Анализ состояния расчетов и платежеспособности торгового предприятия

Анализ состояния расчётов и платёжеспособности торгового предприятия

Руководитель: Ермекбаев А.З.

План

  1. Основные виды и формы расчётов торгового предприятия.
  2. Анализ состояния и динамики расчётов торгового предприятия.
  3. Баланс, как информационная база для расчёта и анализа платёжеспособности торгового предприятия.
  4. Анализ влияния динамики расчётов на платёжеспособность торгового предприятия.

Введение.

Аналитическая работа, проводимая на предприятиях торговли, направлена на повышение их эффективности и укрепления финансово-хозяйственного состояния.

Анализ расчетов торгового предприятия как часть анализа хозяйственной деятельности дает возможность провести аналитическую работу над состоянием расчетов торгового предприятия.

Задачи анализа расчетов заключаются в выявлении дебиторской и кредиторской задолженности. Их анализируют по данным бухгалтерского баланса и учетных регистров путем сопоставления их сумм на начало и на конец года или отчетного периода в целом и по видам.

Дебиторская задолженность представляет собой временное отвлечение оборотных средств в сферу расчетов. Она возникает в результате нарушения предприятиями расчетно-платежной дисциплины. Возникновение дебиторской задолженности вызывает ухудшение финансового положения, поэтому предприятию следует принять меры по взысканию задолженности с дебиторов.

Кредиторская задолженность представляет собой долг предприятия другим организациям и предприятиям, юридическим и физическим лицам. Возникает кредиторская задолженность в результате привлечения средств других организаций, предприятий и физических лиц, а также по всем видам платежей в бюджет, во внебюджетные и другие фонды.

Погашение кредиторской задолженности у одних организаций есть погашение дебиторской задолженности у других организаций. Поэтому ликвидация кредиторских задолженностей имеет большое значение, т.к. уменьшение средств в сфере расчетов и ускорение последних содействуют ускорению оборачиваемости оборотных средств.

Наличие в балансе значительных сумм просроченной кредиторской задолженности свидетельствует о неплатежеспособности предприятия. Постановлением Правительства Кыргызской Республики ВлО некоторых мерах по реализации законодательства ВлО банкротстве предприятийВ» утверждена система критериев для определения неудовлетворительной структуры баланса неплатежеспособности предприятий, базирующаяся на показателях текущей ликвидности и обеспеченности собственными оборотными средствами, а также способности восстановить платежеспособность.

На основании приведенной в постановлении системы критериев принимаются решения:

  • о признании структуры баланса неудовлетворительной, а предприятия - неплатежеспособным;
  • о наличии реальной возможности предприятия-должника восстановить свою платежеспособность;
  • о реальной возможности утраты платежеспособности предприятия, когда оно в ближайшее время не сможет выполнить свои обязательства перед кредиторами.

Указанные решения принимаются по результатам анализа, вне зависимости от установленных законодательством внешних признаков несостоятельности предприятия. Принятые решения являются основанием для подготовки  предложений по оказанию финансовой поддержки неплатежеспособным предприятиям, их приватизации, а также применения иных, установленных действующим законодательством полномочий.

Показатель платежеспособности является важным обобщающим показателем, характеризующим финансовую устойчивость торгового предприятия, его способность к беспрерывному осуществлению актов купли товаров.

Данная курсовая работа по анализу и платежеспособности написана на основе материалов, собранных в АО ВлАзия-ВестВ». АО ВлАзия-ВестВ» является закрытым. Для ведения хозяйственной деятельности АО имеет следующую структуру: магазины ВлБакытВ», ВлКаухарВ», ВлКосмосВ», склад аэропорта ВлМанасВ» и Бишкекский Торговый Дом. Среднесписочная численность работников 106 человек.

1. Основные виды и формы расчетов торгового предприятия.

В процессе воспроизводства между предприятиями постоянно совершаются сделки по поводу покупки средств труда и предметов труда, реализации работ и услуг. За все приобретенное со стороны следует уплачивать деньги и соответственно получать платежи за отпущенную продукцию или оказанные услуги. Помимо этого, расчеты ведутся с бюджетом, банками, различными общественными организациями, фондами, непосредственно с работниками и др.

Всевозможные расчеты, возникающие между предприятиями, ведутся при помощи денег. С их помощью завершается превращение денежной формы выделенных средств в производственные запасы, получение денежной выручки и заключенного в ней чистого дохода. Этим самым денежные расчеты выступают важнейшим фактором обеспечения кругооборота средств, а их своевременное завершение служит необходимым условием непрерывного процесса производства.

Расчеты совершаются в двух формах:

  1. Путем безналичных перечислений через систему банка.
  2. В виде платежей наличными деньгами.

Для хранения денег и производства безналичных расчетов каждому предприятию в районе его нахождения открывают расчетные и другие необходимые счета. Проведение кассово - расчетных операций через банк позволяет государству всесторонне контролировать финансово-хозяйственную деятельность объединений, предприятий и учреждений. Банк контролирует предприятия и в части соблюдения ими установленных фондов заработной платы, лимитов на командировки и хозяйственные расходы, следит за своевременностью расчетов предприятия с государственным бюджетом по налогам, за своевременной оплатой счетов и платежных требований поставщиков, выдает предприятию ссуды на различные цели, под определенные обеспечения и наблюдает за возвратом этих ссуд в установленный срок и т.п.

Производство платежей путем безналичных перечислений через банк является основной формой расчетов. При помощи этой формы производятся расчеты не только с поставщиками за поступившие от них материальные ценности или с покупателями за отгруженную или отпущенную продукцию, выполненные работы и услуги, но также расчеты с бюджетом по налогам, с различного рода дебиторами и кредиторами, со своим отраслевым органом управления, дочерними и материнским предприятиями, с профсоюзной организацией там, где выплаты производятся через сберегательные банки и целый ряд других расчетов.

Но в данное время в нашей республике многие хозяйствующие субъекты ведут расчеты с помощью наличных денег. Таким Образом, они уклоняются от уплаты налоговых платежей.

В обеспечении правильного кругооборота хозяйственных средств предприятий, его своевременного завершения, большую роль играет избранная система расчетов. Рациональная их организация способствует своевременной реализации продукции и бесперебойному возобновлению кругооборота средств. Формы и порядок расчетов в народном хозяйстве устанавливаются Национальным банком Республики Кыргызстан. Им определено, что расчеты предприятий всех форм собственности по своим обязательствам с другими предприятиями, а также между юридическими и физическими лицами за товарно-материальные ценности должны производиться, как правило, в безналичном порядке через учреждения банков.

Безналичные расчеты в зависимости от экономического содержания делятся на две группы:

  • по товарным операциям и
  • финансовым обязательствам.

К первой группе относятся расчеты между предприятиями за товарно-материальные ценности, работы, услуги; а по второй - платежи в бюджет: налог на добавленную стоимость, налог на недвижимость, налог на прибыль, экономические санкции и другие платежи, погашение банковских ссуд, уплата  процентов за кредит, расчеты по социальной защите.

По месту нахождения поставщика и покупателя безналичные расчеты подразделяются на иногородние и одногородние.

В зависимости от местонахождения поставщиков и покупателей, характера и содержания операций, организации взаимного контроля расчеты могут быть организованы по-разному. Совокупность способов и приемов осуществления платежей, порядок документооборота и оборота денежных средств между участниками расчетов и учреждениями банков представляют собой форму расчетов. В настоящее время предприятия осуществляют свои расчеты платежными поручениями, требованиями-поручениями. Кроме того, могут производиться расчеты аккредитивами, чеками, инкассовыми поручениями, зачетов взаимных требований, посредством векселей.

Расчеты платежными поручениями производятся  за полученные товары и принятые услуги при условии ссылки в поручении на номер и дату товарно-транспортного или другого документа, подтверждающего отпуск товара или оказания услуг данному предприятию, а также по нетоварным операциям.

Предварительная оплата товаров и мелких услуг, как правило, производится по одногородним

по одногородним поставкам, предстоящим перевозкам автотранспортными организациями и связанными с ними другими работами.

Основная часть расчетов с бюджетом - это платежи. Перечень их довольно широк.

Различны и источники возмещения сумм, вносимых в бюджет.

В зависимости от источников возмещения все платежи в бюджет можно подразделить на следующие группы:

  1. удерживаемые из заработной платы работников;
  2. включаемые в себестоимость продукции;
  3. относимые на реализацию (НДС, акцизы);
  4. уплачиваемые из прибыли;
  5. относимые на финансовые результаты (штрафы, экономические санкции).

2. Анализ состояния и динамики расчетов торгового предприятия.

В торговых организациях постоянно совершаются акты купли - продажи товарно - материальных ценностей. За все приобретенное  со стороны следует уплачивать деньги и соответственно, получать платежи за отпущенную продукцию, в следствии этого на всех предприятиях торговли ведется большое количество расчетов.

В АО ВлАзия-ВестВ» расчеты ведутся с поставщиками, с покупателями, с бюджетом, непосредственно с работниками по оплате труда и другие.  Теперь рассмотрим структуру и динамику расчетов АО ВлАзия-ВестВ» (таблица 1).

В 1995 году кредиторская задолженность превысила дебиторскую почти в 30 раз, тогда как в 1993 году эта разница составила 5 раз, а в 1994 году - 16 раз. Дебиторская задолженность с 1993 по 1994 год увеличилась на 89800 сомов или на 258,8%, когда кредиторская за тот же период возросла на 1813,9 тыс. Сом или на 995,5%. В течении 1995 года сумма расчетов с кредиторами опять возросла еще на 262,7 тыс. Сом или на 13,2%, мы можем увидеть резкое сокращение темпов роста. Однако в расчетах с дебиторами наблюдается другая ситуация, если в течении 1994 года сумма задолженности сильно возросла, то за 1995 год задолженность сократилась на 51000 сом и составила только 59% от суммы 1994 года.

Теперь рассмотрим структуру дебиторской задолженности. Во всех рассматриваемых годах наибольший удельный вес в расчетах с дебиторами занимают расчеты за товары и услуги с покупателями причем в 1995 году они составили 100%, это объясняется тем, что АО ВлАзия-ВестВ» занимается торговой деятельностью. В расчетах с покупателями наблюдается следующая динамика: за 1994 год сумма этих расчетов увеличилась на 83300 сом или 240,7%, а за 1995 год уменьшилась на 44,4 тыс. Сом и составила 62,9% от суммы 1994 года. Кроме такого снижения суммы расчетов с покупателями, за 1995 год была полностью покрыта задолженность бюджета и прочих дебиторов. Если в 1993 году задолженность прочих дебиторов составляла 1000 сом, то в 1995 она была полностью погашена.

Далее рассмотрим структуру и динамику расчетов с кредиторами, общая сумма которых на конец 1995 года составила 2258,8 тыс. сом., что составляет 24,5% от валюты баланса. Так же по причине что АО ВлАзия-ВестВ» занимается торговлей, то большая часть удельного веса расчетов с кредиторами принадлежит расчетам с поставщиками за товары, динамика которых очень не равномерна. Так в 1993 году сумма составляла 168,9 тыс. сом., к 1994 году она увеличилась на 996,4% или 1682,9 тыс. сом и составила 1851,8 тыс. сом., а к отчету 1995 года эта сумма снизилась на 40,1 тыс. сом и составила 1811,7 тыс. сом или 97,8% от суммы задолженности 1994 года. Также наблюдается увеличение задолженности по оплате труда работников. За 1994 год сумма задолженности увеличилась на 23,4 тыс. сом., или на 544,2%, а за 1995 год темп роста этой задолженности сократился и составил только 142,6%, а сумма увеличилась на 11,8 тыс. сом. Еще мы можем отметить резкий рост задолженностей по расчетам со страховыми организациями и с бюджетом. Так темпы роста задолженности соц. страховым органам составили за 1994 год 2470%, а за 1995 год 350,2%, а бюджету 1148,7% и 349,5% соответственно. Сумма задолженности органам социального страхования составила 86,5 тыс. сом в 1995 году, тогда как в 1993 году только 1000 сом, а в 1994-24,7 тыс. сом. Задолженность бюджетным органам составляла в 1993 году 8000 сом, в 1994 году уже 91,9 тыс. сом, а в 1995 году аж 321,1 тыс. сом, что на 229,2 тыс. Сом больше, чем в 1994 году и на 313,1 тыс. сом больше чем в 1993 году.

3. Баланс как информационная база для расчета и анализа платежеспособностей торгового предприятия.

Оценка финансового положения предприятия осуществляется на основании данных бухгалтерского баланса, а также ВлОтчета о финансовых результатах и их использованииВ». На стадии предварительной оценки платежеспособности формируется первоначальное представление о деятельности предприятия, выявляются изменения в составе имущества предприятия и их источниках; устанавливаются взаимосвязи между показателями. С этой целью определяют соотношения отдельных статей актива и массива баланса, их удельный вес в общем итоге (валюте) баланса; рассчитывают суммы отклонений в структуре основных статей баланса по сравнению с предшествующим периодом. При этом общая сумма изменения валюты баланса расчленяется на составные части, что позволяет сделать предварительные выводы о характере имевших место сдвигов в составе активов, источниках их формирования и их взаимной обусловленности. Так, в процессе предварительного анализа изменения объема недвижимого имущества и текущих (оборотных) средств рассматриваются в связи с изменениями в обязательствах предприятия.

Для удобства проведения такого анализа целесообразно использовать так называемый уплотненный аналитический баланс - нетто, формируемый путем агрегирования однородных по своему составу элементов балансовых статей в необходимых аналитических разрядах (недвижимое имущество, текущие активы и т.д.) (табл. 2).

На следующем этапе анализа платежеспособности проводится расчет и оценка динамики ряда аналитических коэффициентов, характеризующих финансовое положение предприятия.

Представим приведенный баланс АЩ ВлАзия-ВестВ» в укрупненном виде, как это удобно для анализа (табл.2).

Как видно из таблицы           , за отчетный период активы АЩ ВлАзия-ВестВ» возросли на 3618,7 тыс. сом или 547,5% в том числе за счет увеличения недвижимого имущества на 24,7 тыс. сом, за счет прироста оборотных средств на 2012,3 тыс. сом и за счет возникновения убытков отчетного года на 1581,7 тыс. сом. Иначе говоря, за отчетный период в текущие активы было вложено почти в десять раз больше средств, чем в недвижимое имущество. А убытки года составили 36,9% валюты баланса. При этом учитывая, что АЩ в течении отчетного года пользовалось долгосрочными кредитами банка, можно сделать вывод о том, что все вложения осуществлялись за счет заемных средств.

Также надо отметить, что в целом структура активов характеризуется значительным превышением в их составе доли оборотных средств, которые составляли 96,1% в начале года и 61,9% - в конце.

В составе текущих активов при общем сокращении их доли на 34,2% обращает на себя внимание статья товары, которые по своей абсолютной сумме увеличились на 1912 тыс. сом., что составило 334% их удельный вес к концу года в структуре совокупных активов уменьшился на 28,55% (58,05 - 86,60), а в структуре оборотных средств увеличился на 3,7% (93,8 - 90,1). Также можно отметить изменение величины дебиторской задолженности, сумма которой увеличилась на 89,8 тыс. сом или 259%, тогда как ее вес к концу года в структуре совокупных активов уменьшился на 2,4% (2,9 - 5,3), а в структуре оборотных средств - на 0,7% (4,7 - 5,4).

Пассивная часть баланса характеризуется преобладающим удельным весом заемных источников средств, причем их доля в общем объеме источников возросла на 22,3% и к концу года составила 98% или 4193,8 тыс. сом. Структура же заемных средств в течении отчетного года  претерпела изменения. Так, доля кредиторской задолженности в общем объеме возросла к концу года на 19,1% и составила 46,7% от валюты баланса или 1996,1 тыс. сом., кроме того, предприятие получило досрочные кредиты банка, их доля возросла на 3,2%. По абсолютной же величине сумма кредитов увеличилась на 1879,8 тыс. сом, что составляет 591% от кредитов на начало года. Надо полагать, что такой большой рост суммы банковских кредитов явились для АО вынужденной мерой, связанной с острой потребностью в дополнительных источниках финансирования.

Одним из важнейших показателей финансового положения предприятия является оценка его платежеспособности, под которым принято понимать способность предприятия рассчитываться по своим долгосрочным обязательствам. Следовательно, платежеспособным является то предприятие, у которого больше активы, чем внешние обязательства.

Способность предприятия платить по своим краткосрочным обязательствам называется ликвидностью. Иначе говоря, предприятие считается ликвидным, если оно в состоянии выполнить свои краткосрочные обязательства, реализуя текущие активы. Основные средства, если только они не приобретаются с целью дальнейшей перепродажи, в большинстве случаев не могут быть источниками погашения текущей задолженности предприятия в силу, во-первых, своей особой функциональной роли в процессе производства и, во-вторых, весьма затруднительных условий их срочной реализации.

Для оценки ликвидности предприятия привлекаются данные бухгалтерского баланса. Информация, отражаемая во 2 и 3 разделах актива баланса характеризует величину текущих активов в начале и конце отчетного года. Так как на данном предприятии отсутствуют краткосрочные ссуды банка, то сведения о краткосрочных обязательствах содержатся только в статье ВлРасчеты с кредиторамиВ».

Предприятие может быть ликвидным в большей или меньшей степени, поскольку в состав текущих активов входят разнородные оборотные средства, среди которых имеются как легкореализуемые, так и труднореализуемые для погашения внешней задолженности.

В практике различают и используют целую систему показателей ликвидности. Рассмотрим важнейшие из них.

Коэффициент абсолютной ликвидности (коэф. срочности) исчисляется как отношение денежных средств и краткосрочных финансовых вложений (3 раздел актива) к краткосрочной задолженности. Он показывает, какая часть текущей задолженности может быть погашена на дату составления баланса. Для получения обоснованной информации о величине текущих обязательств предприятия, следует иметь ввиду, что в составе 2 раздела пассива баланса присутствуют отдельные статьи (ВлРезерв по сомнительным долгамВ», ВлРезервы предстоящих расходов и платежейВ»), не имеющие отношения к заемным средствам. Следовательно, при оценке ликвидности указанные статьи баланса должны быть исключены из итога 2 раздела пассива.

По данным АЩ ВлАзия-ВестВ» соотношение денежных средств и краткосрочных обязательств составляет:

на начало года 0,14 : 1     (25,3 : 182,2)

на конец года    0,014 : 1   (28,5 : 1996,1)

Это говорит о том, что погасить свои обязательства в срочном порядке предприятие не смогло бы. Однако, учитывая малую вероятность того, что все кредиторы одновременно предъявят свои долговые требования, и, принимая во внимание то, что теоретически достаточным значением для коэффициента срочности является соотношение 0,2 : 1, можно предположить допустимость сложившегося соотношения в начале года. Однако, снижение значения коэффициента к концу года на 12,6 пункта (0,014 - 0,14), связанное с ростом краткосрочных обязательств к концу года на 995,5% ((1996,1-182,2) / 182,2 * 100%), показывает, что АО на данный момент не в состоянии погасить свою текущую задолженность.

Общий коэффициент ликвидности (коэффициент покрытия) представляет собой отношение всех текущих активов (II раздел + III раздел актива) к краткосрочным обязательствам. Он позволяет установить, в какой кратности текущие активы покрывают краткосрочные обязательства, или сколько денежных единиц текущих активов приходится на одну единицу текущей кредиторской задолженности. В практике анализа ликвидности нормальным считается, если коэффициент равен двум. Рассчитаем общий коэффициент ликвидности на примере данных АО ВлАзия-ВестВ» :

на начало года     3,5   (635,1 : 182,2)

на конец года        1,3   (2647,1 : 1996,1)

Здесь значение коэффициента резко изменяется в течении года. Если на конец года коэффициент составил 1,3, что означает, что текущие обязательства покрываются текущими активами в 1,3 раза, для предприятий розничной торговли такое значение коэффициента считается удовлетворительным, но, принимая во внимание различную степень ликвидности активов, т.е. не все активы будут реализованы в срочном порядке, Акционерному Обществу следует либо увеличить свои текущие активы, либо (что еще лучше) снизить сумму кредиторской задолженности. На начало же года коэффициент составил 3,5 раза - это очень высокий показатель. Для кредиторов подобный показатель является наиболее предпочтительным. Для выяснения причин столь резкого сокращения ликвидности предприятия составим таблицу 3.

Из данных таблицы 3 видно, что коэффициент абсолютной ликвидности сократился за счет большой разницы в приросте денежных средств и краткосрочных обязательств. В течении отчетного года наблюдался очень большой прирост краткосрочных обязательств на 995% или 1813,9 тыс. сом, и не значительный прирост денежных средств 13% или 3,2 тыс. сом. Причиной сокращения общего коэффициента ликвидности оказался большой разрыв в показателях, если прирост краткосрочных обязательств составил 995%, то прирост текущих активов в 3 раза меньше, 317%.

Если ликвидность предприятия показывает способность выполнять краткосрочные текущие обязательства, то платежеспособность - это способность предприятия выполнять (погашать) все свои внешние долги как краткосрочные, так и долгосрочные. Этот показатель наиболее точно показывает вероятность банкротства. Предприятие считается платежеспособным, если его общие активы превышают его внешние обязательства. Для измерения уровня платежеспособности используют специальный коэффициент, который показывает долю собственного капитала в его общих обязательствах краткосрочных и долгосрочных. Этот коэффициент рассчитывается по следующей формуле:

Теперь рассчитаем общий коэффициент платежеспособности для АО ВлАзия-ВестВ» :

на начало года   

на конец года    

Таблица 3

Анализ изменений в составе источников средств и их размещении по сравнению с началом года.

Статьи актива

Прирост

тыс. сом

%

Денежные средства и краткосрочные финансовые вложения (сч. 50 ,51, 52, 58)

+3.2

+13

Дебиторская задолженность (45, 62, 68, 76)

+89.8

+259

Запасы товарно - материальных ценностей (10, 12, 41)

+1919.3

+33.4

Недвижимое имущество

+24.7

+96

Убытки отчётного года

+1581.7

тАФ

Баланс

+3618.7

+547

Статьи пассива

Прирост

тыс. сом

%

Расчёты с кредиторами (60, 68, 69, 70)

+1813.9

+995

Долгосрочные кредиты банка (92)

+1879.8

+591

Источники собственных средств

-75

-46

Баланс

+361.7

+547

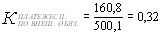
Это означает, что собственный капитал составляет на начало года 24%, а на конец года только 2% от общей суммы средств АО, что является очень низким показателем. Так же мы можем рассчитать коэффициент платежеспособности по внешним обязательствам по формуле:

на начало года 

на конец года  

Отсюда можно сделать вывод, что общая задолженность сильно превышает собственный капитал, особенно в конце года, когда собственный капитал составляет 2,1% от суммы всех долгов. Далее можно рассчитать частные коэффициента, например:

на начало года 

на конец года  

на начало года 

на конец года   

Из этих показателей видно, что АО уже в начале года было не способно погасить свои долги, так долгосрочные обязательства АО можно выполнить только на 51%, а краткосрочные на 88%. К концу же года ситуация сильно ухудшилась, так как в течении отчетного года возникли убытки в размере 1581,7 тыс. сом и сократилась сумма собственного капитала на 75 тыс. сом, АО было вынуждено взять долгосрочный кредит банка в сумме 1879,8 тыс. сом, в результате чего увеличилась сумма и доля внешнего долга в валюте баланса. На это увеличение также повлиял резкий рост кредиторской задолженности на 1813,9 тыс. сом.

Рассмотрев все показатели, можно сделать вывод, что в АО ВлАзия-ВестВ» текущие активы более чем на 90% сформированы за счет заемных средств, что может свидетельствовать об опасности неплатежеспособности. Но так как АО занимается торговой деятельностью, в следствии чего оборачиваемость активов высока, поэтому оно даже с исчисленными показателями может сохранить финансовую устойчивость.

4. Анализ влияния динамики расчетов на платежеспособность торгового предприятия.

На платежеспособность торговых предприятий влияют многие факторы, можно отметить основные из них:

  • активы предприятия;
  • краткосрочные и долгосрочные обязательства;
  • уставный капитал и т.д.

Для анализа целесообразно сгруппировать все оборотные активы по категориям риска. Причем следует учитывать область применения того или иного вида оборотных средств. Те активы, которые могут быть использованы только с определенной целью (специфические активы), имеют больший риск (меньшую вероятность реализации), чем многоцелевые активы. Чем больше средств вложено в активы, попавшие в категорию высокого риска, тем ниже финансовая устойчивость, а, следовательно, и платежеспособность предприятия. В АО ВлАзия-ВестВ» основной удельный вес в составе текущих активов составляют статьи товары и дебиторская задолженность, которые относятся к категории с малой степенью риска. Но также следует отметить, что классификация оборотных средств на труднореализуемые и легкореализуемые не может быть постоянной, оно меняется с изменениями конкретных экономических условий.

Как уже говорилось выше, на платежеспособность  торгового предприятия влияют краткосрочные и долгосрочные обязательства и собственные средства. Рассмотрим влияние перечисленных факторов на примере коэффициента платежеспособности по внешним обязательствам:

где U - уставной капитал

       D - долгосрочные обязательства

       С - краткосрочные обязательства.

Чтобы рассчитать как повлияло изменение каждого фактора на изменение коэффициента платежеспособности составим цепные подстановки.

Отсюда можно сделать вывод. Что на изменение коэффициента платежеспособности наиболее сильно повлияло изменение величины уставного капитала. Сумма собственных средств уменьшилась на 75000 сом, за счет чего коэффициент платежеспособности уменьшился на 0,254. За счет увеличения кредиторской задолженности на 1813,9 тыс. сом коэффициент платежеспособности уменьшился на 0,017. А за счет увеличения долгосрочных кредитов банков на 1879,8 тыс. сом коэффициент уменьшился на 0,028.

Также можно рассмотреть влияние факторов на частный коэффициент платежеспособности:

                         

                       

                           

Как следует из данных вычислений, то на частный коэффициент платежеспособности почти одинаково повлияли как изменение величины уставного капитала, так и изменение краткосрочных обязательств.

Так как АО не брало в течении отчетного года краткосрочных ссуд банков, то к краткосрочным обязательствам относится только кредиторская задолженность, за счет увеличения которой на 1813,9 тыс. сом коэффициент платежеспособности уменьшился на 0,428.

Существует еще один коэффициент платежеспособности, который находится как отношение суммы средств первой степени платежной готовности к сумме платежей первой срочности. Этот коэффициент может быть вычислен на каждый момент; для оперативного руководства необходимо знать условия, в которых будет находиться предприятие через определенный отрезок времени, по состоянию на который проводился анализ. Такой прогноз необходим, поскольку он обеспечивает своевременность мер по устранению выявленных при анализе недочетов, по предупреждению возможных финансовых затруднений.

Заключение.

Из данной курсовой работы, написанной на основании материалов АО ВлАзия-ВестВ» БТД, можно сделать вывод о том, что анализируемое АО в данный период времени испытывает серьезные финансовые трудности и в ближайшее время может полностью потерять свою платежеспособность.

Каковы же факторы восстановления платежеспособности? Ими могут быть либо сокращение кредиторской задолженности, либо опережающий рост оборотных средств. Из балансовых соотношений понятно, что само по себе уменьшение кредиторской задолженности невозможно - оно всегда сопровождается эквивалентным сокращением текущих активов. Поэтому единственным приемлемым средством восстановления платежеспособности является наращивание текущих активов за счет результатов хозяйственной деятельности с одновременным увеличением пассивной статьи ВлПрибыльВ».

Безусловно, существуют чрезвычайные меры, в принципе возможные для восстановления платежеспособности, однако их реализация требует длительного промежутка времени. Основными из них являются:

  • Продажа части основных средств как способ расчета с кредиторами по текущим обязательствам;
  • Увеличение уставного  капитала, однако данный вариант может быть достаточно длительным по времени и нередко сопровождается определенными издержками. В частности, дополнительная эмиссия акций - это весьма дорогостоящий процесс, которому нередко сопутствует падение рыночной цены акций фирмы.
  • Получение долгосрочной ссуды или займа, что и сделало АО, но, получив ссуду, нужно тщательно продумать и проанализировать пути ее использования.
  • Получение государственной финансовой поддержки на безвозвратной основе.

Баланс предприятия АО тАЬАзия-ВесттАЭ на 1 января 1996 г.

Актив

На начало года

На конец года

I. Основные средства и прочие внеоборотные активы

Основные средства:

     - первоначальная стоимость

26.2

56.9

     - износ

0.4

6.4

     - остаточная стоимость

25.8

50.5

    Итого по разделу 1

25.8

50.5

II. Запасы и затраты

Производственные запасы

1.6

7.7

Малоценные и быстроизнашивающиеся предметы:

     - первоначальная стоимость

1.1

5.2

     - износ

0.5

2.5

     - остаточная стоимость

1.0

2.2

Товары

579.5

2484.5

Итого по разделу II.

575.1

2494.4

III. Денежные средства, расчёты и прочие активы

Расчёты с дебиторами:

     - за товары, работы и услуги

34.6

117.9

     - с бюджетом

0.1

5.6

     - с прочими дебиторами

тАФ

1.0

Краткосрочные финансовые вложения

8.5

8.5

Денежные средства:

     - касса

6.4

2.7

     - расчётный счёт

2.8

3.6

     - прочие денежные средства

2.4

1.0

Итого по разделу III

60.0

153.0

Убытки:

     - прошлых лет

     - отчётного года

тАФ

1581.7

Баланс

660.9

4279.6

Пассив

На начало года

На конец года

I. Источники собственных средств

Уставной капитал

62.6

63.4

Резервный капитал

1.0

тАФ

Фонды накопления

тАФ

10.1

Целевые финансирование и поступления

20.8

11.3

Итого по разделу I

84.4

84.8

II. Расчёты и прочие пассивы

Долгосрочные кредиты банков

317.9

2197.7

Расчёты с кредиторами:

     - за товары, работы и услуги

168.9

1851.8

     - по оплате труда

4.3

27.7

     - по социальному страхованию и обеспечению

1.0

24.7

     - с бюджетом

8.0

91.9

Резервы предстоящих расходов и платежей

4.8

тАФ

Прочие краткосрочные пассивы

71.6

1.0

Итого по разделу II

576.5

4194.8

Баланс

660.9

4279.6

Используемая литература:

  1. О.В. Ефимова тАЬКак анализировать финансовое положение предприятиятАЭ.  Москва 1994 г.
  2. М.И. Баканов тАЬАХД в торговлетАЭ.  Москва 1990 г.
  3. Борисов тАЬАХД в торговлетАЭ.  Киев 1990 г.
  4. Журнал тАЬБухгалтерский учёттАЭ.

Вместе с этим смотрят:

Анализ финансового положения предприятия
Анализ финансового состояния и экономических результатов хозяйственной деятельности предприятия
Анализ финансовой устойчивости предприятия
Анализ финансово-хозяйственной деятельности сх предприятия