Переходные процессы в линейных электрических цепях
}Переходные процессы в линейных электрических цепях.
Определения
1. Коммутация это какое-либо включение, выключение, переключение пассивных и активных ветвей и элементов схемы, приводящее к изменению конфигурации схемы или ее параметров. Предполагается, что коммутация совершается мгновенно (время коммутации равно нулю). Момент времени непосредственно до коммутации называется: 0- (“минус ноль”, момент непосредственно после: 0+ (“плюс ноль”).
Для схемы до коммутации и после коммутации характерны некоторые установившиеся режимы. В результате коммутации в схеме возникает некий режим перехода от установившегося процесса до коммутации к установившемуся процессу после коммутации. Это и есть переходный процесс. Теоретически длительность переходного процесса равна бесконечности, т.е. режим в цепи асимптотически приближается к установившемуся. Практически малым отличием режима от установившегося пренебрегают, и считают, что длительность переходного процесса конечна.
Законы коммутации
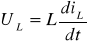
- В индуктивном элементе ток и магнитный поток в момент коммутации не изменяются, т.е.
(1)
Ток индуктивности сразу после коммутации равен току индуктивности непосредственно перед коммутацией (то же для магнитных потоков). В переходном процессе ток индуктивности и ее магнитный поток изменяются, начиная с этого значения.
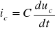
- Напряжение емкостного элемента и его заряд в момент коммутации не изменяются.
(2)
Напряжение на емкости и ее электрический заряд сразу после коммутации равны напряжению на емкости и электрическому заряду непосредственно перед коммутацией. В переходном процессе напряжение на емкости и ее электрический заряд изменяются, начиная с этого значения.
Обоснование законов коммутации

Если в момент коммутации
меняется скачком, то
и, следовательно,
из-за чего нарушается второй закон Кирхгофа, чего не может быть.
Аналогично.

Если в момент коммутации
меняется скачком, то
и, следовательно,
из-за чего нарушается первый закон Кирхгофа, чего не может быть.
Обоснование законов коммутации из закона сохранения энергии.
Энергия магнитного поля индуктивности:

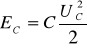
Энергия электрического поля емкости:
,
- мощность.
,
, если
или
меняются скачком, то соответствующая мощность
и
стремятся к , следовательно, для скачкообразного изменения
или
схему надо подключить к источнику питания бесконечной мощности, чего быть не может.
Сформулированные законы коммутации не являются универсальными: существуют схемы, для которых они не выполняются. Эти схемы называются некорректными, для их расчета существуют специальные методы.
Значения в начальный момент времени токов индуктивностей
и напряжений на ёмкостях
называются независимыми начальными условиями. Значения других величин в начальный момент времени
,
,
,
называются зависимыми начальными условиями, они могут изменяться скачком в момент коммутации и определяются по независимым начальным условиям с помощью первого и второго закона Кирхгофа.
Зависимость токов и напряжений в схеме от времени представляем в виде суммы двух составляющих: принужденной и свободной:
,
. (3)
Принужденная составляющая описывает установившийся режим цепи после коммутации, она определяется свойствами цепи и источника питания. Если источник постоянный, то установившийся режим постоянный и принужденная составляющая постоянная. Если источник периодический, то установившийся режим и принужденная составляющая - периодические.
Свободная составляющая отражает зависимость переходного процесса от свойств цепи конфигурации и параметров.
Математически переходный процесс в линейной схеме описывается линейным обыкновенным дифференциальным уравнением с постоянными коэффициентами n-ого порядка, где n число индуктивностей и емкостей в схеме, т.е. элементов, накапливающих энергию, источники напряжения и тока входят в правую часть этого ОДУ. Принужденная составляющая является частным решением неоднородного ОДУ, свободная составляющая общим решением однородного ОДУ. Для ОДУ n-ого порядка требуется n начальных условий. Они могут быть получены из n независимых условий: токов индуктивностей и напряжений емкостей в момент коммутации.
Метод расчета переходных процессов в линейных цепях состоящий в поиске решения ОДУ n-ого порядка называется классическим методом расчета переходных процессов. При этом само ОДУ в явном виде не записывается.
Пример 1
Включение RC-цепи на постоянное напряжение.

Найти
, ключ замыкается
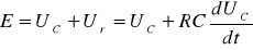
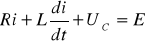
В замкнутом состоянии цепь является контуром, запишем для него второй закон Кирхгофа:
, т.к. 
т.е.

Это ОДУ - линейное с постоянными коэффициентами.
Принужденное напряжение частное решение неоднородного ДУ - ищем в виде константы:
: 
Общее решение однородного уравнения будет иметь вид:
- постоянная времени. 
Постоянная B ищется из нескольких условий: по закону коммутации
, до коммутации ключ был разомкнут и все напряжения в схеме были равны нулю (она была отключена от источника) 
Это и есть начальное условие для нашей задачи.
Решение ищем в виде:


отсюда
,
(4)
Пример 2
Ключ замыкается
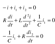
По законам Кирхгофа составим систему ОДУ:
;
(5)

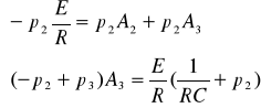
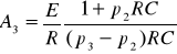
,
откуда

подставим
в систему уравнений и продифференцируем по t:
(6)
Независимые начальные условия
; 
определим из схемы до коммутации

ввиду того, что
,
,
, постоянный ток через ёмкость не течет.
Запишем искомую величину в виде суммы свободной и принужденной составляющей:

Принужденная составляющая есть установившаяся составляющая после коммутации, когда переходный процесс закончился.

, 
Постоянный ток через емкость не течет.
Чтобы найти свободную составляющую переходного процесса, которая является общим решением однородного уравнения, необходимо записать характеристическое уравнение системы ОДУ (или ОДУ ей эквивалентного) и найти его корни. Из системы (6) можно исключить
и
, и для полученного ОДУ записать характеристическое уравнение. Но можно составить главный определитель системы (5) и приравнять его нулю:


отсюда

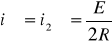
Корни характеристического уравнения:
- соответствует установившемуся режиму. Два других найдем из уравнения

или

Дискриминант этого квадратного уравнения имеет вид:

1)
- корни действительные, разные
)
- корни действительные, одинаковые
)
- корни комплексные сопряженные
В первом случае свободная составляющая имеет вид 
Во втором случае: 
В третьем случае: 
- есть действительная часть корней, св модуль мнимых частей корней.
Пусть в нашем случае корни действительные, различные, тогда, с учетом:
,
решение примет вид:

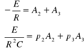
Для определения постоянных интегрирования
и
, запишем значение и его производную в начальный момент времени:


значения
и
определим из системы (5), записанной для начального момента времени
:


.
Из законов коммутации:
,
тогда:
, 
Для определения начального значения производной
продифференцируем систему (5) и подставим 



отсюда

из второго уравнения исходной системы при 


Алгебраические уравнения для постоянных интегрирования:


