Понятие эластичности и ее виды
Эластичность - мера реакции одной экономической переменной на изменение другой.
В экономической теории рассматривают эластичность спроса и предложения.
Эластичность спроса на товар - это процентное соотношение между изменением в цене или доходе и изменением спроса.
1. Эластичность спроса по цене.
Она показывает, в какой мере потребитель реагирует на изменение цен:

где Е(р) - эластичность спроса по цене;
SQd (%) - процентное изменение спроса;
SP(%) - процентное изменение цены.
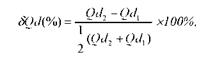
При измерении процентного изменения экономических величин обычный способ вычисления неприменим, т. к. одинаковое количественное изменение в другом направлении дает иное процентное соотношение. Например, если величина спроса на товар составляла 10 000 единиц, а затем уменьшилась на 2500, то произошло изменение спроса на 25%. Однако увеличение спроса на данный товар с 7500 единиц до 10 000 даст 33% увеличение спроса. Поэтому в экономической теории используют более универсальный метод, названный формулой средней точки Аллена. Тогда

где Q2 и Q1 - конечный и начальный спрос;

где Р2 и Р1 - конечная и начальная цена.
Выделяют несколько видов эластичности спроса по цене в зависимости от величины коэффициента эластичности:
E>1 - эластичный спрос (на товары роскоши);
E<1 - неэластичный спрос (на предметы первой необходимости); E=1 - спрос с единичной эластичностью (зависит от индивидуального выбора);
Е=0 - совершенно неэластичный спрос (соль, медикаменты);
Е-» со - совершенно эластичный спрос (в условиях совершенного рынка).
На графике спрос разной степени эластичности можно представить следующим образом:
Схема 20
Эластичность спроса

Нельзя говорить об эластичных или неэластичных кривых спроса, т. к. эластичности действительны для отдельных точек на кривой спроса. На каждой такой кривой спроса, как правило, имеются точки с эластичным и неэластичным спросом. В качестве исключения рассматриваются лишь совершенно эластичные и совершено неэластичные кривые спроса, на которых каждая точка представляет одну и ту же эластичность. 2. Эластичность спроса по доходу.
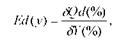
Это числовой параметр, который показывает, какова реакция потребителя на изменения в его доходах при неизменности цен:

где §Y(%) - процентное изменение дохода
Значение эластичности по доходам тесно связано с понятием нормальных товаров и товаров низшего качества. Для нормальных товаров повышение дохода вызывает повышение спроса. Поскольку в этом случае доход и спрос меняются в одном направлении, то эластичность спроса по доходу является положительной. Наоборот, для товаров низшего качества увеличение дохода вызывает уменьшение спроса. Доход и спрос меняются в противоположных направлениях, поэтому в этом случае эластичность спроса по доходу является отрицательной. На отдельные группы товаров (соль, спички) спрос не увеличивается при увеличении дохода, эластичность является нулевой.
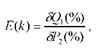
3. Перекрестная эластичность.
Она характеризует чувствительность спроса на один товар при изменении цен на другой:

где Е(к) - перекрестная эластичность;
5Qi(%) - процентное изменение спроса на один товар;
8P2(%) - процентное изменение цены на другой товар.
С помощью коэффициента эластичности можно определить следующие виды перекрестной эластичности:
а) E(k)>0 для товаров-субститутов;
б) E(k)<0 для товаров-комплементов;
в) E(k)=0 для индифферентных (независимых) товаров. Эластичность предложения товара (по цене) - это процентное
соотношение между изменением в цене и изменением предложения:

Одним из определяющих элементов эластичности предложения какого-либо товара или услуги является мобильность факторов его производства и выпуска, то есть легкость, с которой необходимые факторы производства могут быть привлечены из других отраслей. Второй важный фактор - это время. Как и в случае спроса, эластичность предложения по цене имеет тенденцию увеличиваться на долгосрочных временных интервалах. Частично это связано с мобильностью ресурсов, но также зависит и от применяемых технологий, состояния производственной базы и т. д. С течением времени адаптация производителей к рыночным условиям улучшает конъюнктурные возможности соответствия выпуска их продукции возросшему спросу, что приводит к повышению эластичности предложения.
Теория эластичности спроса и предложения имеет важное практическое значение. Эластичность спроса является важным фактором, влияющим на ценовую политику фирмы. Другим примером фактического использования теории эластичности является государственная налоговая политика, а также политика в области занятости