Теории экономического роста
Большинство моделей роста исходит из того, что увеличение реального объема выпуска происходит, прежде всего под влиянием роста основных факторов производства — труда (L) и капитала (К). Фактор “труд” обычно слабо поддаётся воздействию извне, тогда как величина капитала может быть скорректирована определенной инвестиционной политикой. Как известно, запас капитала в экономике со временем сокращается на величину выбытия (амортизации) и увеличивается за счет роста чистых инвестиций. Вполне очевидно, что экономический рост ценен не сам по себе, а в качестве основы повышения благосостояния населения, поэтому качественная оценка роста часто дается через оценку динамики потребления.
Теоретический анализ экономического роста ведется по двум основным направлениям: неокейнсианскому и неоклассическому.
Кейнсианские модели роста используют в основном тот же логический инструментарий, что и известные нам кейнсианские модели краткосрочного равновесия. Но теперь анализ со стороны спроса необходимо соединить с факторами, определяющими динамику предложения, и выяснить условия динамического равновесия спроса и предложения в экономике. Стратегической переменной, с помощью которой можно управлять экономическим ростом, являются инвестиции.
Неоклассические модели роста, напротив, строились на предпосылке достижения устойчивого равновесия без вмешательства государства. Анализ в этих моделях проводился при помощи аппарата производственной функции, учитывающей несколько факторов производства и предполагающей их взаимозаменяемость.
Рассмотрим основные современные модели экономического роста.
Неокейнсианские модели экономического роста. Наиболее простой кейнсианской моделью роста является модель Е.Домара, предложенная в конце 40-х годов. Технология производства представлена в ней производственной функцией Леонтьева с постоянной предельной производительностью капитала (при условии, что труд не является дефицитным ресурсом). Модель Домара исходит из того, что на рынке труда существует избыточное предложение, что обусловливает постоянство уровня цен. Выбытие капитала (К) отсутствует, отношение K/Y и норма сбережений — постоянны. Выпуск зависит фактически от одного ресурса — капитала. Для простоты можно принять также инвестиционный лаг равным нулю.
Фактором увеличения спроса и предложения в экономике служит прирост инвестиций. Если в данном периоде инвестиции выросли на ?I, то, в соответствии с эффектом мультипликатора, совокупный спрос возрастет на

где m - мультипликатор расходов, b - предельная склонность к потреблению, s - предельная склонность к сбережению .
Увеличение совокупного предложения составит ?YAS = ? ? ?K, где ? - предельная производительность капитала (по условию — постоянна). Прирост капитала ?K обеспечивается соответствующим объемом инвестиций I, потому можно записать: ?YAS = ? ? I.
Равновесный экономический рост будет достигнут при условии равенства спроса и предложения: или , т.е. темп прироста инвестиции должен быть равен произведению предельной производительности капитала и предельной склонности к сбережению. Величина ? задается технологией производства и, в соответствии с принятыми предпосылками, постоянна, а значит увеличить темпы прироста инвестиций может лишь рост нормы сбережений (но для рассматриваемого периода она берётся постоянной).
Поскольку в условиях равновесия инвестиции равны сбережениям, I=S, а S=sY при s=const, уровень дохода является величиной, пропорциональной уровню инвестиций, и тогда

Таким образом, согласно теории Е. Домара, существует равновесный темп прироста реального дохода в экономике, при котором полностью используются имеющиеся производственные мощности. Он прямо пропорционален норме сбережений и предельной производительности капитала, или приростной капиталоотдаче,

Такое динамическое равновесие может оказаться неустойчивым, как только темп роста плановых инвестиций частного сектора отклоняется от уровня, заданного моделью.
Модель Е. Домара не претендовала на роль теории роста. Это была попытка расширить условия краткосрочного кейнсианского равновесия на более длительный период и выяснить, какими будут эти условия для развивающейся системы.
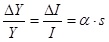
Р.Ф. Харрод построил специальную модель экономического роста (1939г.), включив в неё эндогенную функцию инвестиций (в отличие от экзогенно заданных инвестиций у Домара) на основе принципа акселератора и ожиданий предпринимателей .
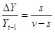
Согласно принципу акселератора, любой рост (сокращение) дохода вызывает рост (сокращение) капиталовложений, пропорциональный изменению дохода:
It = ?(Yt – Yt-1),
где ? — акселератор.
Предприниматели планируют объем собственного производства, исходя из ситуации, сложившейся в экономике в предшествующий период: если их прошлые прогнозы относительно спроса оказались верными и спрос полностью уравновесил предложение, то в данном периоде предприниматели оставят темпы роста объёма выпуска неизменными; если спрос в экономике был выше предложения, они увеличат темпы расширения производства; если предложение превышало спрос в предшествующем периоде, они снизят темпы роста. Формализовать это можно следующим образом:

где а=1, если спрос в предшествующем периоде (t-1) был равен предложению; а>1, если спрос превысил предложение и а<1, если спрос был ниже предложения. Отсюда получим объём предложения в экономике:

Для определения совокупного спроса используется модель акселератора (а также условие равенства I=S).

Равновесный экономический рост предлагает равенство совокупного спроса и предложения:

После небольшого преобразования получим

Предположим, что в предшествующем периоде спрос был равен предложению, т.е. а=1. Тогда, в соответствии с принятыми условиями поведения, предприниматели и в текущем периоде сохранят темпы роста производства такими же, как и в предшествующем периоде, т.е.

Тогда предыдущее выражение можно представить следующим образом:



Анализ соотношений между гарантированным и фактическим темпами роста позволил сделать следующий вывод: если фактически запланированный предпринимателями темп роста предложения отличается от гарантированного темпа роста (превышает или не достигает его), то система постепенно отдаляется от состояния равновесия.
Помимо гарантированного темпа роста Харрод вводит понятие “естественного” темпа роста. Это максимальный темп, допускаемый ростом активного населения и техническим прогрессом .
При таком темпе достигается полная занятость факторов— труда и капитала.
Если гарантированный темп роста, удовлетворяющий предпринимателей, выше естественного, то вследствие недостатка трудовых ресурсов фактический темп окажется ниже гарантированного: производители будут разочаровываться в своих ожиданиях, снизят объём выпуска и инвестиции, в результате чего система будет находиться в состоянии депрессии.
Если гарантированный темп роста меньше естественного, то фактический темп может превысить гарантированный, поскольку существующий избыток трудовых ресурсов даёт возможность увеличить инвестиции. Экономическая система будет переживать бум. Фактический темп роста может быть также равен гарантированному, и тогда экономика будет развиваться в условиях динамического равновесия, вполне удовлетворяющих предпринимателей, но при наличии вынужденной безработицы.
Идеальное развитие экономической системы достигается при равенстве гарантированного, естественного и фактического темпов роста в условиях полной занятости ресурсов.
Но поскольку всякое отклонение инвестиций от условий гарантированного темпа роста, как известно, выводит систему из равновесия и сопровождается всё более увеличивающимся расхождением между спросом и предложением, динамическое равновесие в модели Харрода также оказывается неустойчивым.
Часто обе модели объединяют в одну модель Харрода-Домара. Обе модели приводят к выводу, что при данных технических условиях производства темп экономического роста определяется величиной предельной склонности к сбережению, а динамическое равновесие может существовать в условиях неполной занятости.
Ограниченность данных моделей задана уже предпосылками их анализа. Например, используемая в них производственная функция Леонтьева характеризуется отсутствием взаимозаменяемости факторов производства — труда и капитала, что в современных условиях не всегда соответствует действительности.
Модели Домара и Харрода неплохо описывали реальные процессы экономического роста 1920-1950-х гг., но для более поздних наблюдений (50-е — 70-е гг.) наиболее успешно использовалась неоклассическая модель Р.Солоу.
Неоклассические модели роста преодолевали ряд ограничений кейнсианских моделей и позволяли более точно описать особенности макроэкономических процессов.
Представители этого направления (американский экономист Р. Солоу, английский экономист Дж. Мид, А. Льюис, а также и другие авторы) выступили против государственного вмешательства в экономику, чтобы дать возможность крупным фирмам в наибольшей степени использовать имеющиеся у них ресурсы для достижения потенциального роста в условиях рыночной конкуренции.
Р.Солоу показал, что нестабильность динамического равновесия в кейнсианских моделях была следствием невзаимозаменяемости факторов производства. Вместо функции Леонтьева он использовал в своей модели производственную функцию Кобба—Дугласа, в которой труд и капитал являются субститутами. Другими предпосылками анализа в модели Солоу являются: убывающая предельная производительность капитала, постоянная отдача от масштаба, постоянная норма выбытия, отсутствие инвестиционных лагов.
Взаимозаменяемость факторов (изменение капиталовооруженности) объясняется не только технологическими условиями, но и неоклассической предпосылкой о совершенной конкуренции на рынках факторов.
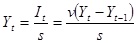
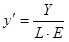
Необходимым условием равновесия экономической системы является равенство совокупного спроса и предложения. Предложение описывается производственной функцией с постоянной отдачей от масштаба: Y = F(К,L) и для любого положительного z верно: zF(К,L) = F(zК, zL) Тогда если z =1/L, то




Совокупный спрос в модели Солоу определяется инвестициями и потреблением: у=i+с, где i и с — инвестиции и потребление в расчете на одного занятого. Доход делится между потреблением и сбережениями в соответствии с нормой сбережения, так что потребление можно представить как c=(1-s)y, где s — норма сбережения (накопления), тогда у=с+i=(1-s)у+i, откуда i=sу. В условиях равновесия инвестиции равны сбережениям и пропорциональны доходу.
Условия равенства спроса и предложения могут быть представлены как ?(k)=с+i или

Динамика объёма выпуска зависит от объёма капитала (в нашем случае — капитала в расчете на одного занятого, или капиталовооруженности). Объём капитала меняется под воздействием инвестиций и выбытия: инвестиции увеличивают запас капитала, выбытие — уменьшает.
Инвестиции зависят от фондовооруженности и нормы накопления, что следует из условия равенства спроса и предложения в экономике: i=s•?(k). Норма накопления определяет деление продукта на инвестиции и потребление при любом значении k (см. рис. 12.1): у=(k), i=s•?(k), с=(1-s)•?(k).
Амортизация учитывается следующим образом: если принять, что ежегодно вследствие износа капитала выбывает его фиксированная часть d (норма выбытия), то величина выбытия будет пропорциональна объёму капитала и равна d•k. На графике эта связь отражается прямой, выходящей из точки начала координат, с угловым коэффициентом d (рис.12.2).
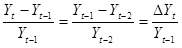
Влияние инвестиций и выбытия на динамику запасов капитала можно представить уравнением: ?k = i -dk, или, используя равенство инвестиций и сбережений, ?k = s•?(k)-dk. Запас капитала (k) будет увеличиваться (?k>0) до уровня, при котором инвестиции будут равны величине выбытия, т.е. s•?(k)=dk. После этого запас капитала на одного занятого (фондовооруженность) не будет меняться во времени, поскольку две действующие на него силы уравновесят друг друга (?k=0). Уровень запаса капитала, при котором инвестиции равны выбытию, называется равновесным (устойчивым) уровнем фондовооруженности труда и обозначается k*. При достижении k* экономика находится в состоянии долгосрочного равновесия.

Равновесие является устойчивым, поскольку независимо от исходного значения k экономика будет стремиться к равновесному состоянию, т.е. к k*. Если начальное k1 ниже k*, то валовые инвестиции (s•?(k)) будут больше выбытия (dk) и запас капитала будет возрастать на величину чистых инвестиций. Если k2>k*, это означает, что инвестиции меньше, чем износ, а значит запас капитала будет сокращаться, приближаясь к уровню k*(см. рис.12.2).
Норма накопления (сбережения) непосредственно влияет на устойчивый уровень фондовооруженности. Рост нормы сбережения с s1 до s2 сдвигает кривую инвестиций вверх из положения s1 ?(k) до s2(k) (рис. 12.3).

В исходном состоянии экономика имела устойчивый запас капитала k1*, при котором инвестиции равнялись выбытию. После повышения нормы сбережения инвестиции выросли на (i?1 – i1), а запас капитала (k1*) и выбытие (dk1) остались прежними. В этих условиях инвестиции начинают превышать выбытие, что вызывает рост запаса капитала до уровня нового равновесия k2*, которое характеризуется более высокими значениями фондовооруженности и производительности труда (выпуск на одного занятого, у).
Таким образом, чем выше норма сбережения (накопления), тем более высокий уровень выпуска и запаса капитала может быть достигнут в состоянии устойчивого равновесия. Однако повышение нормы накопления ведёт к ускорению экономического роста в краткосрочном периоде, до тех пор, пока экономика не достигнет точки нового устойчивого равновесия.
Очевидно, что ни сам процесс накопления, ни увеличение нормы сбережения не могут объяснить механизм непрерывного экономического роста. Они показывают лишь переход от одного состояния равновесия к другому.
Для дальнейшего развития модели Солоу поочередно снимаются две предпосылки: неизменность численности населения и его занятой части (их динамика предполагается одинаковой) и отсутствие технического прогресса.
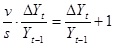
Предположим, население растёт с постоянным темпом n. Это новый фактор, влияющий вместе с инвестициями и выбытием на фондовооруженность. Теперь уравнение, показывающее изменение запаса капитала на одного работника, будет выглядеть как: ?k=i-dk-nk или ?k=i-(d+n)k.
Рост населения аналогично выбытию снижает фондовооруженность, хотя и по-другому — не через уменьшение наличного запаса капитала, а путем распределения его между возросшим числом занятых. В данных условиях необходим такой объем инвестиций, который не только бы покрыл выбытие капитала, но и позволил бы обеспечить капиталом новых рабочих в прежнем объёме. Произведение пk показывает, сколько требуется дополнительного капитала в расчете на одного занятого, чтобы капиталовооруженность новых рабочих была на том же уровне, что и старых.

Условие устойчивого равновесия в экономике при неизменной фондовооруженности k* можно будет записать теперь так:
?k=s•?(k)-(d+n)k=0 или s•?(k)=(d+n)k.
Данное состояние характеризуется полной занятостью ресурсов (рис. 12.4) .
В устойчивом состоянии экономики капитал и выпуск на одного занятого, т.е. фондовооруженность (k) и производительность (у) труда остаются неизменными. Но, чтобы фондовооруженность оставалась постоянной и при росте населения, капитал должен возрастать с тем же темпом, что и население, т.е.

Таким образом, рост населения становится одной из причин непрерывного экономического роста в условиях равновесия.
Учет в модели Солоу технологического прогресса видоизменяет исходную производственную функцию. Предполагается трудосберегающая форма технологического прогресса. Производственная функция будет представлена как Y=F(К,L•Е), где Е — эффективность труда, а (L•Е) — численность условных единиц труда с постоянной эффективностью Е. Чем выше Е, тем больше продукции может быть произведено данным числом работников. Предполагается, что технологический прогресс осуществляется путем роста эффективности труда Е с постоянным темпом g. Рост эффективности труда в данном случае аналогичен по результатам росту численности занятых: если технологический прогресс имеет темп g=2%, то, например, 100 рабочих могут произвести столько же продукции, сколько ранее производили 102 рабочих. Если теперь численность занятых (L) растет с темпом n, а Е растет с темпом g, то (L•Е) будет увеличиваться с темпом (п+g).
Включение технологического прогресса несколько меняет и анализ состояния устойчивого равновесия, хотя ход рассуждений сохраняется. Если определить k? как количество капитала в расчете на единицу труда с постоянной эффективностью, т.е.


s•?(k?)=(d+n+g)k?.

В устойчивом состоянии (k?*) при наличии технологического прогресса общий объём капитала (К) и выпуска (Y), будут расти с темпом (n+g). Но в отличие от случая роста населения, теперь будут расти с темпом фондовооруженность


Таблица 12.1
Характеристика основных переменных модели Солоу в состоянии устойчивого равновесия

Таким образом, в модели Солоу найдено объяснение механизма непрерывного экономического роста в режиме равновесия при полной занятости ресурсов.
Как известно, в кейнсианских моделях норма сбережения задавалось экзогенно и определяла величину равновесного темпа роста дохода. В неоклассической модели Солоу при любой норме сбережения рыночная экономика стремится к соответствующему устойчивому уровню фондовооруженности (k*) и сбалансированному росту, когда доход и капитал растут с темпом (n+g). Величина нормы сбережения (накопления) является объектом экономической политики и важна при оценке различных программ экономического роста.
Поскольку равновесный экономический рост совместим с различными нормами сбережения (как мы видели, увеличение лишь на короткое время ускоряло рост экономики, в длительном периоде экономика возвращалась к устойчивому равновесию и постоянному темпу роста в зависимости от значения п и g), возникает проблема выбора оптимальной нормы сбережения.
Оптимальная норма накопления, соответствующая “золотому правилу” Э. Фелпса, обеспечивает равновесный экономический рост с максимальным уровнем потребления. Устойчивый уровень фондовооруженности соответствующий этой норме накопления, обозначим k**, а потребления – с**.
Уровень потребления в расчете на одного занятого при любом устойчивом значении фондовооруженности k* определяется путем ряда преобразований исходного тождества: у=с+i. Выражаем потребление с через у и i и подставляем значения данных параметров, которые они принимают в устойчивом состоянии: с=у-i, с*=?(k*)-dk*, где с* — потребление в состоянии устойчивого роста, а i=s•?(k)=dk по определению устойчивого уровня фондовооруженности. Теперь из различных устойчивых уровней фондовооруженности (k*), соответствующих разными значениям s, необходимо выбрать такой, при котором потребление достигает максимума (рис. 12.6).

Рис. 12.6. «Золотое правило» Э. Фелпса
Если выбрано k*
Если экономика в исходном состоянии имеет запас капитала больший, чем следует по “золотому правилу”, необходима программа по снижению нормы накопления. Эта программа обусловливает увеличение потребления и снижение инвестиций. При этом экономика выходит из состояния равновесия и вновь достигает его при пропорциях, соответствующих “золотому правилу”.
Если экономика в исходном состоянии имеет запас капитала меньше, чем k**, необходима программа, направленная на повышение нормы сбережения. Эта программа первоначально приводит к росту инвестиций и падению потребления, но по мере накопления капитала с определенного момента потребление вновь начинает расти. В результате экономика достигает нового равновесия, но уже в соответствии с “золотым правилом”, где потребление превышает исходный уровень. Данная программа обычно считается непопулярной в связи с наличием “переходного периода”, характеризующегося падением потребления, поэтому её принятие зависит от межвременных предпочтений политиков, их ориентации на краткосрочный или долгосрочный результат.
Рассмотренная модель Солоу позволяет описать механизм долгосрочного экономического роста, сохраняющий равновесие в экономике и полную занятость факторов. Она выделяет технический прогресс как единственную основу устойчивого роста благосостояния и позволяет найти оптимальный вариант роста, обеспечивающий максимум потребления.
Представленная модель не свободна и от недостатков. Модель анализирует состояния устойчивого равновесия, достигаемые в длительной перспективе, тогда как для экономической политики важна и краткосрочная динамика производства и уровня жизни. Многие экзогенные переменные модели Солоу – s,d,n,g - было бы предпочтительнее определять внутри модели, поскольку они тесно связаны с другими её параметрами и могут видоизменять конечный результат. Модель не включает также целый ряд ограничителей роста, существенных в современных условиях — ресурсных, экологических, социальных. Используемая в модели функция Кобба-Дугласа, описывая лишь определенный тип взаимодействия факторов производства, не всегда отражает реальную ситуацию в экономике. Эти и другие недостатки пытаются преодолеть современные теории экономического роста.
В неоклассической модели роста объём выпуска в устойчивом состоянии растет с темпом (п+g), а выпуск на душу населения — с темпом g, т.е. устойчивый темп роста определяется экзогенно. Современные теории эндогенного роста пытаются определить устойчивый темп роста в рамках модели, эндогенно, связывал его со всеми возможными количественными и качественными факторами: ресурсными, институциональными и др.
Сторонники концепции “экономики предложения” полагают, что увеличение темпов роста при полной занятости возможно прежде всего путём сокращения регулирующего вмешательства извне в рыночную систему.