Проектирование командно-измерительной радиолинии системы управления летательным аппаратом
московский государственный ордена ленина И ОРДЕНА ОКТЯБРЬСКОЙ РЕВОЛЮЦИИавиационный институт имени СЕРГО ОРДЖОНИКИДЗЕ
(технический университет)
факультет радиоэлектроники ла
Кафедра 402
Отчет по практическим занятиям по курсуВлРадиосистемы управления и передачи информацииВ»
на тему
ВлПроектированиекомандно-измерительной радиолиниисистемы управления летательным аппаратомВ»
Выполнил: О.ВаА.ВаЛевин и др.,
гр. 04-517
Преподаватель: В.ВаВ.ВаЗаикин
москва
1997
Техническое заданиеСпроектировать командно-измерительную линию, взяв в качестве основы функциональную схему, изображенную на рис.Ва1 при следующих исходных данных:
- Время сеанса связи не более 10 минут.
- За сеанс требуется передать по информационному каналу не менее 105 символов при вероятности ошибки на символ не больше 10-3.
- В сеансе требуется измерить дальность с ошибкой не более 20Вам при точности прогноза 50Вакм.
- Энергетический потенциал (отношение мощности сигнала к спектральной плотности шума) на входе приемникаВатАФ 104ВаГц.
- Несущая частота радиолинииВатАФ 103ВаМГц.
- Занимаемый радиолинией диапазон частот не более 0,5ВаМГц.
- Априорная неизвестность частот в сигнале до 10-5 от номинала.
- Точность и достоверность измерений и передачи информации определяются в основном шумом.
- Шумовые ошибки в запросной и ответной линии дальномера можно считать одинаковыми.
- Дальномер должен выдавать независимые отсчеты дальности с интервалом в 1 секунду.
В результате расчета должны быть выбраны следующие основные параметры подсистем передающего и приемного трактов:
- частота задающего генератора в передающем тракте;
- скорость передачи информационных символов;
- параметры фазового модулятора передатчика;
- число каскадов в генераторах ПС-кода;
- параметры системы ФАПЧ в приемнике;
- полоса пропускания ВЧ-преобразователя в приемнике;
- полосы пропускания полосового ограничителя и ФНЧ в аппаратуре разделения каналов;
- параметры системы тактовой синхронизации в аппаратуре декодирования.
Рис.Ва1. Спектр ПШС

Рис.Ва2. Спектр сигнала тактовой синхронизации
UПШСх2F(f)
Рис.Ва3. Правая половина спектра сигнала в радиолинии
Рис.Ва4. Спектр сигнала на несущей
Выбор параметров системы Шумовая полоса ФАПЧПоложим, что на режим захвата можно выделить 10% времени сеанса (1Вамин.). Диапазон неизвестности частоты задан, как 10-5 от номинала 1ВаГГц, т.Вае. поиск надо вести в полосе
. Для надежности этот диапазон надо пройти 5-6 раз, поэтому один проход будет совершаться за время Тп=10Вас. Отсюда получим требуемую скорость перестройки частоты:
. Для надежного захвата сигнала при такой скорости требуется ФАПЧ с достаточно малой инерционностью (широкой шумовой полосой). Шумовая полоса будет опреВндеВнлятьВнся по формуле:
![]()
Дисперсия шумовой ошибки определяется по формуле:
![]()
где: GШВатАФ спектральная плотность шума на входе ФАПЧ (Вт/Гц), РСНВатАФ мощность гармоники на несущей частоте. Положим
, тогда необходимо иметь:
![]()
В техническом задании указан полный энергетический потенциал радиолинииВатАФ 104ВаГц. Следовательно, на гармонику с несущей частотой следует выделить
от полной мощности сигнала. Мощность гармоники на несущей:
. Учитывая, что полная мощность сигнала КИМ-ФМн-ФМ будет
, имеем
.
На режим приема в сеансе остается 9 минут. За это время надо передать 105 символов. Значит длительность одного символа ТПС<540В·10-5Вас. Информация передается третьим членом в спектре сигнала. Соответствующая мощность:
![]()
где ηиВатАФ часть мощности, затрачиваемая на передачу информации. Вероятность ошибки не должна превышать 10-3, поэтому (из интеграла вероятности): РСИ/GШИ>890ВаГц.
![]()
Из предыдущих расчетов имеем:
![]()
![]()
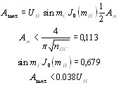
Решив эти трансцендентные уравнения, получим: mC=1,085Варад., mИ=1Варад.
Распределение мощности между компонентами сигналаВыше было найдено, что на несущую приходится 0,13, а на информациюВатАФ 0,089 полной мощности сигнала. Мощность сигнала синхронизации будет определяться по формуле:

Дальность измеряется по сигналу символьной синхронизации, имеющему остроугольную сигнальную функцию. Максимальная ошибка по дальности будет определяться по формуле:
![]()
где сВатАФ скорость распространения радиоволн; k2=10ВатАФ коэффициент запаса; β=3/τИ тАУ крутизна наклона главного пика сигнальной функции; Q0=РссТизмВатАФ энергия сигнала (время измеренияВатАФ 1Вас). Общая ошибка по дальности (20Вам) поровну распределена между запросной и ответной радиолинией, следовательно, ΔRmax=10Вам. Зная это, найдем, что τИ<4,4В·10-5Вас. Следовательно, тактовая частота 2Fт должна быть меньше величины 1/τИ=22,7ВакГц
Выбор параметров задающего генератора и генератора ПШСВыберем необходимое число символов в ПШС (nпс):
![]()
Ближайшее целое число, удовлетворяющее этому условиюВатАФ 127. Пересчитанное значение длительности импульса составит 42,5Вамкс и тактовая частота 2Fт=23,53ВакГц.
Проверка надежности работы ФАПЧ в режиме захвата и выделения несущейПроверим, не будут ли мешать гармоники сигнала, лежащие рядом с несущей частотой. Полоса ФАПЧ выбрана шириной 80ВаГц и в процессе поиска просматривается диапазон ±10ВакГц около несущей.
- Полоса частот, связанная с модуляцией несущей сигналом КИМ-ФМн, отстоит на частоту 4Fт=±47,06ВакГц и в полосу поиска не попадает.
- В режиме слежения за несущей сигнал выделяется полосой ФАПЧ ±40ВакГц. Ближайшая гармоника синхросигнала отстоит на частоту 1/Тпс=185ВаГц и в полосу ФАП не попадает.
- Проверим, не может ли произойти ложный захват ФАПЧ гармоникой, связанной с модуляцией несущей синхросигналом. Они находятся в полосе ФАПЧ и могут селектироваться только по амплитуде. Амплитуда Аmax наибольшей из гармоник синхросигнала, попадающей в полосу поиска:

где АmВатАФ амплитуда максимальной гармоники в синхросигнале. Полезная гармоника имеет амплитуду 0,362UН, т.Вае. почти в 100 раз больше по мощности, что обеспечивает легкую селекцию.
Определение необходимых полос пропускания фильтров в приемном тракте- Полосовой ограничитель должен пропускать сигнал КИМ-ФМн. В спектре сигнала UД(t) после синхронного детектора сигнал расположен вблизи частоты 47,06ВакГц и занимает полосу примерно (4тАжВа5)/ТПС=1ВакГц. При нестабильности частоты 10-5 от номинала частотный сдвиг не превысит 500ВаГц. Следовательно, полосовой ограничитель должен быть настроен на частоту 47,06ВакГц и иметь полосу пропускания около 1ВакГц.
- ФНЧ канала синхронизации выделяет синхросигнал. Считая, что полоса занимаемых частот соответствует примерно 12FТ, находим необходимую полосу фильтра в 142ВакГц.
- Высокочастотный преобразователь приемного тракта должен пропустить достаточное число полезных компонент сигнала, т.е. иметь полосу не менее ±12FТ, к этому надо добавить нестабильность несущей (±10ВакГц). Следовательно, полоса должна быть порядка 2(142+±10)ВакГц= =300ВакГц. Эта же величина определяет занимаемый радиолинией диапазон частот.

Рис.Ва5. Сигнальная функция синхросигнал
В задании указана точность прогноза дальности 50Вакм. Это обеспечивает прогноз по задержке ±0,333В·10-3Вас. Поскольку Тпс=5,4В·10-3Вас, а τи=4,25В·10-5Вас, в диапазон исследуемых задержек может попасть только один большой пик сигнальной функВнции и большое число малых пиков высотой 1/nпс. Надежные измерения обеспечиваются только при условии:

Зная, что в данном случае
видим, что это условие выполняется с большим запасом. Таким образом, заданная точность прогноза при выбранных параметрах сигнала надежно обеспечивает однозначное определение дальности.
Вместе с этим смотрят:
Проектирование участка по изготовлению широкодиапазонного генератора импульсовПромышленное применение лазеров
Пропускная способность канала
Пьезоэлектрики и их свойства