Билеты по астрономии с ответами
Билеты по астрономии с ответами.
Вопросы.
- Видимое движение светил как следствие их собственного движения в пространстве, вращения Земли и её обращения вокруг Солнца.
- Принципы определения географических координат по астрономическим наблюдениям (П. 4 стр. 16).
- Причины смены фаз Луны, условия наступления и периодичность Солнечных и Лунных затмений (П. 6 пп 1,2).
- Особенности суточного движения Солнца на различных широтах в различное время года (П.4 пп 2, П. 5).
- Принцип работы и назначение телескопа (П. 2).
- Способы определения расстояний до тел Солнечной системы и их размеров (П. 12).
- Возможности спектрального анализа и внеатмосферных наблюдений для изучения природы небесных тел (П. 14, ВлФизикаВ» П. 62).
- Важнейшие направления и задачи исследования и освоения космического пространства.
- Закон Кеплера, его открытие, значение, границы применимости (П. 11).
- Основные характеристики планет Земной группы, планет-гигантов (П. 18, 19).
- Отличительные особенности Луны и спутников планет (П. 17-19).
- Кометы и астероиды. Основные представления о происхождении Солнечной системы (П. 20, 21).
- Солнце как типичная звезда. Основные характеристики (П. 22).
- Важнейшие проявления Солнечной активности. Их связь с географическими явлениями (П. 22 пп 4).
- Способы определения расстояний до звёзд. Единицы расстояний и связь между ними (П. 23).
- Основные физические характеристики звёзд и их взаимосвязь (П. 23 пп 3).
- Физический смысл закона Стефана-Больцмана и его применение для определения физических характеристик звёзд (П. 24 пп 2).
- Переменные и нестационарные звёзды. Их значение для изучения природы звёзд (П. 25).
- Двойные звёзды и их роль в определении физических характеристик звёзд.
- Эволюция звёзд, её этапы и конечные стадии (П. 26).
- Состав, структура и размер нашей Галактики (П. 27 пп 1).
- Звёздные скопления, физическое состояние межзвёздной среды (П. 27 пп 2, П. 28).
- Основные типы галактик и их отличительные особенности (П. 29).
- Основы современных представлений о строении и эволюции Вселенной (П. 30).
Практические задания.
- Задание по звёздной карте.
- Определение географической широты.
- Определение склонения светила по широте и высоте.
- Вычисление размеров светила по параллаксу.
- Условия видимости Луны (Венеры, Марса) по данным школьного астрономического календаря.
- Вычисление период обращения планет на основании 3-го закона Кеплера.
Ответы.
Билет № 1. Земля совершает сложные движения: вращается вокруг своей оси (Т=24 ч.), движется вокруг Солнца (Т=1 год), вращается вместе с Галактикой (Т= 200 тыс. лет). Отсюда видно, что все наблюдения, совершаемые с Земли, отличаются кажущимися траекториями. Планеты делятся на внутренние и внешние (внутренние: Меркурий, Венера; внешние: Марс, Юпитер, Сатурн, Уран, Нептун и Плутон). Все эти планеты обращаются так же, как и Земля вокруг Солнца, но, благодаря движению Земли, можно наблюдать петлеобразное движение планет (календарь стр. 36). Благодаря сложному движению Земли и планет возникают различные конфигурации планет (рисунок).
для внутренних планет
для внешних планет
S - сидерический период (относительно звёзд), Т - синодический период (между фазами), Т⊕ = 1 год.
Кометы и метеоритные тела движутся по эллиптическим, параболическим и гиперболическим траекториям.
Билет № 2. Существует 2 географические координаты: географическая широта и географическая долгота. Астрономия как практическая наука позволяет находить эти координаты (рисунок Влвысота светила в верхней кульминацииВ»). Высота полюса мира над горизонтом равна широте места наблюдения. Можно определить широту места наблюдения по высоте светила в верхней кульминации (Кульминация - момент прохождения светила через меридиан) по формуле:
h = 90° - φ + δ,
где h - высота светила, δ - склонение, φ - широта.
Географическая долгота - это вторая координата, отсчитывается от нулевого Гринвичского меридиана к востоку. Земля разделена на 24 часовых пояса, разница во времени - 1 час. Разница местных времён равна разнице долгот:
λм - λГр = tм - tГр
Местное время - это солнечное время в данном месте Земли. В каждой точке местное время различно, поэтому люди живут по поясному времени, т. е. по времени среднего меридиана данного пояса. Линия изменения даты проходит на востоке (Берингов пролив).
Билет № 3. Луна движется вокруг Земли в ту же сторону, в какую Земля вращается вокруг своей оси. Отображением этого движения, как мы знаем, является видимое перемещение Луны на фоне звёзд навстречу вращению неба. Каждые сутки Луна смещается к востоку относительно звёзд примерно на 13°, а через 27,3 сут возвращается к тем же звёздам, описав на небесной сфере полный круг.
Видимое движение Луны сопровождается непрерывным изменением её вида - сменой фаз. Происходит это оттого, что Луна занимает различные положения относительно освещающего её Солнца и Земли.
Когда Луна видна нам как узкий серп, остальная часть её диска тоже слегка светится. Это явление называется пепельным светом и объясняется тем, что Земля освещает ночную сторону Луны отражённым солнечным светом.
Земля и Луна, освещённые Солнцем, отбрасывают конусы тени и конусы полутени. Когда Луна попадает в тень Земли полностью или частично происходит полное или частное затмение Луны. С Земли оно видно одновременно повсюду, где Луна над горизонтом. Фаза полного затмения Луны продолжается, пока Луна не начнёт выходить из земной тени, и может длиться до 1 ч 40 мин. Солнечные лучи, преломляясь в атмосфере Земли, попадают в конус земной тени. При этом атмосфера сильно поглощает голубые и соседние с ними лучи, а пропускает внутрь конуса преимущественно красные. Вот почему Луна при большой фазе затмения окрашивается в красноватый свет, а не пропадает совсем. Лунные затмения бывают до трёх раз в году и, конечно, только в полнолуние.
Солнечное затмение как полное видно только там, где на Землю падает пятно лунной тени, диаметр пятна не превышает 250 км. Когда Луна перемещается по своей орбите, её тень движется по Земле с запада на восток, вычерчивая последовательно узкую полосу полного затмения. Там, где на Землю падает полутень Луны, наблюдается частное затмение Солнца.
Вследствие небольшого изменения расстояний Земли от Луны и Солнца видимый угловой диаметр бывает то немного больше, то немного меньше солнечного, то равен ему. В первом случае полное затмение Солнца длится до 7 мин 40 с, во втором - Луна вообще не закрывает Солнца целиком, а в третьем - только одно мгновение.
Солнечных затмений в году может быть от 2 до 5, в последнем случае непременно частных.
Билет № 4. В течение года Солнце движется по эклиптике. Эклиптика проходит через 12 зодиакальных созвездий. В течение суток Солнце, как обычная звезда, движется параллельно небесному экватору (-23°27′ ≤ δ ≤ +23°27′). Такое изменение склонения вызвано наклоном земной оси к плоскости орбиты.
21 марта (γ) - день весеннего равноденствия (δ = 0).
22 июня - день летнего солнцестояния (δ = 23°27′).
21 сентября (Ω) - день осеннего равноденствия.
22 декабря - день зимнего солнцестояния.
На широте тропиков Рака (Южный) и Козерога (Северный) Солнце бывает в зените в дни летнего и зимнего солнцестояния.
На Северном полюсе Солнце и звёзды не заходят в период с 21 марта по 22 сентября. 22 сентября начинается полярная ночь.
Билет № 5. Телескопы бывают двух видов: телескоп-рефлектор и телескоп-рефрактор (рисунки).
Помимо оптических телескопов существуют радиотелескопы, которые представляют собой устройства, регистрирующие излучение космоса. Радиотелескоп представляет собой параболическую антенну, диаметром около 100 м. В качестве ложа для антенны употребляют естественные образования, такие как кратеры или склоны гор. Радиоизлучение позволяет исследовать планеты и звёздные системы.
Билет № 6. Горизонтальным параллаксом называют угол, под которым с планеты виден радиус Земли, перпендикулярный лучу зрения.

p″ - параллакс, ρ″ - угловой радиус, R - радиус Земли, r - радиус светила.

Сейчас для определения расстояния до светил используют методы радиолокации: посылают радиосигнал на планету, сигнал отражается и фиксируется приёмной антенной. Зная время прохождения сигнала определяют расстояние
.
Билет № 7. Спектральный анализ является важнейшим средством для исследования вселенной. Спектральный анализ является методом, с помощью которого определяется химический состав небесных тел, их температура, размеры, строение, расстояние до них и скорость их движения. Спектральный анализ проводится с использованием приборов спектрографа и спектроскопа. С помощью спектрального анализа определили химический состав звёзд, комет, галактик и тел солнечной системы, т. к. в спектре каждая линия или их совокупность характерна для какого-нибудь элемента. По интенсивности спектра можно определить температуру звёзд и других тел.
λmaxT = b b - постоянная Вина
По спектру звёзды относят к тому или иному спектральному классу. По спектральной диаграмме можно определить видимую звёздную величину звезды, а далее пользуясь формулами:
M = m + 5 + 5lg p
lg L = 0,4(5 - M)
найти абсолютную звёздную величину, светимость, а значит и размер звезды.
Используя формулу Доплера ![]()
Создание современных космических станций, кораблей многоразового использования, а также запуск космических кораблей к планетам (ВлВегаВ», ВлМарсВ», ВлЛунаВ», ВлВояджерВ», ВлГермесВ») позволили установить на них телескопы, черех которые можно наблюдать эти светила вблизи без атмосферных помех.
Билет № 8. Начало космической эры положено трудами русского учёного К. Э. Циолковского. Он предложил использовать реактивные двигатели для освоения космического пространства. Он впервые предложил идею использования многоступенчатых ракет для запусков космических кораблей. Россия была пионером в этом замысле. Первый искусственный спутник Земли был запущен 4 октября 1957 г., первый облёт Луны с получением фотографий - 1959 г., первый полёт человека в космос - 12 апреля 1961 г. Первый полёт на Луну американцев - 1964 г., запуск космических кораблей и космических станций.
Задачи:
- Научные цели:
- пребывание человека в космосе;
- исследование космического пространства;
- отработка технологий космических полётов;
- Военные цели (защита от ядерного нападения);
- Телекоммуникации (спутниковая связь, осуществляемая с помощью спутников связи);
- Прогнозы погоды, предсказание стихийных бедствий (метео-спутники);
- Производственные цели:
- поиск полезных ископаемых;
- экологический мониторинг.
Билет № 9. Заслуга открытия законов движения планет принадлежит выдающемуся учёному Иоганну Кеплеру.
Первый закон. Каждая планета обращается по эллипсу, в одном из фокусов которого находится Солнце.
Второй закон. (закон площадей). Радиус-вектор планеты за одинаковые промежутки времени описывает равные площади. Из этого закона следует, что скорость планеты при движении её по орбите тем больше, чем ближе она к Солнцу.
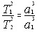
Третий закон. Квадраты звёздных периодов обращения планет относятся как кубы больших полуосей их орбит.
Этот закон позволил установить относительные расстояния планет от Солнца (в единицах большой полуоси земной орбиты), поскольку звёздные периоды планет уже были вычислены. Большую полуось земной орбиты принята за астрономическую единицу (а. е.) расстояний.
Билет № 10. План:
- Перечислить все планеты;
- Подразделение (планеты земной группы: Меркурий, Марс, Венера, Земля, Плутон; и планеты-гиганты: Юпитер, Сатурн, Уран, Нептун);
- Рассказать об особенностях этих планет исходя из табл. 5 (стр. 144);
- Указать основные особенности этих планет.
Билет № 11. План:
- Физические условия на Луне (размер, масса, плотность, температура);
Луна меньше Земли по массе в 81 раз, средняя её плотность 3300 кг/м3, т. е. меньше, чем у Земли. На Луне нет атмосферы, только разреженная пылевая оболочка. Огромные перепады температуры лунной поверхности от дня к ночи объясняются не только отсутствием атмосферы, но и продолжительностью лунного дня и лунной ночи, которая соответствует двум нашим неделям. Температура в подсолнечной точке Луны достигает + 120°С, а в противоположной точке ночного полушария - 170°С.
- Рельеф, моря, кратеры;
- Химические особенности поверхности;
- Наличие тектонической деятельности.
Спутники планет:
- Марс (2 небольших спутника: Фобос и Деймос);
- Юпитер (16 спутников, самые известные 4 галлилеевых спутника: Европа, Каллисто, Ио, Ганимед; на Европе обнаружен океан воды);
- Сатурн (17 спутников, особо известен Титан: имеет атмосферу);
- Уран (16 спутников);
- Нептун (8 спутников);
- Плутон (1 спутник).
Билет № 12. План:
- Кометы (физическая природа, строение, орбиты, типы), наиболе известные кометы:
- комета Галлея (Т = 76 лет; 1910 - 1986 - 2062);
- комета Энка;
- комета Хиякутаки;
- Астероиды (малые планеты). Наиболее известные Церера, Веста, Паллада, Юнона, Икар, Гермес, Аполлон (всего более 1500).
Исследование комет, астероидов, метеорных потоков показало, что все они имеют одинаковую физическую природу и одинаковый химический состав. Определение возраста Солнечной системы говорит о том, что Солнце и планеты имеют примерно один возраст (около 5,5 млрд. лет). По теории возникновения Солнечной системы академика О. Ю. Шмидта Земля и планеты возникли из газо-пылевого облака, которое вследствие закона всемирного тяготения было схвачено Солнцем и вращалось в том же направлении, что и Солнце. Постепенно в этом облаке формировались сгущения, которые дали начало планетам. Свидетельством того, что планеты образовались из таких сгущений является выпадение метеоритов на Землю и на другие планеты. Так в 1975 г. было отмечено падение кометы Вахмана-Штрассмана на Юпитер.
Билет № 13. Солнце - ближайшая к нам звезда, у которой в отличие от всех других звёзд мы можем наблюдать диск и при помощи телескопа изучать на нём мелкие детали. Солнце - типичная звезда, а потому его изучение помогает понять природу звёзд вообще.
Масса Солнца в 333 тыс. раз больше массы Земли, мощность полного излучения Солнца составляет 4 * 1023 кВт, эффективная температура - 6000 К.
Как и все звёзды Солнце - раскалённый газовый шар. В основном оно состоит из водорода с примесью 10% (по числу атомов) гелия, 1-2% массы Солнца приходится на другие более тяжёлые элементы.
На Солнце вещество сильно ионизировано, т. е. атомы потеряли свои внешние электроны и вместе с ними стали свободными частицами ионизированного газа - плазмы.
Средняя плотность солнечного вещества 1400 кг/м3. Однако, это среднее число, и плотность в наружних слоях несоизмеримо меньше, а в центре в 100 раз больше.
Под действием сил гравитационного притяжения, направленных к центру Солнца, в его недрах создаётся огромное давление, которое в центре достигает 2 * 108 Па, при температуре около 15 млн К.
При таких условиях ядра атомов водорода имеют очень высокие скорости и могут сталкиваться друг с другом, несмотря на действие электростатической силы отталкивания. Некоторые столкновения заканчиваются ядерными реакциями, при которых из водорода образуется гелий и выделяется большое количество теплоты.
Поверхность солнца (фотосфера) имеет гранулярную структуру, т. е. состоит из ВлзёрнышекВ» размером в среднем около 1000 км. Грануляция является следствием движения газов, в зоне, расположенной по фотосферой. Временами в отдельных областях фотосферы тёмные промежутки между пятнами увеличиваются, и образуются большие тёмные пятна. Наблюдая солнечные пятна в телескоп Галилей заметил, что они перемещаются по видимому диску Солнца. На этом основании он сделал вывод, что Солнце вращается вокруг своей оси, с периодом 25 сут. на экваторе и 30 сут. вблизи полюсов.
Пятна - непостоянные образования, чаще всего появляются группами. Вокруг пятен иногда видны почти незаметные светлые образования, которые называют факелами. Главной особенностью пятен и факелов является присутствие магнитных полей с индукцией, достигающей 0,4-0,5 Тл.
Билет № 14. Проявление солнечной активности на Земле:
- Солнечные пятна являются активным источником электромагнитного излучения, вызывающего так называемые Влмагнитные буриВ». Эти Влмагнитные буриВ» влияют на теле- и радиосвязь, вызывают мощные полярные сияния.
- Солнце излучает следующие виды излучения: ультрафиолетовое, рентгеновское, инфракрасное и космические лучи (электроны, протоны, нейтроны и тяжёлые частицы адроны). Эти излучения почти целиком задерживаются атмосферой Земли. Вот почему следует сохранять атмосферу Земли в нормальном состоянии. Периодически появляющиеся озоновые дыры пропускают излучение Солнца, которое достигает земной поверхности и пагубно влияет на органическую жизнь на Земле.
- Солнечная активность проявляется через каждые 11 лет. Последний максимум солнечной активности был в 1991 году. Ожидаемый максимум - 2002 год. Максимум солнечной активности означает наибольшее количество пятен, излучения и протуберанцев. Давно установлено, что изменение солнечной активности Солнце влияет на следующие факторы:
- эпидемиологическую обстановку на Земле;
- количество разного рода стихийных бедствий (тайфуны, землетрясения, наводнения и т. д.);
- на количество автомобильных и железнодорожных аварий.
Максимум всего этого приходится на годы активного Солнца. Как установил учёный Чижевский, активное Солнце влияет на самочувствие человека. С тех пор составляются периодические прогнозы самочувствия человека.
Билет № 15. Радиус земли оказывается слишком малым, чтобы служить базисом для измерения параллактического смещения звёзд и расстояния до них. Поэтому пользуются годичным параллаксом вместо горизонтального.
Годичным параллаксом звезды называют угол, под которым со звезды можно было бы видеть большую полуось земной орбиты, если она перпендикулярна лучу зрения.
a - большая полуось земной орбиты,
p - годичный параллакс.
Также используется единица расстояния парсек. Парсек - расстояние, с которого большая полуось земной орбиты, перпендикулярная лучу зрения видна под углом 1″.
1 парсек = 3,26 светового года = 206265 а. е. = 3 * 1011 км.
Измерением годичного параллакса можно надёжно установить расстояние до звёзд, находящихся не далее 100 парсек или 300 св. лет.
Билет № 16. Звёзды классифицируются по следующим параметрам: размеры, цвет, светимость, спектральный класс.
По размерам звёзды делятся на звёзды-карлики, средние звёзды, нормальные звёзды, звёзды гиганты и звёзды-сверхгиганты. Звёзды-карлики - спутник звезды Сириус; средние - Солнце, Капелла (Возничий); нормальные (t = 10 тыс. К) - имеют размеры между Солнцем и Капеллой; звёзды-гиганты - Антарес, Арктур; сверхгиганты - Бетельгейзе, Альдебаран.
По цвету звёзды делятся на красные (Антарес, Бетельгейзе - 3000 К), жёлтые (Солнце, Капелла - 6000 К), белые (Сириус, Денеб, Вега - 10000 К), голубые (Спика - 30000 К).
По светимости звёзды классифицируют следующим образом. Если принять светимость Солнца за 1, то звёзды белые и голубые имеют светимость в 100 и 10 тыс. раз больше светимости Солнца, а красные карлики - в 10 раз меньше светимости Солнца.
По спектру звёзды подразделяют на спектральные классы (см. таблицу).
Условия равновесия: как известно, звёзды являются единственными объектами природы, внутри которых происходят неуправляемые термоядерные реакции синтеза, которые сопровождаются выделением большого количества энергии и определяют температуру звёзд. Большинство звёзд находятся в стационарном состоянии, т. е. не взрываются. Некоторые звёзды взрываются (так называемые новые и сверхновые звёзды). Почему же в основном звёзды находятся в равновесии? Сила ядерных взрывов у стационарных звёзд уравновешивается силой тяготения, вот почему эти звёзды сохраняют равновесие.
Билет № 17. Закон Стефана-Больцмана определяет зависимость между излучением и температурой звёзд.
ε = σТ4 σ - коэффициент, σ = 5,67 * 10-8 Вт/м2к4
ε - энергия излучения единицы поверхности звезды
L - светимость звезды, R - радиус звезды.
С помощью формулы Стефана-Больцмана и закона Вина определяют длину волны, на которую приходится максимум излучения:
λmaxT = b b - постоянная Вина
Можно исходить из обратного, т. е. с помощью светимости и температуры определять размеры звёзд.
Билет № 18. План:
- Цефеиды
- Новые звёзды
- Сверхновые звёзды
Билет № 19. План:
- Визуально двойные, кратные
- Спектрально-двойные
- Затменно-переменные звёзды
Билет № 20. Существуют разные типы звёзд: одиночные, двойные и кратные, стационарные и переменные, звёзды-гиганты и звёзды-карлики, новые и сверхновые. Существуют ли в этом многообразии звёзд, в кажущемся их хаосе закономерности? Такие закономерности, несмотря на разные светимости, температуры и размеры звёзд, существуют.
- Установлено, что с увеличением массы растёт светимость звёзд, причём эта зависимость определяется формулой L = m3,9, кроме того для многих звёзд справедлива закономерность L ≈ R5,2.
- Зависимость L от t° и цвета (диаграмма Влцвет - светимость).
Цвет |
Красные |
Жёлтые |
Белые |
Голубые |
Т |
3000 К |
6000 К |
10000 К |
20-30000 К |
Чем массивнее звезда, тем быстрее выгорает основное топливо - водород, превращаясь в гелий (
). Массивные голубые и белые гиганты выгорают за время 107 лет. Жёлтые звёзды типа Капеллы и Солнца выгорают за 1010 лет (tСолнца = 5 * 109 лет). Белые и голубые звёзды, выгорая, превращаются в красные гиганты. В них происходит синтез 2С + Не → С2He . С выгоранием гелия звезда сжимается и превращается в белого карлика. Белый карлик со временем превращается в очень плотную звезду, которая состоит из одних нейтронов. Уменьшение размеров звезды приводит к её очень быстрому вращению. Эта звезда как бы пульсирует, излучая радиоволны. Их называют пульсарами - конечная стадия звёзд-гигантов. Некоторые звёзды с массой значительно большей массы Солнца сжимаются настолько, что превращаются так называемые Влчёрные дырыВ», которые, благодаря тяготению, не испускают видимого излучения.
Билет № 21. Наша звёздная система - Галактика относится к числу эллиптических галактик. Млечный путь, который мы видим, - это только часть нашей Галактики. В современные телескопы можно увидеть звёзды до 21 звёздной величины. Количество этих звёзд 2 * 109, но это лишь малая часть населения нашей Галактики. Диаметр Галактики составляет примерно 100 тыс. световых лет. Наблюдая Галактику, можно заметить ВлраздвоениеВ», которое вызвано межзвёздной пылью, закрывающей от нас звёзды Галактики.
Население Галактики.
В ядре Галактики много красных гигантов и короткопериодических цефеид. В ветвях дальше от центра много сверхгигантов и классических цефеид. В спиральных ветвях находятся горячие сверхгиганты и классические цефеиды. Наша Галактика вращается вокруг центра Галактики, который находится в созвездии Геркулеса. Солнечная система совершает полный оборот вокруг центра Галактики за 200 млн лет. По вращению Солнечной системы можно определить примерную массу Галактики - 2 * 1011mЗемли . Звёзды принято считать неподвижными, но на самом деле звёзды движутся. Но поскольку мы значительно удалены от них, то это движение можно наблюдать только в течение тысячелетий.
Билет № 22. В нашей Галактике помимо одиночных звёзд существуют звёзды, которые объединяются в скопления. Различают 2 вида звёздных скоплений:
- Рассеянные звёздные скопления, например звёздное скопление Плеяды в созвездиях Тельца и Гиады. Простым глазом в Плеядах видно, 6 звёзд, если же посмотреть в телескоп, то видна россыпь звёзд. Размер рассеянных скоплений - несколько парсек. Рассеянные звёздные скопления состоят из сотен звёзд главной последовательности и сверхгигантов.
- Шаровые звёздные скопления имеют размеры до 100 парсек. Для этих скоплений характерны короткопериодические цефеиды и своеобразная звёздная величина (от -5 до +5 единиц).
Русский астроном В. Я. Струве открыл, что существует межзвёздное поглощение света. Именно межзвёздное поглощение света ослабляет яркость звёзд. Межзвёздная среда заполнена космической пылью, которая образует так называемые туманности, например, тёмные туманности Большие Магеллановы облака, Конская Голова. В созвездии Ориона существует газопылевая туманность, которая светится отражённым светом ближайших звёзд. В созвездии Водолея существует Большая Планетарная туманность, образовавшаяся в результате выброса газа ближайшими звёздами. Воронцов-Вельяминов доказал, что выброс газов звёздами-гигантами достаточен для образования новых звёзд. Газовые туманности образуют слой в Галактике толщиной в 200 парсек. Они состоят из H, He, OH, CO, CO2, NH3. Нейтральный водород излучает длину волны 0,21 м. По распределению этого радиоизлучение определяют распределение водорода в Галактике. Кроме того в Галактике есть источники тормозного (рентгеновского) радиоизлучения (квазары).
Билет № 23. Вильям Гершель в XVII веке нанёс на звёздную карту очень много туманностей. Впоследствии оказалось, что это гигантские галактики, которые находятся за пределами нашей Галактики. С помощью цефеид американский астроном Хаббл доказал, что ближайшая к нам галактика М-31, находится на расстоянии 2 млн световых лет. В созвездии Вероники обнаружено около тысячи таких галактик, удалённых от нас на миллионы световых лет. Хаббл доказал, что в спектрах галактик есть красное смещение. Это смещение тем больше, чем дальше от нас галактика. Иначе говоря, чем дальше галактика, тем её скорость удаления от нас больше.
Vудаления = D * H H - постоянная Хаббла, D - смещение в спектре.
Модель расширяющейся вселенной на основании теории Эйнштейна подтвердил русский учёный Фридман.
Галактики по типу бывают неправильные, эллиптические и спиральные. Эллиптические галактики - в созвездии Тельца, спиральная галактика - наша, туманность Андромеды, неправильная галактика - в Магеллановых облаках. Помимо видимых галактик в звёздных системах существуют так называемые радиогалактики, т. е. мощные источники радиоизлучения. На месте этих радиогалактик нашли небольшие светящиеся объекты, красное смещение которых настолько велико, что они, очевидно, удалены от нас на миллиарды световых лет. Их назвали квазарами, потому что их излучение иногда мощнее, чем излучение целой галактики. Возможно, что квазары - это ядра очень мощных звёздных систем.
Билет № 24. Последний звёздный каталог содержит более 30 тыс. галактик ярче 15 звёздной величины, а при помощи сильного телескопа можно сфотографировать сотни миллионов галактик. Всё это вместе с нашей Галактикой образует так называемую метагалактику. По своим размерам и количеству объектов метагалактика бесконечна, она не имеет ни начала, ни конца. По современным представлениям в каждой галактике происходит вымирание звёзд и целых галактик, равно как и возникновение новых звёзд и галактик. Наука, изучающая нашу Вселенную как единое целое, называется космологией. По теории Хаббла и Фридмана наша вселенная, учитывая общую теорию Эйнштейна, такая Вселенная расширяется примерно 15 млрд лет назад ближайшие галактики были ближе к нам, чем сейчас. В каком-то месте пространства возникают новые звёздные системы и, учитывая формулу Е = mc2, поскольку можно говорить о том, что поскольку массы и энергии эквивалентны, то взаимное превращение их друг в друга представляет собой основу материального мира.
Вместе с этим смотрят:
БируниБредихин Федор Александрович
Бруно Джордано
В поисках системы мира