Создание логистической системы группы компаний О’КЕЙ
Министерство общего и профессионального образования Российской Федерации
Санкт- Петербургский государственный технический университет
Факультет экономики и менеджмента
Кафедра «Экономика и менеджмент в машиностроении»
Курсовая работа
по дисциплине
Бизнес-логистика
Тема: «Создание логистической системы группы компаний ОКЕЙ»
Санкт- Петербург
2015
Содержание
|
[0.1] [0.2] Заключение [0.3] Список использованной литературы |
Введение
Транспортная логистика это система по организации доставки, а именно по перемещению каких-либо материальных предметов, веществ и пр. из одной точки в другую по оптимальному маршруту. Одно из основополагающих направлений науки об управлении информационными и материальными потоками в процессе движения товаров.
Транспорт представляет собой важное звено логистической системы. Транспорт это отрасль материального производства, осуществляющая перевозки людей и грузов. В структуре общественного производства транспорт относится к сфере производства материальных услуг.
Значительная часть логистических операций на пути движения материального потока от первичного источника сырья до конечного потребления осуществляется с применением различных транспортных средств. Затраты на выполнение этих операций составляют до 50% от суммы общих затрат на логистику.
К основным задачам транспортной логистики следует отнести обеспечение технической и технологической сопряженности участников транспортного процесса, согласование их экономических интересов, а также использование единых систем планирования.
Также к задачам транспортной логистики относят также:
- создание транспортных систем, в том числе создание транспортных коридоров и транспортных цепей. Транспортный коридор это часть национальной или международной транспортной системы, которая обеспечивает значительные грузовые перевозки между отдельными географическими районами. Транспортная цепь этапы перевозок груза на определенные расстояния, в течение определенного периода времени, с использованием транспортных средств одного или нескольких видов транспорта. Все это время грузы остаются в неизменном виде (например, грузовой пакет или контейнер);
- обеспечение технологического единства транспортно-складского процесса;
- совместное планирование транспортного процесса со складским и производственным;
- выбор вида транспортного средства;
- выбор типа транспортного средства;
- определение рациональных маршрутов доставки и др.
- Выбор вида транспортных средств
- Управление транспортировкой на фирме состоит из нескольких основных этапов:
- выбор способа транспортировки;
- выбор вида транспорта;
- выбор транспортного средства;
- выбор перевозчика и логистических партнеров по транспортировке;
- оптимизация параметров транспортного процесса.
В данной курсовой работе будет рассмотрена логистическая система группы компаний «ОКЕЙ», занимающейся розничной торговлей продуктов общего пользования, а также продуктов питания. Будет проанализировано текущее местоположения центрального склада продукции и оптимальное рассчитанное математически.
- ОПИСАНИЕ ГРУППЫ КОМПАНИИ ОКЕЙ
Группа компаний ОКЕЙ динамично развивающаяся розничная сеть в России, одном из крупнейших в Европе продуктовых розничных рынков с высоким потенциалом дальнейшего роста. Группа компаний входит в число лидеров российского ритейла, располагая 112 торговыми комплексами общей торговой площадью более 550 тыс.м2 в Северо-Западном, Южном, Центральном, Уральском и Сибирском регионах страны. Сегодня магазины сети ОКЕЙ работают в 28 крупнейших городах России.
ОКЕЙ предлагает покупателем широчайший выбор продуктов питания, с акцентом на свежие продукты и деликатесы, а также непродовольственные товары. На сегодняшний день ассортимент компании включает в себя 64 тысячи наименований. ОКЕЙ развивает собственные торговые марки молочных, мясных и других продуктов и товаров повседневного спроса без рекламных наценок. В Санкт-Петербурге первый магазин был открыт в 2001 году. Бренд ОКЕЙ признан одной из самых сильных торговых марок в Санкт-Петербурге.
Объемы продаж растут: за последние 2 года общая выручка выросла на 18,9% и составила 139,5 млрд руб., что на 22,2 млрд больше по сравнению с прошлыми годами, в то время как продажи сопоставимых магазинов выросли всего на 8,0% год к году.
Логистическая сеть компании представлена тремя потребителями и тремя поставщиками (см. рис. 1). Потребители- розничные магазины:
- Магазин № 1: г. Санкт-Петербург, Богатырский пр-т, 13А
- Магазин № 2: г. Санкт-Петербург, пр-т Науки, 17
- Магазин № 3: г. Санкт-Петербург, пр-т Просвещения, 80А корп. 2
Основными поставщиками для группы компаний «ОКЕЙ» являются оптовые фирмы и предприятия-изготовителя, такие как:
- ООО «Молочный мир» - оптовая фирма молочных продуктов. Местонахождение: 6-й Верхний пер., 5
- ООО «Алабино» - производитель химической продукции. Местонахождение: Московская обл., Наро-Фоминский р-н, с. Петровское, 103
- ООО «Coca-Cola» - производитель питьевой продукции. Местонахождение: Пулковское ш., 50
- ООО «Щедрино» - оптовая фирма, осуществляющая поставку различной продукции. Местонахождение: ул. Социалистическая д.14
Склад класса А находится по адресу: г. Санкт-Петербург, улица Софийская дом 50. Площадь склада 37 тыс. км2, арендованный в 2001 году сроком на 15 лет.
Поставщики Потребители
Рисунок 1 Логистическая сеть группы компаний «ОКЕЙ»
Выбор поставляемых товаров осуществляется на ассортиментном совете компании. Продукция не является сезонной, включает товары следующих марок:
- «Ромашкино» (сыр). Единица измерения: упаковка (1 упаковка 0,1 кг). Среднее время хранения: 2 месяца. Поставщик: ООО «Молочный мир»
- «Мираторг» (нагетсы). Единица измерения: упаковка (1 упаковка 950 гр). Среднее время хранения: 6 месяцев. Поставщик: ООО «Щедрино»
- «Мясной союз» (тушенка). Единица измерения: банка (1 банка 0,5 кг). Среднее время хранения: 6 месяцев. Поставщик: ООО «Щедрино»
- «Ромашкино» (молоко). Единица измерения: коробки (1 коробка 1 литр). Среднее время хранения: 6 месяцев. Поставщик: ООО «Молочный мир»
- «Rich» (сок). Единица измерения: коробки (1 коробка 1 литр). Среднее время хранения: 6 месяцев. Поставщик: ООО «Coca-Cola»
- Coca-Cola (лимонад) Единица измерения: бутылки (1 бутылка 1 литр). Среднее время хранения: 6 месяцев. Поставщик: ООО «Coca-Cola»
- «Блеск» (мыло) Единица измерения: упаковка (1 упаковка 0,150 кг). Среднее время хранения: 6 месяцев. Поставщик: ООО «Алабино»
- «Юг Руси» (масло подсолнечное) Единица измерения: бутылки (1 бутылка 1 литр). Среднее время хранения: 3 месяца. Поставщик: ООО «Щедрино»
- «Антисмел» (дезодорант). Единица измерения: упаковка (1 упаковка 100 мл). Среднее время хранения: 6 месяцев. Поставщик: ООО «Щедрино»
- «Блеск» (порошок) Единица измерения: коробки (1 коробка 5 кг). Среднее время хранения: 6 месяцев. Поставщик: ООО «Алабино»
Компания также имеет в своем распоряжении свой автопарк (10 машин Газ Соболь 2752 со встроенной холодильной камерой, благодаря которой товары перевозятся по городу и не портятся).
Периодичность и объемы поставок в розничные магазины для разных товаров отличаются. Еженедельно в каждый розничный магазин со склада прибывают 100 упаковок сыра «Ромашкино»,20 упаковок «Мираторг»,20 банок тушенки «Мясной союз», 30 коробок молока, 20 коробок сока «Rich», 30 бутылок лимонада Coca-Cola, 40 упаковок мыла «Блеск», 20 бутылок масла «Юг Руси»,30 упаковок дезодоранта «Антисмел», 15 коробок с порошком «Блеск».
Правильная технология хранения товаров на складе предусматривает, во-первых, рациональное их размещение и укладку, и, во-вторых, создание и поддержание оптимальных условий хранения.
Складские помещения расположены в отдельно стоящем здании. На складе применяются как стеллажный, так и штабельный способы хранения товаров. Расположение стеллажей и штабелей показано на рисунке 2.
На складе применяются стеллажи марки СТ-2М (двухрядные) и СТ-1М (однорядные). Их габариты составляют: высота 2,5 м, ширина 1,2 м у двурядных и 0,8м у однорядных, длина одной секции 1,2 м. Габариты поддонов составляют 0,8х1,2м.
|
- Стеллажи - Штабеля |
Рисунок 1.1 Схема расположения товара на складе
На верхних рядах размещаются товары, отпускаемые крупными партиями, на нижних полках хранятся товары без упаковки. Товары группируются на складе в зависимости от фирмы производителя и группы назначения.
- СКЛАДСКАЯ ЛОГИСТИКА
- Анализ текущего местоположения склада
Соотнесем местоположение центрального склада (фигура на карте-круг) компании со складами поставщиков (фигура на карте- квадрат) и потребителей (фигура на карте-звезда) и получим картину удаленности каждой точки друг от друга (рис. 8). В декартовой системе координат центральный склад имеет координаты (9,10)

Рисунок 8 Карта географического региона логистической сети
Теперь сопоставим реальное расположение склада и математический расчет несколькими способами.
Метод центра тяжести (гравитации)
Исходные данные для расчетов по данному методу представлены в таблице 11
Таблица 11. Исходные данные
|
Тип |
№ п/п |
Наименование |
Грузооборот Gi, шт |
Координаты местоположения |
Xi*Gi |
Yi*Gi |
|
|
Xi |
Yi |
||||||
|
Поставщики |
1 |
ООО «Молочный мир» |
435 |
2 |
25 |
870 |
10875 |
|
2 |
ООО «Алабино» |
285 |
6 |
2 |
1710 |
570 |
|
|
3 |
ООО «Coca-Cola» |
225 |
6 |
6 |
1350 |
1350 |
|
|
4 |
ООО «Щедрино» |
390 |
5 |
14 |
1950 |
5460 |
|
|
Потребители |
1 |
Богатырский пр-т, 13А |
1335 |
3,5 |
20 |
4672,5 |
26700 |
|
2 |
пр-т Науки, 17 |
1335 |
8 |
19 |
10680 |
25365 |
|
|
3 |
пр-т Просвещения, 80А |
1335 |
9 |
25 |
12015 |
33375 |
|
|
|
|
Итог |
5340 |
|
|
33247,5 |
103695 |
Исходя из полученных координат и расчетных данных, вычислим равновесные координаты, для нахождения оптимальной точки расположения склада, координаты по оси х находятся по формуле (1), по оси у по формуле (2):
, (1)
, (2)
Следовательно, из формул (1) и (2) можно сделать вывод, что при оптимальном выборе склада, он должен располагаться в координатах (6,2;19,4)
Манхэттенский метод
Исходные данные для расчетов и данные, полученные путем через надстройку MS Excel «Поиск решения» по данному методу представлены в таблице 12
Таблица 12. Исходные данные
|
Тип |
№ п/п |
Наименование |
Грузооборот Gi, шт. |
Координаты местоположения |
Протяженность пути, Li |
Транспортная работа, ТР |
|
|
Xi |
Yi |
||||||
|
Поставщики |
1 |
ООО «Молочный мир» |
435 |
2 |
25 |
9 |
3915 |
|
2 |
ООО «Алабино» |
285 |
6 |
2 |
18 |
5130 |
|
|
3 |
ООО «Coca-Cola» |
225 |
6 |
6 |
14 |
3150 |
|
|
4 |
ООО «Щедрино» |
390 |
5 |
14 |
5 |
1950 |
|
|
Потребители |
1 |
Богатырский пр-т, 13А |
1335 |
3,5 |
20 |
3,5 |
4672,5 |
|
2 |
пр-т Науки, 17 |
1335 |
8 |
19 |
7 |
9345 |
|
|
3 |
пр-т Просвещения, 80А |
1335 |
9 |
25 |
14 |
18690 |
|
|
|
|
Итог |
5340 |
70,5 |
46852,5 |
|
Xmin |
Xmax |
||
|
1 |
10 |
Координаты склада |
|
|
Ymin |
Ymax |
Xw |
Yw |
|
1 |
30 |
3 |
17 |
Для расчетов координат склада использовались следующие формулы:
, (3)
где ТР транспортная работа,
Li протяженность пути,
Gi грузооборот.
При этом Li необходимо рассчитать для каждой пары склад-контрагент по формуле (4):
, (4)
где Xi координата по хординате,
Yi координата по уординате
Xw оптимальная координата склада по хординате,
Yw оптимальная координата склада по уординате
Функция оптимизации рассчитывается по формуле (5):
, (5)
При выполнении условий (6) и (7):
, (6)
, (7)
В результате расчетов выяснилось, что при поиске координат склада Манхэттенским методом, его местоположение будет в точке (3;17) рядом с нашим поставщиком ООО «Щедрино» (5;14).
Метод наикратчайших расстояний
Исходные данные для расчетов и данные, полученные путем через надстройку MS Excel «Поиск решения» по данному методу представлены в таблице 13.
Таблица 13. Исходные данные
|
Тип |
№ п/п |
Наименование |
Грузооборот Gi, шт. |
Координаты местоположения |
Протяженность пути, Li |
Транспортная работа, ТР |
|
|
Xi |
Yi |
||||||
|
Поставщики |
1 |
ООО «Молочный мир» |
435 |
2 |
25 |
4,24 |
1845,55 |
|
2 |
ООО «Алабино» |
285 |
6 |
2 |
20,02 |
5707,12 |
|
|
3 |
ООО «Coca-Cola» |
225 |
6 |
6 |
16,03 |
3607,02 |
|
|
4 |
ООО «Щедрино» |
390 |
5 |
14 |
8 |
3120 |
|
|
Потребители |
1 |
Богатырский пр-т, 13А |
1335 |
3,5 |
20 |
2,50 |
3337,50 |
|
2 |
пр-т Науки, 17 |
1335 |
8 |
19 |
4,24 |
5663,93 |
|
|
3 |
пр-т Просвещения, 80А |
1335 |
9 |
25 |
5 |
6675 |
|
|
|
|
Итог |
5340 |
60,04 |
29956,12 |
|
Xmin |
Xmax |
||
|
1 |
10 |
Координаты склада |
|
|
Ymin |
Ymax |
Xw |
Yw |
|
1 |
30 |
5 |
22 |
Для расчетов координат склада использовались следующие формулы: , (8)
где ТР транспортная работа,
Li протяженность пути,
Gi грузооборот.
При этом Li необходимо рассчитать для каждой пары склад-контрагент по формуле (9):
, (9)
где Xi координата по хординате,
Yi координата по уординате
Xw оптимальная координата склада по хординате,
Yw оптимальная координата склада по уординате
Функция оптимизации рассчитывается по формуле (5):
, (5)
При выполнении условий (6) и (7):
, (6)
, (7)
В результате расчетов выяснилось, что при поиске координат склада методом наикратчайших расстояний, его местоположение будет в точке (5;22).
Итак путем расчетов разными методами, получены следующие оптимальные координаты центрального склада, которые отражены на рисунке 9:
- Метод центра тяжести (6,2;19,4);
- Манхэттенский метод (3;17);
- Метод наикратчайших расстояний (5;22).

Визуально и практически. При данных грузопотоках и выбранных поставщиках, оптимально расположение склада в координатах, найденных по манхэттенскому методу (3;17). Однако следует принять во внимание то, что склад будет находиться в центре города, что неудобно из-за большого числа пробок, а также высокой стоимости аренды складских помещений.
- Закупочная логистика
3.1 Решение о замене поставщика
На карту (см. рис 2) были нанесены поставщики группы компании «ОКЕЙ»
Географические координаты были переведены в условные и отражены на диаграмме (см. рис 3).

Рисунок 2 Географическое расположение поставщиков

Рисунок 3 Расположение поставщиков в условной системе координат
По рисунку мы видим, что наиболее поставщик ООО «Молочный мир». Однако также на карте обнаружились компании аналоги: ООО «Милк» (9,15) и ООО «Торговый дом» (6,13), находящиеся по адресам: Дальневосточный проспект,16 и ул. Заставская 23
Все три поставщика - ООО «Молочный мир», ООО «Милк», ООО «Торговый дом» - специализируются на молочной продукции и могут осуществлять поставки и для нас. Для этих компаний была проведена оценка экспертным путем (5 экспертов от группы компаний ОКЕЙ)
Оценка проходила по трем разделам (компания, продукт, сервис), каждому из которых были присвоены удельные веса. Самой важной категорией оценки является поставляемый товар (удельный вес равен 0,4), который оценивается по качеству, цене и упаковке. От этого зависит качество товара, а значит и объем продаж в магазинах. Категории «компания» присваиваем удельный вес 0,35. Критериями оценки в данной категории являются: географическое расположение, размер предприятия, и качество дорог, которые ведут поставщика к нашему складу. Категория сервис же имеет удельный вес равный 0,25. Критерии, оцениваемые в рамках данной категории, определяют:
- Насколько предприятие, по мнению экспертов, способно обслужить жалобы, поступающие от конечных потребителей товара и закупщика;
- Поставляет ли предприятие в срок необходимые товары, или же с задержкой;
- Будет ли предприятие помогать при возникновении таких ситуаций. Как например, поврежденные упаковки.
Таблица 1. Отчет об экспертной оценке ООО «Молочный мир»
|
Компания ООО "Молочный мир" |
отл |
хор |
удовл |
не/уд |
Общий рейтинг: 33,45 |
отл |
хор |
удовл |
не/уд |
|
4 |
3 |
2 |
1 |
4 |
3 |
2 |
1 |
||
|
Компания |
Продукт |
||||||||
|
Размер |
4 |
1 |
|
Качество |
5 |
||||
|
Географическое размещение |
2 |
3 |
|
Цена |
4 |
1 |
|||
|
Качество дорог |
2 |
3 |
|
Упаковка |
2 |
3 |
|||
|
Общая |
4 |
5 |
6 |
|
Общая |
6 |
4 |
5 |
|
|
43 |
16 |
15 |
12 |
31 |
18 |
8 |
5 |
||
|
0,35*43=15,05 |
|
|
|
0,4*31=12,4 |
|
|
|
||
|
Услуги |
|
|
|
|
|
||||
|
Доставка в срок |
|
5 |
|
|
|
|
|
||
|
Обслуживание жалоб |
|
5 |
|
|
|
|
|
||
|
Помощь при авариях |
|
1 |
2 |
2 |
|
|
|
|
|
|
Общая |
|
1 |
7 |
7 |
|
|
|
|
|
|
24 |
3 |
14 |
7 |
||||||
|
0,25*24=6 |
|
|
|
Таблица 2. Отчет об экспертной оценке ООО «Милк»
|
Компания ООО "Милк" |
отл |
хор |
удовл |
не/уд |
Общий рейтинг: 51,2 |
отл |
хор |
удовл |
не/уд |
|
4 |
3 |
2 |
1 |
4 |
3 |
2 |
1 |
||
|
Компания |
Продукт |
||||||||
|
Размер |
5 |
|
Качество |
5 |
|
|
|
||
|
Географическое размещение |
4 |
1 |
|
Цена |
|
3 |
2 |
|
|
|
Качество дорог |
5 |
|
Упаковка |
4 |
1 |
|
|
||
|
Общая |
14 |
1 |
- |
|
Общая |
9 36 |
4 |
2 |
|
|
59 |
56 |
3 |
- |
52 |
12 |
4 |
|||
|
0,35*59=20,65 |
|
|
|
0,4*52=20,8 |
|
|
|||
|
Услуги |
|
|
|
|
|
||||
|
Доставка в срок |
|
4 |
1 |
|
|
|
|
|
|
|
Обслуживание жалоб |
|
3 |
2 |
|
|
|
|
|
|
|
Помощь при авариях |
|
2 |
3 |
0 |
|
|
|
|
|
|
Общая |
|
9 |
6 |
|
|
|
|
|
|
|
39 |
27 |
12 |
|||||||
|
0,25*39=9,75 |
|
|
|
Таблица 3. Отчет об экспертной оценке ООО «Торговый дом»
|
Компания ООО "Милк" |
отл |
хор |
удовл |
не/уд |
Общий рейтинг: 43,15 |
отл |
хор |
удовл |
не/уд |
|
4 |
3 |
2 |
1 |
4 |
3 |
2 |
1 |
||
|
Компания |
Продукт |
||||||||
|
Размер |
3 |
2 |
|
Качество |
5 |
|
|
|
|
|
Географическое размещение |
4 |
1 |
|
Цена |
|
3 |
2 |
|
|
|
Качество дорог |
4 |
1 |
|
Упаковка |
4 |
1 |
|
|
|
|
Общая |
11 |
4 |
|
Общая |
9 36 |
4 |
2 |
||
|
41 |
33 |
8 |
52 |
12 |
4 |
||||
|
0,35*41=14,35 |
|
|
|
0,4*52=20,8 |
|
|
|||
|
Услуги |
|
|
|
|
|
||||
|
Доставка в срок |
|
4 |
1 |
|
|
|
|
|
|
|
Обслуживание жалоб |
|
2 |
1 |
2 |
|
|
|
|
|
|
Помощь при авариях |
|
3 |
2 |
|
|
|
|
|
|
|
Общая |
|
6 |
5 |
4 |
|
|
|
|
|
|
32 |
18 |
10 |
4 |
||||||
|
0,25*32=8 |
|
|
|
В таблицах приведены отчеты по каждому поставщику. По итогам оценки наибольшим рейтингом (51,2) обладает потенциальный поставщик ООО «Милк». У его товаров высокое качество, поставщик имеет самое близкое расположение по отношению к складу и имеет самый высокий сервис по сравнению с остальными поставщиками. Наименьший рейтинг получил нынешний поставщик ООО» Молочный мир» (33,45), следовательно, от него лучше отказаться.
3.2 Решение «сделать или купить»
При доставке товаров компании использует европоддоны. Оптимальное количество европоддонов, необходимых для нормального функционирования логистической цепи, оценивается в 40 штук.
Имеются 2 варианта: закупить европоддоны у сторонней компании или произвести их своими силами.
Рассмотрим 1-й вариант приобретения европоддонов: путем покупки у сторонней компании.
Компания ООО «Интертара», расположенная по адресу: г. Санкт-Петербург, ул. Домостроительная, занимается изготовлением и продажей деревянных поддонов. Стоимость новых европоддонов 1-2 сорта 800 1200 мм (ГОСТ 9557-87) согласно прайс-листу компании, составляет 205 рублей за штуку (с НДС). Стоимость таких же б/у европоддонов варьируется от 105 рублей за штуку.
Планируется многократное использование европоддонов, а также учитывая, то что на них будут находиться продукты питания, необходимо выбрать покупку новых европоддонов, поэтому общая стоимость 40 европоддонов будет стоить 205руб. 40 шт. = 8200 руб. (с НДС)
Рассмотрим 2-й вариант, согласно которому европоддоны будут производиться собственными силами. Необходимо рассчитать затраты на их производство. Для этого определены комплектующие детали, из которых создается европоддон (см. таблицу 4). Чертеж европоддона представлен на рис 4.
Таблица 4. Комплектующие детали европоддона
|
№ п/п |
Наименование деталей |
Размер, мм |
Кол-во, шт. |
|
1 |
Гвоздь обычный |
602,5 |
27 |
|
2 |
Гвоздь винтовой (верхний настил) |
903,5 |
30 |
|
3 |
Гвоздь винтовой (нижний настил) |
903,5 |
27 |
|
4 |
Кубик центральный |
14514580 |
3 |
|
5 |
Кубик крайний |
10014580 |
6 |
|
6 |
Доски верхнего настила |
145120022 100120022 |
3 2 |
|
7 |
Доска поперечная средняя |
80014522 |
3 |
|
8 |
Доска нижнего настила широкая |
120014522 |
1 |
|
9 |
Доски нижнего настила |
120010022 |
2 |
Расчет стоимости материалов в составе себестоимости европоддона:
- Гвоздь обычный (60 2,5 мм):
Требуется на 40 европоддонов: 27 40 = 1080 шт.
Требуемое количество гвоздей в килограммах (из расчета 450 гвоздей в
1 кг): 1080/450=2,4 кг.
Поставщик: ООО «Металл Спб», цена 40 руб./кг. Упаковки по 25 кг, 5 кг и 1 кг. Стоимость 3 кг: 120 руб.
Стоимость гвоздей в составе себестоимости одного европоддона: 120/40=3 руб.
- Гвоздь винтовой (903,5 мм):
Требуется на 1 европоддон: 27 +30= 57
На 40 европоддонов: 57*40= 2280 шт.
Требуемое количество гвоздей в килограммах (из расчета 193 гвоздя в 1 кг): 2280/193=11,8 кг.
Поставщик: ООО «Металл Спб», цена 63 руб./кг. Упаковки по 5 кг и 1 кг. Стоимость 12 кг: 756 руб.
Стоимость гвоздей в составе себестоимости одного европоддона: 756/40=18,9 руб.
- Брус:
Требуемый объем на 1 европоддон: 0,1450,1450,83+0,1450,1000,86=0,012 м3.
На 40 европоддонов: 0,01240= 0,48 м3.
Поставщик: ООО «Дерево-маркет». Цена бруса (1 сорт) за 1 м3 6300 руб.
Объем 1 бруса: 0,1500,1506=0,126 м3.
Требуемый объем брусьев: 0,38 м36300= 2394 руб.
Стоимость брусьев в составе себестоимости одного европоддона: 2394/40=59,85 руб.
- Доска:
Требуемый объем на 1 европоддон: 0,1451,20,223+0,10,0222+0,1450,80,0223+0,1451,20,0221+
+0,10,0222=0,0335 м3.
На 40 европоддонов: 0,033540= 1,34 м3
Поставщик: ООО «Дерево-маркет». Цена доски (1 сорт) за 1 м3 6300 руб.
Стоимость доски в составе себестоимости одного европоддона: 63001,34/40=211,05 руб.
- Заработная плата рабочих:
Тарифная ставка оплаты труда рабочих, осуществляющих изготовление европоддонов: 75 руб./час.
Изготовлением занимаются 2 рабочих. Общая продолжительность: 2 поддона в час. В таком случае заработная плата в расчете на все количество европоддонов будет составлять: 75240/2= 3000 руб.
Заработная плата в составе себестоимости одного европоддона:
3000/40=75 руб. Таким образов, себестоимость европоддона при его изготовлении составит 367,80 руб. Структура затрат в себестоимости приведена в таблице 5.Затраты на изготовление 40 европоддонов: 14 712 руб.
Таблица 5. Структура затрат в себестоимости европоддона
|
№ п/п |
Затраты |
Величина затрат, руб./ед. |
|
1. |
Материальные затраты |
292,8 |
|
1.1 |
Гвоздь обычный |
3 |
|
1.2 |
Гвоздь винтовой |
18,9 |
|
1.3 |
Брус |
59,85 |
|
1.4 |
Доска |
211,05 |
|
2. |
Заработная плата |
75 |
|
|
Итого |
367,80 |
Вывод: затраты на изготовление требуемого количества европоддонов (40 шт.) 14712 руб.- превышают затраты на их покупку у поставщика ООО «Интертара» (8200 руб.). Поэтому в данном случае следует отказаться от варианта производства европоддонов своими силами и принять решение об их покупке у стороннего поставщика.
Рисунок 4 Чертеж европоддона
3.3 Оценка ущерба предприятия от непоставки продукции в розничную сеть.
9 марта 2015 года поставщик ООО «Молочный мир» не осуществил поставку товара сыра- в требуемом объеме 10 коробок (10 упаковок в каждой коробке, упаковка сыра весит по 200 гр.)
Ущерб от непоставки обошелся компании в 16302,40 руб.
Ущерб был рассчитан путем суммирования следующих пунктов:
- Неполучение прибыли от продажи:
Учитывая, что торговая наценка в розничных магазинах составляет 25%, 10 коробок сыра стоит 13000 руб., следовательно, недополученная прибыль будет рассчитываться следующим образом:
1300025%/100= 3250 руб.
- Неэффективное использование складских помещений6
На складе было отведено место площадью 2,5 м2 под паллеты с данным товаром. Учитывая стоимость участка склада, сдаваемого в аренду под 130 руб./ м2 в месяц, можно рассчитать потери от неиспользования этого участка в течении 5 дней (с 9 по 13 марта 2015 года):
2,51305/31=52,4 руб.
В результате поставщику ООО «Молочный мир» была выставлена претензия в письменной форме на официальном бланке компании.
ООО «ОКЕЙ»
г. Санкт-Петербург, проспект Заневский, д. 65 корп. 1 Литер А
ИНН 7826087713, КПП 56255261
р/сч 407025879000789632145
АО «Райффайзенбанк», г. Санкт-Петербург Генеральному директору
к/сч 30101810200000000700 ООО «Молочный мир»
Сергееву Ивану Алексеевичу
П Р Е Т Е Н З И Я
об уплате неустойки за непоставку продукции на сумму 16302,40
(шестнадцать тысяч триста два рубля и сорок копеек)
дата «13» марта 2015 г.
В соответствии с заключенным договором № 21 от
"20"августа 2013 г. ООО «Молочный мир» взяло на себя обязательство по организации поставки товаров в объемы и с периодичность заявленной в договоре
Согласно договору, Ваше предприятие должно в течении 5 дней с момента предоплаты поставить в адрес ООО «ОКЕЙ» товары сыр «Ромашкино» по цене 120 руб. за упаковку в количестве 100 упаковок (10 коробок) на сумму 130000 в период с 9 по 13 марта 2015 г.
Фактически за указанный период с 9 по 13 марта 2015 г не было поставлено необходимого товара.
В соответствии с изложенным и на основании п. 57 (49)
Положения о поставках продукции производственно-технического
назначения (товаров народного потребления) Вы обязаны уплатить нам
неустойку в сумме 16302,40 руб. согласно прилагаемому расчету.
Сумму неустойки просим перечислить на наш расчетный счет
№ 407025879000789632145 в банке АО «Райффайзенбанк», г. Санкт-Петербург.
к/сч 30101810200000000700
Приложения:
- Копия договора № 21;
- Копия квитанции на предоплату;
- Расчет суммы неустойки.
Генеральный директор / _______ /
Начальник отдела закупок / _______ /
- ТРАНСПОРТНАЯ ЛОГИСТИКА
- Транспортная задача
Ближайшая поставка в три магазина ожидается в начале следующей недели. Спрос в магазинах переведен из разных единиц в единые единицы измерения веса (килограммы) для получения суммарного спроса всех магазинов на дату поставки (см. табл. 6).
Таблица 6. Определение суммарного спроса всех потребителей в единицах измерения веса
|
№ п/п |
Наименование товара |
Суммарный спрос в магазинах ,ед. |
Вес единицы товара, кг/ед |
Суммарный спрос в магазинах ,кг. |
|
1 |
«Ромашкино» (сыр), шт. |
330 |
0,10 |
33 |
|
2 |
«Мираторг» (нагетсы),упак. |
105 |
0,95 |
99,75 |
|
3 |
«Мясной союз» (тушенка),банка |
90 |
0,50 |
45 |
|
4 |
«Ромашкино» (молоко),коробка |
105 |
1,00 |
105 |
|
5 |
«Rich» (сок),коробка |
90 |
1,00 |
90 |
|
6 |
Coca-Cola (лимонад),бут. |
135 |
1,00 |
135 |
|
7 |
«Блеск» (мыло), шт. |
105 |
0,15 |
15,75 |
|
8 |
«Юг Руси» (масло подсолнечное),бут. |
75 |
1,00 |
75 |
|
9 |
«Антисмел» (дезодорант),упак. |
120 |
0,10 |
12 |
|
10 |
«Блеск» (порошок),коробка |
75 |
5,00 |
375 |
|
Итого |
985,5 |
Суммарный спрос на товары всех магазинов составил 985,5 кг. Поскольку спрос в магазинах одинаков, вес поставляемых товаров в каждый отдельный магазин будет равен 985,5/3 = 328,5 кг. Дополнительно стоит учесть вес поддонов, на которых будут находиться товары в момент транспортировки. Для каждой партии, направляющейся в один из магазинов, будет требоваться не менее 3 поддонов, вес каждого из которых составляет 6,5 кг. Аким образом. Суммарный вес перевозимой продукции вместе с европоддонами равен: 328,5+3*6,5= 348 кг.
Помимо возможности использования собственного автотранспорта компании для распределения товаров в магазины, рассматриваются варианты доставки товаров силами следующих сторонних организаций
- ООО «Инфокар», г. Санкт-Петербург, Пискаревский 63, лит А;
- ООО «Ратэк-Север»: г. Санкт-Петербург, промзона Парнас, 1-й Верхний переулок, д. 10, лит. А, корп. 3, офис 3Тарифы перевозки приведены на официальных сайтах данных организаций. Для ООО «Инфокар» (http://infocar-spb.ru/) стоимость перевозки груза- 450 руб./ч. при минимальном заказе 5 часов, а для ООО «Ратэк-Север» (http://www.rateksib.ru/tarify/) стоимость перевозки груза- 400 руб./ч. при минимальном заказе 5 часов.
Тариф переводится в требуемые для транспортной матрицы единицы(руб./кг) на основе информации о весе перевозимого груза и расстояния до магазинов (см. табл. 7)
Таблица 7. Транспортная матрица
|
|
Магазин № 1 |
Магазин № 2 |
Магазин № 3 |
|
Расстояние до магазина, км. |
24,3 |
31,5 |
33,1 |
|
Длительность в пути( при ср.скор. 40 км/ч) |
47 |
38 |
35 |
|
Суммарное время погрузки/разгрузки, ч |
1 |
1 |
1 |
|
Итоговое время доставки (с округлением),ч |
2 |
2 |
2 |
|
Минимальное время заказа, ч |
5 |
5 |
5 |
|
Заказываемое время заказа, ч |
5 |
5 |
5 |
|
Тариф ООО «Инфокар», руб./ч |
450 |
||
|
Тариф ООО «Ратэк-Север»,руб./ч |
400 |
||
|
Вес груза, кг |
348 |
348 |
348 |
|
Тариф ООО «Инфокар», руб./кг |
5,17 |
5,17 |
5,17 |
|
Тариф ООО «Ратэк-Север»,руб./кг |
4,60 |
4,60 |
4,60 |
Тариф для перевозки на собственном транспорте возможно рассчитать, основываясь на информации о расстоянии от склада до каждого магазина.
Стоимость перевозки включает в себя:
- Расходы на топливо:
Согласно калькулятору стоимости доставки топлива, на сайте АЗС Neste (http://www.nesteoil.ru/) стоимость 1 л. дизельного топлива после его доставки в автопарк компании (в объеме от 500 л) будет составлять 39,79 руб./л.
Расход топлива Газ Соболь 2752 составляет 18л / 100 км. При этом необходимо учесть использование автомобилей в условиях многомиллионного города (надбавка 25 %).
Таким образом, расходы на топливо для автомобилей, следующих в каждый из магазинов, рассчитываются следующим образом:
- В магазин № 1: 39,79*24,3*25/100*(1+0,25) =302,16 руб.
- В магазин № 2: 39,79*31,5*25/100*(1+0,25) =391,68 руб.
- В магазин № 3: 39,79*33,5*25/100*(1+0,25) =416,55 руб.
- Заработную плату водителей:
Заработная плата водителя в вакансии ООО «ОКЕЙ» определена в пределах от 20000 до 30000 руб./мес. Исходя из средней заработной платы в 30000 руб./мес./(22 р.д. * 8 ч.) = 170,45 руб./час. Длительность в пути в прямом и обратном направлении по каждому из маршрутов примерно равна 1 ч. Суммарная длительность погрузки и разгрузки 1 час. Для каждого автомобиля заработная плата будет равна 170,45 руб./час*(1 ч *2 + 1 ч) = 511,35 руб.
- Стоимость аренды автомобилей:
Ежемесячная плата за аренду автомобиля Газ Соболь 2752 (согласно сайту http://www.bizrental-krm.ru/sobol-gaz-2752.html ) составляет 28 050/мес. (ООО «ОКЕЙ» предоставлена скидка в виде 15%, как постоянным клиентам). Аренда на день в таком случае будет составлять 28050 / 22 = 1275 руб.
Суммарная стоимость доставки в каждый из магазинов составит:
- В магазин № 1: 302,16 руб.+1275 руб.+ 511,35= 2088,51 руб.
- В магазин № 2: 391,68 руб.+1275 руб.+ 511,35= 2178,03 руб.
- В магазин № 3: 416,55 руб.+1275 руб.+ 511,35= 2202,9 руб.
Тариф доставки в каждый из магазинов собственным транспортом:
- В магазин № 1: 2088,51 руб./329 кг=6,00 руб./кг
- В магазин № 2: 2178,03 руб./329 кг=6,26 руб. /кг
- В магазин № 3: 2202,9 руб./329 кг=6,33 руб. /кг
Все тарифы по перевозке груза для транспортной задчи в единицах измерения руб./кг показаны в таблице 8
Таблица 8. Стоимость перевозки 1 кг груза
|
Варианты перевозок |
Потребители |
|||
|
Магазин № 1 |
Магазин № 2 |
Магазин № 3 |
||
|
348 |
348 |
348 |
||
|
Собственный транспорт |
1000 |
6 |
6,26 |
6,33 |
|
ООО «Инфокар» |
1000 |
5,17 |
5,17 |
5,17 |
|
ООО «Ратэк-Север |
1000 |
4,6 |
4,6 |
4,6 |
Целевая функция (10) имеет вид:
В ограничениях (11) транспортной задачи указывается, что потребности каждого магазина должны быть полностью удовлетворены, а объем перевозок от каждого поставщика не должен превышать его возможностей:
x11+x12+x131000
x21+x22+x231000
x31+x32+x331000
x11+x12+x13=348
x21+x22+x23=348
x31+x32+x33=348 , (11)
xij0
Решение с помощью инструмента «поиск решения» в программе MS Excel представлено в таблице 9. Из данного решения следует, что перевозить груз во все три магазина следует силами сторонней организации ООО «Ратэк-Север». Стоимость доставки при таком варианте составит: 4,6*348*3=4802,4 руб.
Таблица 8. Матрица поставок (решение с помощью MS Excel)
|
Варианты перевозок |
Потребители |
|||
|
Магазин № 1 |
Магазин № 2 |
Магазин № 3 |
||
|
348 |
348 |
348 |
||
|
Собственный транспорт |
0 |
0 |
0 |
0 |
|
ООО «Инфокар» |
0 |
0 |
0 |
0 |
|
ООО «Ратэк-Север» |
1044 |
348 |
348 |
348 |
- Оптимизация маршрута
В разделе «Закупочная логистика» на основе метода экспертных оценок было принято решение о замене поставщика ООО «Молочный Мир» с более высоким рейтингом ООО «Милк». Необходимо определить оптимальный маршрут от этого поставщика, расположенного по адресу Дальневосточный проспект,16, до склада Софийская дом 50. Поставки от ООО «Милк» будут осуществлять с той же периодичностью и в тоже время, что и поставки от ООО «Молочный Мир»: каждый понедельник каждого месяца в 12.00
Затраты на перевозку будут измеряться в руб./ч, с целью получения стоимости перевозки груза по каждому участку маршрута в зависимости от затраченного времени на проезд по данному участку. Перевозчик выбирается по критерию наименьших переменных затрат на перевозку груза в час:
- Для собственного транспорта стоимость перевозки будет включать стоимость топлива и заработную плату водителя.
Стоимость топлива с учетом расхода топлива добавочных коэффициентов. Рассмотренных при определении тарифа в разделе, а также при условии, что средняя скорость движения машины будет равна 40 км/ч, будет равной:
39,79*40*25/100*(1+0,25) =497,38 руб./ч
Заработная плата водителя в пересчете на 1 час определена в разделе и составляет 170,45 руб./ч.
Суммируя, получаем стоимость перевозки собственным транспортом: 497,38 + 170,45=667,83 руб./ч.
- Стоимость перевозки груза за 1 час для ООО «Инфокар»: 450 руб./ч.
- Стоимость перевозки груза за 1 час для ООО «Ратэк-Север»: 400.руб./ч.
Таким образом в качестве перевозчика была выбрана компания ООО «Ратэк-Север», имеющая минимальную скорость перевозки равную 400 руб./ч. Эта стоимость будет являться базой для расчета тарифов по перевозке груза по каждому участку маршрута.
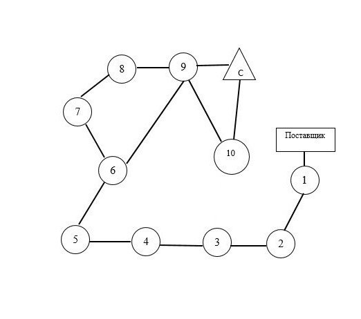
Возможные пути для проезда грузового автомобиля от поставщика до склада представлены в виде графа (см. рис. 5), на котором вершины представляют собой перекрестки дорог, а дуги графа дороги. Вершина, обозначающая местонахождение поставщика, обозначена прямоугольником, а вершина, обозначающая местонахождение склада в виде треугольника.

Рисунок 5 Представление возможных путей проезда поставщика до склада в виде графа
Вершины графа пронумерованы для наглядности, они обозначают пересечения следующих дорог:
- Дальневосточного проспекта и ул. Дыбенко
- Дальневосточного проспекта и ул. Народной
- Народной ул. и Октябрьской наб.
- Движение по Володарскому мосту
- Пр. Обуховской стороны и ул. Ивановской
- ул. Ивановской и пр. Славы
- пр. Славы и станции «Сортировочная»
- Дальневосточного проспекта и Зольной улицы
- Зольной улицы и Заневского пр.
- Синопской наб. и пр. Обуховской обороны
Стоимость проезда по участкам дорог рассчитывалась исходя из времени, затраченного на преодоление этих участков, и тарифа на перевозку сторонним перевозчиком ООО «Ратэк-Север» (400 руб./час). Помимо этого, делались поправки на время простоя перед светофорами (из расчета 0,5 мин. на каждый светофор) и время, затраченное на объезд неровностей на дорогах (больших ям). Расчет стоимости каждого участка приводится в табл. 3.5, а на рис. 6 изображен граф с отмеченными затратами (в рублях) на проезд по каждому участку дорог.
Таблица 10. Расчет стоимости проезда по участкам дорог
|
Участок дороги |
Преодолеваемое расстояние, км |
Скорость движения по участку, км/ч |
Время на преодоление расстояния, мин |
Увеличение времени из-за простоев перед светофорами, мин |
Увеличение времени из-за объезда препятствий, мин |
Суммарное время, мин |
Стоимость превозки,руб. |
|
От поставщика до 1 |
2,8 |
40 |
5,5 |
0 |
0,5 |
6 |
40,00 |
|
1-2 |
2,3 |
40 |
4,5 |
0,5 |
0,5 |
6 |
40,00 |
|
2-3 |
4,2 |
40 |
2 |
1 |
0 |
3 |
20,00 |
|
3-4 |
2,1 |
40 |
1 |
0 |
0 |
1 |
6,66 |
|
4-5 |
2,1 |
40 |
1 |
1 |
0 |
2 |
13,33 |
|
5-6 |
0,7 |
40 |
1 |
0 |
0 |
1 |
6,60 |
|
6-7 |
0,61 |
40 |
2 |
0,3 |
0,7 |
3 |
20,00 |
|
7-8 |
0,91 |
40 |
4 |
0,5 |
0,5 |
5 |
33,33 |
|
8-9 |
2,4 |
40 |
1,5 |
0,5 |
1 |
3 |
20,00 |
|
От 9 до Склада |
1,3 |
40 |
2 |
0 |
0 |
2 |
13,33 |
|
6-9 |
0,93 |
40 |
15 |
0,5 |
0 |
15,5 |
103,33 |
|
9-10 |
1,85 |
40 |
8 |
0,5 |
0 |
8,5 |
56,67 |
|
10-Склад |
2 |
40 |
4 |
0,5 |
0,5 |
5 |
50,00 |

Рисунок 6 Обозначение стоимости проезда по участкам дорог

Рисунок 7 Решение задачи оптимизации маршрута
Решение задачи показано на рисунке 7.Возле каждой вершины графа подписана минимальная стоимость доставки товаров от данного пункта (перекрестка) до склада. Минимальная стоимость доставки товаров составляет 213,25 рублей. Оптимальный маршрут доставки соответственно 1-2-3-4-5-6-7-8 и 9. Таким образом, товары от поставщика необходимо везти не через проспект Обуховской стороны, а через Володарский мост, пересекая Октябрьскую набережную. Суммарное время на перевозку, учитывая простои на светофорах и не очень хорошую дорогу, составит:6+6+3+1+2+1+3+5+3+2=32 мин.
Заключение
Мы рассмотрели логистическую система группы компаний «ОКЕЙ», занимающейся розничной торговлей продуктов общего пользования, а также продуктов питания.
В 1 разделе рассмотрели саму группу компаний, адреса магазинов, поставщиков, а также продукцию, которую заказывают магазины.
Во 2 разделе был произведен анализ текущего положения склада тремя способами:
- Методом центра тяжести
- Манхэттенским методом
- Методом наикратчайших расстояний
И было принято решение не менять текущее положение склада.
В 3 разделе на карту были нанесены поставщики группы компании «ОКЕЙ» и представлены в координатных осях. Также произвели экспертную оценку о замене наиболее удаленного поставщика. Были произведены расчеты по затратам на покупку или изготовление европоддонов. В результате было принято решение отказаться от варианта производства европоддонов своими силами и принять решение об их покупке у стороннего поставщика. Также была произведена оценка ущерба предприятия от непоставки в розничную сеть.
В 4 разделе была решена транспортная задача и было принято решение что перевозить груз во все три магазина следует силами сторонней организации ООО «Ратэк-Север». Был выбран оптимальный маршрут, пролегающий через Володарский мост и пересекающий Октябрьскую набережную. Минимальная стоимость доставки товаров составляет 253,25 рублей, а суммарное время на перевозку, учитывая простои на светофорах и не очень хорошую дорогу, составит: 32 мин
Список использованной литературы
- Официальный сайт «ОКЕЙ» [Электронный ресурс]. http://www.okmarket.ru/
- Официальный сайт ООО «Интертара» [Электронный ресурс]. http://intertararu.pulscen.ru/
- Официальный сайт «Инфокар» [Электронный ресурс]. http://infocar-spb.ru/
- Официальный сайт «Ратэк-Север» [Электронный ресурс]. http://www.rateksib.ru/
- Википедия [Электронный ресурс]. https://ru.wikipedia.org
- Карта [Электронный ресурс]. https://www.google.ru/maps
- Курс лекций по дисциплине «Бизнеслогистика»
ООО «Молочный Мир»
Магазин №1
ООО «Алабино»
Магазин №2
Склад
ООО «Coca-Cola»
Магазин №3
ООО «Щедрино»
Размеры указаны в мм
Доска верхнего настила
Размеры:
Длина 1200 мм
Ширина 145 мм
Толщина 22-24 мм
Кол-во. досок на один поддон 3 шт.
Доска поперечная
Размеры:
Длина 800 мм
Ширина 145 мм
Толщина 22-24 мм
Кол-во. досок на один поддон 3 шт
Кубик крайний
Размеры:
Длина 145 мм
Ширина 100 мм
Высота 80 мм
Кол-во. кубиков на один поддон 6 шт.
Доска верхнего настила
Размеры:
Длина 1200 мм
Ширина 100 мм
Толщина 22-24 мм
Кол-во. досок на один поддон 2 шт.
Кубик центральный
Размеры:
Длина 145 мм
Ширина 145 мм
Высота 80 мм
Кол-во. кубиков на один поддон 3 шт.
Ширина проемов
40-50 мм
Кол-во. проемов на один поддон 4
Доска лыжня крайние
Размеры:
Длина 1200 мм
Ширина 100 мм
Толщина 22-24 мм
Кол-во. досок на один поддон 2 шт.
Поддон Евро стандарт вид снизу.
Поддон Евро стандарт вид спереди.
Поддон Евро стандарт вид сбоку.
Поддон Евро стандарт вид сверху.
Доска лыжня средняя
Размеры:
Длина 1200 мм
Ширина 145 мм
Толщина 22-24 мм
Кол-во. досок на один поддон 1 шт.