Контрольная по телетрафику
Министерство высшего и профессионального образования РФ Ижевский Государственный Технический Университет Приборостроительный факультет Контрольная работа По дисциплине:Теория телетрафика.
Вариант №1.
Выполнил студент-заочник: Дударев А.Ю.
Преподаватель: Абилов А.В.
ИЖЕВСК 2001Задание №1.
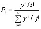
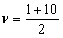
, где NN тАУ номер варианта,
=5,5≈5.
, где NN тАУ номер варианта,
.
,
.
а)
- распределение Бернулли.

![]()
Среднее число занятых линий:
.
Дисперсия:
.
б)
- распределение Пуассона.
![]()
![]()
Среднее число занятых линий и дисперсия:
.
в)
- распределение Эрланга.

![]()
Среднее число занятых линий:
.
Дисперсия:
![]()
Задание №2.
,
,
.
![]()
3. ![]()
![]()
Задание №3.
1.
Назначение направления |
Эрл |
|
|
УСС |
10 |
0,001 |
21 |
АМТС |
20 |
0,01 |
30 |
АТС 2 |
30 |
0,005 |
44 |
АТС 3 |
40 |
0,005 |
55 |
АТС 4 |
50 |
0,005 |
67 |
| Внутристанционное
(АТС 1) |
150 |
0,003 |
180 |
2.
№ п/п |
y, Эрл |
ν |
ртабл |
уобс , Эрл |
η |
1 |
5 |
11 |
0,01 |
4,95 |
0,45 |
2 |
10 |
18 |
0,01 |
9,9 |
0,55 |
3 |
15 |
24 |
0,01 |
14,85 |
0,61875 |
4 |
20 |
30 |
0,01 |
19,8 |
0,66 |
5 |
25 |
36 |
0,01 |
24,75 |
0,6875 |
6 |
30 |
42 |
0,01 |
29,7 |
0,707143 |
7 |
35 |
48 |
0,01 |
34,65 |
0,721875 |
8 |
40 |
53 |
0,01 |
39,6 |
0,74717 |
9 |
45 |
59 |
0,01 |
44,55 |
0,755085 |
10 |
50 |
64 |
0,01 |
49,5 |
0,773438 |
,
,
.
3.
ν = 21
№ п/п |
1 |
2 |
3 |
4 |
5 |
6 |
7 |
8 |
9 |
10 |
|
8,79 |
9,1 |
10,1 |
10,77 |
11,21 |
11,8 |
12,71 |
13,76 |
14,44 |
15,38 |
|
0,0002 |
0,0003 |
0,001 |
0,002 |
0,003 |
0,005 |
0,01 |
0,02 |
0,03 |
0,05 |
ν = 44
№ п/п |
1 |
2 |
3 |
4 |
5 |
6 |
7 |
8 |
9 |
10 |
|
25,22 |
25,78 |
27,61 |
28,82 |
29,6 |
30,64 |
32,22 |
33,99 |
35,12 |
36,63 |
|
0,0002 |
0,0003 |
0,001 |
0,002 |
0,003 |
0,005 |
0,01 |
0,02 |
0,03 |
0,05 |
Задание №4.
- N =20, ν =4, α =1 выз/ч, h = 120 с.
,
,
,
![]()
рв =0,005
№ |
ν |
уобс |
||||
N=10 |
N=20 |
N=30 |
N=50 |
N=∞ |
||
1 |
1 |
0,0055 |
0,0053 |
0,0052 |
0,0051 |
|
2 |
2 |
0,122 |
0,113 |
0,110 |
0,108 |
|
3 |
3 |
0,424 |
0,381 |
0,369 |
0,360 |
|
4 |
4 |
0,888 |
0,779 |
0,750 |
0,728 |
|
5 |
5 |
1,494 |
1,277 |
1,221 |
1,181 |
|
6 |
6 |
1,856 |
1,765 |
1,700 |
||
7 |
7 |
2,504 |
2,367 |
2,272 |
||
8 |
8 |
3,211 |
3,019 |
2,887 |
||
9 |
9 |
3,973 |
3,713 |
3,538 |
||
10 |
10 |
4,787 |
4,445 |
4,221 |
||
11 |
11 |
5,211 |
4,931 |
|||
12 |
12 |
6,008 |
5,665 |
|||
13 |
13 |
6,835 |
6,422 |
|||
14 |
14 |
7,690 |
7,199 |
|||
15 |
15 |
8,572 |
7,994 |
|||
16 |
16 |
8,807 |
||||
17 |
17 |
9,635 |
||||
18 |
18 |
10,479 |
||||
19 |
19 |
11,337 |
Вместе с этим смотрят:
Курсовая по автоматической коммутацииКурсовая по сетям связи
Локальные вычислительные сети
Локальные сети