Сборник задач по аналитической геометрии. Д.В.Клетеник

Д.В.Клетеник
"Сборник задач по аналитической геометрии". М., Наука, Физматлит, 1998.
Предисловие к первому изданию
Настоящий сборник задач соответствует курсу аналитической геометрии тех факультетов высших технических учебных заведений, где действуют нормальные программы по физико-математическим и общетехническим дисциплинам, и совершенно не содержит задач по разделам аналитической геометрии, не входящим в программу втузов. При составлении сборника автор обращал особое внимание на потребности теоретической механики, поскольку она является первым и непосредственным потребителем материала аналитической геометрии.
Использование этого сборника на факультетах экономического, химического и сельскохозяйственного профилей не исключается; однако ни в расположении, ни в подборе задач специфика этих факультетов не учитывалась.
По основным вопросам аналитической геометрии, входящим в программу втузов, дано задач несколько больше того, что обычно предлагается студентам на групповых занятиях и на дом. Тем самым при использовании сборника руководители практических занятий будут иметь возможность выбора материала, а домашние задания смогут давать в нескольких вариантах. Особенно значительный по объёму § 16 ("Окружность") включает комбинированные задачи на уравнения окружности и прямой, что дает возможность повторить один из наиболее важных разделов курса - уравнение прямой на плоскости.
После изучения теории линий второго порядка полезно давать студентам индивидуальное домашнее задание - на приведение общего уравнения второй степени к каноническому виду; в § 22 содержится достаточное количество аналогичных задач с различными числовыми данными.
Имея в виду студентов заочных институтов и лиц, изучающих высшую математику самостоятельно, автор в начале каждой главы даёт, кроме списка формул, также все основные определения и формулировки теорем.
Настоящий сборник задач составлен применительно к учебнику Н. В. Ефимова "Краткий курс аналитической геометрии"; при составлении сборника учитывались последовательность изложения материала в книге Н. В. Ефимова и употребляемая в ней символика.
Считаю своим долгом выразить благодарность коллективу кафедры высшей математики Московского лесотехнического института за помощь при составлении этого сборника и за критику первого варианта рукописи.
Д. Клетеник
Предисловие ко второму изданию
Для второго издания сборник задач переработан и дополнен. Наиболее существенной переработке подверглась первая часть задачника ("Аналитическая геометрия на плоскости"). Значительно изменён характер главы 1 ("Простейшие задачи аналитической геометрии на плоскости") и главы 3 ("Линии первого порядка"). Здесь изменения имеют принципиальный характер, поскольку во втором издании в первой части исключено понятие свободного вектора. Значительно переделана также глава 5 (в основном посвящённая общей теории линий второго порядка). Переработка этой главы направлена к тому, чтобы выдвинуть на первый план уравнения центральных кривых второго порядка (упрощение которых наиболее существенно для теоретической механики). Количество задач во всех разделах значительно увеличено (в первом издании задачник содержал 920 задач, в новом-1261). Увеличение объёма задачника произведено в значительной степени за счёт включения комбинированных и более сложных задач.
В новом издании задачник, сохраняя тесную связь с курсом аналитической геометрии Н. В. Ефимова (2-е издание), полностью приспособлен для использования с курсом И. И. Привалова. Считаю своим долгом выразить благодарность Н. Т. Хроленко за оказанную мне помощь при проверке ответов.
Д. Клетеник
Часть 1. Аналитическая геометрия на плоскости
Глава 1. Простейшие задачи аналитической геометрии на плоскости
Глава 1. Ось и отрезок оси. Координаты на прямой
|
1 |
Построить точки А(3), В(5), С(-1), D(2/3), Е(-3/7),
|
|
|
2 |
Построить точки, координаты которых удовлетворяют уравнениям: |
|
|
2.1 |
|
|
|
2.2 |
|
|
|
2.3 |
|
|
|
2.4 |
|
|
|
3 |
Охарактеризовать геометрически расположение точек, координаты которых удовлетворяют неравенствам: |
|
|
3.1 |
x>2 |
|
|
3.2 |
x 3? 0 |
|
|
3.3 |
12 x <0 |
|
|
3.4 |
2x 3 ? 0 |
|
|
3.5 |
3x 5 >0 |
|
|
3.6 |
1 < x < 3 |
|
|
3.7 |
2 < x < 3 |
|
|
3.8 |
|
|
|
3.9 |
|
|
|
3.10 |
|
|
|
3.11 |
|
|
|
3.12 |
x2 8x +15 ? 0 |
|
|
3.13 |
x2 8x + 15 >0 |
|
|
3.14 |
x2 + x 12>0 |
|
|
3.15 |
x2 + x -12? 0
|
|
|
4 |
Определить величину АВ и длину |
|
|
4.1 |
А(3) и В(11) |
|
|
4.2 |
А(5) и В(2) |
|
|
4.3 |
А(-1) и В(3) |
|
|
4.4 |
А(-5) и В(-3) |
|
|
4.5 |
А(-1) и В(-3) |
|
|
4.6 |
А(-7) и В(-5)
|
|
|
5 |
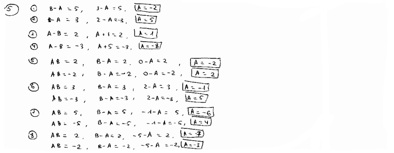
Вычислить координату точки А, если известны: |
|
|
5.1 |
В(3) и АВ=5 |
|
|
5.2 |
В(2) и АВ=-3 |
|
|
5.3 |
В(-1) и ВА=2 |
|
|
5.4 |
В(-5) и ВА=-3 |
|
|
5.5 |
В(0) и |
|
|
5.6 |
В(2) и |
|
|
5.7 |
В(-1) и |
|
|
5.8 |
В(-5) и
|
|
|
6 |
Охарактеризовать геометрически расположение точек, координаты которых удовлетворяют следующим неравенствам: |
|
|
6.1 |
|
|
|
6.2 |
|
|
|
6.3 |
|
|
|
6.4 |
|
|
|
6.5 |
|
|
|
6.6 |
|
|
|
6.7 |
|
|
|
6.8 |
|
|
|
6.9 |
|
|
|
6.10 |
|
|
|
6.11 |
|
|
|
6.12 |
|
|
|
7 |
Определить отношение l =AC/CB, в котором точка С делит отрезок АВ при следующих данных: |
|
|
7.1 |
А(2), В(6), С(4) |
|
|
7.2 |
А(2), В(4), С(7) |
|
|
7.3 |
А(-1), В(5), С(3) |
|
|
7.4 |
А(1), В(13), С(5) |
|
|
7.5 |
А(5), В(-2), С(-5)
|
|
|
8 |
Даны три точки А(-7), В(-1), С(1). Определить отношение l , в котором каждая из них делит отрезок, ограниченный двумя другими.
|
|
|
9 |
Определить отношение l =М1М/ММ2, в котором данная точка М(х) делит отрезок М1М2, ограниченный точками М1(х1) и М2(х2).
|
|
|
10 |
Определить координату х точки М, деляющей отрезок М1М2, ограниченный данными точками М1(х1) и М2(х2), в данном отношении l (l =М1М/ММ2).
|
|
|
11 |
Определить координату х середины орезка, ограниченного данными точками М1(х1) и М2(х2).
|
|
|
12 |
Определить координату х середины отрезка, ограниченного двумя данными точками, в каждом из следующих случаев: |
|
|
12.1 |
А(3) и В(5) |
|
|
12.2 |
С(-1) и D(5) |
|
|
12.3 |
M1(-1) и M2(-3) |
|
|
12.4 |
P1(-5) и P2(1) |
|
|
12.5 |
Q1(3) и Q2(-4)
|
|
|
13 |
Определить координату точки М, если известны: |
|
|
13.1 |
М1(3), М2(7) и l =М1М/ММ2=2 |
|
|
13.2 |
А(2), В(-5) и l =АМ/МВ=3 |
|
|
13.3 |
С(-1), D(3) и l =CM/MD=1/2 |
|
|
13.4 |
А(-1), В(3) и l =АМ/МВ=-2 |
|
|
13.5 |
А(1), В(-3) и l =ВМ/МА=-3 |
|
|
13.6 |
А(-2), В(-1) и l =ВМ/МА=-1/2
|
|
|
14 |
Даны две точки А(5) и В(-3). Определить: |
|
|
14.1 |
координату точки M, симметричной точке А относительно точки В |
|
|
14.2 |
координату точки N, симметричной точке В относительно точки А
|
|
|
15 |
Даны две точки А(5) и В(19), разделен на три равные части. Определить координаты точек деления.
|
|
|
16 |
Определить координаты концов А и В отрезка, который точками P(-25) и Q(-9) разделен на три равные части.
|
Глава 2. Декартовы прямоугольные координаты на плоскости
|
17 |
Построить точки А(2; 3), В(-5; 1), С(-2; -3), D(0, 3); E(-5; 0), F(-1/3; 2/3).
|
|
|
18 |
Найти координаты проекций на ось абсцисс точек А (2; 3), B(3; -1), C(-5; 1), D(-3; 2), E(-5; -1).
|
|
|
19 |
Найти координаты проекция на ось ординат точек А(-3; 2), B(-5; 1), C(3; -2), D(-1; 1), E(-6; -2).
|
|
|
20 |
Найти координаты точек, симметричных отосительно оси Ох точкам: |
|
|
20.1 |
А(2; 3); |
|
|
20.2 |
B(-3; 2); |
|
|
20.3 |
C(-1; -1); |
|
|
20.4 |
D(-3; -5); |
|
|
20.5 |
E(-4; -6); |
|
|
20.6 |
F(a, b);
|
|
|
21 |
Найти координаты точек, симметричных относитель оси Оу точкам: |
|
|
21.1 |
A(-1; 2); |
|
|
21.2 |
B(3; -1); |
|
|
21.3 |
C(-2; -2); |
|
|
21.4 |
D(-2; 5); |
|
|
21.5 |
E(3; -5); |
|
|
21.6 |
F(a; b);
|
|
|
22 |
Найти координаты точек симметричных относительно начала координат точкам: |
|
|
22.1 |
A(3; 3); |
|
|
22.2 |
B(2; -4); |
|
|
22.3 |
C(-2; 1); |
|
|
22.4 |
D(5; -3); |
|
|
22.5 |
E(-5; -4); |
|
|
22.6 |
F(a; b);
|
|
|
23 |
Найти координаты точек, симметричных относительно начала координат точкам: |
|
|
23.1 |
A(2; 3); |
|
|
23.2 |
B(5; -2); |
|
|
23.3 |
C(C(-3; 4);
|
|
|
24 |
Найти координаты точек, симметричных относительно биссектрисы второго координатного угла точкам: |
|
|
24.1 |
A(3; 5); |
|
|
24.2 |
B(-4; 3); |
|
|
24.3 |
C(7; -2);
|
|
|
25 |
Определить, в каких четвертях может быть расположена точка М(x; y), если: |
|
|
25.1 |
xy>0; |
|
|
25.2 |
xy<0; |
|
|
25.3 |
x-y=0; |
|
|
25.4 |
x+y=0; |
|
|
25.5 |
x+y>0; |
|
|
25.6 |
x+y<0; |
|
|
25.7 |
x-y>0; |
|
|
25.8 |
x-y<0; |

Глава 3. Полярные координаты
|
26 |
Построить точки, заданные полярными координатами: A(3; p /2), B(2; p ), C(3; -p /4), D(4; 22/7), E(5; 2) и F(1; -1). |
|
|
27 |
Определить полярные координаты точек, симметричных относительно полярной оси точкам M1(3; p /4), M2(2; -p /2), M3(3; -p /3), M4(1; 2), M5(5; -1), заданным в полярной системе координат. |
|
|
28 |
Определить полярные координаты точек, симметричных относительно полюса точкам M1(1; p /4), M2(5; p /2), M3(2; -p /3), M4(4; 5p /6), M5(3; -2), заданными в полярной системе координат. |
|
|
29 |
В полярной системе координат даны две вершины А(3; -4p /9) и B(5; 3p /14) параллелограмма ABCD, точка пересечения диагоналей которого совпадает с полюсом. Определить две другие вершины этого параллелограмма. |
|
|
30 |
В полярной системе координат даны токи A(8; p /2) и B(6; p /3). Вычислить полярные координаты середины отрезка, соединяющего точки А и В. |
|
|
31 |
В полярной системе координат даны точки А(3; p /2), B(2; -p /4), C(1; p ), D(5; -3p /4), E(3; 2), F(2; -1). Положительное направление полярной оси изменено на противоположное. Определить полярные координаты заданных точек в новой системе. |
|
|
32 |
В полярной системе координат даны точки M1(3, p /3), M2(1; 2p /3), M3(2; 0), M4(5; p /4), M5(3; -2p /3), M6(1; 11p /12). Полярная ось повернута так, что в новом положении она проходит через точку M1. Определить координаты заданных точек в новой (полярной) системе. |
|
|
33 |
В полярной системе координат даны точки М1(12; 4p /9), M2(12; -2p /9). Вычислить полярные координаты середины отрезка, соединяющего точки М1 и М2. |
|
|
34 |
В полярной системе координат даны точки М1(r 1, q 1) и М2(r 2, q 2). Вычислить расстояние d между ними. |
|
|
35 |
В полярной системе координат даны точки М1(5; p /4), М2(8; -p /2). Вычислить расстояние d между ними. |
|
|
36 |
В полярной системе координат даны две смежные вершины квадрата М1(12; -p /10), М2(3; p /15). Определить его площадь. |
|
|
37 |
В полярной системе координат даны две противоположные вершины квадрата P(6; -7p /12), Q(4; p /6). Определить его площадь. |
|
|
38 |
В полярной системе координат даны две вершины правильного треугольника А(4; -p /12), B(8; 7p /12). Определить его площадь. |
|
|
39 |
Одна из вершин треугольника OAB находится в полюсе, две другие суть точки А(r 1, q 1) и В(r 2, q 2). Вычислить площадь этого треугольника. |
|
|
40 |
Одна из вершин треугольника ОАВ находится в полюсе, две другие суть точки А(5; p /4), B(4, p /12). Вычислить площадь этого треугольника. |
|
|
41 |
Вычислить площадь треугольника, вершины которого А(3; p /8), B(8; 7p /4), C(6; 5p /8) заданы в полярных координатах. |
|
|
42 |
Полюс полярной системы координат совпадает с началом декартовых прямоугольных координат, а полярная ось совпадает с положительной полуосью абсцисс. В полярной системе координат даны точки M1(6; p /2), M2(5; 0), M3(2; p /4), M4(10; -p /3), M5(8; 2p /3), M6(12; -p /6). Определить декартовы координаты этих точек. |
|
|
43 |
Полюс полярной системы координат совпадает с началом декартовых прямоугольных координат, а полярная ось совпадает с положительной полуосью абсцисс. В декартовой прямоугольной системе координат даны точки М1(0; 5), M2(-3; 0); M3( Определить полярные координаты этих точек. |
Глава 4. Направленный отрезок. Проекция отрезка на произвольную ось. Проекции отрезка на координатные оси. Длина и полярный угол отрезка. Расстояние между двумя точками.
|
44 |
Вычислить проекцию отрезка на ось u, если даны его длина d и угол j наклона к оси: |
|
|
44.1 |
d=6, j =p /3; |
|
|
44.2 |
d=6, j =2p /3; |
|
|
44.3 |
d=7, j =p /2; |
|
|
44.4 |
d=5, j =0; |
|
|
44.5 |
d=5, j =p ; |
|
|
44.6 |
d=4, j = -p /3. |
|
|
45 |
Построить на чертеже отрезки, исходящие из начала координат, зная их проекции на координатные оси: |
|
|
45.1 |
X=3, Y=2; |
|
|
45.2 |
X=2, Y=-5; |
|
|
45.3 |
X=-5, Y=0; |
|
|
45.4 |
X=-2, Y=3; |
|
|
45.5 |
X=0, Y=3; |
|
|
45.6 |
X=-5, Y=-1; |
|
|
46 |
Построить на чертеже отрезки, имеющие началом точку M(2; -1), зная их проекции на координатные оси: |
|
|
46.1 |
X=4. Y=3; |
|
|
46.2 |
X=2, Y=0; |
|
|
46.3 |
X=-3, Y=1; |
|
|
46.4 |
X=-4, Y=-2; |
|
|
46.5 |
X=0, Y=-3; |
|
|
46.6 |
X=1, Y=-3. |
|
|
47 |
Даны точки М1(1; -2), М2(2; 1), М3(5; 0), М4(-1; 4), М5(0; -3). Найти проекции на координатные оси следующих отрезков: |
|
|
47.1 |
||
|
47.2 |
||
|
47.3 |
||
|
47.4 |
||
|
48 |
Даны проекции X=5, Y=-5 отрезка на координатные оси; зная, что его начало в точке М1(-2; 3), найти координаты его конца. |
|
|
49 |
Даны проекции X=4, Y=-5 отрезка на координатные оси; зная, что его конец в точке B(1; -3), найти координаты его начала. |
|
|
50 |
Построить на чертеже отрезки, исходящие оиз начала координат, зная длину d и полярный угол q каждого из них: |
|
|
50.1 |
d=5, q =p /5; |
|
|
50.2 |
d=3, q =5p /6; |
|
|
50.3 |
d=4, q =-p /3; |
|
|
50.4 |
d=3, q =-4p /3. |
|
|
51 |
Построить на чертеже отрезки, имеющие началом точку М(2; 3), зная длину и полярный угол каждого из них (координаты точки М декартовы): |
|
|
51.1 |
d=2, q =-p /10; |
|
|
51.2 |
d=1, q =p /9; |
|
|
51.3 |
d=5, q =-p /2ж |
|
|
52 |
Вычислить проекции на координатные оси отрезков, зная длину d и полярный угол q каждого из них: |
|
|
52.1 |
d=12, q =2p /3; |
|
|
52.2 |
d=6, q =-p /6; |
|
|
52.3 |
d=2, q =-p /4. |
|
|
53 |
Даны проекции отрезков на координатные оси. Вычислить длину каждого из них. |
|
|
53.1 |
X=3, Y=-4; |
|
|
53.2 |
X=12, Y=5; |
|
|
53.3 |
X=-8, Y=6. |
|
|
54 |
Даны проекции отрезков на координатные оси. Вычислить длину d и полярный угол q каждого из них. |
|
|
54.1 |
X=1, Y=; |
|
|
54.2 |
X=, Y=; |
|
|
54.3 |
X=, Y=2. |
|
|
55 |
Даны точки М1(2; -3), M2(1; -4), M3(-1; -7), M4(-4; 8). Вычислить длину и полярный угол слдующих отрезков: |
|
|
55.1 |
||
|
55.2 |
||
|
55.3 |
||
|
55.4 |
||
|
56 |
Длина d отрезка равна 5, его проекция на ось абсцисс равна 4. Найти проекцию этого отрезка на ось ординат при условии, что он образует с осью ординат: |
|
|
56.1 |
Острый угол; |
|
|
56.2 |
Тупой угол. |
|
|
57 |
Длина отрезка равна 13; его начало в точке М(3; -2), проекция на ось абсцисс равна 12. Найти координаты конца этого отрезка при условии, что он образует с осью ординат: |
|
|
57.1 |
Острый угол; |
|
|
57.2 |
Тупой угол. |
|
|
58 |
Длина отрезка равна 17, его конец в точке N(-7; 3), проекция на ось ординат равна 15. Найти координаты начала этого отрезка при условии, что он образует с осью абсцисс: |
|
|
58.1 |
Острый угол; |
|
|
58.2 |
Тупой угол. |
|
|
59 |
Зная проекции X=1, Y= отрезка на координатные оси, найти его проекцию на ось, которая составляет с осью Ox угол q =2p /3. |
|
|
60 |
Даны две точки M1(1; -5), M2(4; -1). Найти проекцию отрезка на ось, которая составляет с осью Ox угол q =-p /6. |
|
|
61 |
Даны две точки P(-5; 2), Q(3; 1). Найти проекцию отрезка на ось, которая составляет с осью Ox угол |
|
|
62 |
Даны две точки M1(2; -2), M2(7; -3). Найти проекцию отрезка на ось, проходящую через точки A(5; -4), B(-7; 1) и направленную: |
|
|
62.1 |
от А к В; |
|
|
62.2 |
от В к А. |
|
|
63 |
Даны точки A(0; 0), B(3; -4), C(-3; 4), D(-2; 2), E(10; -3). Определить расстояние d между точками: |
|
|
63.1 |
А и В. |
|
|
63.2 |
В и С. |
|
|
63.3 |
А и С. |
|
|
63.4 |
C и D. |
|
|
63.5 |
A и D. |
|
|
63.6 |
D и E. |
|
|
64 |
Даны две смежные вершины квадрата A(3; -7) и В(-1; 4). Вычислить его площадь. |
|
|
65 |
Даны две противоположные вершины квадрата P(3; 5), Q(1; -3). Вычислить его площадь. |
|
|
66 |
Вычислить площадь правильного треугольника, две вершины которого суть A(-3; 2), B(1; 6). |
|
|
67 |
Даны три вершины А(3; -7), В(5; -7), С(-2; 5) параллелограмма ABCD, четвертая вершина которого D противоположна B. Определить длины диагоналей того параллелограмма. |
|
|
68 |
Сторона ромба равна , две его противоположные вершины суть точки P(4; 9), Q(-2; 1). Вычислить площадь этого ромба. |
|
|
69 |
Сторона ромба равна , две его противоположные вершины суть точки P(3; -4), Q(1; 2). Вычислить длину высоты этого ромба. |
|
|
70 |
Доказать, что точки А(3; -5), В(-2; -7), С(18; 1) лежат на одной прямой. |
|
|
71 |
Доказать, что треугольник с вершинами A1(1; 1), A2(2; 3), A3(5; -1) прямоугольный. |
|
|
72 |
Доказать, что точки А(2; 2), В(-1; 6), С(-5; 3), D(-2; -1) являются вершинами квадрата. |
|
|
73 |
Определить, есть ли среди внутренних углов треугольника с вершинами M1(1; 1), M2(0; 2), M3(2; -1) тупой угол. |
|
|
74 |
Доказать, что все внутренние углы треугольника с вершинами M(-1; 3), N(1; 2), P(0, 4) острые. |
|
|
75 |
Вершины треугольника суть точки A(5; 0), B(0; 1), C(3; 3). Вычислить его внутренние углы. |
|
|
76 |
Вершины треугольника суть точки А(; 1), B(0, 2), C(; 2). Вычислить его внешний угол при вершине А. |
|
|
77 |
На оси абсцисс найти такую точку М, расстояние от которой до точки N(2; -3) равнялось бы 5. |
|
|
78 |
На оси ординат найти такую точку М, расстояние от которой до точки N(-8; 13 равнялось бы 17. |
|
|
79 |
Даны две точки M(2; 2), N(5; -2); на оси абсцисс найти такую точку Р, чтобы угол MPN был прямым. |
|
|
80 |
Через точку А(4; 2) проведена окружность, касающаяся обеих координатных осей. Определить ее центр С и радиус R. |
|
|
81 |
Через точку М1(1; -2) проведена окружность радиуса 5, касающаяся оси Ox. Определить центр С окружности. |
|
|
82 |
Определить координаты точки М2, симметричной точке М1(1; 2) относительно прямой, проходящей через точки А(1; 0), В(-1; -2). |
|
|
83 |
Даны две противоположные вершины квадрата А(3; 0) и С(-4; 1). Найти две его другие вершины. |
|
|
84 |
Даны две смежные веришны квадрата А(2; -1) и В(-1; 3). Определить две его другие вершины. |
|
|
85 |
Даны вершины треугольника M1(-3; 6), M2(9; -10), M3(-5; 4). Определить центр С и радиус R круга, описанного около этого треугольника. |
Глава 5. Деление отрезка в заданном отношении
|
86 |
Даны концы А(3; -5), В(-1; 1) однородного стержня. Определить координаты его центра масс. |
|
|
87 |
Центр мас однородного стержня находится в точке М(1; 4), один из его концов Р(-2; 2). Определить координаты точки Q другого конца этого стержня. |
|
|
88 |
Даны вершины треугольника А(1; -3), В(3; -5), С(-5; 7). Определить середины его сторон. |
|
|
89 |
Даны точки А(3; -1), С(2; 1). Определить: |
|
|
89.1 |
Координаты точки М, симметричной точке А относительно точки В; |
|
|
89.2 |
Координаты точки N, симметричной точке В относительно точки А. |
|
|
90 |
Точки А(2; -1), N (-1; 4), P(-2; 2) являются серединами сторон треугольника. Определить его вершины. |
|
|
91 |
Даны три вершины параллелограмма А(3; -5), B(5; -3), C(-1; 3). Определить четвертую вершину D, противоположную B. |
|
|
92 |
Даны две смежные вершины параллелограмма А(-3; 5), B(1; 7) и точка пересечения его диагоналей M(1; 1). Определить две другие вершины. |
|
|
93 |
Даны три вершины А(2; 3), B(4; -1), C(0; 5) параллелограмма ABCD. Найти его четвертую вершину D. |
|
|
94 |
Даны вершины треугольника A(1; 4), B(3; -9), C(-5; 2). Определить длину его медианы, проведенной из вершины B. |
|
|
95 |
Отрезок, ограниченный точками A(1; -3), B(4; 3) разделен на три равные части. Определить координаты точек деления. |
|
|
96 |
Даны вершины треугольника A(2; -5), B(1; -2), C(4; 7). Найти точку пересечения биссектрисы его внутреннего угла при вершине В со стороной АС. |
|
|
97 |
Даны вершины треугольника A(3; -5), B(-3; 3), C(-1; -2). Определить длину биссектрисы его внутреннего угла при вершине А. |
|
|
98 |
Даны вершины треугольника А(-1; -1), B(3; 5), C(-4; 1). Найти точку пересечения биссектрисы его внешнего угла при вершине А с продолжением стороны ВС. |
|
|
99 |
Даны вершины треугольника А(3; -5), B(1; -3), C(2; -2). Определить длину биссектрисы его внешнего угла при вершине В. |
|
|
100 |
Даны точки А(1; 1), В(3; 3), С(4; 7). Определить отношение , в котором каждая из них делит отрезок, ограниченный двумя другими. |
|
|
101 |
Определить координаты концов А и В отрезка, который точками P(2; 2), Q(1; 5) разделен на три равные части. |
|
|
102 |
Прямая проходит через точки M1(-12; -13), M2(-2; -5). На этой прямой найти точку, абсцисса которой равна 3. |
|
|
103 |
Прямая проходит через точки M(2; -3), N(-6, 5). На этой прямой найти точку, ордината которой равна 5. |
|
|
104 |
Прямая проходит через точки A(7; -3), B(23; -6). Найти точку пересечения этой прямой с осью абсцисс. |
|
|
105 |
Прямая проходит через точки A(5; 2), B(-4; -7). Найти точку пересечения этой прямой с осью ординат. |
|
|
106 |
Даны вершины четырехугольника А(-3; 12), B(3; -4), C(5; -4), D(5; 8). Определить, в каком отношении его диагональ AC делит диагональ BD. |
|
|
107 |
Даны вершины четырехугольника A(-2; 14), B(4; -2), C(6; -2), D(6; 10). Определить точку пересечения его диагоналей AC и BD. |
|
|
108 |
Даны вершины однородной треугольной пластинки A(x1; y1), B(x2; y2), C(x3; y3). Определить координаты ее центра масс. Центр масс находится в точке пересечения медиан. |
|
|
109 |
Точка M пересечения медиан треугольника лежт на оси абсцисс, две вершины его точки А(2; -3) и B(-5; 1), третья вершина C лежит на оси ординат. Определить координаты точек M и C. |
|
|
110 |
Даны вершины однородной треугольной пластинки A(x1; y1), B(x2; y2), C(x3; y3). Если соединить середины ее сторон, то образуется новая однородная треугольная пластинка. Доказать, что центры масс обеих пластинок совпадают. |
|
|
111 |
Однородная пластинка имеет форму квадрата со стороной, равной 12, в которой сделан квадратный вырез, прямые разрезы проходят через центр квадрата, оси координат направлены по ребрам пластинки (рис.). Определить центр масс этой пластинки. |
|
|
112 |
Однородная пластинка имеет форму прямоугольника со сторонами, равными a и b, в котором сделан прямоугольный вырез; прямые разреза проходят через центр, оси координат направлены по ребрам пластинки (Рис). Определить центр масс этой пластинки. |
|
|
113 |
Однородная пластинка имеет форму квадрата со стороной, равной 2a, от которого отрезан треугольник; прямая разреза соединяет середины двух смежных сторон, оси координат направлены по ребрам пластинки (Рис). Определить центр масс пластинки. |
|
|
114 |
В точках A(x1; y1), B(x2; y2), C(x3; y3) сосредоточены массы m, n, p. Определить координаты центра тяжести этой системы. |
|
|
115 |
Точки A(4; 2), B(7; -2), C(1; 6) являются вершинами треугольника, сделанного из однородной проволоки. Определить центр масс этого треугольника. |
Глава 6. Площадь треугольника
|
116 |
Вычислить площадь треугольника, вершинами которого являются точки: |
|
|
116.1 |
A(2; -3), B(3; 2), C(-2; 5); |
|
|
116.2 |
M1(-3; 2), M2(5; -2), M3(1; 3); |
|
|
116.3 |
M(-3; 4), N(-2; 3), P(4; 5). |
|
|
117 |
Вершины треугольника суть точки A(3; 6), B(-1; 3), C(2; -1). Вычислить длину его высоты, проведенной из вершины С. |
|
|
118 |
Определить площадь паралелограмма три вершины которого суть точки A(-2; 3), B(4; -5), C(-3; 1). |
|
|
119 |
Три вершины параллелограмма суть точки A(3; 7), B(2; -3), C(-1; 4). Вычислить длину его высоты, опущенного из вершины В на сторону АС |
|
|
120 |
Даны последовательные вершины однородной четырехугольной пластинки A(2; 1), B(5; 3), C(-1; 7), D(-7; 5). Определить координаты ее центра масс. |
|
|
121 |
Даны последовательные вершины A(2; 3), B(0; 6), C(-1; 5), D(0; 1), E(1; 1) однородной пятиугольной пластинки. Определить координаты ее центра масс. |
|
|
122 |
Площадь треугольника S=3, две его вершины суть точки A(3; 1), B(1; -3), а третья вершина С лежит на оси Oy. Определить координаты вершины С. |
|
|
123 |
Площадь треугольника S=4, вде его вершины суть точки А(2; 1), B(3; -2), а третья вершина С лежит на оси Ox. Определить координаты вершины С. |
|
|
124 |
Площадь треугольника S=3, две его вершины суть точки A(3; 1), B(1; -3), центр масс этого треугольника лежит на оси Ox. Определить координаты третьей вершины С. |
|
|
125 |
Площадь параллелограмма S=12; две его вершины суть точки A(-1; 3), B(-2; 4). Найти две другие вершины этого параллелограмма при условии, что точка пересечения его диагоналей лежит на оси абсцисс. |
|
|
126 |
Площадь параллелограмма S=17; две его вершины суть точки A(2; 1), B(5; -3). Найти две другие вершины этого параллелограмма при условии, что точка пересечения его диагоналей лежит на оси ординат. Глава 7. Преобразование координат 127 Написать формулы преобразований координат, если начало координат (без изменения направления осей) перенесено в точку: 127.1 А(3; 4); 127.2 B(-2; 1); 127.3 C(-3; 5). 128 Начало координат перенесено (без изменения направления осей) в точку O(3; -4). Координаты точек А(1; 3), B(-3; 0), C(-1; 4) определены в новой системе. Вычислить координаты этих же точек в старой системе координат. 129 Даны точки A(2; 1), B(-1; 3), C(-2; 5). Найти их координаты в новой системе, если начало координат перенесено (без изменения направления осей): 129.1 в точку А; 129.2 в точку В; 129.3 в точку С. 130 Определить старые координаты начала O новой системы, если формулы преобразования заданы следующими равенствами: 130.1 , ; 130.2 , ; 130.3 , ; 130.4 , ; 131 Написать формулы преобразований координат, если координатные оси повернуты на один из следующих углов: 131.1 600; 131.2 450; 131.3 900; 131.4 900; 131.5 1800. 132 Координатные оси повернуты на угол =600. Координаты точек А(; -4), B(; 0), C(0; ) определены в новой системе. Вычислить координаты этих же точек в старой системе. 133 Даны точки M(3; 1), N(-1; 5), P(-3; -1). Найти их координаты в новой системе, если оси координат повернуты на угол: 133.1 450; 133.2 900; 133.3 900; 133.4 1800. 134 Определить угол , на который повернуты оси, если формулы преобразования координат заданы следующими равенствами: 134.1 , ; 134.2 , ; 135 Определить координаты точки O нового начала координат, если точка А(3; -4) лежит на новой оси абсцисс, а точка B(2; 3) лежит на новой оси ординат, причем оси старой и новой систем координат имеют соответственно одинаковые направления. 136 Написать формулы преобразования координат, если точка M1(2; -3) лежит на новой оси абсцисс, а точка M2(1; -7) лежит на новой оси ординат, причем оси старой и новой систем координат имеют соответственно одинаковые направления. 137 Две системы координатных осей Ox, Oy и Ox, Oy имеют общее начало О и преобразуются одна в дргую поворотом на некоторый угол. Координаты точки А(3; 4) определены относительно первой из них. Вывести формулы преобразования координат, зная, что положительное направление оси Ox определено отрезком . 138 Начало координат перенесено в точку O(-1; 2), координатные оси повернуты на угол . Координаты точек M1(3; 2), M2(2; -3), M3(13; -13) определены в новой системе. Вычислить координаты эти же точек в старой системе координат. 139 Даны точки A(5; 5), B(2; -1), C(12; -6). Найти их координаты в новой системе, если начало координат перенесено в точку В, а координатные оси повернуты на угол . 140 Определить старые координаты нового начала и угол , на который повернуты оси, если формулы преобразвоания координат заданы следующими равенствами: 140.1 , ; 140.2 , ; 140.3 , ; 141 Даны точки M1(9; -3), M2(-6; 5). Начало координат перенесено в точку M1, а координатные оси повернуты так, что положительное направление новой оси абсцисс совпадает с направлением отрезка . Вывести формулы преобразования координат. 142 Полярная ось полярной системы координат параллельна оси абсцисс декартовой прямоугольной системы и направлена одинаково с нею. Даны декартовы прямоугольные координаты полюса O(1; 2) и полярные координаты точек M1(7; /2), M2(3; 0), M3(5; -/2), M4(2; 2/3), M5(2; -/6). Определить координаты этих точек в декартовой прямоугольной системе координат. 143 Полюс полярной системы координат совпадает с началом декартовых прямоугольных координат, а полярная ось направлена по биссектрисе первого координатного угла. Даны полярные координаты точек M1(5; /4), M2(3; -/4), M3(1; 3/4), M4(6; -3/4), M5(2; -/12). Определить декартовы прямоугольные ординаты этих точек. 144 Полярная ось полярной системы координат параллельна оси абсцисс декартовой прямоугольной системы и одинаково с нею направлена. Даны декартовы прямоугольные координаты полюса O(3; 2) и точек M1(5; 2), M2(3; 1), M3(3; 5), M4(, ), M5(; 3). Определить полярные координаты этих точек. Часть 2. Уравнение линии Глава 8. Функция двух переменных 146 Даны две функции P и Q, расстояние между которыми равно а, и функция , где d1=MP и d2=MQ. Определить выражение этой функции, если в качестве начала координат принята точка P, а ось Ох направлена по отрезку PQ. 147 При условиях задачи 146 определить выражение функции f(M) (непосредственно и при помощи преобразования координат, используя результат задачи 146), если: 147.1 Начало координат выбрано в середине отрезка PQ, ось Ох направлена по отрезку PQ. 147.2 Начало координат выбрано в точке Р, а ось Ох направлена по отрезку QP. 148 Даны квадрат ABCD со стороной a и функция , где d1=MA, d2=MB, d3=MC, d4=MD. Определить выражение этой функции, если за оси координат приняты диагонали квадрата (причем ось Ох направлена по отрезку АС, ось Оу по отрезку BD). 149 При условиях задачи 148 определить выражение для f(M) (непосредственно и при помощи преобразования координат, используя результат задачи 148), если начало координат выбрано в точке А, а оси координат направлены по его сторонам (ось Ох по отрезку АВ, ось Оу по отрезку AD). 150 Дана функция f (x, y)=x2+y2+6x+8y. Определить выражение этой функции в новой системе координат, если начало координат перенесено (без изенения направления осей) в точку О (3; 4). 151 Дана функция f (x, y)=x2y216. Определить выражение этой функции в новой системе координат, если координатные оси повернуты на угол 45° . 152 Дана функция f (x, y)=x2+y2. Определить выражение этой функции в новой системе координат, если координатные оси повернуты на некоторый угол a . 153 Найти такую точку, чтобы при переносе в нее начала координат выражение функции f (x, y)=x24y26x+8y+3=0 после преобразования не содержало членов первой степени относительно новых переменных. 154 Найти такую точку, чтобы при переносе в нее начала координат выражение функции f (x, y)==x24xy+4y2+2x+y7 не содержало членов первой степени относительно новых переменных. 155 На какой угол нужно повернуть координатные оси, чтобы выражение функции f (x, y)==x22xy+y2+6x+3 после преобразования не содержало члена с произведением новых переменных? 156 На какой угол нужно повернуть координатные оси, чтобы выражение функции после преобразования не содержало члена с произведением новых переменных? |
Глава 9. Понятие уравнения линии. Задание линии при помощи уравнения
|
157 |
Даны точки М1(2; -2), М2(2; 2), М3(2; -1), М4(3; -3), М5(5; -5), М6(3; -2). Установить, какие из данных точек лежат на линии, определенной уравнением , и какие не лежат на ней. Какая линия определена данным уравнением? (Изобразить ее на чертеже). |
|
|
158 |
На линии, определенной уравнением , найти точки, абсциссы которых равны следующим числам: 1). 0; 2). 3; 3). 5; 4). 7; на этой же линии найти точки, ординаты которых равны следующим числам: 5). 3; 6). 5; 7). 8. Какая линия определена данным уравнением? (Изобразить ее на чертеже). |
|
|
159 |
Установить, какие линии определяются следующими уравнениями (построить их на чертеже): |
|
|
159.1 |
; |
|
|
159.2 |
; |
|
|
159.3 |
; |
|
|
159.4 |
; |
|
|
159.5 |
; |
|
|
159.6 |
; |
|
|
159.7 |
; |
|
|
159.8 |
; |
|
|
159.9 |
; |
|
|
159.10 |
; |
|
|
159.11 |
; |
|
|
159.12 |
; |
|
|
159.13 |
; |
|
|
159.14 |
; |
|
|
159.15 |
; |
|
|
159.16 |
; |
|
|
159.17 |
; |
|
|
159.18 |
; |
|
|
159.19 |
; |
|
|
159.20 |
; |
|
|
159.21 |
; |
|
|
159.22 |
; |
|
|
159.23 |
; |
|
|
159.24 |
; |
|
|
159.25 |
; |
|
|
159.26 |
; |
|
|
159.27 |
; |
|
|
159.28 |
; |
|
|
159.29 |
; |
|
|
159.30 |
; |
|
|
159.31 |
. |
|
|
160 |
Даны линии. Определить, какие из них проходят через начало координат. |
|
|
160.1 |
; |
|
|
160.2 |
; |
|
|
160.3 |
; |
|
|
160.4 |
; |
|
|
160.5 |
. |
|
|
161 |
Даны линии. Найти точки их пересечения: а). С осью Ох; б). С осью Оу. |
|
|
161.1 |
; |
|
|
161.2 |
; |
|
|
161.3 |
; |
|
|
161.4 |
; |
|
|
161.5 |
; |
|
|
161.6 |
; |
|
|
161.7 |
. |
|
|
162 |
Найти точки пересечения двух линий: |
|
|
162.1 |
, ; |
|
|
162.2 |
, ; |
|
|
162.3 |
, ; |
|
|
162.4 |
, . |
|
|
163 |
В полярной системе координат даны точки М1(1; /3), М2(2; 0), М3(2, /4), М4(;/6) и М5(1; 2/3). Установить, какие из этих точек лежат на линии, оперделенной в полярных координатаха уравнением , и какие не лежат на ней. Какая линия определяется данным уравнением? (Изобразить ее на чертеже). |
|
|
164 |
На линии, определенной уравнением , найти точки, полярные углы которых равны следующим числам: а). , б). ; в). 0; г). . Какая линия определена данным уравнением: (Построить ее на чертеже). |
|
|
165 |
На линии, определенной уравнением , найти точки, полярные радиусы которых равны следующим числам: а). 1; б). 2; в). . Какая линия определена данным уравнением? (Построить ее на чертеже). |
|
|
166 |
Установить, какие линии определяются в полярных координатах следующими уравнениями (построить их на чертеже): |
|
|
166.1 |
; |
|
|
166.2 |
; |
|
|
166.3 |
; |
|
|
166.4 |
; |
|
|
166.5 |
; |
|
|
166.6 |
; |
|
|
166.7 |
; |
|
|
166.8 |
; |
|
|
166.9 |
. |
|
|
167 |
Построить на чертеже следующие спирали Архимеда: |
|
|
167.1 |
; |
|
|
167.2 |
; |
|
|
167.3 |
; |
|
|
167.4 |
. |
|
|
168 |
Построить на чертеже следующие гиперболические спирали: |
|
|
168.1 |
; |
|
|
168.2 |
; |
|
|
168.3 |
; |
|
|
168.4 |
. |
|
|
169 |
Построить на чертеже следующие логарифмические спирали: |
|
|
169.1 |
; |
|
|
169.2 |
. |
|
|
170 |
Определить длины отрезков, на которые рассекает спираль Архимеда луч, выходящий из полюса и наклоненный к полярной оси под углом . Сделать чертеж. |
|
|
171 |
На спирали Архимеда взята точка С, полярный радиус которой равен 47. Определить, на сколько частей эта спираль рассекает полярный радиус точки С. Сделать чертеж. |
|
|
172 |
На гиперболической спирали найти точку Р, полярный радиус которой равен 12. Сделать чертеж. |
|
|
173 |
На логарифмической спирали найти точку Q, полярный радиус которой равен 81. Сделать чертеж. |
Глава 10. Вывод уравнений заранее данных линий
|
174 |
Вывести уравнение геометрического места точек, одинаково удаленных от координатных осей. |
|
|
175 |
Вывести уравнение геометрического места точек, находящихся на расстоянии а от оси Оу. |
|
|
176 |
Вывести уравнение геометрического места точек, находящихся на расстоянии b от оси Ох. |
|
|
177 |
Из точки Р(6; -8) проведены всевозможные лучи до пересечения с осью абсцисс. Составить уравнение геометрического места их середин. |
|
|
178 |
Из точки С(10; -3) проведены всевозможные лучи до пересечения с осью ординат. Составить уравнение геометрического места их середины. |
|
|
179 |
Вывести уравнение траектории точки, которая в каждый момент движения одинаково удалена от точек: |
|
|
179.1 |
А(3; 2) и В(2; 3); |
|
|
179.2 |
А(5; -1) и В(1; -5); |
|
|
179.3 |
А(5; -2) и В(-3; -2); |
|
|
179.4 |
А(3; -1) и В(3; 5). |
|
|
180 |
Составить уравнение геометрического места точек, разность квадратов расстояний которых до точек А(-а; 0) и В(а; 0) равна с. |
|
|
181 |
Вывести уравнение окружности, имеющей центр в начале координат и радиус r. |
|
|
182 |
Вывести уравнение окружности, имеющей, имеющей центр С(; ) и радиус r. |
|
|
183 |
Дано уравнение окружности . Составить уравнение геометрического места середин тех хорд этой окружности, длина которых равна 8. |
|
|
184 |
Составить уравнение геометрического места точек, сумма квадратов расстояний которых до точек А(-3; 0) и В(3; 0) равна 50. |
|
|
185 |
Ввершины квадрата суть точки А(а; а), В(-а; а), С(-а; -а) и D(а; -а). Составить уравнение геометрического места точек, сумма квадратов расстояний которых до сторон этого квадрата есть величина постоянная, равна 6а2. |
|
|
186 |
Через начало координат проведены всевозможные хорды окружности . Составить уравнение геометрического места середин этих хорд. |
|
|
187 |
Вывести уравнение геометрического места точек, сумма расстояний которых до двух данных точек F1(-3; 0), F2(3; 0) есть величина постоянная, равная 10. |
|
|
188 |
Вывести уравнение геометрического места точек, разность расстояний которых до двух данных точек F1(-5; 0), F2(5; 0) есть величина постоянная, равная 6. |
|
|
189 |
Вывести уравнение геометрического места точек, для которых расстояние до данной точки F(3; 0) равно расстоянию до данной прямой . |
|
|
190 |
Вывести уравнение геометрического места точек, сумма расстояний которых до двух данных точек F1(-c; 0), F2(c; 0) есть величина постоянная, равная 2а. Это геометрическое место называется эллипсом, точки F1 и F2 фокусами эллипса. Доказать, что уравнение эллипса имеет вид , где . |
|
|
191 |
Вывести уравнение геометрического места точек, разность расстояний которых до двух данных точек F1(-c; 0), F2(c; 0) есть величина постоянная, равная 2а. Это геометрическое место называется гиперболой, точки F1 и F2 фокусами гиперболы. Доказать, что уравнение гиперболы имеет вид , где . |
|
|
192 |
Вывести уравнение геометрического места точек, для которых расстояние до данной точки F(p/2; 0) равно расстоянию до данной прямой x=-p/2. Это геометрическое место называется параболой, точка F фокусом параболы, данная прямая ее директрисой. |
|
|
193 |
Вывести уравнение геометрического места точек, для которых отношение расстояния до данной точки F(-4; 0) к расстоянию до данной прямой равно 4/5. |
|
|
194 |
Вывести уравнение геометрического места точек, для которых отношение расстояния до данной точки F(-5;0) к расстоянию до данной прямой равно 5/4. |
|
|
195 |
Вывести уравнение геометрического места точек, для которых кратчайшие расстояния до двух данных окружностей , равны между собой. |
|
|
196 |
Вывести уравнение геометрического места точек, для которых кратчайшие расстояния до двух данных окружностей , равны между собой. |
|
|
197 |
Вывести уравнение геометрического места точек, для которых кратчайшие расстояния до данной окружности и до данной прямой равны между собой. |
|
|
198 |
Прямая перпендикулярна полярной оси и отсекает на ней отрезок, равный 3. Составить уравнение этой прямой в полярных координатах. |
|
|
199 |
Луч выходит из полюса и наклонен к полярной оси под углом . Составить уравнение этого луча в полярных координатах. |
|
|
200 |
Прямая проходит через полюс и наклонена к полярной оси под углом 450. Составить уравнение этой прямой в полярных координатах. |
|
|
201 |
В полярных координатах составить уравнение геометрического места точек, расстояния которых от полярной оси равны 5. |
|
|
202 |
Окружность радиуса R=5 проходит через полюс, ее центр лежит на полярной оси. Составить уравнение этой окружности в полярной системе координат. |
|
|
203 |
Окружность радиуса R=3 касается полярной оси в полюсе. Составить уравнение этой окружности в полярной системе координат. |
Глава 11. Параметрические уравнения линии
|
204 |
Стержень АВ скользит своими концами А и В по координатным осям. Точка М делит стержень на две части АМ=а и ВМ=b. Вывести параметрические уравнения траектории точки М, приняв в качестве параметра угол t= (см. рис). Исключить затем параметр t и найти уравнение траектории точки М в виде А(x, y)=0. |
|
|
205 |
Траекторией точки М является эллипс, уравнение которого (см. задачу 190). Вывести параметрические уравнения траектории точки М, принимая в качестве параметра t угол угол наклона отрезка ОМ к оси Ох. |
|
|
206 |
Траекторией точки М является гипербола, уравнение которой (см. задачу 191). Вывести параметрические уравнения траектории точки М, принимая в качестве параметра t угол наклона отрезка ОМ к оси Ох. |
|
|
207 |
Траекторией точки М является парабола, уравнение которой (см. задачу 192). Вывести параметрические уравнения траектории точки М, принимая в качестве параметра t: |
|
|
207.1 |
ординату точки М; |
|
|
207.2 |
угол наклона отрезка ОМ к оси Ох; |
|
|
207.3 |
угол наклона отрезка FM к оси Ох, где точка F фокус параболы. |
|
|
208 |
Даны полярные уравнения следующих линий. Составить параметрические уравнения этих линий в декартовых прямоугольных координатах, совмещая положительную полуось абсцисс с полярной осью и выбирая в качестве параметра полярный угол. |
|
|
208.1 |
; |
|
|
208.2 |
; |
|
|
208.3 |
. |
|
|
209 |
Даны параметрические уравнения линий. Исключив параметр t, найти уравнения этих линий в виде F(x, y)=0. |
|
|
209.1 |
, ; |
|
|
209.2 |
, ; |
|
|
209.3 |
, ; |
|
|
209.4 |
, ; |
|
|
209.5 |
, ; |
|
|
209.6 |
, ; |
|
|
209.7 |
, . |
ЧАСТЬ 3. Линии первого порядка
Глава 12. Общее уравнение прямой. Уравнение прямой с угловым коэффициентом. Угол между двумя прямыми. Условие параллельности и перпендикулярности двух прямых
|
210 |
Определить, какие из точек M1(3; 1), M2(2; 3), M3(6; 3), M4(-3; -3), M5(3; -1), M6(-2; 1) лежат на прямой и какие на ней не лежат. |
|
|
211 |
Точки P1, P2, P3, P4, P5 расположены на прямой ; их абсциссы соответственно равны числам 4; 0; 2; -2; -6. Определить ординаты этих точек. |
|
|
212 |
Точки Q1, Q2, Q3, Q4, Q5 расположены на прямой ; их ординаты соответственно равны числам 1; 0; 2; -1, 3. Определить абсциссы этих точек. |
|
|
213 |
Определить точки пересечения прямой с координатными осями и построить эту прямую на чертеже. |
|
|
214 |
Найти точку пересечения двух прямых , . |
|
|
215 |
Стороны АВ, ВС и АС треугольника АВС даны соответственно уравнениями , , . Определить координаты его вершин. |
|
|
216 |
Даны уравнения двух сторон параллелограмма , и уравнение одной из его диагоналей . Определить координаты вершин этого параллелограмма. |
|
|
217 |
Стороны треугольника лежат на прямых , , . Вычислить его площадь S. |
|
|
218 |
Площадь треугольника S=8, две его вершины суть точки А(1; -2), В(2; 3), а третья вершина С лежит на прямой . Определить координаты вершины С. |
|
|
219 |
Площадь треугольника S=1,5, две его вершины суть точки А(2; -3), В(3; -2), центр масс этого треугольника лежит на прямой . Определить координаты третьей вершины С. |
|
|
220 |
Составить уравнение прямой и построить прямую на чертеже, зная ее угловой коэффициент k и отрезок b, отсекаемый ею на оси Oy: |
|
|
220.1 |
k=2/3, b=3; |
|
|
220.2 |
k=3, b=0; |
|
|
220.3 |
k=0, b=-2; |
|
|
220.4 |
k=-3/4, b=3; |
|
|
220.5 |
k=-2, b=-5; |
|
|
220.6 |
k=-1/3, b=2/3. |
|
|
221 |
Определить угловой коэффициент k и отрезок b, отсекаемый на оси Oy, для каждой из прямых: |
|
|
221.1 |
; |
|
|
221.2 |
; |
|
|
221.3 |
; |
|
|
221.4 |
; |
|
|
221.5 |
. |
|
|
222 |
Дана прямая . Определить угловой коэффициент k прямой: |
|
|
222.1 |
Параллельной данной прямой; |
|
|
222.2 |
Перпендикулярно к данной прямой. |
|
|
223 |
Дана прямая . Составить уравнение прямой, проходящей через точку М0(2; 1): |
|
|
223.1 |
Параллельно данной прямой; |
|
|
223.2 |
Перпендикулярно данной прямой. |
|
|
224 |
Даны уравнения двух сторон прямоугольника , и одна из его вершин А(2; -3). Составить уравнения двух других сторон этого прямоугольника. |
|
|
225 |
Даны уравнения двух сторон прямоугольника , и уравнение одной из его диагоналей . Найти вершины прямоугольника. |
|
|
226 |
Найти проекцию точке Р(-5; 13) относительно прямой . |
|
|
227 |
Найти точку Q, симметричную точке Р(-5; 13) относительно прямой . |
|
|
228 |
В каждом из следующих случаев составить уравнение прямой, параллельной двум данным прямым и проходящей посередине между ними: |
|
|
228.1 |
, ; |
|
|
228.2 |
, ; |
|
|
228.3 |
, ; |
|
|
228.4 |
, ; |
|
|
228.5 |
, . |
|
|
229 |
Вычислить угловой коэффициент k прямой, проходящей через две данные точки: |
|
|
229.1 |
M1(2; -5), M2(3; 2); |
|
|
229.2 |
P(-3, 1), Q(7; 8); |
|
|
229.3 |
A(5; -3), B(-1; 6). |
|
|
230 |
Составить уравнения прямых, проходящих через вершины треугольника A(5; -4), B(-1; 3), C(-3; -2) параллельно противоположным сторонам. |
|
|
231 |
Даны середины сторон треугольника M1(2; 1), M2(5; 3), M3(3; -4). Составить уравнение его сторон. |
|
|
232 |
Даны две точки P(2; 3), Q(-1; 0). Составить уравнение прямой, проходящей через точку Q перпендикулярно к отрезку . |
|
|
233 |
Составить уравнение прямой, если точка P(2; 3) служит основанием перпендикуляра, опущенного из начала координат на эту прямую. |
|
|
234 |
Даны вершины треугольника M1(2; 1), M2(-1; -1), M3(3; 2). Составить уравнения его высот. |
|
|
235 |
Стороны треугольника даны уравнениями , , . Определить точку пересечения его высот. |
|
|
236 |
Даны вершины треугольника A(1; -1), B(-2; 1), C(3; 5). Составить уравнение перпендикуляра, опущенного из вершины А на медиану, проведенную из вершины В. |
|
|
237 |
Даны вершины треугольника A(2; -2), B(3; -5), C(5; 7). Составить уравнение перпендикуляра, опущенного из вершины С на биссектрису внутреннего угла при вершине А. |
|
|
238 |
Составить уравнения сторон и медиан треугольника с вершинами A(3; 2), B(5; -2), C(1; 0). |
|
|
239 |
Через точки M1(-1; 2), M2(2; 3) проведена прямая. Определить точки пересечения этой прямой с осями координат. |
|
|
240 |
Доказать, что условие, при котором три точки M1(x1, y1), M2(x2, y2), M3(x3, y3) лежат на одной прямой, может быть записано в следующем виде: |
|
|
241 |
Доказать, что уравнение прямой, проходящей через две данные точки M1(x1, y1), M2(x2, y2), может быть записано в следующем виде: |
|
|
242 |
Даны последовательные вершины выпуклого четырехугольника A(-3; 1), B(3; 9), C(7; 6), D(-2; -6). Определить точку пересечения его диагоналей. |
|
|
243 |
Даны две смежные вершины A(-3; -1), B(2; 2) параллелограмма ABCD и точка Q(3; 0) пересечения его диагоналей. Составить уравнения сторон этого параллелограмма. |
|
|
244 |
Даны уравнения двух сторон прямоугольника , и уравнение его диагонали . Составить уравнения остальных сторон и второй диагонали этого прямоугольника. |
|
|
245 |
Даны вершины треугольника A(1; -2), B(5; 4), C(-2; 0). Составить уравнения биссектрис его внутреннего и внешнего углов при вершине А. |
|
|
246 |
Составить уравнение прямой, проходящей через точку P(3; 5) на одинаковых расстояниях от точек A(-7; 3) и B(11; -15). |
|
|
247 |
Найти проекцию точки P(-8; 12) на прямую, проходящую через точки A(2; -3), B(-5; 1). |
|
|
248 |
Найти точку M1, симметричную точке М2(8; -9) относительно прямой, проходящей через точки А(3; -4), B(-1; -2). |
|
|
249 |
На оси абсцисс найти такую точку P, чтобы сумма ее расстояний до точек M(1; 2), N(3; 4) была наименьшей. |
|
|
250 |
На оси ординат найти такую точку P, чтобы сумма ее расстояний до точек M(-3; 2), N(2; 5) была наибольшей. |
|
|
251 |
На прямой найти такую точку Р, сумма расстояний которой до точек A(-7; 1), B(-5; 5) была бы наименьшей. |
|
|
252 |
На прямой найти такую точку Р, разность расстояний которой до точек A(4; 1), B(0; 4) была бы наибольшей. |
|
|
253 |
Определить угол между двумя прямыми: |
|
|
253.1 |
, ; |
|
|
253.2 |
, ; |
|
|
253.3 |
, ; |
|
|
253.4 |
, . |
|
|
254 |
Дана прямая . Составить уравнение прямой, проходящей через точку M0(2; 1) под углом 450 к данной прямой. |
|
|
255 |
Точка А(-4; 5) является вершиной квадрата, диагональ которого лежит на прямой . Составить уравнения сторон и второй диагонали этого квадрата. |
|
|
256 |
Даны две противоположные вершины квадрата A(-1; 3), C(6; 2). Составить уравнения его сторон. |
|
|
257 |
Точка E(1; -1) является центром квадрата, одна из сторон которого лежит на прямой . Составить уравнения прямых, на которых лежат остальные стороны этого квадрата. |
|
|
258 |
Из точки M0(-2; 3) под углом к оси Ox направлен луч света. Известно, что . Дойдя до оси Ox, луч от нее отразился. Составить уравнения прямых, на которых лежат падающий и отраженный лучи. |
|
|
259 |
Луч света направлен по прямой , луч от нее отразился. Составить уравнение прямой, на которой лежит отраженный луч. |
|
|
260 |
Даны уравнения сторон треугольника , , . Доказать, что этот треугольник равнобедренный. Решить задачу при помощи сравнения углов треугольника. |
|
|
261 |
Доказатть, что уравнение прямой, проходящей через точку M1(x1; y1) параллельно прямой , может быть записано в виде . |
|
|
262 |
Составить уравнение прямой, проходящей через точку М1(2: -3) параллельно прямой: |
|
|
262.1 |
; |
|
|
262.2 |
; |
|
|
262.3 |
; |
|
|
262.4 |
; |
|
|
262.5 |
. |
|
|
263 |
Доказать, что условие перпендикулярности прямых ; может быть записано в следующем виде: . |
|
|
264 |
Установить, какие из следующих пар прямых перпендикулярны. Решить задачу, не вычисляя угловых коэффициентов данных прямых. |
|
|
264.1 |
, ; |
|
|
264.2 |
, ; |
|
|
264.3 |
, ; |
|
|
264.4 |
, ; |
|
|
264.5 |
, ; |
|
|
264.6 |
, . |
|
|
265 |
Доказать, что формула для определения угла между прямыми , может быть записана в следующей форме: |
|
|
266 |
Определить угол , образованный двумя прямыми. Решить задачу, не вычисляя угловых коэффициентов данных прямых. |
|
|
266.1 |
, ; |
|
|
266.2 |
, ; |
|
|
266.3 |
, . |
|
|
267 |
Даны две вершины треугольника M1(-10; 2), M2(6; 4); его высоты пересекаются в точке N(5; 2). Определить координаты третьей вершины M3. |
|
|
268 |
Даны две вершины A(3; -1), B(5; 7) треугольника ABC и точка N(4; -1) пересечения его высот. Составить уравнения сторон этого треугольника. |
|
|
269 |
В треугольнике АВС даны: уравнение стороны АВ: , уравнения высот АМ: и BN: . Составить уравнения двух других сторон и третьей высоты этого треугольника. |
|
|
270 |
Составить уравнения сторон треугольника АВС, если даны одна из его вершина А(1; 3) и уравнения двух медиан , . |
|
|
271 |
Составить уравнения сторон треугольника, сли даны одна из его вершин B(-4; -5) и уравнения двух высот , . |
|
|
272 |
Составить уравнения сторон треугольника, зная одну из его вершин A(4; -1) и уравнения двух биссектрис , . |
|
|
273 |
Составить уравнения сторон треугольника, зная одну из его вершин B(2; 6), а также уравнения высоты и биссектрисы , проведенных из одной вершины. |
|
|
274 |
Составить уравнения сторон треугольника, зная одну его вершину B(2; -1), а также уравнения высоты и биссектрисы , проведенных из различных вершин. |
|
|
275 |
Составить уравнения сторон треугольника, зная одну его вершину C(4; -1), а также уравнения высоты и медианы , проведенной из одной вершины. |
|
|
276 |
Составить уравнения сторон треугольника, зная одну его вершину B(2; -7), а также уравнения высоты и медианы , проведенных из различных вершин. |
|
|
277 |
Составить уравнения сторон треугольника, зная одну его вершину C(4; 3), а также уравнения биссектрисы и медианы , проведенных из одной вершины. |
|
|
278 |
Составить уравнения сторон треугольника, зная одну его вершину A(3; -1), а также уравнения биссектрисы и медианы , проведенных из различных вершин. |
|
|
279 |
Составить уравнение прямой, которая проходит черезначало координат и вместе с прямыми , образует треугольник с площадью, равной 1,5. |
|
|
280 |
Среди прямых, проходящих через точку P(3; 0), найти такую, отрезок которой, заключенный между прямыми , , делится в точке Р пополам. |
|
|
281 |
Через точку Р(-3; -1) проведены всевозможные прямые. Доказать, что отрезок каждой из них, заключенный между прямыми , , делится в точке Р пополам. |
|
|
282 |
Через точку Р(0; 1) проведены всевозможные прямые. Доказать, что среди них нет прямой, отрезок которой, заключенный между прямыми , , делился бы в точке Р пополам. |
|
|
283 |
Составить уравнение прямой, проходящей через начало координат, зная, что длина ее отрезка, заключенного между прямыми , , равна . |
|
|
284 |
Составить уравнение прямой, проходящей через точку С(-5; 4), зная, что длина ее отрезка, заключенного между прямыми , , равна 5. |
Глава 13. Неполные уравнения прямой. Совместное исследование уравнений двух и трех прямых. Уравнение прямой "в отрезках"
|
285 |
Определить, при каком значении a прямая : |
|
|
285.1 |
Параллельна оси абсцисс; |
|
|
285.2 |
Параллельна оси ординат; |
|
|
285.3 |
Проходит через начало координат. |
|
|
286 |
Определить, при каких значениях m и n прямая параллельна оси абсцисс и отсекает на оси ординат отрезок, равный 3 (считая от начала координат). Написать уравнение этой прямой. |
|
|
287 |
Определить, при каких значениях m и n прямая параллельна оси ординат и отсекает на оси абсцис отрезок, равный +5 (считая от начала координат). Написать уравнение этой прямой. |
|
|
288 |
Доказать, что в следующих случаях две данные прямые пересекаются, и найти точку их пересечения: |
|
|
288.1 |
, ; |
|
|
288.2 |
, ; |
|
|
288.3 |
, ; |
|
|
288.4 |
, ; |
|
|
288.5 |
, . |
|
|
289 |
Доказать, что в следующих случаях две данные прямые параллельны: |
|
|
289.1 |
, ; |
|
|
289.2 |
, ; |
|
|
289.3 |
, ; |
|
|
289.4 |
, . |
|
|
290 |
Доказать, что в следующих случаях две данные прямые параллельны: |
|
|
290.1 |
, ; |
|
|
290.2 |
, ; |
|
|
290.3 |
, . |
|
|
291 |
Определить, при каких значениях a и b две прямые , : |
|
|
291.1 |
Имеют одну общую точку; |
|
|
291.2 |
Параллельны; |
|
|
291.3 |
Совпадают |
|
|
292 |
Определить, при каких значениях m и n две прямые , : |
|
|
292.1 |
Параллельны; |
|
|
292.2 |
Совпадают; |
|
|
292.3 |
Перпендикулярны. |
|
|
293 |
Определить, при каком значении m две прямые , пересекаются в одной точке, лежащей на оси абсцисс. |
|
|
294 |
Определить, при каком значении m две прямые , пересекаются в точке, лежающей на оси ординат. |
|
|
295 |
Установить, пересекаются ли в одной точке три прямые в следующих случаях: |
|
|
295.1 |
, , ; |
|
|
295.2 |
, , ; |
|
|
295.3 |
, , . |
|
|
296 |
Доказать, что если три прямые , , пересекаются в одной точке, то . |
|
|
297 |
Доказать, что если , то три прямые , , пересекаются в одной точке или параллельны. |
|
|
298 |
Определить, при каком значении а три прямые , , будут пересекаться в одной точке. |
|
|
299 |
Даны прямые. Составить для них уравнения «в отрезках» и построить эти прямые на чертеже. |
|
|
299.1 |
; |
|
|
299.2 |
; |
|
|
299.3 |
; |
|
|
299.4 |
; |
|
|
299.5 |
. |
|
|
300 |
Вычислить площадь треугольника, отсекаемого прямой от координатного угла. |
|
|
301 |
Составить уравнение прямой, которая проходит через точку M1(3; -7) и отсекает на коордиатных осях отличные от нуля отрезки одинаковой величины (считая каждый отрезок направленным от начала координат). |
|
|
302 |
Составить уравнение прямой, которая проходит через точку P(2; 3) и отсекает на координатных осях отрезки равной длины, считая каждый отрезок от начала координат. |
|
|
303 |
Составить уравнение прямой, которая проходит через точку С(1; 1) и отсекает от координатного угла треугольник с площадью, равно 2. |
|
|
304 |
Составить уравнение прямой, которая проходит через точку В(5; -5) и отсекает от координатного угла треугольник с площадью, равной 50. |
|
|
305 |
Составить уравнение прямой, которая проходит через точку Р(8; 6) и отсекает от координатного угла треугольник с площадью, равной 12. |
|
|
306 |
Составить уравнение прямой, которая проходит через точку Р(12; 6) и отсекает от координатного угла треугольник с площадью, равной 15. |
|
|
307 |
Через точку М(4; 3) проведена прямая, отсекающая от координатного угла треугольник, площадь которого равна 3. Определить точки пересечения той прямой с осями координат. |
|
|
308 |
Через точку M1(x1, y1), где x1y1>0, проведена прямая , отсекающая от координатного угла треугольник, площадь которого равна S. Определить, при каком соотношении между величинами x1, y1 и S отрезки a и b будут иметь одинаковые знаки. |
Глава 14. Нормальное уравнение прямой. Расстояние от точки до прямой
|
309 |
Определить, какие из следующих уравнений прямых являются нормальными: |
|
|
309.1 |
; |
|
|
309.2 |
; |
|
|
309.3 |
; |
|
|
309.4 |
; |
|
|
309.5 |
; |
|
|
309.6 |
; |
|
|
309.7 |
; |
|
|
309.8 |
. |
|
|
310 |
Привести общее уравнение прямой к нормальному виду в каждом из следующих случаев: |
|
|
310.1 |
; |
|
|
310.2 |
; |
|
|
310.3 |
; |
|
|
310.4 |
; |
|
|
310.5 |
. |
|
|
311 |
Даны уравнения прямых. Определить полярный угол нормали и отрезок p для каждой из данных прямых: по полученным значениям параметров и р построить эти прямые на четеже (в последних двух случаях построение прямой выполнить, считая =300 и q=2). |
|
|
311.1 |
; |
|
|
311.2 |
; |
|
|
311.3 |
; |
|
|
311.4 |
; |
|
|
311.5 |
; |
|
|
311.6 |
; |
|
|
311.7 |
; |
|
|
311.8 |
, q>0, - острый угол. |
|
|
311.9 |
, q>0, - острый угол. |
|
|
312 |
Вычислить величину отклонения и расстояние d от точки до прямой в каждом из следующих случаев: |
|
|
312.1 |
A(2; -1), ; |
|
|
312.2 |
B(0; -3), ; |
|
|
312.3 |
P(-2; 3), ; |
|
|
312.4 |
Q(1; -2), . |
|
|
313 |
Установить, лежат ли точка М(1; -3) и начало координат по одну или разные стороны каждой из следующих прямых: |
|
|
313.1 |
; |
|
|
313.2 |
; |
|
|
313.3 |
; |
|
|
313.4 |
; |
|
|
313.5 |
. |
|
|
314 |
Точка А(2; -5) является вершиной квадрата, одна из сторон которого лежит на прямой . Вычислить площадь этого квадрата. |
|
|
315 |
Даны уравнения двух сторон прямоугольника , и одна из его вершин А(-2; 1). Вычислить площадь этого прямоугольника. |
|
|
316 |
Доказать, что прямая пересекает отрезок, ограниченный точками А(-5; 1), В(3; 7). |
|
|
317 |
Доказать, что прямая не пересекает отрезка, ограниченного точками M1(-2; -3), M2(1; -2). |
|
|
318 |
Последовательные вершины четырехугольника суть точки A(-1; 6), B(-1; -4), C(7; -1), D(2; 9). Установить, является ли этот четырехугольник выпуклым. |
|
|
319 |
Последовательные вершины четырехугольника суть точки A(-1; 6), B(1; -3), C(4; 10), D(9; 0). Установит, является ли этот четырехугольник выпуклым. |
|
|
320 |
Даны вершины треугольника A(-10; -13), B(-2; 3), C(2; 1). Вычислить длину перпендикуляра, оущенного из вершины В на медиану, проведенную из вершины С. |
|
|
321 |
Стороны АВ, ВС, СА треугольника АВС, соответственно даны уравнениями , , . Вычислить расстояние от центра масс этого треугольника до стороны ВС. |
|
|
322 |
Вычислить расстояние d между параллельными прямыми в каждом из следующих случаев: |
|
|
322.1 |
, ; |
|
|
322.2 |
, ; |
|
|
322.3 |
, ; |
|
|
322.4 |
, . |
|
|
323 |
Две стороны квадрата лежат на прямых , . Вычислить его площадь. |
|
|
324 |
Доказать, что прямая параллельна прямым , и делит расстояние между ними пополам. |
|
|
325 |
Даны параллельные прямые , , . Установить, что первая из них лежит между двумя другими, и вычислить отношение, в котором она делит расстояние между ними. |
|
|
326 |
Доказать, что через точку Р(2; 7) можно провести две прямые так, чтобы их расстояния от точки Q(1; 2) были равны 5. Составить уравнения этих прямых. |
|
|
327 |
Доказать, что через точку Р(2; 5) можно провести две прямые так, чтобы их расстояния от точки Q(5; 1) были равны 3. Составить уравнения этих прямых. |
|
|
328 |
Доказать, что через точку С(7; -2) можно провести только одну прямую так, чтобы расстояние ее от точки А(4; -6) было равно 5. Составить ее уравнение. |
|
|
329 |
Доказать, что через точку В(4; -5) невозможно провести прямую, чтобы расстояние от точки С(-2; 3) было равно 12. |
|
|
330 |
Вывести уравнение геометрического места точек, отклонение которых от прямых равно 2. |
|
|
331 |
Составить уравнение прямых, параллельных прямой и отстоящие от нее на расстояние d=3. |
|
|
332 |
Даны две смежные вершины квадрата А(2; 0) и В(-1; 4). Составить уравнения его сторон. |
|
|
333 |
Точка А(5; -1) является вершиной квадрата, одна из сторон которого лежит на прямой . Составить уравнения прямых, на которых лежат остальные стороны этого квадрата. |
|
|
334 |
Даны уравнения двух сторон квадрата , и одна из его вершин А(2; -3). Составить уравнения двух других сторон этого квадрата. |
|
|
335 |
Даны уравнения двух сторон квадрата , . Составить уравнения двух других его сторон при условии, что точка M1(-3; 5) лежит на стороне этого квадрата. |
|
|
336 |
Отклонения точки М от прямых , равны соответственно 3 и 5. Определить координаты точки М. |
|
|
337 |
Составить уравнение прямой, проходящей через точку Р(-2; 3) на одинаковых расстояниях от точек А(5; -1) и В(3; 7). |
|
|
338 |
Составить уравнения биссектрис углов, образованных двумя пересекающимися прямыми: |
|
|
338.1 |
, ; |
|
|
338.2 |
, ; |
|
|
338.3 |
, ; |
|
|
339 |
Составить уравнения биссектрис углов, образованных двумя пересекающимися прямыми: |
|
|
339.1 |
, ; |
|
|
339.2 |
, ; |
|
|
339.3 |
, . |
|
|
340 |
Составить уравнения прямых, которые проходят через точку Р(2; -1) и вместе с прямыми , образуют равнобедренные треугольники. |
|
|
341 |
Определить, лежат ли точки М(1; -2) и начало координат в одном, в смежных или вертикальных углах, образованных при пересечении двух прямых: |
|
|
341.1 |
, ; |
|
|
341.2 |
, ; |
|
|
341.3 |
, . |
|
|
342 |
Определить, лежат ли точки М(2; 3) и N(5; -1) в одном, в смежных или вертикальных углах, образованных при пересечении двух прямых: |
|
|
342.1 |
, ; |
|
|
342.2 |
, ; |
|
|
342.3 |
, . |
|
|
343 |
Определить, лежит ли начало координат внутри или вне треугольника, стороны которого даны уравнениями , , . |
|
|
344 |
Определить, лежит ли точка М(-3; 2) внутри или вне треугольника стороны которого даны уравнениями , , . |
|
|
345 |
Определить, какой из углов, острый или тупой, образованных двумя прямыми , содержит начало координат. |
|
|
346 |
Определить, какой из углов, острый или тупой, образованный двумя прямыми , , содержит точку М(2; -5). |
|
|
347 |
Составить уравнение биссектрисы угла между прямыми , , в котором лежит начало координат. |
|
|
348 |
Составить уравнение биссектрисы угла между прямыми , , смежного с углом, содержащего начало координат. |
|
|
349 |
Составить уравнение биссектрисы угла между прямыми , , в котором лежит точка М(1; -3). |
|
|
350 |
Составить уравнение биссектрисы угла между прямыми , , смежного с углом, содержащим точку С(2; -1). |
|
|
351 |
Составить уравнение биссектрисы острого угла, образованного двумя прямыми , . |
|
|
352 |
Составить уравнение биссектрисы тупого угла, образованного двумя прямыми , . |
Глава 15. Уравнение пучка прямых
|
353 |
Найти центр пучка прямых, данного уравнением . |
|
|
354 |
Найти уравнение прямой, принадлежащей пучку прямых и |
|
|
354.1 |
Проходящей через точку А(3; -1); |
|
|
354.2 |
Проходящей через начало координат; |
|
|
354.3 |
Параллельной оси Ox; |
|
|
354.4 |
Параллельной оси Oy; |
|
|
354.5 |
Параллельной прямой ; |
|
|
354.6 |
Перпендикулярной к прямой . |
|
|
355 |
Составить уравнение прямой, проходящей через точку пересечения прямых , и отсекающий на оси ординат отрезок b=-3. Решить задачу, не определяя координат точки пересечения данных прямых. |
|
|
356 |
Составить уравнение прямой, которая проходит через точку пересечения прямых , и делит пополам отрезок, ограниченный точками M1(5; -6), M2(-1; -4). Решить задачу, не вычисляя координат точки пересечения данных прямых. |
|
|
357 |
Дано уравнение пучка прямых . Написать уравнение прямой этого пучка, проходящей через центр масс однородной треугольной пластинки, вершины которой суть точки A(-1; 2), B(4; -4), C(6; -1). |
|
|
358 |
Дано уравнение пучка прямых . Найти прямую этого пука, проходящую через середину отрезка прямой , заключенного между прямыми , . |
|
|
359 |
Даны уравнения сторон треугольника , , . Не определяя координат его вершин, составить уравнения высот этого трегоульника.
(ВНИМАНИЕ. ИЗОБРАЖЕНИЕ РЕШЕНИЯ ОБРЕЗАНО ВНИЗУ. РЕШЕНИЕ НЕ ПОЛНОЕ). |
|
|
360 |
Составить уравнение прямой, проходящей через точку пересечения прямых , под углом 450 к прямой . Решить задачу, не вычисляя координат точки пересечения данных прямых. |
|
|
361 |
В треугольнике АВС даны уравнения высоты AN: , высоты BN: и стороны АВ: . Не определяя координат вершин и точки пересечения высот треугольника, составить уравнение двух других сторон и третьей высоты. |
|
|
362 |
Составить уравнения сторон треугольника АВС, зная одну его вершину А(2; -1), а также уравнения высоты и биссектрисы , проведенных из одной вершины. Решить задачу, не вычисляя координат вершин В и С. |
|
|
363 |
Дано уравнение пучка прямых . Найти прямые этого пучка, отрезки которых, заключенные между прямыми , , равны . |
|
|
364 |
Дано уравнение пучка прямых . Доказать, что прямая принадлежит этому пучку. |
|
|
365 |
Дано уравнение пучка прямых . Доказать, что прямая не принадлежит этому пучку. |
|
|
366 |
Дано уравнение пучка прямых . Найти, при каком значении С прямая будет принадлежать этому пучку. |
|
|
367 |
Дано уравнение пучка прямых . Найти, при каких значениях a прямая не будет принадлежать этому пучку. |
|
|
368 |
Центр пучка прямых является вершиной квадрата, диагональ которого лежит на прямой . Составить уравнения сторон и второй диагонали этого квадрата. |
|
|
369 |
Дано уравнение пучка прямых . Найти прямую этого пучка, отсекающую на координатных осях отличные от нуля отрезки равной величины (считая от начала координат). |
|
|
370 |
Дано уравнение пучка прямых . Найти прямые этого пучка, отсекающие на координатных осях отрезки равной длины (считая от начала координат). |
|
|
371 |
Дано уравнение пучка прямых . Найти прямые этого пучка, отсекающие от координатных углов треугольники с площадью, равной 9. |
|
|
372 |
Дано уравнение пучка прямых . Доказать, что среди прямых этого пучка существует только одна прямая, отстоящая от точки Р(2; -3) на расстояние . Написать уравнение этой прямой. |
|
|
373 |
Дано уравнение пучка прямых . Доказать, что среди прямых этого пучка нет прямой, отстоящей от точки Р(3; -1) на расстояние d=3. |
|
|
374 |
Составить уравнение прямой, проходящей через точку пересечения прямых , и отстоящей от точки С(-1; 2) на расстояние d=5. Решить задачу, не вычисляя точки пересечения даных прямых. |
|
|
375 |
Дано уравнение пучка прямых . Написать уравнения прямых этого пучка, которые вместе с прямыми , образуют равнобедренные треугольники. |
|
|
376 |
Составить уравнение прямой, которая проходит через точку пересечения прямых , на одинаковых расстояниях от точек А(3; -2) и В(-1; 6). Решить задачу, не вычисляя координат точки пересечения данных прямых. |
|
|
377 |
Даны уравнения двух пучков прямых , . Не определяя их центров, составить уравнение прямой, принадлежащей обоим пучкам. |
|
|
378 |
Стороны АВ, ВС, CD, DA четырехугольника ABCD заданы соответственно уравнениями , , , . Не определяя координат вершин этого четырехугольника, составить уравнения его диагоналей AC и BD. |
|
|
379 |
Центр пучка прямых является одной из вершин треугольника, две высоты которого даны уравнениями , . Составить уравнения сторон этого треугольника. |
Глава 16. Полярное уравнение прямой
|
380 |
Вывести полярное уравнение прямой, зная ее расстояние от полюса p и полярный угол нормали . Задача 0380 РЕШЕНИЕ. 1-Й СПОСОБ. На данной прямой s (рис.) возьмем произвольную точку М с полярными координатами и . Точку пересечения прямой s с ее нормалью обозначим буквой Р. Из прямоугольного треугольника ОРМ находим: (1) Мы получили уравнение с двумя переменными и , которму удовлетворяют координаты всякой точки М, лежащей на прямой s, и не удовлетворяют координаты никакой точки, не лежащей на этой прямой. Следовательно, уравнение (1) является уравнением прямой. Таким образом, задача решена. 2-Й СПОСОБ. Будем рассматривать декартову прямоугольную систему координат, положительная полуось абсцисс которой совпадает с полярной осью заданной полярной системы. В этой декартовой системе имеем нормальное уравнение прямой s: (2) Воспользуемся формулами преобразования полярных координат в декартовы: , (3) Подставив в уравнение (2) вместо х и у выражения (3), получим или . |
|
|
381 |
Вывести полярное уравнение прямой, если даны: |
|
|
381.1 |
Угол наклона прямой к полярной оси и длину перпендикуляра p,опущенного из полюса на эту пряму; написать уравнение этой прямой в случае , p=3; |
|
|
381.2 |
Отрезок а, который отсекает прямая на полярной оси, осчитая от полюса, и полярный угол нормали этой прямой; написать уравнение этой прямой в случае а=2; ; |
|
|
381.3 |
Угол наклона прямой к полярной оси и отрезок а, который отекает прямая на полярной оси, считая от полюса; написать уравнение этой прямой в случае , а=6. |
|
|
382 |
Вывести полярное уравнение прямой, проходящей через точку M1(; ) и наклоненной к полярной оси под углом . |
|
|
383 |
Вывести полярное уравнение прямой, проходящей через точку M1(; ), полярный угол нормали которой равен . |
|
|
384 |
Составить уравнение прямой, проходящей через точки M1(; ) и M2(; ). |
ЧАСТЬ 4. Геометрические свойства линий второго порядка
Глава 17. Окружность
|
385 |
Составить уравнение окружности в каждом из следующих случаев: |
|
|
385.1 |
центр окружности совпадает с началом координат и ее радиус R=3; |
|
|
385.2 |
центр окружности совпадает с точкой С(2; -3) и ее радиус R=7; |
|
|
385.3 |
окружность проходит через начало координат и ее центр совпадает с точкой С(6; -8); |
|
|
385.4 |
окружность проходит через точку А(2; 6) и ее центр совпадает с точкой С(-1; 2); |
|
|
385.5 |
точки А(3; 2) и В(-1; 6) являются концами одного из диаметров окружности; |
|
|
385.6 |
центр окружности совпадает с началом координат и прямая является касательной к окружности; |
|
|
385.7 |
центр окружности совпадает с точкой С(1; -1) и прямая является касательной к окружности; |
|
|
385.8 |
окружность проходит через точки А(3; 1) и В(-1; 3), а ее центр лежит на прямой ; |
|
|
385.9 |
окружность проходит через три точки А(1; 1), В(1; -1), С(2; 0); |
|
|
385.10 |
окружность проходит через три точки: М1(-1; 5), М2(-2; -2). М3(5; 5). |
|
|
386 |
Точка С(3; -1) является центром окружности, отсекающей на прямой хорду, длина которой равна 6. Составить уравнение этой окружности. |
|
|
387 |
Написать уравнения окружностей радиуса , касающихся прямой в точке М1(3; 1). |
|
|
388 |
Составить уравнение окружности, касающейся прямых , , причем одна из них в точке А(2; 1). |
|
|
389 |
Составить уравнения окружностей, которые проходят через точку А(1; 0) и касаются прямых , . |
|
|
390 |
Составить уравнение окружности, которая, имея центр на прямой , касается прямых , . |
|
|
391 |
Составить уравнения окружностей, касающихся прямых , , причем одной из них в точке М1(1; 2). |
|
|
392 |
Составить уравнения окружностей, проходящих через начало координат и касающихся прямых , . |
|
|
393 |
Составить уравнение окружностей, которые, имея центры на прямой , касаются прямых , . |
|
|
394 |
Написать уравнения окружностей, проходящих через точку А(-1; 5) и касающихся прямых , . |
|
|
395 |
Написать уравнения окружностей, касающихся прямых , , . |
|
|
396 |
Написать уравнения окружностей, касающихся прямых , , . |
|
|
397 |
Какие из нижеприводимых уравнений определяют окружности? Найти центр С и радиус R каждой из них: |
|
|
397.1 |
; |
|
|
397.2 |
; |
|
|
397.3 |
; |
|
|
397.4 |
; |
|
|
397.5 |
; |
|
|
397.6 |
; |
|
|
397.7 |
; |
|
|
397.8 |
; |
|
|
397.9 |
; |
|
|
397.10 |
. |
|
|
398 |
Установить, какие линии определяются следующими уравнениями. Изобразить эти линии на чертеже. |
|
|
398.1 |
; |
|
|
398.2 |
; |
|
|
398.3 |
; |
|
|
398.4 |
; |
|
|
398.5 |
; |
|
|
398.6 |
; |
|
|
398.7 |
; |
|
|
398.8 |
; |
|
|
398.9 |
; |
|
|
398.10 |
. |
|
|
399 |
Установить, как расположена точка А(1; -2) относительно каждой из следующих окружностей внутри, вне или на контуре: |
|
|
399.1 |
; |
|
|
399.2 |
; |
|
|
399.3 |
; |
|
|
399.4 |
; |
|
|
399.5 |
. |
|
|
400 |
Определить уравнение линии центров двух окружностей, заданных уравнениями: |
|
|
400.1 |
и ; |
|
|
400.2 |
и ; |
|
|
400.3 |
и ; |
|
|
400.4 |
и . |
|
|
401 |
Составить уравнение диаметра окружности , перпендикулярного к прямой . |
|
|
402 |
Вычислить кратчайшее расстояние от точки до окружности в каждом из следующих случаев: |
|
|
402.1 |
А(6; -8), ; |
|
|
402.2 |
В(3; 9), ; |
|
|
402.3 |
С(-7; 2), . |
|
|
403 |
Определить координаты точек пересечения прямой и окружности . |
|
|
404 |
Определить, как расположена прямая относительно окружности (пересекает ли, касаетлся или проходит вне ее), если прямая и окружность заданы следующими уравнениями: |
|
|
404.1 |
, ; |
|
|
404.2 |
, ; |
|
|
404.3 |
, . |
|
|
405 |
Определить, при каких значениях углового коэффициента k прямая : |
|
|
405.1 |
пересекает окружность ; |
|
|
405.2 |
касается этой окружности; |
|
|
405.3 |
проходит вне этой окружности. |
|
|
406 |
Вывести условие, при котором прямая касается окружности . |
|
|
407 |
Составить уравнние диаметра окружности , проходящего через середину хорды, отсекаемой на прямой . |
|
|
408 |
Составить уравнение хорды окружности , делящейся в точке М(8,5; 3,5) пополам. |
|
|
409 |
Определить длину хорды окружности , делящейся в точке А(1; 2) пополам. |
|
|
410 |
Дано уравнение пучка прямых . Найти прямые этого пучка, на которых окружность отсекает хорды длиною . |
|
|
411 |
Даны окружности , , пересекающиеся в точках М1(x1, y1), М2(x2, y2). Доказать, что любая окружность, проходящая через точки М1, М2, а также прямая М1М2 могут быть определены уравнением вида при надлежащем выборе числе и . |
|
|
412 |
Составить уравнение окружности, проходящей через точку А(1; -1) и точки пересечения окружностей , . |
|
|
413 |
Составить уравнение окружности, проходящей через начало координат и точки пересечения окружностей , . |
|
|
414 |
Составить уравнение прямой, проходящей через точки пересечения окружностей , . |
|
|
415 |
Вычислить расстояние от центра окружности до прямой, проходящей через точки пересечения окружностей , . |
|
|
416 |
Определить длину общей хорды окружностей , . |
|
|
417 |
Центр окружности лежит на прямой . Составить уравнение этой окружности, если известно, что она проходит через точки пересечения окружностей , . |
|
|
418 |
Составить уравнение касательной к окружности в точке А(-1; 2). |
|
|
419 |
Составить уравнение касательной к окружности в точке А(-5; 7). |
|
|
420 |
На окружности найти точку М1, ближайшую к прямой , и вычислить расстояние d от точки М1 до этой прямой. |
|
|
421 |
Точка М1(x1, y1) лежит на окружности . Составить уравнение касательной к этой окружности в точке М1. |
|
|
422 |
Точка М1(x1, y1) лежит на окружности . Составить уравнение касательной к этой окружности в точке М1. |
|
|
423 |
Определить острый угол, образованный при пересечении прямой и окружности (углом между прямой и окружности называется угол между прямой и касательной к окружности, проведенной к точке их пересечения). |
|
|
424 |
Определить, при каким углом пересекаются окружности , (углом между окружностями называется угол между их касательными в точке пересечения). |
|
|
425 |
Вывести условие, при котором окружности, пересекаются под прямым углом. |
|
|
426 |
Доказать, что окружности , пересекаются под прямым углом. |
|
|
427 |
Из точки А(5/3; -5/3) проведены касательной к окружности . Составить их уравнения. |
|
|
428 |
Из точки А(1; 6) проведены касательные к окружности . Составить их уравнения. |
|
|
429 |
Дано уравнение пучка прямых . Найти прямые этого пучка, которые касаются окружности . |
|
|
430 |
Из точки А(4; 2) проведены касательные к окружности . Определить угол, образованный этими касательными. |
|
|
431 |
Из точки Р(2; -3) проведены касательные к окружности . Составить уравнение хорды, соединяющий точки касания. |
|
|
432 |
Из точки С(6; -8) проведены касательные к окружности . Вычислить расстояние d от точки С до хорды, соединяющей точки касания. |
|
|
433 |
Из точки Р(-9; 3) проведены касательные к окружности . Вычислить расстояние d от центра окружности до хорды, соединяющей точки касания. |
|
|
434 |
Из точки Р(4; -4) проведены касательные к окружности . Вычислить длину d хорды, соединяющей точки касания. |
|
|
435 |
Вычислить длину касательной, проведенной из точки А(1; -2) к окружности . |
|
|
436 |
Составить уравнение касательных к окружности , параллельных прямой . |
|
|
437 |
Составить уравнения касательных к окружности , перпендикулярных к прямой . |
|
|
438 |
Составить уравнение окружности в полярных координатах в полярных координатах по данному радиусу R и полярным координатам центра C(R, ). |
|
|
439 |
Составить уравнение окружности в полярных координатах по данному радиусу R и полярным координатам центра окружности: |
|
|
439.1 |
C(R, 0); |
|
|
439.2 |
C(R, ); |
|
|
439.3 |
C(R, ); |
|
|
439.4 |
C(R, ). |
|
|
440 |
Определить полярные координаты центра и радиус каждой из следующих окружностей: |
|
|
440.1 |
; |
|
|
440.2 |
; |
|
|
440.3 |
; |
|
|
440.4 |
; |
|
|
440.5 |
; |
|
|
440.6 |
; |
|
|
440.7 |
). |
|
|
441 |
Окружности заданы уравнениями в полярных координатах. Составить их уравнения в декартовых прямоугольных координатах при условии, что полярная ось совпадает с положительной полуосью Ох, а полюс с началом координат. |
|
|
441.1 |
; |
|
|
441.2 |
; |
|
|
441.3 |
. |
|
|
442 |
Окружности заданы уравнениями в декартовых прямоугольных координатах. Составить уравнения этих окружностей в полярных координатах при условии, что полярная ось совпадает с положительной полуосью Ох, а полюс с началом координат. |
|
|
442.1 |
; |
|
|
442.2 |
; |
|
|
442.3 |
; |
|
|
442.4 |
; |
|
|
442.5 |
. |
|
|
443 |
Составить полярное уравнение касательной к окружности в точке М1(R, ). |
Глава 18. Эллипс
|
444 |
Составить уравнение эллипса, фокусы которого лежат на оси абсцисс симметрично относительно начала координат, зная, кроме того, что: |
|
|
444.1 |
его полуоси ранвы 5 и 2; |
|
|
444.2 |
его большая ось равна 10, а расстояние между фокусами 2c=8; |
|
|
444.3 |
его малая ось равна 24, а расстояние между фокусами 2c=10; |
|
|
444.4 |
расстояние между его фокусами 2c=6 и эксцентриситет e=3/5. |
|
|
444.5 |
его большая ось равна 20, а эксцентриситет e=3/5. |
|
|
444.6 |
его малая ось равна 10, а эксцентриситет e=12/13; |
|
|
444.7 |
расстояние между его директрисами равно 5 и расстояние между фокусами 2c=4; |
|
|
444.8 |
его большая ось равна 8, а расстояние между директрисами равно 16; |
|
|
444.9 |
его малая ось равна 6, а расстояние между директрисами равно 13; |
|
|
444.10 |
расстояние между его директрисами равно 32 и e=1/2. |
|
|
445 |
Составить уравнение эллипса, фокусы которого лежат на оси ординат симметрично начала координат, зная, кроме того, что: |
|
|
445.1 |
его полуоси равны соответственно 7 и 2; |
|
|
445.2 |
его большая ось равна 10, а расстояние между фокусами 2c=8; |
|
|
445.3 |
расстояние между его фокусами 2c=24 и эксцентриситет e=12/13. |
|
|
445.4 |
его малая ось равна 16, а эксцентриситет e=3/5. |
|
|
445.5 |
расстояние между его фокусами 2c=6 и расстояние между директрисами равно 50/3; |
|
|
445.6 |
расстояние между его директрисами равно 32/3 и эксцентриситет e=3/4. |
|
|
446 |
Определить полуоси каждого из следующих эллипсов: |
|
|
446.1 |
; |
|
|
446.2 |
; |
|
|
446.3 |
; |
|
|
446.4 |
; |
|
|
446.5 |
; |
|
|
446.6 |
; |
|
|
446.7 |
; |
|
|
446.8 |
; |
|
|
446.9 |
; |
|
|
446.10 |
. |
|
|
447 |
Дан эллипс . Найти его полуоси, фокусы, эксцентриситет, уравнения директрис. |
|
|
448 |
Вычислить площадь четырехугольника, две вершины которого лежат в фокусах эллипса , а две другие совпадают с концами его малой оси. |
|
|
449 |
Дан эллипс . Найти его полуоси, фокусы, эксцентриситет, уравнения директрис. |
|
|
450 |
Вычислить площадь четырехугольника, две вершины которого лежат в фокусах эллипса , две другие лежат с концами его малой оси. |
|
|
451 |
Вычислить расстояние от фокуса F(c; 0) эллипса до односторонней с этим фокусом директрисы. |
|
|
452 |
Пользуясь одним циркулем, построить фокусы эллипса (считая, что изображены оси координат и задана масштабная единица). |
|
|
453 |
На эллипсе найти точку, абсцисса которых равна 3. |
|
|
454 |
Определить, какие из точек A1(-2; 3), A2(2; -2), A3(2; -4), A4(-1; 3), A5(-4; -3), A6(3; -1), A7(3; -2), A8(2; 1), A9(0; 15), A10(0; -16) лежат на эллипсе , какие внутри и какие вне его. |
|
|
455 |
Установить, какие линии опеределяются следующими уравнениями. Изобразить эти линии на чертеже. |
|
|
455.1 |
; |
|
|
455.2 |
; |
|
|
455.3 |
; |
|
|
455.4 |
. |
|
|
456 |
Эксцентриситет эллипса e=2/3, фокальный радиус точки М эллипса равен 10. Вычислить расстояние от точки М до односторонней с этим фокусом директрисы. |
|
|
457 |
Эксцентриситет эллипса e=2/5, расстояние от точки эллипса до директрисы равно 20. Вычислить расстояние от точки М до фокуса, односторонней с этой директрисой. |
|
|
458 |
Дана точка М1(2; -5/3) на эллипсе ; составить уравнения прямых, на которых лежат фокальные радиусы точки М1. |
|
|
459 |
Убедившись, что точка M1(-4; 2,4) лежит на эллипсе , определить фокальные радиусы точки М1. |
|
|
460 |
Эксцентриситет эллипса e=1/3, центр его совпадает с началом координат, один из фокусов (-2; 0). Вычислить расстояние от точки М1 эллипса с абсциссой, равной 2, до директрисы, односторонней с данным фокусом. |
|
|
461 |
Эксцентриситет эллипса e=1/2, центр его совпадает с началом координат, одна из директрис дана уравнением x=16. Вычислить расстояние от точки M1 эллипса с абсциссой, равной 4, до фокуса, одностороннего с данной директрисой. |
|
|
462 |
Определить точки эллипса , расстояние которых до правого фокуса равно 14. |
|
|
463 |
Определить точки эллипса , расстояние которых до левого фокуса равно 2,5. |
|
|
464 |
Через фокус эллипса проведен перпендикуляр к его большой оси. Определить расстояния от точек пересечения этого перпендикуляра с эллипсом до фокусов. |
|
|
465 |
Составить уравнения эллипса, фокусы которого расположены на оси абсцисс симметрично относительно начала координат, если даны: |
|
|
465.1 |
точка М1(; 2) эллипса и его малая полуось b=3; |
|
|
465.2 |
точка М1(2; -2) эллипса и его большая полуось a=4; |
|
|
465.3 |
точки М1(4; ) и М2(; 3) эллипса; |
|
|
465.4 |
точка М1(; -1) эллипса и его эксцентриситет e=2/3; |
|
|
465.5 |
точка М1(2; -5/3) эллипса и его эксцентриситет e=2/3; |
|
|
465.6 |
точка М1(8; 12) эллипса и расстояние r1=20 от нее до левого фокуса. |
|
|
465.7 |
точка М1(; 2) эллипса и расстояние между его директрисами, равное 10. |
|
|
466 |
Определить эксцентриситет e эллипса, если: |
|
|
466.1 |
его малая ось видна из фокусов под углом 600; |
|
|
466.2 |
отрезок между фокусами виден и вершин малой оси под прямым углом; |
|
|
466.3 |
расстояние между директрисами в три раза больше расстояния между фокусами; |
|
|
466.4 |
отрезок перпендикуляра, опущенного из центра эллипса на его директрису, делится вершиной эллипса пополам. |
|
|
467 |
Через фокус F эллипса проведен перпендикуляр к его большой оси (см. рис.). Определить, при каком значении эксцентриситета эллипса отрезки и будут параллельны. |
|
|
468 |
Составить уравнение эллипса с полуосями a, b и центром C(x0, y0), если известно, что оси симметрии эллипса параллельны осям координат. |
|
|
469 |
Эллипс касается оси абсцисс в точке А(3; 0) и оси ординат в точке В(0; -4). Составить уравнение этого эллипса, зная, что его оси симметрии параллельны координатным осям. |
|
|
470 |
Точка С(-3; 2) является центром эллипса, касающегося обеих координатных осей. Составить уравнение этого эллипса, зная, что его оси симметрии параллельны координатным осям. |
|
|
471 |
Установить, что каждое из следующих уравнений определяет эллипс, и найти координаты его центра С, полуоси, эксцентриситет и уравнения директрис: |
|
|
471.1 |
; |
|
|
471.2 |
; |
|
|
471.3 |
. |
|
|
472 |
Установить, какие линии определяются следующими уравнениями. Изобразить эти линии на чертеже. |
|
|
472.1 |
; |
|
|
472.2 |
; |
|
|
472.3 |
; |
|
|
472.4 |
. |
|
|
473 |
Составить уравнение эллипса, зная, что: |
|
|
473.1 |
его большая ось равна 26 и фокусы суть F1(-10; 0), F2(14;0); |
|
|
473.2 |
его малая ось равна 2 и фокусы суть F1(-1; -1), F2(1; 1); |
|
|
473.3 |
его фокусы суть F1(-2; 3/3), F2(2; -3/2) и эксцентриситет e=. |
|
|
473.4 |
его фокусы суть F1(1; 3), F2(3; 1) и расстояние между директрисами равно . |
|
|
474 |
|
Составить уравнение эллипса, если известны его эксцентриситет , фокус F (-4; 1) и уравнение соответствующей директрисы |
|
475 |
Составить уравнение эллипса, если известны его эксцентриситет e=1/2, фокус F(-4; 1) и уравнение соответствующей директрисы . |
|
|
476 |
Точка А(-3; -5) лежит на эллипсе, фокус которого F(-1; -4), а соответствующая директриса дана уравнением . Составить уравнение этого эллипса. |
|
|
477 |
Составить уравнение эллипса, если известны его эксцентриситет e=1/2, фокус F(3; 0) и уравнение соответствующей директрисы . |
|
|
478 |
Точка M1(2; -1) лежит на эллипсе, фокус которого F(1; 0), а соответствующая директриса дана уравнением . Составить уравнение этого эллипса. |
|
|
479 |
Точка M1(3; -1) является концом малой оси эллипса, фокусы которого лежат на прямой . Составить уравнение этого эллипса, зная его эксцентриситет e=. |
|
|
480 |
Найти точки пересечения прямой и эллипса . |
|
|
481 |
Найти точки пересечения прямой и эллипса . |
|
|
482 |
Найти точки пересечения прямой и эллипса . |
|
|
483 |
Определить, как расположена прямая относительно эллипса: пересекает ли, касается или проходит вне его, если прямая и эллипс заданы следующими уравнениями: |
|
|
483.1 |
, ; |
|
|
483.2 |
, ; |
|
|
483.3 |
, . |
|
|
484 |
Определить, при каких начениях m прямая : |
|
|
484.1 |
пересекает эллипс ; |
|
|
484.2 |
касается его; |
|
|
484.3 |
проходит вне этого эллипса. |
|
|
485 |
Вывести условие, при котором прямая касается эллипса . |
|
|
486 |
Составить уравнение касательной к эллипсу в его точке M1(x1; y1). |
|
|
487 |
Доказать, что касательные к эллипсу , проведенные в концах одного и того же диаметра, параллельны. (Диаметром эллипса называется его хорда, проходящая через его центр). |
|
|
488 |
Составить уравнения касательных к эллипсу, параллельных прямой . |
|
|
489 |
Составить уравнения касательных к эллипсу , перпендикулярных к прямой . |
|
|
490 |
Провести касательные к эллипсу параллельно прямой и вычислить расстояние d между ними. |
|
|
491 |
На эллипсе найти точку М1, ближайшую к прямой , и вычислить расстояние d от точки М1 до этой прямой. |
|
|
492 |
Из точки А(10/3; 5/3) проведены касательные к эллипсу . Составить их уравнения. |
|
|
493 |
Из точки С(10; -8) проведены касательные к эллипсу . Составить уравнение хорды, соединяющей точки касания. |
|
|
494 |
Из точки Р(-16; 9) проведены касательные к эллипсу . Вычислить расстояние d от точки Р до хорды эллипса, соединяющей точки касания. |
|
|
495 |
Эллипс проходит через точку А(4; -1) и касается прямой . Составить уравнение этого эллипса при условии, что его оси совпадают с осями координат. |
|
|
496 |
Составить уравнение эллипса, касающегося двух прямых , , при условии, что его ося совпадают с осями координат. |
|
|
497 |
Доказать, чо произведение расстояний от центра эллипса до точки пересечения любой его касательной с фокальной осью и до основания перпендикуляра, опущенного из точки касания на фокульную ось, если величина постоянная, равная квадрату большой полуоси эллипса. |
|
|
498 |
Доказать, что произвдение расстояний от фокусов до любой касательной к эллипсу равно квадрату малой полуоси. |
|
|
499 |
Прямая касается эллипса, фокусы которого находятся в точках F1(-3; 0), F2(3; 0). Составить уравнение этого эллипса. |
|
|
500 |
Составить уравнение эллипса, фокусы которого расположены на оси абсцисс симметрично относительно начала координат, если известны уравнение касательной к эллипсу и его малая полуось b=2. |
|
|
501 |
Доказать, что прямая, касающаяся эллипса в некоторой точке М, составляет равные углы с фокальными радиусами F1M, F2M и проходит вне угла F1MF2. |
|
|
502 |
Из левого фокуса эллипса под тупым углом к оси Ox направлен луч света. Известно, что . Дойдя до эллипса, луч на него отразился. Составить уравнение прямой, на которой лежит отраженный луч. |
|
|
503 |
Определить точки пересечения эллипсов , . |
|
|
504 |
Убедившись, что эллипсы , () пересекаются в четырех точках, лежающих на окружности с центром в начале координат, определить радиус R этой окружности. |
|
|
505 |
Плоскости и образуют угол =300. Опредлить полуоси эллипса, полученного проектированием на плоскость окружности радиуса R=10,лежащей на плоскости . |
|
|
506 |
Эллипс, малая полуось которого равна 6, является проекцией окружности радиуса R=12. Опредилть угол между плоскостями, в которых лежат эллипс и окружность. |
|
|
507 |
Направляющей круглого цилиндра является окружность радиуса R=8. Определить полуоси эллипса, полученного в сечении этого цилиндра плоскостью, наклоненной к его оси под уголом =300. |
|
|
508 |
Направляющей круглого цилиндра является окружность радиуса R=. Определить, под каким углом к оси цилиндра нужно его пересечь плоскостью, чтобы в сечении получить эллипс с большой полуосью a=2. |
|
|
509 |
Равномерным сжатием (или равномерным растяжением) плоскости к оси абсцисс называется такое преобразование точек плоскости, при котором произвольная точка M(x; y) перемещается в точку M(x; y) (рис.1 ) так, что x=x, y=qy, где q>0 постоянная, называемая коэффициентом равномерного сжатия. Аналогично рпи помощи уравнения x=qx, y=y определяется равномерное сжатия плоскости к оси Oy (рис. 2). Определить, в какую линию преобразуется окружность , если коэффициент равномерного сжатия плоскости к оси абсцисс q=4/5. |
|
|
510 |
Коэффициент равномерного сжатия плоскости к оси Oy равен 3/4. Определить уравнение линии, в которую при таком сжатии преобразуется эллипс . |
|
|
511 |
Найти уравнение линии, в которую преобразуется эллипс при двух последовательных равномерных сжатиях плоскости к координатным осям, если коэффициенты равномерного сжатия плоскости к осям Ox и Oy равны соответственно 4/3 и 6/7. |
|
|
512 |
Определить коэффициент q равномерного сжатия плоскости к оси Ox, при котором эллипс преобразуется в эллипс . |
|
|
513 |
Определить коэффициент q равномерного сжатия плоскости к оси Oy, при котором эллипс преобразуется в эллипс . |
|
|
514 |
Определить коэффициенты q1, q2 двух последовательных равномерных сжатий плоскости к осям Ox и Oy, при которых эллипс преобразуется в окружность . |
Глава 19. Гипербола
|
515 |
Составить уравнение гиперболы, фокусы которой расположены на оси абсцисс симметрично относительно начала координат, зная, кроме того, что: |
|
|
515.1 |
ее оси 2a=10 и 2b=8; |
|
|
515.2 |
расстояние между фокусами 2c=10 и ось 2b=8; |
|
|
515.3 |
расстояние между фокусами 2c=6 и эксцентриситет e=3/2; |
|
|
515.4 |
ось 2a=16 и эксцентриситет e=5/4; |
|
|
515.5 |
уравнения асимптот и расстояние между фокусами 2c=20; |
|
|
515.6 |
расстояние между директрисами равно 228/13 и расстояние между фокусами 2c=26; |
|
|
515.7 |
расстояние между директрисами равно 32/5 и ось 2b=6; |
|
|
515.8 |
расстояние между директрисами равно 8/3 и эксцентриситет e=3/2; |
|
|
515.9 |
уравнения асимптот и расстояние между директрисами равно 64/5; |
|
|
516 |
Составить уравнение гиперболы, фокусы которого расположены на оси ординат симметрично относительно начала координат, зная, кроме того, что: |
|
|
516.1 |
ее полуоси a=6, b=18 (буквой а мы обозначаем полуось гиперболы, расположенной на оси абсцисс); |
|
|
516.2 |
расстояние между фокусами 2с=10 и эксцентриситет e=5/3; |
|
|
516.3 |
уравнения асимптот и расстояние между вершинами равно 48; |
|
|
516.4 |
расстояние между директрисами равно 50/7 и эксценриситет e=7/5; |
|
|
516.5 |
уравнения асимптот и расстояние между директрисами равно 32/5. |
|
|
517 |
Определить полуоси а и b каждой из следующих гипербол: |
|
|
517.1 |
; |
|
|
517.2 |
; |
|
|
517.3 |
; |
|
|
517.4 |
; |
|
|
517.5 |
; |
|
|
517.6 |
; |
|
|
517.7 |
. |
|
|
518 |
Дана гипербола . Найти: полуоси а и b, фокусы, эксцентриситет, уравнения асимптот, уравнения директрис. |
|
|
519 |
Дана гипербола . Найти: полуоси а и b, фокусы, эксцентриситет, уравнения асимптот, уравнения директрис. |
|
|
520 |
Вычислить площадь треугольника, образованного асимптотами гиперболы и прямой . |
|
|
521 |
Установить, какие линии определяются следующими уравнениями. Изобразить эти линии на чертеже. |
|
|
521.1 |
; |
|
|
521.2 |
; |
|
|
521.3 |
; |
|
|
521.4 |
. |
|
|
522 |
Дана точка M1(10; ) на гиперболе . Составить уравнения прямых, на которых лежат фокальные радиусы точки М1. |
|
|
523 |
Убедившись, что точка М1(-5; 9/4) лежит на гиперболе , определить фокальные радиусы точки М1. |
|
|
524 |
Эксцентриситет гиперболы e=2, фокальный радиус ее точки М, проведенный из некоторого фокуса, равен 16. Вычислить расстояние от точки М до односторонней с этим фокусом директрисы. |
|
|
525 |
Эксцентриситет гиперболы e=3, расстояние от точки М гиперболы до директрисы e=3, расстояние от точки М гиперболы до директрисы равно 4. Вычислить расстояние от точки М до фокуса, одностороннего с этой директрисой. |
|
|
526 |
Эксцентриситет гиперболы e=2, центр ее лежит в начале координат, один из фокусов F(12; 0). Вычислить расстояние от точки М1 гиперболы с абсциссой, равной 13, до директрисы, соответствующей заданному фокусу. |
|
|
527 |
Эксцентриситет гиперболы e=3/2, центр ее лежит в начале координат, одна из директрис дана уравнением x=-8. Вычислить расстояние от точки М1 гиперболы с абсциссой, равной 10, до фокуса, соответствующего заданной директрисе. |
|
|
528 |
Определить точки гиперболы , расстояние от которых до правого фокуса равно 4,5. |
|
|
529 |
Определить точки гиперболы , расстояние которых до левого фокуса равно 7. |
|
|
530 |
Через левый фокус гиперболы проведен перпендикуляр к ее оси, содержащей вершины. Определить расстояние от фокусов до точек пересечения этого перпендикуляра с гиперболой. |
|
|
531 |
Пользуясь одним циркулем, построить фокусы гиперболы (считая, что оси координат изображены и масштабная единица задана). |
|
|
532 |
Составить уравнение гиперболы, фокусы которой лежат на оси абсцисс симметрично относительно начала координат, если даны: |
|
|
532.1 |
точки M1(6; -1), M2(-8; ) гиперболы; |
|
|
532.2 |
точка М1(-5; 3) гиперболы и эксцентриситет e=; |
|
|
532.3 |
точка М1(9/2; -1) гиперболы с уравнения асимптот ; |
|
|
532.4 |
точка М1(-3; 5/2) гиперболы и уравнения директрис ; |
|
|
532.5 |
уравнения асимптот и уравнения директрис . |
|
|
533 |
Определить эксцентриситет равносторонней гиперболы. |
|
|
534 |
Определить эксцентриситет гиперболы, если отрезок между ее вершинами виден из фокусов сопряженной гиперболы под углом 600. |
|
|
535 |
Фокусы гиперболы совпадают с фокусами эллипса . Составить уравнение гиперболы, если ее эксцентриситет e=2. |
|
|
536 |
Составить уравнение гиперболы, фокусы которой лежат в вершинах эллипса , а директрисы проходят через фокусы этого эллипса. |
|
|
537 |
Доказать, что расстояние от фокуса гиперболы до ее асимптоты равно b. |
|
|
538 |
Доказать, что произведение расстояний от любой точки гиперболы до двух ее асимптот есть величина постоянная, равная . |
|
|
539 |
Доказать, что площадь параллелограмма, ограниченного асимптотами гиперболы и прямыми, проведенными через любую ее точку параллельно асимптотами, есть величина постоянная, равная ab/2. |
|
|
540 |
Составить уравнение гиперболы, если известны ее полуоси a и b, центр C(x0; y0) и фокусы расположены на прямой: |
|
|
540.1 |
параллельной оси Ox; |
|
|
540.2 |
параллельной оси Oy. |
|
|
541 |
Установить, что каждое из следующих уравнений определяет гиперболу, и найти координаты ее центра С, полуоси, эксцентриситет, уравнения асимптот и уравнения директрис: |
|
|
541.1 |
; |
|
|
541.2 |
; |
|
|
541.3 |
. |
|
|
542 |
Установить, какие линии определяются следующими уравнениями. Изобразить эти линии на чертеже. |
|
|
542.1 |
; |
|
|
542.2 |
; |
|
|
542.3 |
; |
|
|
542.4 |
. |
|
|
543 |
Составить уравнение гиперболы, зная, что: |
|
|
543.1 |
расстояние между ее вершинами равно 24 и фокусы суть F1(-10; 2), F2(16; 2); |
|
|
543.2 |
фокусы суть F1(3; 4), F2(-3; -4) и расстояние между директрисами равно 3,6; |
|
|
543.3 |
угол между асимптотами равен 900 и фокусы суть F1(4; -4), F2(-2; 2). |
|
|
544 |
Составить уравнение гиперболы, если известны ее эксцентриситет e=5/4, фокус F(5; 0) и уравнение соответствующей директрисы . |
|
|
545 |
Составить уравнение гиперболы, если известны ее эксцентриситет e=13/12, фокус F(0; 13) и уравнение соответствующей директирсы . |
|
|
546 |
Точка А(-3; -5) лежит на гиперболе, фокус которой F(-2; -3), а соответствующая директриса дана уравнением . Составить уравнение этой гиперболы. |
|
|
547 |
Составить уравнение гиперболы, если известны ее эксцентриситет e=, фокус F(2; -3) и уравнение соответствующей директрисы . |
|
|
548 |
Точка М1(1; -2) лежит на гиперболе, фокус которой F(-2; 2), а соответстующая директриса дана уравнением . Составить уравнение этой гиперболы. |
|
|
549 |
Дано уравнение равносторонней гиперболы . Найти ее уравнение в новой системе, приняв за оси координат ее асимптоты. |
|
|
550 |
Установив, что каждое из следующих уравнений определяет гиперболу, найти для каждой из них центр, полуоси, уравнения асимптот и построить их на чертеже: |
|
|
550.1 |
; |
|
|
550.2 |
; |
|
|
550.3 |
. |
|
|
551 |
Найти точку пересечения прямой и гиперболы . |
|
|
552 |
Найти точки пересечения прямой и гиперболы . |
|
|
553 |
Найти точки пересечения прямой и гиперболы . |
|
|
554 |
В следующих случаях определить, как расположена прямая относительно гиперболы: пересекает ли, касается или проходит вне ее: |
|
|
554.1 |
, ; |
|
|
554.2 |
, ; |
|
|
554.3 |
, . |
|
|
555 |
Определить, при каких значениях m прямая : |
|
|
555.1 |
пересекает гиперболу : |
|
|
555.2 |
касается ее; |
|
|
555.3 |
проходит вне этой гиперболы. |
|
|
556 |
Вывести условие, при котором прямая касается гиперболы . |
|
|
557 |
Составить уравнение касательной к гиперболе в ее точке M1(x1; y1). |
|
|
558 |
Доказать, что касательные к гипербле, проведенные в концах одного и того же диаметра, параллельны. |
|
|
559 |
Составить уравнения касательных к гиперболе , перпендикулярных к прямой . |
|
|
560 |
Составить уравнения касательных к гиперболе , параллельных прямой . |
|
|
561 |
Провести касательные к гиперболе параллельно прямой и вычислить расстояние d между ними. |
|
|
562 |
На гиперболе найти точку М1, ближайшую к прямой , и вычислить расстояние d от точки М1 до этой прямой. |
|
|
563 |
Составить уравнение касательной к гиперболе , проведенных из точки А(-1; -7). |
|
|
564 |
Из точки С(1; -10) проведены касательные к гиперболе . Составить уравнение хорды, соединяющей точки касания. |
|
|
565 |
Из точки Р(1; -5) проведены касательные к гиперболе . Вычислить расстояние d от точки Р до хорды гиперболы, соединяющей точки касания. |
|
|
566 |
Гипербола проходит через точку А(; 3) и касается прямой . Составить уравнение этой гиперболы при условии, что ее оси совпадают с осями координат. |
|
|
567 |
Составить уравнение гиперболы, касающейся прямых , , при условии, что ее оси совпадают с осями координат. |
|
|
568 |
Убедившись, что точки пересечения эллипса и гиперболы являются вершинами прямоугольника, составить уравнения его сторон. |
|
|
569 |
Даны гиперболы и какая-нибудь ее касательная, Р точка пересечения касательной с осью Ох, Q проекция точки касания на ту же ось. Доказать, что . |
|
|
570 |
Доказать, что фокусы гиперболы расположены по разные стороны от любой ее касательной. |
|
|
571 |
Доказать, что произведение расстояний от фокусов до любой касательной к гиперболе есть величина постоянная, равная b2. |
|
|
572 |
Прямая касается гиперболы, фокусы которой находятся в точках F1(-3; 0), F2(3; 0). Составить уравнение этой гиперболы. |
|
|
573 |
Составить уравнение гиперболы, фокусы которой расположены на оси абсцисс симметрично относительно начала координат, если известны уравнение касательной к гиперболе и расстояние между ее вершинами 2а=8. |
|
|
574 |
Доказать, что прямая, касающаяся гиперболы в некоторой точке М, составляет равные углы с фокальными радиусами F1M, F2M и проходит внутри угла F1MF2. |
|
|
575 |
Из правого фокусы гиперболы под углом (<<) к оси Ох направлен луч света. Известно, что . Дойдя до гиперболы, луч от нее отразился. Составить уравнение прямой, на которой лежит отраженный луч. |
|
|
576 |
Доказать, что эллипс и гипербола, имеющие общие фокусы, пересекаются под прямым углом. |
|
|
577 |
Коэффициент равномерного сжатия плоскости к оси Ох равен 4/3. Определить уравнение линии, в котороую при этом сжатии преобразуется гипербола . |
|
|
578 |
Коэффициент равномерного сжатия плоскости к оси Оу равен 4/5. Определить уравнение линии, в которую при этом сжатии преобразуется гипербола . |
|
|
579 |
Найти уравнение линии, в которую преобразуется гипербола при двух последовательных равноменых сжатиях плоскости к координатным осям, если коэффициенты равномерного сжатия плоскости к осям Ох и Оу соответствуют 2/3 и 5/3. |
|
|
580 |
Определить коэффициент q равномерного сжатия плоскости к оси Ох, при котором гипербола преобразуется в гиперболу . |
|
|
581 |
Определить коэффициент q равномерного сжатия плоскости к оси Оу, при котором гипербола преобразуется в гиперболу . |
|
|
582 |
Определить коэффициенты q1, q2 двух последовательных равномерных сжатий плоскости к осям Ох и Оу, при которых гипербола преобразуется в гиперболу . |
Глава 20. Парабола
|
583 |
Составить уравнение параболы, вершина которой находится в начале координат, зная, что: |
|
|
583.1 |
парабола расположена в правой полуплоскости, симметрично относительно оси Ох и ее параметр р=3; |
|
|
583.2 |
парабола расположена в левой полуплоскости симетрично относительно оси Ох и ее параметр р=0,5. |
|
|
583.3 |
парабола расположена в верхней полуплоскости симметрично относительно оси Оу и ее параметр р=1/4. |
|
|
583.4 |
парабола расположена в нижней полуплоскости симметрично оси Оу и ее параметр р=3. |
|
|
584 |
Определить величину параметра и расположение относительно координатных осей следующих парабол: |
|
|
584.1 |
; |
|
|
584.2 |
; |
|
|
584.3 |
; |
|
|
584.4 |
. |
|
|
585 |
Составить уравнение параболы, вершина которой находится в начале координат, зная, что: |
|
|
585.1 |
парабола расположена симметрично относительно оси Ох и проходит через точку А(9; 6); |
|
|
585.2 |
парабола расположена симметрично относительно оси Ох и проходит через точку В(-1; 3); |
|
|
585.3 |
парабола расположена симметрично относительно оси Оу и проходит через точку С(1; 1); |
|
|
585.4 |
парабола расположена симметрично относительно оси Оу и проходит через точку D(4; -8). |
|
|
586 |
Стальной трос подвешен за два конца; точки крепления расположены на одинаковой высоте; расстояние между ними равно 20 см. Величина его прогиба на расстоянии 2 м от точки крепления, считая по горизонтали, равна 14,4 см. Определить величину прогиба этого троса в середине между точками крепления, приближенно считая, что трос имеет форму дуги параболы. |
|
|
587 |
Составить уравнение параболы, которая имеет фокус Е(0; -3) и проходит через начало координат, зная, что ее осью служит ось Оу. |
|
|
588 |
Установить, какие линии определяются следующими уравнениями. Изобразить эти линии на чертеже. |
|
|
588.1 |
; |
|
|
588.2 |
; |
|
|
588.3 |
; |
|
|
588.4 |
; |
|
|
588.5 |
; |
|
|
588.6 |
; |
|
|
588.7 |
; |
|
|
588.8 |
. |
|
|
589 |
Найти фокус F и уравнение директрисы параболы . |
|
|
590 |
Вычислить фокальный радиус точки М параболы , если абсцисса точки М равна 7. |
|
|
591 |
Вычислить фокальный радиус точки М параболы , если ордината точки М равна 6. |
|
|
592 |
На параболе найти точки, фокальный радиус которых равен 13. |
|
|
593 |
Составить уравнение параболы, если дан фокус F(-7; 0) и уравнение директрисы . |
|
|
594 |
Составить уравнение параболы, зная, что ее вершина совпадает с точкой (; ), параметр равен p, ось параллельна оси Ох и парабола простирается в бесконечность: |
|
|
594.1 |
в положительном направлении оси Ох; |
|
|
594.2 |
в отрицательном направлении оси Ох. |
|
|
595 |
Составить уравнение параболы, зная, что ее вершина совпадает с точкой (; ), параметр равен p, ось параллельна оси Оу и парабола простирается в бесконечность: |
|
|
595.1 |
в положительном направлении оси Оу (т.е. парабола является восходящей); |
|
|
595.2 |
в отрицательном направлении оси Оу (т.е. парабола являетя нисходящей). |
|
|
596 |
Установить, что каждое из следующих уравнений определяет параболу, и найти ее вершины А, величину параметра р и уравнение директрисы: |
|
|
596.1 |
; |
|
|
596.2 |
; |
|
|
596.3 |
; |
|
|
596.4 |
. |
|
|
597 |
Установить, что каждое из следующих уравнений определяет параболу, и найти координаты ее вершины А и величину параметра р: |
|
|
597.1 |
; |
|
|
597.2 |
; |
|
|
597.3 |
. |
|
|
598 |
Установить, что каждое из следующих уравнений определяет параболу, и найти ее вершины А и величину параметра р: |
|
|
598.1 |
; |
|
|
598.2 |
; |
|
|
598.3 |
. |
|
|
599 |
Установить, какие линии определяются следующими уравнениями: |
|
|
599.1 |
; |
|
|
599.2 |
; |
|
|
599.3 |
; |
|
|
599.4 |
. |
|
|
600 |
Составить уравнение параболы, если даны ее фокус F(4; 3) и директриса . |
|
|
601 |
Составить уравнение параболы, если даны ее фокус F(4; 3) и директриса . |
|
|
602 |
Составить уравнение параболы, если даны ее фокус F(2; -1) и директриса . |
|
|
603 |
Даны вершина параболы А(6; -3) и уравнение ее директрисы . Найти фокус F этой параболы. |
|
|
604 |
Даны вершина параболы А(-2; -1) и уравнение е директрисы . Составить уравнение этой параболы. |
|
|
605 |
Определить точки пересечения прямой и параболы . |
|
|
606 |
Определить точки пересечения прямой и параболы . |
|
|
607 |
Определить точки пересечения прямой и параболы . |
|
|
608 |
В следующих случаях определить, как расположена данная прямая относительно данной параболы пересекает ли, касается или проходит вне ее: |
|
|
608.1 |
, ; |
|
|
608.2 |
, ; |
|
|
608.3 |
, . |
|
|
609 |
Определить, при каких значениях углового коэффициента k прямая : |
|
|
609.1 |
пересекает параболу ; |
|
|
609.2 |
касается ее; |
|
|
609.3 |
проходит вне этой параболы. |
|
|
610 |
Вывести условие, при котором прямая касается параболы . |
|
|
611 |
Доказать, что к параболе можно провести одну и только одну касательную с угловым коэффициентом . |
|
|
612 |
Составить уравнение касательной к параболе в ее точке М1(x1; y1). |
|
|
613 |
Составить уравнение прямой, которая касается параболы и параллельна прямой . |
|
|
614 |
Составить уравнение прямой, которая касается параболы и перпендикулярна к прямой . |
|
|
615 |
Провести касательную к параболе параллельно прямой и вычислить расстояние d между этой касательной и данной прямой. |
|
|
616 |
На параболе найти точку М1, ближайшую к прямой , и вычислить расстояние d от точки М1 до этой прямой. |
|
|
617 |
Составить уравнения касательных к параболе , проведенных из точки А(2; 9). |
|
|
618 |
К параболе проведена касательная. Доказать, что вершина этой параболы лежит посередине между точкой пересечения касательной с осью Ох и проекцией точки касания на ось Ох. |
|
|
619 |
Из точки А(5; 9) проведены касательные к параболе . Составить уравнение хорды, соединяющей точки касания. |
|
|
620 |
Из точки Р(-3; 12) проведены касательные к параболе . Вычислить расстояние d от точки Р до хорды параболы, соединяющей точки касания. |
|
|
621 |
Определить точки пересечения эллипса и параболы . |
|
|
622 |
Определить точки пересечения гиперболы и параболы . |
|
|
623 |
Определить точки пересечения парабол , . |
|
|
624 |
Доказать, что прямая, касающаяся параболы в некоторой точке М, составляет равные углы с фокальным радиусом точки М и с лучом, который, исходя из М, идет параллельно оси параболы в ту сторону, куда парабола бесконечно простирается. |
|
|
625 |
Из фокуса параболы под острым углом к оси Ох направлен луч света. Известно, что . Дойдя до параболы, луч от нее отразился. Составить уравнение прямой, на которой лежит отраженный луч. |
|
|
626 |
Доказать, что две параболы, имеющую общую ось и общий фокус, расположенный между ее вершинами, пересекаются под прямым углом. |
|
|
627 |
Доказать, что если две параболы со взаимно перпендикулярными осями пересекаются в четырех точках, то эти точки лежат на одной окружности. |
Глава 21. Полярные уравнения эллипса, гиперболы и параболы
|
628 |
Дано уравнение эллипса . Составить его полярное уравнение, считая, что направление полярной оси совпадает с положительным направлением оси абсцисс, а полюс находится: |
|
|
628.1 |
в левом фокусе эллипса; |
|
|
628.2 |
в правом фокусе. |
|
|
629 |
Дано уравнение гиперболы . Составить полярное уравнение ее правой ветви, считая, что направление полярной оси совпадает с положительным направлением оси абсцисс, а полюс находится: |
|
|
629.1 |
в правом фокусе гиперболы; |
|
|
629.2 |
в левом фокусе. |
|
|
630 |
Дано уравнение гиперболы . Составить полярное уравнение ее левой ветви, считая, что направление полярной оси совпадает с положительным направлением оси абсцисс, а полюс находится: |
|
|
630.1 |
в левом фокусе гиперболы; |
|
|
630.2 |
в правом фокусе. |
|
|
631 |
Дано уравнение параболы . Составить ее полярное уравнение, считая, что направление полярной оси совпадает с положительным направлением оси абсцисс, а полюс находится в фокусе параболы. |
|
|
632 |
Определить, какие линии даны следующими уравнениями в полярных координатах: |
|
|
632.1 |
; |
|
|
632.2 |
; |
|
|
632.3 |
; |
|
|
632.4 |
; |
|
|
623.5 |
; |
|
|
632.6 |
. |
|
|
633 |
Установить, что уравнение определяет эллипс, и найти его полуоси. |
|
|
634 |
Установить, что уравнение определяет правую ветвь гиперболы, и найти ее полуоси. |
|
|
635 |
Установить, что уравнение определяет эллипс, и составить полярные уравнения его директрис. |
|
|
636 |
Установить, что уравнение определяет правую ветвь гиперболы, и составить полярные урвнения директрис и асимптот этой гиперболы. |
|
|
637 |
На эллипсе найти точки, полярные радиус которых равен 6. |
|
|
638 |
На гиперболе найти точки, полярные радиус которых равен 3. |
|
|
639 |
На параболе найти точки: |
|
|
639.1 |
с наименьшим полярным радиусом; |
|
|
639.2 |
с полярным радиусом, равным параметру параболы. |
|
|
640 |
Дано уравнение эллипса . Составить его полярное уравнение при условии, что направление полярной оси совпадает с положительным направлением оси абсцисс, а полюс находится в центре эллипса. |
|
|
641 |
Дано уравнение гиперболы . Составить ее полярное уравнение при условии, что направление полярной оси совпадает с положительным направлением оси абсцисс, а полюс находится в центре гиперболы. |
|
|
642 |
Дано уравнение параболы . Составить ее полярное уравнение при условии, что направление полярной оси совпадает с положительным направлением оси абсцисс, а полюс находится в вершине параболы. |
Глава 22. Диаметры линий второго порядка
|
643 |
Составить уравнение диаметра эллипса , проходящего через середину его хорды, отсекаемой на прямой . |
|
|
644 |
Составить уравнение хорды эллипса , проходящей через точку А(1; -2) и делящейся ею пополам. |
|
|
645 |
Составить уравнения двух взаимно сопряженных диаметров эллипса , из которых один образует с осью Ох угол 450. |
|
|
646 |
Составить уравнения двух взаимно двух взаимно сопряженных диаметров эллипса , из которых один параллелен прямой . |
|
|
647 |
Составить уравнения двух взаимно сопряженных диаметров эллипса , из которых один перпендикулярен к прямой . |
|
|
648 |
На чертеже изображен эллипс. Пользуясь циркулем и линейкой, построить его центр. |
|
|
649 |
Доказать, что оси эллипса являются единственной парой его главных диаметров. |
|
|
650 |
Пользуясь свойствами сопряженных диаметров, доказать, что каждый диаметр окружности является главным. |
|
|
651 |
а). В эллипс вписан равнобедренный треугольник так, что его вершина совпадает с одной из вершин эллипса. Доказать, что основание этого треугольника параллельно одной из осей эллипса; б). Доказать, что стороны прямоугольника вписанного в эллипс,параллельны осям этого эллипса; в). На чертеже изображен эллипс. Пользуясь циркулем и линейкой, построить его главные диаметры. |
|
|
652 |
Доказать, что хорды эллипса, соединяющие его произвольную произвольную точку с концами любого диаметра этого эллипса, праллельны паре его сопряженных диаметров. |
|
|
653 |
а). Доказать, что сумма квадратов двух сопряженных полудиаметров эллипса есть величина постоянная (равная сумме квадратов его полуосей), б). Доказать, что площадь параллелограмма, построенного на двух сопряженных полудиаметрах эллипса, есть величина постоянная (равная площади прямоугольника, построенного на его полуосях). |
|
|
654 |
Составить уравнение диаметра гиперболы , походящего через середину ее хорды, отсекаемой на прямой . |
|
|
655 |
Дана гипербола . Составить уравнение ее хорды, которая проходит через точку А(3; -1) и делится точкой А пополам. |
|
|
656 |
Составить уравнениядвух сопряженных диаметров гиперболы , из которых один проходит через точку А(8; 1). |
|
|
657 |
Составить уравнения сопряженных диаметров гиперболы , угол между которыми равен 450. |
|
|
658 |
На чертеже изображена гипербола. Пользуясь циркулем и линейкой, построить ее центр. |
|
|
659 |
Доказать, что оси гиперболы являются единственной парой ее главных диаметров. |
|
|
660 |
На чертеже изображена гипербола. Пользуясь циркулем и линейкой, построить ее главные диаметры. |
|
|
661 |
Составить уравнение диаметра параболы , проходящего через середину ее хорды, отсекаемой на прямой . |
|
|
662 |
Дана парабола . Составить уравнение ее хорды, которая проходит через точку А(2; 5) и делится точкой А пополам. |
|
|
663 |
Доказать, что ось параболы является единственной ее главным диаметром. |
|
|
664 |
На чертеже изображена парабола. Пользуясь циркулем и линейкой, построить ее главный диаметр. |
Глава 5. Упрощение общего уравнения линии второго порядка. Уравнения некоторых кривых
Глава 23. Центр линии второго порядка
|
665 |
Установить, какие из следующих линий являются центральными (т.е. имеют единственный центр), какие не имеют центра, какие имеют бесконечно много центров: |
|
|
665.1 |
; |
|
|
665.2 |
; |
|
|
665.3 |
; |
|
|
665.4 |
; |
|
|
665.5 |
; |
|
|
665.6 |
; |
|
|
665.7 |
; |
|
|
665.8 |
. |
|
|
666 |
Установить, что следующие линии являются центральными, и для каждой из них найти координаты центра: |
|
|
666.1 |
; |
|
|
666.2 |
; |
|
|
666.3 |
; |
|
|
666.4 |
. |
|
|
667 |
Установить, что каждая из следующих линий имеет бесконечно много центров; для каждой из них составить уравнение геометрического места центров: |
|
|
667.1 |
; |
|
|
667.2 |
; |
|
|
667.3 |
. |
|
|
668 |
Установить, что следующие уравнения определяют центральные линии; преобразовать каждое из них путем переноса начала координат в центр: |
|
|
668.1 |
; |
|
|
668.2 |
; |
|
|
668.3 |
; |
|
|
668.4 |
. |
|
|
669 |
При каких значениях m и n уравнение определяют: |
|
|
669.1 |
центральную линию; |
|
|
669.2 |
линию без центра; |
|
|
669.3 |
линию, имеющую бесконечного много центров. |
|
|
670 |
Дано уравнение линии . Определить, при каких значениях углового коэффициента k прямая : |
|
|
670.1 |
пересекает эту линию в одной точке; |
|
|
670.2 |
касается этой линии; |
|
|
670.3 |
пересекает эту линию в двух точках; |
|
|
670.4 |
не имеет общих точек с этой линией. |
|
|
671 |
Составить уравнение линии второго порядка, которая, имея центр в начале координат, проходит через точку M(6; -2) и касается прямая в точке N(2; 0). |
|
|
672 |
Точка Р(1; -2) является центром линии второго порядка, которая проходит через точку Q(0; -3) и касается линии Ох в начале координат. Составить уравнение этой линии. |
Глава 24. Приведение уравнения центральной линии второго порядка к простейшему виду
|
673 |
Определить тип каждого из следующих уравнений; каждое из них путем параллельного переноса осей координат привести к простейшему виду; установить, какие геометрические образы они определяют, и изобразить на чертеже расположение этих образов относительно старых и новых осей координат:; |
|
|
673.1 |
||
|
673.2 |
; |
|
|
673.3 |
; |
|
|
673.4 |
; |
|
|
673.5 |
. |
|
|
674 |
Каждое из следующих уравнений привести к простейшему виду; определить тип каждого из них; установить, какие геометрические образы они определяют, и изобразить на чертеже расположение этих образов отноительно старых и новых осей координат: |
|
|
674.1 |
; |
|
|
674.2 |
; |
|
|
674.3 |
; |
|
|
674.4 |
; |
|
|
674.5 |
. |
|
|
675 |
Определить тип каждого из следующих уравнений при помощи вычисления дискриминанта старших членов: |
|
|
675.1 |
; |
|
|
675.2 |
; |
|
|
675.3 |
; |
|
|
675.4 |
; |
|
|
675.5 |
; |
|
|
675.6 |
. |
|
|
676 |
Каждое из следующих уравнений привести к каноническому виду; определить тип каждого из них; установить, какие геометрические образы они определяют; для каждого случая изобразить на чертеже оси первоначальной координатной системы; оси других координатных систем, которые вводятся по ходу решению, и геометрический образ, определяемый данным уравнением: |
|
|
676.1 |
; |
|
|
676.2 |
; |
|
|
676.3 |
; |
|
|
676.4 |
; |
|
|
676.5 |
: |
|
|
676.6 |
. |
|
|
677 |
То же задание, что и в предыдущей задаче, выполнить для уравнений: |
|
|
677.1 |
; |
|
|
677.2 |
; |
|
|
677.3 |
; |
|
|
677.4 |
; |
|
|
677.5 |
; |
|
|
677.6 |
; |
|
|
677.7 |
; |
|
|
677.8 |
. |
|
|
678 |
Не проводя преобразования координат, установить, что каждое из следующих уравнений определяет эллипс, и найти величины его полуосей: |
|
|
678.1 |
; |
|
|
678.2 |
; |
|
|
678.3 |
; |
|
|
678.4 |
. |
|
|
679 |
Не проводя преобразования координат, установить, что каждое из следующих уравнений определяет единственную точку (вырожденный эллипс), и найти ее координаты: |
|
|
679.1 |
; |
|
|
679.2 |
; |
|
|
679.3 |
; |
|
|
679.4 |
. |
|
|
680 |
Не проводя преобразований координат, установить, что каждое из следующих уравнений определяет гиперболу, и найти величины ее полуосей: |
|
|
680.1 |
; |
|
|
680.2 |
; |
|
|
680.3 |
; |
|
|
680.4 |
. |
|
|
681 |
Не проводя преобразований координат, установить, что каждое из следующих уравнений определяет пару пересекающихся прямых (вырожденную гиперболу), и найти их уравнения: |
|
|
681.1 |
; |
|
|
681.2 |
; |
|
|
681.3 |
; |
|
|
681.4 |
. |
|
|
682 |
Не проводя преобразования координат, установить, какие геометрические образы определяются следующими уравнениями: |
|
|
682.1 |
: |
|
|
682.2 |
; |
|
|
682.3 |
; |
|
|
682.4 |
; |
|
|
682.5 |
. |
|
|
683 |
Для любого эллиптического уравнения доказать, что ни один из коэффициентов А и С не может обращаться в нуль и что они суть числа одного знака. |
|
|
684 |
Доказать, что эллиптическое уравнение второй степени (>0) определяет эллипс в том и тольк в том случае, когда А и суть числа разных знаков. |
|
|
685 |
Доказать, что эллиптическое уравнение второй степени (>0) является уравнением мнимого эллипса в том и только в том случае, когда А и суть числа одинаковых знаков. |
|
|
686 |
Доказать, что эллиптическое уравнение второй степени (>0) определяет вырожденный эллипс (точку) в том и только в том случае, когда =0. |
|
|
687 |
Доказать, что гиперболическое уравнение второй степени (<0) определяет гиперболу в том и только в том случае, когда . |
|
|
688 |
Доказать, что гиперболическое уравнение второй степени (<0) определяет вырожденную гиперболу (пару пересекающихся прямых) в том и только в том случае, когда =0. |
Глава 25. Приведение параболического уравнения к простейшему виду
|
689 |
Установить, что каждое из следующих уравнений является параболическим; каждое из них привести к простейшему виду; установить, какие геометрические образы они определяют; для каждого случая изобразить на чертеже оси первоначальной координатной системы, оси других координатных систем, которые вводятся по ходу решения, и геометрический образ, определяемый данным уравнением: |
|
|
689.1 |
: |
|
|
689.2 |
; |
|
|
689.3 |
. |
|
|
690 |
То же задание, что и в предыдущей задаче, выполнить для уравнений: |
|
|
690.1 |
; |
|
|
690.2 |
; |
|
|
690.3 |
. |
|
|
691 |
Для любого параболического уравнения доказать, что коэффициенты А и С не могут быть числамы разных знаков и что они одновременно не могут обращаться в нуль. |
|
|
692 |
Доказать, что любое параболическое уравнение может быть написано в виде . Доказать, что эллиптические и гиперболические уравнения в таком виде не могут быть написаны. |
|
|
693 |
Установить, что следующие уравнения являются параболическими, и записать каждое из них в виде, указанном в задаче 692: |
|
|
693.1 |
; |
|
|
693.2 |
; |
|
|
693.3 |
; |
|
|
693.4 |
; |
|
|
693.5 |
. |
|
|
694 |
Доказать, что если уарвнение второй степени является параболическим и написано в виде , то дискриминант его левой части определяется формулой . |
|
|
695 |
Доказать, что параболическое уравнение при помощи преобразования , , приводится к виду , где , , а - дискриминант левой части данного уравнения. |
|
|
696 |
Доказать, что параболическое уравнение определяет параболу в том и только в том случае, когда . Доказать, что в этом случае параметр параболы определяется формулой . |
|
|
697 |
Не проводя преобразований координат, установить, что каждое из следующих уравнений определяет параболу, и найти параметр этой параболы: |
|
|
697.1 |
; |
|
|
697.2 |
; |
|
|
697.3 |
; |
|
|
697.4 |
. |
|
|
698 |
Доказать, что уравнение второй степени является уравнением вырожденной линии в том и только в том случае, когда =0. |
|
|
699 |
Не проводя преобразований координат, установить, что каждое из следующих уравнений определяет пару параллельных прямых, и найти их уравнения: |
|
|
699.1 |
; |
|
|
699.2 |
; |
|
|
699.3 |
. |
|
|
700 |
Не проводя преобразований координат, установить, что каждое из следующих уравнений определяет одну прямую (пару слившихся прямых), и найти уравнение этой прямой: |
|
|
700.1 |
; |
|
|
700.2 |
; |
|
|
700.3 |
. |
Глава 26. Уравнение некоторых кривых, встречающихся в математике и ее приложениях
|
701 |
Составить уравнение геометрического места точек, произведение расстояний от которых до двух данных точек F1(-c; 0), F2(c; 0) есть постоянная величина a2. Такое геометрическое место точек называется овалом Кассини (см. рис.). |
|
|
702 |
Составить уравнение геометрического места точек, произведение расстояний от которых до двух данных точек F1(-а; 0), F2(а; 0) есть постоянная величина а2. Такое геометрическое место точек называется лемнискатой (см. рис.). (Уравнение лемнискаты сначала найти непосредственно, потом рассматривая ее как частный вид овала Кассини). Составить также уравнение лемнискаты в полярных координатах, совмещая полярную ось с положительной полуосью Ох и полюс с началом координат. |
|
|
703 |
Составить уравнение геометрического места оснований перпендикуляров,опущенных из начала координат на прямые, отсекающие от координатного угла треугольники постоянной площади S. |
|
|
704 |
Доказать, что геометрическое место точек задачи 703 есть лемниската (см. задачу 702). |
|
|
705 |
Луч а, в начальном положении совпадающий с полярной осью, вращается вокруг полюса О с постоянной угловой скоростью . Составить в даной системе полярных координат уравнение траектории точки М, которая, имея начальное положение в О, движется по лучу а равномерно со скоростью v (спираль Архимеда, (см. рис.). |
|
|
706 |
Даны прямая и окружность радиуса r, которая проходит через начало координат О и касается данной прямой. Из точки О проведен луч, пересекающий данную окружность в точке В и данную прямую в точке С, на котором отложен отрезок ОМ=ВС (см. рис.). При вращении луча длина отрезка ОМ меняется и точка М описывает кривую, называемую циссоидой. Составить уравнение циссоиды. |
|
|
707 |
Даны прямая x=a (a>0) и окружность радиуса а, проходящая через начало координат О и касающаяся данной прямой. Из точки О проведен луч, пересекающий окружность в точке А и данную прямую в точке В. Из точек А и В проведены прямые, параллельные соответственно осям Оу и Ох (см. рис.). Точка М пересечения этих прямых при вращении луча описывает кривую, называемую верзьерой. Составить ее уравнение. |
|
|
708 |
Из точки А(-а; 0), где а>0, проведен луч АВ (см. рис.), на котором по обе стороны от точки В отложены отрезки BM, BN одинаковой длины b (b=const). При вращении луча точки M и N описывают кривую, называемую конхоидой. Составить ее уравнение сначала в полярных координатах, помещая полюс в точку А и направляя полярную ось в положительном направлении оси Ох, а затем перейти к данной системе декартовых прямоугольных координат. |
|
|
709 |
Из точки А(-а; 0), где a>0, проведен луч АВ (см. рис.), на котором по обе стороны от точки В отложены отрезки BM и BN, равные ОВ. При вращении луча точки M и N описывают кривую, называемую строфоидой. Составить ее уравнение сначала в полярных координатах, помещая полюс в точке А и направляя полярную ось в положительном направлении оси Ох, а затем перейти к данной системе декартовых прямоугольных координат. |
|
|
710 |
Из начала координат проведен луч, пересекающий данную окружность (а>0) в точке В (см. рис.); на луче по обе стороны от точки В отложены равные между собой отрезки BM и BN постоянной длины b. При вращении лча точки M и N описывают кривую, называемую улиткой Паскаля (см. рис.). Составить ее уравнение сначала в полярных координатах, совмещая полю с началом координат и полярную ось с положительной полуосью Ох, а затем перейти к данной системе декартовых прямоугольных координат. |
|
|
711 |
Отрезок длины 2а движется так, что его концы все время находятся на координатных осях. Составить уравнение траектории основания М перпендикуляра, опущенного из начала координат на отрезок (см. рис.), сначала в полярных координатах, совмещая полюс с началом координат и полярную ось с положительной полуосью Ох, а затем перейти к данной системе декартовых прямоугольных координат. Точка М описывает кривую, называемую четырехлепестковой розой. |
|
|
712 |
Отрезок длины а движется так, что его концы все время находятся на координатных осях. Через концы отрезка проведены прямые, параллельные координатным осям, до их взаимного пересечения в точке Р. Составить уравнение траектории основания М перпендикуляра, опущенного из точки Р на отрезок. Эта траектория называется астроидой. |
|
|
713 |
Из точки В пересечения луча ОВ с окружностью опущен перпендикуляр ОМ. Вывести уравнение траектории точки М сначала в полярных координатах, совмещая полюс с началом координат и полярную ось с положительной полуосью Ох, а затем перейти к данной системе декартовых прямоугольных координат. |
|
|
714 |
Нить, намотанная на окружность , разматывается так, что в точке В,где нить отделяется от окружности, она остается касательной к ней (см. рис.). Найти параметрические уравнения линии, описываемой концом нити, если начальным положением конца является точка А(а; 0), где а>0. Линия, о которой идет речь, называется эвольвентой окружности. |
|
|
715 |
Круг радиуса а катится без скольжения по оси Ох. Траектория некоторой точки М окружности этого круга называется циклоидой (см. рис.). Вывести параметрические уравнения циклоиды, принимая в качестве параметра t угол, на который поворачивается катящаяся окружность вокруг своего центра; считать при этом, что в начальный момент (t=0) точка М находится в начале координат. Исключить параметр t из полученных уравнений. |
|
|
716 |
Круг радиуса а катится без скольжения по окружности , оставаясь вне ее. Траектория некоторой точки М окружности катящегося круга называется кардиоидой (см. рис.). Вывести параметрические уравнения кардиоиды, выбирая в качестве параметра t угол наклона к оси Ох радиуса неподвижной окружности, проведенного в точку касания с подвижной. Считать при этом, что в начальный момент (t=0) точка М находится справа на оси Ох. Перейти к полярным координатам при условии, что направление полярной оси совпадает с положительным направлением оси абсцисс, а полюс находится в точке А. Доказать, что кардиоида есть частный вид улитки Паскаля (см. задачу 710). |
|
|
717 |
Круг радиуса а катится без скольжения по окружности , оставаясь вне ее. Траектория некоторой точки М окружности катящегося круга называется эпициклоидой (см. рис.). Вывести параметрические уравнения эпициклоиды, выбирая в качестве параметра t угол наклона к оси Ох радиуса неподвижной окружности, проведенного в точку касания с подвижной; считать при этом, что в начальный момент (t=0) точка М находится справа на оси Ох. Доказать, что кардиоида (см. задачу 716) есть частный вид эпициклоиды. |
|
|
718 |
Круг радиуса а катится без скольжения по окружности , оставаяь внутри нее. Траектория некоторой точки М окружности катящегося круга называется гипоциклоидой (см. рис.). Вывести параметрические уравнения гипоциклоиды, выбирая в качестве параметра t угол наклона к оси Ох радиуса неподвижной окружности, проведенного в точку касания с подвижной; считать при этом, что в начальный момент (t=0) точка М находится справа на оси Ох. Доказать, что астроида (см. задачу 712) есть частный вид гипоциклоиды. |
Часть 2. Аналитическая геометрия в пространстве
Глава 6. Некоторые простейшие задачи аналитической геометрии в пространстве
Глава 27. Декартовы прямоугольные координаты в пространстве
|
719 |
Построить (в аксонометрической проекции) следующие точки по их декартовым координатам: A(3; 4; 6), B(-5; 3; 1), C(1; -3; -5), D(0; -3; 5), E(-3; -5; 0), F(-1; -5; -3). |
|
|
720 |
Найти координаты проекций точек A(4; 3;5 ), B(-3; 2; 1), C(2; 3; 0), D(0; 0; -3): 1). На плоскость Oxy; 2). На плоскость Oxz, 3). На плоскость Oyz, 4). На ось абсцисс, 5). На ось ординат; 6). На ось апликат. |
|
|
721 |
Найти координаты точек, симметричных точкам A(2; 3; 1), B(5; -3; 2), C(-3; 2; 1), D(a; b; c) относительно: 1). Плоскости Oxy, 2). Плоскости Oxz, 3). Плоскости Oyz, 4). Оси абсцисс, 5). Оси ординат, 6). Оси апликат, 7). Начала координат. |
|
|
722 |
Даны четыре вершины куба A(-a; -a; -a), B(a; -a; -a), C(-a; a; -a), D(a; a; a). Определить его остальные вершины. |
|
|
723 |
В каких октантах могут быть расположены точки, координаты которых удовлетворяют одному из следующих условий: 1). ; 2). ; 3). ; 4). ; 5). ; 6). . |
|
|
724 |
В каких октантах могут быть расположены точки, если: 1). ; 2). ; 3). ; 4). ; 5). . |
|
|
725 |
Найти центр шара радиуса R=3, который касается всех трех координатных плоскостей и расположен: 1). Во втором октанте, 2). В пятом октанте, 3). В шестом октанте, 4). В седьмом октанте, 5). В восьмом октанте. |
Глава 28. Расстояние между двумя точками. Деление отрезка в данном отношении
|
726 |
Даны точки A(1; -2; -3), B(2; -3; 0), C(3; 1; -9), D(-1; 1; -12). Вычислить расстояние между 1). А и С, 2). B и D, 3). C и D. |
|
|
727 |
Вычислить расстояния от начала координат О до точек A(4; -2; -4), B(-4; 12; 6), C(12; -4; 3), D(12; 16; -15). |
|
|
728 |
Доказать, что треугольник с вершинами A(3; -1; 2), B(0; -2; 2), C(-3; 2; 1) равнобедренный. |
|
|
729 |
Доказать, что треугольник с вершинами A1(3; -1; 6), A2(-1; 7; -2), A3(1; -3; 2) прямоугольный. |
|
|
730 |
Определить, есть ли тупой угол среди внутренних углов треугольника с вершинами M1(4; -1; 4), M2(0; 7; -4), M3(3; 1; -2). |
|
|
731 |
Доказать, что внутренние углы треугольника M(3; -2; 5), N(-2; 1; -3), P(5; 1; -1) острые. |
|
|
732 |
На ось абсцисс найти точку, расстояние от которой до точки А(-3; 4; 8) равно 12. |
|
|
733 |
На оси ординат найти точку, равноудаленную отточек А(1; -3; 7) и В(5; 7; -5). |
|
|
734 |
Найти центр C и радиус R шаровой поверхности, которая проходит через точку P(4; -1; -1) и касается всех трех координатных плоскостей. |
|
|
735 |
Даны вершины M1(3; 2; -5), M2(1; -4; 3), M3(-3; 0; 1) треугольника. Найти середины его сторон. |
|
|
736 |
Даны вершины A(2; -1; 4). B(3; 2; -6), C(-5; 0; 2) треугольника. Вычислить длину его медианы, проведенной из вершины А. |
|
|
737 |
Центр масс однородного стержня находится в точке С(1; -1; 5), один из его концов есть точка A(-2; -1; 7). Определить координаты другого конца стержня. |
|
|
738 |
Даны две вершины A(2; -3; -5), B(-1; 3; 2) параллелограмма ABCD и точка пересечения его диагоналей E(4; -1; 7). Определить две другие вершины этого параллелограмма. |
|
|
739 |
Даны три вершины A(3; -4; 7), B(-5; 3; -2), C(1; 2; -3) параллелограмма ABCD. Найти его четвертую вершину D, противоположную B. |
|
|
740 |
Даны три вершины A(3; -1; 2), B(1; 2; -4), C(-1; 1; 2) параллелограмма ABCD. Найти его четвертую вершину D. |
|
|
741 |
Отрезок прямой, ограниченный точками A(-1; 8; 3), B(9; -7; -2), разделен точками C, D, E. F на пять равных частей. Найти координаты этих точек. |
|
|
742 |
Определить координаты концов отрезка, который точками C(2; 0; 2), D(5; -2; 0) разделен на три равные части |
|
|
743 |
Даны вершины треугольника A(1; 1; -1), B(2; -1; 3), C(-4; 7; 5). Вычислить длину биссектрисы его внутреннего угла при вершине B. |
|
|
744 |
Даны вершины треугольника A(1; -1; -3), B(2; 1; -2), C(-5; 2; -6). Вычислить длину биссектрисы его внутреннего угла при вершине А. |
|
|
745 |
В вершинах тетраэдра A(x1, y1, z1), B(x2, y2, z2), C(x3, y3, z3), D(x4, y4, z4) сосредоточены равные массы. Найти координаты центра масс этой системы. |
|
|
746 |
В вершинах тетраэдра A1(x1, y1, z1), A2(x, y2, z2), A3(x3, y3, z3), A4(x4, y4, z4) сосредоточены массы m1, m2, m3, m4. Найти координаты центра масс этой системы. |
|
|
747 |
Прямая проходит через две точки M1(-1; 6; 6) и M2(3; -6; -2). Найти точки ее пересечения с координатными плоскостями. |
Глава 7. Векторная алгебра
Глава 29. Понятие вектора. Проекция вектора
|
748 |
Вычислить модуль вектора ={6; 3; -2}. |
|
|
749 |
Даны две координаты вектора X=4, Y=-12. Определить его третью координату Z при условии, что =13. |
|
|
750 |
Даны точки A(3; -1; 2), B(-1; 2; 1). Найти координаты векторов и . |
|
|
751 |
Определить точку N, с которой совпадает конец вектора ={3; -1; 4}, если его начало совпадает с точкой М(1; 2; -3). |
|
|
752 |
Определить начало вектора ={2; -3; -1}, если его конец совпадает с точкой (1; -1; 2). |
|
|
753 |
Дан модуль вектора =2 и углы =450, =600, =1200. Вычислить проекции вектора на координатные оси. |
|
|
754 |
Вычислить направляющие косинусы вектора ={12; -15; -16}. |
|
|
755 |
Вычислить направляющие косинусы вектора ={3/13; 4/13; 12/13}. |
|
|
756 |
Может ли вектор составлять с координатными осями следующие углы: |
|
|
756.1 |
=450, =600, =1200; |
|
|
756.2 |
=450, =1350, =600; |
|
|
756.3 |
=900, =1500, =600. |
|
|
757 |
Может ли вектор составлять с двумя координатными осями следующие углы: |
|
|
757.1 |
=300, =450; |
|
|
757.2 |
=600, =600: |
|
|
757.3 |
=1500, =300. |
|
|
758 |
Вектор составляет с осями Ox и Oz углы =1200 и =450. Какой угол он составляет с осью Oy? |
|
|
759 |
Вектор составляет с координатными осями Ox и Oy углы =600, =1200. Вычислить его координаты при условии, что =2. |
|
|
760 |
Определить координаты точки М, если ее радиус-вектор составляет с координатными осями одинаковые углы и его модуль равен 3. Глава 30. Линейные операции над векторами 761 По данным векторам и построить каждый из следующих векторов: 1). , 2). , 3). , 4). . 762 Даны =13, =19 и =24. Вычислить . 763 Даны =11, =23 и =30. Определить . 764 Векторы и взаимно перпендикулярны, причем =5, =12. Определить и . 765 Векторы и образуют угол =600, причем=5 и =8. Определить и . 766 Векторы и образуют угол =1200, причем =3 и =5. Определить и . 767 Какому условию должны удовлетворять векторы и , чтобы имели место следующие соотношения: 767.1 ; 767.2 ; 767.3 . 768 Какому условию должны удовлетворять векторы и , чтобы вектор делил пополам угол между векторами и . 769 По данным векторам и построить каждый из следующих векторов: 769.1 ; 769.2 ; 769.3 ; 769.4 . 770 В треугольнике АВС вектор и вектор . Построить каждый из следующих векторов. Принимая в качестве масштабной единицы , построить также векторы: 770.1 ; 770.2 ; 770.3 ; 770.4 ; 770.5 ; 770.6 . 771 Точка О является центром масс треугольника АВС. Доказать, что . 772 В правильном пятиугольнике ABCDE заданы векторы, совпадающие с его ребрами: , , , , . Построить векторы: 772.1 ; 772.2 ; 772.3 . 773 В параллелепипеде ABCDABCD (рис.) заданы векторы, совпадающие с его ребрами: , , . Построить каждый из следующих векторов: 773.1 ; 773.2 ; 773.3 ; 773.4 ; 773.5 . 774 Три силы , , , приложенные к одной точке, имеют взаимно перпендикулярные направления. Определить величину их равнодействующей , если известно, что =2Н, =10Н, =11Н. 775 Даны два вектора ={3; -2; 6}, ={-2; 1; 0}. Определить проекции на координатные оси следующих векторов: 775.1 ; 775.2 ; 775.3 ; 775.4 ; 775.5 ; 775.6 . 776 Проверить коллинеарность векторов ={2; -1; 3} и ={-6; 3; -9}. Установить, какой из них длиннее другого и во сколько раз, как они направлены в одну или в противоположные стороны. 777 Определить, при каких значениях , векторы и коллинеарны. 778 Проверить, что четыре точки A(3; -1; 2), B(1; 2; -1), C(2; 2; -7), D(3; -5; 3) служат вершинами трапеции. 779 Даны точки A(-1; 5; -10}, B(5; -7; 8), C(2; 2; -7), D(5; -4; 2). Проверить, что векторы и коллинеарны, установить, какой из них длиннее другого и во сколько раз, как они направлены в одну или в противоположные стороны. 780 Найти орт вектора ={6; -2; -3}. 781 Найти орт вектора ={3; 4; -12}. 782 Определить модули суммы и разности векторов ={3; -5; 8} и ={-1; 1; -4}. 783 Дано разложение вектора по базису , , : . Определить разложение по этому же базису вектора , параллельного вектору и противоположного с ним направления, при условии, что =75. 784 Два вектора ={2; -3; 6} и ={-1; 2; -2} приложены к одной точке. Определить координаты вектора направленного по биссектрисе угла между векторами и , при условии, что . 785 Векторы ={2; 6; -4} и ={4; 2; -2} совпадают со сторонами теругольника АВС. Определить координаты векторов, приложенных к вершинам треугольника и совпадающими с его медианами AM, BN, CP. 786 Доказать, что если и - какие угодно неколлинеарные векторы, то всякий вектор, лежащих в их плоскости, может быть представлен в виде . Доказать, что числа и однозначно определяются векторами , и . 787 На плоскостиданы два вектора ={2; -3}, ={1; 2}. Найи разложение вектора ={9; 4} по базису , . 788 На плоскости даны три вектора ={3; -2}, ={-2; 1}, ={7; -4}. Определить разложение каждого из этих трех векторов, принимая в качестве базиса два других. 789 Даны три вектора ={3; -1}, ={1; -2}, ={-1; 7}. Определить разложение вектора по базису , . 790 Принимая в качестве базиса векторы и , совпадающие со сторонами треугольника АВС, опреедлить разложение векторов, приложенных в вершинах треугольника и совпадающие с его медианами. 791 На плоскости даны етыре точки A(1; -2), B(2; 1), C(3; 2), D(-2; 3). Определить разложение векторов , , и , принимая в качестве базиса векторы и . 792 Доказать, что если , , - какие угодно некомпланарные векторы, то всякий вектор пространства может быть представлен в виде . Доказать, что числа , , однознчно определяются векторами , , , . (Представление вектора в виде называется разложением его по базису , , . Числа , , называются коэффициентами этого разложения. 793 Даны три вектора ={3; -2; 1}, ={-1; 1; -2}, ={2; 1; -3}. Найти разложение вектора ={11; -6; 5} по базису , , . 794 Даны четыре вектора ={2; 1; 0}, ={1; -2; 2}, ={2; 2; -1}, ={3; 7; -7}. Определить разложение каждого из этих четырех векторов, принимая в качестве базиса три остальных. Глава 31. Скалярное произведение векторов 795 Векторы и образуют угол , зная, что =3, =4, вычислить: 795.1 ; 795.2 ; 795.3 ; 795.4 ; 795.5 ; 795.6 ; 795.7 ; 796 Векторы и взаимно перпендикулярны; вектор образует с ними углы, равные ; зная, что =3, =5, =8, вычислить: 796.1 ; 796.2 ; 796.3 . 797 Доказать справедливость тождества и выяснить его геометрический смысл. 798 Доказать, что ; в каких случаях здесь может иметь место знак равенства? 799 Считая, что каждый из векторов , , отличен от нуля, установить, при каком их взаимном расположении справедливо равенство . 800 Даны единичные вектторы , , , удовлетворяющие условию . Вычислить . 801 Даны векторы , , , удовлетворяющие условию . Зная, что =3, =1, =4, вычислить . 802 Векторы , , попарно образуют друг с другом углы, каждый из которых равен 600. Зная, что =2, =2, =6, определить модуль вектора . 803 Дано, что =3, =5. Определить, при каком значении векторы , будут взаимно перпендикулярны. 804 Какому условию должны удовлетворять векторы и , чтобы вектор был перпендикулярен к вектору . 805 Доказать, что вектор перпендикулярен к вектору . 806 Доказать, что вектор перпендикулярен к вектору . 807 Даны векторы и , совпадающие со сторонами треугольника АВС. Найти разложение вектора, приложенного к вершине В этого треугольника и совпадающего с его высотой BD по базису , . 808 Векторы и образуют угол ; зная, что , , вычислить угол между векторами и . 809 Вычислить тупой угол, образованный медианами, проведенными из вершин острых углов равноберденного прямоугольного треугольника. 810 Определить геометрическое место концов переменного вектора , если его начало находится в данной точке А и вектор удовлетворяет условию , где - данный вектор и - данное число. 811 Определить геометрическое место концов переменного вектора , если его начало находится в данной точке А и вектор удовлетворяет условиям , , где и - данные неколлинеарные векторы и , - данные числа. 812 Даны векторы ={4; -2; -4}, ={6; -3; 2}. Вычислить: 812.1 ; 812.2 ; 812.3 ; 812.4 ; 812.5 ; 812.6 . 813 Вычислить, какую работу произведет сила f={3; -5; 2}, когда ее точка приложения перемещается из начала в конец вектора ={2; -5; -7}. 814 Даны точки A(-1; 3; -7), B(2; -1; 5), C(0; 1; -5). Вычислить: 814.1 ; 814.2 ; 814.3 ; 814.5 Найти координаты векторов и . 815 Вычислить, какую работу производит сила f={3; -2; -5}, когда ее точка приложения, двигаясь прямолинейно, перемещается из положения A(2; -3; 5} в положение B(3; -2; -1). 816 Даны силы ={3; -4; 2}, ={2; 3; -5}, ={-3; -2; 4}, приложенные к одной точке. Вычислить, какую работу производит равнодействующая этих сил, когда ее точка приложения, двигаясь прямолинейно, перемещается из положения M1(5; 3; -7) в положение M2(4; -1; -4). 817 Даны вершины четырехугольника A(1; -2; 2), B(1; 4; 0), C(-4; 1; 1), D(-5; -5; 3). Доказать, что его диагонали AC и BD взаимно перпендикулярны. 818 Определить, при каком значении векторы и взаимно перпендикулярны. 819 Вычислить косинус угла, образованного векторами ={2; -4; 4} и ={-3; 2; -6}. 820 Даны вершины треугольника A(-1; -2; 4), B(-4; -2; 0), C(3; -2; 1). Определить его внутренний угол при вершине В. 821 Даны вершины треугольника A(3; 2; -3), B(5; 1; -1), C(1; -2; 1). Определить его внешний угол при вершине А. 822 Вычислив внутренние углы треугольника с вершинами A(1; 2; 1), B(3; -1; 7), C(7; 4; -2), убедиться, что этот треугольник равнобедренный. 823 Вектор , коллинеарный вектору ={6; -8; -7,5}, образует острый угол с осью Oz. Зная, что =50, найти его координаты. 824 Найти вектор , коллинеарный вектору ={2; 1; -1} и удовлетворяющий условию . 825 Вектор , перпендикулярный к векторам и , образует с осью Oy тупой угол. Найти его координаты, зная, что . 826 Найти вектор , зная, что он перпендикулярен к ={2; 3; -1}, ={1; -2; 3} и удовлетворяет условию . 827 Даны векторы ={3; -1; 5}, ={1; 2; -3}. Найти вектор при условии, что он перпендикулярен к оси Oz и удовлетворяет условиям , . 828 Даны векторы , и . Найти вектор , удовлетворяющий условиям , , . 829 Найти проекцию вектора ={4; -3; 2} на ось, составляющую с координатными осями равные острые углы. 830 Найти проекцию вектора ={; -3; -5} на ось, составляющую с координатными осями Ox, Oz углы , , а с осью Oy острый угол . 831 Даны точки A(3; -4; -2), B(2; 5; -2). Найти проекцию вектора на ось, составляющую с координатными осями Ox, Oy углы , , а с осью Oz тупой угол . 832 Вычислить проекцию вектора ={5; 2; 5} на ось вектора ={2; -1; 2}. 833 Даны векторы , , . Вычислить . 834 Даны векторы ={1; -3; 4}, ={3; -4; 2} и ={-1; 1; 4}. Вычислить . 835 Даны векторы , , . Вычислить . 836 Сила, определяемая вектором ={1; -8; -7}, разложена по трем направлениям, одно из которых задано вектором . Найти составляющую силы в направлении вектора . 837 Даны точки M(-5; 7; -6), N(7; -9; 9). Вычислить проекцию вектора ={1; -3; 1} на ось вектора . 838 Даны точки A(-2; 3; -4), B(3; 2; 5), C(1; -1; 2), D(3; 2; -4). Вычислить . Глава 32. Векторное произведение векторов 839 Векторы и образуют угол . Зная, что =6 и =5, вычислить . 840 Даны: =10, =2,. Вычислить . 841 Даны: =3, =26 и =72. Вычислить . 842 Векторы и взаимно перпендикулярные. Зная, что : =3, =4, вычислить: 842.1 ; 842.2 . 843 Векторы и образуют угол . Зная, что =1, =2, вычислить: 843.1 ; 843.2 ; 843.3 . 844 Какому условию должны удовлетворять векторы и , чтобы векторы и были коллинеарны? 845 Доказать тождество . 846 Доказать, что ; в каком слуае здесь будет знак равенства? 847 Даны произвольные векторы , , , . Доказать, что векторы , , компланарны. 848 Векторы , , удовлетворяют условию . Доказать, что . 849 Векторы , , и связаны соотношениями , . Доказать коллинеарность векторов и . 850 Даны векторы ={3; -1; -2} и ={1; 2; -1}. Найти координаты векторных произведений: 850.1 ; 850.2 ; 850.3 . 851 Даны точки A(2; -1; 2), B(1; 2; -1), C(3; 2; 1). Найти координаты векторных произведений: 851.1 ; 851.2 . 852 Сила ={3; 2; -4} приложена к точке А(2; -1; 1). Определить момент этой силы относительно начала координат. 853 Сила ={2; -4; 5} приложена к точке M0(4; -2; 3). Определить момент этой силы относительно точки A(3; 2; -1). 854 Сила ={3; 4; -2} приложена к точке С(2; -1; -2). Определить величину и направляющие косинусы момента этой силы относительно начала координат. 855 Сила ={2; 2; 9} приложена к точке А(4; 2; -3). Определить величину и направляющие косинусы момента этой силы относительно точки С(2; 4; 0). 856 Даны три силы ={2; -1; -3}, ={3; 2; -1}, ={-4; 1; 3}, приложенных к точке С(-4; 1; 3), приложенные к точке С(-1; 4; -2). Определить величину и направляющие косинусы момента равнодействующей этих сил относительно точки А(2; 3; -1). 857 Даны точки А(1; 2; 0), В(3; 0; -3), С(5; 2; 6). Вычислить площадь треугольника АВС. 858 Даны вершины треугольника А(1; -1; 2), В(5; -6; 2) и С(1; 3; -1). Вычислить длину его высоты, опущенной из вершины В на сторону АС. 859 Вычислить синус угла, образованного векторами ={2; -2; 1}, ={2; 3; 6}. 860 Вектор , перпендикулярный к векторам ={4; -2; -3} и ={0; 1; 3}, образует с осью Оу тупой угол. Зная, что =6, найти его координаты. 861 Вектор , перпендикулярный к оси Oz и к вектору ={8; -15; 3}, образует острый угол с осью Ox. Зная, что =51, найти его координаты. 862 Найти вектор , зная, что он перпендикулярен к векторам ={2; -3; 1} и ={1; -2; 3} и удовлетворяет условию . 863 Доказать тождество . 864 Даны векторы ={2; -3; 1}, ={-3; 1; 2}, ={1; 2; 3}. Вычислить и . Глава 33. Смешанное произведение трех векторов 865 Определить, какой является тройка , , (правой или левой), если 865.1 , , ; 865.2 , , ; 865.3 , , ; 865.4 , , ; 865.5 , , ; 865.6 , , . 866 Векторы , , , образующие правую тройку, взаимно перпендикулярны. Зная, что , , , вычислить . 867 Вектор перпендикулярен к векторам и , угол между и равен 300. Зная, что , , , вычислить . 868 Доказать, что ; в каком случае здесь может иметь место знак равенства? 869 Доказать тождество . 870 Доказать тождество , где и - какие угодно числа. 871 Доказать, что векторы , , , удовлетворяющие условию , компланарны. 872 Доказать, что необходимым и достаточным условием компланарности векторов , , является зависимость , где по крайней мере одно из чисел , , не равно нулю. 873 Даны векторы ={1; -1; 3}, ={-2; 2; 1}, ={3; -2; 5}. Вычислить . 874 Установить, компланарны ли векторы , , , если: 874.1 ={2; 3; -1}, ={1; -1; 3}, ={1; 9; -11}; 874.2 ={3; -2; 1}, ={2; 1; 2}, ={3; -1; -2}; 874.3 ={2; -1; 2}, ={1; 2; -3}, ={3; -4; 7}. 875 Доказать, что точки А(1; 2; -1), B(0; 1; 5), C(-1; 2; 1), D(2; 1; 3) лежат в одной плоскости. 876 Вычислить объем тетраэдра, вершины которого находятся в точках A(2; -1; 1), B(5; 5; 4), C(3; 2; -1), D(4; 1; 3). 877 Даны вершины тетраэдра A(2; 3; 1), B(4; 1; -2), C(6; 3; 7), D(-5; -4; 8). Найти длину его высоты, опущенной из вершины D. 878 Объем тетраэдра v=5, три его вершины находятся в точках A(2; 1; -1), B(3; 0; 1), C(2; -1; 3). Найти координаты четвертой вершины D, если известно, что она лежит на оси Oy. |
Глава 34. Двойное векторное произведение
|
879 |
Доказать тождество . |
|
|
880 |
Решить задачу 864, используя результаты задачи 879. |
|
|
881 |
Даны вершины треугольника A(2; -1; -3), B(1; 2; -4), C(3; -1; -2). Вычислить координаты вектора h, коллинеарного с его высотой, опущенной из вершины А на противоположную сторону, при условии, что вектор образует с осью Оу тупой угол и что его модуль равен . |
|
|
882 |
Считая, что каждый из векторов , , отличен от нуля, установить, при каком их взаимном расположении справедливо равенство . |
|
|
883 |
Доказать тождества: |
|
|
883.1 |
; |
|
|
883.2 |
; |
|
|
883.3 |
; |
|
|
883.4 |
; |
|
|
883.5 |
; |
|
|
883.6 |
при условии, что векторы и взаимно перпендикулярны; |
|
|
883.7 |
; |
|
|
883.8 |
; |
|
|
883.9 |
; |
|
|
883.10 |
; |
|
|
883.11 |
; |
|
|
883.12 |
. |
|
|
884 |
Три некомпланарных вектора , и приведены к общему началу. Доказать, что плоскость, проходящая через концы этих векторов, перпендикулярна к вектору |
Глава 8. Уравнение поверхности и уравнения линии
Глава 35. Уравнение поверхности
|
885 |
Даны точки М1(2; -3; 6), M2(0; 7; 0), M3(3; 2; -4), M4(; 4; -5), M5(1; -4; -4), M6(2; 6; ). Установить, какие из них лежат на поверхности, определенной уравнением , и какие не лежат на ней? Какая поверхность определена данным уравнением? |
|
|
886 |
На поверхности найти точку, для которой: 1). Абсцисса равна , ордината рана 2; 2). Абсцисса равна 2, ордината равна 5, 3). Абсцисса равна 2, апликата равна 2; 4). Ордината равна 2, апликата равна 4. |
|
|
887 |
Установить, какие геометрические образы определяются следующими уравениями в декартовых прямоугольных координатах пространства: |
|
|
887.1 |
; |
|
|
887.2 |
; |
|
|
887.3 |
; |
|
|
887.4 |
; |
|
|
887.5 |
; |
|
|
887.6 |
; |
|
|
887.7 |
; |
|
|
887.8 |
; |
|
|
887.9 |
; |
|
|
887.10 |
; |
|
|
887.11 |
; |
|
|
887.12 |
; |
|
|
887.13 |
; |
|
|
887.14 |
; |
|
|
887.15 |
; |
|
|
887.16 |
; |
|
|
887.17 |
; |
|
|
887.18 |
; |
|
|
887.19 |
; |
|
|
887.20 |
. |
|
|
888 |
Даны две точки F1(-c; 0; 0) и F2(c; 0; 0). Вывести уравнение геометрического места точек, сумма расстояний от которых до двух данных точек есть величина постоянная, равная 2а при условии a>0, c>0; a>c. Задача 0888 Даны две точки F1(с; 0; 0) и F2(c; 0; 0). Вывести уравнение геометрического места точек, сумма расстояний которых до двух данных точек есть величина постоянная, равная 2а при условии а>0, с>0; а>с.. Р е ш е н и е. Обозначим буквой М произвольную точку пространства, буквами х, у, z её координаты. Так как точка М может занимать любое положение, то х, у и z являются переменными величинами; их называют текущими координатами. Точка М лежит на данной поверхности в том и только в том случае, когда MF1 + MF2 = 2a (1) Это есть определение поверхности, выраженное символически. Выразим MF1 и MF2 через текущие координаты точки М: MF1 = , MF2 = . Подставим полученные выражения в равенство (1). Тем самым мы найдём уравнение (2) которое связывает текущие координаты х, у, z. Это и есть уравнение данной поверхности. Действительно, для каждой точки М, лежащей на данной поверхности, выполняется условие (1) и, следовательно, координаты такой точки будут удовлетворять уравнению (2); для каждой точки, не лежащей на поверхности, условие (1) не будет выполняться и, следовательно, её координаты не будут удовлетворять уравнению (2). Таким образом, задача решена; дальнейшие выкладки имеют целью представить уравнение поверхности в более простом виде. Уединим в уравнении (2) первый радикал: x2 + 2cx+с2+y2 + z2 =4а2 4а или а Снова, освобождаясь от радикала, найдём: a2x2 2a2cx + а2с2 + a2 y2 + a2 z2 = a4 2а2сх + с2x2, или (а2 с2) х2 + a2y2 + a222 = а2 (а2 с2). (3) Так как а > с, то а2 с2 > 0; положительное число a2 с2 обозначим через b2. Тогда уравнение (3) примет вид b2x2 + а2y + a2z2 = a2b2 или Рассматриваемая поверхность называется эллипсоидом вращения. Уравнение (4) называется каноническим уравнением этого эллипсоида. |
|
|
889 |
Вывести уравнение сферы, центр которой находится в начале координат и радиус которой равен r. |
|
|
890 |
Вывести уравнение сферы, центр которой C(, , ) и радиус которой равен r. |
|
|
891 |
Из точки P(2; 6; -5) проведены всевозможные лучи до пересечения с плоскостью Oxz. Составить уравнение геометрического места их середин. |
|
|
892 |
Из точки А(3; -5; 7) проведены всевозможные лучи до пересечения с плоскостью Oxy. Составить уравнение геометрического места их середин. |
|
|
893 |
Из точки С(-3; -5; 9) проведены всевозможные лучи до пересечения с плоскостью Oyz. Составить уравнение геометрического места их середин. |
|
|
894 |
Вывести уравнение геометрического места точек, разность квадратов расстояний от которых до точек F1(2; 3; -5), F2(2; -7; -5) есть величина постоянная, равная 13. |
|
|
895 |
Вывести уравнение геометрического места точек, сумма квадратов расстояний от которых до двух точек F1(-a; 0; 0), F2(a; 0; 0) равна постоянной величине . |
|
|
896 |
Вершины куба суть точки A(-a; -a; -a), B(a; -a; -a), C(-a; a; -a), D(a; a; a). Составить уравнение геометрического места точек, сумма квадратов расстояний от которых до граней этого куба есть величина постоянная, равная . |
|
|
897 |
Вывести уравнение геометрического места точек, равноудаленных от двух точек M1(1; 2; -3), M2(3; 2; 1). |
|
|
898 |
Вывести уравнение геометрического места точек, сумма расстояний от которых до двух даных точек F1(0; 0; -4), F2(0; 0; 4) есть величина постоянная, равная 10. |
|
|
899 |
Вывести уравнение геометрического места точек, разность расстояний от которых до двух данных точек F1(0; -5; 0), F2(0; 5; 0) есть величина постоянная, равная 6. Глава 36. Уравнения линии. Задача о пересечении трех поверхностей 900 Даны точки M1(3; 4; -4), M2(-3; 2; 4), M3(-1; -4; 4), M4(2; 3; -3). Определить, какие из них лежат на линии , и какие не лежат на ней. 901 Определить, какие из следующих линий проходят через начало координат: 901.1 , ; 901.2 , ; 901.3 , . 902 На линии , найти точку: 902.1 абсцисса которой равна 3; 902.2 ордината которой равна 2; 902.3 апликата которой равна 8. 903 Установить, какие линии определяются следующими уравнениями: 903.1 , ; 903.2 , ; 903.3 , ; 903.4 , ; 903.5 , ; 903.6 , ; 903.7 , ; 903.8 , ; 903.9 , ; 903.10 , ; 903.11 , . 904 Составить уравнения линии пересечения плоскости Oxz и сферы с центром в начале координат и радиусом, равным 3. 905 Составить уравнения линии пересечения сферы, центр которой находится в начале координат и радиус раен 5, с плоскостью, параллельной плоскости Oxz и лежащей в левом полупространстве на расстоянии двух единиц от нее. 906 Составить уравненя линии пересечения плоскости Oyz и сферы, центр которой находится в точке С(5; -2; 1) и радиус равен 13. 907 Составить уравнения линии пересечения двух сфер, одна из которых имеет радиус, равный 6, и центр в начале координат; другая имеет радиус, равный 5, и центр С(1; -2; 2). 908 Найти точки пересечения поверхностей , , . 909 Найти точки пересечения поверхностей , , . |
Глава 37. Уравнение цилиндрической поверхности
с образующими, параллельными одной из координатных осей
|
910 |
Установить, какие геометрические образы определяются в пространственной системе координат следующими уравнениями: |
|
|
910.1 |
; |
|
|
910.2 |
; |
|
|
910.3 |
; |
|
|
910.4 |
; |
|
|
910.5 |
; |
|
|
910.6 |
; |
|
|
910.7 |
; |
|
|
910.8 |
; |
|
|
910.9 |
; |
|
|
910.10 |
. |
|
|
911 |
Найти уравнение цилиндра, проектирующего окружность , на плоскость: 1). Oxy; 2). Oxz; 3). Oyz. |
|
|
912 |
Найти уравнение проекции окружности , на плоскости: 1). Oxy; 2). Oxz; 3). Oyz. |
Глава 9. Уравнение плоскости. Уравнения прямой. Уравнения поверхностей второго порядка
Глава 38. Общее уравнение плоскости.
Уравнение плоскости, проходящей через данную точку и имеющей данный нормальный вектор
|
913 |
Составить уравнение плоскости, которая проходит через точку М1(2; 1; -1) и имеет нормальный вектор n={1; -2; 3}. |
|
|
914 |
Составить уравнение плоскости, которая проходит через начало координат и имеет нормальный вектор n={5; 0; -3}. |
|
|
915 |
Точка Р(2; -1; -1) служит основанием перпендикуляра, опущенного из начала координат на плоскость. Составить уравнение этой плоскости. |
|
|
916 |
Даны точки M1(3; -1; 2), M2(4; -2; -1). Составить уравнение плоскости, проходящей через точку М1 перпендикулярно вектору . |
|
|
917 |
Составить уравнение плоскости, проходящей через точку М1(3; 4; -5) параллельно векторам a1={3; 1; -1) и a2={1; -2; 1}. |
|
|
918 |
Доказать, что уравнение плоскости, проходящей через точку М0(x0, y0, z0) параллельно векторам a1={l1, m1, n1} и a2={l2; m2; n2}, может быть представлено в следующем виде: . |
|
|
919 |
Составить уравнение плоскости, проходящей через точки M1(2; -1; 3), M2(3; 1; 2) параллельно вектору a={3; -1; 4}. |
|
|
920 |
Доказать, что уравнение плоскости, проходящей через точки M1(x1; y1; z1), M2(x2, y2, z2) параллельно вектору a={l; m; n}, может быть представлено в следующем виде: . |
|
|
921 |
Составить уравнение плоскости, проходящей через точки М1(3; -1; 2), М2(4; -1; -1), М3(2; 0; 2). |
|
|
922 |
Доказать, что уравнение плоскости, проходящей через точки M1(x1; y1; z1), M2(x2, y2, z2), M3(x3; y3; z3), может быть представлено в следующем виде: . |
|
|
923 |
Определить координаты какого-нибудь нормального вектора каждой из следующих плоскостей. В каждом случае написать общее выражение координат произвольного нормального вектора: |
|
|
923.1 |
; |
|
|
923.2 |
; |
|
|
923.3 |
; |
|
|
923.4 |
; |
|
|
923.5 |
; |
|
|
923.6 |
. |
|
|
924 |
Установить, какие из следующих пар уравнений определяют параллельные плоскости: |
|
|
924.1 |
, ; |
|
|
924.2 |
, ; |
|
|
924.3 |
, . |
|
|
925 |
Установить, какие из следующих пар уравнений определяют перпендикулярные плоскости: |
|
|
925.1 |
, ; |
|
|
925.2 |
, ; |
|
|
925.3 |
, . |
|
|
926 |
Определить, при каких значениях l и m следующие пары уравнений будут определять параллельные плоскости: |
|
|
926.1 |
, ; |
|
|
926.2 |
, ; |
|
|
926.3 |
, . |
|
|
927 |
Определить, при каких значениях l и m следующие пары уравнений будут определять перпендикулярные плоскости: |
|
|
927.1 |
, ; |
|
|
927.2 |
, ; |
|
|
927.3 |
, . |
|
|
928 |
Определить двугранные углы, образованные пересечением следующих пар плоскостей: |
|
|
928.1 |
, ; |
|
|
928.2 |
, ; |
|
|
928.3 |
, ; |
|
|
928.4 |
, . |
|
|
929 |
Составить уравнение плоскости, которая проходит через начало координат параллельно плоскости . |
|
|
930 |
Составить уравнение плоскости, которая проходит через точку М1(3; -2; -7) параллельно плоскости . |
|
|
931 |
Составить уравнение плоскости, которая проходит через начало координат перпендикулярно к двум плоскостям , . |
|
|
932 |
Составить уравнение плоскости, которая проходит через точку М1(2; -1; 1) перпендикулярно к двум плоскостям , . |
|
|
933 |
Доказать, что уравнение плоскости, проходящей через точку М0(x0; y0; z0) перпендикулярно к плоскостям , , может быть представлено в следующем виде: . |
|
|
934 |
Составить уравнение плоскости, которая проходит через две точки М1(1; -1; -2), M2(3; 1; 1) перпендикулярно к плоскости . |
|
|
935 |
Доказать, что уравнение плоскости, проходящей через две точки M1(x1; y1; z1), M2(x2, y2, z2) перпендикулярно к плоскости , может быть представлено в следующем виде: . |
|
|
936 |
Установить, что три плоскости , , имеют общую точку, и вычислить ее координаты. |
|
|
937 |
Доказать, что три плоскости , , проходят через одну прямую. |
|
|
938 |
Доказать, что три плоскости , , пересекаются по трем различным параллельным прямым. |
|
|
939 |
Определить, при каких значениях a и b плоскости , , : |
|
|
939.1 |
имеют одну общую точку; |
|
|
939.2 |
проходят через одну прямую; |
|
|
939.3 |
пересекаются по трем различным параллельным прямым. Глава 39. Неполные уравнения плоскостей. Уравнения плоскости "в отрезках" 940 Составить уравнение плоскости, которая проходит: 940.1 через точку М1(2; -3; 3) параллельно плоскости Оху; 940.2 через точку М2(1; -2; 4) параллельно плоскости Oxz; 940.3 через точку М3(-5; 2; -1) параллельно плоскости Oyz. 941 Составить уравнение плоскости, которая проходит: 941.1 через ось Ох и точку М1(4; -1; 2); 941.2 через ось Oy и точку М2(1; 4; -3); 941.3 через ось Oz и точку М3(3; -4; 7); 942 Составить уравнение плоскости, которая проходит: 942.1 через точки М1(7; 2; -3) и М2(5; 6; -4) параллельно оси Ох; 942.2 через точки P1(2; -1; 1) и P2(3; 1; 2) параллельно оси Оу; 942.3 через точки Q1(3; -2; 5) и Q2(2; 3; 1) параллельно оси Oz. 943 Найти точки пересечения плоскости с координатными осями. 944 Дано уравнение плоскости . Написать для нее уравнение в отрезках. 945 Найти отрезки, отсекаемые плоскостью на координатных осях. 946 Вычислить площадь треугольника, который отсекает плоскость от координатного угла Оху. 947 Вычислить объем пирамиды, ограниченной плоскостью и координатными плоскостями. 948 Плоскость проходит через точку М1(6; -10; 1) и отсекает на оси абсцисс отрезок a=-3 и на оси апликат отрезок c=2. Составить для этой плоскости уравнение в отрезках. 949 Плоскость проходит через точки М1(1; 2; -1) и M2(-3; 2; 1) и отсекает на оси ординат отрезок b=3. Составить для этой плоскости уравнение в отрезках. 950 Составить уравнение плоскости, которая проходит через точку М1(2; -3; -4) и отсекает на координатных осях отличные от нуля отрезки одинаковые величины (считая каждый отрезок направленными из начала координат). 951 Составить уравнение плоскости, которая проходит через точки М1(-1; 4; -1), М2(-13; 2; -10) и отсекает на осях абсцисс и апликат отличные от нуля отрезки одинаковой длины. 952 Составить уравнение плоскостей, которые проходят через точку М1(4; 3; 2) и отсекают на координатных осях отличные от нуля отрезки одинаковой длины. 953 Составить уравнение плоскости, отсекающей на оси Oz отрезок c=-5 и перпендикулярной к ветору n={-2; 1; 3}. 954 Составить уравнение плоскости, параллельной вектору l={2; 1; -1} и отсекающей на координатных осях Ох и Оу отрезки a=2, b=-2. 955 Составить уравнение плоскости, перпендикулярной к плоскости и отсекающей на координатных осях Ох и Оу отрезки a=-2, b=2/3. |
,
.










отрезка, заданного точками:
=2
=3
=5
=2































; 1), M4(
;
), M5(1;
). 