Явления переноса
Явления переноса
План.
1.Физическая кинетика, неравновесное состояние вещества, необратимые процессы, время релаксации, явления переноса
2. Средняя длина свободного пробега молекул, эффективный диаметр молекул, эффективное сечение молекулы
3. Диффузия в газах. Закон Фика. Уравнение диффузии из молекулярно-кинетических представлений. Диффузия в жидких и твёрдых средах.
4. Теплопроводность в газах. Закон Фурье. Коэффицент теплопроводности. Теплопроводность жидких и твёрдых сред.
5. Вязкость или внутреннее трение. Коэфицент вязкости жидких и твёрдых сред.
1.Физическая кинетика, неравновесное состояние вещества, необратимые процессы, время релаксации, явления переноса
Раздел физики, изучающий необратимые процессы, называется физической кинетикой, и сами процессы, часто, кинетическими.
При нарушении равновесия система стремится вернуться в равновесное состояние. И этот процесс необратим.

- время релаксации кинетической энергии частицы к тепловому равновесию.
Это эволюция со временем средней кинетической энергии броуновской частицы ().
В тепловом равновесии величина средней кинетической энергии броуновской частицы пред совпадает со средней кинетической энергией одномерного движения молекул идеального газа:
< пред>=, и зависит только от температуры, определяемой из опыта.
<Eк>пред= ;
Процессы установления теплового равновесия в результате силового, энергетического и корпускулярного взаимодействия называются явлениями переноса.
2.Средняя длина свободного пробега молекулы.
График взаимной потенциальной энергии двух молекул.

Пусть центр одной из них в начале О. Центр второй перемещается вдоль r. Вторая летит из бесконечности, имеет начальный запас кинетической энергии Ek=E1. Вторая под действием сил притяжения увеличивает скорость. При прохождении точки r0 силы притяжения сменяются силами отталкивания. Молекула теряет скорость. В момент набольшего сближения молекула останавливается. Минимальное расстояние, на которое сближаются при столкновении центры двух молекул, называется эффективным диаметром молекулы d.

Величина, равная =d2 эффективное сечение молекулы. Эффективный диаметр молекулы зависит от энергии, а следовательно и от температуры.
За секунду молекула проходит путь S=<>. Если за секунду она претерпевает в среднем столкновений, то средняя длина свободного пробега будет =.
Чтобы подсчитать среднее число столкновений, предполагаем, что все молекулы кроме данной неподвижны на своих местах.

Молекула летит до столкновения прямолинейно. Соударение произойдет в том случае, если центр неподвижной молекулы окажется от прямой центра движущейся молекулы на расстояние меньшем эффективного диаметра d.
Объём цилиндра:
V=d2<>; `= d2<>n;
=d2<>n ;
=; ===;
При Т=const; n пропорциональна P. Следовательно =;
d при Т следовательно dT
Размеры молекул r10-8 cм.
При нормальных условиях число молекул в единице объёма n03*1019,а скорость молекул <>5*104 , число столкновений 3*109
При нормальных условиях молекулы испытывают несколько миллиардов столкновений в секунду.
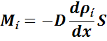
3.Диффузия.
Диффузией называется обусловленное тепловым движением молекул, самопроизвольное выравнивание концентраций в смеси различных веществ.
Этот процесс наблюдается в жидких, твердых и газообразных средах. Рассмотрим это явление в газообразных средах. Экспериментально установили, что поток массы i-ой компоненты вдоль оси Х через поверхность S, перпендикулярно направлению распространения.
Закон Фика (Германия, 1885):
;
Mi поток массы (кг/с);
D коэффициент диффузии (зависит от сорта газа и условий, при котором он находиться)(м2/с);
градиент плотности i-х молекул
Диффузия в газах.
Коэффициент диффузии для газов:
;
Длина свободного пробега:
; ; ;
; ;
;
Итак, для газов:
;
Коэффициент диффузии для газов:
;
Диффузия в жидкостях:
Диффузия в газах происходит быстрее, чем в жидкостях, например D сахара в воде:
;
Коэффициент диффузии для жидкости:
;
коэффициент вязкости.
Диффузия в твердых телах.
Диффузия в твердых телах обмен местами атомов в узлах кристаллической решетки, циклическое перемещение атомов.
;
D0 фактор диффузии.
Q энергия активации.
Диффузия в твердых телах происходит медленно. Например, наплавив золото на конец свинцового стержня при за сутки золото проникнет в свинец на 1 см. Dз=10-9(м2/с) При комнатной температуре коэффициент будет 10-14(м2/с).
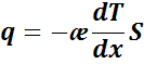
Теплопроводность.
В состоянии равновесия температура во всех точках системы одинакова. При отклонении температуры от равновесного значения в некоторой области, в системе возникает движение теплоты в таких направлениях, чтобы сделать температуру всех частей системы одинаковой. Связанный с этим движением перенос теплоты называется теплопроводностью.
Закон Фурье (Франция, 1822):
;
- тепловой поток
градиент температуры вдоль оси Х. поверхность, пересекаемая потоком.
коэффициент теплопроводности
Знак «минус» отражает тот факт, что теплота течет в направлении убыли температуры.
С молекулярно кинетической точки зрения:
;
удельная теплоемкость газа.
; ;
;
;
Теплопроводность газов, как видим, не зависит от р, но лишь до тех пор, пока - расстояния между поверхностями, обменивающимися теплом. При зависит от р и при . Это используется в сосудах Дюара. При .
;
;
;
;
;
;
;
;
;
;
;
;
В проводящих средах эта скорость может быть еще больше.
;
;
;
Теплопроводность металлов и сплавов оценивается законом Вадемана Франца:
;
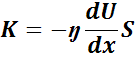
5.Вязкость, внутреннее трение.
Поток жидкости или газа, скорость течения в котором различна в разных местах. Состояние неравновесное, будут происходить процессы, стремящиеся выровнить скорости течений. Это внутреннее трение или вязкость.
Уравнение закона вязкости:
;
K поток импульса, передаваемого от слоя к слою через поверхность . относительная скорость движения слоёв жидкости.
показывает, как быстро изменяется скорость течения жидкости или газа в направлении перпендикулярном к направлению движения.
коэффициент вязкости или вязкость.
;
K = = = ;
Для газов с молекулярно-кинетической точки зрения:
(коэффициент динамической вязкости)
Кинематическая вязкость:
;
воздуха = 1,8 · ;
воды = 0,01 · = ;
;
;
;
;
;
;
|
Явления переноса |
Для газов |
|
|
Теплопроводность
|
поток тепла
|
|
|
Диффузия
|
поток массы
|
|
|
Вязкость
|
поток импульса
|
|
Диффузия. Коэффициент диффузии.
;
Два взаимопроникающих газа, массы молекул и эффективного сечения столкновения одинаковы, скорости одинаковы и.
; промежуток времени, за который все молекулы из кубика A и B выдут из них.
число молекул, пролетающих за единицу времени.
в единице объёма A.
;
;
Тогда справа налево за единицу времени через :
;
Тогда разность между числом молекул, пролетающих за единицу времени:
;
масса, переносимая за единицу времени через S слева направо;
;
масса одной молекулы; масса в единицу времени поток массы.
;
Поток массы-ой компоненты через :
;
;
;
;
;
4.Теплопроводность.
;
;
Число молекул через за из :
;
Движение без столкновений, перенос энергии . Количество теплоты переносимое всеми молекулами через :
;
;
Тогда в результате переноса тепла в двух противоположных направлениях, в направлении оси
;
;
;
;
;
;
Следовательно, обратно пропорционально ; . При малой разности, и мало отличаются:
;
;
;
;
;
; ; ;
;
;
;
;
;
5.Вязкость, внутреннее трение.
;
параллельна слоям, текущим с различными скоростями. Молекулы из (1) летят до без столкновений.
;
переносят через площадку количество движения :
;
;
Количество движения, переносимое через :
;
;
;
;
;
;
;
Явления переноса











