Прогнозирование на основе нелинейных экстраполирующих функций
Прогнозирование по среднему абсолютному приросту и среднему коэффициенту роста проводится по формулам:
– сглаженный по среднему абсолютному приросту i -й уровень ряда;
– сглаженный по среднему коэффициенту роста i -й уровень ряда;
– средний абсолютный прирост ряда динамики;
– средний коэффициент роста ряда динамики.
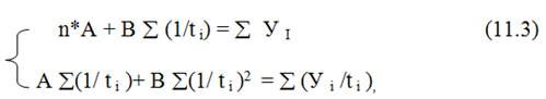
Если теоретическая линия регрессии – гипербола вида У i = А + В / t i, то коэффициенты регрессии А и В определяют из системы уравнений:

где n – число точек исходного ряда динамики.
В качестве аппроксимирующих функций для построения линий тренда зачастую используются:
парабола второго порядка
,
парабола третьего порядка
,
показательная функция
.
Просмотров: 1559
Вернуться в оглавление: Статистика