Сущность и инструментарий маркетинга. Методологические основы и виды маркетинга
PAGE \* MERGEFORMAT 1
МИНИСТЕРСТВО ВНУТРЕННИХ ДЕЛ РОССИЙСКОЙ ФЕДЕРАЦИИ
ФГКОУ ВПО
УФИМСКИЙ ЮРИДИЧЕСКИЙ ИНСТИТУТ
КАФЕДРА ЭКОНОМИЧЕСКИХ ДИСЦИПЛИН
УТВЕРЖДАЮ
Начальник кафедры
экономических дисциплин полковник полиции
У.З.Сафин
«10» июня 2014 г.
ЛЕКЦИЯ
по учебной дисциплине «Маркетинг»
по теме №1
« Сущность и инструментарий маркетинга. Методологические основы и виды маркетинга»
по направлению подготовки (специальности)
080101.65 Экономическая безопасность
Квалификация (степень) выпускника «специалист»
Время 2 часа
Лекция подготовлена доцентом кафедры, лейтенантом полиции, к.э.н. доцент А.С. Ишмеева
Обсуждена и одобрена
на заседании кафедры
10 июня 2014 г., протокол № 21
Уфа 2014
Цель лекции: рассмотреть социально-экономическую сущность маркетинга, его содержание, инструменты и варианты практического использования.
Технические средства обучения: компьютерная графика, слайды.
Уровень усвоения материала: ознакомительный.
Введение
- Применение современной методологии маркетинга в деятельности правоохранительных органов. Сущность и основные функции маркетинга
- Эволюция концепций маркетинга
- Сущность методологии маркетинговой деятельности
- Объекты маркетинга и его виды.
Заключение
Литература
Основная:
- Алексунин В. А. Маркетинг [Текст] : учебник / В.А. Алексунин. 5-е изд., перераб. и доп. М. : Дашков и К, 2010.
- Годин А.М. Маркетинг [Электронный ресурс]: учебник /Годин А.М. Электрон. текстовые данные. М.: Дашков и К, 2012. Режим доступа: http://www.iprbookshop.ru/10938. ЭБС «IPRbooks».
- Нуралиев С.У. Маркетинг [Электронный ресурс]: учебник/ Нуралиев С.У., Нуралиева Д.С. Электрон. текстовые данные. М.: Дашков и К, 2013. Режим доступа: http://www.iprbookshop.ru/14064. ЭБС «IPRbooks».
- Соловьев Б.А. Маркетинг [Текст] : учебник / Б. А. Соловьев. М. : ИНФРА-М, 2011.
- Цахаев Р.К. Маркетинг [Электронный ресурс]: учебник/ Цахаев Р.К., Муртузалиева Т.В. Электрон. текстовые данные. М.: Дашков и К, 2013. Режим доступа: http://www.iprbookshop.ru/14063. ЭБС «IPRbooks».
Дополнительная:
1. Акулич И.Л. Маркетинг [Электронный ресурс]: практикум/ Акулич И.Л. Электрон. текстовые данные. Минск: Вышэйшая школа, 2010. Режим доступа: http://www.iprbookshop.ru/20086. ЭБС «IPRbooks».
2. Егорова М.М. Маркетинг [Электронный ресурс]: учебное пособие / Егорова М.М., Логинова Е.Ю., Швайко И.Г. Электрон. текстовые данные. Саратов: Научная книга, 2012. Режим доступа: http://www.iprbookshop.ru/6297. ЭБС «IPRbooks».
3. Мазилкина Е.И. Маркетинг в отраслях и сферах деятельности [Электронный ресурс]: учебник/ Мазилкина Е.И. Электрон. текстовые данные. Ростов-на-Дону: Феникс, 2012. Режим доступа: http://www.iprbookshop.ru/4983. ЭБС «IPRbooks».
4. Морозов Ю.В. Основы маркетинга [Электронный ресурс]: учебное пособие/ Морозов Ю.В. Электрон. текстовые данные. М.: Дашков и К, 2012. Режим доступа: http://www.iprbookshop.ru/10945. ЭБС «IPRbooks».
Введение
Сегодняшний мир мир динамики и скорости. Чтобы в нем выжить, необходимо постоянно меняться вместе с ним и постоянно приобретать новые знания и умения. Более того, мало ими обладать. Ими надо уметь грамотно воспользоваться с тем, чтобы они принесли наибольшую выгоду их владельцу.
Сегодня все мы должны разбираться в маркетинге. Продавая машину, подыскивая работу, собирая средства на благотворительные нужды или пропагандируя идею,мы занимаемся маркетингом. Нам нужно знать, что представляет собой рынок, кто на нем действует, как он функционирует, каковы его запросы.
Не стоит забывать при этом об эффективности рыночного поведения и развития фирмы. Самое важное в познании и удовлетворении потребностей покупателя это изучать его мнение о товарах фирмы, конкурирующих товарах, проблемах и перспективах жизни и работы потребителей. Только обладая этим знанием можно в наиболее полной мере удовлетворить запросы потребителей. И как раз именно этим должна заниматься фирма в рамках системы сбыта там, где она ближе всего соприкасается с покупателем.
Вопрос 1. Применение современной методологии маркетинга в деятельности правоохранительных органов. Сущность и основные функции маркетинга.
По определению американского ученого Ф. Котлера маркетинг вид человеческой деятельности, направленный на удовлетворение нужд и потребностей посредством обмена.
Исходной идеей, лежащей в основе маркетинга, является идея удовлетворения человеческих нужд и потребностей (физические нужды и потребности в пище, одежде, тепле, безопасности, социальные нужды и потребности, потребность в знаниях и самовыражении и т.п.). Потребности людей безграничны, а вот ресурсы для их удовлетворения ограничены. Так что человек будет выбирать те товары, которые доставляют ему наибольшее удовлетворение в рамках его возможностей.
Спрос это потребность, подкрепленная покупательской способностью. Нетрудно перечислить спрос конкретного общества в конкретный момент времени. Однако спрос показатель недостаточно надежный, так как он меняется. На смену выбора влияют и изменения цен, и уровень доходов. Человек выбирает товар, совокупность свойств которого обеспечивает ему наибольшее удовлетворение за данную цену, с учетом своих специфических потребностей и ресурсов.
Человеческие нужды, потребности и запросы удовлетворяются товарами. Под товаром в широком смысле можно понимать все, что может удовлетворить потребность или нужду и предлагается рынку с целью привлечения внимания, приобретения, использования или потребления.
Обмен это акт получения от кого-либо желаемого объекта с предложением чего-либо взамен.
Рынок в маркетинге понимается как совокупность существующих и потенциальных потребителей товара (рынок сбыта).
Ключевым аспектом маркетинга является образ мышления. Он предполагает, что при принятии маркетинговых решений менеджер должен смотреть на все глазами потребителя. Следовательно, эти решения должны быть такими, в которых потребитель нуждается и которых он хочет.
Американская ассоциация маркетинга (AMA) определяет маркетинга следующим образом:
Маркетинг это процесс планирования и воплощения замысла, ценообразования, продвижения и реализации идей, товаров и услуг посредством обмена, удовлетворяющего цели отдельных лиц и организаций.
Можно выделить в этом определении четыре составляющих:
1) действие менеджмента (предвидение, определение целей и планирование, удовлетворение спроса);
2) совокупность управляемых элементов маркетинговой деятельности (продукт (замысел), цена, распределение (реализация) и продвижение);
3) объекты, при помощи которых удовлетворяется спрос и достигаются цели (товары, услуги, идеи, организации, люди, территории);
4) метод удовлетворения спроса (обмен).
Таким образом, кратко можно выразить предыдущее определение так: «Маркетинг управление удовлетворением спроса путем торговли».
Целями маркетинга могут быть:
максимально высокое потребление;
достижение максимальной потребительской удовлетворенности;
предоставление максимально широкого выбора;
максимальное повышение качества жизни.
С точки зрения управления предприятием можно выделить такие цели маркетинга:
увеличение дохода;
рост объемов продаж;
увеличение доли рынка;
создание и улучшение имиджа, известности предприятия и его продукции.
Под управлением маркетингом понимают анализ, планирование, претворение в жизнь и контроль за проведением мероприятий, рассчитанных на установление и поддержание обменов с целевыми покупателями ради достижения определенных целей предприятия.
Могут быть выделены следующие задачи маркетинговой деятельности на предприятии:
1. Исследование, анализ и оценка нужд реальных и потенциальных потребителей продукции фирмы в областях, интересующих фирму.
2. Маркетинговое обеспечение разработки новых товаров и услуг фирмы.
3. Анализ, оценка и прогнозирование состояния и развития рынков, на которых действует или будет действовать предприятие, включая исследование деятельности конкурентов.
4. Участие в формировании стратегии и тактики рыночного поведения предприятия.
5. Формирование ассортиментной политики предприятия.
6. Разработка ценовой политики предприятия.
7. Разработка политики распределения товаров предприятия.
8. Коммуникации маркетинга.
9. Сервисное обслуживание.
Субъекты маркетинговой деятельности
Маркетинг затрагивает интересы огромного количества людей. К числу субъектов маркетинговой деятельности относятся:
1. Производители или обслуживающие организация (предприятие или отдельный человек, поставщики, предприятия, обеспечивающие производителя товаров необходимыми ресурсами).
2. Конечные потребители (семья или человек приобретающие товары для личного использования).
3. Организации - потребители.
4. Специалисты по маркетингу (организации или люди).
5. Посредники (оптовая и розничная торговля, брокеры, маклеры, дилеры, дистрибьюторы).
6. Конкуренты - группы лиц или организаций, поставляющих на рынок аналогичные товары и услуги.
Основную группу элементов системы маркетинга - ее субъектов - составляют поставщики, производители, посредники, конкуренты, потребители.
В последующих темах мы более подробно остановимся на конкретных проблемах каждого субъекта, здесь же ограничим их круг тремя укрупненными группами и представим себе некую абстрактную ситуацию, в которой участвуют потребитель, продавец/производитель и законодатель. Последний, в зависимости от своего положения в обществе, может одновременно выступать как в качестве покупателя, так и в качестве продавца/производителя. С какими проблемами они сталкиваются на рынке, желая удовлетворить свои потребности (покупая или продавая товар) или организуют его. Некоторые из таких проблем представлены в Табл. 2.2
Таблица 2.2
Проблемы, с которыми сталкиваются субъекты маркетинговой деятельности
|
П о к у п а т е л ь |
З а к о н о д а т е л ь |
П р о д а в е ц |
|
1. Насколько широк ассортимент товаров? |
1. Каковы безопасность и надежность товаров? |
1. Какие характеристики ждут потребители? |
|
2. Есть ли марка, обладающая необходимыми характеристиками? |
2. Насколько товары соответствуют описаниям упаковки и рекламе? |
2. Какие существуют группы потребителей и какие нужды надо стремиться удовлетворить? |
|
3. Приемлема ли цена? |
3. Существует ли на рынке конкуренция? |
3. Каков должен быть дизайн и цена товара? |
|
4. Располагает ли к себе продавец? |
4. Достаточен ли выбор товаров? |
4. Какую гарантию и сервис надо предложить? |
|
5. Есть ли гарантия и сервисное обслуживание? |
5. Доступна ли цена? |
5. Какими каналами распределения (оптовыми, розничными) надо воспользоваться? |
|
|
6. Справедливы ли взаимоотношения потребителей с розничными торговцами и службами сервиса? |
6. Какие меры продвижения надо использовать (реклама, личная продажа, стимулирование сбыта)? |
|
|
7. Не наносит ли производитель вред окружающей среде? |
|
Все субъекты заинтересованы в проведении маркетинговых исследований, только условия для их проведения у них различные, да и средства разные. Зависимость рыночной активности и заинтересованности основных субъектов маркетинга (потребители и производители) и степени насыщения рынка конкретными товарами можно проиллюстрировать данными таблицы 2.2., в которой приведены характеристики видов спроса и задачи соответствующих им видов маркетинга.
Спрос объединяет всех покупателей и состоит из двух элементов - потребностей и денежных средств покупателей. Количество приобретаемых потребителями товаров зависит от уровня их доходов и рыночных цен. Чем выше цена товара, тем меньше его покупают, и чем ниже его рыночная цена, тем будет куплено при прочих равных условиях больше единиц товара. Понижающиеся цены приносят новых покупателей. Повышение цены какого-либо товара сопровождается сокращением его потребления и заменой другим товаром, например сметаны - сливками - молоком.
Вывод: Потребности безграничны, и поэтому человек выбирает только те, которые позволяют ему его финансовые возможности. Мир товаров и услуг призван удовлетворять человеческие потребности
Вопрос 2. Эволюция концепций маркетинга.
Подчеркивая актуальность концепции маркетинга в современных условиях хозяйствования, английский маркетолог Г. Хардинг отмечает: «Для истинного предпринимателя вера в Маркетинг подобна вере адвоката в букву Закона и вере врача в клятву Гиппократа».
Маркетинг сложная социально-экономическая категория, которая имеет много аспектов:
- организационно-технический;
- управленческий;
- экономический;
- социальный;
- идеологический;
- политический.
В силу этого в экономической литературе не существует единого определения маркетинга. Известно более 2000 его дефиниций, например:
маркетинг это наука о предпринимательстве (японские бизнесмены);
маркетинг это умение и искусство трансформировать нужды и запросы потребителей в конкретные формы и услуги (Ф. Котлер);
маркетинг это управленческий процесс, направленный на определение, предвидение и удовлетворение потребностей клиентов, ориентированный на получение прибыли (Лондонский институт маркетинга);
маркетинг это процесс планирования и практического осуществления разработки идей, товаров и услуг, формирования цен на них, стимулирования их сбыта и распределения для реализации обмена, удовлетворяющего целям индивидов и организаций (американская Ассоциация маркетинга);
маркетинг социальный процесс, в рамках которого отдельные члены общества и группы удовлетворяют различные потребности и желания путем обмена товаров и других ценностей между собой (Д. Миттлер);
маркетинг это менеджмент, ориентированный на рынок (П.Ф. Дракер);
маркетинг это процесс планирования и осуществления концепции цены, выхода на рынок и сбыта идей, товаров и услуг в целях обмена и удовлетворения как потребностей клиентов, так и осуществления целей предприятия (П.С. Завьялов);
маркетинг это философия управления, которая ведет к получению прибыли через удовлетворение потребителя путем сосредоточения внимания всей компании на долгосрочном и гибком определении сферы деловой активности, рынка, целевых групп потребителей, главных стратегических целей (Ф. Банфер);
маркетинг это интегрированная функция менеджмента, преобразующая потребности покупателя в доходы предприятия (Д.И. Баркан), и т.д.
Цель менеджмента определяется системой хозяйствования (табл. 1.1).
В рыночной экономике существует маркетинговая концепция менеджмента, так как маркетинг становится важнейшей функцией предприятия.
Таблица 1.1
Цели менеджмента в зависимости от системы хозяйствования

В истории развития маркетинга выделяют пять концепций (табл. 1.2).
Таблица 1.2
Концепции развития маркетинга
Сходство представленных в табл. 1.2 концепций определяется тремя общими положениями:
маркетинг это философия рынка;
маркетинг это система управления, совокупность служб которой полностью берет на себя ответственность за осуществление производственно-хозяйственной деятельности;
маркетинг это ориентированное мышление, обеспечивающее эффективное ведение сбытовых операций и направленное на потребителя.

Современные теоретические подходы к маркетингу сопоставляются в табл. 1.3.
Таблица 1.3
Современные теоретические подходы к маркетингу

В современных условиях концепции маркетинга получают дальнейшее развитие:
- в основе концепции стратегического маркетинга лежит ориентация на потребителей и конкурентов: удовлетворение нужд потребителей и одновременное достижение превосходства над конкурентами путем создания товара с лучшими потребительскими параметрами или установления более низкой цены;
- в основе концепции социально-этичного (общественного) маркетинга лежит ориентация на удовлетворение потребностей не только отдельной личности, но и всего общества в целом, что связано с современными экологическими, сырьевыми, энергетическими и другими проблемами человечества. Происходит согласование прибылей предприятия, потребностей покупателей и интересов общества;
- в основе концепции маркетинга отношений (максимаркетинга) лежит ориентация на максимальное укрепление индивидуальных отношений с потребителями на базе широкого использования современных телекоммуникационных средств;
- в основе концепции маркетинга в информационной среде лежит ориентация на прямой контакт с потребителями и обеспечение постоянного диалога с ними;
- в основе концепции территориального маркетинга лежит ориентация на создание и поддержание престижа территории в целом: представлений о привлекательности сосредоточенных на ней природных, материально-технических, финансовых, трудовых, организационных, социальных и других ресурсов и о богатстве возможностей для их реализации и воспроизводства;
- в основе концепции глобального маркетинга лежит ориентация на интернационализацию рынков, на восприятие их не в качестве отдельных рыночных сегментов, а как единого целого, где потребители вовлечены в приобретение широко известных и зарекомендовавших себя товарных марок.
Руководство эффективно работающих российских предприятий рассматривает маркетинг как:
философию бизнеса;
«образ мышления»;
концепцию управления;
методологию рыночной деятельности;
«образ действия», включающий принципы, функции, средства, методы, организацию управленческой деятельности в условиях рынка.
В сферу применения маркетинга сегодня входят:
товары и услуги;
типы потребителей: личность, предприятие или организация;
внутренний и внешний рынки;
области рынка: товарная, денежно-финансовая, трудовая;
отрасли предпринимательства: промышленность, сельское хозяйство, торговля, строительство, транспортные перевозки, образование и т.д.;
стороны некоммерческой деятельности (маркетинг идей, маркетинг трудовых мест и т.д.).
Типичными проблемами маркетинга для современных российских предприятий являются:
- недостоверная информация;
- неэффективное планирование;
- внезапные изменения ситуации на рынке;
- вмешательство государства, правовых органов;
- непредвиденные действия конкурентов;
- недостаточное финансирование маркетинга;
- внешнеторговые проблемы;
- низкое качество товаров;
- наличие избыточных или недостаточных мощностей;
- падение спроса;
- вытеснение товара конкурентами;
- проблемы сбыта;
- юридические разногласия с конкурентами, потребителями, поставщиками, посредниками;
- банкротство покупателей, поставщиков, агентов по сбыту;
- проблемы материально-технического обеспечения;
- изменение сегментации рынка;
- недостаток квалифицированных кадров;
- экологические проблемы;
- проблемы потребления товаров, и др.
Маркетинг как современная философия бизнеса
Маркетинг стал отражением социальных, экономических и политических перемен, происходивших в том или ином обществе, причем, несмотря на то, что каждая страна вписывала свои страницы в историю становления и развития маркетинга сформировалась общая тенденция развития, которая выразилась в переносе акцента с производства товара для потребителя вообще на более удовлетворение нужд и потребностей конкретных потребителей или их групп.
Исторически первой возникла так называемая концепция совершенствования производства , основывавшаяся на утверждении, что потребители будут благожелательно относиться к товарам, которые широко представлены на рынке и доступны по цене.
Решение такой задачи требует:
- постоянного совершенствования технологии и организации производства;
- сосредоточения усилий на производстве максимального объёма товаров для получения экономии на масштабе производства и, следовательно, снижения себестоимости и цены продукции;
Такой подход вполне оправдан, когда спрос существенно превышает предложение или, когда себестоимость единицы продукции достаточно велика и ее необходимо уменьшить за счет организации массового производства.
Схема организации деятельности фирмы в условиях применения концепции совершенствования производства представлена на рис. 1.4.

Рис. 1.4. Схема концепции совершенствования производства
В мировой экономической истории классическим примером разработки и реализации такой концепции является автомобильная компания Ford. Суть проблемы, которую вознамерился решить Г. Форд I заключалась в совершенствовании производства автомобиля модели " Т" таким образом, чтобы за счет снижения его себестоимости сделать автомобиль доступным широкому потребителю, что волне отвечало потребностям эпохи бурного развития американского общества конца XIX начала XX века. В результате Г. Форд I не только сделал автомобиль массовым средством передвижения, а не предметом роскоши, коим он являлся ранее, но и создал рынок потребителя первым повысив заработную плату своим рабочим, доведя ее до пяти долларов в день, что в 2,5 раза превышало уровень на других предприятиях Америки.
Этап ориентации на производство может быть ограничен следующими временными рамками - конец XIX века - 20-е годы XX века. Главная проблема производителей заключалась в стремлении любым способом продать потребителю (без изучения его потребностей) произведенные товары, в которых он - потребитель часто не был заинтересован. Фактически судьба продукции за воротами предприятия руководителей предприятий, как правило, не волновала. Подобный подход в значительной степени был характерен для командно-административной системы управления производством.
Практически одновременно с концепцией совершенствования производства сформировалась концепция совершенствования товара. Она исходит из утверждения, что потребители будут отдавать предпочтение товарам, имеющим высшее качество и обладающим лучшими эксплуатационными свойствами и характеристиками.
Следовательно, фирма должна сосредоточить свои усилия на совершенствовании товара, при обеспечении умеренных и доступных основной массе потребителей ценах.
Однако, увлеченность модернизацией собственной продукции не должна быть абсолютной. Необходимо следить за новыми разработками конкурентов и, что особенно важно, за появлением товаров заменителей, которые способны свести на нет усилия фирмы по совершенствованию свой продукции. Существует термин маркетинговая близорукость, впервые введенный в научный оборот Т. Левиттом (Гарвардская высшая школа бизнеса). Поводом для этого послужил анализ причин краха железнодорожных компаний в США, владельцы которых упустили из виду возникновение и развитие конкурирующих видов транспорта - автомобильного и авиационного прежде всего.
Для концепции совершенствования товара характерны:
- концентрация усилий на производстве высококачественных товаров или услуг и попытке завоевать покупателей путём предложения лучших товаров в своей товарной группе;
- сосредоточение внимания на функциональных особенностях, качестве, новизне и репутации лучшего товара, в условиях, когда цена не является решающим фактором для покупателя;
Концепция используется в случае широкого распространения продукта в своей товарной группе, а также, когда в попытке достижения высокого качества производителем выбрана для продукта "ниша качества" (небольшая часть рынка);
Она неприменима:
- при отсутствии общепринятого определения "самого высокого" качества;
- когда некоторые покупатели предпочитают простые, дешёвые изделия более сложным и дорогим;
- в случае взаимозаменяемости различных типов изделий или использования их с одной и той же целью (по причине разницы в цене покупатель может предпочесть книжный шкаф из покрытой шпоном ДСП книжному шкафу из натурального дерева).
Схема организации деятельности фирмы в условиях применения концепции совершенствования товара представлена на рис. 1.5.

Рис. 1.5. Схема концепции совершенствования товара
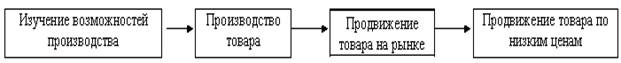
Концепция интенсификации коммерческих усилий стала закономерным результатом развития первых двух концепций, которые, уделяя максимум внимания наращиванию производства и совершенствованию товара рано или поздно, но обязательно приводит обострению проблем сбыта. Экономический кризис 1929-1932 гг. показал, что надо уметь не только произвести продукцию, но и сбыть ее. Кризис не только доказал бесперспективность первоначальной трактовки (первое классическое определение) маркетинга в условиях более высокого уровня развития мировой экономики, но и привел к тому, что маркетинг постепенно стал составной частью управленческой деятельности направленной на разработку и продвижение продукции к потребителям, создание благоприятных условий для приобретения товаров.
Такой подход просуществовал примерно до середины 50-х годов - начала 60-х годов.
Концепция интенсификации коммерческих усилий впервые вышла за границы фирмы в поисках средств и методов увеличения сбыта продукции. Согласно этой концепции потребители не будут приобретать товары организации в достаточных количествах, если она не предпримет значительных усилий в сфере сбыта и стимулирования.
Настоящая концепция:
- делает акцент на преодолении нежелания покупателей и "сбыте" им продукта;
- сосредоточивает усилия на сбыте продукции, а не на удовлетворении запросов потребителей;
- цены и стимулирование часто используются для достижения заданного объема сбыта;
Это тяжелый процесс, с высокими трудозатратами, являющийся эффективным в том случае, когда более ориентированные на потребителя методы сбыта не принесли результата или в том случае, когда цена является единственным отличием между различными продуктами.
Концепция интенсификации коммерческих усилий непригодна в тех случаях, когда имеются цели по установлению долгосрочных отношений с покупателями и осуществлению повторных продаж, или, когда имеется возможность применения подхода ориентированного на покупателя.
Схема организации деятельности фирмы в условиях применения концепции интенсификации коммерческих усилий представлена на рис. 1.6.

Рис. 1.6. Схема концепции интенсификации коммерческих усилий
К этому времени в ведущих промышленно развитых странах была создана новая система регулирования производственно-сбытовых процессов, обусловленная значительным увеличением производства товаров, объем которых превышал реальный спрос. Стали использоваться разнообразные методы воздействия на покупателей с целью "заставить" их совершить покупку.
Однако в условиях усиления конкурентной борьбы коммерческий успех имели те предприниматели, которые привлекали покупателей не только к разовым покупкам, но и ориентировали их на долгосрочные контакты со своей фирмой. Это можно было осуществить лишь в случае достаточно хорошего изучения потребностей и спроса, использования рекламы, стимулирования продаж и т.д. В результате в теории маркетинга был сделан акцент на конкретного потребителя с его реальными нуждами и потребностями и сформулирована собственно концепция маркетинга .
В соответствии с этой концепцией залогом достижения целей организации являются определение нужд и потребностей целевых рынков и удовлетворение их более эффективными, чем у конкурентов, способами.
В этой связи, вся деятельность предприятия должна базироваться на постоянным учете состояния рынка, точном знании нужд и потребностей покупателей, их оценке, предвидении возможных изменений в будущем. Лозунгом такого подхода к предпринимательской деятельности может быть выражение Любите клиента, а не товар.;
Схема организации деятельности фирмы в условиях применения концепции собственно маркетинга представлена на рис. 1.7.

Рис. 1.7. Схема концепции собственно маркетинга
При этом предприниматели не только приспосабливались к требованиям рынка, но и сами формировали запросы потребителя. Примерами тому может быть популярность малогабаритных телевизоров, персональных компьютеров, торговых точек быстрого питания, автомобильных пылесосов, моющих средств, спортивной обуви и т.д. Известные во всем мире компании ИБМ, Проктор энд Гзмбп, Адидас, Сони, Макдональдс и другие активно используют эту концепцию в своей деятельности.
Таким образом, с одной стороны, предприятия ориентируются на рынок, с другой - сами оказывают влияние на него, стремятся овладеть им и управлять. Следовательно, в основе концепции маркетинга, лежит идея достижения поставленных перед предприятием целей путем наиболее полного удовлетворения потребностей потребителей и их формирования, гармонизации отношений между производителем и потребителем с приоритетом интересов последнего.
Проблемы защиты окружающей среды, энергетический кризис второй половины 70-х г. радикальным образом повлияли на общественно-этические и, как следствие, на управленческие установки менеджеров. Период, начиная с 80-х годов XX века связан с ориентацией на социально-этический маркетинг, который направлен не только на выявление нужд, потребностей и интересов целевых рынков, их удовлетворение более эффективными и более продуктивными, чем у конкурентов, способами, но и с учетом требования сохранения и/или укрепления благополучия потребителя и общества в целом.
Постепенное увеличение выпуска экономичных малолитражных легковых автомобилей с катализаторами, электромобилей, производство экологически чистых продуктов питания все это свидетельства жизненности идей социально-этического маркетинга.
Уже стал классическим эпизод с фирмой Кока-кола, одного из ведущих производителей безалкогольных напитков в мире. Группой защиты интересов потребителей и защитников окружающей среды ей, в частности, были предъявлены обвинения в низкой питательной калорийности напитка, а также в том, что содержащиеся в нем сахар и фосфорная кислота разрушают зубы, а кофеин вызывает судороги, бессонницу, желудочно-кишечные расстройства. Кроме того, используемая необоротная посуда приводит к огромным непроизводительным затратам ресурсов, а некоторые компоненты рецептуры (бромированное растительное масло, сахарин) запрещены американским Управлением по контролю за качеством пищевых продуктов, медикаментов и косметических средств Компания вынуждена была отреагировать на предъявленные обвинения и в качестве одной из предпринятых мер было изменения состава компонентов в напитке Кока-Кола.
Схема организации деятельности фирмы в условиях применения концепции социально-этического маркетинга представлена на рис. 1.8.

Рис. 1.8 Схема концепции социально-этического маркетинга
Сущность маркетинга особенно отчетливо проявляется при сопоставлении его с концепцией интенсификации коммерческих усилий Табл. 1.1
Таблица 1.1.
Домаркетинговые и маркетинговые концепции
организации предпринимательства
(на примере концепции интенсификации коммерческих усилий
и концепция маркетинга)
|
Концепция интенсификации коммерческих усилий |
Концепция маркетинга |
|
1. Сосредоточенность на нуждах продавца |
1. Сосредоточенность на нуждах покупателя |
|
2. Забота о нуждах продавца по превращению его товара в наличные деньги |
2. Забота об удовлетворении нужд клиента посредством товара и целого ряда факторов, связанных с созданием, поставкой и, наконец, потреблением этого товара |
|
3. Объект основного внимания - существующий товар фирмы |
3. Объекты внимания - клиенты фирмы |
Специфика развития маркетинга в России.
Многогранен и противоречив процесс политических и экономических преобразований в России. И одно из наиболее ярких достижений - это переход к открытому для внешнего мира обществу. Интернационализация экономической и общественной жизни происходит в нашей стране резко и неравномерно, поистине скачкообразно, в особенных, нередко болезненных формах, поражая как новые возможности, так проблемы и угрозы. Необходимость быстрого приспособления к новым реальностям вызывает у многих, кто совсем не готов к этому, то, что называют “культурным шоком”.
Однако, как показывает опыт многих стран, превращение зарубежного, международного, будь то товар, информация или партнер по бизнесу, в нечто обыденное для повседневного бытия на самом деле имеет поистине революционный характер. Приобщение к международному сообществу ведет не только ведет к кардинальным изменениям в производстве и потреблении, но и решительно меняет наши представления о современном мире, заставляет ставить и осмысливать новые проблемы и в конечном итоге требует нового мировоззрения, поведения, квалификаций и знаний.
В условиях планово-централизованной системы как слово, так и понятие "маркетинг" находились под идеологическим запретом, а если о них и упоминалось, то с резко отрицательной оценкой: "Маркетинг ставит на научную основу эксплуатацию трудящихся не только как производителей, но и как потребителей, создает научную базу подчинения и контроля монополиями мелкого и среднего капитала".
Россия воочию увидела, что такое маркетинг, испытав на себе маркетинговую программу "сникеризации", блестяще разработанную и проведенную на ее просторах всемирно известной компанией "Марс". В 1993 г. эта компания, принадлежащая семье Марсов, по итогам конкурса ближневосточного журнала "Идеи и финансы" занимала третье место в мире по размерам богатства, владея состоянием в 14 млрд. долларов. "Марс" в течение четырех десятилетий завоевывал мировой рынок на основе концепции питательной и калорийной пищи, которую воплощает батончик шоколада "Марс". Поначалу он выглядел совсем не таким, каким пришел к нам в Россию, а напоминал... кусок мыла в невзрачной бумажной упаковке. Но его и воспринимали не как лакомство, а как полноценную высококалорийную пищу, которая даже входила в дневной рацион британского солдата. К моменту "завоевания" России частная компания "МарсИнкорпорейтед" выросла в настоящую империю с гигантскими заводами не только в США, Европе и Англии, но и в Гонконге, Японии и Австралии.
Первые пробные шажки на российском рынке сделало дочернее предприятие компании "Мастер Фудс" в конце 80-х -начале 90-х годов. Рубль был и тогда неконвертируемым, рынок шоколада еще не родился, а объем продаж не зависел от спроса и рекламы. Сладкие батончики поступали мелкими партиями, а глава фирмы Джон Скиннер лично развозил коробки по магазинам. В "Елисеевском" и"Новоарбатском" набор из четырех шоколадок ("Марс", "Сникерс", "Милки Уэй" и"Твикс") продавался по пять рублей, в то время как один доллар стоил уже двадцать рублей.
Началом маркетинговой программы "Марс" стала рекламная кампания "Сникерсов",впервые показанная по тогда еще советскому телевидению во время чемпионата мира по футболу 1990 г. в Италии. Испытать "сатис-фэкшн", который к тому же утоляет голод, пожелали сразу же миллионы бывших советских людей. И вот "Мастер Фудс" нанимает 26 коммерческих агентов, назначает трех официальных дистрибьютеров в Москве - и шоколадки двинулись в Москву целыми траками. По словам генерального директора рекламного агентства ДМВ Сергея Коптева, в стране нет сейчас города, не охваченного "Сникерсами". Об уровне "сникеризации" России красноречиво свидетельствует тот факт, что в ответ на объявление с просьбой прислать в "Останкино" обертку из-под съеденного "Сникерса" для участия в популярной лотерее, где разыгрывались путевки на чемпионат мира по футболу, в студию пришла масса писем, в которых содержались обертки, общий вес которых составил... 16 тонн!
Но компания "Марс" - это не только шоколадки. Вслед за ними на российский рынок вышли картофельное пюре, рис и соусы "Анкл Бенкс", наборы кошачьей и собачьейдиетологии. Сегодня в подмосковном Ступино полным ходом идет строительство трех предприятий по производству знаменитой продукции, в которые фирма "Марс" инвестировала 100 млн. долларов. Мощность трех фабрик - 150 тыс. разнообразных фирменных продуктов в год. Все это будет производиться по стандартам ЕЭС с применением экологически чистой технологии. Фабрики дадут рабочие места для одной тысячи местных жителей.
Урок маркетинговой программы, преподанный компанией "Марс", подтверждает незыблемое правило маркетинга:
ПРОИЗВОДИ И ПРОДАВАЙ НЕ ТО, ЧТО ТЫ ХОЧЕШЬ И ЧТО ТЕБЕ УДОБНО ПРОИЗВОДИТЬ, А ТО, В ЧЕМ СУЩЕСТВУЕТ ПОТРЕБНОСТЬ, А ЕСЛИ ТАКОВАЯ ПОКА ОТСУТСТВУЕТ - СУМЕЙ СОЗДАТЬ ЕЕ.
Этой заповеди всецело отвечают определения маркетинга, предложенные ведущими специалистами. Чтобы уяснить сущность и причины появления маркетинга, приведем некоторые из этих определений.
Первое из них принадлежит Ф. Котлеру, автору популярного во всем мире учебника "Основы маркетинга": "Маркетинг представляет собой человеческую деятельность,направленную на удовлетворение его потребностей и желаний посредством обмена "и "Маркетинг - руководство управляемыми потребностями". Таким образом, по Ф. Котлеру, суть маркетинга сводится к руководству управляемыми потребностями.
Следующее определение принадлежит Американской ассоциации маркетологов(АМА): "Маркетинг - предпринимательская деятельность, связанная с планированием движения товаров и услуг от производителя к потребителю".
Наконец, интересное определение дает общественный деятель В. Данилов-Даниэлян:"... все то, что является объектом данной дисциплины, есть некая проекция предпринимательской деятельности на ось рынка".
Эти три определения содержат в себе три основных условия, необходимых для широкого внедрения маркетинга на российский рынок.
ПЕРВОЕ УСЛОВИЕ - наличие полноценного рынка потребителя, на котором предложение товаров и услуг всегда превышает спрос. В условиях России это не совсем простая задача, поскольку внешнее обилие определенных товаров на многочисленных прилавках, недавно совершенно пустых, еще не означает формирования единого рынка потребителя, связывающего все регионы России и ближнего зарубежья. Дело в том, что от тоталитарной экономической системы, опиравшейся на отрицание каких бы то ни было рыночных отношений в стране, реально возникли и функционировали не один, а целых... пять рынков. Прежде всего, это так называемый "белый", или официально признанный рынок, при котором трудящиеся реализуют свою заработную плату путем покупки товаров через государственную или кооперативную торговую сеть. Его противоположность -"черный" рынок, созданный подпольной, теневой экономикой, где реализовались нелегальные и, как говорили, нетрудовые доходы. "Розовый" рынок -спец. распределители, позволяющие парт- и гос- номенклатуре реализовывать свои чиновничье-сословные привилегии в виде приобретения высококачественных товаров и услуг по баснословно низким ценам. Его близнец -"серый" рынок, то есть торговля дефицитными благами по низким государственным ценам по принципу "ты - мне, я - тебе", другими словами, услуга за услугу. Самым независимым некогда был так называемый "зеленый" рынок, колхозно-кооперативный, тогда еще не захваченный полностью преступными группировками. Это был самый честный рынок, на котором продавец и покупатель могли спокойно торговаться.
С началом экономических преобразований в России эти пять рынков не только не прекратили своего существования, но и причудливо переплелись друг с другом, что при отсутствии реальных собственников в производственных структурах, активно борющихся за свое место под солнцем в условиях жесточайшей конкуренции, сдерживает объективный ход развития общественного маркетинга. Поэтому одной из главных задач экономических реформ в России следует считать создание единого рынка потребителя, связывающего все регионы страны и ближнего зарубежья, вместо существующего конгломерата из пяти устаревших рынков.
ВТОРОЕ УСЛОВИЕ - существования и объективной необходимости российского маркетинга - создание отечественной системы предпринимательства, особенно мелкого и среднего, непосредственно работающего на рынок потребителя, Ведь, по выражению А. Смита, рынок - это естественный регулятор, при котором люди действуют в личных и своекорыстных целях и тем самым решают проблемы всех и каждого. Исходя из своих личных побуждений, покупатели действуют на рынке осмотрительно и расчетливо, отыскивают доступную им информацию о товарах и производителях с тем, чтобы купить нужный товар в оптимальных для них условиях. Продавец, который мог бы запросить высокую цену за продукт и услугу невысокого качества, в условиях конкуренции устанавливает приемлемое соотношение, ориентируясь на главное требование современного рынка: высокое качество при низкой цене. Все это поднимает на новую высоту отечественного предпринимателя, который выступает как новатор в освоении рыночных и производственных технологий, в разработке конкурентоспособной продукции, в создании новых отраслей производства и торговли, в овладении перспективными для общества факторами успеха.
Предпринимательская деятельность представляет собой безусловную ценность для общества, поскольку она порождает:
- личную материальную заинтересованность в объекте предпринимательской деятельности и в ожидаемых результатах;
- быстрое удовлетворение разнообразных потребностей покупателей за счет расширения и углубления рынка, открытия новых его сегментов с помощью стратегии маркетинга, который становится непременным условием успеха предпринимательской деятельности на рынке;
- удовлетворение потребностей населения с минимальными для общества издержками, поскольку специализация на каком-либо виде деятельности обеспечивает предпринимателю наиболее полное использование ресурсов общества.
Российский потребитель ждет прихода отечественного предпринимателя, способного создать и насытить российский рынок. Однако существующая реальность дает пока мало надежд на его быстрое появление. Реформы, начатые в январе 1992 г., не способствовали созданию конкурентной среды, а либерализация цен и внешней торговли развязали руки только монополиям. Жесткая кредитно-финансовая политика, удушающие налоги - федеральные, республиканские и местные - отнимают 80-90% получаемой прибыли. Ставки кредитов Центробанка и коммерческих банков были доведены до абсурда. Первые ростки предпринимательства в промышленности,строительстве и сфере услуг не выдержали таких суровых условий и стали быстро засыхать. Общество ждет новых реформаторских импульсов для развития предпринимательства, особенно для малого и среднего, способного создать рабочие места и насытить рынок товарами отечественного производства, вполне конкурентоспособными как с западными, так и с восточными аналогами.
ТРЕТЬЕ УСЛОВИЕ - широкого распространения маркетинга - это рождение технологий производства и адекватных им рыночных технологий, создающих проекцию предпринимательства на ось рынка. В этих условиях уместно вспомнить высказывание известного американского менеджера Питера Друкера: "Поставить специалистов по маркетингу в начале, а не в конце производственного цикла и интегрировать маркетинг в каждую фазу бизнеса. Путем изучения установить и довести до каждого инженера, конструктора и производственника, каким клиент хочет видеть данный продукт, какую цену готов платить и где и когда потребуется этот продукт". Маркетинг должен оказывать воздействие на проектирование, планирование, выпуск, экономический анализ равно как на рекламу, распределение, сбыт, предоставление услуг по продукту.
Формирование рынка потребителя, слоя крупных, средних и мелких предпринимателей-собственников, разработка и внедрение производственных и рыночных технологий - вот условия, которые сделают маркетинг объективной необходимостью ведения производственно-коммерческой деятельности как на уровне предприятия, так и на уровне регионов, внутреннего и внешнего рынков.
В связи с этим актуален вопрос: какие конкретные преимущества дает маркетинг отдельному предпринимателю и предприятию?
1. Маркетинг обеспечивает и объективно предполагает постоянный поиск, изучение и формирование новых потребностей и средств их удовлетворения.
2. Способствует осуществлению инновационных процессов к созданию ноу-хау в технологии производства и продвижении товаров на рынок к потребителю.
3. Является необходимым условием функционирования и выживания предприятия, фирмы в условиях рыночной экономики, поскольку позволяет осуществить "разведку в корпоративной армии" в состоянии войны "всех против всех".
4. Выступает основным элементом контроля и регулирования экономических отношений на микроуровне.
5. Образует информационную основу функционирования предприятия и формирования его производственно-сбытовой стратегии.
6. На макроэкономическом уровне осуществляет взаимосвязи между процессами производства и потребления.
Маркетинг вносит в производственно-коммерческую деятельность предприятия новые элементы в форме деловых взаимоотношений, обладает собственным языком и даже жаргоном. Так, при ведении переговоров, составляющих значительную по объемам и затратам часть маркетинговой деятельности, при разработке рекламных обращений маркетологи мира пользуются своим жаргоном. Все изделия аудио- и видеотехники они называют "коричневым товаром", бытовую технику - "белым товаром", все виды масел - "желтыми жирами", шоколад - "счетными линиями" и т.д.
Маркетинг - современная концепция рыночного управления, без учета основных принципов которой невозможна организация отечественного рынка.
Комплекс маркетинга:
• товар (product) товары, услуги или идеи, предназначенные для удовлетворения нужд потребителя;
• цена (price) денежная сумма, которую потребители должны уплатить для получения товара;
• распределение (place) деятельность по доведению продукта от производителя до конечного потребителя;
• продвижение (promotion) средства коммуникации между продавцом и покупателем.
Комплекс маркетинга часто называют «4Р» по первым буквам английских слов «товар», «цена», «распределение», «продвижение».
Комплекс маркетинга это маркетинговые средства воздействия на покупателя. С точки зрения покупателя каждый элемент маркетингового комплекса должен обеспечивать его определенными преимуществами. Поэтому в современном маркетинге происходит переосмысление сущности элементов комплекса и «4Р» трансформируются в «4С» «четыре преимущества» (табл. 1).
Таблица 1
Современное понимание сущности элементов комплекса маркетинга
|
«4Р» |
«4С» (преимущества) |
|
Товар |
Полезность для потребителя (customer value) |
|
Цена |
Ценность (cost to the customer) |
|
Распределение |
Доступность (convenience) |
|
Продвижение |
Информированность (communication) |
Надо также отметить, что количество инструментов комплекса маркетинга может быть больше четырех. Так, например, говорят о «5Р», когда речь идет об услугах и к четырем основным прибавляется еще одно «Р» people (люди). Это связано с тем, что качество услуг напрямую связано с работниками компании и с качеством их работы, с тем, как они принимают клиента, как заключают договора. О «7Р» говорят применительно к торговым предприятиям. Учитывая специфику маркетинга на торговых предприятиях, к четырем основным «Р» добавляются еще три, и комплекс маркетинга выглядит следующим образом:
• продукт (product),
• цена (price),
• продвижение (promotion),
• распределение (place),
• люди (people),
• процессы (processes) внешнее оформление, дизайн,
• обслуживание потребителя (provision).
Обращаясь к словам одного из основателей маркетинга Ф. Котлера: «Вопрос не в том, следует ли рассматривать четыре, шесть или десять "Р"; важно то, какая схема дает оптимальный выбор маркетинговой стратегии», можно сказать, что количество инструментов будет зависеть от конкретного рынка, товара, компании.
Вывод: Исходя из сказанного, можно сделать вывод о том, что маркетинг в широком понимании это определенная философия хозяйствования в условиях рынка, ориентированная на потребителя.
Вопрос 3. Сущность методологии маркетинговой деятельности
Маркетинг, как всякая система, имеет свои направления, методы и задачи реализации. Направления маркетинга подразумевают проведение: политики в области качества и ассортимента продукции, формирование цен, организацию сбыта и коммуникаций.
Методы, применяемые в маркетинге, обычно включают: учет, анализ, моделирование, прогнозирование и проектирование, корректировку.
Система маркетинга предполагает решение следующих задач:
1. Комплексное изучение рынка;
2. Выявление потенциального спроса и неудовлетворенных потребностей;
3. Планирование товарного ассортимента и цен;
4. Разработка мер для наиболее полного удовлетворения существующего спроса;
5. Планирование и осуществление сбыта;
6. Разработка мер по совершенствованию организации производства товаров.
Решение этих задач опирается на использование следующих методов маркетинга:
1. Методы изучения рынка;
2. Методы формирования спроса и стимулирование сбыта;
3. Информационные методы;
4. Аналитические методы;
5. Методы прогнозирования потребностей на рынке.
Рассмотрим некоторые из них:
1. Методы изучения рынка.
К этим методам относятся наблюдения и опросы.
Наблюдение - это один из возможных способов сбора данных. Исследователь наблюдает за людьми и обстановкой, не вмешиваясь в события. Исследователи торговой фирмы могут обосноваться в торговых залах, делать замеры, слушать, что говорят люди о разных товарах, наблюдать, как продавцы справляются с оформлением и выдачей покупок.
С помощью наблюдения можно исследовать поведение человека перед витриной, частоту посещения своих и конкурирующих организаций, с его помощью можно оценивать половозрастной состав посетителей магазинов, ресторанов, кинотеатров, частоту и ассортимент покупаемых товаров. Наблюдатель может обосновываться в аэропорту, в магазине, ресторане, кинотеатре и т.д. Наблюдатели могут совершать покупки в своих магазинах и в магазинах конкурентов, для того, чтобы сравнить качество продукции, ее ассортимент, качество обслуживания.
Опрос - это наиболее универсальный и эффективный метод проведения маркетинговых исследований. Фирмы проводят опросы, чтобы получить информацию о предпочтениях людей, о степени их удовлетворенности, а также, их отношение к имиджу фирмы.
Опросы бывaют:
- письменные заполнение анкет;
- по телефону;
- личные.
2. Методы формирования спроса и стимулирование сбыта (ФОССТИС).
Чтобы купить товар, необходимо иметь сведения о его потребительских свойствах. Покупатель не испытывает потребности в изделиях или услугах, о которых мало знает. Тем более что на рынке несколько видов товаров, удовлетворяющих одну и ту же потребность, и покупателю приходится делать выбор между ними. Товар с неизвестными потребительскими свойствами в такой ситуации не будет куплен, так как к новинкам человек всегда испытывает настороженность, т.е. «барьер недоверия».
Одной из важнейших задач службы ФОССТИС является устранение такого барьера. Служба ФОССТИС УСЛОВНО подразделяется на ФОС и СТИС.
У ФОСа- направление коммуникационное (информирующее) оно способствует узнаваемости товара. Сюда относится реклама.
Цель службы СТИСа чисто коммерческая это получение прибыли. Мероприятия СТИС адресованы тем, кто уже купил данный товар, они имеют цель добиться, чтобы покупки совершались и часто и регулярно. СТИС побуждает к покупке уже известного товара, а ФОС формирует в сознании людей желание купить новый для них товар
К мероприятиям ФОС и СТИС относятся:
Реклама - это самый действенный инструмент в попытках предприятия модифицировать поведение покупателей, привлечь их внимание к товарам предприятия, создать положительный образ самого предприятия и показать его общественную полезность.
Стимулирование сбыта - использование многообразных средств стимулирующего воздействия, которые могут ускорить или усилить ответную реакцию рынка. Решение задач стимулирования сбыта достигается разнообразными средствами. Рассмотрим основные средства стимулирования сбыта:
К основным средствам стимулирования сбыта относятся:
- распространение образцов, купоны, премии, зачетные талоны, дисконтные карты;
- экспозиции и демонстрации товаров;
- конкурсы, лотереи, игры, розыгрыши;
- вручение бесплатных сувениров с названием фирмы.
3. Информационные методы.
Для привлечения внимания покупателей используют: рекламу, пропаганду, консультации, личную продажу, моральное и материальное стимулирование и «Паблик Рилейншиз» (ПР). Рассмотрим их:
1. Реклама:
- реклама в прессе - газеты, журналы, бюллетени;
- аудио-визуальные средства - радио, телевидение, кино;
-бегущая строка - рекламные щиты, плакаты, транспортные обращения.
2. Пропаганда - это мощное средство стимулирования, которое включает в себя использование редакционного, а не платного места или времени, во всех средствах распространения информации, доступных для чтения, просмотра и прослушивания существующими или потенциальными клиентами фирмы для решения конкретной задачи. Пропагандой пользуются для популяризации товаров, лиц, идей, деятельности, организаций и даже целых стран. Торговые ассоциации прибегают к пропаганде для формирования интереса к новым продуктам, организации - для привлечения ~ внимания и для исправления неблагоприятного представления о себе, страны - для привлечения туристов, иностранных капиталовложений и для обеспечения себе международной поддержки. Задача пропаганды обеспечить фирме благожелательную известность и противодействовать распространению неблагоприятных слухов и сведений.
3.Личная продажа - это устное представление товара в ходе беседы с одним или несколькими потенциальными покупателями с целью совершения продажи. Личная продажа - это самый дорогой из применяемых фирмой методов воздействия на покупателя. Потребитель совершит покупку товара только в том случае, если до или в ходе личной продажи получит достаточно положительную информацию о товаре, услуге, фирме.
4. «Паблик Pилейшнз» (ПР) - термин в переводе с английского означает «Отношения с общественностью». Главное назначение ПР - создавать благоприятное мнение общественности о фирме. Методы ПР, используемые организацией, разнообразны и зависят от специфики ее деятельности, целей и задач, которые она ставит в своей работе и от перспектив развития. Основными из них являются: сотрудничество со средствами массовой информации, проведение пресс-конференций, участие в выставках, ярмарках и т.д.
4. Аналитические методы: к которым относятся:
1) анализ и оценка окружающей среды;
2) анализ поведения потребителей.
5.Методы прогнозирования потребностей на рынке.
К ним относятся: опросы, анкетирование, кабинетные и полевые исследования, наблюдения и т.д.
Вывод: Предприятие должно заботиться о максимальной информированности действующих и потенциальных клиентов. Чем больше клиенты будут знать о новом товаре, производителе, организации-поставщике, тем выше вероятность выбора именно этого товара. С помощью различных мероприятий в сознании потенциальных покупателей создается положительный образ товара, который играет главную роль при приятии решения о Покупке.
Вопрос 4. Объекты маркетинга его виды.
К объектам маркетинговой системы относятся: нужда, потребность, предложение, благосостояние, сделка, квалификация, спрос, деятельность, удовлетворение. В основе маркетинга лежат нужды людей.
Нужда это испытываемое чувство нехватки чего-либо.
Нужды разделены на:
• Физиологические нужды (пища, одежда, тепло, безопасность)
• Социальные нужды (духовная близость, влияние, привязанность)
•Личные нужды (знания, самовыражение)
Человеческие нужды порождаются внешними либо внутренними факторами. Удовлетворение нужд происходит в поле жизнедеятельности человека, в том числе и в системе рыночных отношений. Нужда, связанная с личностью индивидуума, формирует конкретную потребность.
Потребность это специфическая форма удовлетворения нужды, соответствующая культурному уровню и личности индивида. Потребности людей практически безграничны, а вот возможности для их удовлетворения ограничены.
Выделяют следующие виды потребностей:
• Потребность в самопознании
• Потребность в самоутверждении
• Социальные потребности
• Потребность в самосохранении
• Физиологические потребности
Товар все, что может удовлетворить потребность и предлагается рынку с целью привлечения внимания, приобретения или потребления. Все товары, удовлетворяющие нужду, называются товарным ассортиментом выбора.
Спрос это количество товара, которое покупатели желают и могут приобрести в течение определенного периода времени. Он объединяет всех покупателей и состоит из двух элементов потребностей и денежных средств покупателей.
Выделяют следующие виды спроса:
Отрицательный, отсутствующий, скрытый, падающий, нерегулярный, полноценный, чрезмерный спрос, нерациональный (иррациональный).
Отрицательный спрос характеризует состояние рынка, когда значительная его часть негативно относится к продукту. При отрицательном спросе используется конверсионный маркетинг.
Типы маркетинга в зависимости от вида спроса:
Конверсионный маркетинг вид маркетинга, задачей которого является изменение отрицательного отношения потребителей к какому-то продукту (негативный спрос) на положительное путем переделки продукта, снижения цены и более эффективного его продвижения.
Отсутствующий спрос характеризуется полным отказом от данного вида продукции. При отсутствии спроса используют стимулирующий маркетинг.
Стимулирующий маркетинг вид маркетинга, задачей которого является в условиях отсутствия спроса отыскание способов увязки присущих продукту выгод с потребностями потребителей. Устраняет незнание продуктов потребителями и препятствия к распространению товаров. Основные инструменты стимулирующего маркетинга резкое снижение цен, усиление рекламы и т.д.
При скрытом, потенциальном спросе используется развивающий маркетинг.
Развивающий маркетинг это вид маркетинга, используемый в условиях скрытого, потенциального спроса, его задачей является оценка размера потенциального рынка и разработка эффективных продуктов, способных превратить спрос в реальный. Его инструменты: разработка продуктов, отвечающим новым потребностям, повышение качества, реклама, имидж продукта.
При падающем спросе используется ремаркетинг.
Ремаркетинг вид маркетинга, задачей которого является восстановление спроса в случае его падения на основе творческого переосмысления. Его задачи придание товару новых свойств, проникновение на новые рынки и т.д.
При нерегулярном, колеблющемся спросе используется синхромаркетинг.
Синхромаркетинг вид маркетинга, задачей которого является поиск способов сглаживания колебаний спроса с помощью гибких цен, методов продвижения и других инструментов маркетинга.
При полноценном спросе используется поддерживающий маркетинг.
Поддерживающий маркетинг вид маркетинга, задачей которого является в условиях полноценного спроса поддержание существующего уровня спроса с учетом изменения системы предпочтений потребителей.
При чрезмерном спросе используется демаркетинг.
Демаркетинг вид маркетинга, применяемый в условиях чрезмерного спроса. Его задача изыскание способов временного или постоянного снижения спроса в целях ликвидации отрицательных рыночных условий. Его инструменты повышение цен, прекращение рекламной работы.
Нерациональный или иррациональный спрос это спрос на продукты, вредные для здоровья. При нерациональном спросе используется противодействующий маркетинг.
Противодействующий маркетинг вид маркетинга, задача которого убедить людей отказаться от потребления вредных продуктов путем резкого повышения цен, ограничения их доступности.
В настоящее время в связи с повышением социального статуса человека, расширением его прав появилась концепция просвещенного маркетинга.
Спрос является убывающей функцией цены и возрастающей функцией дохода.
Предложение в маркетинговой системе определено стандартом предлагаемого товара (услуги). Предложение в поле сделки соотносит потребительскую группу с профессиональной группой. Предложение соотносит стандарт возможного товара (образа) с возможным вознаграждением (заработной платой).
Вывод: Таким образом, предложение в маркетинговой системе соотносит, с одной стороны (вознаграждением), с другой потребительскую группу, к которой отнесен потребитель по определенным характеристикам, с профессиональной группой производителя.
Заключение
Маркетинг затрагивает жизнь каждого из нас. Это процесс, в ходе которого разрабатываются и предоставляются в распоряжение людей товары и услуги, обеспечивающие определенный уровень жизни. Маркетинг включает в себя множество самых разнообразных видов деятельности, в том числе маркетинговые исследования, разработку товара, организацию его распространения, установление цен, рекламу и личную продажу. Многие путают маркетинг с коммерческими усилиями по сбыту, тогда как и на самом деле он сочетает в себе несколько видов деятельности, направленных на выявление, обслуживание, удовлетворение потребительских нужд для решения целей, стоящих перед организацией. Маркетинг начинается задолго до и продолжается еще долго после акта купли-продажи.
Маркетинг вид человеческой деятельности, направленной на удовлетворение нужд и потребностей посредством обмена. Основными понятиями сферы маркетинга являются следующие: нужды, потребности, запросы, товар, обмена, сделка и рынок.
Управление маркетингом - это анализ, планирование, претворение в жизнь и контроль за проведением мероприятий, рассчитанных на установление, укрепление и поддержание выгодных обменов с целевыми покупателями ради достижения определенных целей организации. Занимающийся маркетингом должен хорошо уметь воздействовать на уровень, время, характер спроса, поскольку существующий спрос может не совпадать с тем, которого желает для себя фирма.
Управление маркетингом может осуществляться с позиций пяти разных подходов. Концепция совершенствования производства утверждает, что потребители будут благоволить товарам, доступным по низким целям, и, следовательно, задача руководства - совершенствовать экономическую эффективность производства и снижать цены. Концепция совершенствования товара исходит из того, что потребители оказывают предпочтение товарам высокого качества и, следовательно, больших усилий по стимулированию сбыта не требуется. Концепция интенсификации коммерческих усилий базируется на том, что товары организации не будут покупать в достаточных количествах, если не побуждать потребителей к этому с помощью значительных усилий в сфере сбыта и стимулирования. Концепция маркетинга строится на утверждении, что фирма должна выявить с помощью исследований нужды и запросы точно очерченного целевого рынка и обеспечить их желаемое удовлетворительное. Концепция социально-этнического маркетинга провозглашает залогом достижения целей организации ее способность обеспечить потребительскую удовлетворенность и долговременное благополучие и потребителя и общества в целом.
Таким образом, подводя итог лекционного занятия, можно сказать, что практическая деятельность маркетинга оказывает большое влияние на людей, выступающих в качестве покупателей, продавцов и рядовых граждан. В качестве ее целей выдвигаются такие, как достижение максимально возможного высокого потребления, достижение максимальной потребительской удовлетворенности, предоставление потребителям максимально широкого выбора, максимальное повышение качества жизни. Многие считают, что целью должно быть именно повышение качества жизни, а средством ее достижения - применение концепции социально-этичного маркетинга.
Интерес к этой деятельности усиливается по мере того, как все большее число организаций в сфере предпринимательства, в международной сфере осознают, как именно маркетинг способствует их более успешному выступлению на рынке.