Расчет кабеля Р-4
Содержание
Конструктивные характеристикитАж3
- Расчет первичных параметровтАж4
- Расчет вторичных параметровтАж9
Вывод по работетАж12
Список литературытАж13
ПриложениетАж14
Вопросы подлежащие разработке:
- Определение конструктивных данных цепи кабеля связи
- Расчет первичных параметров передачи цепи
- Расчет вторичных параметров передачи цепи и их частотной зависимости
Исходные данные:
- Вариант: 15
- Тип кабеля: П-4(ЛПКС)
- Рабочая температура: -16
С
Конструктивные характеристики легкого полевого кабеля связи П-4
- Конструкция жилы: 7м*0.32мм
- Толщина изоляция: 2.1мм
- Коэффициент скрутки: 1.05
- Толщина опресовки четверки: 0.15мм
- Толщина экрана: 0.1мм
Эскиз ЛПКС П-4

Для расчета первичных параметров полевых кабелей введена формула эквивалентного диаметра жилы:
![]()
где
- диаметр проволоки в жиле, n - количество проволок в жиле
d0=0.32
=0.84(мм)
d1=( d0+2dиз)=(0.84+2*2.1)=5.04(мм)
a=1.41 d1=1.41*5.04=7.104(мм)
dk=7.7мм (по ТТХ)
П-4 тАУ (Планировщик-4) является перспективным легким полевым кабелем связи ВС РФ. Он предназначен для работы малоканальной полевой аппаратуры связи типа П-330-1,3,6 и подключения четырехпроводной оконечной аппаратуры техники связи.
Расчет Первичных и вторичных параметров передачи цепей кабелей связи
- Расчет первичных параметров
R- активное сопротивление цепи
L- индуктивность цепи
С- емкость цепи
G- проводимость цепи
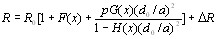
Формула для определения активного сопротивления имеет вид:
(1.1.1)
R0- сопротивление цепи по постоянному току,(Ом/км)
F(x)- функция, учитывающая действие поверхностного эффекта
p- поправочный коэффициент на вихревое поле
G(x)- функция, учитывающая действие эффекта близости
d0- диаметр жил
H(x)- функция учитывающая действие эффекта близости
R- потери на вихревые токи при
кГц
Формула для расчета сопротивления цепи по постоянному току имеет вид:
(1.1.2)
где
- диаметр проволоки составляющую скрутки
n - количество проволок в жиле
- коэффициент скрутки проволоки в жилу( для ЛПКС
=1.04)
- коэффициент скрутки жил
рассчитаем
R0=
[Ом/км]
Для звездной скрутки p=5
Значения коэффициентов F(x),G(x),H(x)- приведены в таблице 4.1 [1] в зависимости от x
(1.1.3)
d0- диаметр жилы, мм
f- расчетная частота, Гц
f,кГц |
|
F(x) |
G(x) |
H(x) |
R200 |
R-160 |
10 |
0.882 |
0.00519 |
0.01519 |
0.53 |
68.4 |
58.5 |
60 |
2.16 |
0.0782 |
0.172 |
0.169 |
74.0 |
63.4 |
110 |
2.92 |
0.318 |
0.405 |
0.348 |
91.4 |
78.2 |
180 |
3.74 |
0.678 |
0.584 |
0.466 |
116.7 |
99.8 |
250 |
4.41 |
1.042 |
0.755 |
0.530 |
142.2 |
121.72 |
Пример расчета:
=0.0105*0.84
=2.16
по таблице 4.1 [1]
F(x)=0.0782,G(x)=0.1729,H(x)=0.169R200=68(1+1.042+
)=142.21(Ом)
Рассчитаем сопротивление для заданной температуры Т= -160С по заданной формуле
Ом/км (1.1.4
где
- температурный коэффициент сопротивления (для меди тАУ 0.004)
R тАУ16=68.42(1-0.004(-36))=58.5 (Ом/км)
1.2 Расчет индуктивности цепи
Индуктивность цепей линий связи обусловлены магнитным током внутри проводов цепи и магнитными потоками между проводами цепи.
В соответствии с этим общую индуктивность цепи представляют в виде суммы двух индуктивностей
(1.2.1)
где
- внутренняя индуктивность, обусловленная маг потоком внутри проводов цепи
- внешняя индуктивность, обусловленная магнитным потоком между проводами цепи.
Общая формула для расчета индуктивностей кабельных линий имеет вид ( с учетом того, что для меди
):
(1.2.2)
где
- магнитная проницаемость материалов проводов
f,кГц |
|
Q(x) |
L *10-3[Гн/км] |
10 |
0.882 |
0.997 |
1.29 |
60 |
2.16 |
0.961 |
1.26 |
110 |
2.92 |
0.845 |
1.26 |
180 |
3.74 |
0.686 |
1.23 |
250 |
4.41 |
0.556 |
1.21 |
Q(x) тАУ функция, учитывающая частотную зависимость действия поверхностного эффекта, см. формулу (1.1.3) и таблицу 4.1 [1]
Пример расчета:
L=[4ln
+0.997]*1.05=1.26*10-3 (Гн/км)
Норма:
мГн/км тАУ общие нормы по альбому схем ВСМЭС часть1
Вывод: полученные значения индуктивности удовлетворяют норме.
1.3 Расчет емкости цепей линий связи
Емкость цепи тАУ равна отношению заряда Qk напряженности между проводами U:
(1.3.1)
Для определения рабочей емкости цепей легких полевых кабелей связи пользуются формулой:
[Ф/км] (1.3.2)
где
- коэффициент скрутки;
- диэлектрическая проницаемость изоляции;
- поправочный коэффициент учитывающий близость других цепей и оболочки кабеля.
Значение коэффициента
определяется в зависимости от типа скрутки по формуле:
(1.3.3)
Вычисляем:
для полиэтилена 2.3;
Dэ=12.6-0.2=12.4(мм)
=
=0.506
[Ф/км]
Норма:
[нФ/км]
Вывод: полученный результат удовлетворяет норме
1.4 Расчет проводимости изоляции цепей линии связи
Проводимость изоляции тАУ зависит от сопротивления изоляции по постоянному току и от диэлектрических потерь в изолирующем материале при переменном токе. В соответствии с этом проводимость равна:
(1.4.1)
где
- проводимость изоляции при постоянном токе тАУ величина, обратная сопротивлению изоляции ( для П-4 Rиз=5000 МОм); Gf тАУ проводимость изоляции при переменном токе обусловленная диэлектрическими потерями.
[Сим/км] (1.4.2)
где
- тангенс учла динамических потерь
=2*10-4
Сопротивление изоляции жил кабельных линий связи составляет значительную величину. Следовательно G0 по сравнению с Gf, мала, и ей пренебрегают. Отсюда проводимость изоляции кабельной цепи равна:
[Сим/км] (1.4.3)
(1.4.4)
f,кГц |
|
Gf, Сим/км*10-7 |
G, Сим/км*10-7 |
10 |
62.8 |
6.28 |
6.28 |
60 |
376.8 |
37.68 |
37.68 |
110 |
690.8 |
69.08 |
69.08 |
180 |
1130.4 |
113.04 |
113.04 |
250 |
1570.2 |
157.00 |
157.00 |
Пример расчета:
Gf=62.8*103*0.05*10-6*2*10-4 (Сим/км)
Норма:
(мкСим/км)
Вывод: данный параметр удовлетворяет норме.
- Расчет вторичных параметров
К вторичным параметрам относятся:
- коэффициент затухания;
- коэффициент фазы;
Zв тАУ волновое сопротивление;
t тАУ время распространения;
U тАУ скорость распространения;
2.1 Расчет коэффициента затухания
Коэффициент затухания определяется по формуле:
[Неп/км] (2.1.1)
Для определения коэффициента затухания для заданной температуре необходима формула:
[Неп/км] (2.1.2)
где
- коэффициент затухания при t=+200C;
- температурный коэффициент затухания;
t - заданная температура.
Температурный коэффициент имеет сложную зависимость от частоты, а также от конструкции кабеля. Поэтому при расчетах пользуются экспериментальными значениями
, которые приведены в таблице.
f,кГц |
R,Ом/км |
G, Сим/км*10-7 |
|
|
|
10 |
68.4 |
6.28 |
0.21 |
2.7 |
0.18 |
60 |
74.0 |
37.68 |
0.25 |
2.5 |
0.22 |
110 |
91.4 |
69.08 |
0.28 |
1.9 |
0.26 |
180 |
116.7 |
113.04 |
0.36 |
1.8 |
0.33 |
250 |
142.2 |
157.00 |
0.44 |
1.6 |
0.41 |
Пример расчета:
Рассчитаем
=
( Неп/км)
По заданным имеющимся значениям
рассчитаем
для температуры тАУ160С
=0.21(1+2.7*10-3*(-36))=0.189 (Неп/км)
Вывод: полученные значения соответствуют теоретическим.
2.2 Расчет коэффициента фазы
Коэффициент фазы рассчитывается по формуле:
[рад/км] (2.2.1)
Значение коэффициента фазы
как видно из формулы, увеличивается прямо пропорционально частоте исключение составляют сравнительно низкие частоты, при которых
определяется по другим формулам.
F,кГц |
|
L *10-3,Гн/км |
|
10 |
62.8 |
1.29 |
0.05 |
60 |
376.8 |
1.26 |
2.90 |
110 |
690.8 |
1.26 |
5.49 |
180 |
1130.4 |
1.23 |
8.87 |
250 |
1570.2 |
1.21 |
12.21 |
Пример расчета:
( рад/км)
Вывод: значение полученного параметра соответствует норме.
2.3 Расчет скорости распространения
Скорость распространения определяется по формуле:
[км/с] (2.3.1)
Пример расчета
( км/с)
2.4 Расчет времени распространения
Время распространения величина обратная скорости распространения:
[мкс] (2.4.1)
Пример расчета
( мкс)
2.5 Расчет волнового сопротивления
Волновое сопротивление определяется по формуле
[Ом] (2.5.1)
Пример расчета
( Ом)
f,кГц |
L *10-3,Гн/км |
U, км/с |
t, мкс |
Zв, Ом |
10 |
1.29 |
124514.5 |
8.03 |
160.6 |
60 |
1.26 |
125992.1 |
7.93 |
158.7 |
110 |
1.26 |
126438.1 |
7.91 |
158.2 |
180 |
1.23 |
127369.1 |
7.85 |
157.0 |
250 |
1.21 |
128564.8 |
7.77 |
155.5 |
[1] Кабельно-линейные сооружения связи.; Под ред. В.В.Кольцова ;Москва;1982.
[2] Конспект лекций
[3] Военные системы многоканальной электросвязи. Учебное пособие в таблицах и иллюстрациях. Часть 1.Выпуск1.-ЛВВИУС,1989
ПриложениеК А Б Е Л Ь П - 4
К О М П Л Е К Т П О С Т А В К И
N п/п |
Условное обозначение |
Назначение изделия |
Номинальная длина, м |
Количество в комплекте |
|
1 2 3 4 5 6 7 8 9 |
П-4 ОК-4 КШ-2 МЗ-4 КТП-4 КЗ-4 КМ-4 АП-2 КВ-4 |
Строительная длина кабеля Оконечный кабель для подВнключения оконечных устр-в Контрольный шнур для подВнключения к измер. приборам Муфта защиты для защиты лиВннии связи от перенапряжений Кабель подключения к КТП Колодка короткозамкнутая для создания шлейфов Контрольная муфта для обоВнрудования на линии КТП Аппаратная полумуфта для установки на кабель. вводах Короткомерная вставка |
1000 5,0 1,5 - 5,0 1,5 - - 11,5 |
15 2 4 4 5 2 4 2 3 |
|
10 11 12 13 14 15 16 17 18 19 |
ВП-4/296 ВП-4/269 Барабан Чехол ПЗ Заземлитель Молот Замок ЗИП-Г ЗИП-Р |
Вставка переходная с кабеля П-4 на кабель П-296М Вставка переходная с кабеля П-4 на кабель П-269-1x4+1x2 Тип 'А' Защита кабеля на барабане от механических повреждений Провод заземляющий для подВнкючения заземления к МЗ-4 Для оборудования заземления при использовании МЗ-4 -''- -''- Групповой ЗИП на 10 компл. Ремонтный ЗИП на 10 компл. |
3,0 3,0 - - - - - - - - |
2 2 15 15 4 4 1 1 - - |
ПЕРВИЧНЫЕ ПАРАМЕТРЫ ПЕРЕДАЧИ КАБЕЛЯ П-4
N |
F,кГц |
R,Ом/км |
L,мГн/км |
С,нФ/км |
G,мСим/км |
1 2 3 4 5 6 7 8 9 10 11 12 13 14 |
0.8 4.0 12.0 24.0 32.0 72.0 128.0 240.0 252.0 512.0 552.0 1024.0 1500.0 2048.0 |
68.50 71.32 79.36 80.95 82.42 113.95 146.52 187.21 191.83 322.61 334.97 433.54 494.24 546.69 |
1.120 1.083 0.990 0.910 0.874 0.790 0.760 0.750 0.748 0.740 0.730 0.690 0.680 0.676 |
51.5 51.5 51.5 51.5 51.5 51.5 51.5 51.5 51.5 51.5 51.5 51.5 51.5 51.5 |
0.00 0.00 0.00 0.00 0.00 0.02 0.50 1.10 1.20 2.10 2.20 3.60 5.30 7.20 |
Вместе с этим смотрят:
Расчет КТЧРасчет спутникового канала Алматы-Атырау
Сетевая телефония
Сеть на основе нейрочипа