Электроснабжение сетевого района Курскэнерго
МИНИСТЕРСТВО ОБРАЗОВАНИЯ И НАУКИ
РОССИЙСКОЙ ФЕДЕРАЦИИ
Федеральное государственное бюджетное образовательное учреждение высшего профессионального образования
«Чувашский государственный университет имени И.Н.Ульянова»
Факультет энергетики и электротехники
Кафедра электроснабжения промышленных предприятий
имени А.А.Фёдорова
Контрольная работа
по дисциплине:
«Электроэнергетические системы и сети»
Вариант №15
Выполнил: студент группы ЗЭЭ-11-12
Иванов Станислав Вячеславич
Руководитель проекта: к.т.н., доцент
Шестакова Л.А.
Чебоксары
2013
ОГЛАВЛЕНИЕ
Исходные данные для проектирования……………………………………………6
- Выбор графа, схемы и номинального напряжения проектируемой электрической сети………………………………………………………………7
- Выбор графа проектируемой сети……………………………….………..7
- Распределение по ЛЭП элекртической сети…………………….………..9
- Выбор номинального напряжения проектирумой сети………………12
- Баланс реактивной мощности………………………………………...…13
- Выбор схемы проектируемой электрической сети……………..…….17
- Выбор марки и сечения ЛЭП………………………………………..…..18
- Выбор номинальной мощности трансформаторов районных понизительных подстанций………………………………………….…..20
- Основные технико-экономические показатели проектируемой сети..22
- Расчёт затрат на сооружение проектирумой электрической сети……30
- Расчет основных нормальных и утяжелённых режимов рабочей сети……31
- Расчетная схема электрической сети……………………………………31
- Исходные данные к расчёту основных нормальных режимов максимальных и минимальных нагрузок сети……………….………..41
- Результаты расчета режимов работы проектируемой сети………….42
- Регулирование напряжения в электрической сети………………………….48
- Коэффициенты полезного действия электропередачи при нормальном режиме максимальных нагрузок……………………………………………..50
Выводы……………………………………………………………………………...52
Список использованной литературы…………………………………………….54
МИНИСТЕРСТВО ОБРАЗОВАНИЯ И НАУКИ
РОССИЙСКОЙ ФЕДЕРАЦИИ
Федеральное государственное бюджетное образовательное учреждение высшего профессионального образования
«Чувашский государственный университет имени И.Н.Ульянова»
Факультет энергетики и электротехники
Кафедра электроснабжения промышленных предприятий
имени А.А.Фёдорова
ЗАДАНИЕ
на курсовой проект по дисциплине
«Электроэнергетические системы и сети»
Студенту группы ЭЭ-21-11 Павлову Павлу Николаевичу
- Тема проекта: Электроснабжение сетевого района Курскэнерго
- Срок сдачи проекта: 05.12.2013
- Исходные данные к проекту: вариант №15
- Перечень подлежащих разработке вопросов.
- Выбор графа, схемы и номинального напряжения проектируемой электрической сети.
- Выбор графа проектируемой сети.
- Распределение мощностей по ЛЭП электрической сети для основного и утяжелённого режима.
- Выбор номинального напряжения электрической сети.
- Баланс реактивной мощности в сетевом районе.
- Выбор схемы проектируемой электрической сети.
- Выбор марки и площади сечения провода ЛЭП.
- Выбор номинальной мощности трансформаторов районных подстанций.
- Основные технико-экономические показатели проектируемой сети.
- Выбор графа, схемы и номинального напряжения проектируемой электрической сети.
- Расчет основных нормальных режимов работы сети.
- Расчетная схема электрической сети.
- Исходные данные к расчету режимов работы электрической системы на ЭВМ.
- Результаты расчета и анализ показателей режимов работы районной сети.
- Расчёт основного режима максимальных нагрузок методом последовательных приближений в два этапа одного из элементов электрической сети (по указанию руководителя проекта).
- Регулирование напряжения в электрической сети.
- Основные технико-экономические показатели спроектированной сети.
- Основные технико-экономические показатели сети.
- Коэффициенты полезного действия электропередачи при нормальном режиме максимальных нагрузок и среднегодовой.
- Срок сдачи проекта: 05.12.2013
- Графическая часть проекта.
- Схема электроснабжения и расчётная схема спроектированного сетевого района.
- Векторная диаграмма токов и напряжений основного режима максимальных нагрузок.
Дата выдачи задания: 12.09.2013 г.
Дата защиты проекта: 05.12.2013 г.
Подпись студента: ______________________________
Подпись руководителя проекта: _____________________
Исходные данные проектирования
Исходные данные для проектирования энергосистемы взяты из [1].
Таблица 1 Наименование энергосистемы и состав приемников электрической энергии по категориям надёжности в пунктах, коэффициент м попадания максимальных потерь мощности в максимум нагрузки энергосистемы
|
Сетевой район энергосистемы |
м |
Состав, %, приёмников электроэнергии в пунктах питания по категориям надёжности |
|||||||||||
|
1 |
2 |
3 |
4 |
||||||||||
|
I |
II |
III |
I |
II |
III |
I |
II |
III |
I |
II |
III |
||
|
Курскэнерго |
0,94 |
7 |
71 |
22 |
5 |
79 |
16 |
5 |
80 |
15 |
6 |
68 |
26 |
Таблица 2 Сведения о максимальных нагрузках, коэффициенте мощности, числе часов использования максимальной нагрузки на трансформаторных подстанциях сетевогых районов
|
Максимальная нагрузка в пункте, МВА |
Коэффициент мощности в пункте, о.е. |
Число часов использования максимальной нагрузки в пункте |
|||||||||
|
1 |
2 |
3 |
4 |
1 |
2 |
3 |
4 |
1 |
2 |
3 |
4 |
|
90 |
70 |
80 |
60 |
0,87 |
0,91 |
0,84 |
0,82 |
6400 |
5800 |
6100 |
5050 |
Таблица 3 Координаты, км, расположения пунктов питания и потребления электрической энергии
|
А |
В |
1 |
2 |
3 |
4 |
||||||
|
X |
Y |
X |
Y |
X |
Y |
X |
Y |
X |
Y |
X |
Y |
|
40 |
10 |
40 |
60 |
20 |
10 |
10 |
40 |
75 |
20 |
85 |
55 |
Таблица 4 Коэффициенты аварийной перегрузки силовых трансформаторов общего назначения
|
Коэффициент, о.е., аварийной перегрузки трансформаторов в пункте |
|||
|
1 |
2 |
3 |
4 |
|
1,1 |
1,3 |
1,5 |
1,3 |
Таблица 5 Номинальное напряжения распределительных сетей потребителей электроэнергии; средний коэффициент мощности генераторов станций; минимальная нагрузка в процентах от максимальной
|
Номинальное напряжение, кВ, распределительной сети потребителей в пунктах |
Средний коэффициент мощности генераторов, cos г |
Максимальная нагрузка, %, от максимальной |
|||
|
1 |
2 |
3 |
4 |
||
|
10 |
6 |
10 |
6 |
0,85 |
60 |
- Выбор графа, схемы и номинального напряжения проектируемой электрической сети
- Выбор графа проектируемой сети
Электрическая сеть представляет собой совокупность электроустановок для передачи и распределения электрической энергии, состоящей из подстанций, распределительных устройств, токопроводов, воздушных(ВЛ) и кабельных(КЛ) линий электропередачи(ЛЭП), работающих на определённой территории.
Разработаем и начертим граф проектируемо электрической сети (Рисунок 1.1.)
Рисунок 1.1. Граф проектируемой электрической сети.
Используя рекомендации проектных организаций, основанных на нормативных документах и опыте проектирования электрических сетей в современных условиях, примем длину ЛЭП с учётом коэффициента удлинения трасс. Коэффициент удлинения kуд=1,16. В результате получим:


Таблица 1.1. Длины линий с коэффициентом трансформации.
|
Линия |
Реальная длина ЛЭП электрической сети, км |
Реальная длина ЛЭП электрической сети, округлённая до целых, км |
|
А1 |
23,20 |
23,00 |
|
12 |
36,68 |
37,00 |
|
А2 |
49,21 |
49,00 |
|
В2 |
41,82 |
42,00 |
|
В3 |
61,65 |
62,00 |
|
34 |
42,23 |
42,00 |
|
В4 |
52,52 |
53,00 |
- Распределение мощностей по ЛЭП электрической сети.
Распределение активных мощностей нормального режима.
Распределение активных мощностей по ЛЭП определим упрощённо, считай сеть однородно, по методике.
Активная мощность в каждом пункте вычисляется по формуле:

где Pi активная мощность в i-ом пункте, МВт;
Si максимальная нагрузка в i-ом пункте, МВА;
- коэффициент мощности в i-ом пункте, о.е.
Таблица 1.2. Активная мощность подстанций
|
ПС |
Si, МВА |
, о.е. |
Pi, МВт |
Qi,МВАр |
|
1 |
90,00 |
0,87 |
78,30 |
44,37 |
|
2 |
70,00 |
0,91 |
63,70 |
29,02 |
|
3 |
80,00 |
0,84 |
67,20 |
43,41 |
|
4 |
60,00 |
0,82 |
49,20 |
34,34 |
В одной сети сопротивления отдельных участков ЛЭП эквивалентны их длинам.
Потребляемая активная мощность:

Мощность источников питания:


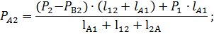
Рассмотрим тот случай, когда линия В2 одноцепная. Рассчитаем, хватит ли мощности питающих подстанций А и В при выходе из строя линии В2:
PА>Р3+Р4 условие для использования одноцепной линии.
I,II I,II
77,52 < 67,20 (0,05+0,80)+49,20 (0,06+0,68)
77,52 < 93,53, следовательно линия В2 двуцепная.
Вычислим активные мощности на головных участках ЛЭП. Для простой замкнутой цепи (Рисунок 1.2.) распределение мощностей рассчитаем в ветвях, подключённых к источнику питания В.
Рисунок 1.2. Распределение активных мощностей от источника В.




Проверим правильность вычисления активных мощностей участка ЛЭП:
PВ3+РВ4=Р3+Р4
57,27+59,13=67,20+49,20
116,40=116,40 (верно)
Р43=РВ4 - Р4=59,13 49,20 = 9,93 МВт.
Точкой потокораздела активной мощности является узел 3.
По линии В2 будет протекать мощность:

Рисунок 1.3. Распределение активных мощностей от источнока А.




Проверим правильность вычисления активных мощностей участка ЛЭП:




Таблица 1.3. мощности в ЛЭП в режмах максимальной нагрузки.
|
Режим |
Мощность линии между узлами, МВт |
||||||
|
А-1 |
2-1 |
А-2 |
В-2 |
В-3 |
4-3 |
В-4 |
|
|
Основной |
|
16,87 |
|
64,48/2 |
57,27 |
9,93 |
59,13 |
|
Утяжелённый (при отключ. линии) |
78,3 (1-2) |
78,3 (А-1) |
77,52 (А-1) |
64,48 |
116,4 (В-4) |
67,2 (В-3) |
116,4 (В-3) |
- Выбор номинального напряжения проектируемой сети.
Прежде чем приступить к расчёту реактивных мощностей, необходимо оценить значение номинального напряжения линий электропередачи. Обоснование номинального напряжения электропередачи является сложной задачей.
В общем случае выбор номинального напряжения районной сетипроизводится одновременно с выбором графа сети и схемы электрических соеденений на основе технико-экономических расчётов. Напряжение определяет параметры ЛЭП и электрооборудования подстанций и сетей, а, следовательно, размеры капиталовложений, расход цветного металла, потериэлектроэнергии и эксплуатационные расходы.в основном номинальное напряжение определяется передаваемой мощность. И длиной линии. Для предварительной оценки возможного номинального напряжения (кВ) электропередачи используем эмпирическую формулу Г.А. Илларионова:

где Рi передаваемая активная мощность по одной цепи ЛЭП, МВт;
Li длина ЛЭП, км.
Выбор номинального напряжения проектируемой сети:
Для одноцепных линий:

Таблица 1.4. Рациональное и номинальное напряжение ЛЭП.
|
ЛЭП |
Мощность основного режима, МВт |
Напряжеие, кВ |
||
|
Между узлами |
Длина, км |
Рациональное |
Номинальное |
|
|
А1 |
23,00 |
61,43 |
126,56 |
110 |
|
21 |
37,00 |
16,87 |
78,64 |
110 |
|
А2 |
49,00 |
16,09 |
77,71 |
110 |
|
В2 |
42,00 |
64,48/2 |
140,47 |
110 |
|
В3 |
62,00 |
57,27 |
139,05 |
220 |
|
34 |
42,00 |
9,93 |
61,59 |
220 |
|
4В |
53,00 |
59,13 |
139,06 |
220 |
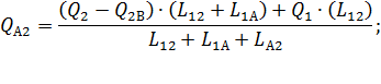
- Баланс реактивной мощности.
Реактивная мощность в каждом пункте вычисляется по формуле:

где Q реактивная мощность в соответствующем пункте, МВАр;
S полная мощность в соответствующем пункте, МВА;
Таблица 1.5. реактивная мощность подстанций.
|
ПС |
Si, МВА |
Qi, МВАр |
|
1 |
90,00 |
44,37 |
|
2 |
70,00 |
29,02 |
|
3 |
80,00 |
43,41 |
|
4 |
60,00 |
34,34 |
Потребляемая реактивная мощность:

Реактивные мощности источников питания:




Так как часть реактивной мощности экономически целесообразно вырабатывать децентрализованно, то условие баланса реактивной мощности может быть записано в следующем виду:

где QГ реактивная мощность, которая может быть получена от генераторов электростанций;
QКУ реактивная мощность компенсирующих устройств;
QC реактивная мощность, генерируемая ёмкостью линий электропередачи;
QМ реактивная мощность, одновременно потребляемая приёмниками электроэнергии, присоединёнными к подстанциям сетевого района;
QC потери реактивной мощности в элементах электрической сети.
Реактивная мощность, получаемая от генераторов электростанций, может быть найдена по формуле:
,
где PМ активная мощность, одновременно потребляемая в сетевом районе;
РС потери активной мощности в сети; в сетях с одной, двумя ступенями трансформации РС составляют 4-6% от полной передаваемой мощности в сети; угол сдвига между векторами тока и напряжения генераторов станций относительно шин высокого напряжения.
Активная мощность одновременно потребляемая в сетевом районе:

Потери активной мощности в сети рассчитываются следующим образом:


Средний коэффициент мощности генераторов . Следовательно,

Потери реактивной мощности в основной электрической сети ориентировочно можно рассчитать:

где полная мощность потребителей сетевого района; число ступеней трансформации в сетевом районе (рекомендуется принять равным 1);

Реактивная мощность, генерируемая линиями, условно принимается для одноцепных линий при напряжении 110 кВ, 12 при напряжении 220 кВ.




Из приведенного баланса реактивных мощностей находится мощность компенсирующих устройств:



Компенсирующие устройства распределяются по равенству средних значений коэффициентов мощности на подстанциях:


Мощность компенсирующих устройств на каждой подстанции:
Qкуi=Pмi(tgi tgc,ку),
где Рмi максимальное значение активной мощности потребителей i-ой подстанции; i угол сдвига фаз i-ой подстанции, соответствующий коэффициенту мощности i-го узла нагрузки в максимальном режиме.
Таблица 1.6. - Необходимая мощность компенсирующих устройств на подстанциях графа
|
№ П/С |
Pi, МВт |
tgi |
Qкуi |
|
1 |
78,30 |
0,67 |
16,44 |
|
2 |
63,70 |
0,57 |
7,01 |
|
3 |
67,20 |
0,67 |
14,11 |
|
4 |
49,20 |
0,43 |
-1,48 |
Вычислим реактивные мощности на головных участках ЛЭП. Для простой замкнутой сети (Рисунок 3) распределение мощностей рассчитываем в ветвях, подключенных к пункту 2.
Реактивная мощность, протекающая по ветви А-2 рассчитывается по формуле


Реактивная мощность, протекающая по ветви В2, рассчитывается по формуле:











Результаты расчётов записаны в таблице 1.6.
Таблица 1.7 Потокораспределение реактивных мощностей
|
Режим |
Мощность линии между узлами, МВАр |
||||||
|
А-1 |
2-1 |
А-2 |
В-2 |
В-3 |
4-3 |
В-4 |
|
|
Основной режим |
35,45 |
8,92 |
15,60 |
28,04/2 |
37,86 |
5,55 |
39,89 |
|
Утяжелённый (при отключ. линии) |
45,34 (А-2) |
44,37 (А-1) |
45,34 (А-1) |
28,04 (В-2) |
77,75 (В-4) |
43,41 (В-3) |
77,5 (В-3) |
- Выбор схемы проектируемой электрической сети
При разработке схемы электроснабжения сетевого района учитываются местоположение источников питания и районных понизительных подстанций, применяемые на данной территории номинальные напряжения, наиболее целесообразный граф (конфигурация) сети, число ступеней трансформации и схема электрических соединений подстанций, выбираемая на основе рекомендаций [5].
К схемам РУ электрических соединений любой электроустановки предъявляются следующие основные требования:
- Простота и надежность;
- Надежное электроснабжение потребителей в нормальном, ремонтном и утяжеленном (послеаварийном) режимах;
- Надежность транзита мощности через подстанцию в нормальном, ремонтном и послеаварийном режимах (за исключением тупиковых подстанций);
- Экономичность;
- Возможность поэтапного расширения распределительного устройства при увеличении числа присоединений к нему.
- Надежное электроснабжение потребителей в нормальном, ремонтном и утяжеленном (послеаварийном) режимах;
Схема распределительного устройства высшего напряжения подстанции определяется напряжением, типом подстанции, числом трансформаторов и количеством присоединяемых линий электропередачи.
- Выбор марки и сечения провода ЛЭП.
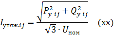
Для выбора сечения проводов ЛЭП по нагреву используется значение максимального тока утяжелённого режима:

Курскэнерго относится к четвертому району по гололеду. Рассчитаем токи утяжеленного режима для участка А 1:

Аналогично рассчитаем токи для остальных участков. Результаты расчётов записаны в таблице 1.7.
Таблица 1.8 Сведения о проводах ЛЭП проектируемой сети
|
ЛЭП |
Ток, А |
Площадь сечения, , по условию выбора |
Марка и площадь сечения выбранного провода |
||||
|
Между узлами |
Длина, км |
Число цепей |
утяж. режима |
длительно допуст. |
нагрева |
короны |
|
|
А-1 |
23,00 |
1 |
474,90 |
510,00 |
185/29 |
70/11 |
AC185/29 |
|
2-1 |
37,00 |
1 |
472,40 |
510,00 |
185/29 |
70/11 |
AC185/29 |
|
А-2 |
49,00 |
1 |
471,30 |
510,00 |
185/29 |
70/11 |
AC185/29 |
|
В-2 |
42,00 |
2 |
369,00 |
390,00 |
120/19 |
70/11 |
AC120/19 |
|
В-3 |
62,00 |
1 |
367,30 |
390,00 |
120/19 |
240/32 |
АС240/32 |
|
4-3 |
42,00 |
1 |
209,90 |
210,00 |
50/8 |
240/32 |
АС240/32 |
|
В-4 |
53,00 |
1 |
367,30 |
390,00 |
120/19 |
240/32 |
АС240/32 |
По таблице находим длительный допустимый ток для неизолированных сталеалюминевых проводов.
По условию потери энергии на корону сечения проводов ЛЭП должны быть не менее минимально допустимых значений. Для ЛЭП напряжением 220 кВ сечение провода должно быть не менее 240 мм2.Для ЛЭП напряжением 110 кВ сечение провода должно быть не менее 70 мм2.
По рисунку 2.5.5 /ПУЭ/ определяем, что Курскэнерго относится к 4 району по гололеду, где нормативная толщина стенки гололеда с повторяемостью 1 раз в 10 лет составляет 20 мм. В районах с толщиной стенки гололеда до 20 мм при площади сечения до 185 мм2 должно выдерживаться отношение алюминия к стали как 6,0…6,25, а при площади сечения 240 мм2 и более должно выдерживаться отношение алюминия к стали как 7.71…8.04.
- Выбор номинальной мощности трансформаторов районных понизительных подстанций.
Так как во всех пунктах питания есть электроприемники первой и второй категории, то на районных подстанциях требуется устанавливать не менее двух трансформаторов.
Устанавливаемые на районных подстанциях двухобмоточные трансформаторы должны иметь встроенные устройства регулирования напряжения под нагрузкой (РПН).
Номинальная мощность трансформатора выбирается из условия обеспечения нормального режима его работы с учетом перегрузочной способности. Коэффициенты аварийной перегрузки силовых трансформаторов даны в исходных данных.
Формулы, необходимые для нахождения мощности и коэффициента загрузки трансформаторов:

где и коэффициенты участия в суммарной нагрузке потребителей первой и второй категории i-ой подстанции; , так как установка компенсирующих устройств в сети не требуется.

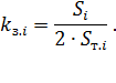
Расчет коэффициента загрузки производится по следующей формуле:

Для пункта 1 коэффициент загрузки:


Т.к. сеть выполнена на два номинальных напряжения, то нужно выбрать также и Понижающий автотрансформатор с 220кВ до 110 кВ. Выбираем автотрансформатор типа АТДЦТН-63000/220/110.
Аналогично выбираются трансформаторы и рассчитываются коэффициенты загрузки для остальных пунктов. Результаты расчётов записаны в таблице 1.8.
Таблица 1.9 Сведения о трансформаторах проектируемой ЛЭП
|
ПС |
Состав потребителей э/э в пунктах питания, % |
, |
, |
Тип трансформатора |
, о.е. |
||
|
I |
II |
III |
|||||
|
1 |
7 |
71 |
22 |
90,00 |
63,82 |
ТДН-80000/110 |
0,56 |
|
2 |
5 |
79 |
16 |
70,00 |
45,23 |
ТРДЦН-63000/110 |
0,56 |
|
3 |
5 |
80 |
15 |
80,00 |
45,33 |
ТРДЦН-63000/220 |
0,63 |
|
4 |
6 |
68 |
6 |
60,00 |
35,07 |
ТРДН-40000/220 |
0,75 |
- Основные технико-экономические показатели проектируемой сети.
Технико-экономические показатели складываются из инвестиций и расходов, необходимых для эксплуатации электрической сети.
Капитальные вложения на сооружение ЛЭП определяются по формуле:

где число воздушных линий электропередачи сетевого района; удельная стоимость 1 км воздушных ЛЭП с учётом климатический условий, тыс.р./км; территориальный поясной (укрупнённый зональный) коэффициент.
Удельная стоимость 1 км ВЛ-220 кВ на железобетонных опорах с одноцепной линией электропередачи равна 951,5 тыс.р./км, для 1 км ВЛ-110 кВ на железобетонных опорах с двухцепной линией 1320 тыс.р./км, для 1 км ВЛ-110 кВ на железобетонных опорах с одноцепной линией 841,50 тыс.р./км.
Капитальные вложения на сооружение ЛЭП для проектируемой электрической сети:

Капитальные вложении на сооружение ПС подсчитываются по формуле:

где , стоимость трансформаторов, ячеек ОРУ ВН с выключателями рассматриваемых классов напряжения районных ЛЭП; число трансформаторов, ячеек ОРУ ВН выключателями разных классов напряжений соответственно.
Расчётная стоимость трансформатора с РПН на напряжение 220 кВ мощность равна 9295 тыс.р. Расчётная стоимость трансформатора с РПН на напряжение 220 кВ мощность равна 10615 тыс.р. Расчётная стоимость трансформатора с РПН на напряжение 110 кВ мощность равна 7480 тыс.р. Расчётная стоимость трансформатора с РПН на напряжение 110 кВ мощность равна 8635 тыс.р. Расчётная стоимость автотрансформатора с РПН на напряжение 220 кВ мощность равна 11055 тыс.р.
Расчётная стоимость ячейки ОРУ-220 кВ с воздушным выключателем с током отключения более 40 кА равна 7150 тыс.р. Расчётная стоимость ячейки ОРУ-110 кВ с воздушным выключателем с током отключения более 40 кА равна 3135 тыс.р.
Капитальные вложения на сооружение подстанции:

Сумма капитальных вложений на сооружение электрической сети:

Ежегодные эксплуатационные расходы на электрическую сеть состоят из амортизационных отчислений , отчислений на обслуживание , и возмещение стоимости потерь электроэнергии в сети .

Амортизационные отчисления могут быть рассчитаны по формуле

где число ЛЭП и трансформаторных подстанций соответственно; нормы амортизационных отчислений на воздушные ЛЭП и трансформаторные подстанции в процентах от капитальных вложений.
Амортизационные отчисления для проектируемой сети:

Отчисления на обслуживание может быть рассчитано по формуле:

где нормы отчислений на обслуживание воздушных ЛЭП и трансформаторных подстанций.
Отчисления на обслуживание для проектируемой сети:

Для определения размеров отчисления на возмещение стоимости потерь необходимо знать значение потери электрической энергии в элементах электрической сети.
Для расчёта потери электроэнергии по методу наибольших потерь необходим расчёт времени использования максимальной активной мощности на ЛЭП. Для тупиковой линии принимается равным числу часов использования максимальной активной мощности питаемой подстанции.
Время использования максимальной активной мощности для участков 3-4 и 4-В одинаково и равно времени использования максимальной активной мощности в 4 пункте (5050 ч.), т.к. пункт 4 является точкой потокораздела мощности.
Формула для расчёта времени использования максимальной мощности для участка В-3:


Время наибольших потерь для участка В-3 рассчитывается по эмпирической формуле:


Удельные затраты на потери электроэнергии в ЛЭП определяются по рисунку 1.12. Для участка В-3, с учётом коэффициента индексации равным 400, удельные затраты равны .
Формула для расчёта потерь электроэнергии для участка В-3

Ток основного режима участка 2-5 вычисляется по формуле (хх)

тогда

Результаты расчётов записаны в таблице 1.10.
Таблица .10. - Нагрузочные (переменные) потери электроэнергии в ЛЭП проектируемой сети
|
ЛЭП между узлами |
Марка и площадь сечения провода |
Ток осн. Режима, А |
Сопротивление провода |
Время, ч |
Потери электроэнергии, МВт*ч |
Затраты на потери электроэнергии |
|||
|
r0, Ом/км |
r, Ом |
Использования PМ, ТМ.А |
Наибольших потерь |
Удельные р./кВт*ч |
Суммарные, тыс.р./год |
||||
|
А-1 |
AC185/29 |
353,55 |
0,162 |
4,207 |
6400,00 |
5113,18 |
2688,84 |
5,00 |
13444,24 |
|
1-2 |
AC185/29 |
118,84 |
0,162 |
5,638 |
6400,00 |
5113,18 |
407,14 |
5,00 |
2035,70 |
|
А-2 |
AC185/29 |
117,87 |
0,162 |
6,775 |
5942,82 |
4519,53 |
425,41 |
5,00 |
2127,05 |
|
2-В |
AC120/19 |
184,52 |
0,249 |
10,413 |
5800,00 |
4341,59 |
1539,26 |
9,00 |
1385,33 |
|
В-3 |
АС240/32 |
|
0,121 |
7,459 |
6100,00 |
4719,50 |
|
5,20 |
5800,55 |
|
3-4 |
АС240/32 |
28,82 |
0,121 |
5,786 |
6100,00 |
4719,50 |
22,68 |
5,20 |
86,63 |
|
4-В |
АС240/32 |
186,07 |
0,121 |
6,355 |
6100,00 |
4719,50 |
1038,40 |
5,20 |
3965,32 |
|
Всего |
28844,82 |
Удельные затраты на потери электроэнергии в силовых трансформаторах проектируемой сети определяются по рисунку 1.12. Для силового трансформатора ТДЦ-80000/110 в пункте 1 удельные затраты равны .
Условно-постоянные потери электроэнергии в трансформаторах рассчитываются по формуле

где потери холостого хода в трансформаторе, кВт.
Потери электроэнергии для трансформатора типа ТДЦ-80000/110 в пункте 1:

Суммарные затраты на удельно-постоянные потери электроэнергии рассчитываются по следующей формуле

тогда для трансформатора типа ТДЦ-80000/110:

Потери электроэнергии и суммарные затраты для остальных трансформаторов определяются аналогично. Результаты записаны в таблице 1.10.
Потери активной мощности в обмотках трансформатора рассчитываются по формуле

Потери активной мощности в обмотках трансформатора типа ТДЦ-80000/110 в пункте 1:

Нагрузочные потери электроэнергии рассчитываются по формуле

Время наибольших потерь для трансформатора типа ТДЦ-80000/110 в пункте 1:

Нагрузочные потери электроэнергии для трансформатора типа ТДЦ-80000/110 в пункте 1:

Удельные затраты на потери электроэнергии в силовых трансформаторах проектируемой сети определяются по рисунку 1.12 из []. Удельные затраты на потери электроэнергии для трансформатора типа ТДЦ-80000/110 в пункте 1, с учетом индексации равным 400,00, равны .
Суммарные затраты на нагрузочные потери электроэнергии рассчитываются по формуле

Суммарные затраты на нагрузочные потери для трансформатора типа ТРДН-40000/220 в пункте 1:

Потери активной мощности в обмотках, нагрузочные потери электроэнергии, время наибольших потерь, удельные затраты на потери электроэнергии и суммарные затраты на нагрузочные для других силовых трансформаторов определяются аналогично. Результаты записаны в таблице 1.11.
Сумма отчислений на возмещение стоимости потерь электроэнергии рассчитывается по формуле

Сумма отчислений на возмещение стоимости потерь электроэнергии для проектируемой сети:

Ежегодные эксплуатационные расходы на электрическую сеть

Таблица 1.11. Условно-постоянные потери электроэнергии, , в силовых трансформаторах проектируемой сети
|
Номер ПС |
Трансформатор |
Потери |
Затраты на потери электроэнергии |
|||
|
тип |
число |
мощности, |
электроэнергии, |
удельные, |
суммарные, |
|
|
1 |
ТДЦ-80000/110 |
2 |
70,00 |
|
5,000 |
|
|
2 |
ТРДЦН-63000/110 |
2 |
59,00 |
208,45 |
5,000 |
1042,25 |
|
3 |
ТРДЦН-63000/220 |
2 |
82,000 |
222,01 |
5,000 |
1110,05 |
|
4 |
ТРДН-40000/220 |
2 |
50,000 |
125,80 |
5,000 |
629,00 |
|
5 |
АТДЦТН-63000/220/110 |
2 |
45,000 |
146,36 |
9,000 |
1317,24 |
|
Всего |
5341,29 |
- Расчёт затрат на сооружение проектирумой электрической сети.
На основе полученных капитальных вложений и ежегодных эксплуатационных расходов рассчитаем приведенные (расчетные) затраты для каждого из намеченных вариантов электрической сети по формуле:

где и капитальные вложения и ежегодные (текущие затраты)
-го варианта электрической сети.

Таблица 1.12. Капитальные вложения электрической сети, тыс.р
|
Капитальные вложения, тыс.р., на сооружение |
|||
|
ЛЭП |
ячеек |
трансформаторов |
сети |
|
|
218130,00 |
94160,00 |
677897,00 |
Таблица 1.13. Амортизационные отчисления и отчисления на обслуживание
|
Ежегодные эксплуатационные затраты, тыс.р./год, на элементы электрической сети |
||
|
ЛЭП |
Ячеек и трансформаторов |
Сети |
|
35458,97 |
|
|
Таблица 1.14. Затраты на сооружение и эксплуатацию
|
Годовые потери эл. энергии, |
Стоимость потерь эл. энергии, тыс.р |
Капитальные вложения сети, тыс.р |
Ежегодные эксплуатационные затраты, тыс.р./год |
Расчётные затраты, тыс.р./год |
|
1161,85 |
|
|
|
|
- РАСЧЕТ ПАРАМЕТРОВ СХЕМЫ ЗАМЕЩЕНИЯ ЭЛЕКТРИЧЕСКОЙ СЕТИ.
- Расчетная схема электрической сети.
К параметрам схемы замещения ЛЭП относятся активные и индуктивные сопротивления, активные и емкостные проводимости, равномерно распределенные по всей длине линии.
Рис.2.1. Расчетная схема замещения ЛЭП
Активные и индуктивные сопротивления вычисляются по расчетным удельным сопротивлениям проводов на единицу длины ЛЭП:

где удельное сопротивление провода, Ом/км, при температуре провода +20 °С; длина линии, км.

где удельное реактивное сопротивление провода, Ом/км.
Удельное индуктивное сопротивление можно рассчитать по формуле:

где радиус провода, м; относительная магнитная проницаемость материала провода; среднегеометрическое расстояние между фазами, м.
Ёмкостная проводимость линии, обусловленная емкостями между проводами, проводами и землей, рассчитывается по формуле:

де удельная ёмкостная проводимость, См/км.
Удельная ёмкостная проводимость рассчитывается по формуле:

где радиус провода, см; среднегеометрическое расстояние между фазами, м.
Среднегеометрическое расстояние между фазами рассчитывается по следующей формуле:

где расстояние между проводами соответственно фаз , , .
Значения и находятся в зависимости от конструктивных параметров различных типов опор. При симметричном расположении проводов одноцепных линий на двуцепных опорах удельное индуктивное сопротивление на 1 км линии мало отличается от сопротивления одноцепной линии, и поэтому среднегеометрическое расстояние для двуцепных ЛЭП можно определить по этой же формуле.
Значения находятся в зависимости от конструктивных параметров опор.
Выбираем опоры в соответствии с номинальным напряжением по [3,табл.8.22].
Для одноцепных линий 220 кВ выбираем железобетонные опоры ПБ 220-1 (Рисунок А).
Для одноцепных линий 110 кВ выбираем железобетонные опоры ПБ 110-1 (Рисунок В).
Для двуцепных линий 110 кВ выбираем железобетонные опоры ПБ 110-2 (Рисунок С).



Рисунок А Рисунок В Рисунок С
Для унифицированной промежуточной бетонной опоры ПБ220-1:



Среднегеометрическое расстояние между проводами фаз одной цепи:

Для унифицированной промежуточной бетонной опоры ПБ110-1:



Среднегеометрическое расстояние между проводами фаз одной цепи:

Для унифицированной промежуточной бетонной опоры ПБ110-2:



Среднегеометрическое расстояние между проводами фаз одной цепи:

При монтаже провода воздушных линий на двухцепных опорах потокосцепление каждого провода определяется токами обоих цепей. При симметричном расположении проводов линий на двухцепных опорах удельное индуктивное сопротивление на 1 км линии мало отличается от сопротивления одноцепной линии, и поэтому среднегеометрическое расстояние для двухцепной унифицированной промежуточной бетонной опоры ПБ110-1 можно рассчитать аналогично по формуле (2.). Результаты расчётов записаны в таблице 2.1.
Таблица 2.1 Геометрические параметры опор
|
Опора |
, м |
, м |
, м |
, м |
|
ПБ220-1 |
7,85 |
5,85 |
7,60 |
7,04 |
|
ПБ110-1 |
3,35 |
6,26 |
5,50 |
4,87 |
|
ПБ110-2 |
3,35 |
6,00 |
3,35 |
4,07 |
Удельное активное сопротивление провода марки АС185/29 согласно таблице 1.2 в [1] равно .
Удельное индуктивное сопротивление провода марки АС185/29 согласно формуле (2.):

Удельная ёмкостная проводимость провода марки АС185/29 согласно формуле (2.):

Удельные параметры для провода марки АС240/32 и АС120/19 рассчитываются аналогично. Результаты расчётов записаны в таблице 2.2.
Таблица 2.2. Удельные параметры проводов
|
Провод |
|
|
|
|
АС185/29 |
0,162 |
|
|
|
АС240/32 |
0,121 |
0,408 |
2,790 |
Активное и реактивное сопротивления продольной ветви участка А-1:


Реактивная проводимость поперечных ветвей участка B-1:

Генерируемая линией реактивная мощность рассчитывается по формуле:

Зарядная мощность линии в максимальном режиме :

Зарядная мощность линии в максимальном режиме :

Потери активной мощности:

Параметры схемы замещения остальных участков системы рассчитываются аналогично. Результаты расчетов запишем в таблицу 2.1.
Таблица 2.3. - Параметры схемы замещении ЛЭП
|
Участок ЛЭП |
R, Ом |
Xуд, Ом/км |
Хл, Ом |
b0·10-6, См |
b·10-6, См |
Qc,max, МВАр |
Qc,min, МВАр |
, МВт |
|
А-1 |
4,212 |
0,4079 |
10,605 |
2,792 |
72,59 |
1,062 |
0,878 |
0,007 |
|
2-1 |
5,670 |
0,4079 |
14,276 |
2,792 |
97,72 |
1,430 |
1,182 |
0,010 |
|
А-2 |
6,804 |
0,4079 |
17,132 |
2,792 |
117,26 |
1,716 |
1,419 |
0,012 |
|
В-2 |
5,229 |
0,4100 |
8,610 |
2,778 |
233,33 |
3,416 |
2,823 |
0,022 |
|
В-3 |
7,502 |
0,4223 |
26,183 |
2,693 |
166,97 |
9,778 |
8,072 |
0,186 |
|
4-3 |
5,808 |
0,4223 |
20,270 |
2,693 |
129,26 |
7,394 |
6,256 |
0,144 |
|
В-4 |
6,413 |
0,4223 |
22,382 |
2,693 |
142,68 |
8,356 |
6,906 |
0,159 |
Расчет параметров схемы замещения трансформаторов
В исходных данных на курсовое проектирование отсутствуют варианты подстанций с различными значениями вторичных напряжений, поэтому используются в основном двухобмоточные трансформаторы. Для упрощения расчетов в схеме замещения двухобмоточных трансформаторов проводимости предлагается заменить мощностью, измеряемой заводом - изготовителем при опыте ХХ, т.е. рекомендуется схема замещения трансформаторов с отбором мощности, называемая расчетной (рис. 2.2.)
Рисунок 2.2. Расчётная схема замещения





где потери активной мощности в обмотках трансформатора при опыте короткого замыкания между обмотками ВННН; напряжение опыта короткого замыкания, %; ток холостого хода, %; номинальная мощность трансформатора; номинальное напряжение обмотки высшего напряжения; потери комплексной мощности в магнитопроводе (стали) трансформатора.
Параметры расчётной схемы замещения для силового трёхфазного двухобмоточного трансформатора типа ТРДЦН-63000/220:





Таблица 2.4. - Параметры схемы замещения силовых трансформаторов
|
ПС |
Трансформатор |
Uвн, кВ |
Uнн, кВ |
UК,% |
, кВт |
, кВт |
IХ, % |
Rт, Ом |
Хт,Ом |
МВАр |
,rкВА |
Kт |
|
1 |
ТДЦ-80000/110 |
121 |
10,5 |
10,5 |
310 |
70 |
0,6 |
0,354 |
9,608 |
0,480 |
0,140+j0,96 |
11,523 |
|
2 |
ТРДЦН-63000/110 |
115 |
6,3 |
10,5 |
260 |
59 |
0,6 |
0,433 |
11,021 |
0,378 |
0,118+j0,756 |
18,254 |
|
3 |
ТРДЦН-63000/220 |
230 |
11 |
12 |
300 |
82 |
0,8 |
1,999 |
50,381 |
0,504 |
0,164+j1,008 |
20,909 |
|
4 |
ТРДН-40000/220 |
230 |
6,6 |
12 |
170 |
50 |
0,9 |
2,810 |
79,350 |
0,360 |
0,1+j0,72 |
34,848 |
РАСЧЕТ ОСНОВНЫХ НОРМАЛЬНЫХ РЕЖИМОВ РАБОТЫ СЕТИ
Расчет основного режима работы электропередачи, максимальных и минимальных нагрузок, а также утяжеленных режимов работы, приводящих к передаче наибольших мощностей по электрической сети, выполняем на ЭВМ по программе REGIM. Основной режим максимальных нагрузок предлагается рассчитать для случая, когда на шинах ВН источника питания поддерживается напряжение, превышающее номинальное значение напряжения сети на 10 %, и известна максимальная нагрузка на шинах низшего напряжения трансформаторных подстанций (в конце сети). Нагрузка в конце сети относительно обмоток НН трансформаторов должна быть определена с учетом мощности компенсирующих устройств.
Методика расчета режима минимальных нагрузок аналогична рекомендуемой методике расчета режима максимальных нагрузок сети. При расчете минимального режима следует принять мощности нагрузок в соответствии с исходными данными к заданию, т. е. 60 %, а напряжения на шинах ВН источника питания равными номинальному.
Расчет режимов работы системы выполним по стандартной программе REGIM. Исходные данные подготовим в соответствие со схемой замещения проектируемой электрической сети.
Узлы схемы замещения это шины разных напряжений подстанций и точки отпаек ЛЭП. Все узлы расчетной схемы замещения нумеруются в возрастающем порядке. Последний номер присваивается балансирующему узлу. В качестве балансирующего узла рекомендуется выбирать шины ВН большего из источников питания.
В первой строке файла исходных данных даются сведения о числе ветвей и узлов без балансирующего, напряжение в балансирующем узле (кВ) и точность расчета.
Расчетная схема составляется из ветвей линий и ветвей трансформаторов. Ветви кодируются номерами узлов, между которыми они включены. К параметрам ветвей относятся активные и индуктивные сопротивления, коэффициент трансформации. Коэффициент трансформации для ветви линии равен единице. При задании ветви трансформатора узлом начала является узел, к которому подключен идеальный трансформатор.
К параметрам узлов относятся активные и реактивные мощности. Мощности нагрузок задаются со знаком минус, генерируемые мощности со знаком плюс. Зарядные мощности ЛЭП и потери мощности в стали трансформатора должны быть учтены в мощностях узлов подключения проводимостей с соответствующими знаками.
- Исходные данные к расчету основных нормальных режимов максимальной и минимальной нагрузок
Основной режим максимальных нагрузок
Основной режим минимальных нагрузок
- Результаыт расчета и анализ показателей режимов работы районной сети.
Исходные данные к расчету максимальных нагрузок основного режима.
11 9 242.000 0.001 Ветви , узлы , Uc , точность.
5 2 6.804 17.132 1.000 Ветвь : конец и начало, R,X,Kт.
5 1 4.212 10.605 1.000 Ветвь : конец и начало, R,X,Kт.
2 1 5.670 14.276 1.000 Ветвь : конец и начало, R,X,Kт.
210 8.095 100.875 1.901 Ветвь : конец и начало, R,X,Kт.
10 4 6.413 22.382 1.000 Ветвь : конец и начало, R,X,Kт.
10 3 7.502 26.183 1.000 Ветвь : конец и начало, R,X,Kт.
4 3 5.808 20.270 1.000 Ветвь : конец и начало, R,X,Kт.
6 1 0.354 9.608 11.523 Ветвь : конец и начало, R,X,Kт.
7 2 0.433 11.021 18.254 Ветвь : конец и начало, R,X,Kт.
8 3 1.999 50.381 20.909 Ветвь : конец и начало, R,X,Kт.
9 4 2.810 79.350 34.848 Ветвь : конец и начало, R,X,Kт.
1 -0.146 0.286 Узел : мощности P и Q.
2 -0.140 2.525 Узел : мощности P и Q.
3 -0.329 7.578 Узел : мощности P и Q.
4 -0.252 7.155 Узел : мощности P и Q.
5 77.511 46.729 Узел : мощности P и Q.
6 -78.300 -44.370 Узел : мощности P и Q.
7 -63.700 -29.020 Узел : мощности P и Q.
8 -67.200 -43.410 Узел : мощности P и Q.
9 -49.200 -34.340 Узел : мощности P и Q.
ТАБЛИЦА 1.Мощности и напряжения в узлах при основном режиме максимальных нагрузок
--------------------------------------------------------------------------------
I АКТИВНAЯ I РЕАКТИВНАЯ I ДЕЙСТВИТ. IМНИМ. ЧАСТЬ I ДЕЙСТВУЮЩ.
НОМЕР I МОЩН.УЗЛА I МОЩН.УЗЛА I ЧАСТЬ НАПРЯЖ I НАПРЯЖЕНИЯ I ЗНАЧЕНИЕ
УЗЛА I МВТ I МВАР I КВ I КВ I НАПР,КВ
--------------------------------------------------------------------------------
1 I -.1460 I 0.2860 I 111.2 I -15.43 I 112.3
2 I -.1400 I 2.525 I 114.6 I -14.16 I 115.5
3 I -.3290 I 7.578 I 236.0 I -4.499 I 236.0
4 I -.2520 I 7.155 I 236.7 I -4.149 I 236.7
5 I 77.51 I 46.73 I 117.1 I -12.35 I 117.8
6 I -78.30 I -44.37 I 9.180 I -1.849 I 10.365
7 I -63.70 I -29.02 I 6.052 I -1.078 I 6.147
8 I -67.20 I -43.41 I 10.74 I -.8743 I 10.77
9 I -49.20 I -34.34 I 6.382 I -.5739 I 6.407
ТАБЛИЦА 2.Мощности и потери мощности в сопротивлениях при основном режиме максимальных нагрузок
------------------------------------------------------------------------------------------------------
I АКТИВНАЯ I РЕАКТИВНАЯ I АКТИВ НАЯ I РЕАКТИВНАЯ I ПОТЕРИ I ПОТЕРИ
BЕТВЬ I МОЩНОСТЬ I МОЩНОСТЬ I МОЩНОСТЬ I МОЩН. I АКТИВНОЙ I РЕАКТИВНОЙ
I МВТ I МВАР I МВТ I МВАР I МОЩНОСТИ I МОЩНОСТИ
IJ I IJ I IJ I JI I JI I МВТ I МВАР
------------------------------------------------------------------------------------------------------
5 2 I 19.06 I 8.420 I -18.85 I -7.883 I 0.2131 I 0.5366
5 1 I 58.43 I 38.19 I -56.95 I -34.46 I 1.480 I 3.726
2 1 I 22.05 I 16.91 I -21.73 I -16.08 I 0.3284 I 0.8269
2 10 I -67.19 I -39.68 I 68.22 I 52.43 I 1.023 I 12.75
10 4 I 61.43 I 39.98 I -60.84 I -37.93 I 0.5883 I 2.053
10 3 I 57.23 I 39.38 I -56.61 I -37.22 I 0.6182 I 2.158
4 3 I 11.19 I 5.015 I -11.17 I -4.961 I 0.1558E-01 I 0.5436E-01
6 1 I -78.28 I -44.16 I 78.53 I 50.83 I 0.2456 I 6.666
7 2 I -63.68 I -28.90 I 63.85 I 33.18 I 0.1682 I 4.281
8 3 I -67.20 I -43.41 I 67.45 I 49.76 I 0.2521 I 6.355
9 4 I -49.20 I -34.34 I 49.40 I 40.07 I 0.2029 I 5.729
ТАБЛИЦА 3.Суммарные нагрузочные потери мощности при основном режиме максимальных нагрузок
----------------------------------------
СУММАРНЫЕ ПОТЕРИ I СУММАРНЫЕ ПОТЕРИ
АКТИВНОЙ I РЕАКТИВНОЙ
МОЩНОСТИ I МОЩНОСТИ
МВТ I МВАР
----------------------------------------
5.135 I 45.13
Исходные данные к расчету минимальных нагрузок основного режима.
11 9 220.000 0.001 Ветви , узлы , Uc , точность.
5 2 6.804 17.132 1.000 Ветвь : конец и начало, R,X,Kт.
5 1 4.212 10.605 1.000 Ветвь : конец и начало, R,X,Kт.
2 1 5.670 14.276 1.000 Ветвь : конец и начало, R,X,Kт.
210 8.095 100.875 1.901 Ветвь : конец и начало, R,X,Kт.
10 4 6.413 22.382 1.000 Ветвь : конец и начало, R,X,Kт.
10 3 7.502 26.183 1.000 Ветвь : конец и начало, R,X,Kт.
4 3 5.808 20.270 1.000 Ветвь : конец и начало, R,X,Kт.
6 1 0.354 9.608 11.523 Ветвь : конец и начало, R,X,Kт.
7 2 0.433 11.021 18.254 Ветвь : конец и начало, R,X,Kт.
8 3 1.999 50.381 20.909 Ветвь : конец и начало, R,X,Kт.
9 4 2.810 79.350 34.848 Ветвь : конец и начало, R,X,Kт.
1 -0.146 0.070 Узел : мощности P и Q.
2 -0.140 1.955 Узел : мощности P и Q.
3 -0.329 6.156 Узел : мощности P и Q.
4 -0.252 5.861 Узел : мощности P и Q.
5 46.503 28.352 Узел : мощности P и Q.
6 -46.980 -26.622 Узел : мощности P и Q.
7 -38.220 -17.412 Узел : мощности P и Q.
8 -40.320 -26.046 Узел : мощности P и Q.
9 -29.520 -20.604 Узел : мощности P и Q.
ТАБЛИЦА 1.Мощности и напряжения в узлах при основном режиме минимальных нагрузок
--------------------------------------------------------------------------------
I АКТИВНAЯ I РЕАКТИВНАЯ I ДЕЙСТВИТ. IМНИМ. ЧАСТЬ I ДЕЙСТВУЮЩ.
НОМЕР I МОЩН.УЗЛА I МОЩН.УЗЛА I ЧАСТЬ НАПРЯЖ I НАПРЯЖЕНИЯ I ЗНАЧЕНИЕ
УЗЛА I МВТ I МВАР I КВ I КВ I НАПР,КВ
--------------------------------------------------------------------------------
1 I -.1460 I 0.7000E-01 I 107.2 I -10.24 I 107.7
2 I -.1400 I 1.955 I 109.0 I -9.347 I 109.4
3 I -.3290 I 6.156 I 216.4 I -2.898 I 216.4
4 I -.2520 I 5.861 I 216.8 I -2.747 I 216.8
5 I 46.50 I 28.35 I 110.8 I -8.252 I 111.1
6 I -46.98 I -26.62 I 9.029 I -1.222 I 10.11
7 I -38.22 I -17.41 I 5.843 I -.7091 I 5.885
8 I -40.32 I -26.05 I 10.01 I -.5724 I 10.02
9 I -29.52 I -20.60 I 5.966 I -.3783 I 5.978
ТАБЛИЦА 2.Мощности и потери мощности в сопротивлениях при основном режиме минимальных нагрузок
------------------------------------------------------------------------------------------------------
I АКТИВНАЯ I РЕАКТИВНАЯ I АКТИВ НАЯ I РЕАКТИВНАЯ I ПОТЕРИ I ПОТЕРИ
BЕТВЬ I МОЩНОСТЬ I МОЩНОСТЬ I МОЩНОСТЬ I МОЩН. I АКТИВНОЙ I РЕАКТИВНОЙ
I МВТ I МВАР I МВТ I МВАР I МОЩНОСТИ I МОЩНОСТИ
IJ I IJ I IJ I JI I JI I МВТ I МВАР
------------------------------------------------------------------------------------------------------
5 2 I 11.73 I 6.024 I -11.63 I -5.783 I 0.9583E-01 I 0.2413
5 1 I 34.74 I 22.31 I -34.15 I -20.84 I 0.5818 I 1.465
2 1 I 13.11 I 8.502 I -13.00 I -8.211 I 0.1156 I 0.2911
2 10 I -39.87 I -19.84 I 40.24 I 24.46 I 0.3709 I 4.622
10 4 I 37.17 I 20.63 I -36.93 I -19.79 I 0.2395 I 0.8358
10 3 I 33.93 I 20.73 I -33.68 I -19.87 I 0.2450 I 0.8551
4 3 I 7.078 I 2.683 I -7.071 I -2.658 I 0.7077E-02 I 0.2470E-01
6 1 I -46.91 I -26.59 I 47.01 I 29.12 I 0.9339E-01 I 2.535
7 2 I -38.18 I -17.39 I 38.24 I 19.07 I 0.6603E-01 I 1.681
8 3 I -40.32 I -26.05 I 40.42 I 28.69 I 0.1049 I 2.643
9 4 I -29.52 I -20.60 I 29.60 I 22.97 I 0.8391E-01 I 2.369
ТАБЛИЦА 3.Суммарные нагрузочные потери мощности при основном режиме минимальных нагрузок
----------------------------------------
СУММАРНЫЕ ПОТЕРИ I СУММАРНЫЕ ПОТЕРИ
АКТИВНОЙ I РЕАКТИВНОЙ
МОЩНОСТИ I МОЩНОСТИ
МВТ I МВАР
----------------------------------------
2.004 I 17.56
2.4. Расчет основного режима максимальных нагрузок методом последовательных приближений в два этапа двух параллельно соединенных трансформаторов на ПС 4
Трансформатор ТРДН 40000/220 (4-9):
Sx = 0,1 + j0,72МВА;
S9 = 49,2+ j34,34 МВА;
U4 = 236,7 кВ;
R = 2,810 Ом; Х = 79,350 Ом.
S4 U4 R jX U9 S9
S49 S``49
Sx
Рисунок 2.3. Расчетная схема ветви 1-7
Совмещаем с осью действительных чисел заданное напряжение на вводах НН трансформатора.
Первый этап - расчет мощностей в ветвях при номинальном напряжении сети.
1.Мощность подходящая к шинам НН будет равна:
2.Нагрузочные потери мощности в ветви будут равны:
3.Мощность поступающая в обмотки ВН трансформатора
Мощность будет равна:
Потери мощности в трансформаторе определяются:
Второй этап: расчет напряжения в узле 4 по мощностям первого этапа.
Падение напряжения в обмотках трансформатора будут равны:
Напряжение в узле 9 будет равно:
Абсолютные потери напряжения в обмотках трансформатора:
кВ
Относительные потери напряжения:
Определим значения токов:
Ток намагничивания стали магнитопровода:
В соответствии с первым законом Кирхгофа для узла 4 ток в обмотке ВН трансформатора:
Ток в обмотке НН трансформатора:
А
Векторная диаграмма токов и напряжений представлена в графической части проекта.
- регулирование напряжения в электрической сети
В основном режиме работы сети необходимо обеспечить поддержание напряжения на шинах низшего напряжения трансформаторных подстанций в пределах Это достигается выбором ответвлений трансформаторов. Требуемое желаемое напряжение ответвление обмотки высшего напряжения трансформатора находится по формуле

где напряжение на низшей стороне трансформатора, приведённое к высшей; напряжение на шинах низшего напряжения трансформаторной подстанции, которое необходимо поддержать при данном режиме.
По желаемому напряжению ответвления выбирается ближайший номер стандартного ответвления трансформатора и рассчитывается действительное напряжение на шинах низшего напряжения подстанции:

где стандартное напряжение регулировочного ответвления обмотки высшего напряжения трансформатора; напряжение ступени регулирования в процентах от номинального напряжения обмотки ВН.
Основной максимальный режим:
Для пункта 1:




Для остальных подстанций желаемое напряжение, ближайший номер стандартного ответвления и действительное напряжение на шинах низшего напряжения трансформатора рассчитывается аналогично. Для основного режима минимальных нагрузок желаемые напряжения рассчитываются аналогично. Результаты записаны в таблицах 2.13 и 2.14.
Таблица 3.1. Напряжения основного режима максимальных нагрузок
|
Пункт |
|
|
|
|
|
|
|
|
1 |
10,500 |
10,500 |
119,444 |
119,444 |
-1 |
117,975 |
10,630 |
|
2 |
6,300 |
6,300 |
112,207 |
112,207 |
-1 |
112,953 |
6,258 |
|
3 |
10,500 |
11,000 |
225,190 |
235,914 |
2 |
236,900 |
10,456 |
|
4 |
6,300 |
6,600 |
223,274 |
233,906 |
1 |
233,450 |
6,312 |
Таблица 3.2. Напряжения основного режима минимальных нагрузок
|
Пункт |
|
|
|
|
|
|
|
|
1 |
10,500 |
10,500 |
116,517 |
116,517 |
-1 |
117,975 |
10,370 |
|
2 |
6,300 |
6,300 |
107,425 |
107,425 |
-4 |
106,812 |
6,336 |
|
3 |
10,500 |
11,000 |
209,509 |
219,486 |
-3 |
219,650 |
10,492 |
|
4 |
6,300 |
6,600 |
208,324 |
218,244 |
-3 |
219,650 |
6,259 |
- основные технико-экономические показатели спроектированной сети
Коэффициенты полезного действия электропередачи в основном режиме максимальных нагрузок и среднегодовой
КПД в основном режиме максимальных нагрузок

где МВт; суммарные потери мощности в элементах сети.
Суммарные потери мощности в элементах сети вычисляются по формуле

где суммарные переменные (нагрузочные) потери активной мощности в воздушных линиях электропередачи и силовых трансформаторах общего назначения; суммарные условно-постоянные потери активной мощности (потери холостого хода) в трансформаторах; потери активной мощности на погодные условия.

Для спроектированной сети КПД в основном режиме максимальных нагрузок:

Среднегодовой КПД определяется по отношению переданной энергии потребителям к электроэнергии, отпущенной с РУ НН источника, %

где полезно отпущенная потребителям электроэнергия за год, суммарные годовые потери электроэнергии в элементах спроектированной сети.
Полезно отпущенная потребителям электроэнергия рассчитывается по формуле

Для спроектированной сети:

Суммарные годовые потери электроэнергии в элементах спроектированной сети рассчитываются по формуле

где время наибольших потерь в проводах ВЛ и обмотках трансформаторов (ветвей между узлами и ); удельные годовые потери электроэнергии, зависящие от погодных условий; число ВЛ 35 330 кВ в спроектированном сетевом районе; число трёхфазных силовых трансформаторов общего назначения.
Выводы
- Проектируемая сеть (Курскэнерго) располагается на территории Кемеровской области, которая относится к IV району по гололеду и к 4 региону по погодным условиям.
- Спроектированная районная электрическая сеть имеет номинальные напряжения 220 кВ и 110 кВ.
- Районная электрическая сеть имеет 2 источника электрической энергии и они обеспечивают электрической энергией четыре понизительных подстанций, на которых установлены трехфазные двухобмоточные трансформаторы общего назначения типа ТРДЦН63000/110, ТДЦ-80000/110, ТРДЦН-63000/220, ТРДН-40000/220 с устройствами для регулирования напряжения под нагрузкой и два автотрансформатора типа АТДЦТН-63000/220/110. В качестве основного средства регулирования напряжения выбраны трансформаторы с устройством РПН (переключение рабочих ответвлений обмотки посредством переключателя под нагрузкой).
- Воздушные ЛЭП укомплектованы сталеалюминевыми проводами марки АС240/32, АС185/29 и AC120/19 и железобетонными промежуточными опорами марки ПБ 2201, ПБ 1102 и ПБ 1101.
- Удельные капитальные вложения на сооружение ЛЭП, отнесенные к
1 кВт передаваемой мощности составляют 1,17 тыс. руб., а к 1 кВт км длины линии 3,31 руб.
- Ежегодные эксплуатационные затраты на элементы электрической сети 45659,43 тыс.р/г.
- Суммарные потери активной мощности в основном режиме максимальных нагрузок составляют 7,608МВт, что составляет 1,50% от поступившей полной мощности в районную сеть.
- Годовые потери электроэнергии в элементах сети составляет 40455,27 МВт·ч, что соответствует среднегодовому коэффициенту полезного действия 97,131 %. КПД при основном режиме максимальных нагрузок составляет 97,61%.
Список использованной литературы
- Электропитающие системы и электрические сети: Задание на курсовое проектирование/ Сост: Н.А.Кокорев, Г.А.Осипенко, И.Н.Степанов; Чуваш. ун-т. Чебоксары, 2006. 36 с.
- Электроэнергетические системы и сети: Метод. указания к курсовому проекту/ Сост.: Г.А.Осипенко, И.Г.Злобина, Н.А.Кокорев, И.Н.Степано Чебоксары: Изд-во Чуваш. ун-та. 2012. 64 с.
- Электропитающие системы и электрические сети: Справочные материалы к курсовому проекту, лабораторным работам и практическим занятиям/ Сост.: Н.А.Кокорев, Г.А.Осипенко, Л.А.Шестакова; Чуваш. ун-т.Чебоксары, 2007. 72 с.
- В.И. Идельчик. Электрические системы и сети: Учебник для вузов. М.: Энергоатомиздат, 1989. 592 с.: ил.
- Неклепаев Б.И., Крючков И.П. Электрическая часть станций и подстанций: Справ. материалы для курсового и дипломного проектирования: Учеб. Пособие для вузов. М.: Энергоатомиздат, 1989. - 608 с.
- Герасименко А.А. Электроэнергетические системы и сети. Расчет параметров и режимов работы электрических сетей: в 2 ч. / А.А. Герасименко, Т.М. Чупак. Красноярск: ИПЦ КГТУ, 2004. Ч.1. 222 с.; Ч.2. 172 с.
Электроснабжение сетевого района Курскэнерго































