Количественные показатели агроклиматических ресурсов
МИНИСТЕРСТВО СЕЛЬСКОГО ХОЗЯЙСТВА РФ
САМАРСКАЯ ГОСУДАРСТВЕННАЯ СЕЛЬСКОХОЗЯЙСТВЕННАЯ АКАДЕМИЯ
Кафедра
экологии и безопасности жизнедеятельности
Расчетно-графическая работа
по экологии
Тема: тАЬКоличественные показатели агроклиматических ресурсовтАЭ
Выполнил: студент И-V-8
Кухарь А.А.
Принял: доцент
Иралиева Ю.С.
Кинель 2003 г.
1998 год
Месяц |
IV - апрель |
V - май |
VI - июнь |
VII - июль |
VIII - август |
IX - сентябрь |
||||||||||||
Декады |
1 |
2 |
3 |
1 |
2 |
3 |
1 |
2 |
3 |
1 |
2 |
3 |
1 |
2 |
3 |
1 |
2 |
3 |
Дней в декаде |
10 |
10 |
10 |
10 |
10 |
11 |
10 |
10 |
10 |
10 |
10 |
11 |
10 |
10 |
11 |
10 |
10 |
10 |
Температура воздуха, ВєС |
-2.1 |
0.8 |
6.6 |
14.1 |
13 |
19.7 |
20.6 |
28.5 |
21.4 |
20.8 |
24.4 |
25.6 |
23.9 |
16 |
17.6 |
11.1 |
16.8 |
8.9 |
Средняя многолетняя температура, ВєС |
0.6 |
4.7 |
8.6 |
12 |
14.1 |
15.9 |
17.7 |
18.7 |
19.7 |
20.4 |
20.8 |
20.9 |
20.3 |
19.1 |
17.3 |
14.9 |
12.3 |
9.8 |
Отклонение от ср. мн. темп., ВєС |
-2.7 |
-3.9 |
-2 |
2.1 |
-1.1 |
3.8 |
2.9 |
9.8 |
1.7 |
0.4 |
3.6 |
4.7 |
3.6 |
-3.1 |
0.3 |
-3.8 |
4.5 |
-0.9 |
Осадки, мм |
25.9 |
28 |
0 |
4.1 |
0 |
5.4 |
1.1 |
0 |
7.2 |
36.8 |
5.5 |
0 |
16.2 |
5 |
7.4 |
4.5 |
0 |
11.3 |
Ср. мн. осадки, мм |
9 |
9 |
9 |
10 |
11 |
12 |
13 |
13 |
13 |
15 |
15 |
16 |
15 |
15 |
14 |
14 |
15 |
15 |
Отклонение от ср. мн. осадков, мм |
16.9 |
19 |
-9 |
-5.9 |
-11 |
-6.6 |
-11.9 |
-13 |
-5.8 |
21.8 |
-9.5 |
-16 |
1.2 |
-10 |
-6.6 |
-9.5 |
-15 |
-3.7 |
Ва |
тИСQ |
О· |
g |
Tv |
Kв |
Т:П |
W0 |
Оз. рожь Таловская 15 |
106.3 |
3.5 |
18422 |
13 |
360 |
1:2 |
115 |
Ячмень Волгарь |
82.4 |
2.7 |
18535 |
7.9 |
360 |
1:1.15 |
70 |
Кормовая свекла |
141.3 |
3.5 |
14390 |
15.5 |
110 |
1:0.7 |
90 |

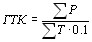
2. Тепловые ресурсы и их использование для оценки продуктивности земли.
Гидротермический коэффициент
, где
тАУ осадки;
тАУ активные температуры.
По величине ГТК судят о засушливости периода любой территории.
Если ГТК:
>1.6 тАУ избыточно влажная зона
1.6тАж1.3 тАУ влажная зона (лесная)
1.3тАж1.0 тАУ зона недостаточного увлажнения (лесостепь)
1.0тАж0.7 тАУ засушливая зона (степь)
0.7тАж0.4 тАУ очень засушливая зона (сухая степь)
<0.4 тАУ полупустыня и пустыня.
![]()
что соответствует очень засушливой зоне (сухая степь).
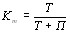
3. Биоклиматический потенциал (БКП)
![]()
тАУ показывает обеспеченность культуры влагой за период вегетации.
![]()
тАУ скрытая теплота испарения.
.
тАУ влагообеспеченность посевов тАУ продуктивная для растений влага, накапливаемая за период роста и развития растений.
![]()
тАУ коэффициент использования осадков. Для нашей зоны
.
тАУ суммарная ФАР, приходящая на посевы за период вегетации,
.
Чтобы перейти от баллов БКП к урожайности сухой биомассы, нужно БКП умножить на коэффициент
, соответствующий определенному уровню использования ФАР. Для зерновых
, для пропашных
.
Урожайность
.
Если
:
>0.33 тАУ избыточно влажные условия
1.33тАж1 тАУ влажные
1тАж0.77 тАУ полувлажные
0.77тАж0.55 тАУ полузасушливые
0.55тАж0.41 тАУ засушливые
0.41тАж0.33 тАУ очень засушливые
0.33тАж0.22 тАУ полусухие
0.22тАж0.12 тАУ сухие
<0.12 тАУ очень сухие.
Если БКП:
<0.8 тАУ очень низкая биологическая продуктивность
0.8тАж1.2 тАУ низкая
1.2тАж1.6 тАУ пониженная
1.6тАж2.2 тАУ средняя
2.2тАж2.8 тАУ повышенная
2.8тАж3.4 тАУ высокая
>3.4 тАУ очень высокая.
Для озимой ржи (Таловская 15):
![]()
![]()
![]()
![]()
![]()
![]()
Для ячменя (Волгарь):
![]()
![]()
![]()
![]()
![]()
![]()
Для кормовой свеклы:
![]()
![]()
![]()
![]()
![]()
![]()
4. Оценка продуктивности земли по биогидротермическому потенциалу (БГТП)
![]()
тАУ период вегетации культуры в декадах.
От баллов БГТП к величине урожайности товарной продукции переходят по формуле
![]()
тАУ доля основной продукции в общей биологической массе.
![]()
тАУ для товарной продукции,
тАУ для побочной продукции.
Для озимой ржи (Таловская 15):
![]()
![]()
![]()
Для ячменя (Волгарь):
![]()
![]()
![]()
Для кормовой свеклы:
![]()
![]()
![]()
5. Оценка продуктивности земли по приходу ФАР (потенциально возможной урожайности)
![]()
тАУ коэффициент ФАР, %
тАУ теплотворная способность биомассы,
.
Для озимой ржи (Таловская 15):
![]()
Для ячменя (Волгарь):
![]()
Для кормовой свеклы:
![]()
6. Расчет продуктивности земли по остаточной влагообеспеченности.
![]()
тАУ биологический коэффициент водопотребности.
Для озимой ржи (Таловская 15):
![]()
Для ячменя (Волгарь):
![]()
Для кормовой свеклы:
![]()
7. Выводы.
2. Год 1998 по ГТК был очень засушливый.
3. Исходя из значений БКП, биологическая продуктивность:
- озимой ржи тАУ очень низкая;
- ячменя тАУ низкая;
- кормовой свеклы тАУ очень низкая.
Урожайность сухой биомассы:
- озимой ржи тАУ 14.23 ц/га;
- ячменя тАУ 18.13 ц/га;
- кормовой свеклы тАУ 69 ц/га.
4. По показателям БГТП и
, урожайность товарной продукции:
- озимой ржи тАУ 15.18 ц/га;
- ячменя тАУ 7.92 ц/га;
- кормовой свеклы тАУ 117.7 ц/га.
5. По приходу ФАР потенциально возможная продуктивность:
- озимой ржи тАУ 67.32 ц/га;
- ячменя тАУ 55.83 ц/га;
- кормовой свеклы тАУ 202.2 ц/га.
6. По естественной влагообеспеченности, продуктивность земли:
- озимой ржи тАУ 44.47 ц/га;
- ячменя тАУ 36.38 ц/га;
- кормовой свеклы тАУ 142.6 ц/га.
Вместе с этим смотрят:
Комнатные растения-целителиКомплексная механизация откормочной фермы КРС на 2000 голов
Комплексная механизация СТФ с разработкой линии вентиляции и отопления
Кукуруза