Радиолокационная станция обнаружения воздушных целей
Министерство Образования УкраиныОдесский Государственный Политехнический Университет
Институт Радиотехники и Телекоммуникаций
Кафедра РТС
ПОЯСНИТЕЛЬНАЯ ЗАПИСКА
к курсовому проекту по дисциплине
"Основы теории радиотехнических систем"
на тему
ВлРадиолокационная станция обнаружения воздушных целейВ»
Вариант № 16
Выполнил
студент группы РС-971
Мамлюк В.В.
"____" __________ 2002 г.
Проверил:
Часовой А. Н.
"____" __________ 2002 г.
Одесса 2002
Наверно, в этом курсовике ошибки есть(мягко говоря) ,так как сдал я его на шару, но с учетом практически полного отсутствия нормальной студентческой информации по радиолокации в Интернете, он просто очень нужныйтАж
СОДЕРЖАНИЕ
1. Расчет технических параметров РЛС
2. Выбор и расчет параметров зондирующего сигнала
3. Структурная схема РЛС
Приложение 1Приложение 2
Приложение 3Список литературы
РЕФЕРАТ
Радиолокационные системы имеют следующие преимущества перед визуальными: работа РЛС не зависит от наличия оптической видимости и эффективна не только в дневные, но и в ночные часы, в тумане, при должде и снегопаде. Они обеспечивают большую дальность действия и точность измерения координат цели.
В данном курсовом проекте проведен расчет РЛС кругового обзора, предназначенной для обнаружения воздушных целей. Данная РЛС может использоваться, например, в аэропортах и подобных учреждениях. Проектируемая РЛС является совмещенной, т.е. использует одну антенну для приема и передачи сигналов.
При проектировании был использован критерий минимальной стоимости РЛС, в основу которого положен принцип минимизации общей суммы стоимости антенны и передатчика, при заданных характеристиках обнаружения. Для выполнения этого проекта использована программа, разработаннная на кафедре РТС Одесского Государственного Политехнического Университета, при помощи которой проводится оптимизация параметров РЛС для обеспечения требуемого критерия минимума стоимости.
В качестве объекта проектирования выбрана гипотетическая когерентно-импульсная РЛС с аппаратурой селекции движущихся целей.
1. РАiЕТ ТЕХНИЧЕСКИХ ПАРАМЕТРОВ РЛС
Расчет ширины спектра зондирующего сигнала:
, (1.1)
где
- релеевская разрешающая способность по дальности
Выбор времени обзора из условия:
, (1.2)
где
- верхняя граница спектра траектории движения цели
Расчет периода (частоты) повторения импульсов передатчика из условия однозначного измерения дальности:
(1.3)
где
- максимальная дальность однозначного измерения.
-максимальная дальность обнаружения с учетом затухания.
;
.
Расчет количества импульсов (число импульсов в пакете), поступающих на вход приёмника РЛС за время облучения цели
в режиме кругового обзора:
, (1.4)
где
- время облучения цели:
(1.5)
где
- ширина диаграммы направленности в азимутальной плоскости на уровне половинной мощности (
- релеевская разрешающая способность по азимуту)
;
.
Расчет коэффициента различимости для модели сигнала со случайной фазой и флюктуирующей амплитудой:
(1.6)
где
- отношение сигнал/шум, рассчитываем по формуле:
, (1.7)
где
- вероятность правильного обнаружения;
- вероятность ложной тревоги для одного элемента разрешения зоны обзора.
(1.8)
, (1.9)
где m - число элементов разрешения в зоне обзора, равное произведению числа элементов разрешения по дальности m1 и по азимуту m2.
;
;
;
.
Определение коэффициента потерь αдет при некогерентной обработке:
Для рассчитанной вероятности ложной тревоги для одного элемента разрешения и рассчитанного количества импульсов определяем параметр
из уравнения:
, (1.10)
Расчет проведенный на компьютере, показал
.
Находим требуемое отношение сигнал/шум для одного импульса при некогерентной обработке
из уравнения:
. (1.11)
Согласно заданию Pпо= 0,94. Подберем q2нек1 для обеспечения Pпо при y0 = 37,9587.
q2нек1 = 70 → Рпо = 0,938
q2нек1 =75 → Рпо = 0,942
q2нек1 =72 → Рпо = 0,94
Так как по определению αдет характеризует энергетические потери имеющее место при переходе от когерентной к некогерентной обработке, а отношение сигнал / шум в одном импульсе при когерентной обработке
равно:
, (1.12)
где q2 рассчитано по формуле (1.7), то
. (1.13)
Определяем коэффициент потерь в системе L, не включенный в другие параметры уравнения дальности:
L = 10 дБ
Рассчитаем коэффициент усиления антенны с плоской диаграммой направленности G , ширина главного лепестка диаграммы направленности которой в азимутальной плоскости на уровне 0,5 по мощности равна α0,5 , а в вертикальной плоскости - Δβ.
Коэффициент усиления параболической антенны с плоским лучом рассчитывается по формуле:
, (1.14)
где β0 - угол места, соответствующий максимальной дальности обнаружения :
°, (1.15)
тогда:
.
Коэффициент усиления косеканс тАУ квадратной антенны, с той же апертурой, как у параболической для заданных параметров зоны обзора меньше чем величина, рассчитанная по (1.14):
. (1.16)
Расчитаем спектральную плотность шума N0:
С этой целью следует выбрать тип активного элемента входного устройства супергетеродинного приёмника РЛС и найти его коэффициент шума Кш .
По графикам зависимостей коэффициента шума от частоты для УВЧ на ЛБВ при частоте fλ = 3 ГГц:
Кш = 3,22 дб = 2,1.
Значение N0 определяется по формуле (1.17) :
Вт/Гц. (1.17)
где
- постоянная Больцмана,
Дж/К,
- стандартная температура.
Мощность шума на входе приёмника (в полосе
) рассчитывается по формуле:
(1.18)
где
- эффективная ширина полосы пропускания линейного тракта приёмника включающего согласованный фильтр.
При согласованой обработке:
, (1.19)
где
- эффективная ширина спектра сигнала.
Ширина спектра сигнала в одном периоде повторения -
равна:
, (1.20)
тогда:
Вт.
Для совмещенной антенны связь между эффективной площадью антенны Апр и коэффициентом усиления Gcsc определяется соотношением:
. (1.21)
Зададимся начальным значением длины волны зондирующего сигнала λ = 0,1 м. В дальнейшем, после оптимизации, эта длина волны будет скорректирована.
Тогда получим:
м2.
Определим значение максимальной дальности обнаружения Dmax которую должна иметь РЛС в свободном пространстве, чтобы ее дальность действия при наличии поглощения радиоволн в атмосфере была равна заданному значению Dmax п.
, (1.22)
где α(λ) - коэффициент потерь энергии радиоволн в атмосфере, определяемый по графику в [ ]
дБ/км.
Тогда
км.
Находим произведение средней мощности передатчика на эффективную площадь антенны:
, (1.23)
где
- эффективная отражающая площадь поверхности цели.
Вт*м2.
Найдем значение средней мощности передатчика:
Вт. (1.24)
Найдем стоимость РЛС:
. (1.25)
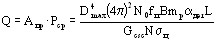
Определим значение средней мощности передатчика и эффективную площадь антенны по критерию минимума стоимости РЛС на первой итерации:
![]()
Вт, (1.26)
м2. (1.27)
Определим теперь значение длины волны, соответствующее рассчитанным величинам. Так как в нашей РЛС используется совмещенная антенна, то
и
связаны соотношением:
. (1.28)
и следовательно:
м. (1.29)
Проверим выполнение условия:
, (1.30)
. (1.31)
где
.

![]()
![]()
Так как ни одно из условий не выполняется, проведем оптимизацию параметров на ЭВМ. Значение стоимости РЛС и длины волны на каждой итерации сведены в табл. 1.1.
Результаты расчетов до оптимизации и параметров РЛС после проведения оптимизации на ЭВМ приведены в приложении 1.
Таблица 1.1№ итерации |
Длина волны на предыдущей итерации |
Стоимость РЛС на предыдущей итерации |
Новая граница длины волны |
1 |
0,1 м |
67564 |
0,134 м |
2 |
0,134 м |
52252 |
0,12 м |
3 |
0,12 м |
44958 |
0,125 м |
4 |
0,125 м |
43489 |
0,124 м |
5 |
0,124 м |
42252 |
Оптимально |
Под стоимостью С1 понимают взвешенную сумму 1 Вт мощности передатчика и 1 м2 антенны. В результате оптимизации стоимость РЛС уменьшилась с 67564 до 42252, была получена оптимальная длина волны λ = 0,124 м, которая больше длины волны до оптимизации (λ = 0,1 м). Это приводит к тому, что при фиксированном коэффициенте усиления антенны произошло увеличение ее эффективной площади. Энергетический потенциал станции фиксирован, следовательно при увеличении эффективной площади антенны происходит уменьшение средней мощности передатчика.
2. ВЫБОР И РАiЕТ ПАРАМЕТРОВ ЗОНДИРУЮЩИГО СИГНАЛА
После оптимизации мы получили базу сигнала равную В = 8. Из-за того, что база сигнала больше единицы возникает противоречие между максимальной дальностью и разрешающей способности по дальности. При использовании простого сигнала это противоречие невозможно обойти, однако использование сложных сигналов позволяет обеспечить требуемые параметры. Наиболее известными сложными сигналами являются фазоманипулированные сигналы (ФМ) и сигналы с линейной частотной модуляцией (ЛЧМ). Из курса лекций М.Б.Свердлика и А.Н.Мелешкевича известно, что при базе сигнала меньше 20 предпочтительней использовать ФМ сигнал.
Аналитическое описание фазоманипулированного сигнала имеет вид:
, (2.1)
где 
Свойство фазоманипулированных сигналов при заданных М и Т0 полностью описываются кодовой последовательностью:
(2.2)
Среди фазоманипулированных сигналов наибольшее распространение получили бифазные сигналы
, которые строятся на базе кодовых последовательностей максимальной длины (КМД) или М-последовательностей
. Между значениями Ψm и значениями Xm М-последовательности, имеется однозначное соответствие:
![]()
Рассмотрим ФМ сигнал для нашей РЛС.
ГГц
мкс
М-последовательность является переодической с периодом
, который должен быть не меньше базы сигнала. Таким образом В = 7.51 ≅ 8, и следовательно, М ≥ 8. При m = 4 получим М = 15, где m тАУ степень порождающего полинома М-последовательности.
Сгенерируем М-последовательность с минимальным уровнем боковых лепестков функции автокорреляции. Величина боковых лепестков зависит от вида порождающего полинома и от начальной комбинации. Воспользуемся таблицами, приведенными в методических указаниях [4].
(2.3)
Согласно этому полиному (2.3) и для начальной комбинации 1000, построим структурную схему генератора ФМ сигнала:
Рис.2.1 Структурная схема генератора ФМ сигнала
Построим М-последовательность, реализованную схемой изображенной на рис.2.1. Результаты сведем в табл.2.1.
Таблица 2.1
Х4 |
0 |
0 |
0 |
1 |
1 |
1 |
1 |
0 |
1 |
0 |
1 |
1 |
0 |
0 |
1 |
Х3 |
0 |
0 |
1 |
1 |
1 |
1 |
0 |
1 |
0 |
1 |
1 |
0 |
0 |
1 |
0 |
Х2 |
0 |
1 |
1 |
1 |
1 |
0 |
1 |
0 |
1 |
1 |
0 |
0 |
1 |
0 |
0 |
Х1 |
1 |
1 |
1 |
1 |
0 |
1 |
0 |
1 |
1 |
0 |
0 |
1 |
0 |
0 |
0 |
Х0 |
1 |
1 |
1 |
0 |
1 |
0 |
1 |
1 |
0 |
0 |
1 |
0 |
0 |
0 |
1 |
0 |
0 |
0 |
1 |
1 |
1 |
1 |
0 |
1 |
0 |
1 |
1 |
0 |
0 |
1 |
|
1 |
0 |
0 |
0 |
1 |
1 |
1 |
1 |
0 |
1 |
0 |
1 |
1 |
0 |
0 |
1 |
0 |
1 |
1 |
1 |
0 |
0 |
0 |
0 |
1 |
0 |
1 |
0 |
0 |
1 |
1 |
|
0 |
1 |
1 |
1 |
0 |
0 |
0 |
0 |
1 |
0 |
1 |
0 |
0 |
1 |
||
1 |
0 |
0 |
0 |
1 |
1 |
1 |
1 |
0 |
1 |
0 |
1 |
1 |
|||
1 |
0 |
0 |
0 |
1 |
1 |
1 |
1 |
0 |
1 |
0 |
1 |
||||
0 |
1 |
1 |
1 |
0 |
0 |
0 |
0 |
1 |
0 |
1 |
|||||
1 |
0 |
0 |
0 |
1 |
1 |
1 |
1 |
0 |
1 |
||||||
0 |
1 |
1 |
1 |
0 |
0 |
0 |
0 |
1 |
|||||||
1 |
0 |
0 |
0 |
1 |
1 |
1 |
1 |
||||||||
1 |
0 |
0 |
0 |
1 |
1 |
1 |
|||||||||
1 |
0 |
0 |
0 |
1 |
1 |
||||||||||
1 |
0 |
0 |
0 |
1 |
|||||||||||
0 |
1 |
1 |
1 |
||||||||||||
0 |
1 |
1 |
|||||||||||||
0 |
1 |
||||||||||||||
1 |
0 |
1 |
2 |
1 |
2 |
1 |
0 |
1 |
0 |
3 |
2 |
1 |
0 |
15 |
Рис. 2.2 Построение огибающей ФМ сигнала на выходе согласованного фильтра
Схема, изображенная на рис.2.1 работает следующим образом. Генератор тактовых импульсов ГТИ вырабатывает тактовые импульсы с периодом Т0. Делитель частоты делит частоту тактового импульса до частоты повторения зондирующего сигнала. Формирователь управляющих импульсов длительностью МТ0 (ФУИ МТ0) синхронизируется сигналами с выхода делителя частоты (а также с блока синхронизации нестабильности линии задержки ЧПК) и формирует импульсы длительностью МТ0. Эти импульсы включают коммутатор, подключенный к генератору гармонического колебания. В зависимости от кода М-последовательности (0 или 1) на выходе коммутатора получаем гармоническое колебание со сдвигом фазы 0 или π соответственно.
Рассмотрим автокорреляционную функцию полученного сигнала, которая будет соответствовать комплексной огибающей на выходе согласованного фильтра.
Рис. 2.3 Результирующая огибающая сигнала на выходе согласованного фильтра
Структурная схема фильтра согласованного с ФМ сигналом, описанным кодовой последовательностью
,
изображена в приложении 2.
3. СТРУКТУРНАЯ СХЕМА РЛС
Импульсные РЛС, осуществляющие когерентный прием и содержащие устройство ЧПК, называют РЛС с селекцией движущихся целей (РЛС с СДЦ).
Основная цель использования РЛС с СДЦ является режекция сигналов пассивныхпомех от неподвижных целей (зданий, холмов, деревьев), и выделение сигналов отраженных от движущихся целей для их дальнейшего использования в обнаружителях и отображения радиолокационной обстановки на индикаторе.
РЛС с СДЦ подразделяются на истинно-когерентные и псевдо-когерентные.
В истинно-когерентных РЛС зондирующий сигнал представляет собой когерентную последовательность радиоимпульсов с одинаковой начальной фазой всех радиоимпульсов или с известной разностью начальных фаз радиоимпульсов отстоящих на
.
В псевдо-когерентных РЛС зондирующий сигнал представляет собой некогерентную последовательность радиоимпульсов, но при обработке принятых сигналов случайность начальных фаз используется таким образом, что прием становится когерентным.
Другими словами, как в истинно-когерентных РЛС, так и в псевдо- когерентных РЛС сигнал на выходе линейного тракта приемника, полученный при отражении зондирующего сигнала от неподвижной точечной цели, представляет собой импульсную когерентную пачку с одинаковыми начальными фазами радиоимпульсов, а при отражении от подвижной точечной цели, движущейся с радиальной скоростью
начальные фазы радиоимпульсов в соседних периодах повторения отличается на
.
При анализе работы когерентно-импульсных РЛС обычно делается допущение, что в пределах главного "луча" диаграмма направленности постоянна, а вне главного "луча" излучение и прием не проводятся. Это допущение позволяет считать, что даже с учетом сканирования антенны амплитуды всех импульсов когерентной пачки, полученной при отражении зондирующего сигнала от точечной подвижной или неподвижной цели, одинаковы.
Истинно-когерентные РЛС строятся на базе многокаскадного передатчика с усилителями мощности на выходе, а псевдо-когерентные РЛС - на базе высокочастотного генератора.
Для проектируемой РЛС необходимо использовать сложный сигналы с
, для этого, как правило, используются истинно-когерентные РЛС .
На рис.3.1 приведена упрощенная структурная схема одного из вариантов истинно-когерентных РЛС.
Рис. 3.1 Обобщенная структурная схема РЛСРазвернутая структурная схема истинно-когерентной РЛС приведена в приложении 3.
В данной РЛС с СДЦ в качестве передатчика используется усилитель мощности (УМ) с импульсной модуляцией, а опорный сигнал формируется с помощью стабильного генератора (СГ) гармонических колебаний на частоте fпр. Преимущество данной схемы состоит в том, что она позволяет применить активный способ формирования ФМС не только на несущей частоте, но и на более низких радиочастотах.
Сигнал от стабильного генератора (СГ) в качестве опорного подается на когерентный детектор (КД). Он же поступает на формирователь ФМ сигнала (ФФМС) и далее, на смеситель (СМ1), куда одновременно подается сигнал от местного гетеродина (МГ), генерирующего гармоническое колебание на частоте fмг=f0-fпр. Колебания с выхода СМ1 на частоте f0 поступают на усилитель мощности (УМ), в котором происходит усиление и импульсная модуляция гармонического ФМ колебания частотой f0. На выходе усилителя мощности получаются ФМ импульсы требуемой мощности и длительности, следующие с частотой fп. Эти импульсы через антенный переключатель (АП) поступают на антенну.
В режиме приема сигналы с выхода АП поступают на смеситель (СМ2),куда одновременно подается колебание от МГ. Сигналы промежуточной частоты с выхода СМ2 поступают на усилитель радиочастоты (У), настроенный на промежуточную частоту, и далее на согласованный фильтр, затем на КД, куда подается опорный сигнал с выхода СГ. Сигналы с выхода КД поступают на устройство черезпериодной компенсации (ЧПК) заданной кратности. После преобразования в однополярные сигналы с выхода ЧПК подаются на накопитель пачки импульсов (БН) и затем на видеоусилитель (ВУ), а из него на устройства обнаружения и измерения координат цели.
Для компенсации нестабильности линии задержки, используемой в ЧПК, необходима корректировка периода повторения излучаемых импульсов. Для этих целей служит блок синхронизации (БС), который, учитывая эту нестабильность, управляет формированием пачки зондирующих импульсов и блоком начальной установки (БНУ) через логическую схему (ЛС).
Проведем выбор элементной базы к данной структурной схеме:
В РЛС обнаружения с круговым обзором наибольшее распространение получили зеркальные антенны, состоящие из слабонаправленного излучастеля и зеркального отражателя. Отражатель выполняется в виде усеченного парабалоида, что позволяет получить диаграмму направленности вида косеканс квадрат.
В качестве усилителя мощности используется лампа бегущей волны (ЛБВ)
Приемник в РЛС строится по супергетеродинной схеме, которая позволяет получить более высокую чувствительность приемного тракта. Входным устройством приемника является полупроводниковый смеситель.
Местный гетеродин вследствии высоких требований к стабильности частоты выполняется на базе стабильного задающего генератора.
Согласованный фильтр для ФМ сигнала может быть реализован на основе ультразвуковых линий задержки (УЛЗ).
Формирователь ФМС описан при расчете параметров ФМ сигнала.
СПИСОК ЛИТЕРАТУРЫ- Методические указания к изучению темы ВлПринципы и физические основы построения радиолокационных и радионавигационных системВ» по дисциплине ВлОсновы теории радиотехнических системВ» для студентов специальности 23.01 / Сост. М.Б.Свердлик. тАУ Одесса: ОПИ, 1991. тАУ 112 с.
- Тексты лекций по дисциплине ВлОсновы теории радиотехнических системВ». Раздел ВлОбнаружение сигналовВ» для студентов специальности 23.01 / Сост. М.Б.Свердлик. тАУ Одесса: ОПИ. 1992. тАУ 87 с.
- Методические указания по изучению темы ВлСтатистическая оценка параметров и синтез измеретилей координат целейВ» для студентов специальности 23.01 / Сост. М.Б.Свердлик. тАУ Одесса: ОПИ, 1990. тАУ 53 с.
- Тексты лекций по дисциплине ВлОсновы теории радиотехнических системВ». Раздел ВлСложные сигналыВ» для студентов специальности 23.01 / Сост. М.Б.Свердлик. тАУ Одесса: ОПУ. 1996. тАУ 51 с.
- Методические указания к курсовому проектированию по дисциплине ВлОсновы теории радиотехнических системВ» для студентов специальности 23.01 / Сост. М.Б.Свердлик, А.А.Кононов, В.Г.Макаренко. тАУ Одесса: ОПИ, 1991. тАУ 52 с.
- Лезин Ю. С. ВлВведение в теорию и технику радиотехнических системВ»: Учеб. пособие для вузов. тАУМ.: Радио и связь, 1986. тАУ 280 с., ил.
- ВлРадиотехнические системыВ» / Под. ред. Ю.М.Казаринова. тАУ М.: Высш. шк., 1990.
Структурная схема согласованного фильтра для когерентной 12-импульсной пачки 15-позиционных ФМ сигналов.
А тАУ согласованный фильтр для одного импульсаВ тАУ накопитель пачки импульсов
Приложение 3 Развернутая структурная схема РЛСРазвернутая схема согласованного фильтра (i) и блока накопления (БН) приведена в приложении 2. Развернутую же схему ЧПК, благодаря любезности преподавателя, магистрантам можно не приводить.
Вместе с этим смотрят:
РадиолокацияРадиоприем, приемники и передатчики
Радиорелейная связь
Радиотехническая система связи