7.2.2. Виды коммуникационных сетей (структур)
а) Вертикальные коммуникации должны быть не только нисходящими (в виде прямых приказов и распоряжений), но и восходящими (оповещение, отчеты, служебные записки, заявления и т.д.). Наличие восходящих коммуникаций позволит улучшить разработку целей и задач, повысить производительность труда, в т.ч. управленческого, повысить нематериальную мотивацию персонала, повысить качество продукции (кружки качества) и т.д.
Одной из сторон вертикальных коммуникаций являются взаимоотношения руководителя с исполнителем или с рабочей группой. Здесь имеет значение наличие и особенности межличностных неформальных коммуникаций, доверие, уровень мотивации (в т.ч. нематериальной), полнота информации, стиль управления и т.д.
б) Горизонтальные коммуникации позволяют специализированным элементам работать совместно, продвигая организацию в нужном направлении. Горизонтальные коммуникации носят функциональный (консультативный, рекомендательный, согласующий) характер. Их эффективная организация позволяет улучшить целеполагание организации, повысить скорость принятия оптимальных решений и т.д. Также это позволит сформировать равноправные отношения в организации. Что положительно влияет на уровень заинтересованности персонала в эффективной работе.
в) Также в организации возможны диагональные связи, которые, в большинстве случаев, носят неформальный характер и возникают между участниками одного процесса, не находящихся в формальных отношениях.
Связь между источником и получателем, определенная в виде фиксированных связей, называют коммуникационной сетью. Коммуникационная сеть предполагает наличие разнообразных способов связей между участниками информационного процесса и характеризуются определенным техническим и структурным взаимодействием.
Виды коммуникационных структур:
• открытые, которые характеризуются
– наличием «тупиков» (субъектов, на которых прекращается цепочка коммуникаций, т.к. им не с кем дальше взаимодействовать)
– наличием «посредников» или «контролеров» (в силу своего положения могут препятствовать коммуникациям: останавливать, искажать, изменять направление)
• замкнутые (тупики и контролеры либо отсутствуют, либо могут быть обойдены)
• комбинированные
Коммуникации могут быть одноуровневые (только горизонтальные) и многоуровневые (горизонтальные и вертикальные). Последние обычно имеют центральное звено, служащее исходным пунктом вертикальных коммуникаций.
Способы организации коммуникаций
а) Жесткие образования (бюрократические, формальные)
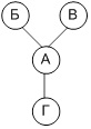
– «Змея» (редко существует самостоятельно, чаще – как элемент; субъект «В» является посредником и контролером субъектов А и Б)

– «Звезда» (нельзя превышать норму управляемости субъекта «А»; легко поддерживать порядок; нет неформальных каналов; годится только для небольших организаций)

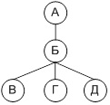
– «Шпора» (для более крупных организаций; субъекту «А» помогает посредник «Б», который может получить значительную неформальную власть над «В», «Г», и «Д»; нельзя превышать норму управляемости А и Б, т.е. использовать в многопрофильных организациях)

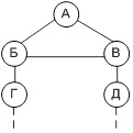
– «Палатка» (для многопрофильных организаций; один уровень горизонтальных каналов)

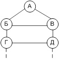
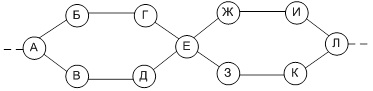
– «Дом» («Палатка» с двумя горизонтальными уровнями; сеть позволяет руководителям сосредоточиться на главном, наделив исполнителей большой самостоятельностью в решении оперативных задач; есть риск ухода из процесса участника, т.к. множество путей сообщений)

б) Гибкие образования (консультативные и совещательные)
В гибких образованиях преобладает неформальное и полуформальное общение. Сети обычно замкнуты, а посредники являются не столько контролерами, сколько связниками во взаимодействии участников.
– «Круг» (стимулирует творческие процессы)

– «Колесо» (как «Круг», только с возможностью координации; «Д» – не руководитель, а неформальный лидер)

– «Соты» (связь творческих групп в крупных организациях; предполагает наличие «соединительного звена»; возможны тупики и связники легко превращаются в контролеров)
