Корреляционный метод анализа влияния факторов

Стохастические (корреляционные) связи. Стохастические связи проявляются в виде корреляции между значениями. Для их изучения применяются графический метод,  метод сравнения параллельных рядов, метод аналитических группировок и регрессионно-корреляционный анализ.

Регрессионный анализ позволяет выявить вид связи, а корреляционный - установить тесноту (силу) связи.

Для линейных зависимостей теснота связи определяется с помощью коэффициента корреляции, а для нелинейных - с помощью индекса корреляции (корреляционного отношения).

Для расчета коэффициента корреляции используются различные формулы, но все они выводятся из одной и той же формулы.

                                       ,                                        (8.1)

где     и     -  среднеквадратические отклонения  Х  и  У,  рассчитанные по сгруппированным данным:

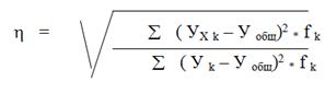
Теоретическое корреляционное отношение рассчитывают по формуле:                      
    (8.4)

где  УХ k    -  выравненные значения результативного признака, то есть рассчитанные по уравнению регрессии при Х = X  к.
Значение  r,n находится в пределах от  -1 до  +1   
Чем ближе значение r к единице, тем теснее связь W факторами х и у. Если эти коэффициенты < 0, это говорит об обратной связи между факторами х и у. Если х и у = 0, то связь между ними отсутствует.

Чтобы определить тесноту связи пользуются таблицей Чэддока.

При   - связь функциональная.

Корреляционное отношение являются более универсальным показателем, его можно рассчитывать и для линейных связей.
Для оценки тесноты связи между качественными показателями (например,  работа по специальности, наличие жилья и т.п.) применяют непараметрические методы оценки корреляционной связи факторов. К непараметрическим методам относятся оценка связи на основе расчета коэффициентов ассоциации и контингенции. Для этого предварительно составляют таблицу, на пересечении строк и столбцов которой находятся числа, равные количеству единиц статистической совокупности с соответствующими значениями  первого и второго признака.

Таблица 1 – Таблица значений качественных признаков

Первый признак

Второй  признак

Первое значение

Второе значение

Итого

Первое значение

а

b

а+b

Второе значение

с

d

c+d

Итого

а+с

b+d

 

По итоговым данным таблицы 1 рассчитывают коэффициент ассоциации либо коэффициент контингенции:
     ,                                  (8.5)

               .                (8.6)

Если эти коэффициенты < 0.3, то связи между признаками нет.

Преимущество первого показателя состоит в том, что он единственный из всех показателей тесноты связи вполне определенно позволяет ответить на вопрос о характере связи между двумя признаками (прямопропорциональна она или обратнопропорциональна).

Зависимость между признаками может быть парной и многофакторной. В последнем случае на один и тот же признак у, оказывает влияние несколько факторных признаков, т.е.  .

Просмотров: 3018

Вернуться в оглавление: Статистика