если же в результате многократного воздействия предельных нагрузок происходит снижение прочностных свойств, то происходит внезапный отказ, связанный с развитием усталостных трещин.
Но внезапные отказы могут являться и следствием разброса механических свойств материала, из которого изготовлена деталь, и уровня нагрузок, действующих на нее.
Различают также полные отказы, при котором объект не может функционировать (например, при упомянутой поломке вала), и частичный, после которого объект можно использовать по назначению, но с меньшей эффективностью. Например, при отказе свечи зажигания автомобильный кран может двигаться, но с меньшей скоростью из-за падения мощности двигателя. В этом случае отказ самой свечи будет полным, а отказ крана частичным.
Большинство отказов связано с необратимыми процессами в машинах (процессами старения). Их внешними проявлениями являются: разрушение, деформация, изменение свойств материалов (механических и магнитных, структуры, химического состава), загрязнение смазочного материала и топлива, разъедание (коррозия, эрозия, кавитация, прогар, трещинообразование и др.), наростообразование (налипание, нагар, заращивание отверстий облитерация и др.), изменение свойств поверхностного слоя (шероховатости, твердости, напряженного состояния и др.), изнашивание (истирание, усталостное разрушение поверхностных слоев, смятие, перенос металла) изменение условий контакта (площади касания, сплошности смазочного материала и др.). Наиболее характерными для ПТМ внешними проявлениями процессов старения являются разрушение и изнашивание деталей. Их природа более подробно рассмотрена ниже.
При анализе отказов и повреждений рассматривают их причины и последствия. Причинами отказа могут быть дефекты, допущенные при конструировании, производстве и ремонтах, нарушения правил и норм эксплуатации, различного рода повреждения, а также естественные процессы изнашивания и старения. Последствия отказа явления, процессы и события, возникшие после отказа (повреждения) и в непосредственной причинной связи с ним, например, падение груза вследствие обрыва каната.
Объекты. Различают восстанавливаемые и невосстанавливаемые объекты. Восстанавливаемый объект объект, исправность которого при возникновении отказа или повреждения подлежит восстановлению в рассматриваемой ситуации; невосстанавливаемый объект объект, не подлежащий восстановлению. Все ПТМ относят к числу восстанавливаемых, а отдельные их элементы могут быть как восстанавливаемыми, так и невосстанавливаемыми. Например, к числу последних относят подшипники качения, клиновые ремни, стальные канаты, изношенные приводные цепи, уплотнения, некоторые элементы электрооборудования и др., т. е. то, что невозможно восстановить в условиях эксплуатации. Нередко к ним относят также зубчатые колеса, валы, зубчатые муфты, крепежные изделия и другие элементы, восстановление которых невыгодно.

Рис. 1. Графики работы (а) и потока отказов объекта (б)
Поток отказов. Наглядное представление о надежности машин по данным Я. Б. Шора дают графики их работы (рис. 1, а). На горизонтальной оси графика от некоторого начального момента 0 откладывают периоды времени работы (ра), ремонтов (ре), выполняемых при возникновении отказа, и технических обслуживании профилактик (пр). Эти периоды могут быть различными по продолжительности и чередованию. При всей простоте такой график содержит обширную информацию о надежности машины. Если промежутки ра короткие машина имеет низкую безотказность, а длинные участки ре и свивидетельствуют о низких ремонтопригодности и эксплуатационной технологичности. По графику можно судить и о долговечности машины: чем длиннее периоды, тем выше долговечность. По отрезкам ра работы можно построить график потока отказов (рис. 1). Отрезки t1 ... t5 на нем соответствуют отрезкам ра по графику работы.
Резервирование применение дополнительных (избыточных) средств и (или) возможностей с целью сохранения работоспособного состояния объекта при отказе одного или нескольких его элементов.
Различают следующие виды резервирования: общее, при котором резервируют объект в целом, например, вместо требующейся одной машины устанавливают две, три и более; временное с использованием резервов времени, например, второй и третьей смены; функциональное с использованием способности элементов выполнять дополнительные функции, например, способность канатов ведущего шкива лифта предохранять канаты от обрыва; нагрузочное с использованием способности объекта воспринимать дополнительные нагрузки, обеспечивать повышенную производительность и др.; замещением с выполнением другим объектом функций отказавшего объекта (например, установка аварийного тормоза); смешанное с совмещением различных видов резервирования; постоянное с функционированием резервных элементов (объектов) наравне с основными и др. Наиболее распространенным является общее резервирование: при минимально необходимом одном лифте в жилом доме устанавливают два, при двух необходимых эскалаторах устанавливают три или четыре и т. д. Отношение числа резервных элементов (объектов) к числу резервируемых называется кратностью резерва. Резервирование с кратностью, равной единице, называется дублированием. Дублирование наиболее экономичный вид общего резервирования.
В теории надежности при рассмотрении надежности объектов введены понятия "система" и "элемент".
Под системой будем понимать множество элементов и связь между ними, образующих некоторую целостность. Под элементом понимают часть системы, предназначенную для выполнения определенных функций и неделимую на составные части при данном уровне рассмотрения.
То есть только уровень рассмотрения определяет отнесение того или иного объекта, образующего некоторую целостность, к системе или элементу.
Например, линия привода горизонтальных валков может рассматриваться как элемент, входящий в систему, - рабочая клеть. В то же время линия привода горизонтальных валков может рассматриваться как система с входящими в нее элементами: узел валков, узел шпиндельного соединения, узел шестеренной клети, электропривод. Все зависит от того, какие задачи мы ставим при исследовании надежности того или иного объекта.
Как правило, при исследовании надежности металлургических машин в процессе эксплуатации в качестве элементов принимаются детали или узлы, которые подвергаются замене или восстановлению в процессе технического обслуживания или ремонта металлургических агрегатов.
ОСНОВНЫЕ ПРИЧИНЫ ОТКАЗОВ
Внезапные и постепенные отказы с течением времени приводят к переходу объекта из работоспособного состояния в неработоспособное предельное состояние. Этот переход может происходить или мгновенно, или постепенно в зависимости от вызвавших его причин в результате внезапного или постепенного отказа.
Внезапный отказ происходит из-за превышения действующей нагрузки несущей способности объекта или в результате ошибок расчета и конструирования, или вследствие наличия скрытых дефектов изготовления, пли в результате нарушения правил эксплуатации. Внезапный отказ обычно связан с поломками деталей, появлением остаточных деформаций, потерей устойчивости, заеданием или расплавлением.
Постепенный отказ наступает при полном использовании ресурса объекта вследствие естественного старения или изнашивания материала объекта. Большинство деталей подъемно-транспортных, строительных и других подобных машин переходит в неработоспособное предельное состояние в результате постепенного отказа. Постепенный отказ не может быть предотвращен обеспечением выполнения правил эксплуатации. Улучшение или ухудшение условий эксплуатации может лишь замедлить или ускорить появление постепенного отказа. Полное исключение постепенных отказов возможно лишь профилактической заменой элементов, близких к предельному состоянию. Профилактическая замена элементов является важнейшим средством повышения надежности объектов.
Причинами внезапных и постепенных отказов являются: хрупкое разрушение, пластическая деформация, ползучесть, усталость материалов, изнашивание, коррозия металлов, старение материалов.
Хрупкое разрушение деталей происходит при возникновении больших ударных нагрузок, при работе в условиях низких температур (низкотемпературное охрупчивание некоторых видов конструкционных сталей с примесью азота), больших остаточных напряжениях, например в сварных соединениях, наличии местных дефектов в материале, большой концентрации напряжений, действии факторов, не связанных с механическим напряжением (тепловое и радиационное охрупчивание). Хрупкое разрушение является причиной выхода из строя сварных соединений, чугунных отливок, фасонных деталей с объемной термообработкой до высокой твердости и т. д.
Пластическая деформация возникает при перегрузках деталей из вязких (пластичных) материалов, к которым, например, относятся незакаленные и высокоотпущенные стали. Вследствие пластической деформации происходит изменение геометрической формы деталей (искривление осей и валов, осадка пружин, вмятины на поверхностях качения бандажей, рельсах, дорожках качения шариков подшипников, шпонках, шлицах и т. д.).
Ползучесть медленная и непрерывная пластическая деформация детален, возникающая при длительном действии напряжений выше предела упругости, нагреве до температур рекристаллизации.
Усталость материалов процесс изменения субструктуры, микроструктуры и макроструктуры материала под длительным действием циклически изменяющихся во времени механических напряжений и деформаций, сопровождающийся изменением физических и механических свойств. Наиболее практическое значение имеет усталостное разрушение свойств материала.
Усталость материалов существенно зависит от многих факторов, к которым относятся: масштабный фактор (абсолютные размеры поперечного сечения), факторы нагружения (вид напряженного состояния, концентрация напряжений, остаточные напряжения, зависящие от условий изготовления детачп частота нагружения, история нагружения), состояние поверхностного слоя (химический состав, механические свойства качество обработки поверхности), эксплуатационные факторы (окружающая среда, температура, коррозия).
Износ является результатом изнашивания. Изнашиванием называется процесс изменения размеров, формы, массы или состояния поверхности объекта вследствие разрушения микрообъемов поверхностного слоя объекта при трении. Различают механическое, молекулярно-механическое и коррозионно-меха-ническое изнашивание.
Механическое изнашивание имеет несколько разновидностей: абразивное, гидроабразивное, пневмоабразивное, усталостное, эрозионное, кавитационное. Абразивное изнашивание является результатом режущего или царапающего действия твердых тел или частиц. Абразивному изнашиванию подвержены многие элементы ПТМ: тормозные пары, зубчатые и червячные передачи, подшипники скольжения, шарнирные соединения и т. д.
Гидроабразивное и пневмоабразивное изнашивание является результатом воздействия твердых тел или частиц, увлекаемых потоком жидкости или газа. Гидроабразивное изнашивание имеет место в оборудовании гидротранспорта полезных ископаемых (пульповоды), а пневмоабразивное в установках пневмотранспорта (трубопроводы). Наиболее интенсивно изнашиваются те их зоны, где изменяется направление движения потока жидкости или газа.
Усталостное изнашивание появляется в результате повторного деформирования микрообъемов материала, приводящего к возникновению трещин и отделению частиц на поверхности трения или на ее отдельных участках. Этот вид изнашивания часто называют контактной усталостью, питтингом, осповидным износом.
Эрозионное изнашивание появляется в результате воздействия на поверхность потока жидкости или газа.
Кавитационное изнашивание возникает в результате воздействия на поверхность твердого тела потока жидкости в условиях кавитации, т. е. в условиях нарушения сплошности течения жидкости и образования кавитационных пузырьков.
Молекулярно-механическое изнашивание появляется в результате одновременного механического воздействия и воздействия молекулярных сил. Разновидностью молекулярно-механического изнашивания является изнашивание при заедании в результате схватывания и вырывания материала, переноса его с одной поверхности трения на другую и воздействия возникших неровностей на сопряженную поверхность.
Коррозионно-механическое изнашивание является результатом трения материала, вступившего в химическое взаимодействие со средой. Коррозионно-механическое изнашивание подразделяют на окислительное и фретннг-коррозионное изнашивания.
Окислительное изнашивание процесс механического разрушения окисных пленок, возникающих на поверхностях трения при взаимодействии с химически активной (коррозионной) средой. Окислительное изнашивание наблюдается в узлах трения ПТМ, работающих в коррозионных средах (конвейеры гальванических цехов, конвейеры-кормораздатчики, навозоуборочные конвейеры) или при высоких температурах (вкладыши подшипников, поршни, цилиндры двигателей внутреннего сгорания).
Фретинг-коррозионное изнашивание возникает при трении скольжения с малыми возвратно-поступательными перемещениями, при которых происходит разрушение окисных пленок без их удаления из зоны трения. Окислы способствуют увеличению изнашивания, и на сопряженных поверхностях образуются кратеры с выкрошенным металлом. Этот вид изнашивания наблюдается в зацеплениях зубчатых муфт, шлицевых и шпоночных соединениях, гнездах подшипников качения и др.
Коррозия процесс разрушения материалов вследствие химического или электрохимического взаимодействия с внешней (коррозионной) средой. В зависимости от вида среды различают коррозию атмосферную, газовую и в электролитах. Наиболее интенсивно развивается коррозия металлов в электролитах. Коррозия изменяет форму и размеры деталей, снижает их работоспособность, уменьшает прочность и выносливость при переменных механических напряжениях.
Коррозионная усталость понижение предела выносливости металла или сплава, возникающее при одновременном воздействии переменных циклических напряжений и коррозионной среды. Разрушение металла происходит в результате появления сетки микротрещин транскристаллнтного или меж-кристаллитного типа, переходящих в крупную трещину коррозионной усталости. Пределом коррозионной усталости называется максимальное механическое напряжение, при котором металл не разрушается после одновременного воздействия установленного числа циклов переменной нагрузки и заданных коррозионных условий. В результате коррозии ежегодно теряется от 1 до 1,5% всего металла, накопленного и эксплуатируемого человечеством.
Старение материалов и сплавов диффузионный процесс постепенного перехода твердого материала из неравновесного исходного состояния в равновесное, сопровождающийся изменением механических, физических и химических свойств и объема. Этот переход связан или со структурными превращениями, или представляет собой релаксационный процесс. При старении может происходить как ухудшение, так и улучшение свойств материалов или нередко улучшение одних свойств при одновременном ухудшении других как в процессе производства, так и в процессе эксплуатации.
Изменение механических свойств сплавов при старении характеризуется кривой с экстремумом. На начальных стадиях наблюдается упрочнение сплава, повышение его твердости, уменьшение пластичности. На последних стадиях прочность сплава снижается при одновременном повышении пластичности.
Старение изменяет сопротивляемость сплава коррозии. При старении часто возникает коррозионное растрескивание по границам зерен при механическом напряжении. Изменяется электрическое сопротивление сплава, коэрцитивная сила.
Старение зависит от многих факторов, но наибольшее влияние оказывает температура. Старение разных сплавов происходит в широком диапазоне температур от очень высоких до очень низких. Эти температуры создаются при термической обработке сплава в процессе производства и могут быть характерными для обычных условий эксплуатации многих объектов.
Старение используют в процессе производства для улучшения или стабилизации свойств материалов, например повышение механической прочности алюминиевых, медных и никелевых сплавов, повышение жаропрочности никелевых сплавов, увеличение коэрцитивной силы медных сплавов и т. д. Оптимальный комплекс свойств для некоторых сплавов достигается после сложного старения при разной температуре в определенной последовательности в связи с различиями процесса распада пересыщенного твердого раствора в разных температурных интервалах.
Старение полимеров процесс постепенного изменения структуры и химического состава полимеров под действием внешних факторов, сопровождающийся изменением механических, физических и химических свойств.
Старение происходит при переработке и хранении полимеров, а также при хранении и эксплуатации объектов. Старение существенно ухудшает свойства полимеров, и они часто становятся непригодными для практического использования. При старении полимеров появляются и разрастаются трещины на их поверхности, приводящие иногда к полному разрушению. При длительном воздействии достаточно высокой температуры прочность полимера понижается вследствие разложения полимера. При старении натурального каучука на воздухе в результате деструкции происходит его размягчение, в то время как структурирование приводит к охрупчиванию каучука. При старении каучуков и резин уменьшается их эластичность, увеличивается газопроницаемость и ухудшаются диэлектрические свойства.
Старение полимеров вызывается действием многих факторов: теплоты, кислорода, озона, солнечного света, ионизирующих излучений, проникающей радиации, влаги, механических напряжений, биологических факторов (например, воздействие микроорганизмов). В условиях эксплуатации на полимеры воздействует одновременно несколько факторов, например теплота, кислород, озон, солнечный свет, влага и др. В соответствии с фактором воздействия различают следующие виды старения: термическое, термоокислительное, озонное, фотохимическое, радиационное, гидролитическое и др.
Скорость старения зависит от состава полимерного материала, от чувствительности полимера к воздействию внешних факторов и от интенсивности этих факторов. Важный фактор, ускоряющий старение, механические напряжения, возникающие в полимерах при их переработке и эксплуатации объектов из них.
Стойкость полимеров к старению во многих случаях определяет сроки хранения и сроки службы объектов. Эффективный способ повышения стойкости полимеров к старению стабилизация. Стабилизация основана на применении стабилизаторов полимеров (ингибиторов старения), веществ, тормозящих старение полимеров.
НЕКОТОРЫЕ ПОНЯТИЯ ТЕОРИИ ВЕРОЯТНОСТЕЙ И МАТЕМАТИЧЕСКОЙ СТАТИСТИКИ
Событие всякое явление, которое при осуществлении определенной совокупности условий может либо произойти, либо не произойти.
Вероятностью события называется численная мера степени объективной возможности этого события. Вероятность события А обозначается Р(А). Проходящие в природе события можно подразделить на три вида: достоверные, невозможные и случайные.
Случайным называется событие, которое при осуществлении определенной совокупности условий может либо произойти, либо не произойти. Вероятность случайного события А заключена между нулем и.единицей 0 < Р(А) < 1.
Каждое случайное событие является следствием действия многих случайных факторов (причин). Невозможно учесть влияние на результат всех этих факторов, так как законы их действия неизвестны, а число их очень велико. Поэтому невозможно заранее предсказать, произойдет или не произойдет каждое единичное случайное событие. Однако массовые однородные случайные события, независимо от их конкретной природы, при выполнении одних и тех же определенных условий подчиняются вероятностным закономерностям. Вероятностные закономерности массовых однородных случайных событий позволяют предвидеть частоту их проявления при осуществлении определенной совокупности условий.
Для решения задач теории надежности используют методы теории вероятностей, математической статистики, теории массового обслуживания, теории информации, статистического моделирования и др.
Случайная величина величина, которая может принять какое-либо неизвестное заранее возможное значение, зависящее от случайных факторов (причин), которые не могут быть учтены. Случайные величины могут быть дискретными и непрерывными.
Большинство показателей надежности являются случайными величинами в результате опыта они могут принимать то или иное заранее неизвестное значение. Случайная величина может быть либо дискретной разделенной, прерывистой (число отказов за время t, число отказавших изделий при испытаниях, заданного объема и др.),
Т.е. это случайная величина, принимающая отделенные друг от друга возможные значения, которые можно перенумеровать, т. е. записать в виде последовательности t1, t2, ..., tn, ... Число возможных значений дискретной случайной величины может быть конечным или бесконечным. Дискретными случайными величинами в теории надежности являются: количество невосстанавливаемых объектов, отказавших в заданном интервале времени; количество отказов восстанавливаемого объекта в заданном интервале времени; количество объектов, восстановленных в заданном интервале времени.
либо непрерывной (срок службы, время работы до отказа, время восстановления работоспособности, время простоя в ремонте, число часов работы от одного ремонта до другого, продолжительность технического обслуживания профилактики и др.). Непрерывные случайные величины могут принимать любые, заранее неизвестные значения, теоретически в интервале от нуля до бесконечности, а практически в определенном интервале. Например, если срок службы крановых колес колеблется в пределах 05 лет, то у всех (или почти у всех) обследуемых колес он уложится в этот интервал, а для каждого отдельного колеса его значение будет случайным, заранее неизвестным.
Непрерывной называется случайная величина, возможные значения которой непрерывно заполняют некоторый конечный или бесконечный промежуток. Число возможных значений непрерывной случайной величины, очевидно, бесконечно. Непрерывными случайными величинами в теории надежности являются: наработка, ресурс, срок службы, время восстановления, срок сохраняемости.
Наработка продолжительность или объем работы объекта. Наработка может измеряться в единицах времени, массы, длины, площади, объема, в циклах и т. д. Например, наработка грузоподъемного крана в тоннах груза наработка автомобильной шины в километрах пробега, наработка экскаватора в кубометрах грунта, наработка реле в циклах вьючения, наработка телевизора в часах работы и т д
Наработка может быть суточной, месячной, до первого отказа, между отказами, до предельного состояния и т. п. При работе объекта с перерывами учитывается суммарная наработка. При эксплуатации объекта в различных режимах нагрузки каждый ее уровень учитывается отдельно. Наработку не следует смешивать с календарной продолжительностью эксплуатации. Например, наработка лифта в течение одного года службы может составлять всего 1000 ч, хотя один год содержит 8760 ч.
Наработка является обобщающим понятием для продолжительности или объема работы объекта, необходимым в интересах общности методических разработок, которое позволяет применить одни и те же математические методы к объектам различного вида и назначения.
Ресурс наработка объекта от начала его эксплуатации или ее возобновления после ремонта определенного вида до перехода в предельное состояние. Ресурс объекта является случайной величиной, изменение которой вызывают многие примерно равнозначные по действию технологические и эксплуатационные факторы: отклонение размеров объекта, отклонение механических характеристик материала объекта, отклонение макро- и микроструктуры материала объекта, отклонение режимов термообработки, изменение механических, тепловых и других нагрузок, изменение атмосферных условий, изменение абразивной среды на поверхностях трения, изменение условий смазывания и т. д.
Ресурс является основным показателем долговечности деталей, узлов и агрегатов машин. Различают: ресурс средний, медианный, гамма-процентный, до первого капитального ремонта, межремонтный, суммарный, назначенный.
Срок службы календарная продолжительность от начала эксплуатации объекта или ее возобновления после ремонта определенного вида до перехода в предельное состояние. Срок службы также является случайной величиной, так как определяется ресурсом объекта и временем, в течение которого объект не работает и которое в общем случае также является случайной величиной.
Срок службы является основным показателем долговечности машин. Различают: срок службы средний, медианный, гамма-процентный, до первого среднего или капитального ремонта, межремонтный, до морального износа, до списания.
Время восстановления работоспособного состояния продолжительность восстановления работоспособного состояния объекта. Время восстановления объекта случайная величина, так как каждое слагаемое этой суммы является случайной величиной.
Срок сохраняемости календарная продолжительность хранения и (или) транспортирования объекта, в течение и после которой сохраняются значения показателей безотказности, долговечности и ремонтопригодности в установленных пределах. Срок сохраняемости объекта также является случайной величиной, так как его определяют многие изменяющиеся во времени факторы: условия хранения, защита от вредных внешних воздействий, защита от коррозии, стойкость к старению материалов и т. д.
При большом числе опытных данных обнаруживаются определенные закономерности в частоте появления тех или иных случайных событий или значений случайных величин. При повторении опытов в одинаковых условиях одни значения появляются чаще, а другие реже. Отношение частоты mt появления данного значения случайной величины к общему числу значений N, зафиксированных в данном опыте, называется частостью или статистической вероятностью данной величины. Например, если из 100 обследованных крановых колес (N = 100) 20 имеют срок службы 22,5 года (mt 20), то частость этого значения срока службы составляет Pt = mt/N = 20/100 = 0,2.
Важным свойством частости является ее относительная стабильность при неизменных условиях опытов. Если число обследованных колес, работающих в одинаковых условиях, увеличить в 2 раза (N =200), то число их со сроком службы 22,5 года будет скорее всего находиться в пределах 3545 (но не в пределах 6080), т. е. частость окажется близкой к 0,2, полученной в первом опыте. Величина, около которой колеблется частость, называется вероятностью. По данным А. Ю. Пинеса и Я. Б. Шора вероятность является численной мерой возможности возникновения события.
Из определений частости и вероятности следует, что они лежат в пределах 01, а вероятность всех возможных значений случайной величины равна единице.
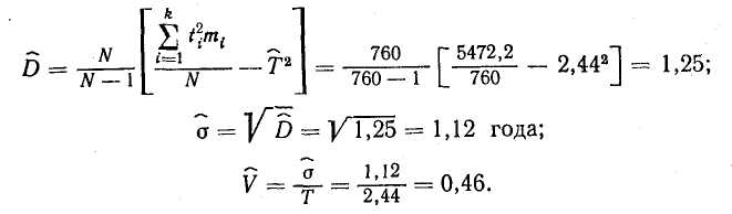
Важной характеристикой случайной величины (например, срока службы) является оценка ее математического ожидания, (средняя арифметическая)

где N общее число наблюдений (значений случайной величины); ti срок службы в 1, 2, ..., N-м наблюдениях.
Практически приемлемую точность оценки математического ожидания случайной величины можно получить при относительно малом числе наблюдений (N = 10-20). Для ПТМ рекомендуемое их число установлено отраслевым стандартом ОСТ 24.190.0575.
Более полной характеристикой непрерывной случайной величины могут служить зависимости статистической функции накопленной частости F(t) и гистограмма плотности f(t) распределения случайной величины. Их можно построить на основании опытных данных следующим образом.
- Все полученные значения (варианты) случайной величины, образующие простой статистический ряд, располагают в возрастающем порядке; эта операция называется построением упорядоченного статистического ряда случайной' величины вариационного ряда.
- Весь диапазон изменения случайной величины при большом числе N наблюдаемых объектов разбивают на интервалы разряды, число которых принимают К = 610; ширину разрядов назначают одинаковой, но иногда в целях удобства построения зависимостей ее принимают разной.
- Определив границы разрядов 0, t1 t2, ts, ..., tK, вычисляют середину разрядов tt, их ширины lt, а затем частоты mt попадания значений случайной величины в данный разряд, а также накопленные частоты mt.
- По частотам mt вычисляют частости Pt попадания случайной величины в каждый из разрядов 0 t1, t1 t2, ..., tk-1 tk:

где N общее число наблюдений.
- По mt Для интервалов 0 t1,0 t2, ... 0 tk вычисляют накопленные частости

6. По частотам mt и ширине разрядов lt вычисляют статистическую плотность

7. По полученным значениям F(t) и f(t) строят кривую статистической функции F(t) и гистограмму статистической плотности f(t) распределения случайной величины. Обработала опытные данные и свела их в табл. 1 И.О.Спицына. На рис. 2, а показана зависимость F (t), а на рис. 2, б гистограмма f (t) для условий этого примера.
При построении кривой статистической функции распределения F (t) (кривая 1) по оси абсцисс откладывают значения правой границы каждого разряда (0,5; 1,0; 1,5; 2,5; 3,5 и 5,0), а по оси ординат соответствующие им значения F (t) (0,021; 0,100; 0,231; 0,547; 0,821; 1,000). Кривая, построенная по полученным точкам, представляет собой полигон накопленных частостей.
При построении гистограммы f(t) (ломаная линия 4) по оси абсцисс откладывают границы разрядов (00,5; 0,51,0; 11,5; 1,52,5; 2,53,5; 3,56), по оси ординат соответствующее каждому интервалу значение f(t) (0,042; 0,158; 0,262; 0,316; 0,274; 0,118). Соединяя плавной линией середины горизонтальных участков ломаной на гистограмме, можно получить зависимость статистической плотности распределения (кривая 6).
Характеристики рассеяния случайной величины относительно ее математического ожидания вычисляют по формулам:

В рассмотренном примере эти оценки по формулам (1), (5)(7) (см. табл. 1):


С увеличением числа наблюдений зависимости статистической функции F(t) и статистической плотности f(t) распределения случайной величины приближаются к соответствующим теоретическим законам, присущим данной случайной величине (кривые 2 и 5).
Полученную функцию F (t) можно рассматривать как оценку вероятности отказа, а если число N наблюдений достаточно велико (N), как вероятность отказа F(t) за время t, поскольку частость случайного события при неограниченном увеличении числа опытов приближается к его вероятности.
1. Пример обработки опытных данных по срокам службы крановых
колес для построения статистической функции распределения и гистограммы распределения случайных величин


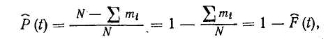
Оценка вероятности противоположного события безотказной работы

а вероятность безотказной работы (при N ) за время ti

Так как безотказная работа и отказ взаимно противоположные события, то сумма их вероятностей равна единице:

В начальный момент наблюдений при t1 = 0 mt = 0 и F(t) = 0, а Р(t) = 1. Если наблюдения вести достаточно долго (теоретически до tt =), то mt = N, F(t) = 1, а Р(t)=0.
На основании опытных данных по формуле (8) можно определить статистическую вероятность безотказной работы в каждый момент времени и построить зависимость статистической функции вероятности безотказной работы Р(t) (кривая 3). Эта кривая наглядно показывает изменение вероятности безотказной работы в зависимости от времени в пределах 0 Р (t) 1. Следует иметь в виду, что без указания конкретного периода времени t значение Р (t) смысла не имеет. Например, нельзя сказать, что вероятность безотказной работы грузового каната Р(t) = 0,9. Правильным будет указание вероятности безотказной работы лишь вместе с наработкой, к которой она относится, например вероятность работы грузового каната Р(t) = 0,9 за время t = 300 ч. Это означает, что в среднем 90 % установленных канатов определенного качества проработают при определенных условиях 300 ч и более без замены, а 10% канатов придется заменить до истечения 300 ч работы. Чем больше значение Р(t) при данном ti тем выше безотказность объекта. Как видно из рис. 2, а, кривые Р (t) и F (t) симметричны одна другой.
Функции, подобные F(t), в теории вероятностей называют интегральными, а функции, подобные f (t), дифференциальными. Дифференциальную функцию f(t) можно получить из интегральной F (t) дифференцированием ее:

И, наоборот, интегральную функцию F (t) можно получить интегрированием функции f(t).
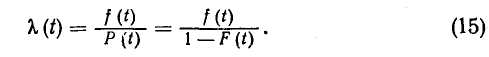
Наряду с функциями Р(t), F(t) и f(t) в теории надежности важное значение имеет функция (t) интенсивности отказов или функция условной плотности вероятности возникновения отказа невосстанавливаемого объекта. Статистически она определяется в зависимости от плана испытаний.
Планы испытаний на надёжность с измерением наработки
В процессе эксплуатации металлургического оборудования в соответствии с положением о ТО и Р предусмотрено ведение документации об отказах оборудования. Фактически в них регистрируются результаты наблюдений за работой оборудования, т.е. осуществляется испытание на надёжность. Внедрение информационной системы об отказах оборудования, позволяет повысить эффективность и достоверность проводимых испытаний (наблюдений).
В зависимости от принятой системы и методов ремонта применяются различные планы испытаний. Существуют 14 разновидностей планов испытаний с измерением наработок. Каждый план имеет условное обозначение в виде трёх (четырёх) буквенных символов, заключенных в квадратные скобки.
На первой позиции символом N указывается объём выборки.
На второй позиции проставляется один из следующих символов, характеризующих план испытаний:
U - отказавшие изделия не заменяются и не восстанавливаются;
R- отказавшие изделия заменяются новыми;
М - работоспособность изделия восстанавливается после каждого отказа.
На третьей позиции записывается один или два символа, указывающие на окончание испытаний:
N - отказ всех изделий, поставленных на испытания;
r - отказ г изделий (г N) или наступление г отказов;
Т - по истечении определённого времени (наработки);
z - при наработке zi каждого изделия, где z i=min(t j, i), i=1…N;
ti- наработка до отказа i-го изделия;
Ti - наработка до снятия с испытаний работоспособного i-ro изделия.
То есть по этому плану испытания прекращаются при достижении наработки z с учётом как наработок изделий до отказа, так и наработок работоспособных изделий, но снятых с испытаний по тем или иным причинам (плановые замены), если величина этой наработки меньше z.
На третьей позиции может записываться и сочетание 2-х символов, например (r ,Т), это означает, что испытания прекращаются либо при появлении r отказов, либо по истечении времени Т, если к этому моменту времени не произошло г отказов.
Поясним на некоторых примерах, как расшифровываются планы испытаний.
Так, при испытаниях по плану [NUN], если выражение в квадратных скобках имеет вид [10U101, то это означает, что исследуется 10 объектов, которые при отказах не заменяются и не восстанавливаются; испытания завершаются отказом всех 10 объектов.
Для плана |NMT| выражение [4 М 150] означает, что испытываются 4 объекта, изделия восстанавливаются после каждого отказа, испытания прекращаются при достижении 150 сут.
При плане |NRr] выражение |10 R 5] характеризует испытание на надёжность 10 объектов, при котором отказавшие изделия заменяются новыми, испытание прекращается, когда произойдут отказы 5 объектов.
План [NUz] в виде выражения [10 Uz] трактуется следующим образом: на испытание поставлено 10 объектов, которые при отказах не восстанавливаются и не заменяются; испытания прекращаются, когда из всех объектов одна часть изделий откажет, а другая часть изделий будет снята с испытаний в произвольный момент времени. В плане [NUTr] выражение [10 U (100,5)] показывает, что 10 испытываемых объектов при отказах не заменяются и не восстанавливаются, испытания прекращаются через 100 сут, если ранее не произошло отказа 5 объектов.
При выборе плана испытаний для металлургических агрегатов и машин необходимо учитывать следующие факторы:
металлургические агрегаты (машины) являются сложными, непрерывно действующими техническими системами;
существует график остановки агрегатов на плановые текущие ремонты для восстановления исходных показателей надёжности;
вследствие высокой интенсификации производства для металлургических машин характерна высокая интенсивность отказов;
восстановление исходных показателей надёжности, а также работоспособного состояния осуществляется либо путём замены изношенной (отказавшей) детали, либо путём замены уз
ла, в состав которого входит изношенная (отказавшая) деталь.
Поэтому для деталей, узлов и машин металлургических агрегатов наиболее применимы планы типа [R] и [М]. Но результаты испытаний по планам [R] сводимы к результатам по планам [U| путём переноса начала испытаний каждого объекта к некоторому условному началу испытаний всех объектов.
Планы типа [М| можно интерпретировать как планы |U|, если положить, что каждая наработка между отказами соответствует некоторому условному невосстанавливаемому объекту; восстановление работоспособного состояния объекта после отказа полное.
Планы типа [U] или приводимые к нему, кроме плана [NUN], предусматривают снятие объектов с испытаний до наступления отказа. Такое событие называется цензурированием.
Различают три типа цензурирования:
- тип - при заданной наработке;
- тип - при заданном числе отказов;
III тип - случайное.
Первый тип цензурирования соответствует плану [NUT], второй тип цензурирования - плану [NUr], третий тип - плану [NUz].
Наработка объекта от начала испытания до наступления цензурирования (прекращения испытаний) называется наработкой до цензурирования.
Выборка, элементами которой служат значения наработки до отказа и наработки до цензурирования, называется цензурирован-ной выборкой.
Различают однократно и многократно цензурированные выборки.
Однократно цензурированная выборка - цензурированная выборка, в которой значения всех наработок до цензурирования равны между собой.
Многократно цензурированная выборка - цензурированная выборка, в которой значения всех наработок до цензурирования не равны между собой.
Однократно цензурированная выборка характерна для планов [NUT] и [NUr]. Для плана в общем случае характерна случайно цензурированная выборка, т.е. выборка может быть как однократно, так и многократно цензурированной. В зависимости от принятой системы технического обслуживания для металлургических машин возможны следующие планы испытаний с учётом приведения к плану типа [U]:
[NUN] - замена детали или узла производится только после отказа;
[NUT| - замена детали или узла производится после отказа или в каждый плановый ремонт, если в межремонтный период отказа не произошло;
[NUz] - замена детали или узла производится после отказа или в плановый период, наработка до которого есть величина случайная.
Существует 14 разновидностей планов испытаний. Наиболее употребительными являются планы испытаний [N, U, Т] и [N, U, r]. Согласно первому плану испытывают N объектов; отказавшие во время испытаний объекты не восстанавливают и не заменяют, испытания прекращают при истечении времени Т испытаний или наработки для каждого неотказавшего объекта. Второй план испытаний отличается от первого тем, что испытания прекращают, когда число отказавших объектов достигнет r; при r = N имеем план [N, U, N).B обозначениях планов испытаний под U подразумевают невосстанавливаемые объекты.
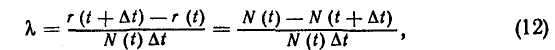
При плане испытаний [N, U, Т] интенсивность (t) отказов статистически определяется отношением


Рис. 3. Зависимость (f) для сорбитизированных ходовых колес мостовых кранов
где r(t+t) число отказов за время t +t; r (t) число отказов за время t; N (t) количество объектов, работоспособных ко времени t; N(t+ t) количество объектов, работоспособных ко времени t + t; t продолжительность интервала времени.
Так как N(t) N (t + t) =r число отказов за время t, а N (t) =N r (N общее число испытуемых объектов, r число отказов за время t), то выражение (12) можно представить в более удобном виде:

При разных значениях t для объектов исследуемой совокупности знаменатель в выражении (13) целесообразно представлять в виде ti; тогда

По данным табл. 1 построена зависимость статистической функции интенсивности отказов (t) крановых колес (рис. 3). При увеличении количества опытных данных и времени испытаний, т. е. при N и t , статистическая функция распределения интенсивности отказов приближается к теоретической функции (t).
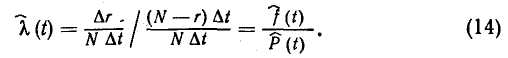
Можно показать, что между (t) и другими рассмотренными функциями f(t), F(t) и Р(t) существует тесная связь. Поделив числитель и знаменатель в выражении (13) на Nt, на основании выражений (4) и (8) с учетом того, что тi = r, lt = t, mt =r, получим

При увеличении числа испытуемых объектов и времени испытаний, т. е. при N и t, опытное значение (t) стремится к (t) и зависимость (14) принимает вид

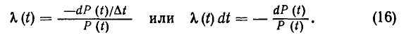
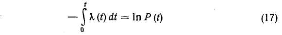
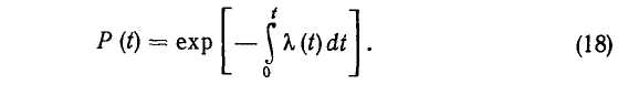
Используя выражение (11), связь по формуле (15) можно представить в следующем виде:

После интегрирования выражения (16) имеем

или

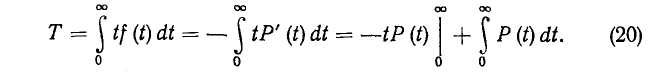
Наряду с функциями F(t), f(t) и Р(t) по выражениям (10), (11), (16), (18) важной характеристикой надежности объекта является среднее время Т его безотказной работы, определяемое в теории вероятностей как

Подставив значение f(t) из выражения (11) в выражение (19) и проинтегрировав его по частям, получим

Так как Р(0) = 1, а Р() = 0 и Р(f) 0 быстрее, чем t , то tP (t)= 0, и выражение (20) примет вид

ЗАКОНЫ НАДЕЖНОСТИ
Закон распределения случайной величины, закон надежности аналитическое соотношение, устанавливающее связь между значениями случайной величины (наработки, времени восстановления и др.) и их вероятностями. Оценка функций надежности статистическими методами требует проведения испытаний, больших по объему и длительных по срокам, что не всегда осуществимо. Поэтому получаемая статистическая информация о надежности характеризует ее лишь в пределах данного объема и времени испытаний. Ее ценность существенно возрастает, если известен вид функции надежности для данного объекта или подобного ему, которая в наибольшей мере согласуется с опытным распределением случайной величины. В теории надежности наибольшее распространение получили следующие законы распределения: для дискретных случайных величин биноминальный и Пуассона; для непрерывных случайных величин экспоненциальный, нормальный, Вейбулла, а также гамма-, 2- и

логарифмически нормальное распределения. Распределения времени восстановления и долговечности кранов и их элементов, как правило, описываются законами экспоненциальным, нормальным и Вейбулла.
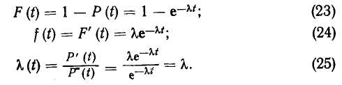
Экспоненциальный (показательный) закон распределения случайной величины (рис. 4) в общем виде записывается так:

где Р(t) вероятность того, что случайная величина имеет значение, большее t; е основание натуральных логарифмов; к параметр распределения.
Значения функции у = е-x табулированы.
Для экспоненциального распределения функции вероятности отказа F(t), плотности вероятности отказа f(t) и интенсивности отказов (t) имеют вид

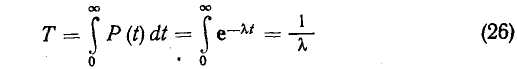
Среднее время до возникновения отказа по формуле (21)

Зависимости (22)(26) показаны на рис. 4, а. Экспоненциальное распределение однопараметрическое. Оно определяется одним параметром ,. Из выражений (22) и (26) следует, что вероятность безотказной работы, соответствующая среднему времени Т до возникновения отказа (наработки до отказа),

Экспоненциальный закон соответствует стационарному потоку случайных событий, так как плотность вероятности возникновения отказа (t) согласно выражению (25) постоянна и составляет, (t)= .

При экспоненциальном законе распределения требуется сравнительно небольшая продолжительность испытаний. Так как обычно 0,1, то формулу (22) в результате разложения в ряд и отбрасывания малых членов можно привести к виду

а поскольку из выражения (26)

то

Из выражений (27)-(30) следует, что при требуемой вероятности безотказной работы Р(t) = 0,9 период испытаний можно принять 0,1T, а при вероятности 0,99 -всего лишь 0,01T. На основании опытных данных для определения параметра X
достаточно получить оценку средней наработки до отказа Т по формуле (1) или воспользоваться графическим способом (рис. 4, б). Для этого нужно нанести экспериментальные точки в координатах t и lgP(t). Знак «минус» здесь потому, что Р(t) < 1 и, следовательно, lgР (t) отрицательная величина. Логарифмируя выражение (22), получим

Из формулы (31) следует, что тангенс угла наклона прямой, аппроксимирующей экспериментальные точки, tg = 0,4343, откуда =2,3tg.
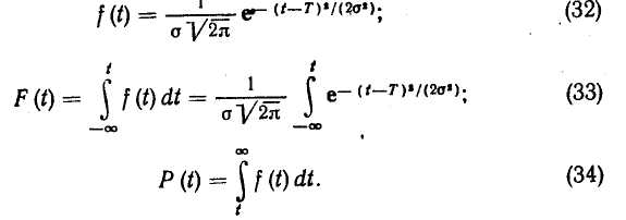
Нормальный закон распределения случайной величины t характеризуется тем, что плотность вероятности отказов (t) (рис. 5, а) плавно нарастает, достигает максимума и затем плавно падает.
Для этого закона распределения плотность вероятности отказа вероятность отказа и вероятность безотказной работы определяются по формулам:

Нормальное распределение двухпараметрическое. Оно имеет два независимых параметра: математическое ожидание или среднюю наработку на отказ Т, определяемую статистически по формуле (1), и среднее квадратическое отклонение , определяемое из выражения (6). Математическое ожидание определяет на кривой Р(t) (рис. 5, б) положение петли, а среднее квадратическое отклонение ее ширину. Кривая плотности вероятности f(t) тем острее и выше, чем меньше . Теоретически она начинается от f = и распространяется до t = + оо. Но фактически площадь, очерченная крыльями кривой плотности вероятности отказа f(t) за пределами Т3, настолько мала, что соответствующая ей вероятность отказа составляет всего 0,00135 (0,135%), и обычно ее не учитывают в расчетах. Вероятность до Т2 отказа также мала (0,021175 или 2,175%).
На практике вместо расчетов по формулам (32)(34) используют данные таблиц, например табл. 2, в которой через U обозначено

Распределение Вейбулла. При этом законе распределения случайных величин функция вероятности безотказной работы имеет вид'


где
параметры закона распределения.


Значения а и b определяют по табл. 3 в зависимости от оценки коэффициента вариации V, вычисляемого по формуле (7).
Для этого закона функция вероятности отказов F (t) имеет вид

ПОКАЗАТЕЛИ НАДЕЖНОСТИ И ИХ ОПРЕДЕЛЕНИЕ
Для решения практических задач по оценке надежности необходимы ее количественные измерители, которые называют показателями надежности. Различают единичные и комплексные показатели. Единичный показатель количественно характеризует только одно свойство надежности объекта, а комплексный может одновременно характеризовать несколько его свойств.
Показатели безотказности. Вероятность безотказной работы вероятность того, что в пределах заданной наработки или заданного интервала времени t отказ объекта не возникнет. На основании опытных данных статистическая вероятность безотказной работы определяется по формуле (8). Обозначив mt через r, где r число (объектов, отказавших ко времени t, из общего числа наблюдаемых объектов N, работоспособных в начальный момент времени t = 0, получим

где (N r) число объектов, проработавших безотказно до момента времени t.
Если отказ связан с дорогостоящей или аварийно опасной задержкой производства, а также для ответственных элементов ПТМ (крюки, валы, зубчатые колеса и др.), рекомендуется принимать Р(t) 0,99, а если отказ может привести к несчастному случаю, Р(t) 0,9999. Если отказ не связан с тяжелыми последствиями и вызывает незначительные экономические потери, что соответствует практике использования многих ПТМ, то допустимое значение Р (t) в интервале t принимают намного ниже указанного или вообще-этот показатель не нормируют.
Средняя наработка Тг до отказа математическое ожидание наработки до первого отказа. Ее определяют для невосстанавли-ваемых объектов, таких, как канаты, подшипники качения, крюки и др. При плане испытаний [N, U, N] по ГОСТ 1650481 этот показатель определяется статистически отношением суммы наработки ti испытуемых объектов до отказа к количеству наблюдаемых объектов N:

В ряде случаев более наглядны другие показатели безотказности, в частности интенсивность отказов (t) и параметр потока отказов в. Согласно отраслевому стандарту ПТМ (ОСТ 24.190.0383) показатель в используют в качестве обязательного для ПТМ, внезапный отказ которых может привести к аварии или большим экономическим потерям, а также для машин, перевозящих людей в местах их скопления (лифты административных зданий, эскалаторы и др.). Значение в определяют по формуле

где пв количество внезапных отказов, зарегистрированных в период наблюдения; ti наработка за тот же период.
Наработка То на отказ отношение наработки восстанавливаемого объекта к математическому ожиданию числа его отказов в течение этой наработки. Наработку на отказ статистически определяют отношением суммарной наработки ti восстанавливаемых объектов к суммарному числу No отказов этих объектов:

При экспоненциальном распределении оценка наработки на отказ

При = в

Наработка на отказ зависит от длительности периода, в течение которого она определяется. Это обусловлено непостоянством характеристик потока отказов. Например, в период приработки наработка на отказ меньше, чем после его окончания. И в период, предшествующий капитальному ремонту или профилактике, она снова уменьшается.
Показатели долговечности. Гамма-процентный ресурс наработка, в течение которой объект не достигнет предельного состояния с заданной вероятностью (%.). Например, если = 90%, то соответствующий ресурс называют «девяносто процентным ресурсом».
Для массовых и крупносерийных изделий ПТМ ОСТ 24.190.0383 устанавливают 90%-ный ресурс до капитального ремонта. Для его определения рекомендуется: установить наблюдение за определенным количеством объектов N = 10i (где i целое число не менее 5); зарегистрировать наименьшие ресурсы в количестве i; принять в качестве 90%-ного ресурса наибольший из этих ресурсов. Например, установив наблюдение за 60 кранами, зарегистрировали ресурсы 6 канатов (i = 6) 97, 11О, 121, 130, 138 и 142 дня; 90%-ный ресурс канатов в этих условиях можно принять равным 142 дням. Для определения 80%-ного ресурса пришлось бы продолжить наблюдение до замены еще 6 канатов на любых из 60 наблюдаемых кранах.
В общем виде гамма-процентный ресурс определяют по графику функции Р (t). Например, согласно рис. 2, а (кривая 3) 90%-ный ресурс крановых колес равен приблизительно одному году [вероятность безотказной работы Р(t) 0,9], 50%-ный (медианный) ресурс 2,3 года [вероятность безотказной работы Р(t) = 0,5].
Средний ресурс математическое ожидание ресурса. При наличии данных о ресурсе (сроке службы, сроке сохраняемости) N объектов статистическая оценка среднего ресурса

где xt ресурсы объектов.
Для невосстанавливаемых изделий особо ответственного назначения используют показатель долговечности, названный назначенным ресурсом. Под ним понимают суммарную наработку объекта, при достижении которой эксплуатация должна быть прекращена независимо от его состояния. Этот показатель используют при установлении периодичности технического обслуживания и ремонта машин.
По ОСТ 24.190.0383 для ПТМ нормируется средний ресурс до капитального ремонта или до списания, вычисляемый по формуле (43), при этом количество N зарегистрированных величин ресурсов ti рекомендуется принимать не менее 10 (N 10).
У большинства ПТМ ресурсы до списания велики и нормирование среднего ресурса до списания для них практически не имеет значения из-за отдаленности сроков предъявления претензий о несоблюдении этого показателя.
Показатели ремонтопригодности: вероятность восстановления в заданное время и среднее время восстановления. Первый из них вероятность того, что время восстановления объекта после отказа не превысит заданного, второй математическое ожидание времени восстановления. Под временем восстановления подразумевают суммарное время, затрачиваемое на обнаружение, поиск причины и устранение последствий отказа. При наличии статистических данных о длительности 1, 2, .... m восстановления т объектов оценка среднего времени восстановления

Эти показатели ремонтопригодности отраслевыми документами для ПТМ не предусмотрены, хотя в ряде случаев их нормирование целесообразно, например, при использовании ПТМ без резервирования в комплексе с другим технологическим оборудованием, когда длительный простой лишь одной из машин может надолго вывести из строя весь технологический комплекс и повлечь за собой крупные экономические потери.
Показатели ремонтопригодности важны и для таких ПТМ, как лифты, эскалаторы, канатные дороги, фуникулеры и др., длительные простои которых при внезапных отказах хотя и не всегда вызывают прямые экономические потери, но связаны с дезорганизацией движения и большими неудобствами для пользующихся ими.
Показатели сохраняемости: гамма-процентный и средний сроки сохраняемости. Первый показатель срок сохраняемости, который будет достигнут объектом с заданной вероятностью (%), второй математическое ожидание срока сохраняемости. Сроком сохраняемости называют календарную продолжительность хранения и (или) транспортирования объекта в заданных условиях, в течение и после которой сохраняются значения заданных показателей в установленных пределах. Для многих ПТМ период между отправкой их с завода-изготовителя до подачи в монтаж может исчисляться годами. При соблюдении правил транспортирования и хранения элементы ПТМ, как правило, не изменяют заданных показателей. Но имеются и такие машины, у которых при длительном хранении они существенно ухудшаются. Для них целесообразно нормирование показателей сохраняемости. Методы их определения аналогичны методам определения гамма-процентного и среднего ресурсов.
Комплексные показатели надежности. Известно более 10 таких показателей. Из них три регламентированы отраслевым стандартом ПТМ ОСТ 24.190.0383.
Коэффициент готовности определяется отношением суммарного времени пребывания наблюдаемых объектов в работоспособном состоянии произведению числа N этих объектов на продолжительность Тр эксплуатации за исключением простоев на проведение плановых ремонтов и технических обслуживании:

где i суммарное время пребывания i-го объекта в работоспособном состоянии (i = 1, 2, 3, ..., N). Поскольку время Тр у различных объектов наблюдаемой группы может не совпадать, значение Кг целесообразнее определять по выражению

где
суммарное время на восстановление работоспособности наблюдаемых объектов после отказа.
При порядке обслуживания, предусматривающем немедленное начало восстановления отказавшего объекта, коэффициент готовности

где То наработка на отказ; Тв среднее время восстановления.
Как видно из формулы (47), коэффициент готовности объединяет два единичных показателя надежности: наработку на отказ То, характеризующую безотказность, и среднее время Тв восстановления, характеризующее эксплуатационную технологичность.
По РТМ 24.090.2376 для ПТМ коэффициент Кг готовности принят в качестве допустимого показателя вместо обязательного, называемого коэффициентом простоев Kп, который связан с коэффициентом готовности зависимостью

Из этой зависимости следует, что

Удельная суммарная стоимость ремонтов Су.р. определяется как отношение средней суммарной стоимости ремонтов к математическому ожиданию суммарной наработки объекта за один и тот же период эксплуатации. Под средней суммарной стоимостью ремонтов понимают математическое ожидание суммарных затрат на все виды ремонтов за определенный период эксплуатации. Методика определения Kп и Су.р. для ПТМ приведена в ОСТ 24.190.0383.
Экспериментальное определение надежности ПТМ и их элементов
Надежность ПТМ и их элементов может определяться экспериментальным путем, для чего проводятся различные испытания. Машины целиком испытываются на стендах, полигонах или в эксплуатационных условиях. Отдельные системы, узлы и детали проходят испытания на специальных стендах. Подъемно-транспортные машины, предназначенные для работы в тяжелых режимах эксплуатации, должны проходить ускоренные испытания на надежность. Испытания этого типа проводятся на заводских полигонах. Цель испытаний в возможно короткий срок определить износостойкость, циклическую прочность и теплостойкость элементов ПТМ.
Статистические данные по ряду машин длительного использования показали, что большинство характерных отказов происходит при наработке первых 2000 4000 ч. Сократить срок выявления слабых узлов возможно при работе с перегрузками. В каждом случае степень допустимой перегрузки при ускоренных испытаниях на надежность должна быть определена соответствующими расчетами устойчивости, прочности и выносливости как машины в целом, так и ее наиболее ответственных элементов. Перегрузки достигают увеличением массы поднимаемого груза, ускорений механизмов при пуске и торможении и рядом других мероприятий.
Ускоренные испытания на надежность делятся на два этапа. На первом этапе проводятся тензометрические измерения нагрузок и напряжений в ответственных элементах при предварительно назначенных перегрузках. Измеряются токи, давления и пр. В результате расчетов прочности, выносливости и изнашивания, выполненных с использованием тензометрических данных, уточняется степень допустимой перегрузки, а для машин циклического действия характеристики цикла работы.
На втором этапе проводятся длительные испытания с уточненной нагрузкой и последовательностью включений механизмов. Использование машины по времени при испытаниях должно быть максимальным. Расчеты по портальным кранам показали, что время испытаний с перегрузками можно сократить до 1000 машино-часов. Это объясняется тем, что между напряжениями (нагрузками) в деталях и их циклической долговечностью существует степенная зависимость. В связи с этим малые перегрузки могут вызвать значительное уменьшение долговечности ответственных элементов. При испытаниях этого типа желательна установка аппаратуры, частично или полностью автоматизирующая работу и учет наработки машины, а также ее отдельных механизмов. Особенно тщательно должны соблюдаться правила техники безопасности.
Надежность опытных образцов ПТМ определяется при эксплуатационных испытаниях. Продолжительность испытания 2000 4000 ч работы. В процессе испытаний выявляется большинство недостатков, связанных с возможными ошибками проектирования и изготовления. В этот период машина должна работать в наиболее тяжелом режиме эксплуатации под особым наблюдением инженерно-технического персонала. На основе статистических данных по потокам отказов и восстановлений производится оценка показателей надежности, которые обычно имеют заниженные значения, так как машины находятся в периоде приработки. Дальнейшие испытания опытных образцов в течение одного-трех лет эксплуатации позволяют определить показатели надежности в период установившейся эксплуатации.
За машинами установочной серии, работающими в наиболее тяжелых режимах, также организуется специальное наблюдение. Собираются и обрабатываются статистические данные по отказам и восстановлениям (ремонтам). В результате определяются показатели надежности этих ГПМ, выявляются узлы и детали, лимитирующие надежность машины в целом, разрабатываются мероприятия по повышению надежности. Испытания проводятся в течение одноготрех лет. Если в результате испытаний необходимо определить закономерности изменения показателей надежности, то проводятся испытания в течение более длительного срока. В процессе испытаний фиксируется наработка в тоннах и (или) в часах машинного времени, регистрируются отказы, проводится их описание, устанавливаются причины отказов и время ремонта. Одновременно должны вестись наблюдения не менее чем за 2-8 машинами. С увеличением количества наблюдаемых машин растет точность определяемых характеристик.
В общем случае планирование испытаний на надежность включает отбор машин, определение объема выборки, продолжительность испытаний. В соответствии с требованиями математической статистики отбираемые для испытаний машины или их узлы и детали должны принадлежать к исследуемой совокупности. Для опытных образцов и образцов установочной серии эти требования сводятся к качественному соответствию машин, так как вообще этих объектов весьма мало. Это означает, что не следует в одну совокупность сводить машины, отличающиеся конструкцией узлов и работающие в различных условиях эксплуатации.
Определительные испытания на надежность могут проводиться по нескольким планам (ГОСТ 175179). Планы отличаются условиями, при которых прекращаются наблюдения. Так, план [Nи, И, Nи] означает, что наблюдения ведутся до отказа всех Nи наблюдаемых объектов. План [Nи, R, Т] означает, что наблюдения над Nи объектами ведутся в течение заданного времени Т при условии, что отказавшие образцы заменяются новыми или ремонтируются. План наблюдений выбирается в зависимости от вида объекта, условий эксплуатации и экономической целесообразности.
Объем выборки, т.е. количество испытываемых объектов, зависит от принятого плана наблюдений, требуемой достоверности и точности оценок и предполагаемых значений показателей надежности (ГОСТ 17510-79). Достоверность оценки определяется доверительной вероятностью, которая равна вероятности попадания оценки в принятый интервал. Дело в том, что экспериментальная оценка показателя надежности в связи с ограниченностью любого эксперимента всегда случайна. Однако она должна с принятой доверительной вероятностью лежать в определенном доверительном интервале, который расположен вокруг теоретического значения показателя надежности. Точность оценки характеризуется относительной шириной этого интервала. При незавершенных или так называемых усеченных испытаниях, когда не все наблюдаемые объекты отказали, объем выборки определяется приближением.
Важным вопросом является определение влияния различных эксплуатационных условий работы на показатели надежности. Испытания на надежность всегда длительны и требуют значительных средств. Поэтому важно при определении количества испытаний использовать теорию планирования эксперимента, которая позволяет получить максимум информации при минимуме экспериментов. Для того чтобы показать возможности этой теории, рассмотрим следующий пример. Предположим, что требуется определить влияние таких факторов, как технологический вариант работы (Х1), квалификация управления (Х3) и уровень технического обслуживания (Х2), на коэффициент готовности (Kr) грейферных портальных кранов. Для определения значимости этих факторов надо собирать статистические данные по потокам отказов и восстановлению работающих кранов. Каждый фактор будем варьировать на двух уровнях. Это значит, что испытания проводятся при двух технологических вариантах работы кранов (например, варианты судно вагон и склад склад), при двух квалификациях крановщиков (I и III разряды), при двух уровнях технического обслуживания (высокий и низкий). Необходимое количество опытов при полном факторном эксперименте определяется по формуле
,
где - число уровней факторов; - количество факторов. В нашем случае = 2, = 3 и количество опытов . При этом реализуются все возможные сочетания уровней факторов.
В табл. 2 приведена соответствующая матрица эксперимента. Каждый опыт в данном случае состоит в наблюдении в течение года за двумявосьмью кранами, работающими в определенных эксплуатационных условиях. Например, опыт 1 состоит в том, что ведется наблюдение за двумявосьмью кранами, работающими по варианту судно вагон. Эти краны управляются крановщиками III разряда. Уровень технического обслуживания машин высокий, что означает регулярное смазывание всех точек, предусмотренных заводской инструкцией, правильную и своевременную регулировку пусковой и тормозной аппаратуры и т.д. Опыт 2 заключается в том, что ведется наблюдение за двумявосемью кранами, которые работают по тому же технологическому варианту и управляются крановщиками I разряда. Уровень технического обслуживания - низкий (нерегулярное смазывание, регулировка, нарушается график планово-предупредительных ремонтов и т.д.). Проведя все эти наблюдения, можно установить, пользуясь определенными правилами, какие из трех рассмотренных факторов значимы и, следовательно, какие из них надо учитывать при оценке коэффициента готовности. Если учесть, что каждый кран испытывается в течение года, а всего под наблюдением находится от 8 2 = 16 до 8 8 = 64 кранов, то становятся очевидным сложность и высокая стоимость этих испытаний. Применяя теорию планирования эксперимента, можно значительно сократить количество опытов. Для этого используются так называемые дробные факторные планы, позволяющие уменьшить число опытов в несколько раз и в то же время выявить главные закономерности, связывающие коэффициент готовности с тремя факторами. Так, если по предварительным соображениям можно пренебречь совместным влиянием факторов Х1 (технологический вариант работы крана) и Х2 (уровень технического обслуживания), то можно построить сокращенную в два раза матрицу эксперимента, которая обозначается 23-1 (табл. 3). В ней всего четыре опыта.
После предварительной оценки и анализа собранной информации по показателям надежности ПТМ осуществляется статистическая обработка экспериментальных данных. Обработка включает в себя оценку однородности статистических данных, определение параметров распределения исследуемых случайных величин (например, ресурс детали), проверку согласия экспериментального распределения с теоретическим и расчет показателей надежности. Анализ однородности статистических данных проводится для определения возможности объединения материалов, полученных из различных мест эксплуатации, в одну выборку. Проверка однородности выполняется по различным критериям (Смирнова, Стьюдента, Фишера и др.).
Таблица 2
Матрица полного факторного плана 23
|
Номер опыта |
Уровни фактора |
Среднее значение коэффициента готовности |
||
|
Х1 |
Х2 |
Х3 |
||
|
1 2 3 4 5 6 7 8 |
-1 -1 +1 +1 -1 -1 +1 +1 |
-1 +1 -1 +1 -1 +1 -1 +1 |
+1 -1 -1 +1 -1 +1 +1 -1 |
Kr1 Kr2 Kr3 Kr4 Kr5 Kr6 Kr7 Kr8 |
Примечание: +1 верхний уровень фактора; -1 нижний уровень фактора.
Таблица 3
Матрица дробного факторного плана 23-1
|
Номер опыта |
Уровни фактора |
Среднее значение коэффициента готовности |
||
|
Х1 |
Х2 |
Х3 |
||
|
1 2 3 4 |
+1 -1 +1 -1 |
+1 -1 -1 +1 |
+1 +1 -1 -1 |
Kr1 Kr2 Kr3 Kr4 |
Примечание: +1 верхний уровень фактора; -1 нижний уровень фактора.
Оценка параметров (математического ожидания, среднего квадратичного отклонения и т.п.) распределения может быть точечной и интервальной. Точечная оценка дает приближенную оценку параметра, которая должна быть состоятельной, несмещенной, эффективной. В ГОСТ 27.503-81 приведены зависимости для оценки параметров различных законов распределения случайных величин (например, ресурса детали) при различных планах эксперимента; в ГОСТ 11.00875 правила построения вероятностных сеток (системы координат), с помощью которых возможна удобная для практических целей графическая оценка параметров. Интервальные оценки параметров позволяют оценить доверительные пределы, в которых лежит точечная оценка с определенной доверительной вероятностью.
Проверка первоначально принятой гипотезы о виде закона распределения случайной величины может осуществляться в первом приближении графически по виду гистограммы или по расположению точек эмпирической функции распределения на вероятностной сетке. Оценка показателей надежности ПТМ и их элементов осуществляется по точечным оценкам параметров законов распределения. В ГОСТ 27.501-81 для ряда законов распределения ресурса, времени восстановления и т.д. приведены зависимости, с помощью которых осуществляется точечная оценка показателей надежности. Известны методы определения доверительных интервалов, в которых с определенной вероятностью лежат теоретические показатели надежности.
При проведении испытаний на надежность важно выяснить, какие узлы и детали в наибольшей степени влияют на показатели надежности. Для этого используют относительные коэффициенты восстановлений (kвi) и отказов
(kот i) , определяемые по следующим зависимостям:
; ,
где tвi, nот i - время восстановления и количество отказов по узлу (детали); tв, nотi общее время восстановления и общее количество отказов за рассматриваемое время. Узлы и детали с наибольшими kвi и kотi - лимитируют надежность ПТМ в целом и при выполнении работ по ее повышению требуют первоочередной модернизации.
Надежность узлов и деталей ПТМ можно определить по статистическим данным, полученным в процессе эксплуатации. В табл. 4 приведены обобщенные данные по различным источникам относительно типов законов распределения ресурса некоторых деталей ПТМ.
Различие в законах распределения по одним и тем же элементам объясняется особенностями условий эксплуатации и конструкции самих элементов. Так, нормальный закон распределения ресурса грузовых канатов объясняется тем, что эти элементы ПТМ достаточно однородны в силу стабильности технологии изготовления и подвергаются изнашиванию с постоянной интенсивностью. В то же время на кранах, при определенных технологических вариантах работы, отказы канатов связаны с их перетиранием о комингсы люков грузовых судов, соскакиванием с канатных блоков и с рядом других случайных причин. В этом случае ресурс распределяется по экспоненциальному закону.
Таблица 4
Законы распределения ресурса деталей ПТМ
|
Детали |
Законы распределения |
|||
|
Вейбулла |
Экспонен-циальный |
Нормальный |
Логарифмический нормальный |
|
|
Грузовые канаты Валы редукторов Зубчатые колеса Детали металлокон-струкций стрел Ходовые колеса Тормозные шкивы Катки поворота Канатные блоки |
- + + + + + + - |
+ - - + - - - - |
+ + - - - - - + |
- + - - - - - - |
Примечание. Знак «+» означает, что ресурс детали распределяется по соответствующему закону. Знак «-» означает, что ресурс детали не распределяется по соответствующему закону.
Существуют более общие рекомендации по определению законов распределения ресурсов. Если коэффициент вариации (vR) менее 0,5 и необходимо оценить средний ресурс, то можно принимать усеченное нормальное распределение ресурса. Тот же закон принимается при vR 0,35 для оценок гамма-процентного ресурса ( 80 %). Если vR 1,0, то выбирается либо логарифмический нормальный закон, либо закон Вейбулла.
Большое значение в системе экспериментальной оценки надежности имеют испытания ГПМ и их элементов на специальных стендах. Стендовые испытания деталей ПТМ на усталость выполняются для построения кривой усталости, оценки, параметров распределения пределов выносливости, для экспериментального определения долговечности при эксплуатационных нагрузках. В последнем случае с помощью специальных устройств генерируются случайные процессы нагружения на деталь или эквивалентные им по разрушающему воздействию упорядоченные блоки нагрузок. Испытания деталей ПТМ на изнашивание выполняются на специальных стендах. По результатам этих испытаний оценивается долговечность элементов по изнашиванию. При этом стремятся создать наиболее типичные для данной детали нагрузки, температуру, скорость перемещения и воздействия внешней среды.
Некоторое распространение получили стендовые испытания на долговечность целых узлов ПТМ. Механизмы ПТМ, их редукторы испытывают на стендах с прямым и замкнутым потоком мощности. В первом случае на стенде выстраивается цепочка из последовательно соединенных звеньев: привод испытываемый узел узел нагружения. Последний часто выполняется в виде тормозного устройства (тормоза, тормозной двигатель), момент которого меняется во времени; в результате этого создаются блоки нагружения, имитирующие эксплуатационные нагрузки на испытательный механизм. В некоторых стендах узел нагружения представляет собой инерционные диски. Преимущество стендов с прямым потоком мощности заключается в возможности испытаний механизмов различной конструкции, в простоте управления конструкции. Недостатки значительные затраты энергии и необходимость отвода теплоты при испытаниях. Стенды с замкнутым потоком мощности состоят обычно из двух одинаковых одновременно испытываемых узлов, которые вместе с редукторами стенда и нагрузочным устройством образуют замкнутый контур. Нагружение осуществляется предварительным закручиванием валов испытываемых узлов на определенный угол. Вращение испытываемых узлов производится с помощью приводных устройств, расположенных вне контура. Его мощность расходуется только на преодоление сопротивлений в механизмах самого стенда. Существуют конструкции, в которых угол закручивания валов может меняться на ходу по специальной программе. В этом случае осуществляется имитация эксплуатационных процессов нагружения. Преимущество стендов этого типа заключается в малом расходе мощности. Недостатки сложность конструкции и высокая стоимость изготовления.
Известны стенды для испытаний небольших ПТМ целиком. При испытаниях обычно работают и нагружаются основные механизмы и металлоконструкции, Например: механизм вращения ротора роторного погрузчика, механизм подъема, стреловое устройство и опорная рама автомобильного крана, приводная станция транспортера. Преимущества этих испытаний заключаются в максимальном приближении их к эксплуатационным условиям работы. В то же время исключаются трудности, связанные с организацией и проведением эксплуатационных испытаний.
ПРОГНОЗИРОВАНИЕ ПОКАЗАТЕЛЕЙ НАДЕЖНОСТИ ПТМ
Современные ПТМ являются сложными объектами, включающими помимо механических электрические, гидравлические, пневматические, а в ряде случаев и электронные системы. Поэтому прогнозирование показателей надежности машины на стадии проектирования является сложной научно-технической задачей. В настоящее время не имеется апробированной методики расчета надежности ПТМ, хотя для машин других типов в этом направлении сделано многое. Ниже изложены исходные положения методики прогнозирования показателей надежности ПТМ при проектировании.
Для расчетного определения вероятности безотказной работы Рм(t) машина должна быть разделена на отдельные элементы: системы, узлы, детали. Разделение на элементы должно производиться так, чтобы отказ одного из них не влиял на надежность других. Затем должна быть составлена структурная схема проектируемой ПТМ, состоящая из последовательно, параллельно и смешанно соединенных деталей в узлы, узлов в системы, системы в машину. Зная вероятность безотказной работы каждого элемента и полагая отказы элементов независимыми, можно по формулам (27) и (34) определить PM{t).
Все элементы ПТМ можно разделить на три группы. Показатели надежности элементов первой группы определяются расчетным путем. Надежность элементов второй группы находится по элементам-аналогам, работающим в составе других машин, по которым имеются статистические данные. Очевидно, что элементы-аналоги должны подбираться с учетом идентичности конструкции, технологии изготовления, условий и режимов эксплуатации. К третьей группе относятся элементы, надежность которых определяется по результатам испытаний на стендах.
Статистические наблюдения и опыт проверочных расчетов свидетельствуют о том, что, хотя вероятность безотказной работы ПТМ зависит от всех элементов, существенно влияет на нее относительно небольшое их количество. Это обстоятельство позволяет существенно сократить объем вычислений. Так, в каждом механизме достаточно рассчитать вероятность безотказной работы по условию сохранения статической и циклической прочности, а также по условию отсутствия изнашивания одной-двух деталей в сечениях и точках площади с максимальным уровнем действующих напряжений и наибольшими эффективными коэффициентами концентрации. Остальные детали, площади сечений которых выбраны по конструктивным, технологическим или иным соображениям, имеют такие показатели надежности, которые не меняют учитываемые числа знаков (0,99 и 0,9999) при расчете вероятности безотказной работы механизма. То же самое можно сказать относительно металлоконструкций. Так, надежность стреловых устройств кранов определяется вероятностью безотказной работы одного-двух сечений стрелы и хобота.
Для прогнозирования коэффициента готовности ПТМ также должна быть разделена на отдельные элементы. Если имеется пэ элементов, то приближенно коэффициент готовности машины определяется по формуле:

где Твi,Tотi среднее время восстановления и средняя наработка на отказ i-го элемента.
Среднее время восстановления элемента определяется по статистическим данным по элементам-аналогам. При отсутствии аналогов используются нормы на ремонт и экспертные оценки специалистов. Средняя наработка на отказ может определяться расчетным путем по элементам-аналогам и на испытательных стендах.
В общем случае для прогнозирования надежности проектируемой машины необходимы статистические данные по элементам ПТМ, близким по конструкции к проектируемым, цифровые ЭВМ с соответствующим набором программ, стенды для испытания на надежность наиболее ответственных и сложных в расчетном смысле элементов.
ПОВЫШЕНИЕ НАДЕЖНОСТИ
ОБЕСПЕЧЕНИЕ НАДЕЖНОСТИ ПРИ ПРОЕКТИРОВАНИИ
Срок службы многих видов ПТМ исчисляется десятками лет (грузоподъемные краны, лифты, эскалаторы и т. д.). Затраты средств, труда и материалов на поддержание и восстановление работоспособного и исправного состояния машины за полный срок службы в 510 раз и более превышают затраты на ее изготовление. Например, расходы на техническое обслуживание и ремонт некоторых типов мостовых кранов достигают их стоимости за 15 мес, башенных кранов и погрузчиков за один год. Стоимость ремонтов погрузчика до капитального ремонта в среднем превышает его первоначальную стоимость в 45 раз. Аналогичная картина имеется- в других отраслях машиностроения. Например, эксплуатационные затраты за восемь лет срока службы тракторов ДТ-54, ДТ-74, ДТ-75 в 4-5 раз превысили их начальную стоимость.
При недостаточной долговечности машины изготовляют в большем количестве, чем нужно, что ведет к перерасходу металла, излишкам производственных мощностей, завышению расходов на ремонт и эксплуатацию. Поэтому повышение надежности объектов является одной из важнейших народнохозяйственных задач.
Особенностью надежности является ее связь со всеми этапами создания и эксплуатации объекта от момента формирования и обоснования идеи создания объекта до его списания и сдачи в лом.
Надежность объекта закладывается при его разработке. Она определяется конструкцией объекта и его узлов, уровнем стандартизации и унификации, применяемыми материалами, термообработкой, методами защиты от вредных воздействий, приспособленностью к обслуживанию и ремонту и другими особенностями. Надежность объекта обеспечивается при его изготовлении и зависит от уровня технологического процесса, который характеризуют: качество изготовленных деталей, качество сборки объекта и его узлов, методы контроля и испытания объекта, трудоемкость, материалоемкость и себестоимость изготовления и другие показатели.
Надежность объекта реализуется и поддерживается при его эксплуатации, хранении и транспортировании. Надежность проявляется только при использовании объекта и зависит от условий и методов эксплуатации, режимов работы, методов технического обслуживания и других эксплуатационных факторов.
Надежность объекта восстанавливается при его ремонте. Эффективность восстановления надежности объекта определяется принятой системой ремонта и ремонтопригодностью объекта.
Необходимый высокий уровень надежности можно достигнуть только при высоком уровне качества каждого этапа создания и использования объекта. Нельзя компенсировать недоработки предыдущего этапа на последующем этапе. Рассмотрим основные направления и пути повышения надежности ПТМ при их создании и использовании.
Надежность объекта закладывается при его проектировании. Важным этапом проектирования является разработка и анализ технического задания, неглубокая проработка которого является одной из основных причин возникновения ошибок конструкторов. Поэтому для разработки и анализа технического задания должны привлекаться наиболее квалифицированные конструкторы и специалисты в различных узких вопросах проектирования.
Особое внимание должно уделяться начальному периоду проектирования поиску принципа работы объекта, поиску схемы и структуры объекта, его узлов и механизмов, вариантов их конструктивных решений. Начальный период проектирования требует больших творческих усилий конструкторов. Недостаток времени на поиск наилучших технических решений, как правило, оборачивается значительными затратами в дальнейшем. Допущенные на стадии проектирования принципиальные просчеты не могут быть компенсированы на стадии производства и приводят к снижению эффективности объекта в эксплуатации. Большое внимание при создании объекта должно быть уделено экспериментальным исследованиям и испытаниям опытных образцов объектов и их узлов. Рассмотрим основные направления повышения надежности ПТМ при их создании: агрегатирование, ограничение уровня действующих __ нагрузок, применение объектов с высокой надежностью по своей природе, 1 резерв, а также структурные методы повышения надежности.
Агрегатирование является методом компоновки машин или комплексов'машин из взаимозаменяемых, унифицированных агрегатов. Агрегатом называется укрупненный унифицированный (нормализованный) узел машины или комплекса машин, обладающий полной взаимозаменяемостью, самостоятельно выполняющий отдельные функции. Характерными агрегатами являются электродвигатели, гидродвигателн, редукторы, насосы, тормозные устройства и т. п. Агрегатирование широко применяется при создании машин различного назначения и, в частности, при создании ПТМ и манипуляторов. Агрегатирование способствует существенному повышению ремонтопригодности машин.
Агрегатирование значительно упрощает и удешевляет своевременное и непрерывное совершенствование машин путем изменения конструкции морально устаревших узлов; позволяет наиболее рационально организовать производство машин, увеличить серийность отдельных узлов и снизить стоимость их изготовления на специализированных заводах благодаря более высокой степени механизации и автоматизации производства.
Агрегатирование значительно улучшает эксплуатацию и ускоряет ремонт машин. Агрегатный метод ремонта заменой неисправных узлов новыми или отремонтированными широко распространен в народном хозяйстве и, в частности, при ремонте ПТМ.
Ограничение уровня действующих нагрузок является эффективным и широко применяемым методом повышения надежности ПТМ.
Ограничение грузоподъемности кранов, транспортирующих грузы, масса которых заранее неизвестна крановщику, регламентировано Правилами [30] Госгортехнадзора (ст. 170173). Эти краны должны быть оборудованы автоматическими ограничителями грузоподъемности, отключающими привод механизма подъема при превышений, номинальной грузоподъемности крана. В свободно стоящих грузоподъемных кранах ограничители грузоподъемности реагируют не на силу тяжести груза, а на грузовой момент, предотвращая опрокидывание крана.
Ограничение вместимости кабин пассажирских лифтов регламентировано Правилами [31] Госгортехнадзора (ст. 1.1.9). Ограничение вместимости производится либо применением кабин, площадь пола которых не позволяет вместить большее, чем допустимо, количество пассажиров, либо проводником (лифтером), либо автоматическим ограничителем грузоподъемности лифта.
Ограничение уровня действующих нагрузок в механизмах поворота грузоподъемных кранов с самотормозящим червячным редуктором привода производится с помощью муфты предельного момента, которая обычно встраивается в червячный редуктор и размещается на червячном колесе.
Ограничение уровня действующих нагрузок в подвесных конвейерах производится, например, в случае заклинивания полотна конвейера на трассе. Ограничителем является калиброванный штифт из хрупкого материала, встроенный в приводную звездочку и срезающийся при превышении действующей нагрузкой допустимого уровня.
Применение объектов с высокой надежностью по своей природе покажем на нескольких характерных примерах. Агрегаты без механических передач имеют практически неограниченный срок службы и нуждаются в значительно меньшем техническом обслуживании. В быстроходных лифтах используются безредукторные лебедки, в которых канатоведущий шкив размещается непосредственно на валу низкооборотного электродвигателя. В металлообрабатывающих станках применяются электрошпиндели.
Детали, работающие при напряжениях ниже предела выносливости, имеют практически неограниченный срок службы, соответствующий полному сроку службы объекта. Поэтому применение таких деталей весьма желательно для повышения надежности объекта.
Электрическое торможение (динамическое, генераторный режим, противовключением) взамен фрикционного применяется в подъемно-транспортных машинах, железнодорожном подвижном составе для поглощения кинетической энергии движущихся масс. При этом механические тормоза используются только как стопорные. Механический износ в таких тормозных системах практически отсутствует.
Система автоматического регулирования скорости при подъеме и спуске груза в башенных кранах, основанная на сложении механических характеристик трехфазного электродвигателя привода и тормозного устройства, может иметь в качестве тормозного устройства или двухколодочный тормоз с электрогидротолкателем, или электрическую тормозную машину (динамическое торможение). Обе разновидности системы имеют примерно одинаковые показатели назначения. Однако долговечность электрической тормозной машины несравнимо выше долговечности механического тормоза, так как тормозной момент в ней создается электрическим способом, в то время как механический тормоз нуждается в периодической замене фрикционных элементов.
В системах управления ПТМ и манипуляторами в настоящее время все более широкое распространение находит бесконтактное переключение как в цепях управления, так и в силовых цепях электроприводов. Бесконтактные переключающие устройства не имеют подвижных частей, подверженных электромеханическому износу. В системах управления лифтами и штабелерами широко используются индукционные датчики пути, часто в сочетании с транзисторными усилителями, взамен устройств с электромеханическими контактами. В качестве бесконтактных датчиков угла все большее применение находят сельсины или вращающиеся трансформаторы взамен потенциометрических датчиков угла с электромеханическими контактами.
Использование бесконтактных устройств позволяет существенно повысить надежность систем управления.
Долговечность электронной лампы определяется главным образом долговечностью катода (его эмиссией), которая принципиально не может быть бесконечной, в то время как ресурс транзистора может достигать в отдельных случаях 106 ч. Кроме того, электронная лампа значительно чувствительнее транзистора к вибрации и тряске.
Структурные методы повышения надежности объектов заключаются или в уменьшении количества элементов при их последовательном соединении, или в увеличении количества элементов при их параллельном соединении (в смысле надежности).
Уменьшение количества элементов при их последовательном соединении повышает надежность объекта, что следует из формул (27) (29), которые позволяют сделать следующие выводы:
- вероятность безотказной работы системы уменьшается с увеличением числа последовательно соединенных элементов, следовательно, при проектировании объекта необходимо стремиться к возможно меньшему числу последовательно соединенных элементов;
- вероятность безотказной работы системы всегда будет меньше вероятности безотказной работы наименее надежного элемента. Следовательно, при проектировании объекта необходимо стремиться к выявлению наименее надежного элемента и к увеличению вероятности его безотказной работы.
Структурный метод повышения надежности путем параллельного соединения элементов является структурным резервированием и рассматривается ниже.
РЕЗЕРВ И РЕЗЕРВИРОВАНИЕ
Резерв совокупность дополнительных средств и (или) возможностей, используемых для резервирования.
Резервирование применение дополнительных средств и (или) возможностей для сохранения работоспособного состояния объекта при отказе одного или нескольких его элементов.
Классификация резервирования содержит следующие виды прочностное, энергетическое, структурное, параметрическое функциональное и др.
Прочностное резервирование заключается в повышении способности объекта к восприятию нагрузок. Оно применяется в механических, гидравлических, электрических электронных и других объектах. Безотказность объектов сильно зависит от режимов работы. Поэтому часто оказывается целесообразным выбирать режим работы объекта менее напряженным чем номинальный, для повышения его безотказности при этом степень уменьшения нагрузок зависит от конкретных условий.
Прочностное резервирование в механических объектах заключается в увеличении запаса прочности использованием материалов более высокого -качества или увеличением площади сечения деталей. Прочностное резервирование обычно оценивается коэффициентом запаса прочности, который назначается повышенным для наиболее ответственных элементов и при тяжелых условиях эксплуатации.
Энергетический резерв запас мощности, который может быть использован в более тяжелых условиях эксплуатации или при старении объекта, например установка более мощного двигателя, чем это необходимо в нормальных условиях его работы. Энергетическое резервирование очень широко применяется в ПТМ для повышения их надежности, в частности, в механизмах передвижения.
Параметрическое резервирование заключается в увеличении функционального параметра объекта с целью повышения надежности в зависимости от режима работы. Параметрическое резервирование также находит применение в ПТМ.
Долговечность стального каната очень сильно зависит от отношения диаметра блока к диаметру каната, которое для грузовых канатов нормируется в зависимости от режима работы (см. табл. 13) Правилами [30] Госгортехнадзора. Это отношение тем больше, чем выше группа режима работы, т. е. чем выше класс использования.
Функциональный резерв наличие в объекте функциональных возможностей сверх минимально необходимых для его функционирования. Функциональное резервирование повышает работоспособность объекта, а также его надежность. Оно находит применение во многих объектах, в том числе в подъемно-транспортных машин и манипуляторах.
Изменение вылета груза в портальных кранах является функциональным резервом, так как перемещение груза по горизонтали в любую точку зоны обслуживания может быть осуществлено механизмами передвижения и поворота без механизма изменения вылета, Однако такая минимальная структура крана весьма далека от оптимальной и обладает целым рядом недостатков по сравнению со структурой, в которой имеется- функциональный резерв.
Введение функционального резерва в виде рабочего изменения вылета груза переводит операцию передвижения крана из рабочей в установочную и приводит к резкому облегчению режима работы механизма перемещения. При этом уменьшается скорость передвижения, снижается мощность привода, уменьшается ускорение при разгоне и торможении и, следовательно, уменьшаются динамические нагрузки, повышаются работоспособность и надежность. Эффективность перемещения груза по горизонтали при использовании механизма изменения вылета значительно выше, чем при применении механизма передвижения крана, так как эквивалентная подвижная масса при изменении вылета значительно меньше, чем при передвижении крана. Функциональное резервирование в виде увеличения числа степеней подвижности вводится в универсальных антропоморфных манипуляторах для расширения их функциональных возможностей.
Структурное резервирование заключается в применении дополнительных элементов, не являющихся функционально необходимыми и используемых только для замены отказавших основных. При резервировании отказ объекта наступает только после отказа основного и всех резервных элементов. Это резервирование является эффективным методом повышения надежности объектов и позволяет уменьшить вероятность отказа на несколько порядков, а также создать системы, надежность которых выше надежности входящих в них элементов.
Структурное резервирование усложняет конструкцию объекта, увеличивает его массу, габаритные размеры, повышает стоимость. Поэтому его следует применять для наиболее ответственных элементов, отказ которых может привести к аварии или к тяжелым экономическим последствиям, или к недопустимому нарушению технологического и транспортного процесса. Структурное резервирование широко применяется в самых разнообразных объектах и, в частности, в ПТМ. Уровень резервирования может быть самым различным: детали, узлы, агрегаты, машины и даже комплексы машин.
В пассажирских и грузопассажирских лифтах кабины подвешиваются на нескольких канатах для повышения надежности, В ответственных узлах используются двойные и тройные уплотнения.
В транспортных машинах (в частности, в автомобилях) применяется двойная и даже тройная система тормозов. Двойная система тормозов используемся в механизмах подъема кранов, транспортирующих жидкий металл, в механизмах подъема тельфера. В пассажирских самолетах применяют два и более двигателя. В морских судах используют две силовые установки.
Количество эскалаторов на станциях метро, количество лифтов в административных и жилых зданиях выбирается с учетом возможности отказа и необходимости ремонта. При этом в часы пик могут работать все эскалаторы или лифты.
На производственных предприятиях дублируют даже уникальные станки и участки автоматических линий, в станках применяют запасные комплекты специальных инструментов, используют накопители. Применение запасных частей также можно рассматривать как вид структурного резервирования.
Структурное резервирование в ряде объектов обеспечивает сохранение работоспособности, но с пониженными показателями. Например, в механизмах подъема специальных грузоподъемных кранов механический привод дублируется ручным приводом, обеспечивающим функционирование, хотя с гораздо меньшей эффективностью. В некоторых системах резервные агрегаты и машины используются как рабочие в часы пик, например эскалаторы в метро, лифты в административных зданиях.
Возможности применения структурного резервирования на практике ограничиваются допустимыми значениями массы, объема, стоимости или других параметров резервируемого объекта. Поэтому приходится решать задачу оптимального структурного резервирования, имеющую два аспекта: или обеспечение максимального значения показателей надежности при заданном значении ограничивающего фактора, или обеспечение заданных значений показателей надежности при минимальном. значении ограничивающего фактора.
Уровень структурного резервирования может быть самым разным: различают общее и раздельное резервирования. Общим называется резервирование, при котором резервируется объект в целом (рис. 55, б, в). При раздельном резервируются отдельные элементы объекта (детали, узлы, блоки, агрегаты) (рис. 55, г, д). Используется также сочетание общего и раздельного резервированиясмешанное резервирование. Раздельное резервирование гораздо эффективнее общего, при этом эффективность повышается при снижении уровня резервирования, т. е. чем меньшая часть объекта резервируется как единое целое, тем больше вероятность безотказной работы объекта.
Постоянное структурное резервирование резервирование, при котором резервные элементы функционируют наравне с основными в течение всего времени работы и находятся в одинаковом с ними режиме. Постоянное резервирование часто применяется в ПТМ, например два тормоза в механизме подъема литейного крана, подвеска кабины лифта на нескольких канатах.

Вероятность отказа системы при постоянном резервировании определяется как вероятность отказа при параллельном соединении элементов по теореме умножения вероятностей независимых событий произведением вероятностей отказа ее элементов по формуле (33):

где п число параллельно соединенных элементов; Fi(t) вероятность отказа i-гo элемента системы.
При равнонадежных элементах, что обычно имеет место на практике, Ft(t)=F(t) и формула (165) примет вид

Из этой формулы видно, что параллельное соединение элементов является весьма эффективным средством повышения надежности объекта.
НАДЕЖНОСТЬ ПТМ В ЭКСПЛУАТАЦИИ
Важное значение в реализации и поддержании необходимого уровня надежности имеет эксплуатация. В эксплуатации должны в полном объеме выполняться установленные правила применения объекта, своевременно приниматься меры по изучению и устранению причин выявляемых неисправностей, анализироваться и обобщаться опыт использования объекта в реальных условиях. Эффективность восстановления работоспособного и исправного состояния определяется ремонтопригодностью объекта и принятой системой ремонта.
Надежность ПТМ в эксплуатации определяют многие факторы и организационно-технические мероприятия, к которым относятся: качество технического персонала, обеспечение номинальных условий работы, техническое обслуживание, техническое диагностирование, ремонт, единая система планово-предупредительного ремонта, агрегатный метод ремонта.
Качество технического персонала сильно влияет на надежность ПТМ в эксплуатации. Качество технического Персонала слагается из двух составляющих: квалификации и исполнительности.
Квалификация определяет подготовленность технического персонала к выполнению своих обязанностей. Управление и обслуживание ПТМ осуществляет специально подготовленный (обученный и аттестованный) технический персонал.
Исполнительность (дисциплинированность) определяет безошибочность выполнения необходимых действий по подготовке и использованию объекта. Исполнительность технического персонала зависит от многих индивидуальных свойств и особенностей человека, состояния его здоровья, а также от многих внешних эргономических факторов, всесторонний учет которых резко повышает производительность труда и надежность объекта в системе человек - объект - среда. К управлению „ обслуживанию ПТМ допускаются лица прошедшие медицинское освидетельствование для определения соответствия их. физического состояния выполняемой работе по занимаемой должности.
Обеспечение номинальных условий работы объекта при его эксплуатации является важным мероприятием по обеспечению его надежности. Как известно, параметр потока отказов остается постоянным лишь при неизменных условиях эксплуатации. Это означает для грузоподъемных кранов обслуживание одного и того же технологического процесса в промышленности, строительстве или на транспорте, для экскаваторов работу в мало изменяющихся грунтовых условиях, для автомобилей езду в сравнительно постоянных дорожных и в одинаковых климатических условиях.
Эксплуатация грузоподъемного крана в более тяжелом режиме работы, чем это предусмотрено его технической характеристикой, приводит к снижению его надежности, уменьшению срока службы, увеличению интенсивности отказов и уменьшению коэффициента готовности. Постоянное превышение массы груза на 1015 % сверх допустимой приводит к сокращению срока службы грузовых автомобилей почти на 55 %. Важным мероприятием по повышению надежности ПТМ является ограничение уровня действующих нагрузок.
Для многих ПТМ важным фактором является температура окружающей среды. Поэтому недопустимым является использование для работы в северных районах грузоподъемных кранов и других подъемно-транспортных машин, конструкция и материалы которых не рассчитаны для работы при низких температурах.
Техническое обслуживание выполняется для поддержания работоспособного состояния объекта при эксплуатации. Техническое обслуживание включает наблюдение за выполнением правил эксплуатации объекта, внешний уход за объектом, регулировочные работы, крепежные работы, устранение мелких дефектов, пополнение и замену масел, сезонное обслуживание. Работы по техническому обслуживанию выполняются ежесменно во время перерывов в работе без нарушения процесса производства. Пополнение и замену масел проводят по специальному графику.
Сезонное обслуживание включает выполнение работ, связанных с переходом к эксплуатации объекта на открытом воздухе (автокраны, погрузчики и т. д.), в летних и зимних условиях (замена топлива и смазочного материала, изменение плотности электролита в аккумуляторах, установка средств обогрева и утепления и т. д.).
Качество технического обслуживания оказывает решающее влияние на безотказную работу машин, а также на объем ремонтных работ, длительность простоя их в неработоспособном состоянии, расход запасных частей и эксплуатационных материалов.
Техническое диагностирование позволяет определить состояние объекта и его элементов без разборки. Оно базируется на изучении и использовании признаков, характеризующих техническое состояние объекта (шумы, вибрации, стуки, удары, биения, утечки жидкостей и газов, прогибы, зазоры, люфты, свободные ходы, задиры, вмятины, сколы и т. д.). Техническое диагностирование использует различные физические методы, на основе которых создаются средства для оценки технического состояния объекта.
Техническое диагностирование включает осмотры с целью проверки состояния оборудования и выявления объема работ, подлежащих выполнению при очередном ремонте, освидетельствование технического состояния оборудования, подконтрольного Госгортехнадзору. Оно позволяет полнее использовать межремонтный ресурс агрегатов, сократить расход запасных частей, снизить количество и трудоемкость регулировочных операций, предотвратить отказы выявлением дефектов, определяемых лишь при разборке объекта, и т. д.; повышает эффективность технического обслуживания, уменьшает количество ремонтов на 2030 % и сокращает трудовые затраты на 1520 % при их выполнении.
Ремонт выполняется для восстановления работоспособного и исправного состояния объекта. Эффективность ремонтных работ резко повышается применением агрегатного метода ремонта.
Ремонт может быть по потребности после появления отказа и предупредительным до появления постепенного отказа. Ремонт объекта по потребности после появления отказа связан с неожиданной вынужденной остановкой объекта в случайный момент времени в процессе -выполнения им производственных функций. Вынужденный простой влечет за собой материальные потери. Внезапная поломка одного элемента иногда вызывает поломку других элементов объекта, что приводит к дополнительным материальным потерям. Хотя ресурс отказавшего элемента объекта при этом исчерпывается полностью, но отказы объекта, дезорганизующие производство и мешающие его нормальному ритму, возникают часто, т. е. имеют высокую интенсивность. Предупредительный (профилактический) ремонт объекта до появления постепенного отказа не дезорганизует производство, так как может быть приурочен к перерывам в работе (ночное время, нерабочие дни и т. д.), почти полностью устраняет постепенные отказы объекта. Хотя ресурс многих элементов при предупредительном ремонте используется не полностью, его достоинства очевидны. Все это определило почти повсеместный переход на единую систему планово-предупредительного ремонта объектов взамен их ремонта после появления отказа.
Единая система планово-преду преди тельного ремонта основана на своевременной профилактической замене элементов до появления отказа в конце периода нормальной эксплуатации. Она является комплексом мероприятии по техническому обслуживанию и ремонту объекта для заданных условий эксплуатации, включает техническое обслуживание объекта, диагностирование технического состояния объекта и его элементов и ремонт, которые проводятся периодически после заранее установленнной наработки или срока службы с учетом назначения объекта, условий его эксплуатации, конструктивных и ремонтных особенностей.
Единая система планово-предупредительного ремонта предусматривает следующие виды: текущий (малый) Т, средний С и капитальный К в зависимости от объема работ, которые необходимо выполнить. Предусматривается также внеплановый ремонт объекта в случае аварии.
Все детали, подлежащие заменам при эксплуатации, разбиваются на группы с приблизительно одинаковыми сроками службы каждой группы. Продолжительность работы деталей в группе с наибольшим сроком службы, например со сроком службы от начала эксплуатации до капитального ремонта, должна быть кратной продолжительности работы деталей во всех группах с меньшими сроками службы. На рис. 56 показаны эасчетные сроки службы: Тр.т текущего (Г); Тр.е среднего (С) и Тр.к капитального (К) ремонтов.

Ресурс и срок службы является случайной величиной и прак-гически имеет большой разброс даже у одинаковых объектов, особенно при изменении условий эксплуатации. За расчетный срок Гр службы в каждой группе следует выбирать срок, определяемый принятой вероятностью безотказной работы (рис. 57,а, б).

Единая система планово-предупредительного ремонта позволяет осуществить предварительную подготовку ремонтных работ и выполнять их в кратчайшие сроки, повышает качество ремонтных работ, резко уменьшает вероятность отказа, почти полностью исключает постепенные отказы, увеличивает время полезной работы объекта, т. е. повышает его коэффициент готовности, создает предпосылки для наиболее эффективного использования оборудования.
Агрегатный метод ремонта позволяет достигнуть наибольшего сокращения времени ремонта объекта. Для его применения необходимо использование метода агрегатирования при компоновке объекта. Агрегатный метод ремонта заключается в замене неработоспособного или неисправного агрегата новым или отремонтированным.
Агрегатный метод сокращает -время выполнения ремонта, снижает трудовые затраты на ремонтные работы, снижает коэффициент простоя объекта, повышает коэффициент готовности объекта, создает условия для более полного использования ресурса каждого агрегата в связи с возможностью его замены при техническом обслуживании с учетом степени износа.
Демонтаж и монтаж агрегатов в хорошо выполненных конструкциях требует весьма небольших трудовых затрат и времени. Например, демонтаж навесного редуктора привода передвижения сводится всего лишь к расстопорению редуктора на валу ходового колеса с последующим снятием редуктора с вала. Монтаж производится в обратной последовательности. В этой конструкции пустотелый выходной вал редуктора надевается на вал ходового колеса, а крутящий момент передается шлице-вым соединением без соединительных муфт, поэтому отсутствует трудоемкая работа по выверке соосности валов.
Ремонт демонтированных агрегатов производится не на месте эксплуатации в неприспособленных условиях, а в хороших условиях специализированных цехов или мастерских, что резко повышает качество ремонта.
Повышение надежности. Пути повышения безотказности
Обеспечение работоспособности машин в межремонтный период - одна из важнейших задач ремонтного и эксплуатационного персонала.
Знание положений теории надежности позволяет находить пути решения этой задачи.
Как было установлено ранее наработки металлургических машин могут быть описаны экспоненциальным, нормальным, Вей-булла распределениями и соответственно определены показатели безотказности. Как известно, вероятность безотказной работы в момент t окончания межремонтного периода может быть найдена из следующих зависимостей для: экспоненциального распределения, нормального распределения, распределения Вейбулла
Анализ данных зависимостей показывает, что повышение вероятности безотказной работы достигается сокращением времени t межремонтного периода.
Этот путь повышения безотказности ведет к сокращению расходов на аварийные восстановления за счет снижения числа отказов и возрастанию затрат на плановые восстановления работоспособного состояния в связи с их увеличением.
Повышение безотказности за счет сокращения времени межремонтного периода требует экономического обоснования.
Снижение затрат на аварийные восстановления и повышение расходов на плановые восстановления при уменьшении межремонтного периода предполагает существование оптимального межремонтного периода, которому будет соответствовать минимум затрат и, следовательно, этот путь имеет ограничение.
Повышение средней наработки объекта является непростой технической задачей, для решения которой необходимо установить причину отказов и выработать пути их устранения.
Для установления причин отказов необходимо:
проанализировать характер нагружения и кинематику узлов, в которых происходят отказы;
проанализировать влияние внешних факторов окружающей среды;
- проанализировать соблюдение эксплуатационным и ремонтным персоналом правил технической эксплуатации (ПТЭ) оборудования;
установить вид повреждения;
изучить физику отказов.
При установлении причины отказа оборудования важную информацию несет характер повреждения детали.
Повышение средней наработки при установленной причине отказа основывается на конструктивных решениях, повышении прочностных характеристик материала, повышения износостойкости узлов трения, организационных мероприятиях.
Мероприятия по снижению величины среднеквадратичного отклонения связаны, в основном, с соблюдением технологического процесса производства деталей и материала для них, с ужесточением допусков в процессе их производства, с соблюдением ПТЭ оборудования и технологии ремонта машин.
Такими мероприятиями являются повышение квалификации эксплуатационного и ремонтного персонала и ужесточение требований за соблюдением технологической дисциплины на всех операциях процесса изготовления и эксплуатации машин.
Наиболее приемлемыми уровнями вероятности безотказной работы в межремонтный период с учетом экономической целесообразности являются для:
машин P(t)=0,8...0,9;
механизмов (узлов) P(t)=0,85...0,95;
- деталей P(t)=0,9...0,99.
Для металлургических машин межремонтный период узлов и деталей должен быть кратным межремонтному периоду машины.
3
ОСНОВНЫЕ ПОЛОЖЕНИЯ ТЕОРИИ НАДЕЖНОСТИ