Предприятие в рыночной экономике
В развитой рыночной экономике предприятия разнообразны. Они занимаются производством товаров, их реализацией, оказанием самых разнообразных услуг - финансовых, посреднических, информационных, консультативных, научно-исследовательских. По сферам предпринимательской деятельности они могут быть промышленными, агропромышленными, сельскохозяйственными, строительными, транспортными, телекоммуникационными, торгово-посредническими, венчурными, рекламными, инжиниринговыми, юридическими и т. д. В зависимости от размера выделяют мельчайшие, основанные на личном труде товаропроизводителя; мелкие (численность работников 10-15 человек); средние (численность 50-500 человек); крупные (численностью 500 человек, как правило, акционерные общества).
Многообразие возможных положений отдельных фирм в конкретной экономической ситуации на рынке определяется различной нацеленностью их функционирования. Это может быть желание выжить при неблагоприятной экономической конъюнктуре, минимизация убытков, завоевание нового сегмента рынка или максимизация прибыли и т. д. В самом общем виде модели деятельности фирмы можно представить в виде следующей таблицы.
Таблица 15
Цели деятельности фирмы


Принятие широких долгосрочных мер по реализации цели составляет содержание стратегии (деловой политики) фирмы.
Формирование стратегии обуславливается анализом внешних и внутренних факторов деятельности фирмы (схема 29).
Схема 29

Планирование коммерческой деятельности фирмы входит в системы организации управления и определяется его целью. Располагая факторами производства и соединяя их в различных технологиях, фирма выпускает готовые товары и предлагает их на рынке.Зависимость между любым набором факторов производства и максимально возможным объемом продукции, производимой из этого набора, называется производственной функцией:
где Q - выход продукции,

L, K - различное сочетание факторов производства.
Модификацией производственной функции является изокванта. Изокванта - кривая, геометрическое место точек, соответствующих всем вариантам производственных факторов, использование которых обеспечивает одинаковый объем выпуска продукции (схема 30).
График, на котором представлен набор изоквант, называется картой изоквант.
Схема 30
Изокванта

Специфика анализа деятельности фирмы зависит от периода времени, в течение которого реализуется производственная функция. Краткосрочный период - в течение которого производственные функции остаются фиксированными. Долгосрочный период - отрезок времени, достаточный для внесения изменений во все факторы производства.
Для анализа деятельности фирмы в краткосрочный период используются следующие показатели:
• общий, средний и предельный продукт;
• общие, средние, предельные, постоянные и переменные издержки;
• совокупный, средний и предельный доход.
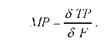
Общий продукт (total product) - это количество экономического блага, произведенное с использованием некоторого количества фактора производства. Разделив общий продукт на израсходованное количество переменного фактора, можно получить средний продукт (average product):
AP=Q:F.Предельный продукт (marginal product) определяется как прирост совокупного продукта, полученный в результате бесконечно малых приращений количества использованного переменного фактора:

С ростом использования какого-либо производственного фактора при прочих равных условиях рано или поздно достигается такая точка, в которой дополнительное применение переменного фактора ведет к снижению сначала относительного, а затем и абсолютного объемов выпуска продукции. В этом заключается закон убывающей предельной производительности. Поэтому при определении размеров предприятия следует учитывать тот факт, что расширение производства целесообразно до тех пор, пока предельный продукт больше или равен среднему продукту.
Издержки производства - затраты на приобретение факторов производства.
Структура издержек производства отражена на схеме 31.
Схема 31

Различие между явными и неявными издержками позволяет определить понятие прибыли в экономической теории (см. схему 32)
.
Издержки производства можно классифицировать не только в зависимости от того, какие ресурсы используются, будь то ресурсы фирмы или внешних владельцев. Возможна классификация в зависимости от влияния на них увеличения масштабов производства (табл. 14).
Таблица 14
Определение постоянных, переменных, общих, средних и предельных издержек производства


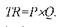
Совокупный доход (total revenue) - это общая выручка, получаемая фирмой от продаж своей продукции:

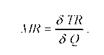
Предельный доход (marginal revenue) - приращение к общей выручке фирмы, вызванное увеличением ее продаж на дополнительную единицу товара:

В каких бы условиях ни действовала фирма, она должна стремиться к максимизации прибыли или минимизации убытков. При решении этих проблем фирме следует руководствоваться следующими правилами:
1. Фирма должна прекратить производство, если TR от продажи любого объема ее продукции не превосходит VC производства данного количества товаров и услуг. Иными словами, чтобы P
2. Чтобы добиться максимальной прибыли, фирма должна производить такой объем продукции, при котором MR=MC.
На рынке совершенной конкуренции ни одна из фирм не влияет на цену своей продукции, a P=MR, поэтому максимизация общей прибыли (Pr=MR-MC) достигается тогда, когда Р=МС. При этом, если Р>МС, то производство можно расширить. Если Р<МС, то производство нужно сокращать (схема 33).

На рынке несовершенной конкуренции, чтобы получить максимальную прибыль, объемы производства и реализации следует увеличивать до тех пор, пока MR>MC, если MR
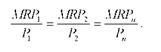
Важную часть издержек производства фирмы составляет плата за факторы производства или ресурсы. Цена на ресурсы в рыночной экономике формируется через взаимодействие спроса и предложения аналогично ценам готовой продукции. Однако рынки ресурсов имеют свои особенности. Так, спрос на ресурсы является вторичным или порожденным, т. к. интересует предпринимателя ни сам по себе, а лишь как средство получения прибыли. Предложение же ресурсов является неэластичным по цене, т. к. не может быть увеличено в краткосрочный период. Важное значение имеет и тот факт, что на рынке ресурсов предприятие выступает как покупатель. Производителями являются собственники ресурсов, поэтому цена ресурса будет являться доходом его владельца: цена природных ресурсов - рента, цена труда - заработная плата, цена производственного капитала, или инвестиционных ресурсов, - процент. Фирма стремится выбрать такое сочетание используемых ресурсов, которое обеспечит ей минимальные издержки. Это возможно, если предельная доходность каждого ресурса (marginal revenue product) пропорциональна его цене:

Ценообразование на рынке ресурсов зависит от множества факторов, основные из которых отражены на схеме 34.
Факторы ценообразования на рынке ресурсов

Кардинальное решение проблемы снижения издержек возможно только в условиях стабильного экономического роста, активной инвестиционной и инновационной деятельности, структурных преобразованиях. В этих процессах не все зависит от предприятия. Огромная роль здесь отводится государству