Планирование труда и заработной платы

Министерство образования РБ

УО Гродненский филиал Институт Современных Знаний

Курсовая работа

по дисциплине тАЬПланирование на предприятиитАЭ

Тема: ВлПланирование труда и заработной платыВ»

Выполнил студент

гуманитарно-экономического факультета IV курса

Слободенюк Д. А.

Научный руководитель:

____________________

Гродно 2002

ВВЕДЕНИЕ        - 3 -

ГЛАВА 1. ПЛАНИРОВАНИЕ ТРУДА.        5

1.1. Кадры тАУ наиболее подвижная часть производительных сил.        5

1.2. Производительность труда        6

1.3. Планирование повышения производительности труда.        7

1.4. Планирование численности работающих в цехе, на участке.        8

ГЛАВА 2. ЗАРАБОТНАЯ ПЛАТА КАК ОСНОВНОЙ МОТИВ ПРОИЗВОДИТЕЛЬНОЙ ДЕЯТЕЛЬНОСТИ.        11

2.1. Основы планирования заработной платы        11

2.2. Факторы, влияющие на выбор формы и системы оплаты труда.        13

2.3. Оплата труда руководителей.        14

2.4. Планирование фонда заработной платы.        16

ГЛАВА 3. ОБРАЗОВАНИЕ ФОНДА ОПЛАТЫ ТРУДА ПОДРАЗ-ДЕЛЕНИЙ ЗАО ВлАКЛОТОПСВ»        20

3.1. Общие сведение.        20

3.2. Структура заработной платы.        21

3.3. Порядок начисления фонда оплаты труда.        23

3.4. Оплата труда работающих по контракту.        25

3.5. Вывод.        26

ЗАКЛЮЧЕНИЕ.        28

СПИСОК ЛИТЕРАТУРЫ:        31

ВВЕДЕНИЕ

Производство каждой страны и каждой отрасли зависит от ряда факторов. Такими факторами являются кадры, труд и оплата труда.

Кадры тАУ ценная и важная часть производительных сил общества. В целом эффективность производства зависит от квалификации рабочих, их расстановки и использования, что влияет на объем и темпы прироста вырабатываемой продукции, использование материально-технических средств. То или иное использование кадров прямым образом связано с изменением показателя производительности труда. Рост этого показателя является важнейшим условием развития производительных сил страны и главным источником роста национального дохода.

На рост производительности труда влияет существующая в каждый момент времени система оплаты труда, так как оплата является стимулирующим фактором для роста квалификации труда, повышения технического уровня выполненной работы.

Рабочая сила, как трактуется в курсе экономики, тАУ это совокупность физических и умственных способностей человека, его способность к труду. В условиях рыночных отношений Влспособность к трудуВ» делает рабочую силу товаром. Но это не обычный товар. Его отличие от других товаров состоит в том, что он, во-первых, создает стоимость больше чем стоит сам, во-вторых, без его привлечения невозможно осуществить любое производство, в-третьих, от него во многом зависит степень (эффективность) использования основных и оборотных производственных фондов.

Так как же заставить рабочую силу работать наиболее эффективно? Ответ на этот вопрос лежит в основе любой кадровой политики. И на первом месте по важности среди факторов, влияющих на эффективность использования рабочей силы, стоит система оплаты труда. Именно заработная плата, а зачастую только она, является той причиной, которая приводит рабочего на его рабочее место. Поэтому значение данной проблемы трудно переоценить.

План по труду и заработной плате (годовой план) предприятия включает планирование показателей производительности труда, расчет численности промышленно-производственного персонала по категориям работающих, планирование фонда заработной платы, расчет средней заработной платы работающих.

При разработке годового плана исходят из необходимости обеспечить заданные темпы роста производительности труда и правильное соотношение между темпом роста производительности труда и темпом роста средней заработной платы в соответствии с пятилетним планом экономического и социального развития, в котором министерствам, объединениям и предприятиям утверждаются с распределением по годам следующие показатели и нормативы по труду и заработной плате:

  • рост производительности труда, исчисляемый по нормативно-чистой продукции или другому показателю;
  • норматив заработной платы на 1р. продукции по показателю, применяемому при планировании производительности труда;
  • лимит численности рабочих и служащих.

Предприятия, исходя из утвержденных им в годовом плане показателей и нормативов по труду и заработной плате, устанавливают плановые показатели по росту производительности труда, фонду заработной платы и численности, работающих на плановые объемы производства цехам и участкам. Далее рассмотрим каждое из вышеперечисленных понятий более подробно.

ГЛАВА 1. ПЛАНИРОВАНИЕ ТРУДА. 1.1. Кадры тАУ наиболее подвижная часть производительных сил.

Состав и структура кадров постоянно меняется в соответствии с изменением техники, технологии, организации производства и управления. Состав кадров характеризуется следующими показателями: образовательный уровень, специальность, профессия, квалификация, стаж работы, возраст, соотношение отдельных категорий работников.

Все рабочие в зависимости от применяемых орудий труда делятся по профессиям и специальностям.

Профессия тАУ это определенный комплекс знаний и практических навыков, которыми должен обладать рабочий для выполнения работы. Внутри профессии выделяются узкие специальности.

Для правильной организации выполнения работ и подготовки кадров существует квалификационное разделение труда.

Оно связано с наличием работ разной сложности, с необходимостью отделения простых малоквалифицированных работ от сложных, выполнение которых требует от рабочего больших знаний и навыков.

Состав работников по категориям, профессиям, специальностям и квалификации постоянно изменяется и совершенствуется. Из года в год увеличивается число работников, вовлекаемых во все виды производственного обучения, однако в связи с техническим прогрессом, с внедрением нового оборудования и приоров, с усложнением технологии потребность в кадрах не уменьшается. Состав специалистов тАУ практиков систематически улучшается в результате переподготовки, повышения теоретического уровня, вовлечения их в систему вечернего и заочного обучения.

При этом если количественные изменения в основном отражают происходящий рост промышленности, то качественные изменения в составе кадров связаны с совершенствованием технической базы и технологии производственных процессов. Так, вначале кадры готовились переквалификацией, затем была организована подготовка в ВУЗах и техникумах. Появлялись новые профессии. В последнее время возникла и постоянно возрастает потребность в специалистах в области автоматики, телемеханики, радиоэлектроники, ЭВТ, физикохимии и др.

1.2. Производительность труда

Производительность труда характеризует эффективность затрат живого конкретного труда, создающего потребительные стоимости и определяется выработкой продукции на одного работающего в единицу времени или рабочим временем, затрачиваемым на производство единицы продукции. Затраты труда на производство продукции состоят из затрат живого труда в производственном процессе, прошлого труда, овеществленного в средствах и предметах труда, используемых при производстве.

Но конечный результат трудовой деятельности коллектива и каждого работника нельзя оценить только выработкой продукции в единицу рабочего времени. При оценке производительности труда важно учитывать экономию труда, овеществленного в сырье, материалах, иначе значение показателя производительности труда резко упадет. С этих позиций рассматривают методы измерения производительности труда тАУ натуральный, трудовой и стоимостной:

  1. По натуральному методу производительность труда исчисляют как отношение количества продукции в натуральном выражении к среднесписочному числу работающих. Но этот метод неприменим в тех случаях, когда работники производят несколько видов продукции и по характеру и организации влияют на расход материальных ресурсов, что как раз характерно для нефтеперерабатывающей и нефтехимической промышленности. Тем не менее этот метод может быть более объективным по сравнению с другими на отдельных участках и установках при выпуске одного вида продукции с высоким уровнем автоматизации производственных процессов.
  2. Трудовой метод измерения производительности труда основан на расчете трудоемкости каждого продукта. Согласно этому методу эффективность труда оценивается сравнением фактических (плановых) затрат с нормативными. Трудоемкость каждого вида продукции при этом рассчитывается как отношение трудовых затрат на производство этой продукции к ее количеству.
  3. В целом для предприятия и отрасли трудовой метод практически неприменим, поскольку не обеспечивает сводимости измерителя и практически отражает производительность только индивидуального труда. Но этот метод имеет ряд преимуществ для внутрипроизводственного планирования. По нему производительность труда определяется отношением объема продукции в стоимостном выражении к среднесписочному числу работающих. Существует несколько разновидностей этого метода в зависимости от того, какой показатель принимают для измерения объема производства в стоимостном выражении. Самый распространенный из них тАУ валовая продукция, но эта разновидность из-за множества недостатков может существенно исказить действительный вклад отдельного трудового коллектива. Главный из недостатков заключается в том, что выработка товарной продукции на одного работника не отражает экономии прошлого труда.

В ряде отраслей народного хозяйства широко применим показатель выработки на одного работающего нормативно чистой продукции. Но как измеритель производительности труда нормативно чистая продукция также не отражает экономии прошлого труда и, в конечном счете, характеризует рост объема работ на одного работника. Этот показатель соразмерен с показателем национального дохода на одного рабочего. Его динамика отражает рост выпуска продукции с учетом экономии всех видов ресурсов, используемых в производстве. Производительность труда по выработке чистой продукции тАУ комплексный измеритель эффективности труда коллектива. Он отражает затраты труда, как живого, так и вложенного в используемые материальные ценности.

Таким образом, выработка чистой продукции на одного работающего тАУ наиболее перспективный измеритель производительности труда.

Труд тАУ целесообразная, полезная деятельность, в результате которой человек создает необходимые средства существования, и повышение эффективности труда является важной задачей в любой общественно тАУ экономической формации. Всего выделено 4 группы факторов, влияющих на производительность труда:

  1. повышение технологического уровня;
  2. совершенствование управления организацией производства и труда; концентрация и специализация производства;
  3. изменение объема и структуры производства; рост объема производства и относительное уменьшение численности ППП;
  4. отраслевые факторы.
1.3. Планирование повышения производительности труда.

Производительность труда в плановом году определяют как в абсолютном выражении, так и в относительном тАУ в виде роста ее в процентах к базисному году.

Для определения роста производительности труда (%) в планируемом году необходимо рассчитать:

  1. численность работающих в плановом году по выработке базисного года ,

где         тАУ объем производства продукции в плановом году;

        тАУ уровень производительности труда в базисном году.

  1. уменьшение (экономию) численности работающих на основе задания по росту производительности труда в плановом году в соответствии с пятилетним планом экономического и социального развития предприятия ,

где         тАУ рост производительности труда в плановом году по пятилетнему плану, %;

  1. уменьшение (экономию) численности работающих за счет внедрения организационно-технических мероприятий в плановом году;
  2. соотношение планируемой экономии численности работающих и экономии численности работающих в соответствии с ростом производительности труда по пятилетнему плану, которое должно быть ;
  3. рост производительности труда в плановом году (%) или ,

где         тАУ производительность труда в плановом году, рассчитываемая по формуле .

1.4. Планирование численности работающих в цехе, на участке.

Различают календарный, номинальный и эффективный (расчетный) годовые фонды времени работы.

Календарный годовой фонд времени тАУ полное количество часов за год .

Номинальный годовой фонд времени работы тАУ это количество часов в году в соответствии с режимом работы (без учета потерь).

Номинальный годовой фонд времени работы рабочих и оборудования при 41- и 36- часовой рабочих неделях в соответствии с нормами технологического проектирования предприятий машиностроения, приборостроения и металлообработки, приведен в таблице 1.

Эффективный (расчетный) годовой фонд времени тАУ это номинальный фонд времени за вычетом неизбежных потерь. Потери рабочего времени на предприятиях машиностроения, приборостроения и металлообработки связаны с ежегодными отпусками, отпусками по учебе, болезни, беременности и родам и прочими неявками, разрешенными законом. В табл. 2, приведен эффективный годовой фонд времени рабочих.

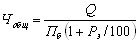
Общая численность работающих цеха на планируемый период ,

где         тАУ объем нормативно-чистой (товарной) продукции на планируемый период;

        тАУ производительность труда по нормативно-чистой продукции или по товарной продукции в оптовых ценах за отчетный период;

               тАУ рост производительности труда согласно производственному заданию, %.

Численность основных рабочих определяют, исходя из трудоемкости производственной программы участку (цеху) и баланса времени одного рабочего.

Численность основных рабочих-сдельщиков основного производства ,

где         тАУ плановый объем производства изделий, шт.;

        тАУ трудоемкость единицы изделия, нормо-ч;

        тАУ плановый коэффициент выполнения норм.

Численность рабочих-повременщиков основного производства определяют, исходя из трудоемкости повременных работ ,

где        тАУ трудоемкость программы производства по временным работам, нормо-ч.

Потребность во вспомогательных рабочих-сдельщиков определяют исходя из трудоемкости работ, среднего процента выполнения норм и баланса рабочего времени, аналогично расчету численности рабочих-сдельщиков основного производства.

Численность вспомогательных рабочих-сдельщиков рассчитывают по рабочим местам и нормам обслуживания согласно типовым нормам ,

где        тАУ объем обслуживания (число станков с учетом сменности работы, единиц сложности ремонта установленного оборудования и т.д.);

        тАУ норма обслуживания.

Расчет потребности цеха, участка в инженерно-технических работниках, служащих и МОП осуществляют на основе штатного расписания предприятия.

ГЛАВА 2. ЗАРАБОТНАЯ ПЛАТА КАК ОСНОВНОЙ МОТИВ ПРОИЗВОДИТЕЛЬНОЙ ДЕЯТЕЛЬНОСТИ.

Сложившаяся за долгие годы система управления экономикой привела к возникновению феномена отчуждения трудящихся от средств производства. Выражается это в том, что доходы трудовых коллективов и отдельных работников практически не зависели и не зависят от эффективности использования ресурсов. В силу этого трудящиеся относятся к ним не по-хозяйски. В этих условиях как никогда остро стоит вопрос, на который экономическая наука и практика не дали до сих пор ответа: каким образом заинтересовать людей, побудить их работать эффективно, экономить живой и овеществленный труд, своевременно и качественно выполнять свои задачи.

2.1. Основы планирования заработной платы

Заработная плата тАУ совокупность вознаграждений в денежной или (и) натуральной форме, полученных работниками за фактически выполненную работу, а также за периоды, включаемые в рабочее время. Поскольку источником выплаты заработной платы является национальный доход, то величина фонда заработной платы трудового коллектива, каждого работника должна быть поставлена в прямую зависимость от достигнутых конечных результатов. Планирование заработной платы должно обеспечить:

  • рост объема производимой продукции (услуг, работ), повышение эффективности производства и его конкурентоспособности;
  • повышение материального благосостояния трудящихся.

Планирование фонда заработной платы включает расчет суммы фонда и средней заработной платы как всех работников предприятия, так и по категориям работающих.

Исходные данные для планирования фонда заработной платы:

  • производственная программа в натуральном и стоимостном выражении и ее трудоемкость;
  • состав и уровень квалификации работников, необходимых для выполнения программы;
  • действующая тарифная система;
  • применяемые формы и системы оплаты труда;
  • нормы и зоны обслуживания, а также законодательные акты по труду, регулирующие заработную плату (род выплат и доплат, учитываемых при оплате труда).

В состав фонда включается основная и дополнительная заработная плата. К основной относится оплата труда за выполненные работы. Она включает сдельную заработную плату, тарифный фонд заработной платы, премии.

К дополнительной заработной плате относятся такие выплаты работникам предприятий, которые производятся не за выполненную работу, а в соответствии с действующим законодательством (доплаты за работу в ночное время, бригадирам, за сокращенный рабочий день подросткам и кормящим матерям, оплата очередных и дополнительных отпусков, выполнение государственных обязанностей, оплату за обучение учеников).

В плановый фонд заработной платы не включаются доплаты за отклонения от нормальных условий труда (плата за сверхурочные работы, простои, брак и т.п.).

В действующей практике используются разнообразные методы формирования фонда оплаты труда как в целом по предприятию, так и по структурным подразделениям. Следует отметить, что наилучшим образом эту задачу может решать нормативный метод формирования фонда оплаты труда. Именно данный метод использует большинство компаний в странах с развитой рыночной экономикой. Однако он может быть действенным лишь при наличии следующих условий: во-первых,  нормативы должны быть стабильные, долговременные, изменяться лишь в случае влияния на объем производства факторов, не связанных с трудовыми условиями коллектива. Во-вторых, нормативы формирования фонда оплаты труда должны быть не индивидуальные, а групповые.

Механизм регулирования расходов на оплату содержит следующие элементы:

  • порядок определения нормируемой величины расходов на оплату труда, включаемых в себестоимость продукции;
  • порядок налогообложения расходов на оплату труда, превышающих нормативную величину.

В странах с развитой рыночной экономикой в качестве важнейшего средства достижения равновесия в области занятости и повышения экономической эффективности производства многие специалисты рекомендуют переходить к гибкой заработной плате. На уровне народного хозяйства под этим понимается изменение заработной платы в зависимости от динамики экономических показателей развития страны в целом (валового национального продукта, производительности труда, инфляции, внешнеторгового баланса), а на уровне предприятия тАУ увязка заработной платы с итогами его хозяйственной деятельности, эффективностью производства, что весьма эффективно реализуется через коллективный договор.

В нем необходимо четко сформулировать принципы, порядок оплаты труда всех категорий работающих, установить прямую зависимость размера оплаты труда от достигнутых конечных результатов.

2.2. Факторы, влияющие на выбор формы и системы оплаты труда.

Для достижения высоких конечных результатов оплату труда руководителей, специалистов, рабочих в условиях рыночной экономики целесообразно строить на следующих принципах.

Во-первых, основным критерием дифференциации заработной платы по предприятиям, работникам должен быть конечный результат их труда. Повышение заработной платы следует производить лишь в меру роста конечных результатов труда коллектива.

Во-вторых, необходимо обеспечивать опережающий рост производительности труда по сравнению с ростом заработной платы, так как это является непременным условием нормального развития производства, производительных сил. Напомним, что одной из главных задач экономического регулирования в Японии является контроль за индексом стоимости рабочей силы.

В-третьих, целесообразно сочетать индивидуальную и коллективную заинтересованность и ответственность в результатах труда.

В-четвертых, механизм оплаты труда должен стимулировать повышение квалификации работников, учитывать условия труда.

В-пятых, системы оплаты труда должны быть простыми, понятными всем работникам.

При выборе системы оплаты труда целесообразно учитывать форму собственности, величину предприятия, его структуру, характер производимой продукции (услуг), а также особенности доминирующих в коллективе ценностей и целей. При этом необходимо прежде всего иметь в виду функциональные обязанности руководителей. Их главная задача заключается в том, чтобы обеспечить неуклонный рост объема производства (услуг) высококачественной продукцией при минимальных затратах ресурсов на основе ускорения научно-технического прогресса, использования передового опыта. В центре внимания руководителей должны быть вопросы социального развития коллектива, условия труда и быта работников.

Кроме того, решая вопросы оплаты труда, нужно иметь в виду следующие четыре фактора:

  1. финансовое положение предприятия;
  2. уровень стоимости жизни;
  3. уровень заработной платы, которую выплачивают конкуренты за такую же работу;
  4. рамки государственного регулирования в этой области.

В практике используются две формы оплаты труда тАУ сдельная и повременная, а также множество систем. Первая основана на определении сдельных расценок с учетом разряда выполняемой работы и тарифной ставки первого разряда. Сдельная заработная плата рабочих основана на оплате труда в прямой зависимости от его результатов, выраженных в произведенной продукции, или выполненных операций.

При повременной форме оплаты труда заработок зависит от разряда рабочего и количества отработанных часов. Применение повременной оплаты труда может стимулировать высокоэффективный труд только при наличии нормируемых заданий, т.е. повременная заработная плата должна выплачиваться при условии выполнения установленного объема работ или выпуска определенного количества продукции с высоким качеством.

В настоящее время чисто сдельная и повременная оплата труда используется крайне редко. Существующие методы оплаты труда основаны на использовании разных систем премирования. При этом показателями премирования, как правило, являются достижения или перевыполнение дневной нормы выработки, обслуживания, совмещение различных видов деятельности, уровень квалификации, а также условия труда.

Системы оплаты труда должны быть в постоянном развитии. Администрации предприятия совместно с профсоюзной организацией целесообразно систематически оценивать эффективность средств на оплату труда.

2.3. Оплата труда руководителей.

В условиях рыночных отношений отдельные предприятия приступили к внедрению новых систем оплаты труда руководителей.

Так, на ряде предприятий строительного комплекса, сельского хозяйства, автотранспорта заработная плата руководителей находится в прямой зависимости от ее среднего уровня у работников предприятий.

В условиях роста цен на предприятиях сельского хозяйства и строительных материалов целесообразно шире использовать натуральные показатели в премировании. Так, на некоторых предприятиях по производству стройматериалов заработная плата руководителей с переходом к рынку поставлена в прямую зависимость от прироста объема продукции в натуральном выражении, ее качества и поставок по договорам, что незамедлительно сказалось на их деятельности.

На некоторых заводах заработная плата руководителей находится в прямой зависимости от уровня материального благосостояния руководимых ими коллективов. Заработная плата генерального директора возрастает на 5 процентов за каждый процент повышения оплаты труда всех работающих, а при понижении тАУ снижается. У директоров комплексов это же соотношение. На уровне подкомплексов соотношение равно 3:1, а на уровне производительного цикла тАУ1,5:1. На отдельных предприятиях отказались от гарантированного вознаграждения своей деятельности. Высшие руководители оплачиваются по доле в доходе, создаваемом трудовым коллективом под их руководством.

В странах с развитой рыночной экономикой вознаграждение высших управляющих включает так называемые пакеты вознаграждений, которые состоят, как правило, из окладов, премий, бонусов, системы участия в прибылях, акционерном капитале, а также всевозможные льготы и привилегии, подчеркивающие высокий статус служащих этого звена управления.

В промышленности США управляющие низового звена (так называемые распорядители работ тАУ мастера, начальники групп и т.д.) в среднем имеют годовой доход в 1,5 раза выше, чем промышленные рабочие, хотя мелкие администраторы могут получать такое же вознаграждение, как рабочий средней квалификации.

Доход управляющих среднего звена, как правило, почти в 2,5 раза выше, чем рабочих, и этот разрыв за последние годы увеличивается частично из-за того, что фирмы устраивают настоящую "охоту" за компетентными и перспективными руководителями и специалистами, привлекая их повышенными окладами. Высшие управляющие обычно получают компенсацию за свой труда в 3-5 а иногда и во многие десятки раз более высокую, чем рядовые лица наемного труда в производстве и управлении.

Материальное стимулирование руководителей связывается в первую очередь с показателями максимизации прибылей более приоритетным, чем валовой объем реализации. Этот показатель как считается до сих пор, отражает конечный результат хозяйственной деятельности руководителей, в соответствии с которым организуется их премирование. На премии приходится довольно существенная часть доходов: у главных руководителей и председателей совета директоров 25-35%, у генерального управляющего отделения с оборотом около 500 млн.долл. 20-25%, у управляющего отделением с оборотом 150 млн.долл. 15%, у руководителя отдела генеральной дирекции 10-15 %, у управляющего заводом, региональной сбытовой конторой, ревизора 7,5 %. Вместе с окладами они составляют довольно солидные суммы.

Премии управляющим могут выплачиваться как наличными, так и в акциях компании, а чаще всего в смешанной форме в различной пропорции. Большая часть доходов менеджеров высшего звена реализуется в форме крупных пакетов акций своей компании. Часто акции, входящие в премию, выдаются не сразу. Это делается для того, чтобы "привязать" управляющего к фирме, поскольку в случае ухода из нее он теряет право на получение оставшейся невыплаченной премии.

На отдельных фирмах, в организациях, способных к самообновлению, вознаграждения используются для поощрения новаций. К их числу все чаще относятся пакеты акций под успешную будущую деятельность или какие-то меры, обеспечивающие получение определенного процента дохода с новой продукции или нового вида бизнеса.

Однако, по мнению отдельных специалистов по управлению, при оценке работы менеджеров недостаточно учитывать итоги хозяйственной деятельности. Так, например, Уолтер Ристон считает, что было бы важно оценить, насколько ключевые менеджеры способны управлять людьми. Поэтому часть оценки управляющих основывается на результатах опроса их подчиненных. От этого зависят, в частности, расчеты их премий.

В условиях перехода к рыночным отношениям для решения задачи повышения эффективности производства, конкурентоспособности выпускаемой продукции основной формой оплаты труда руководителей, специалистов должна быть контрактная система. Поэтому вырастает роль коллективного договора.

2.4. Планирование фонда заработной платы.

При планировании фонда заработной платы (ФЗП) необходимо обязательное соблюдение следующих условий:

  • рост производительности труда должен опережать рост заработной платы;
  • общая сумма заработной платы всех категорий работающих не должна превышать лимита, определяемого по нормативу заработной платы на 1р. продукции, утвержденного для каждого года в пятилетнем плане экономического и социального развития предприятия.

Общий годовой фонд заработной платы всех категорий работающих предприятия, цеха, рассчитанный по нормативу заработной платы на 1р. продукции ,

где         тАУ норматив заработной платы на 1р. нормативно-чистой или товарной продукции предприятия на планируемый год в соответствии с пятилетним планом или цеха, которому норматив утверждается предприятием;

               тАУ плановый объем нормативно-чистой продукции или товарной продукции в неизменных ценах.

Планируемый фонд заработной платы .

В фонд заработной платы включают суммы по тарифным ставкам и окладам, а также все виды доплат за исключением выплат из фонда материального поощрения.

Структура фонда заработной платы рабочих на планируемый период включает: фонд прямой оплаты (тарифный фонд); доплаты, в том числе премии из фонда заработной платы; дополнительная заработная плата.

Данная величина годового фонда заработной платы отражает расходы по заработной плате при планировании себестоимости продукции.

При расчете среднемесячной заработной платы рабочего, которая является основой при установлении соотношения темпов роста производительности труда и темпов роста заработной платы, дополнительно учитывается величина премий из фонда материального поощрения.

Годовой фонд прямой сдельной (тарифной) заработной платы основных рабочих-сдельщиков ,

где                тАУ годовой объем выпуска деталей, шт.;

        тАУ число операций технологического процесса обработки детали;

        тАУ трудоемкость обработки детали на 1-й, 2-й и последующих операциях, ч;

        тАУ часовая тарифная ставка для работ, выполняемых на 1-й, 2-й и последующих операциях, руб.

Таблица 1

Характеристика

производства

Номинальный годовой фонд времени, ч

Примечание

рабочих

оборудования при числе смен

1

2

3

Производство с непрерывным технологическим процессом и условиями работы:

нормальными

вредными

Производство с непрерывным

технологическим процессом и условиями работы:

нормальными

вредными

нормальными

вредными

нормальными

вредными

2070

1830

2070

1830

2070

1830

2070

1830

2070

1830

тАУ

тАУ

тАУ

тАУ

тАУ

тАУ

4140

3660

тАУ

тАУ

тАУ

тАУ

тАУ

тАУ

6210

5490

8760

8760

8570

8570

8570

6490

41-часовая рабочая неделя

36-часовая рабочая неделя

Непрерывная кругло-годичная работа

24ч*365=8760ч

Непрерывная кругло-годичная работа кроме 8 праздничных дней

24ч*357=8570ч

Круглосуточная работа, кроме выходных и праздничных дней

24ч*271=6490ч

Годовой фонд прямой повременной (тарифной) заработной платы основных рабочих-повременщиков ,

где        тАУ эффективный годовой фонд рабочего времени одного рабочего, ч;

       тАУ число рабочих смен в сутки;

       тАУ часовые тарифные ставки 1-го, 2-го и последующих разрядов, руб;

       тАУ явочное число рабочих в одну смену соответственно по разрядам работ, чел.

Таблица 2

Продолжи-

тельность рабочей недели, ч

Продолжи-

тельность основного отпуска, ДНИ

Номинальный годовой фонд времени, ч

Потери времени, % от номинального фонда

Эффективный годовой фонд рабочих, ч

41

15

2070

10

1860

41

18

2070

11

1840

41

24

2070

12

1820

36

24

1830

12

1610

36

36

1830

17

1520

ГЛАВА 3. ОБРАЗОВАНИЕ ФОНДА ОПЛАТЫ ТРУДА ПОДРАЗ-ДЕЛЕНИЙ ЗАО ВлАКЛОТОПСВ» 3.1. Общие сведение.

Порядок образования фонда оплаты труда подразделений ЗАО ВлАклотопсВ» в составе затрат производства за выполнение заданий по объемам производства. реализации продукции, работ, предоставления услуг, по снижению затрат производства и смет затрат устанавливается ВлПоложением об образовании фонда оплаты труда подразделений ЗАО ВлАклотопсВ».

Система позволят регулировать уровень фонда оплаты труда и устанавливает материальную ответственность руководителей, специалистов, служащих и рабочих подразделений ЗАО ВлАклотопсВ» за выполнение хозяйственной деятельности.

Основными показателями для начисления фонда оплаты труда являются:

  • план производства товарной продукции, работ, услуг ЗАО;
  • прибыль по балансу ЗАО;
  • план производства (реализации) товарной продукции, работ, услуг подразделений;
  • затраты (сметы затрат) на производство.

Показатели разрабатываются ПЭО ЗАО и утверждаются заместителем генерального директора по экономике и финансам, показатели могут изменяться ПЭО ЗАО в зависимости от производственной, экономической и финансовой ситуации ЗАО.

Итоги о результатах хозяйственной деятельности заводов и функциональных служб Генеральной дирекции рассматриваются ежемесячно до 20-го числа месяца, следующего за отчетным, на балансовой комиссии.

Каждое из подразделений ЗАО имеет право расходовать свой фонд оплаты не в полном объеме. Неизрасходованную сумму ОТиЗ резервирует для оплаты труда подразделениям в последующие месяцы.

При начислении фонда оплаты труда учитывается выполнение показателей хозяйственной деятельности за месяц и с начала года. При невыполнении (перевыполнении) заданных показателей хозяйственной деятельности фонд оплаты труда подразделения уменьшается (увеличивается) за каждый невыполненный (перевыполненный) показатель.

Соотношение постоянной части к переменной составляет в среднем 30% : 70%.

Формирование и выплаты из фонда оплаты труда производятся ежемесячно за отчетный месяц, по итогам выполнения объема товарной продукции за отчетный месяц и показателей хозяйственной деятельности подразделений ЗАО за месяц, предшествующий отчетному.

При переходе на эту систему за первый месяц показатели хозяйственной деятельности не учитываются.

Выплаты из фонда оплаты труда каждого подразделения регламентируются отдельным положением.

3.2. Структура заработной платы.

В основу образования фонда оплаты труда (ФОТ) заложены:

  • сдельно-премиальная;
  • повременно-премиальная;
  • контрактная.

Фонд оплаты труда ЗАО слагается из двух основных частей:

  • фонд заработной платы (ФЗП) ЗАО;
  • фонд материального поощрения (ФМП) ЗАО.

Фонд заработной платы тАУ постоянная часть составляет 20%-40%от фонда оплаты труда (без контрактантов).

Фонд материального поощрения тАУ переменная часть составляет 60%-80% от фонда оплаты труда (без контрактантов).

В состав фонда заработной платы включаются начисление суммы оплаты труда в денежной и натуральной формах за отработанное и неотработанное время по тарифу (окладу), стимулирующие доплаты и надбавки, компенсационные выплаты, связанные с режимом и условиями труда.

В состав фонда материального поощрения ЗАО включаются начисленные ежемесячные премии за выполнение показателей хозяйственной деятельности. единовременные поощрительные выплаты из Фонда материального поощрения подразделений ЗАО, а также поощрительные выплаты из фонда Генерального директора, фонд директоров Автосборочного и автоагрегатного заводов.

Оплата труда по тарифам, окладу, стимулирующие доплаты и надбавки, компенсационные выплаты, связанные с режимом и условиями труда, выплаты из фонда материального поощрения регламентируются отдельными положениями.

В Фонд заработной платы включается:

Оплата за отработанное время:

  • заработная плата, начисленная работникам по тарифным ставкам и окладам за отработанное время;
  • заработная плата, начисленная работникам за выполненную работу по сдельным расценкам;
  • стоимость продукции, выданной в порядке натуральной платы;
  • стимулирующие доплаты и надбавки к тарифным ставкам и окладам (за профессиональное мастерство, совмещение профессий и должностей и т.п.);
  • компенсационные выплаты, связанные с режимом и условиями труда;
  • доплаты за работу во вредных или опасных условиях и на тяжелых работах;
  • доплаты за работу в ночное время;
  • оплата работы в выходные и праздничные дни;
  • оплата сверхурочной работы;
  • оплата труда квалифицированных рабочих, руководителей, специалистов, освобожденных от основной работы и привлекаемых для подготовки, переподготовки и повышения квалификации работников;
  • оплата услуг работников бухгалтерии за выполнение ими письменных поручений работников по перечислению страховых взносов из заработной платы;
  • выплата разницы в окладах при временном заместительстве;
  • оплата труда лиц, принятых на работу по совместительству;
  • оплата труда работников несписочного состава.

Оплата за неотработанное время:

  • вознаграждение по итогам работы за год. годовые вознаграждения;
  • оплата ежегодных и дополнительных отпусков (без денежной компенсации за неиспользованный отпуск);
  • дополнительные выплаты при предоставлении ежегодного от пуска (сверх нормальных отпускных сумм в соответствии с законодательством);
  • оплата дополнительно предоставленных (сверх предусмотренных законодательством) отпусков работников;
  • оплата льготных часов подростков;
  • оплата учебных отпусков, предоставленных работникам, обучающимся в образовательных учреждениях;
  • оплата на период обучения работников, направленных на профессиональную подготовку, повышение квалификации или обучение вторым профессиям;
  • оплата труда работников, привлекаемых к выполнению государственных или общественных обязанностей;
  • оплата по месту основной работы труда работников, привлекаемых на сельскохозяйственные и другие работы;
  • суммы, выплаченные за непроработанное время работникам, вынужденно работавшим неполное рабочее время по инициативе администрации;
  • оплата работникам-донорам за дни обследования, сдачи крови и отдыха, предоставляемого после каждого дня сдачи крови;
  • оплата простоев не по вине работника;
  • оплата за время вынужденного прогула.

В фонд материального поощрения включаются:

  • ежемесячная премия за выполнение показателей хозяйственной деятельности;
  • премия за качество выпускаемой продукции;
  • оплата из фондов Генерального директора, директоров Автосборочного и Автоагрегатного заводов.
3.3. Порядок начисления фонда оплаты труда.

Ежемесячно 20-го числа ПЭО подготавливает материалы по выполнению показателей хозяйственной деятельности за отчетный месяц и доводит их до руководителей подразделений.

Ежемесячно 20-го числа материалы по выполнению показателей хозяйственной деятельности за отчетный месяц рассматриваются на балансовой комиссии, на основании которых подводятся итоги работы подразделений и утверждаются результаты выполнения показателей подразделений ЗАО в процентном отношении.

Ежемесячно 1-го числа ОТиЗ определяет фонд оплаты труда подразделений ЗАО, учитывая результаты выполнения показателей за месяц, предшествующий отчетному, и фактический объем производства товарной продукции, работ, услуг за отчетный месяц.

Первоначальные величины нормативов образования фондов образуются. исходя из сложившегося на данный момент фактического размера Фонда оплаты труда ЗАО, департаментов, подразделений.

Нормативы определяются для следующих фондов:

  • фонд оплаты труда ЗАО;
  • фонды оплаты труда департаментов, подразделений;
  • фонд Генерального директора;
  • фонды директоров заводов.

Фонд оплаты труда ЗАО ВлАклотопсВ» формируется по нормативу от фактического объема производства товарной продукции, работ, услуг по ЗАО.

Фонд оплаты труда по департаментам и подразделениям, фонды Генерального директора, директоров заводов образуются по нормативу от фонда оплаты труда ЗАО ВлАклотопсВ».

Нормативы являются постоянными величинами и могут меняться в крайних случаях. Нормативы утверждаются Генеральным директором.

Ежемесячно до 1-го числа планируемого месяца ОТиЗ производит расчеты и планирует фонды оплаты труда ЗАО, департаментов, подразделении, исходя из планового объема производства товарной продукции, работ, услуг и нормативов. Плановые фонды оплаты труда служат для планирования затрат по заработной плате в себестоимости товарной продукции.

Ежемесячно 1-го числа ОТиЗ на основании фактического объема производства товарной продукции, работа, услуг за отчетный месяц.

где        тАУ норматив образования фонда оплаты труда ЗАО;

       тАУ фактический объем производства товарной продукции, работ, услуг ЗАО за отчетный месяц.

На основании данных ПЭО по плановым и фактическим показателям хозяйственной деятельности за отчетный месяц ОТиЗ рассчитывает процент увеличения (уменьшения) объемов  производства товарной продукции, работ, услуг, производительности труда (выработка, предоставление услуг на 1-го человека) по ЗАО ВлАклотопсВ».

тАУ % по объемам товарной продукции, работ, услуг;

тАУ % по производительности труда;

,

где        тАУ объем товарной продукции, работ, услуг за отчетный месяц;

       тАУ плановый объем товарной продукции, работ, услуг;

       тАУ производительность труда за отчетный месяц;

       тАУ плановая производительность труда;

       тАУ численность за отчетный месяц.

ФОТ ЗАО увеличивается (уменьшается) на 0,1 % за каждый 1 % прироста (снижения) объема товарной продукции, работ, услуг, производительности труда за отчетный месяц к соответствующим плановым показателям, но не более чем на 5 %.

ОТиЗ производит расчет фондов оплаты труда ЗАО, департаментов и подразделений ЗАО и утверждает у зам. генерального директора по экономике и финансам.

На основании отчета о выполнении показателей хозяйственной деятельности департаментами и подразделениями за месяц, предшествующий отчетному, фонд оплаты труда корректируется, снижая (увеличивая) фонд оплаты труда подразделений ЗАО за отчетный месяц и определяется фонд материального поощрения.

ФОТ подразделений ЗАО за выполнение показателей за месяц и с начала года не может быть снижен (увеличен) более чем на 10%.

3.4. Оплата труда работающих по контракту.

В данное время широко внедряется во всех структурах ЗАО контрактная система оплаты труда. Суть ее в следующем:

В контракте, подписываемом лицом, заключающим контракт и руководителем предприятия оговариваются пункты:

Устанавливается должностной оклад контрактанта в месяц и премия в процентах от прибыли согласно следующей методике.

В зависимости от финансово-хозяйственных результатов работы А/О месячная отплата труда производится в следующих размерах:

В случае отсутствия прибили и объемов реализации продукции выплачиваются 4 минимальные заработные платы установленные законодательством.

В случае отсутствия прибили, но получения объемов реализации выплачивается оклад, оговоренный в предыдущем пункте.

В случае поучения прибили и объемов реализации выплачивается оклад и % от прибыли согласно вышеуказанной пропорции.

Разовые и страховке премии или другие вознаграждения выплачиваются в порядке и размерах определенных другими положениями действующими в А/О.

3.5. Вывод.

Рассмотрев в общих чертах систему оплаты труда на ЗАО ВлАклотопсВ», стоит отметить много хороших сторон и явных преимуществ достигнутых ее организаторами.

Но для более полного удовлетворения личных и общественных потребностей, решения задачи повышения эффективности производства, конкурентоспособности выпускаемой продукции, работников предприятия нужно поставить в такие условия, которые будут побуждать их наращивать высокоэффективную технику, улучшать использование производственных ресурсов. Для этого механизм материального стимулирования целесообразно строить на научно обоснованных критериях оценки деятельности предприятия, структурных подразделений. Речь идет о необходимости использования показателей, отражающих конечный хозяйственный результат труда каждого члена коллектива.

Привлечение трудящихся к управлению производством, развитие коллективных форм организации и оплаты труда обусловливают необходимость повышения объективности его оценки, увязки оплаты труда с достигнутыми конечными результатами. Такая оценка должна учитывать количество вложенного труда, изморенного продолжительностью рабочего времени, а также эффективность производства. Разработать такой механизм оценки труда используемый в качестве мерила трудового вклада каждого работника и подразделений тАУ значит найти ключ к решению глобальной задачи сознательного включения закона экономии времени в мотивационный механизм управления.

В настоящее время в области оплаты труда руководителей предприятия сложилась такая ситуация, для которой характерно полное расхождение ранее провозглашенных принципов с реальной действительностью. Их материальное благосостояние не только не связано с эффективностью производства, общественной полезностью производимой продукции, но даже с объемом произведенной продукции. Поэтому первым шагом к совершенствованию оплаты труда руководителей должно быть изменение в механизме формирования оплаты их труда на предприятии.

ЗАКЛЮЧЕНИЕ.

Итак, подробно проанализировав выполненные расчеты, рассмотрев эти главные составляющие производства тАУ труд, кадры и оплата труда, мы можем сделать следующие выводы:

Кадры, являющиеся наиболее ценной и важной частью производительных сил, подразделяются по группам в зависимости от множества факторов, причем для каждой отрасли промышленности характерен особый состав работников, который постоянно изменяется и совершенствуется по мере технического прогресса и повышения общего культурного уровня населения.

Это приводит к облегчению управления, большей производственной эффективности и повышению качества продукции.

Для правильной же организации работ и подготовки кадров существует квалификационное разделение труда, основанное на дифференциации сложности производственного процесса.

Посредством множества мер, предпринимаемых в отношении улучшения кадров, в нефтегазовой промышленности также произошло много количественных и качественных изменений. Этому способствовал рост производства, насыщение его техникой, повышение уровня автоматизации. Одновременно подготовка ведется в ряде ВУЗов страны, а также других учебных заведений.

Деятельность, труд людей характеризуется показателем производительности труда. Результат трудовой деятельности оценивается выработкой продукции в единицу времени с учетом экономии труда, овеществленного в сырье, материалах.

Существует несколько методов  измерения производительности труда: натуральный, трудовой и стоимостной. При этом стоимостной является наиболее распространенным (в частности, по нефтехимической и нефтеперерабатывающей промышленности), так как этот метод позволяет учесть выпуск продукции как на одного работника, так и отражает эффективность работы целого трудового коллектива.

Повышение эффективности труда является важной задачей в любой общественно тАУ экономической формации. Основными факторами, влияющими на повышение производительности труда, являются повышение технологического уровня, совершенствование управления на производстве, изменение объема и структуры производства, различные отраслевые факторы.

Характерной чертой производства является материальное и моральное поощрение труда. В этом суть оплаты труда, заработной платы, которая должна соответствовать ряду принципов. Так, темпы роста производительности труда должны опережать темпы роста заработной платы; заработная плата должна находиться в полном соответствии с результатами труда; величина заработной платы должна начисляться относительно тарифных ставок и должностных окладов; должны учитываться сложность, значение работы на отдельном предприятии, и т.д.

Для контроля над расходуемым рабочим временем организовывается табельный учет. Для учета объема выполненной работы составляются первичные документы. Разнообразные формы и реквизиты этих документов зависят от технологии и организации производства.

Существует множество видов оплаты труда, такие как простая повременная, повременно-премиальная, индивидуальная сдельщика, прогрессивно-сдельная. Существенные изменения в расчет заработной платы вносит применение коэффициента трудового участия, с помощью которого учитывается вклад каждого работника в результат работы всей бригады.

В общем, учет заработной платы должен способствовать повышению трудовой активности работников, лучшему использованию средств производства и рабочего времени и неуклонному росту производительности труда.

Таким образом, рассмотренные показатели представляют собой неразрывную цепь главнейших элементов производства, и их соотношение и регулирование прямым образом влияет на снижение или рост эффективности работы предприятий любой отрасли.

Для более полного удовлетворения личных и общественных потребностей, решения задачи повышения эффективности производства, конкурентоспо-собности выпускаемой продукции, работников предприятия нужно поставить в такие условия, которые будут побуждать их наращивать высокоэффективную технику, улучшать использование производственных ресурсов. Для этого механизм материального стимулирования целесообразно строить на научно обоснованных критериях оценки деятельности предприятия, структурных подразделений. Речь идет о необходимости использования показателей, отражающих конечный хозяйственный результат труда каждого члена коллектива.

Привлечение трудящихся к управлению производством, развитие коллективных форм организации и оплаты труда обусловливают необходимость повышения объективности его оценки, увязки оплаты труда с достигнутыми конечными результатами. Такая оценка должна учитывать количество вложенного труда, изморенного продолжительностью рабочего времени, а также эффективность производства. Разработать такой механизм оценки труда используемый в качестве мерила трудового вклада каждого работника и подразделений тАУ значит найти ключ к решению глобальной задачи сознательного включения закона экономии времени в мотивационный механизм управления.

СПИСОК ЛИТЕРАТУРЫ:
  1. Грузинов В.П. Экономика предприятия и предпринимательство. -М.: ВлСофитВ», 1994.
  2. Фильев В.И. Нормирование труда на современном предприятии. Методическое пособие. - М.: ЗАО ВлБухгалтерский бюллетеньВ». 1997.
  3. Экономическая теория. Под. Ред. БазылеваН.И., Гурко С.П. Минск, БГЭУ, 1996.
  4. МакДональд М. Стратегическое планирование труда и заработной платы. тАУ СПб.: Питер, 2000.
  5. Голубков Е.П. Основы планирования труда. тАУ М.: Финпресс, 1999

Вместе с этим смотрят:

Порядок и условия применения контрольно-кассовых машин
Права и обязанности главного бухгалтера
Права и обязанности лиц, участвующих в проведении судебно-бухгалтерской экспертизы
Правила проведения инвентаризации и оформление ее результатов