Монтаж строительных конструкций
Министерство образования Республики Беларусь
Белорусская государственная политехническая академия
Факультет: Строительный
Кафедра ВлТехнология строительного производстваВ»
Курсовая работа
Пояснительная записка
Тема: ВлМонтаж строительных конструкцийВ».
Исполнитель: студент гр.112429
Руководитель: доцент Громов И.Н.
Сдано на отлично.
Минск 2001 Содержаниестр.
Введение
1. Исходные данные
2. Спецификация сборных элементов
3. Грузозахватные приспособления.
- Крепежно-выверочные устройства и приспособления
5. Калькуляция трудовых затрат.
6. Выбор монтажных кранов
7. Технико-экономические показатели монтажных кранов и выбранного способа монтажа
8. Выбор и обоснование методов монтажа
9. Особенности производства монтажных работ при отрицательных температурах.
10. Техника безопасности.
11. Указания по контролю качества
Используемая литература
ВведениеВ курсовой работе описываются строительно-монтажные работы по возведению одноэтажного промышленного здания, каркас которого состоит из металлических конструктивных элементов. Условно принято, что нулевой цикл работ уже завершен. Монтаж ведется в соответствии с проектом производства монтажных работ (ППМР). Монтаж ведется с приобъектного склада. Строительные конструкции доставляются на объект с завода-изготовителя автомобильным транспортом.
При организации монтажных работ учитываются конструктивные особенности объекта, последовательность монтажа, трудовые затраты, сроки сдачи в эксплуатацию. Работы ведутся в соответствие со СНиП 3.01.01-85 ВлОрганизация строительного производстваВ», СНиП 3.03.01-87 ВлНесущие и ограждающие конструкцииВ», с соблюдением требований техники безопасности согласно со СНиП ВлТехника безопасности в строительствеВ».
- Исходные данные
Здание одноэтажное промышленное с металлическим каркасом.
Длина здания тАФ 108м.
Ширина здания тАФ 72м.
Пролет тАФ 18м
Шаг крайних колонн тАФ 12м.
Шаг средних колонн тАФ 12м.
Отметка до низа стропильных конструкций тАФ 15,3м.
Грузоподъемность мостовых кранов тАФ 50т.
Уклон ферм покрытия тАФ 3,5% .
- Спецификация сборных элементов

- Грузозахватные приспособления.

- Крепежно-выверочные устройства и приспособления
№ п/п |
НаимеВнноВнваВнние |
Эскиз |
Техническая характеВнристика |
Назначение |
||
груз-ть, т |
масса, т |
высота, т |
||||
1 |
Расчалка (ПИ ПромстальВнконструкция, НовосибирсВнкий филиал) №2008-09 |
0,098 |
Временное крепление устанавливаемых конструкций (колонн, ферм, балок и др.) |
|||
2 |
Инвентарная распорка (ПИ Промстальконструкция) |
0,1 |
Временное крепление стропильных ферм при шаге 12 м |
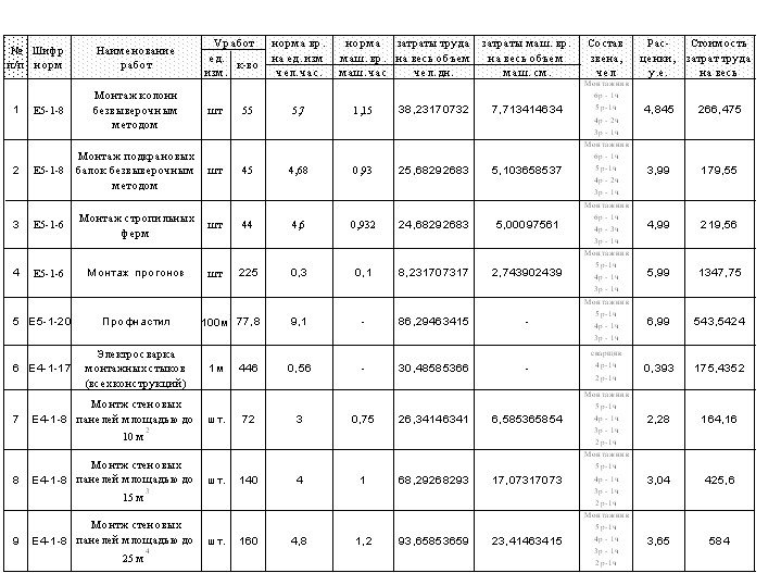
- Калькуляция трудовых затрат.

- Выбор монтажных кранов
Руководствуясь тем, что ведется монтаж одноэтажного здания, а также тем, что время одной стоянки крана невелико, для производства работ выбираем самоходный стреловой кран.
Выбор осуществляется по следующим параметрам:
Q тАФ грузоподъемность, т.
тАФ высота подъема головки стрелы, м.
тАФ минимальный вылет стрелы, м.
тАФ минимальная длина стрелы, м.
Причем
,
где
тАФ высота монтажного горизонта, м.
тАФ запас по высоте (
=0.5м).
тАФ высота монтируемого элемента, м.
тАФ высота грузозахватного приспособления, м.
тАФ длина полиспаста между крюком и оголовком стрелы, м.
,
где
тАФ масса монтируемого элемента, м.
тАФ масса грузозахватного приспособления, м.
,
где
тАФ минимальное расстояние от конструкции стрелы до монтируемого элемента (0.5м) или между конструкцией стрелы и ранее смонтированными конструкциями здания (0.5..1.5м).
тАФ величина части конструкции, выступающей от центра строповки в сторону стрелы крана, м.
тАФ половина толщины конструкции стрелы на уровне вероятных касаний с поднимаемым элементом или ранее смонтированными конструкциями (0.5м).
тАФ высота шарнира пяты стрелы над уровнем стоянки крана (1.5.2м).
![]()
Колонна

=0+0,5+16,2+1,2+2=19,9 м
=5,1+0,35=5,48 т
Для монтажа колонн принимаем пневмоколесный кран марки КтАУ406 (КСтАУ6362)
Профнастил
18,42+,5+2,5+2=23,42 м
3,5+0,5=4 т
![]()
=19 м
![]()
=28,63 м
Для монтажа всех остальных конструкций принимаем кран на гусеничном ходу марки СКГтАУ50.
Вычислим коэффициенты использования кранов по грузоподъемности:
, где
Мmax тАФ масса наиболее тяжелого элемента, т
Мср тАФ средняя масса монтируемых элементов, т
Oкр тАФ грузоподъемность крана на расчетном вылете, т
КтАУ406 (КСтАУ6362):
![]()
СКГ-50:
![]()
- Технико-экономические показатели монтажных кранов и выбранного способа монтажа
Трудоемкость единицы объема монтажных работ определяется по формуле:
, чел.-дн./т,
где Т0 тАФ общие трудозатраты при производстве работ, чел.-дн.;
V0 тАФ общий объем работ по монтажу конструкций, т.
чел.-дн./т.
чел.-дн./т.
Общие трудозатраты монтажных работ слагаются из затрат труда машинистов и монтажников по основной работе, затрат по доставке кранов на строительную площадку, затрат на оборудование и текущий ремонт кранов и определяется по формуле:
,
где Vi тАФ объем работ i-го вида;
Нвр i тАФ норма времени по ЕНиР по i-му виду работы, чел.-ч.;
Епi тАФ единица измерения по ЕНиР на i-й вид работ;
tсм тАФ продолжительность смены (8.2), ч;
тАФ суммарные единовременные затраты вспомогательных работ в чел.-дн., включающие в себя трудоемкость на транспортирование крана к месту проведения работ, пробный пуск и демонтаж кранов, устройство и разборку крановых путей и т.п.;
п тАФ количество видов работ;
к тАФ количество монтажных кранов.
чел.-дн.
чел.-дн.
Удельная себестоимость монтажных работ определяется по формуле:
, у.е./т.,
где:
тАФ суммарная себестоимость всего комплекса монтажных работ, определяемая по формуле:
, у.е.,
где: К1 тАФ коэффициент расходов на прямые затраты, учитывающий расходы на хранение машин, содержание административно-техничеВнского персонала и т.д. (1.08);
См см i тАФ себестоимость машино-смены с учетом заработной платы машиниста i-го крана, у.е.;
Тм i тАФ продолжительность работы i-го крана на объекте, смены;
Е0 i тАФ единовременные затраты на доставку i-го крана, содержание обслуживающего персонала, текущий ремонт и др.;
К2 тАФ коэффициент накладных расходов на заработную плату монтажников( 1.5);
Зп тАФ зарплата монтажников, у.е.
у.е.
у.е.
Технико-экономические показатели по проекту
№ п/п |
Наименование показателей |
Ед. измерения |
Показатели |
|
1 кран |
2 крана |
|||
1 |
Продолжительность выполнения работ |
см |
248,1 |
248,7 |
2 |
Трудоемкость единицы объема работ |
чел.-дн./т |
0,17 |
0,17 |
3 |
Удельная себестоимость монтажных работ |
у.е./т |
4,98 |
5,024 |
Два крана обходятся дороже, поэтому монтаж ведется одним краном СКГтАУ50
- Выбор и обоснование методов монтажа
Для возведения промышленного здания (по способу приведения конструкций в проектное положение) принимаем свободный метод монтажа. Монтаж конструкций ведется с приобъектного склада. По последовательности монтажа примем комплексный метод, стеновые панели монтируются отдельным потоком.
Принимаем поперечную схему движения крана (т.е. кран движется поперек пролета здания). С первой точки стоянки крана монтируется четыре колонны, одна подкрановая балка (наружного ряда) и две фермы покрытия. Затем монтируются прогоны и профнастил (совместно), до монтажа последней нитки профнастила монтируются две подкрановые балки (среднего ряда), затем со второй стоянки крана монтируют две колонны следующего ряда и т.д.
Стальные колонны устанавливают на бетонные фундаменты, в которых заделаны анкерные болты, обеспечивающие проектное положение колонн в плане, и имеющие на проектной отметке опирания колонн заранее выверенные плиты. В этом случае колонны устанавливают безвыверочным методом. При установке колонн их устойчивость обеспечивают установкой расчалками.
Подкрановые балки временно крепят к упорам на консолях колонн через прокладки, что позволяет регулировать их высоту.
Перед монтажом ферм производится подвеска необходимой оснастки (переходные мостки, лестницы строповочный трос). Стропильные фермы закрепляются через стойки, установленные на колоннах, с помощью монтажных болтов. Последующую ферму связывают с предыдущей распорками (две распорки).
Прогоны крепят к стропильным фермам болтами. Распорки, временного крепления ферм, допускается снимать только после того, как смонтировано не менее двух прогонов. После монтажа трех прогонов монтируют листы профнастила. Последующие прогоны монтируются по два штуки и снова монтируют листы профнастила и т.д.
Листы профнастила крепятся к прогонам с помощью саморезов.
Монтаж стеновых панелей ведется отдельным потоком.
- Особенности производства монтажных работ при отрицательных температурах.
Перед монтажом производят очистку элементов от наледи и снега.
При производстве монтажных работ в зимних условиях наиболее уязвимым местом является стык стеновых панелей. Так, например, стык между наружными стеновыми панелями при начальной температуре бетона от +15 до +20В°С и наружной температуре воздуха от тАФ15 до тАФ20В°С остывает до температуры 0В°С в течение 5тАФ 8 мин. Незначительный объем бетона, укладываемого в стык, и высокий модуль поверхности (в пределах от 25 до 100) приводят в зимних условиях к быстрому охлаждению бетона в стыке как со стороны открытой поверхности, так и на контакте со стыкуемыми элементами.
В зависимости от характера конструкции и сроков ввода ее в эксплуатацию определяют прочность бетона, которую необходимо достичь к моменту замораживания. Конечную прочность бетона в стыке следует назначать в полторатАУдва раза выше проектной прочности бетона стыкуемых элементов. Для заделки стыков следует применять быстротвердеющие бетоны и растворы на портландцементе марки 500 или быстротвердеющие цементы. Бетон приготавливают на чистых заполнителях с В/Ц=0,4 - 0,5, а раствор - с В/Ц= 0,4 - 0,55.
Заполнение стыков следует вести без перерывов, послойно под давлением или с тщательным уплотнением.
При заделке стыков можно применять противоморозные добавки (поташ К2СО3).
Наличие отрицательных температур наружного воздуха накладывает ограничения и на процесс герметизации стыков. Так, герметизация стыков мастиками допускается при температурах не ниже -20В°С. Полиизобутиленовую мастику для лучшей адгезии с бетоном следует предварительно подогревать до 110 - 120В°С.В остальном процесс герметизации стыков в зимних условиях протекает так же, как и в летних.
- Техника безопасности.
Монтаж здания необходимо вести в соответствии с требованиями СНиП III-4-80 ВлТехника безопасности в строительствеВ».
Мастер ежедневно обязан перед началом работы осмотреть объект и при обнаружении неисправностей поставить в известность руководство. При наличии явной опасности работа должна быть прекращена.
На территории монтажной площадки следует установить указатели проездов и проходов для рабочих. Опасные при монтаже зоны требуют ограждения. При выполнении работ во вторую смену должно быть предусмотрено соответствующее освещение.
На участке где ведутся монтажные работы не, допускается выполнение других работ и нахождение посторонних лиц. Метод строповки элементов конструкций и оборудования должен обеспечивать их подачу к месту установки в положении максимально близком к проектному. Запрещается подъем сборных железобетонных конструкций, не имеющих монтажных петель или меток обеспечивающих их правильную строповку и монтаж.
Перед проведением монтажных работ следует провести проверку всех грузозахватных приспособлений и механизмов.
Элементы конструкций, по которым предполагается перемещение монтажников в процессе монтажа, должны быть оборудованы подмостями, переходными мостиками, лестницами, страховочными тросами для зацепления за них карабинов предохранительных поясов монтажников. Места крепления страховочных тросов указывают в проекте.
Все рабочие должны быть хорошо экипированы. Им выдается спецодежда (костюм, рукавицы, обувь) и средства индивидуальной защиты (предохранительный пояс, каска, щиток). К монтажу должны допускаться квалифицированные рабочие, прошедшие обязательный инструктаж.
К монтажу конструкций допускают рабочих после прохождения с ними вводного инструктажа К монтажным и сварочным работам на высоте допускают монтажников и сварщиков, имеющих справку о медицинском освидетельствовании. К верхолазным работам допускают монтажников, имеющих разряд не ниже четвертого и стаж не менее одного года.
При ветре более шесть баллов прекращают монтажные работы, связанные с применением крана.
- Указания по контролю качества
Качество элементов здания и всего сооружения в целом должно соответствовать требованиям СНиП III.03.01-87 ВлНесущие и ограждающие конструкцииВ».
Перед монтажом колонн поверяют главные оси сооружения, закрепление высотных реперов, оси колонн тАФ риски на фундаментах, расположение анкерных болтов.
Правильность установки ферм покрытия контролируют путем совмещения соответствующих рисок.
При монтаже навесных стеновых панелей особое внимание необходимо обратить на качество вертикальных и горизонтальных швов.
Для выверки и контроля качества монтируемого элемента применяется монтажная оснастка.
Технические критерии и средства контроля операций и процессов приведены в таблице.
Операции подлежащие контролю: |
Состав контроля (что проверяется): |
Способ контроля (как проверяется): |
Кто проверяет: Сроки контроля: |
Приемка и складирование материалов. |
Наличие паспортов. Соответствие размеров изделий проекту, их качество, правильность складирования. |
Замеры метром и рулеткой. |
Мастер (прораб) - постоянно Старший прораб - выборочно |
Подготовка фундаментов и колонн к монтажу. |
Проверка отметок стаканов и рисок на монтируемых конструкциях. Очистка закладных деталей от наплыва бетона. |
Отметки нивелиром, метром и рулеткой с составлением акта на скрытые работы. |
Мастер(прораб). Старший прораб-геодезист - выборочно перед монтажом колонн. |
Сварные соединения, антикоррозийная защита закладных деталей |
Соблюдение проектных размеров и швов. Марка электродов. Количество швов и антикоррозийная защита. |
Размеры сварных швов - метром и по шаблонам. Лабораторными опытами. |
Мастер (прораб) - постоянно Лаборатория - выборочно |
Приемка выполненных работ |
Внешний вид, вертикальность, горизонтальность конструкций. Качество заделки стыков. |
Визуально, геодезическим инструментом. Лабораторными опытами. |
Мастер (прораб). Геодезист |
- ВлТехнология строительного производстваВ» под ред. Бадьина. Ленинград: Стройиздат,1987.
- СНиП III-4-80 ВлТехника безопасности в строительствеВ».
- СНиП 3.03.01-87 ВлНесущие и ограждающие конструкцииВ».
- СНиП 3.01.01-85 ВлОрганизация строительного производстваВ».
- ЕНиР сб.4 ВлМонтаж сборных и устройство монолитных железобетонных конструкций.
- ЕНиР сб.5 ВлМонтаж металлических конструкцийВ».
- ЕНиР сб.22 ВлСварочные работыВ».
Вместе с этим смотрят:
МосковедениеМосковский Кремль
Мостовые краны и их разновидности
Невский проспект - лицо города