Учет амортизации
МИНИСТЕРСТВО ТРАНСПОРТА РОССИЙСКОЙ ФЕДЕРАЦИИ
ДЕПАРТАМЕНТ ТРАНСПОРТА
ВОЛЖСКАЯ ГОСУДАРСТВЕННАЯ АКАДЕМИЯ ВОДНОГО ТРАНСПОРТА
ЭКОНОМИЧЕСКИЙ ФАКУЛЬТЕТ
КАФЕДРА БУХГАЛТЕРСКОГО УЧЕТА
РЕФЕРАТ
НА ТЕМУ: тАЬУчет износа и амортизации основных фондов.тАЭ
Работу выполнил студент 2курса, группы 21:.
Научный руководитель:
Нижний Новгород
2000
Содержание.
Вступление.....................................................3стр.
- Амортизация для целей бухгалтерского учета.......................4стр.
- Расчет годовой суммы амортизации...............................6стр
- Выбор способа начисления......................................13стр
- Амортизационные отчисления и налогообложение...................16стр
Заключение....................................................24стр
Список литературы..............................................25стр
Приложение................................................... 26стр
Вступление.
Положением по бухгалтерскому учету "Учет основных средств" (ПБУ 6/97), утвержденным приказом МФ РФ от 03.09.97 № 65н (см. - Положение1), по-новому определен ряд понятий в области учета основных средств, организациям предоставлена возможность выбора способа начисления амортизации.
Информация о способах начисления амортизационных отчислений по отдельным объектам основных средств подлежит раскрытию в учетной политике организации, а также в составе бухгалтерской отчетности согласно соответственно п. 8.2 Положения и п. 3.2 Положения по бухгалтерскому учету "Учетная политика предприятия", утвержденного приказом МФ РФ от 28.07.94 № 100.
Амортизационная политика организации, представляющая собой принятие решений относительно выбора способов начисления амортизационных отчислений по группам основных средств, направлена на достижение ряда целей, среди которых можно назвать формирование в бухгалтерском учете адекватного финансового результата и минимизацию налоговых платежей в бюджет.
Для достижения указанных целей в организации принимаются управленческие решения, основой которых являются прогнозы и анализ эффективности вариантов амортизационной политики.
Особый интерес представляет анализ возможностей при выборе способа начисления амортизации для целей бухгалтерского учета, а также налоговых последствий изменения величины амортизационных отчислений, которые рассчитываются по нормам, установленным законодательством .
Амортизация для целей бухгалтерского учета.
Понятие "основные средства" определено в п. 2.1 Положения следующим образом: основные средства,тАФ это часть имущества, используемая в качестве средств труда при производстве продукции, выполнении работ или оказании услуг либо для управленческих нужд организации в течение периода, превышающего 12 месяцев или обычный операционный цикл, если он превышает 12 месяцев.
Не относятся к основным средствам и учитываются организацией в составе средств в обороте предметы:
используемые менее 12 месяцев независимо от их стоимости;
стоимостью на дату приобретения не более стократного установленного законом размера минимальной месячной оплаты труда за единицу независимо от срока их полезного использования;
иные предметы, устанавливаемые организацией исходя из правил положений по бухгалтерскому учету.
В бухгалтерском учете под амортизацией основных средств понимается процедура периодического отнесения их стоимости на затраты. В соответствии с принципами бухгалтерского учета "стоимость производственных мощностей должна постепенно списываться в течение предполагаемого срока их эксплуатации путем распределения на отчетные периоды, в течение которых эти мощности будут иметь производительную способность" (Б. Нидлз, X. Андерсон, Д. Колдуэлл. Принципы бухгалтерского учета.тАФ М.: Финансы и статистика, 1996.тАФ С. 201).
Чтобы рассчитать величину амортизации, подлежащую отнесению на затраты в отчетном периоде, для каждого объекта основных средств необходимо количественно определить:
первоначальную стоимость актива;
амортизируемую стоимость;
срок полезного использования;
способ начисления амортизации.
Порядок определения перечисленных покаВнзателей изложен в п. 2.1 Положения.
Основные средства учитываются по первоВнначальной стоимости, которая определяется в зависимости от способа их приобретения (см. табл.).
Порядок определения первоначальной стоимости объекта основных средств.
Способ приобретения основных средств |
Первоначальная стоимость |
ПБУ 6/97 |
За уплату (за деньги). |
Сумма фактических затрат организации на приобретение, сооружение и изготовление, за исключением налога на добавочную стоимость и иных возмещаемых налогов (кроме случаев, предусмотренных законодательством Российской Федерации). |
п. 3,2 |
Вклад в уставный (складочный) капитал. |
Денежная оценка, согласованная учредителями (участниками) организации, если иное не предусмотрено законодательством Российской Федерации. |
п. 3,3 |
Безвозмездное получение |
Рыночная стоимость на дату оприходования. |
п. 3,4 |
В обмен на другое имущество, отличное от денежных средств. |
Стоимость обмениваемого имущества, по которой оно было отражено в бухгалтерском балансе. |
п. 3,5 |
Изменение первоначальной стоимости основных средств возможно в случаях: достройки, доо-борудования, реконструкции, частичной ликвидации, переоценки.
Согласно п. 3.6 Положения, если иное не установлено законодательством Российской Федерации, организация имеет право переоценивать объекты основных средств не чаще одного раза в год (на начало отчетного периода).
Амортизируемая стоимость актива совпадает с его первоначальной стоимостью.
Срок полезного использования тАФ период, в течение которого использование объекта основных средств призваны приносить организации или служить для выполнения целей деятельности организации (п. 2.1 Положения).
Срок полезного использования объекта определяется организацией самостоятельно, если он не определен в централизованном порядке или в технических условиях его эксплуатации (п. 4.4 Положения). При определении этого показателя экспертным путем учитывается:
ожидаемый срок использования объекта (учитывая ожидаемую производительность или мощность);
ожидаемый физический износ, зависящий от режима эксплуатации, системы ремонтов;
ограничения на использование объекта.
Также могут быть приняты во внимание накопленный опыт работы с аналогичными активами, знание современных тенденций в области технологий и производств, учтены экономические и иные условия хозяйствования.
Возможные способы начисления амортизации перечислены в п. 4.3 Положения. Выбранный способ начисления амортизации по группе однородных объектов основных средств применяется в течение всего срока их полезного использования (п. 4.2 Положения).
В п. 4.1 Положения определены объекты основных средств, амортизация по которым не начисляется:
полученные по договору дарения и безвозмездно в процессе приватизации;
жилищный фонд;
объекты внешнего благоустройства и другие аналогичные объекты лесного хозяйства, дорожного хозяйства;
специализированные сооружения судоходной обстановки и т. п.;
продуктивный скот, буйволы, волы и олени;
многолетние насаждения, не достигшие эксплуатационного возраста;
приобретенные издания (книги, брошюры и т. п.).
Кроме этого, не предусмотрено начисление амортизации по объектам основных средств, потребительские свойства которых в течение времени не меняются.
Расчет годовой суммы амортизации.
Согласно п. 4.3 Положения годовая сумма амортизационных отчислений для целей бухгалтерского учета может быть рассчитана одним из следующих способов:
- линейный способ;
- способ уменьшаемого остатка;
- способ списания стоимости по сумме чисел лет срока полезного использования;
- способ списания стоимости пропорционально объему продукции (работ).
По всем объектам одной группы основных средств можно применять только один из перечисленных способов.
Начисление износа по каждому объекту основных средств начинается с 1-го числа месяца, следующего за месяцем принятия этого объекта к бухгалтерскому учету. Амортизация начисляется до тех пор, пока стоимость этого объекта будет полностью погашена, либо до того момента, когда он будет списан с бухгалтерского учета.
Приостанавливать начисление амортизации в течение срока полезного использования объекта основных средств нельзя. Исключение составляют случаи, когда по решению руководителя организации объект реконструируется (или модернизируется) в течение более чем 12 месяцев или консервируется на срок более 3 месяцев.
В соответствии с пунктом 4.4 ПБУ 6/97 срок полезного использования объекта основных средств организация должна определить при принятии этого объекта к бухгалтерскому учету.
Сделать это можно по Единым нормам амортизационных отчислений на полное восстановление основных фондов народного хозяйства СССР (утверждены постановлением Совмина СССР от 22 октября 1990 г. № 1072; далее - Единые нормы, см. Приложение2). Для этого в Единых нормах необходимо найти вид основного средства, такой же, как принимаемый на учет вашим предприятием или аналогичный ему. Если срок, указанный в Единых нормах для (аналогичного вашему) объекта основных средств, соответствует сроку, определенному для вашего объекта техническими условиями изготовителя, то это идеальный случай. Если не соответствует, то ПБУ 6/97 предоставляет предприятию право самостоятельно решить, откуда использовать срок полезного использования объекта - из Единых норм, либо из технических условий, либо из актов федеральных министерств и ведомств.
В случае же, когда срок полезного использования объекта основных средств невозможно определить ни по Единым нормам, ни по техническим условиям, ни по актам федеральных ведомств, то предприятие устанавливает срок самостоятельно. При этом бухгалтер должен учесть следующие факторы: предВнполагаемый срок использования этого объекта в соответствии с расчетной производительностью; предполагаемый физический износ; временные ограничения использования этого объекта (например, срок аренды).
Подобный порядок определения срока полезного использования, согласно пункту 55 Методических указаний, распространяется и на объекты основных средств, ранее использовавшиеся другими организациями (как принято сейчас говорить, Влб/уВ»).
Линейный способ.
При использовании линейного способа годовая сумма амортизации объекта основных средств определяется, исходя из первоначальной стоимости объекта и нормы амортизации, рассчитанной на основе срока полезного использования этого объекта:

где т тАФ номер года от начала срока использования объекВнта основных средств (
);
тАФ годовая сумма аморВнтизационных отчислений; ТтАФ срок полезного испоВнльзования объекта (в целых годах);
тАФ первоначаВнльная стоимость объекта основных средств.
Начисление амортизации таким способом предполагает равномерность перенесения стоиВнмости актива на затраты в течение срока полезВнного использования.
Пример 1
Цифры примера условные.
В июне 1999 года предприятие приняло к учету (как объект основных средств) плазменную установку для газо-термического напыления покрытий. Первоначальная стоимость установки с учетом всех фактических затрат составила 240 000 руб. (без НДС). В учете была сделана проводка:
Дт 01 Кт 08 - 240 000 руб. - принята к учету плазменная установка.
Для подобных установок норма амортизационных отчислений тАФ 20% в год (по Единым нормам). Или, иначе, стоимость такого оборудования полностью погашается за 5 лет (при линейном способе).
Предположим, что учетная политика предприятия предусматривает для подобного оборудования использование линейного способа начисления амортизации. С июля бухгалтерия начала начислять амортизацию. При этом ежемесячно делалась следующая проводка:
Дт 26 Кт 02 - 4000 руб. (240 000 руб. х 20% : 12 мес.) - начислена амортизация установки за месяц.
В данном случае корректировки для целей налогообложения прибыли не требуется, поскольку предприятие выбрало линейный способ и Единые нормы.
Способ уменьшаемого остатка.
При этом способе годовая сумма амортизационных отчислений определяется, исходя не из первоначальной стоимости, как при линейном способе, а из остаточной стоимости основного средства на начало соответствующего года:
,
где
тАФ величина накопленной амортизации на начало т-го года.
Причем норма амортизации при данном способе может быть увеличена на коэффициент ускорения (п. 58 Методических указаний), устанавливаемый федеральными министерствами и ведомствами в перечнях эффективных видов машин и оборудования для высокотехнологичных отраслей. То есть, при применении этого способа начисления амортизации часть первоначальной стоимости актива останется недоамортизированной по истечении срока его полезного использования. В некоторых странах разрешается при применении указанного способа ускорять амортизацию путем применения коэффициента равного двум. при этом актив амортизируется полностью.
Заметим: в отличие от линейного способа способ уменьшаемого остатка приводит к тому, что годовая сумма амортизации уменьшается с каждым следующим годом использования основного средства, поэтому применение этого способа без коэффициента ускорения нецелесообразно.
Пример 2
Используем данные примера 1, но предположим, что предприятие использует способ уменьшаемого остатка и коэффициент ускорения 1,5. Таким образом, годовая норма амортизации на предприятии составит 30% .
Тогда годовая сумма амортизации за первый год составит: 240 000 руб. х 30% = 72 000 руб. Соответственно с июля 1999 года по июнь 2000 года ежемесячные начисления амортизации будут отражаться в учете так:
Дт 26 Кт 02 - 6000 руб. (72 000 руб. : 12 мес.) - начислена амортизация за месяц.
Поскольку учет амортизации, начисленной по Единым нормам, бухгалтерия предприятия ведет на забалансовом счете 020 ВлАмортизация основных средств по Единым нормамВ», то одновременно с приведенной делалась следующая проводка:
Кт 020 - 4000 руб. (240 000 руб. х 20% : 12 мес.) - начислена амортизация за месяц по Единым нормам на забалансовом счете.
За III квартал 1999 года кредитовый оборот счета 02 составил 18 000 руб. (6000руб. х Змее.), а счета 020-12 000 руб. (4000 руб. х 3 мес.). По итогам отчетного квартала предприятие увеличило налогооблагаемую прибыль на сумму 6000 руб. (18 000 - 12 000). Это увеличение было отражено по строке 4.23 Справки к расчету налога на прибыль.
Для второго года эксплуатации оборудования расчет амортизации будет следующий. Остаточная стоимость оборудования на начало июля 2000 года составит 168 000 руб. (240 000 - 72 000). Годовая сумма амортизации:
168 000 руб. х 30% = 50 400 руб.
В третий год остаточная стоимость на начало июля 2001 года составит 117 600 руб. (168 000 - 50 400). Годовая сумма амортизации: 117 600 руб. х 30% = 35 280 руб.
В четвертый год остаточная стоимость на начало июля 2002 года составит 82 320 руб. (117 600 - 35 280). Годовая сумма амортизации: 82 320 руб. х 30% = 24 696 руб.
В пятый год остаточная стоимость на начало июля 2003 года составит 57 624 руб. (82 320 - 24 696). Годовая сумма амортизации: 57 624 руб. х 30% = 17287руб.
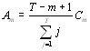
Способ списания стоимости по сумме чисел лет срока полезного использования.
При этом способе амортизация насчитывается, исходя из первоначальной стоимости объекта основных средств и годового соотношения, где в числителе - число лет, остающихся до конца срока службы объекта, а в знаменателе тАФ сумма чисел лет срока службы объекта:
,
где
тАФ сумма чисел лет срока службы объекта.
При использовании этого способа, как и при линейном способе, за основу берется первоначальная стоимость объекта. Однако норма амортизационных отчислений меняется с каждым годом полезного использования основного средства. Наибольшая величина амортизации начисляется в первые годы использования объекта основных средств с постепенным уменьшением к концу срока.
Этот метод начисления амортизации является ускоренным, т. е. в начале срока полезного использования основного средства амортизация начисляется в больших суммах, нежели в конце этого срока.
Пример 3
Используем данные примера 1, но предположим, что предприятие использует способ списания стоимости по сумме чисел лет срока полезного использования. Сумма чисел лет полезного использования составляет: 5+4+3+2+1= 15.
Начисление амортизации будет производиться по следующей схеме. В первый год число полных лет до конца срока полезного использования закупленного оборудования будет равно 5, поэтому годовая сумма амортизации составит:240 000 руб. х 5 : 15 = 80 000 руб.
Следовательно, в первый год (с июля 1999 года по июнь 2000 года) амортизация будет начисляться следующей проводкой:
Дт 26 Кт 02 - 6666,67 руб. (80 000 руб. : 12 мес.) - начислена амортизация за месяц.
Предположим, что учет амортизации, начисленной по Единым нормам, бухгалтерия предприятия ведет на забалансовом счете 020 ВлАмортизация основных средств по Единым нормамВ» (как в примере 2).
За III квартал 1999 года сумма начисленной амортизации составила 20 000 руб. (6666,67руб. х 3 мес.), а кредитовый оборот счета 020-12 000руб. (4000руб. х х 3 мес.). Следовательно, в строку 4.23 Справки к расчету налога на прибыль была внесена корректировка 8000 руб. (20 000 - 12 000).
Во второй год число полных лет до конца срока полезного использования заВнкупленного оборудования будет равно уже 4, поэтому годовая сумма амортизаВнции составит: 240 000 руб. х 4 : 15 = 64 000 руб.
Соответственно, в третий год будет начислена сумма амортизации: 240 000 руб. х х 3/15 = 48 000 руб. В четвертый год - 240 000 руб. х 2 : 15 - 32 000 руб. Наконец, в пятый год тАФ 240 000 руб. х 1 : 15 = 16 000 руб.
Способ списания стоимости пропорционально объему
продукции (работ).
При способе списания стоимости пропорционально объему продукции (работ) сумма амортизационных отчислений за отчетный период определяется , исходя из натурального показателя объема продукции (работ) в отчетном периоде и соотношения первоначальной стоимости объекта основных средств и предполагаемого объема продукции (работ) за весь срок полезного использования объекта основных средств:
,
где
тАФ натуральный показатель объема продукции (работ) в отчетном периоде,
тАФ предполагаемый объем продукции (работ) за весь срок использования объекта основных средств. Имеется в виду только та продукция, которая получена с использован ем данного конкретного объекта основных средств.
По сравнению с предыдущими этот способ не предполагает расчета годовой суммы амортизации. Размер начисляемой амортизации определяется за каждый месяц отдельно исходя из фактического объема произведенной продукции.
При начислении амортизации способом списания стоимости пропорционально объему продукции ее величина линейно зависит от выпуска продукции. Фактический выпуск может оказаться больше, нежели предполагаемый объем продукции за весь срок использования объекта. Однако стоимость объекта основных средств может быть списана на себестоимость только один раз (переамортизация не допускается). Согласно п. 4.7 Положения амортизационные отчисления по объекту основных средств прекращаются с первого числа месяца, следующего за месяцем полного погашения стоимости этого объекта.
Оценить величину предполагаемого выпуска за срок полезного использования объекта зачастую сложнее, чем срок полезного использования в годах. Применение этого способа возможно, если в течение всего срока службы выпускается однородная продукция. Для расчета амортизационных отчислений потребуется организация аналитического учета выпуска продукции по объектам основных средств.
При использовании любого из четырех перечисленных способов начисления амортизации ее годовая сумма списывается на себестоимость ежемесячно равными долями (п. 4.8 Положения).
Пример 4
Цифры примера условные.
Используем данные примера 1. Предположим, что, согласно учетной политике предприятия, амортизация плазменных установок начисляется по способу списания стоимости пропорционально объему продукции. Основываясь на технических условиях для данной установки и долговременном бизнес-плане, руководство предприятия оценило предполагаемый объем продукции (которая может быть получена на данной установке) в 1200 т. Следовательно, расчетный коэффициент для исчисления амортизации указанным способом составит: 240 000 руб. : 1200 т = 200 руб./т.
За первый месяц использования прибора (за июль 1999 г.) было произведено 20 т готового продукта, за второй - 30, за третий - 25 т. Соответственно проводки по начислению амортизации были сделаны следующие:
Дт 26 Кт 02 - 4000 руб. (20 т х 200 руб./т) тАФ начислена амортизация установки за июль;
Дт 26 Кт 02 - 6000 руб. (30 т х 200 руб./т) - начислена амортизация установки за август;
Дт 26 Кт 02 - 5000 руб. (25 т х 200 руб./т) - начислена амортизация установки за сентябрь.
Предположим, что, подобно тому, как показано в примерах 2 и 3, бухгалтерия предприятия ведет учет амортизации, начисленной по Единым нормам, на забалансовом счете 020. Поэтому ежемесячно делалась следующая забалансовая проводка:
Кт 020 - 4000 руб. тАФ начислена амортизация по Единым нормам на забалансовом счете за месяц.
За III квартал 1999 года кредитовый оборот счета 02 составил 15 000 руб., а счета 020 тАФ 12 000 руб. По итогам отчетного квартала предприятие увеличило налогооблагаемую прибыль на сумму 3000 руб. (15 000 - 12 000). Это увеличение было отражено по строке 4.23 Справки к расчету налога на прибыль.
Выбор способа начисления амортизации.
Выбор способа начисления амортизации по группе объектов основных средств зависит от степени их соответствия целям формирования финансовых результатов и составления финансовой отчетности организации.
На Западе широко применяется принцип соответствия доходов и затрат. Например, если доходы, полученные в результате применения основного средства, остаются нисшянными В течение срока его полезного использования, то применяется линейный способ начисления амортизации. Когда же такие доходы больше (меньше) в начале срока полезного использования, применяют один из ускоренных (замедленных) способов начисления амортизации.
Многие виды основных средств приносят большие доходы в начале срока полезного использования. Это объясняется тем, что в первые годы эксплуатации производительность наиболее высока, а в конце срока полезного использования, как правило, увеличиваются расходы на ремонт. Поэтому широкое распространение получили способы ускоренного начисления амортизации.
Если будущая динамика дохода имеет достаточно устойчивую связь с фактической величиной выпуска продукции в течение срока полезного использования основного средства, наиболее точного соответствия между доходами и расходами можно достигнуть, применяя способ начисления амортизации пропорционально выпуску продукции. В этом случае возможно начисление небольших сумм амортизации в периоды низкого и увеличивать в периоды большого объема выпуска продукции.
В случаях, когда не представляется возможным предсказать с достаточной степенью надежности динамику будущих доходов, метод начисления амортизации может быть выбран исходя из простоты расчетов, что способствует снижению затрат на ведение учета.
Величина амортизации, отраженная на счетах бухгалтерского учета, не всегда совпадает с суммами амортизации, принимаемыми в целях налогообложения. Для этих целей величина амортизации может быть установлена как верхний предел годовой ставки (в процентах) или путем установления нормативных сроков службы по отдельным группам объектов основных средств. Соответственно способ расчета годовой суммы амортизационных отчислений для целей налогообложения отличается от способа, применяемого для целей бухгалтерского учета.
Например, в США многие компании применяют один из ускоренных методов начисления амортизации для целей налогообложения, однако используют линейный метод для целей бухгалтерского учета. Такая практика преследует две цели - снижение налоговых обязательств и достижение большей прибыли в финансовой отчетности.
Если основное средство приносит приблизительно одинаковый доход в течение всего срока его использования, лучше применять линейный способ.
Если у основных средств наибольшая производительность в начале срока полезного использования, а в конце существенно увеличиваются расходы на их текущий ремонт, целесообразно использовать способ списания стоимости по сумме чисел лет полезного использования. Кроме того, в этом случае хороню оправдывает себя и способ уменьшаемого остатка с применением повышающего коэффициента (если только нормативные акты разрешают применение такого коэффициента).
Когда доходы предприятия сильно зависят от объема продукции, выпускаемой на конкретном оборудовании, наилучший результат достигается при использовании способа начисления амортизации пропорционально объему продукции (работ), так как в этом случае суммы износа напрямую связаны с динамикой производства. Такой способ удобен еще и тем, что при реальном простое оборудования позволяет законным путем не начислять амортизацию.
Если же организация не имеет возможности предсказать будущее соотношение доходов и амортизации или если основные средства не играют существенной роли в ее деятельности, для упрощения расчетов целесообразно применять наиболее простой линейный способ с использованием Единых норм.
Амортизация начисляется независимо от результатов хозяйственной деятельности организации в отчетном периоде (п. 48 Положения по ведению бухгалтерского учета и бухгалтерской отчетности в Российской Федерации).
Следует отметить, что линейным способом часто пользуются крупные многопрофильные корпорации, так как при большом объеме различных основных фондов вклад амортизации каждого объекта незначителен. Кроме того, при использовании усредненных норм начисления амортизации существенно упрощается работа бухгалтерии таких предприятий.
При выборе способа начисления амортизации можно использовать принцип соответствия доходов и расходов, чрезвычайно распространенный в западной практике бухгалтерского учета. Если исходить из этого принципа, то наибольшая величина начисленной амортизации должна приходиться на период, когда доход от использования объекта основных средств максимален.
Однако в российском бухгалтерском учете пока отсутствует такое понятие, как ликвидационная стоимость основных средств. Это затрудняет применение способа уменьшаемого остатка, который на самом деле приводит к ликвидационной стоимости. Постараемся пояснить это, собрав в одну таблицу данные примеров 1, 2 и 3. Рассмотрим динамику годовых отчислений в каждом случае. Напомним, что первоначальная стоимость объекта основных средств - 240 000 руб., а коэффициент ускорения для способа уменьшаемого остатка равен 1,5.
(руб.)
Линейный способ |
Способ уменьшаемого остатка |
Способ по сумме чисел лет |
||||||
Год |
Сумма амортизации |
Остаточ ная стои мость |
Сумма амортизации |
Остаточная стоимость |
Увеличение налогооблагаемой прибыли на |
Сумма амортизации |
Остаточ ная стоимость |
Увеличение налогооблагаемой прибыли на |
1 |
2 |
3 |
4 |
5 |
6 |
7 |
8 |
9 |
1 |
48000 |
192000 |
72000 |
168000 |
24000 |
80000 |
160 000 |
32000 |
2 |
48000 |
144 000 |
50400 |
117600 |
2400 |
64000 |
96000 |
16000 |
3 |
48000 |
96000 |
35280 |
82320 |
0 |
48000 |
48000 |
0 |
4 |
48000 |
48000 |
24696 |
57624 |
0 |
32000 |
16000 |
0 |
5 |
48000 |
0 |
17287 |
40337 |
0 |
16000 |
0 |
0 |
Как видно из таблицы, быстрее всего стоимость основных средств погашается при применении способа по сумме чисел лет полезного использования. Однако применение этого способа ведет к наибольшему увеличению налогооблагаемой прибыли за счет корректировки (столбец 9 таблицы).
При применении же способа уменьшаемого остатка в конце срока использования объекта основных средств всегда остается недоамортизированная часть. В зависимости от размера коэффициента ускорения эта часть может быть меньше или больше, но она будет всегда.
Поскольку понятие ликвидационной стоимости в российском учете отсутствует, непонятно, что же делать в конце срока: продолжать бесконечно начислять амортизацию или нет. Согласно пункту 4.6 ПБУ 6/97, амортизация начисляется до полного погашения стоимости объекта.
Пока этот вопрос не будет решен Минфином России, примеВннение способа уменьшаемого остатка затруднительно.
Применение способа начисления амортизации пропорционально объему продукции (работ) обоснованно только тогда, когда действительно можно оценить объем выпуска продукции за все время эксплуатации объекта. При всех достоинствах данного способа он имеет один существенный недостаток, который проявляется при сильной неравномерности производства. В отчетные периоды, когда объемы производства будут наибольшими, предприятию придется переплачивать значительную сумму налога на прибыль.
Амортизационные отчисления и налогообложение.
Корректировка амортизационных отчислений
для целей налогообложения
Из-за того, что после принятия новых положений по бухгалтерскому учету не были внесены соответствующие изменеВнния в налоговое законодательство, расчет амортизации для целей налогообложения остался прежним.
В соответствии с подпунктом ВлхВ» пункта 2 Положения о составе затрат амортизационные отчисления на полное восстановление основных производственных фондов включаются в себестоимость продукции по нормам, утвержденным в установленном порядке, то есть по Единым нормам.
Таким образом, для целей налогообложения амортизация начисляется линейным способом по Единым нормам. Если предприятие использует иной способ начисления амортизации или иные нормы, то может возникнуть превышение суммы начисленной амортизации над суммой амортизации по Единым нормам. Единые нормы почти для всех машин и оборудования были установлены для двухсменного режима работы и подлежат корректировке с учетом фактического коэффициента сменности.
Сумма превышения отражается налогоплательщиками по строке 4.23 Справки о порядке определения данных, отражаемых по строке 1 ВлРасчета налога от фактической прибылиВ» (приложение № 11 к Инструкции Госналогслужбы России от 10 августа 1995 г. № 37 в редакции от 6 июля 1999 г.; далее -Справка к расчету налога на прибыль).
Чтобы облегчить составление налогового расчета, бухгалтерия предприятия может одновременно с начислением амортизации по балансовым счетам производить за балансом ежемесячный учет амортизационных отчислений, рассчитанных для каждого объекта основных средств по Единым нормам. Для этого можно открыть забалансовый счет (например, счет 020 ВлАмортизация основных средств по Единым нормамВ»). Тогда сумма превышения, отражаемая по строке 4.23 Справки к расчету налога на прибыль, определяется как разность кредитовых оборотов за отчетный период по балансовому счету 02 и забалансовому счету 020.
Но при превышении суммы начисленной амортизации над суммой амортизации по Единым нормам необходимо корректировать полученную прибыль для целей налогообложения.
Рассмотрим на примерах применение всех способов начисления амортизации и проведем в каждом случае корректировку прибыли для целей налогообложения.
Амортизация и налоги.
Поскольку до настоящего времени не принято решение об установлении новых ограничений на величину амортизационных отчислений, включаемых в себестоимость для целей над обложения, амортизация по основным средствам для целей налогообложения исчисляете прежним правилам. Вступившее в силу Положение предоставило организациям лишь возможность изменять величину амортизационные счислений для целей бухгалтерского учета.
Организации должны начислять амортизацию для целей налогообложения согласно , соответствующим нормам, установленным постановлением Совета Министров СССР от 22.1 № 1072 "О единых нормах амортизационные счислений на полное восстановление основ фондов народного хозяйства СССР".
Согласно подп. "х" п. 2 "Положения о составе затрат по производству и реализации продукции (работ, услуг), включаемых в себестоимость продукции (работ, услуг)", утвержденного становлением Правительства РФ РФ от 05.08.92 № 552, в себестоимость продукции (работ, услуг) включаются "амортизационные отчисления на полное восстановление основных производственных фондов по нормам, утвержденным установленном порядке".
Однако на величину амортизации, учитываемой для целей налогообложения, влияет изменение первоначальной стоимости основных средств, возможное в оговоренных в Положении случаях. Влияние изменения величины амортизации на налоговые обязательства организации сводится к следующему.
Начисленная амортизация относится на себестоимость продукции (работ, услуг) в соответствии с подп. "х" п. 2 Положения о составе трат. Таким образом, при увеличении начислленной амортизации на величину А экономия по налогу на прибыль составит:
(1)
где
тАФ ставка налога на прибыль.
Начисленная амортизация уменьшает остаточную стоимость основных средств, участвующую в расчете налога на имущество (ст. 2 Закона РФ от 13.12.91 № 2030-1 "О налоге на имущество предприятий").
За отчетный период экономия по налогу на имущество тАФ
при увеличении амортизации на
составит:
, (2)
где
тАФ ставка налога на имущество.
В формуле (2) учтено среднегодовое изменение стоимости основных средств
, поскольку налогооблагаемой базой по налогу на имущество является среднегодовая стоимость имущества организации, а амортизационные отчисления списываются на себестоимость равномерно в течение года.
Налог на имущество относится на финансовые результаты организации (ст. 8 Закона РФ "О налоге на имущество предприятий"), поэтому на сэкономленную величину налога на имущество будет увеличена налогооблагаемая прибыль, что приведет к сокращению экономии по налогу на имущество на величину
.
В этом случае суммарная налоговая экономия составит:
, (3)
Пример 1.
Рассчитаем налоговые последствия изменения величины амортизационных отчислений. Пусть ставки налогов составят
= 0,02,
= 0,33, тогда при увеличении амортизационных отчислений на 500 ден. ед. (АЛ) суммарная налоговая экономия составит:
S = 0,02 тАв 500 : 2 + 0,33 тАв 500 + + 0,33 тАв 0,02 тАв 500 : 2 = 171,65 ден. ед.
Казалось бы, чем больше сумма начисленной амортизации, тем меньше налоговые обязательства организации. Однако это далеко не так. Ограничение на величину амортизации, ведущую к экономии налоговых платежей, налагается режимом реализации продукции (работ, услуг) по цене не выше фактической себестоимости.
При реализации продукции (работ, услуг) по цене не выше себестоимости увеличивается по специальному расчету налогооблагаемая база по следующим налогам:
на прибыль (п. 5 ст. 2 Закона РФ от 27.12.91 № 2110-1 ("О налоге па прибыли предприятий и организаций");
на добавленную стоимость (п. 1 ст. 4 Закона РФ от 06.12.91 № 1992-1 "О налоге на добавленную стоимость");
на реализацию ГСМ и пользователей автомобильных дорог (п. 2 и п. 17 инструкции ГНС РФ № 30 от 15.05.95 "О порядке исчисления и уплаты налогов, поступающих в дорожные фонды").
В этом случае налоговые обязательства организации пересчитываются исходя из величины выручки от реализации продукции (работ, услуг), определенной исходя из рыночных цен или максимальных цен реализации аналогичной продукции, по которым в течение 30 предшествующих дней осуществлялись продажи по ценам выше фактической себестоимости.
Режим реализации по ценам не выше фактической себестоимости не применяется, если организация не смогла реализовать продукцию по ценам выше себестоимости из-за снижения ее качества или потребительских свойств (включая моральный износ), а в отношении налога на прибыль и НДС тАФ также в случаях, когда сложившиеся рыночные цены на эту или аналогичную продукцию оказались ниже фактической себестоимости указанной продукции.
Если организация не является плательщиком налога на реализацию ГСМ, тогда налоговые потери ТL , вызванные реализацией продукции (работ, услуг) по ценам, не выше фактической себестоимости, можно рассчитать следующим образом:
(4)
где
тАФдоначисленная сумма налога на прибыль;
тАФ доначисленная сумма налога на добавленную стоимость;
тАФ доначисленная сумма налога на пользователей автомобильных дорог.
Уменьшение налоговых потерь на величину
связано с тем, что доначисленная сумма налога на пользователей автомобильных дорог относится на себестоимость продукции (работ, услуг) и уменьшает налогооблагаемую прибыль (ст. 8 Закона РФ от 18.10.91 № 1759-1 "О дорожных фондах в Российской Федерации").
Пусть величина затрат, относимых на себестоимость продукции (работ, услуг) для целей налогообложения, кроме амортизационных отчислений, остается постоянной. Обозначим
максимальную величину амортизации, при которой ни одна из партий товара не окажется реализованной по цене ниже себестоимости, а через
тАФ величину амортизационных отчислений, при которой налогооблагаемая прибыль равна нулю (
). Если по какой-либо причине величина амортизации
превысит
, то сумму налога на прибыль, подлежащую доначислению из-за применения режима реализации продукции (работ, услуг) по ценам не выше фактической себестоимости тАФ
можно рассчитать по формуле:
, (5)
где
тАФ цены, применяемые для перерасчета выручки (рыночные или максимальные цены реализации по ценам выше себестоимости за предшествующий 30-дневный период),
тАФ цены фактической реализации,
тАФ количество реализованной продукции,
тАФ количество партий продукции,
тАФ сумма, на которую будет увеличена выручка от реализации продукции (работ, услуг) при пересчете по рыночным ценам или максимальным ценам реализации для целей налогообложения,
тАФ множитель, принимающий значение 0, если произошло снижение качества или потребительских свойств (включая моральный износ) i-ой партии товара, или 1, если такого снижения качества или потребительских свойств i-ой партии не произошло. Множитель
определяется следующим образом:
, (6)
где
тАФ фактическая себестоимость единицы продукции для целей налогообложения.
Если
, то величина налоговых потерь по налогу на прибыль (рассчитываемая по формуле (5) уменьшается на величину изменения амортизационных отчислений, умноженных на ставку налога на прибыль, которая является ни чем иным, как экономией по налогу на прибыль в связи с увеличением сумм амортизационных отчислений, относимых на себестоимость (см. формулу 1).
Если
, то прибыль для целей налогообложения обращается в нуль. Поскольку ее нельзя уменьшить на величину, большую чем разность между
и
, экономия по налогу па прибыль будет меньше, чем величина прироста амортизационных отчислений, умноженная на ставку налога на прибыль.
Потери по налогу на добавленную стоимость
составят:
, (7)
где
тАФ ставка налога на добавленную стоимость.
В случае реализации продукции по ценам ниже себестоимости (стоимости приобретения) отрицательная разница между суммами налога, уплаченными поставщикам, и исчисленными по реализации товаров, относится на прибыль, остающуюся в распоряжении предприятий после уплаты налога на прибыль, и зачету в счет предстоящих платежей или возмещению из бюджета не подлежит (п. 1 ст. 4 Закона РФ "О налоге на добавленную стоимость").
Потери по налогу на пользователей автомобильных дорог тАФ
можно рассчитать по следующей формуле:
(8)
где
тАФ ставка налога на пользователей автомобильных дорог.
Пример 2.
Предположим, что организация реализовала три партии продукции по ценам:
= 10 ден. ед.,
= 12 ден. ед.,
= 11 ден. ед., количество товара в партиях соответственно:
= 1000 шт.,
= 200 шт.,
= 900 шт. Максимальная величина амортизации, при которой фактическая себестоимость была меньше рыночных цен А* = 1000 ден. ед. Вследствие увеличения амортизационных отчислений до 1500 ден. ед., был применен режим реализации по ценам не выше фактической себестоимости, в результате чего выручка по всем трем партиям была пересчитана по рыночной цене
= 13 ден. ед., которая превышает фактическую себестоимость единицы продукции. Подставив значения в формулу (5), получим доначисленную сумму налога на прибыль:
= 0,33 [(13 - 10) 1000 + (13 - 12) 200 + + (13 - 11) 900 - 500] = 1485 ден. ед.
Предложим, что
= 0,2;
= 0,025. Подставив данные в формулы (7) и (8), получим доначисленные суммы НДС и налога на пользователей автодорог:
= 0,2 [(13 - 10) 1000 + (13 - 12) 200 + + (13 - 11) 900] = 1000 ден. ед.
= 0,025 [(13 - 10) 1000 + (13 - 12) 200 + + (13 - 11) 900] = 125 ден. ед.
Общая величина налоговых потерь составит:
TL= 1485 + 1000 + 125 - 0,33 тАв 125 = = 2568,75 ден. ед.
Оптимизация налоговых последствий при выборе метода начисления амортизации сводится к определению величины амортизации, при которой достигается минимизация налоговых обязательств организации.
Результат влияния изменения величины амортизационных отчислений на налоговые обязательства организации тАФ
можно рассчитать следующим образом:
(9)
где ТL - налоговые потери, вызванные реализацией продукции (работ, услуг) по ценам, не выше фактической себестоимости,
тАФ суммарная налоговая экономия,
тАФ экономия по налогу на прибыль.
Уменьшение разности между суммарными налоговыми экономиями и налоговыми потерями на величину
связано с тем, что она уже учтена при определении налоговых потерь по налогу на прибыль (см. формулы 1 и 5).
В рассмотренном примере с учетом налоговых экономии, которые имеют место при увеличении величины амортизационных отчислений, результат влияния амортизационных отчислений на величину налоговых обязательств можно рассчитать:
R = 171,65 - 2568,75 - 0,33 тАв 500 = -2562,1 ден. ед.
Таким образом, в результате увеличения амортизационных отчислений на 500 ден. ед. организация получила налоговые потери в сумме 2562,1 ден. ед.
Вопрос о налоге на имущество.
Как известно, для исчисления среднегодовой стоимости имущества принимают остаточную стоимость основных средств.
По нашему мнению, остаточная стоимость (в том числе и для исчисления налога на имущество) определяется так: из первоначальной стоимости объекта основных средств вычитается сумма накопленной амортизации, начисленной одним из выбранных в соответствии с ПБУ 6/97 способов.
Однако налоговые инспекции на местах могут придерживаться иной позиции.
Так, например, ГНИ по г. Москве выпустила письмо ВлО налоге на имуществоВ» (от 1 апреля 1999 г. № 11-13/9462) для применения столичными территориальными инспекциями. Согласно этому письму, при исчислении среднегодовой стоимости имущества для целей обложения налогом на имущество необходимо пересчитывать остаточную стоимость всех основных средств, рассчитывая амортизацию по Единым нормам.
В обоснование этого авторы письма ссылаются на подпункт ВлхВ» пункта 2 Положения о составе затрат по производству и реализации продукции (работ, услуг), включаемых в себестоимость продукции (работ, услуг), и о порядке формирования финансовых результатов, учитываемых при налогообложении прибыли (утверждено постановлением Правительства РФ от 5 августа 1992 г. № 552).
Однако, по нашему мнению, эта позиция налоговых оргаВннов в корне неверна, поскольку указанное постановление № 552 было выпущено Правительством РФ исключительно во исполнение Закона РФ ВлО налоге на прибыль предприятий и организацийВ». В отношении других налогов оно не действует. Кроме того, в соответствии с Законом РФ от 13 декабря 1991 г. № 2030-1 ВлО налоге на имущество предприятийВ» налогом на имущество облагаются основные средства по остаточной стоимости.
Поскольку в Законе не конкретизируется понятие Влостаточная стоимостьВ», предполагается, что остаточная стоимость берется из данных бухгалтерского учета.
Предприятиям, не согласным с подобными директивами некоторых налоговых инспекций, придется отстаивать свою правоту в суде.
Учитывая все вышеизложенное, бухгалтер предприятия может оценить все ВлзаВ» и ВлпротивВ» и выбрать наиболее приемлемый способ начисления амортизации.
Влияние переоценки на величину налоговых обязательств.
Чистую балансовую стоимость актива "не следует понимать как рыночную стоимость" (Р. Энтони, Дж. Рис. Учет: ситуации и примеры.тАФ М.: Финансы и статистика, 1993. С. 133). Рыночная цена актива определяется в момент приобретения или продажи, а в периоды между ними изменения в рыночной стоимости не находят отражения ни в бухгалтерских регистрах, ни в отчетности. Однако иногда необходимо отразить в бухгалтерском учете обстоятельства, связанные с изменением рыночной стоимости, обусловленные уменьшением или увеличением продуктивности (возможностей использования) объектов основных средств (например, для получения кредита под залог имущества), что возможно путем проведения переоценки.
В ходе переоценки объектов основных средств экспертным путем их первоначальная стоимость и суммы начисленной амортизации могут быть как увеличены, так и уменьшены. В случае, если по результатам переоценки основ-' ных фондов организации, осуществленной путем индексации балансовой стоимости отдельных объектов с применением индексов, ухудшаются финансово-экономические показатели организации и искажается структура ее бухгалтерского баланса, также предоставляется право отказаться от переоценки и сохранить балансовую стоимость основных средств (п. 1 постановления Правительства РФ от 31.12.97 № 1672 "О мерах по совершенствованию порядка и методов определения амортизационных отчислений").
Поэтому встает вопрос, как определить интервал для допустимых значений величины первоначальной стоимости основного средства после переоценки, при которых не возникают дополнительные налоговые потери. Решение об определении верхнего предела величины первоначальной стоимости следует принимать из расчета, что годовая сумма амортизации не должна увеличивать себестоимость до величины, превышающей ожидаемую выручку от реализации продукции (работ, услуг), чтобы избежать применения режима реализации по ценам не выше фактической себестоимости.
В случае реализации по ценам не выше фактической себестоимости величина доначисляемых налогов скачкообразно увеличивается, следовательно стремление к завышению амортизационных отчислений для получения налоговых экономии должно быть ограничено прогнозной величиной амортизации, при которой с достаточной степенью уверенности можно гарантировать реализацию продукции (работ, услуг) по ценам, превышающим фактическую себестоимость.
Расчет такого ограничения на величину амортизационных отчислений должен основываться на анализе вариаций таких показателей, как выручка от реализации продукции (работ, услуг) и величина затрат, включаемых в себестоимость продукции (работ, услуг) для целей налогообложения. Кроме этого, нужно учитывать возможности организации влиять на цены реализуемой продукции, приобретаемого сырья, материалов, комплектующих. На основе такой информации можно построить доверительные интервалы для величины амортизации, в которых с большой степенью вероятности можно гарантировать отсутствие фактов реализации продукции (работ, услуг) по ценам не выше фактической себестоимости.
Пример 3.
Организация решила переоценить объект основных средств, стоимостью 1000 ден. ед. Предположим, что затраты, включаемые в себестоимость продукции (работ, услуг) для целей налогообложения, кроме амортизационных отчислений, остаются постоянными. В этом случае предельно допустимая величина амортизационных отчислений в год составляет 500 ден. ед., в текущем периоде фактическая сумма амортизационных отчислений, подлежащая отнесению на себестоимость для целей налогообложения, составила 300 ден. ед. Организация может увеличить амортизационные отчисления не более, чем на 200 ден. ед. (500 тАФ тАФ 300 = 200 ден. ед.). Если установленный законодательством коэффициент амортизации для указанного основного средства k = 0,1, то максимально допустимая величина прироста стоимости основного средства в результате переоценки
составит:
ден.ед. (10)
Таким образом, целесообразно, чтобы увеличение стоимости основного средства в ходе переоценки не превысило 2000 ден. ед. (стоимость объекта не более 3000 ден. ед.). В противном случае возможно применение режима реализации по ценам не выше фактической себестоимости.
Формально задачу оптимизации величины амортизационных отчислений можно сформулировать как максимизацию положительных результатов влияния изменения величины амортизационных отчислений на налоговые обязательства организации. Для ее решения необходимы прогнозные данные о рыночных ценах, затратах на производство и реализацию единицы продукции, а также о величине выпуска продукции в натуральном выражении.
Очевидно, что рыночный прогноз (особенно долгосрочных) о величинах указанных показателей тАФ нелегкая задача. При моделировании прогнозных величин выручки от реализации продукции (работ, услуг) и затрат, относимых на себестоимость для целей налогообложения, должны быть учтены такие параметры, как сезонность продаж, особенности ценообразования на рынке и другие. Кроме этого, необходимо сделать предположение о будущей величине ставок налогов на прибыль, на пользователей автомобильных дорог, на имущество и НДС.
Однако как бы тщательно не были рассчитаны прогнозные данные, существует вероятность отклонения фактических показателей от прогнозных. Она также должна быть принята во внимание при принятии решения о выборе величины амортизационных отчислений.
Заключение.
Положение дало организациям новые возможности при выборе вариантов амортизационной политики, применяемой для целей бухгалтерского учета, сделало возможным соблюдение принципа соотнесения доходов и расходов по их извлечению, что позволило составлять отчетность, наиболее точно отражающую имущественное состояние хозяйствующего субъекта. Применение нескольких вариантов начисления амортизации приведет к тому, что организации будут более корректно исчислять амортизацию по группам объектов основных средств.
Способы начисления амортизации, изложенные в Положении, наиболее распространены в развитых странах, понятны и привычны для иностранных инвесторов.
Однако многие российские организации не спешат их применять. Это связано, прежде всего, с тем, что Положение содержит только общие принципы учета основных средств, порядок применения которых требует дополнительных разъяснений. Кроме того, исчисление амортизации воспринимается многими бухгалтерами исключительно как составляющая часть процесса определения налоговых обязательств, вследствие чего и для целей бухгалтерского учета применяются нормы, установленные постановлением Совета Министров СССР от 22.10.90 № 1072 "О единых нормах амортизационных отчислений на полное восстановление основных фондов народного хозяйства СССР".
Представляется, что в дальнейшем организации будут шире использовать возможности, предоставленные Положением, в процессе выбора амортизационной политики.
Список литературы.
- Балдина С. В. тАЬАктуальные вопросы учета основных средствтАЭ - Главбух, № 11, июнь, 1999. с. 10-17
- Бухгалтерский учет (нормативные документы и коментарии специалистов) - №3 - 1998 - с. 3-6.
- Волович М. А. тАЬОсновные средства: признание, оценка и раскрытие в финансовой отчетноститАЭ // Бухгалтерский учет - №5 - 1999.
- Денисов Н. Л. тАЬНовое в расчете амортизации основных средствтАЭ - Бухгалтерский учет - №6 - 1998. - с. 8-10.
- Ковалев В.В. тАЬМетоды расчета ускоренной амортизациитАЭ //Бухгалтерский учет - №11 - 1998 - с. 31-36.
- Пизенгольц М. З. тАЬУчет амортизации в сельском хозяйстветАЭ - Бухгалтерский учет - №4 - 1998 - 24-28.
- Резников В. В. тАЬСпособы начисления амортизации основных средствтАЭ // Главбух, № 20, октябрь, 1999. с. 10-19.
- Русакова Е. А. тАЬО начислении амортизациитАЭ // Бухгалтерский учет - №12 - 1998 - с.106-107.
- Семенова М. В. тАЬУчетные и налоговые последствия амортизационной политикитАЭ - №8 - 1998 - с.35
Вместе с этим смотрят:
Учет валютных ценностей и операцийУчет и анализ собственного капитала
Учет и аудит запасов организации
Учет и аудит отгруженной и реализованной продукции