11.5. Сущность инфляции и причины ее возникновения
Инфляция - это:
- чрезмерное увеличение находящихся в обращении наличных бумажных денег или объема безналичного бумажного денежного обращения по сравнению с реальным предложением товаров;
- снижение покупательной способности денег;
- общее длительное повышение цен.
Дезинфляция - замедление темпов роста цен.
Дефляция - процесс, обратный инфляции.
Некоторые экономисты считают, что процесс инфляции, понимаемый просто как обесценение денег, такого же древнего происхождения, как и номинальные денежные знаки (уменьшение веса, ухудшение качества монет). Известно, что в Древней Греции, начиная с тирана Гинпия (VI в. до н.э.), уменьшившего наполовину содержание монеты, выпускались в обращение неполноценные деньги. Аналогично поступали и римские императоры. Так, Септимий Север (146-211) увеличил примесь меди в серебряных монетах до 50-60% их веса, а его преемники еще больше. Король Франции Филипп IV (1268-1314) получил прозвище "фальшивомонетчик" за широкое использование выпуска в обращение неполноценных монет, он издал 35 инфляционных указов. В России в XVI-XVIII вв. неоднократно понижалась денежная стопа - содержание металла в серебряных монетах. С появлением бумажных денег монетарно-денежная инфляция заменяется бумажно-денежной.
Другие же авторы утверждают, что в условиях золотого или серебряного обращения инфляция невозможна, ибо деньги представляют реальное богатство, а не его символ; необходимое количество денег регулируется такой функцией, как сокровище. Если монет больше, чем необходимо для покупок, оставшиеся деньги оседают как сокровища. При этом они не обесцениваются. При наполнении рынка товарами монеты изымаются из накоплений и участвуют в торговых сделках. Обесценения денег в таких условиях не происходит. Известно, что в России в XVIII в. Акинфий Демидов (уральский горнозаводчик), обнаружив залежи серебряных руд, стал самостоятельно чеканить свои монеты, ничем не отличающиеся от царских, и к негативным последствиям для экономики страны это не привело. Серебро - всегда серебро, и даже если монет начеканено больше, чем необходимо для покупок, оставшиеся на руках деньги оседают как сокровище.
Другое дело при бумажном обращении. Здесь деньги лишь символ, а не реальное богатство. Выполнять функцию сокровища они не могут. Гораздо лучший способ сохранения сбережений - покупка недвижимости или драгоценностей. Бумажные же деньги в очень незначительной степени накапливаются в качестве сбережений. Основная их возросшая масса при избытке денег остается в обращении. Наличие этих денег у населения увеличивает совокупный спрос, а он, в свою очередь, давит на цены в сторону их повышения.
Проявлением инфляции выступает повышение цен, которое возникает в связи с длительным неравновесием на большинстве рынков в пользу спроса, т.е. это дисбаланс между совокупным спросом и совокупным предложением. Однако следует знать, что рост цен может быть связан с отсутствием равновесия между спросом и предложением на отдельном рынке и такой рост цен на каком-то отдельном товарном рынке - это не инфляция. Инфляция проявляется в повышении общего уровня цен в стране. Следовательно, не всякий рост цен вызван инфляционными процессами. Так, рост цен, связанный с сезонными колебаниями конъюнктуры рынка, нельзя считать инфляционным. Стихийные бедствия не могут считаться причиной инфляционного роста цен. Если в результате землетрясения разрушены дома, то очевиден подъем цен на стройматериалы, и это будет стимулировать производителя стройматериалов расширять предложение своей продукции, но по мере насыщения рынка цены станут понижаться.
Таким образом, инфляция - это сложное многофакторное явление, которое характеризует нарушение воспроизводственного процесса, выступает результатом макроэкономической нестабильности, определенного дисбаланса между совокупным спросом и совокупным предложением и присуща экономике, использующей бумажно-денежное обращение.
Показатели инфляции призваны дать количественную оценку инфляционных процессов.
Инфляция в соответствии с монетаристской теорией денег должна измеряться излишком денежной массы в обращении. На практике это сделать сложно, поэтому измерение инфляции сводится к теории роста цен, а именно к определению основных видов индексов цен.
Индекс цен (I) - это отношение цены t-го года (Pt) к цене базисного года (Рb), т.е.
I = ( Pt / Рb ) х 100%.
Различают следующие основные виды индекса цен:
- индекс потребительских цен;
- индекс оптовых цен;
- индекс цен - неявный дефлятор ВНП;
- индекс экспортных и импортных цен.
Наиболее часто используемым показателем уровня цен является индекс потребительских цен - это отношение цены потребительской корзины в t-м году к ее цене в базисном году. При вычислении индекса потребительских цен принимают во внимание не все конечные товары и услуги, а только те, которые составляют так называемую потребительскую корзину, приобретаемую типичным домашним хозяйством. Сюда входят основные продовольственные товары, набор основных непродовольственных товаров (одежда, обувь, бытовые товары) и основных услуг (медицинские, транспортные услуги, связь, отдых, культура, личная гигиена).
Индекс оптовых цен представляет собой типичный набор товаров, приобретаемых фирмами. Сделаем еще одно уточнение. Индекс цен, рассчитываемый для неизменного набора товаров, получил название индекса Ласпейреса. Однако он не учитывает возможности замены более дорогих товаров более дешевыми, т.е. происходит недооценка возможного изменения товарной структуры. Индекс, рассчитываемый для изменяющегося набора, т.е. учитывающий возможность взаимного замещения товаров, называется индексом Пааше. Но в индексе Пааше не отражается происходящее при этом снижение уровня благосостояния. Формула Фишера устраняет недостатки обоих индексов. Аналитическое выражение описанных индексов представлено ниже.
Индекс роста цен по формуле Ласпейреса (IL):
IL = (PtxOt)/(PbxOb).
Индекс роста цен по формуле Пааше или неявный ценовой дефлятор ВНП (Ip):
Ip = (PtxOt)/(PbxOt).
Индекс роста цен по формуле Фишера:
If = I1 х Ip ,
If= [(Pt xOt)/(PbxOb)] x [(Pt, х Ot)/(Рь х Оt),
где Pt - цена t-го года;
Рb - цена базисного года;
Ot - объем продукции, произведенной в t-м году;
Оb - объем продукции, произведенной в базисном году.
Если учитывать только стоимость потребительской корзины, то в целом по экономике правильнее использовать более полный показатель - дефлятор ВНП - отношение номинального ВНП к реальному ВНП. Дефлятор охватывает все виды товаров - потребительских, инвестиционных. Хотя он шире, чем индекс роста цен, рассчитываемый по формуле Ласпейреса, однако ежемесячно данные по нему собрать очень сложно, поэтому в ежемесячной статистике во многих странах предпочитают использовать последний. В долгосрочной перспективе эти показатели сближаются.
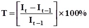
Часто в расчетах ряда макроэкономических показателей используется так называемый темп инфляции (Т). Он определяется как отношение разности индекса цен текущего периода и индекса цен предыдущего периода к индексу цен предыдущего периода:

i = r + п,
где i - номинальное значение процентной ставки;
r - реальное значение процентной ставки.
Для страны, где наблюдаются устойчивые темпы инфляции, c целью расчета количества лет, необходимых для удвоения уровня цен, можно использовать "правило величины 70", согласно которому число 70 надо разделить на ежегодный уровень инфляции.
В качестве косвенного показателя уровня инфляции используются данные об отношении товарных запасов к сумме денежных вкладов населения (сокращение запасов и рост вкладов свидетельствуют о повышении степени инфляционного напряжения). Данные о превышении доходов населения над расходами в процентах к доходам также могут характеризовать уровень инфляции. Если доходы растут быстрее или даже одинаково с ценами, это свидетельствует об опасности раскручивания инфляционной спирали.
Добро инфляция или зло? В классической экономической теории инфляция всегда понималась как зло, с которым нужно бороться на макроуровне. С появлением и развитием кейнсианских взглядов ситуация принципиально изменилась. Кейнсианская теория рассматривает инфляцию и в положительном смысле.
В западной экономической литературе в положительном смысле рассматривается лишь ползучая инфляция, она стимулирует производство и предложение товаров. В остальных же случаях инфляция понимается как бесспорное зло. По мере нарастания инфляции деньгам все труднее выполнять свои функции, обслуживать обращение товаров и услуг, платежные операции и т.п. Зародившись на денежном рынке, вирусы инфляции затем проникают дальше, поражая другие части экономического организма. Это означает, что в ситуациях, когда инфляционная болезнь сильно запущена, одной только нормализацией денежного оборота уже не обойтись. Нужны еще какие-то действия, касающиеся финансов, капиталовложений, производства. Тем самым правильная денежная политика государства образует лишь необходимое условие торможения инфляции. Но реально на него можно рассчитывать тогда, когда государство, дополняя такую политику, укрепляет механизмы рынка, стимулирует производство и предложение товаров, старается убавить текущий спрос, предпринимает другие действенные меры по отношению к пострадавшим от инфляции областям экономики.
Причины возникновения инфляции чрезвычайно многообразны. Часто бывает трудно определить, какая именно причина вызвала инфляцию в каждом конкретном случае, так как они всегда существуют в какой-то комбинации.
Прежде всего, следует назвать неправильную политику центрального эмиссионного банка страны, поскольку диспропорциональность и несбалансированность государственных доходов и расходов, выражающаяся в дефиците государственного бюджета, приводит к росту эмиссии денег в обращение и, следовательно, к росту цен. Без вмешательства центрального банка трудно предотвратить спад производства или остановить снижение курса акций на фондовой бирже. В этих случаях центральный банк, как правило, начинает увеличивать предложение денег. Денежный рынок реагирует понижением их "цены" (ставок банковского процента). Происходит удешевление кредита. Он становится более доступным для предпринимателей, которые направляют деньги на капиталовложения. Центральному банку приходится наращивать объем денежной массы и в том случае, когда у него берет взаймы правительство, покрывающее таким образом дефицит государственного бюджета.
В указанных случаях количество денег, находящихся в обращении, возрастает. Если скорость, с которой расширяется денежная масса, не выходит за рамки условия долгосрочного равновесия денежного рынка, то, вообще говоря, то изменений не происходит.
Но гораздо чаще встречаются случаи, когда государство, решая сиюминутные проблемы, прибегает к экономически необоснованной денежной экспансии. Подключение Центрального банка к любой из них приводит к тому, что утрачивается истинное предназначение денежной политики. Вместо того чтобы оберегать хозяйство от инфляции, Центральный банк, наводняя экономику лишними денежными знаками, только способствует ее ускорению.
Инфляция неизбежна и в том случае, когда расходы государства превышают его доходы. Если уж в бюджете дефицит, то, как его ни финансируй, от инфляции не уйти. Но вот скорость ее нарастания зависит от способа покрытия дефицитных расходов: если государство прибегает к денежной эмиссии, то инфляция будет развиваться очень быстро.
Монетаристская модель распространения инфляции ищет ее причины в излишке образования денежной массы.
Обратимся к уравнению количественной теории денег:
M х V= Р х V.
Темповая запись этого уравнения выглядит следующим образом:
М,% х V,% = Р,% х V,%,
где М - масса денег;
V - скорость обращения денег;
Р х V - показатель дохода нации;
М, % - прирост денежного предложения в %;
V,% - прирост скорости обращения денег в %;
Р,% - прирост цен в %;
V,% - прирост объема производства в %.
Из уравнения количественной теории видно, что для того, чтобы обеспечить такое равновесие, надо, чтобы масса денег увеличивалась в той же мере, что и рост выпуска товаров. В противном случае излишняя денежная эмиссия приведет к избыточному спросу, к росту показателя Р, т.е. к инфляции (монетаристы придерживаются той точки зрения, что скорость обращения денег постоянна). Причинами инфляции становятся:
- милитаризация экономики, ибо рост военных расходов - одна из главных причин хронических дефицитов госбюджета и увеличения государственного долга во многих странах, для покрытия которых выпускаются бумажные деньги. Кроме того, милитаризация экономики истощает ресурсы общества, гражданские отрасли начинают отставать, рост потребительского комплекса замедляется, рост денежной массы происходит без соответствующего товарного покрытия;
- монополизация общества, поскольку монополии, сокращая конкуренцию, ведут к уменьшению предложения, за счет чего устанавливаются и удерживаются монопольно высокие цены. Не желая "испортить" свой рынок снижением цен, монополисты, ограничивая приток новых производителей в отрасль, поддерживают длительное несоответствие спроса и предложения;
- неразумная налоговая политика также служит толчком для роста инфляции. При повышении ставок старых налогов и/или вводе новых налогов происходит либо сокращение предложения из-за нерентабельности производства, что усиливает давление на рынок спроса, либо издержки учитываются при формировании цены выпускаемого товара, причем и первый, и второй варианты приводят к повышению цен;
- рост цен на мировых рынках при так называемой открытости экономики страны и втягивании ее в мировые хозяйственные связи вызывает опасность "импортируемой" инфляции. Так, в 1999 г. решение ОПЕК об ограничении добычи нефти привело к росту цен на импортируемую нефть, а далее, по технологической цепочке, на многие другие товары;
- одной из особых причин инфляции в странах, где доверие общества к государству было не единожды подорвано многочисленными фискальными "обменами денег", "заменами старых купюр на новые", принудительными "облигационными займами" и размещениями государственных, ничем не обеспеченных бумаг, являются адаптивные инфляционные ожидания. Инфляционные ожидания особенно опасны тем, что обеспечивают самоподдерживающийся характер инфляции. Так, население, живущее в условиях постоянного ожидания повышения общего уровня цен, постоянно рассчитывает на дальнейший их рост и делает покупки, не делая сбережений. Население запасается товарами впрок, производители же, опасаясь, что цены на сырье, оборудование и комплектующие поднимутся, и желая обезопасить себя, переносят повышенные издержки на цену продаваемого товара, многократно завышая цену на свою продукцию.
Указанные причины инфляции являются основными, но не единственными. Приводя в пример Россию, можно отметить и дополнительные инфляционные факторы, такие, как: развал СССР, разрушение хозяйственных связей, утяжеленная структура экономики, неразумная политика "связанных кредитов" и сохранение неэффективного производства. Эти причины можно назвать внутренними. К внешним причинам относятся, в частности, сокращение поступлений от внешней торговли, отрицательное сальдо внешнеторгового и платежного балансов. Инфляционный процесс у нас усиливало падение цен на мировом рынке на топливо и цветные металлы, составляющие важную статью нашего экспорта, а также неблагоприятная конъюнктура на зерновом рынке в условиях значительного импорта зерна