МОТИВАЦІЯ
Тема 7. МОТИВАЦІЯ
7.1. Сутність і роль мотивування.
7. 2. Типи мотиваційних теорій.
7.3. Проблеми формування ефективного мотиваційного механізму на підприємстві
У процесі зародження та формування менеджменту як науки завжди виникали проблеми дієвого і результативного мотивування. Спочатку йшлося більше про матеріальні та організаційні аспекти спонукання. На сучасному етапі все більше акцентується на соціально-психологічних аспектах мотивації, що створюють умови для досягнення високих результатів виробничо-господарської діяльності з мінімальними затратами.
7.1. Сутність і роль мотивування
Німецький філософ Артур Шопенгауер (17881860) у статті «Чотири принципи достатньої причини» вперше вжив термін «мотивація», після чого його почали застосовувати для пояснення причин поведінки людей.
Мотивація результат впливу на особистість внутрішніх і зовнішніх рушійних сил, що спонукають її до діяльності, задають межі і форми діяльності і спрямовують цю діяльність на досягнення певних цілей.
У процесі історичного розвитку мотивація як економічна категорія пройшла два етапи:
застосування політики «батога та пряника»;
використання методів психології і фізіології (згідно з доктринами Зігмунда Фрейда (18561936), Е. Мейо, М. Туган-Барановського та ін.).
Мотивація ґрунтується на двох категоріях: потреби відчуття фізіологічної або психологічної нестачі чого-небудь і винагороди те, що людина вважає цінним для себе. Потреби поділяють на первинні (фізіологічні) і вторинні (психологічні); винагороди на внутрішні (отримують у процесі роботи, від змісту трудового процесу, відчуття самоповаги тощо) і зовнішні (зумовлені заробітною платою, просуванням за службовою ієрархією, кабінетом, службовим авто, додатковою відпусткою тощо). Потреби породжують у свідомості людини інтерес, а він мотиви (усвідомлене спонукання до дій). Відповідно мотиви зумовлюють певну поведінку людини, спонукають її до вчинків і дій з метою отримання винагороди та досягнення особистих цілей. Результатом цього може бути повне задоволення, часткове задоволення чи незадоволення потреб індивіда.
У менеджменті це психологічне явище використовують для виявлення важелів впливу на поведінку працівників, тобто з метою здійснення їх мотивування.
Мотивування вид управлінської діяльності, спрямований на спонукання себе та інших працівників організації до діяльності, що забезпечує досягнення визначених цілей.
Жодна дія людини не відбувається без мотивації. Тому для успішного керування поведінкою людей у процесі їх трудової діяльності важливо встановити, чому саме люди працюють, що викликає у них бажання і потребу працювати, чому одним робота приносить задоволення, а інші ставляться до неї байдуже.
Американський учений Д. Аткінсон одним із перших запропонував загальну теорію мотивації. Він зазначав, що силу прагнення людини досягти поставленої мети, тобто силу вмотивованості, можна відобразити такою формулою:
М = Пду х Вдц х Здц,
де М сила мотивації (прагнення); Пду прагнення досягнення успіхів як особистісної диспозиції; Вдц суб'єктивно оцінювана ймовірність досягнення поставленої мети (цілі); Здц значення досягнення даної мети (цілі) для людини.
Вплив мотивації на поведінку людини залежить від багатьох чинників. Мотивація може бути сильною і слабкою, може змінюватися під впливом діяльності людини, що й зумовлює зміну її поведінки у процесі роботи. Старанність, наполегливість у досягненні цілей формуються сильними мотиваційними чинниками, а наслідком слабкої мотивації є лише таке виконання роботи, яке не спричинить покарання. Отже, мотивація визначає пріоритети ділової активності, посилює бажану поведінку людини.
Розуміння внутрішніх механізмів мотивації праці дає змогу менеджерам виробити ефективну політику у сфері трудових відносин, створити «режим найбільшого сприяння» для тих, хто справді хоче продуктивно працювати.
Сутність мотивації розкривають за допомогою категорій «мотив», «потреба», «стимул», «винагорода».
Мотив спонукальна причина дій і вчинків людей.
Від того, якими мотивами людина керується у своїй трудовій діяльності, залежить її ставлення до роботи і кінцевий результат. Мотив формується «всередині» людини і зумовлений багатьма чинниками. Одні й ті самі мотиви у різних людей можуть спричиняти неоднакові дії і, навпаки, ідентичні дії можуть спричинятися різними мотивами. Існує притча про мудреця, що вирішив з'ясувати, як люди розуміють сенс своєї праці. Він став на узбіччі дороги, якою возили каміння на будівництво собору, і першого-ліпшого візника запитав:-
«Що ти робиш, добрий чоловіче?». «Хіба не бачиш? відповів той. Везу каміння». «А ти?» запитав мудрець іншого. «Заробляю на хліб собі і дітям». Третій візник сказав: «Будую собор, мудрий старче». Отже, всі троє виконували одну й ту саму роботу возили каміння, за що отримували гроші, проте сенс у своїх діях вбачали різний.
Для кожної людини мотиви є суб'єктивними; вони формуються у процесі виховання, навчання, усвідомлюються внаслідок прийняття індивідом домінуючих у суспільстві цінностей, що впливає на визначення цілі й спонукає людину до дії.
Мотиви можуть належати до матеріальної або моральної сфер, відображаючи ставлення працівника до змісту трудового процесу тощо. Співвідношення різних мотивів, що обумовлюють поведінку людини, утворюють її мотиваційну структуру. У кожної людини мотиваційна структура індивідуальна і залежить від багатьох чинників: рівня добробуту, соціального статусу, кваліфікації, посади, ціннісних орієнтирів тощо. За одних обставин домінуючими є одні мотиви, а за інших інші.
Основою мотивів є потреби людини. Потреба фізіологічне або психологічне відчуття нестачі чогось. Потреби виникають разом із народженням індивіда, розширюються з його розвитком, що, відповідно, позначається на поведінці. Коли індивід усвідомлює потребу, він зорієнтований на досягнення того результату, який забезпечить задоволення потреби. Бажаного результату можна досягти під впливом стимулів.
Стимули спонукання до дії, викликані зовнішніми чинниками Вони можуть мати позитивну або негативну спрямованість. Позитивно спрямовані стимули називають винагородою.
Винагорода все те, що людина вважає цінним для себе, чого вона прагне досягти і чим би хотіла володіти.
Винагороди поділяють на: матеріальні (заробітна плата, преміювання, система пільг тощо) і моральні (визнання заслуг працівника, підвищення по службі, надання повноважень при виконанні роботи, формування почуття особистої причетності до успіхів фірми та ін.).
У практиці менеджменту використовують і «анти-стимули», що сприймаються як покарання. Щоб припинити небажану поведінку індивіда, вони мають бути відчутними для нього. Проте у мотиваційному процесі перевагу слід надавати винагородам, тобто стимули повинні мати позитивну спрямованість.
Мотивування трудової діяльності людини зображено на рис. 7.1.
Рис.7.1. Спрощена схема мотиваційного процесу
Перша стадія мотиваційного процесу виникнення потреби. Потреба виявляється як відчуття людиною нестачі чогось. Ця нестача потребує задоволення. Друга стадія спонукання до задоволення потреби. Наявність потреби вимагає від людини певної реакції: вона мусить щось робити, здійснювати, вживати певних заходів. На цій стадії відбувається усвідомлення індивідом чотирьох моментів: що він матиме після задоволення потреби; що він мусить зробити, щоб досягти бажаного; наскільки досяжне те, чого він бажає; наскільки те, що він може реально отримати, задовольнить потребу. Третя стадія виконання конкретних дій. На цій стадії індивід докладає зусиль для досягнення поставлених цілей. Четверта стадія отримання винагороди за виконані дії і задоволення потреби
Залежно від рівня задоволення потреби людина може і далі здійснювати дії, які асоціюються у неї із задоволенням потреби, і уникатиме дій, які асоціюються з частковим задоволенням.
7. 2. Типи мотиваційних теорій
Їх поділяють на дві групи:
1. Теорії, які відображають зміст потреб (змістові).
2. Теорії, які відображають процес винагородження (процесійні).
Змістові та прецесійні теорії взаємодоповнюють одні інших. Сучасний менеджер не зможе ефективно виконувати свої функції, не знаючи й не розуміючи ієрархії потреб, від якої значною мірою залежить ідеологія компанії та філософія ведення бізнесу. Однак, ігноруючи індивідуальний підхід щодо врахування мотиваційних факторів, він ризикує побудувати в організації систему мотивації, яка не відповідатиме дійсності.
Змістові мотиваційні теорії. Згідно з ними мотивація є сукупністю доказів і мотивів для обґрунтування певної поведінки чи дій. Вона зумовлена потребами і цілями індивіда, діяльністю, світоглядом, переконаннями, рівнем амбіцій та ідеалами. Отже, мотивація, на думку прибічників змістових теорій, це певні сили (зовнішні щодо людини чи внутрішні), що змушують людину з ентузіазмом і наполегливістю виконувати певну роботу. До змістових мотиваційних теорій належать класифікація потреб М. Тугана-Барановського, теорія ієрархії потреб А. Маслоу, теорія К. Альдерфера, двофакторна теорія Ф. Герцберга та теорія набутих потреб Д. Мак-Клелланда.
Класифікація потреб М. Тугана-Барановського. Вона є однією з перших класифікацій потреб людини. Наведена у статті «Психологічні фактори суспільного розвитку».
У теорії потреб М. Туган-Барановського їх виділено 5 груп:
фізіологічні (у їжі, воді, повітрі, сні тощо);
статеві (у сексі, намаганні сподобатися представнику протилежної статі);
симптоматичні інстинкти і потреби (інстинкти самозбереження, продовження роду);
альтруїстичні (у безкорисливій турботі про інших);
практичні (у житлі, авто, грошах тощо).
«Мотиви і інтереси негосподарського роду, писав М. Туган-Барановський, мали особливо великий вплив на розвиток господарства... Всупереч Енгельсу люди часто віддавали перевагу корисному». Особливого значення у розвитку економіки він надавав раціональним почуттям, національній належності, моральним і релігійним поглядам, духовності.
Теорія ієрархи потреб А. Маслоу (19081970), за якою було сформульовано ієрархію потреб (рис. 7.2.), ґрунтується на біхевіористичній доктрині вивченні поведінки людей, абстрагуючись від вивчення свідомості, мислення.
А. Маслоу виділяє такі групи потреб:
фізіологічні потреби (відчуття голоду, спраги, статевого потягу тощо);
потреби безпеки (прагнення до стабільності, бажання почуватися захищеним від хвороб, невдач). Люди, що відчувають такі потреби, намагаються уникати гострих ситуацій, люблять порядок і чіткі правила. Вони оцінюють свою працю передусім з погляду забезпечення стабільного існування в майбутньому. Для людини, яка перебуває під впливом цих потреб, важливі гарантії роботи, пенсійне забезпечення, справи, не пов'язані з ризиком і змінами;
потреби причетності, або соціальні потреби (причетність до певної спільноти, участь у спільних діях, дружба з близькими по духу);
потреби визнання і самоствердження (потреба бути авторитетними, сильними, здібними, впевненими в собі, що приносить визнання і повагу оточуючих);
потреби самореалізації (прагнення до найповнішого використання власних знань, здібностей, умінь і навичок). До цієї групи потреб Маслоу відносив і потреби у пізнанні, в т. ч. пізнанні прекрасного (естетичні потреби). Ці потреби більшою мірою, ніж інші, мають індивідуальний відтінок і в пересічних особистостей, як правило, виявляються рідше.
Маслоу наголошував, що люди постійно відчувають якісь потреби, але потреби існують за певною ієрархією. Потреби вищого рівня активізуються після задоволення потреб нижчого рівня. Якщо ж потреба задоволена, то вона перестає мотивувати людину, і натомість з'являється інша, незадоволена потреба.
Концепція Маслоу істотно вплинула на розвиток теорії і практики управління. Однак вона має слабкі місця. Оскільки потреби по-різному виявляються залежно від багатьох чинників, у т. ч. і від індивідуальних рис людини, то не завжди існує жорстка послідовність в ієрархії потреб, як це подано в «піраміді» Маслоу (рис. 3.20).
Згідно з А. Маслоу перші дві групи потреб є первинними (вимагають першочергового задоволення), три інші вторинними. Людина передусім задовольнятиме перші дві групи потреб, що слід брати до уваги в менеджменті. При цьому на формування потреб значною мірою впливають міжнаціональні особливості, рівень культури, освіти, правове забезпечення рівності при задоволенні потреб підлеглих з вигодою для організації.
Гострота вияву потреб залежить від суб'єктивного сприйняття і суб'єктивної оцінки повноти її задоволення і стосується, як правило, потреб вищого рівня (потреб професійного зростання, поваги, задоволення роботою тощо). У більшості випадків саме вони є вирішальними в мотиваційному процесі. Так, потреба особистості у власній точці зору може бути сильнішою, ніж потреба у безпеці, тому Джордано Бруно згорів у вогні інквізиції, а дисиденти відстоювали незалежність думок у в'язницях. Чим вищим є становище людини в організації, тим гострішою є потреба у визнанні. Для молодих працівників, наприклад, потреби самоактуалізації, успіху, визнання є домінуючими і можуть бути значно гострішими, ніж проблеми безпеки, внаслідок чого такі працівники здатні до ризикованих дій. Водночас багато індивідів потребують захищеності, опіки, тому навіть у скрутному матеріальному становищі вони не зважуються почати власну справу, піти шляхом вільного підприємництва тощо.
Згідно з теорією потреб Девіда Мак-Клелланда (1917 р.н.) при стимулюванні працівників слід враховувати вторинні потреби влади, успіху та причетності, оскільки на сучасному етапі розвитку суспільства первинні потреби у більшої частини населення вже задоволені.
Потреба досягнення успіху виявляється як прагнення людини виконати складні завдання, досягти високих стандартів якості роботи, перевершити інших. Такі цілі більшість людей ставить самостійно. Для них важливо постійно отримувати результат. Наявність таких потреб впливає на активність і результативність працівників. Тому доцільно оцінювати рівень потреб досягнення успіху при їх просуванні по службі або при входженні в організацію. Для підвищення мотивації осіб з розвинутою потребою успіху слід регулярно використовувати зворотний зв'язок і схвально відгукуватись про їх досягнення. Але прагнення до успіху може призвести до того, що індивід ставитиме перед собою лише нескладні завдання й уникатиме ризикованих рішень. Такі люди (особливо якщо працюють у вищому ешелоні управління) створюватимуть багато проблем і для себе, і для оточуючих. Тому їм слід ставити завдання з огляду на реальні, а не занижені можливості.
Потреба у співучасті реалізується через пошук і встановлення хороших стосунків з оточуючими, їх підтримки, шляхів уникання конфліктів. Люди з розвинутими потребами співучасті є гарними «інтеграторами», успішно координують діяльність різних підрозділів фірми, вміють налагоджувати нормальні стосунки в колективі, уникати конфліктів з клієнтами.
Потреба у владі виявляється у бажанні індивіда контролювати ресурси і процеси, які відбуваються довкола. Він намагається впливати на поведінку інших, охоче бере на себе відповідальність за їх дії. Ті, у кого є ця потреба, мають більше шансів зробити кар'єру. Саме цю форму потреб Мак-Клелланд вважав основною для менеджера. Він зазначав: «Тих людей, у яких найвищою є потреба влади і відсутня схильність до авантюризму і тиранії, потрібно заздалегідь готувати до вищих керівних посад. Особистий вплив може бути основою лідерства тільки в невеликих групах. Якщо ж людина хоче стати лідером келикого колективу, вона повинна використовувати тонші й соціалізованіші форми вияву свого впливу... Позитивний, або соціалізований, образ лідера повинен виявлятися в його зацікавленості у цілях всього колективу, визначенні таких цілей, які подвигнуть людей на їх виконання, у прийнятті на себе ініціативи для забезпечення членів керованого колективу способами і засобами досягнення цілей, у формуванні впевненості у власних силах і компетентності, що дасть змогу їм ефективно працювати». Тому надзвичайно важливо, щоб робота керівника, з одного боку, давала можливість йому задовольняти цю потребу, а з іншого розвивати її.
Двофакторна теорія Фредеріка Герцберга (1923 р.н.) На основі опитування працівників різних фірм вчений з'ясовував, коли вони відчувають найбільше бажання працювати, і навпаки, коли працювати їм зовсім не хочеться. Герцберг дійшов висновку, що ставлення до праці формується під впливом двох різних груп факторів гігієнічних і мотивуючих.
Гігієнічні фактори це наявність чи відсутність таких елементів, як зарплата, безпека, умови на робочому місці (шум, освітлення тощо), статус, правила, розпорядок і режим роботи, якість контролю керівництва, відносини з колегами та підлеглими. Відсутність, наприклад, чітких правил виконання роботи або надмірний контроль за поведінкою працівників викликає у них почуття невдоволеності. Водночас фактори цієї групи не обовязково зумовлюють стан задоволеності. Наприклад, підвищений рівень шуму на робочому місці спричиняє почуття невдоволеності працівників, але його усунення не мотивує їх працювати краще. Тобто ці фактори не є мотивуючими; вони просто усувають незручності і завдяки їм поліпшуються умови праці.
Одним із найпарадоксальніших висновків Герцберга є той, що заробітна плата не є мотивуючим фактором. Однак нині вона ним стає, якщо працівник відчуває прямий зв'язок між рівнем заробітної плати і результатами своєї праці.
Мотивуючі фактори (мотиватори) розглядають як самостійну групу потреб у зростанні. До них належать відповідно прагнення досягнення успіху і визнання, в т. ч. через додаткову матеріальну винагороду, наділення повноваженнями та відповідальністю, просування по службі, отримання можливості особистісного зростання тощо. Герцберг вважав, що за відсутності мотиваторів людина ставиться до своєї праці нейтрально. За появи мотиваторів у неї виникає бажання працювати, праця приносить задоволення, що позитивно впливає на результати роботи.
На основі концепції двох факторів Герцберг дійшов висновку, що за наявності у працівників невдоволеності менеджер повинен зважати передусім на фактори, які її спричиняють, і робити все для усунення цієї невдоволеності. А відтак слід сконцентрувати увагу на введенні в дію мотивуючих факторів, завдяки яким відбудеться підвищення трудової активності працівників.
За теорією К. Альдерфера ЕКG (ехіаіепсе, геlаtеd-пеss, grоwth) до основних груп потреб, які мотивують поведінку людей, належать:
потреби існування (пов'язані з фізіологічними та потребами у безпеці);
комунікативні потреби (випливають із соціальної природи людини, її бажання бути членом колективу, мати друзів, сім'ю, добрі стосунки з колегами, керівниками, належати до певних неформальних груп, партій та громадських організацій тощо);
потреби зростання (пов'язані з прагненням особистості самовиразитися, самоствердитись, отримати адекватне визнання).
На відміну від теорії А. Маслоу ієрархія потреб в К. Альдерфера засвідчує рух не лише від нижчих потреб до вищих (рис. 2.53), а й у зворотному напрямі, який демонструє посилення мотивуючої дії нижчих потреб за неможливості задоволення вищих. Наявність прямого та зворотного рухів щодо задоволення потреб створює ширші можливості для стимулювання праці в організації:
за відсутності об'єктивних чи суб'єктивних умов для задоволення зростання в організації працівники можуть зосередитись на якнайповнішому задоволенні потреб зв'язку чи існування.
Формулюванню теорії «X» та «У» Дугласа Мак-Грегора (19061964) передувало вивчення потреб різноманітної спрямованості. Відповідно до теорії «X» люди за найменшої можливості уникають роботи, відповідальності, їм не вистачає почуття честолюбства. Визначальними при цьому в них є потреби захищеності. За таких умов стимулювати людей до праці здатні тільки контроль і погрози. Згідно з теорією «У» за певних умов люди прагнуть до відповідальності й виконання роботи. У цій ситуації відбувається орієнтація на потреби вищого порядку: причетності, мати високі цілі, автономії та самовираження. На думку Д. Мак-Грегора, працівники більш схильні до поведінки, яку описує теорія «У», але організаційні умови, вплив менеджерів підштовхують їх до вибору поведінки, описаної теорією «X».
Відповідно до теорії «Z» У. Оучі основою успіху працівників є віра в загальні цілі, сумлінність, довірливі взаємини, взаємопідтримка, узгодженість дій тощо.
Основні характеристики змістових теорій мотивації наведено в табл. 7.1.
Таблиця 7.1
Характеристика змістових мотиваційних теорій
|
Змістові теорії мотивації |
Основні характеристики |
|
1 |
2 |
|
Теорія потреб М. Туган-Барановського |
Виділяються фізіологічні, статеві, симптоматичні, а також практичні потреби. Особливе значення відіграють приналежність до народностей, моральні та релігійні погляди. |
|
Теорія потреб А. Маслоу |
Поділ потреб на первинні та вторинні. Поведінка людей визначається потребами нижчого порядку. Після задоволення потреб їх мотивуюча дія припиняється. |
|
Теорія потреб Д. Мак-Клелланда |
Поведінку людини мотивують такі потреби: влади, успіху, причетності. Увага на потреби високого порядку, оскільки потреби нижчого порядку вже задоволені. |
|
Теорія потреб Ф. Герцберга |
Виділення гігієнічних і мотиваційних факторів. Гігієнічні фактори (нижчий порядок) запобігають виникненню незадоволення роботою. Мотиваційні (вищий порядок) впливають на поведінку. |
|
Теорія потреб К. Альдерфера |
Основні потреби, які мотивують поведінку людини: існування, зв'язку, зростання. За неможливості задоволення потреб вищого рівня, зростають зусилля щодо якіснішого задоволення потреб нижчого рівня. |
|
Теорії потреб Д. Мак-Грегора |
Теорія «X» передбачає, що працівники схильні уникати роботи та відповідальності, тому для їх стимулювання необхідно використовувати контроль і погрози. Теорія «У» апелює до потреб більш високого порядку: потреби у причетності, мати високі цілі, автономії та самовираження. Працівники більш схильні до теорії «У», але організаційні умови та вплив менеджерів зумовлюють вибір ними теорії «X». |
|
Теорія потреб У. Оучі |
Теорія «Z» визначає, що основою успіху працівників є віра в загальні цілі. Вагомими стимулами є довірчі взаємини та взаємопідтримка, повна узгодженість дій. |
Отже, змістових теорій мотивації, вивчаючи потреби людини, виділяли ті, що мотивують людину до певного типу поведінки. Спираючись на ці теорії, менеджери повинні вибудовувати свою роботу так, щоб вона задовольняла потреби працівників, а значить, найефективніше стимулювала їхню поведінку.
Процесуальні мотиваційні теорії. Вони розглядають мотивацію не як статичне, а як динамічне явище, як процес, механізм. Відповідно до них мотивація є процесом спонукання себе або інших до діяльності, спрямованої на досягнення поставлених особистих чи загальноорганізаційних цілей. Ці теорії концентрують увагу на процесах мислення працівників, що обирають способи отримання винагороди.
Людина, отримавши інформацію про завдання та можливу винагороду, зіставляє цю інформацію зі своїми потребами, мотиваційною структурою і можливостями, усвідомлює своє ставлення до роботи за таких умов, налаштовує себе на відповідну поведінку і виконує дії, які дають конкретний результат, що характеризується певними якісними та кількісними показниками. Ця схема загальна, оскільки не розкриває деталей механізму мотивації. На її основі виникли теорії, що розкривають сутність винагороди, особливості її сприйняття індивідом і визначення під впливом цього своїх дій. До них належать: теорія очікувань В. Врума, теорія справедливості Дж. Адамса, комплексна модель мотивації Л. Портера та Е. Лоулера, теорія визначення цілей і концепція партисипативного управління.
Теорія очікувань В. Врума. Ґрунтується вона на тому, що існування потреби є не єдиною умовою мотивації людини для досягнення певної мети. Людина повинна також мати надію на те, що обраний нею тип поведінки справді сприятиме задоволенню і досягненню бажаного. Очікування можна розглядати як оцінювання індивідом вірогідності певної події. Аналізуючи мотивацію до праці, теорія очікувань наголошує на важливості трьох взаємозв'язків: витрати праці результати; результати винагорода; валентність.
Очікування щодо «витрат праці результатів» це зіставлення витрачених зусиль і здобутих результатів (продавець може очікувати, що в разі підвищення якості обслуговування покупців зросте продаж товарів; студент, готуючись до іспиту наполегливіше, ніж завжди, сподівається, що його знання будуть міцнішими). Якщо ж люди не простежують прямого зв'язку між витраченими зусиллями і досягнутим рівнем виконання, а значить, і результатами, то мотивація до підвищення трудових зусиль зникає.
Очікування щодо «результатів винагороди» це очікування певної винагороди або заохочення згідно з досягнутим рівнем результатів (при збільшенні обсягів продажу на 20% продавець може очікувати 10% премії; студент, продемонструвавши хороші знання, сподівається отримати оцінку «відмінно» тощо). Якщо ж рівень винагороди залишатиметься однаковим незалежно від досягнутих результатів, мотивація до поліпшення трудової діяльності слабшатиме.
Валентність, або цінність заохочення чи винагороди. Оскільки в різних людей потреби і сприйняття винагороди різні, то конкретна винагорода матиме для них різну цінність. За низької валентності мотивація буде недостатньою для ефективної роботи (якщо студент усвідомлює, що хороші оцінки у заліковій книжці не вплинуть на його можливості отримати цікаву і високооплачувану роботу в майбутньому, то мотивація до навчання буде незначною). Тому керівники організацій мають зіставляти запропоновані винагороди з потребами працівників і узгоджувати їх.
Схему мотиваційного процесу згідно з теорією Врума наведено на рис. 7.2. Вона ілюструє, що мотивація наявна тоді, коли людина впевнена, що всі її очікування

.
Рис. 7.2. Модель мотивації за В. Врумом
Принципи теорії очікувань можуть бути використані менеджерами для розроблення стимулюючих систем оплати праці, які спонукатимуть працівників до результатів, необхідних організації. З цією метою слід установити чітку відповідність досягнутих результатів і винагороди, визначити високі, але реальні результати і переконати працівників, що їх можна досягти, доклавши певних зусиль. При цьому делеговані працівникам повноваження, їхні професійні навички мають відповідати поставленим завданням.
Теорія справедливості (рівності) Дж. Адамса. За цією теорією, працівники суб'єктивно визначають співвідношення отриманої винагороди і витрачених зусиль, а відтак порівнюють його з винагородою інших людей за аналогічну роботу. Якщо порівняння, на думку працівника, засвідчує несправедливість, то у нього виникає психологічне напруження, яке може призвести до протидії. Тільки отримуючи справедливу винагороду, людина працюватиме з повною інтенсивністю. Якщо різниця у винагороді зумовлена різною ефективністю праці, то керівник має пояснити це працівникам.
З огляду на суб'єктивність оцінювання індивідом результатів праці й винагороди необхідні чіткі критерії винагороди. Крім того, позитивну роль відіграє можливість обговорювати спірні питання щодо винагороди, виключаючи будь-які таємниці щодо її величини.
Отже, працівник прагне, щоб ним керували справедливо. Справедливість це баланс між внеском працівника в роботу й тим результатом, який він отримує від роботи. Внесок постійно зіставляється з цим результатом (табл. 7.2.).
Таблиця 7.2.
Складові «балансу справедливості»
|
Внесок у роботу |
Результат роботи |
|
|
1. Досвід |
1. Оплата |
|
|
2. Освіта |
2. Пільги |
|
|
3. Спеціальні вміння |
3. Визнання |
|
|
4. Витрачені зусилля й час |
4. Інші заохочення |
Елементи справедливості можуть бути виділені на трьох рівнях: внутрішньому, зовнішньому та індивідуальному.
«Внутрішня справедливість» стосується відносин працівників різних категорій та посад на одному підприємстві. Винагорода повинна відповідати рівню знань, умінь та досвіду, необхідному для успішного виконання роботи. Працівники усвідомлюють, що директор фірми зароблятиме більше, ніж його заступник.
«Зовнішня справедливість» це порівняння заробітку за однакові роботи в різних організаціях. Так, директор потужного підприємства отримує більше, ніж директор малого, і це визнається справедливим.
«Індивідуальна справедливість» полягає у порівнянні оплати однакових посад на одному підприємстві. Основна мета визначити відносну цінність роботи певного індивіда всередині організації, що відображається на структурі його заробітної плати та в ієрархії роботи. Чим більше користі приносить працівник організації, тим більшою у його заробітку є частка додаткової зарплати, або ж йому доручають лише відповідальну роботу, не завантажуючи рутиною.
Комплексна модель мотивації Л. Портера і Е. Лоулера. Згідно з нею досягнуті кожним працівником ре зультати залежать від його здібностей, характеру, усвідомлення власної ролі в організації і зусиль, які він докладає для виконання роботи. Зусилля ж, у свою чергу, обумовлені цінністю винагороди, її зіставленням з результатами і вірогідністю того, що винагорода справді буде (рис. 7.3.).

Рис. 7.3. Модель мотивації Л. Портера і Е. Лоулера
Модель передбачає: якщо винагорода, отримана працівником за виконану роботу, відповідає його уявленням про справедливість, то працівник буде задоволений. Отже, проектуючи систему мотивування в організації, менеджери мусять врахувати, що її елементи мають сприйматися працівниками організації як справедливі для всіх.
Модель Портера і Лоулера засвідчила, що мотивація не є простим елементом у ланцюжку причинно-наслідкових зв'язків, а залежить від багатьох чинників, закцентувала на важливості об'єднання таких понять, як зусилля, здібності, результати, винагорода, задоволення і сприйняття в межах єдиної взаємопов'язаної системи.
7. 3. Проблеми формування ефективного мотиваційного механізму на підприємстві
У процесі мотивування слід брати до уваги об'єктивні й суб'єктивні фактори, що впливають на поведінку людей. Численні рекомендації стосовно вдосконалення мотивування й оплати праці часто носять загальний характер, їх розробляють на основі існуючої системи економічних відносин, що склалися в масштабах усієї країни Водночас у більшості мотиваційних теорій наголошується на важливості суб'єктивного ставлення до винагороди працівників, їх сприйняття винагороди як валентної. Це зумовлює необхідність додаткових досліджень мотивів, якими керуються працівники певного підприємства.
Розробивши систему мотивації, спрямовану на задоволення потреб працівників підприємства відповідно до того, що вони вважають важливим, можна створити сприятливіші умови для досягнення цілей організації. Так, для молодих працівників важливими є карєра, життєвий успіх. У працівників передпенсійного віку сильними мотивами підвищення продуктивності праці є визнання їх авторитету, цінності, незамінності для фірми тощо. Для індивідів, чиє фінансове становище є відносно благополучним, моральні мотиви можуть бути значно вагомішими, ніж матеріальні. Такі працівники надають великого значення змісту роботи, отримують задоволення від самого її процесу і від досягнутого результату. Скрутне фінансове становище зумовлює переважання матеріальних мотивів над моральними, що часто штовхає людину на протиправні дії, особливо за недостатнього контролю. Тому під час формування мотиваційного механізму важливо підкріпити мотиви сти: мулами (зовнішніми спонукальними чинниками), які відповідають мотиваційним преференціям працівника. У такому разі трудова діяльність людини відбувається одночасно під впливом мотивів і стимулів

Рис. 3.24. Схема мотиваційного процесу з урахуванням дії стимулів
Відмінність цієї схеми від схеми змістових теорій мотивації (рис. 3.19) полягає в тому, що при спонуканні до певних дій з метою задоволення потреби люди можуть зробити різний вибір: ослабити потребу, не зважати на неї або діяти для її задоволення. Вибір способів задоволення потреби значною мірою залежатиме від того, яка система стимулювання на підприємстві. Саме на етапі вибору відбувається втручання зовнішніх сил (стимулів) у процес пошуку індивідом способу задоволення потреби. Стимули орієнтують людину на вибір такого типу поведінки, який відповідатиме стандартам організації і дасть їй змогу досягти поставлених цілей.
Якщо здійснена робота дала результат, необхідний для організації, то індивід має отримати винагороду, яка задовольнить його потреби. На цьому етапі з'ясовується, наскільки фактична винагорода відповідає очікуванням людини. Залежно від цього відбувається послаблення, збереження або посилення мотивації. Якщо винагорода буде неадекватна досягнутим результатам, мотивація ослабне. Досягнувши поставленої мети, індивід сприйме свої дії як правильні й надалі виконуватиме роботу так само.
Залежно від рівня задоволення потреби індивід або припиняє діяльність до виникнення нової потреби, або продовжує шукати способи задоволення існуючої. Якщо він вважатиме, що потреба цілком задоволена, то, формуючи нові потреби, намагатиметься вибирати способи їх задоволення з огляду на минулий досвід, який мав позитивну підтримку через систему стимулів (винагород).
Крім винагород, до стимулів належать і застережні заходи, націлені на попередження такої поведінки працівника, яка могла б зашкодити організації. Це штрафні санкції у разі неякісного виконання роботи, зниження соціального статусу, обструкція, зневага з боку трудового колективу, звільнення з роботи. Таких антистимулів працівник намагається уникати. З огляду на це мотивація повинна ґрунтуватися на тому, що будь-які дії індивіда в організації матимуть для нього позитивні, негативні або нейтральні наслідки залежно від якості виконаної роботи. Намагаючись заслужити винагороду або уникнути негативних наслідків, він зберігає стабільну поведінку або змінює її в потрібний бік.
Однак, як свідчить досвід, переважання стимулів зі знаком «мінус» (стимулів-застережень) є для організації небезпечним, оскільки перешкоджає підвищенню трудового потенціалу працівників. Водночас це властиво й позитивним стимулам, бо вони сприятимуть лише спроектованому менеджерами типу поведінки, залишаючи поза увагою нестандартні рішення, що можуть бути запропоновані індивідом із власної ініціативи.
З огляду на те, що конкурентоспроможність кожної фірми залежить не тільки від повноти використання її наявних трудових ресурсів, а й від їх здатності досягати синергічного ефекту, менеджерам необхідно забезпечити всі умови для розвитку персоналу, його самовдосконалення. Це стане можливим, якщо внутрішні спонукальні фактори, які спрямовують, визначають поведінку працівників (їх мотиви), відповідатимуть цілям організації.
Незважаючи на те що між мотивацією і кінцевим результатом діяльності людини немає однозначного зв'язку (це зумовлено впливом випадкових або суб'єктивних факторів здібностей, емоційного стану, впливу третіх осіб тощо), ефективність менеджменту значною мірою залежить від того, наскільки адекватні стимулюючі заходи. Тому менеджер повинен своєчасно вносити відповідні зміни у мотиваційний процес, зважаючи на зміну структури потреб працівників. Головне завдання керівника не в задоволенні всіх потреб співробітника, а у створенні таких умов, за яких він міг би задовольнити їх сам. Система мотивування має бути побудована так, щоб співробітник був упевнений у перспективі подальшого задоволення своїх потреб. Помилково вважати, що тільки створення системи грошових винагород та санкцій вирішить проблему мотивування. Для цього необхідний комплекс заходів, які мають передбачати задоволення духовних, внутрішніх потреб (у престижі, самоповазі, самореалізації, розвитку особистості тощо).
Нині проведено багато досліджень щодо специфіки мотивації в Україні, де більш дієвою завжди була не система заохочень, а система санкцій, тобто працівників скоріше карали за погану роботу, ніж винагороджували за хорошу. Водночас спектр винагород є значно ширшим, ніж спектр покарань, охоплюючи як матеріальні, так і психологічні аспекти. Однак застосування системи винагород потребує створення певної концепції заохочення, яка б, з одного боку, відповідала цілям і стратегії організації, а з іншого уможливила б якнайповніше використання її трудового потенціалу.
Застосування винагород буде ефективним: 1. За тісного зв'язку між стратегією і цілями організації, з одного боку, та необхідною поведінкою з іншого. Передусім слід визначити, яка саме поведінка співробітника необхідна у даний час. Адже в цьому сутність: винагороджувати за те, що потрібно організації. Систему винагород слід пов'язувати не лише із завданням поточного моменту, а й з основними цілями та цінностями організації загалом.
- За існування чітких кількісних критеріїв. Для кожної сфери діяльності в організації мусить бути створена своя система критеріїв заохочення. Водночас ця система не повинна бути надто деталізованою, щоб не створювати надмірних складнощів при її використанні.
- За умов різноманітності форм винагород: від підвищення заробітної плати до усної похвали в присутності інших.
- За диференціації винагород для різних співробітників. Помилково вважати, що одна винагорода буде однаково мотивувати всіх працівників.
- За привабливості винагороди для того, хто її отримує.
Систему мотивування працівників кожен керівник повинен створювати сам. Зокрема, на великих підприємствах систему мотивування розробляють керівники кожного підрозділу. Вона має охоплювати матеріальні та нематеріальні винагороди і формуватися спільно з вищим керівництвом, відділом управління персоналом, фахівцями з праці та заробітної плати. Обов'язковим в ній є врахування специфіки діяльності працівників.
Зміна обставин роботи, пріоритетів працівника тощо змінює і силу мотивації. Тому в організації слід постійно здійснювати моніторинг мотивуючого середовища, своєчасно реагувати на зміни середовища зміною мотивуючих факторів. Для такого моніторингу можна, зокрема, використати мотиваційну теорію Ф. Герцберга, дещо формалізувавши її.
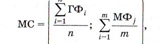
Мотиваційну силу, за двофакторною моделлю Герцберга, можна визначити за формулою:
n

;
де ГФ; рівень незадоволеності за і-им гігієнічним фактором; МФj кількісна оцінка задоволення j-ої потреби; п кількість гігієнічних факторів; т кількість мотивуючих факторів.
Силу вияву обох груп факторів (гігієнічних і мотивуючих) можна оцінити через анкетування працівників фірми. Найбільшу силу має мотивуюче середовище при значеннях МС у межах (0; 1). Якщо значення МС перебуває в межах (1; 0), це означає, що мотивація в організації відсутня. Наприклад, мотивація має таку силу вияву: гігієнічні потреби «-0,32», мотивуючі фактори «+0,36». Це означає, що умовами роботи працівники більш-менш задоволені, оскільки рівень незадоволеності ближче до нуля, ніж до «-1», але при цьому мотиваційна сила залишається низькою (0,36). Тому керівництву підприємства слід звернути увагу на посилення дії саме мотивуючих факторів (можливість досягнення успіху, визнання навіть незначних успіхів працівників, відповідальність за свою роботу, реальна перспектива просування по службі, можливість професійного й особистісного зростання). Для цього можна використати поради, розроблені західними науковцями М.-Х. Мес-коном, М. Альбертом і Ф. Хедоурі.
Методи задоволення потреб у повазі:
пропонувати підлеглим змістовнішу роботу;
забезпечувати їм позитивний зворотний зв'язок з досягнутими результатами;
високо оцінювати і заохочувати досягнуті підлеглими результати; залучати підлеглих до формулювання цілей і розроблення рішень;
делегувати підлеглим додаткові права і повноваження;
просувати підлеглих по службі;
забезпечувати навчання і перепідготовку, які підвищують рівень компетентності.
Методи задоволення потреб у самовираженні:
забезпечувати підлеглим можливості для навчання і розвитку, які б сприяли використанню їх потенціалу;
доручати підлеглим складну і важку роботу, що передбачає повну віддачу;
заохочувати і розвивати у підлеглих творчі здібності.
Крім того, слід вжити заходів щодо усунення дії факторів, які викликають незадоволення у працівників, оскільки відсутність незадоволення, хоч і не суттєво, впливає на підвищення мотивуючої сили, але його наявність відчутно її знижує. Аналізуючи і систематизуючи результати досліджень, можна розробити таку систему мотивування персоналу в організації, яка сприятиме її успішному функціонуванню.
Ефективна система стимулювання праці на підприємстві має охоплювати:
дослідження складу і визначення значущості мотивів різних категорій працівників підприємства;
розроблення системи стимулів, яка б відповідала визначеним преференціям;
моніторинг впливу стимулюючих заходів на результати діяльності працівників і підприємства загалом;
коригування процесу мотивації і стимулювання з урахуванням результатів моніторингу шляхом застосування різних форм і способів підтримки бажаної для організації поведінки.
Отже, для успішної управлінської діяльності менеджер повинен знати, чим керуються його підлеглі у своїх вчинках, які мотиви їх поведінки, як можна на них впливати і яких результатів очікувати. З огляду на це він або формує певну мотиваційну структуру підлеглих, розвиває у них бажані мотиви і послаблює небажані, або здійснює пряме стимулювання їх дій. Сукупність мотивів і стимулів мають створювати цілеспрямоване мотивуюче середовище, яке повинно бути адекватним організаційній стратегії і враховувати преференції, що склались у трудовому колективі, та індивідуальні переваги, сформовані у працівників.
МОТИВАЦІЯ