Разработка конструкции и технологии изготовления печатного узла
БАЛТИЙСКИЙ ГОСУДАРСТВЕННЫЙ ТЕХНИЧЕСКИЙ УНИВЕРСИТЕТВлВОЕНМЕХВ» им. Д.Ф. Устинова
Кафедра Н2 Курсовая работана тему: Разработка конструкции и технологии печатного узла
Студент:
Группа:
Преподаватель: Акимов Г.А.
Санкт-Петербург
200 год
Содержание1. Исходные данные.
1.1. Условия эксплуатации.
1.2. Годовая программа выпуска.
2. Конструкторско-технологический расчет платы.
2.1. Расчет параметров проводящего рисунка с учетом технологических
погрешностей получения защитного рисунка.
2.2. Расчет параметров проводящего рисунка с учетом технологических
погрешностей получения защитного рисунка.
2.3. Расчет проводников по постоянному току.
2.4. Расчет проводников по переменному току.
3. Анализ технического задания и выбор конструкции узла с учетом
параметров печатной платы и вида соединителя.
3.1. Расчет механической прочности.
3.2. Расчет теплового режима.
1. ИСХОДНЫЕ ДАННЫЕ
Цифровой октан-корректор применяется в автомобильной РЭА (возимая РЭА на транспорте).
Данная РЭА обладает следующими основными характеристиками:
1) Окружающая температура, К: ТMIN = 233К;
ТMAX = 333К;
2) Относительная влажность при 298К, %: 93%;
3) Удары:
а) длительность, мс:
= 5 тАж 10мс;
б) ускорение, м/с2: аН 147м/с2;
в) частота, мин-1:
= 40 тАж 80мин-1;
4) Вибрации:
а) диапазон частот, Гц: fH тАж fB = 4 тАж 80Гц;
б) виброускорение, м/с2: а = 78,5м/с2;
5) Линейные ускорения, м/с2: 3,12м/с2;
6) Пониженное атмосферное давление, кПа: Н = 61кПа;
7) Дополнительные условия:
Возникновение инея и росы, дождя, воздушного потока,
ГОСТ 16019 тАУ 78.
1.2. Годовая программа выпуска.
Технология сборки и монтажа печатного узла разрабатывается для массового и крупносерийного производства.
1.3. Анализ электрической принципиальной схемы.
Описываемый ниже электронный цифровой октан-корректор позволяет оперативно, с рабочего места водителя, менять ОЗ от 0 до 16,80 относительно начального угла, определяемого механическим октан корректором; шаг регулирования тАУ 1,40. Технические характеристики электронного октан-корректора практически не зависят от температуры окружающей среды. Возможные колебания установленного угла не превышает ±0,10. Устройство предназначено для работы совместно с любой системой электронного зажигания. Угол ОЗ регулируют малогабаритным галетным переключателем на 12 положений.
Устройство состоит из узла, устраняющего влияние дребезга контактов прерывателя (VT1, DD3.1, DD3.4), генератора прямоугольных импульсов (DD1.1, DD1.4), счетчика DD4 с переменным коэффициентом счета, реверсивного счетчика (DD5 тАУ DD7), триггера (DD2.1, DD2.2), одновибратора (DD3.3, DD1.2) и усилителя, формирующего выходной импульс (VT3, VT4).
После включения питания триггер DD2.1, DD2.2 может установиться в любое положение. Предположим, что на выходе элемента DD2.2 будет высокий уровень. Тогда импульсы частотой около 640кГц с выхода генератора DD1.1, DD1.4, пройдя через счетчик DD4, делитель частоты на счетчике DD8, элемент DD2.3, попадут на вход +1 реверсивного счетчика DD5 тАУ DD7. При появлении на выходах 4,8 счетчика DD7 сигнала высокого уровня элемент DD1.3 запретит работу счетчика DD4 и заполнение счетчика DD5 тАУ DD7 прекратится.
После первого размыкания контактов прерывателя на выходе одновибратора DD3.1, DD3.4 сформируется импульс длительностью около 500мкс, необходимый для устранения влияния дребезга контактов при их размыкании. После дифференцирования цепью C5R13R14 этот импульс переключит триггер DD2.1, DD2.2 и обнулит счетчик DD8, триггер своими выходными сигналами обнулит счетчик DD4, запретит прохождение импульсов с генератора на вход +1 реверсивного счетчика и разрешит прохождение импульсов через делитель частоты DD8 и элемент DD2.4 на вход тАУ1 счетчика DD5 тАУ DD7. В момент обнуления реверсивного счетчика на катодах диодов VD6 тАУ VD17 появится сигнал низкого уровня. Выходной импульс эмиттерного повторителя на транзисторе VT2 запускает одновибратор DD3.3, DD1.2.
В корректоре использованы резисторы: R6 тАУ МЛТ-2, остальные МЛТ-0,125; конденсаторы: С15 тАУ К52-1, остальные тАУ КМ6-Б или КМ5. Переключатель SA1 тАУ ПГ2-8-12П4НВ, SA2 тАУ МТ-3. Вместо КД522А (VD1 тАУ VD4) можно применить любые кремниевые маломощные диоды, рассчитанные на прямой ток не менее 100мА (например, КД102А, КД509А). Остальные диоды можно заменить на КД503А, КД509А.
Транзистор КТ817Б можно заменить на КТ801А, Кт815А.
1.4. Выбор типа и технологии печатной платы, класса точности, габаритных размеров, материала, толщины и шага координатной сетки.
Наименование воздействующего фактора |
Значение воздействующего фактора по группе жесткости |
||||
1 |
2 |
3 |
4 |
||
Температура окружающей среды |
Повышенная Пониженная Время выдержки |
85 |
-60 |
100 |
120 |
Повышенная влажность |
Относ. влажность Температура Время выдержки |
2 суток |
93 40 4 суток |
10 суток |
21 суток |
Циклическое воздействие температур |
Верхнее значение Нижнее значение Число циклов |
55 -40 2 |
85 4 |
120 9 |
|
Давление, кПа/мм рт ст |
53,6/400 |
0,67/5 |
Приведенная таблица тАУ группы жесткости по ОСТ 4.077.000. Нашей схеме соответствует 3 группа жесткости по значениям воздействующих факторов.
Выбираем двухстороннюю печатную плату (ДПП) с металлизированными монтажными и переходными отверстиями, так как она обеспечивает достаточно высокую плотность монтажа (больше, чем при односторонней) и низкую себестоимость) меньше, чем у многослойных). Также обеспечивается повышенная ремонтопригодность и прочность.
Выбираем полуаддитивный метод формирования проводящего слоя, так как он обеспечивает достаточную точность при наименьшей из всех методов себестоимости при массовом и крупносерийном производстве.
Выбираем сеткографический метод нанесения защитного покрытия, как обеспечивающий высокую производительность и экономичность в массовом производстве, а также имеющем высокую точность.
Выбираем 3 класс точности:
а) ширина проводника тАУ 0,25мм;
б) расстояние между элементами тАУ 0,25мм;
в) гарантированный поясок тАУ 0,1мм;
г) отношение диаметра отверстия к толщине тАУ 0,33.
Габаритные размеры платы 100x60мм. Материал основания печатной платы тАУ стеклотекстолит, так как он обеспечивает необходимый запас по прочности без применения специальных методов увеличения прочности.
Шаг координатной сетки 2,5мм.
2. КОНСТРУКТОРСКО-ТЕХНОЛОГИЧЕСКИЙ РАiЕТ ПЛАТЫ
2.1. Расчет параметров проводящего рисунка с учетом технологических погрешностей его получения.
Номинальное значение диаметра монтажного отверстия (для установки навесного элемента):
dЭ = 1мм тАУ максимальное значение диаметра вывода навесного элемента;
r = 0,25мм тАУ разность между минимальным значением диаметра отверстия и
максимальным диаметром вывода устанавливаемого элемента;
dHO = - 0,15мм тАУ нижнее предельное отклонение номинального значения
диаметра отверстия;
![]()
d = 1,4мм тАУ диаметр монтажного отверстия.
Номинальное значение ширины проводника:
tМД =0,25мм тАУ минимально допустимая ширина проводника;
tHO = - 0,08мм тАУ нижнее предельное отклонение ширины проводника;
![]()
t = 0,33мм тАУ номинальное значение ширины проводника.
Номинальное значение расстояния между элементами проводящего рисунка:
SМД = 2,35мм тАУ минимально допустимое расстояние между элементами
проводящего рисунка;
tВО = 0,1мм тАУ верхнее предельное отклонение ширины проводника;
![]()
Диаметральное значение позиционного допуска расположения центров отверстий относительно номинального положения узла координатной сетки:
![]()
Диаметральное значение позиционного допуска расположения контактных площадок относительно их номинального положения:
![]()
Минимальный диаметр контактной площадки:
dВО = 0,05мм тАУ предельное отклонение;
bП = 0,1мм тАУ ширина гарантированного пояска;
dТР = 0 тАУ глубина подтравливания диэлектрика;

Номинальное значение диаметра монтажного отверстия (для установки навесного элемента):
dЭ = 0,5мм тАУ максимальное значение диаметра вывода навесного элемента;
r = 0,2мм тАУ разность между минимальным значением диаметра отверстия и
максимальным диаметром вывода устанавливаемого элемента;
dHO = - 0,15мм тАУ нижнее предельное отклонение номинального значения
диаметра отверстия;
![]()
d = 0,85мм тАУ диаметр монтажного отверстия.
Минимальный диаметр контактной площадки:
dВО = 0,05мм тАУ предельное отклонение;
bП = 0,1мм тАУ ширина гарантированного пояска;
dТР = 0 тАУ глубина подтравливания диэлектрика;

2.2. Расчет конструктивных параметров печатных плат с учетом погрешностей получения защитного рисунка.
Технологические коэффициенты и погрешности, мм |
Обозначение |
Величина |
1 |
2 |
3 |
Толщина предварительно осажденной меди |
hПМ |
0,006 |
Толщина наращенной гальванической меди |
hГ |
0,05 |
Толщина металлического резиста |
hР |
0,02 |
Погрешность расположения отверстия относительно координатной сетки, обусловленная точностью сверлильного станка |
|
0,05 |
Погрешность базирования плат на сверлильном станке |
|
0,03 |
Погрешность расположения оси контактной площадки относительно оси координатной сетки на фотошаблоне |
|
0,04 |
Погрешность расположения проводника на фотошаблоне относительно координатной сетки |
|
0,04 |
Погрешность расположения элементов при экспонировании на слое |
|
0,03 |
Погрешность расположения контактной площадки на слое из-за нестабильности его линейных размеров, % от толщины |
|
0,1 |
Погрешность расположения базовых отверстий на заготовке |
|
0,03 |
Погрешность расположения базовых отверстий на фотошаблоне |
|
0,03 |
Погрешность расположения контактной площадки на слое, обусловленная точностью пробивки базовых отверстий |
|
0,03 |
Погрешность расположения контактной площадки, обусловленная точностью изготовления базовых штырей пресс-форм |
|
0,04 |
Погрешность диаметра отверстия после сверления |
|
0.03 |
Погрешность изготовления окна фотошаблона |
|
0,03 |
Погрешность изготовления линии фотошаблона |
|
0,04 |
Погрешность диаметра контактной площадки фотокопии при экспонировании рисунка |
|
0,03 |
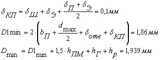
Минимальный диаметр металлизированного отверстия:
HП = 2мм тАУ толщина платы;
= 0,4мм тАУ отношение диаметра металлизированного отверстия к толщине
платы;
![]()
Минимальный диаметр просверленного отверстия:
dМОТВ = 1мм тАУ диаметр металлизированного отверстия;
dСВ = 1,1мм тАУ диаметр сверла;
dMAX = 1,3мм
Погрешность расположения отверстия:
![]()
Минимальный диаметр контактных площадок:

Минимальный диаметр окна фотошаблона для контактной площадки:
DШMIN = DMIN тАУ (hГ + hP) = 1,869мм
Максимальный диаметр окна фотошаблона для контактной площадки:
DШMАX = DШMIN +
DШ = 1,899мм
Максимальный диаметр контактной площадки:
DMАХ = DШMAX +
Э + hP + hГ = 1,999мм
Минимальная ширина проводников:
tП1MIN = 0,18мм тАУ эффективная минимальная ширина проводника;
![]()
Минимальная ширина линии на фотошаблоне:
=
тАУ (hГ + hP) = 0,189мм
Максимальная ширина линии на фотошаблоне:
tШMАX = tШMIN +
tШ = 0,229мм
Максимальная ширина проводников:
tПМАХ = tШMAX +
Э + hP = 1,999мм
Минимальное расстояние между проводником и контактной площадкой:
L0 = 2,5мм тАУ расстояние между рассматриваемыми элементами;

Минимальное расстояние между контактными площадками:
![]()
Минимальное расстояние между двумя проводниками:
![]()
Минимальное расстояние между проводником и контактной площадки:

Минимальное расстояние между двумя контактными площадками на фотошаблоне:
![]()
Минимальное расстояние между двумя проводниками на фотошаблоне:
![]()
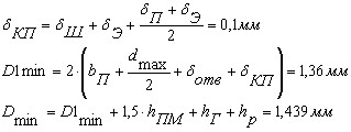
Минимальный диаметр просверленного отверстия:
dМОТВ = 0,5мм тАУ диаметр металлизированного отверстия;
dСВ = 0,6мм тАУ диаметр сверла;
dMAX = 0,8мм
Минимальный диаметр контактных площадок:

Минимальный диаметр окна фотошаблона для контактной площадки:
DШMIN = DMIN тАУ (hГ + hP) = 1,369мм
Максимальный диаметр окна фотошаблона для контактной площадки:
DШMАX = DШMIN +
DШ = 1,399мм
Максимальный диаметр контактной площадки:
DMАХ = DШMAX +
Э + hP + hГ = 1,499мм
Минимальное расстояние между проводником и контактной площадкой:
L0 = 2,5мм тАУ расстояние между рассматриваемыми элементами;

Минимальное расстояние между контактными площадками:
![]()
Минимальное расстояние между двумя проводниками:
![]()
Минимальное расстояние между проводником и контактной площадки:

Минимальное расстояние между двумя контактными площадками на фотошаблоне:
![]()
Минимальное расстояние между двумя проводниками на фотошаблоне:
![]()
2.3. Расчет проводников по постоянному току.
а) падение напряжения на проводнике:
- удельное сопротивление проводника;
hФ = 0,05мм тАУ толщина фольги;
bФ = 0,259мм тАУ ширина проводника;
I = 0,4мм тАУ ток;
l = 115мм тАУ длина проводника;

Условие UП < UЗПУ = 60,39мВ < 0,4В.
б) Для шин питания и земли:
ЕП = 12В тАУ номинальное значение напряжения питания;
l = 103мм;

SПЗ = 0,29мм2 тАУ сечение проводника шины питания и земли.
в) Определение сопротивления изоляции:
Поверхностное сопротивление изоляции параллельных печатных
проводников:
= 5*1010 Ом тАУ удельное поверхностное сопротивление
диэлектрика из стеклотекстолита;
l = 22,5мм;
= 2,5мм тАУ зазор между проводниками;
![]()
Объемное сопротивление изоляции между проводниками
противоположных слоев ДПП:
= 5*109 Ом*м тАУ объемное удельное сопротивление диэлектрика из
стеклотекстолита;
hПП = 2мм тАУ толщина печатной платы;
SП = 8,84мм2 тАУ площадь проекции одного проводника на другой;

Сопротивление изоляции параллельных проводников:
bПР = 0,259мм тАУ ширина проводника;
= 2,5мм тАУ зазор между проводниками;
l = 5мм тАУ длина совместного прохождения;

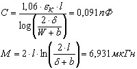
2.4. Расчет проводников по переменному току.
Падение импульсного напряжения на проводнике в 1 см.
LПО = 1,73А тАУ погонная индуктивность одиночного проводника;
I = 8*10-3мкГн/см тАУ изменение выходного тока переключения;
tИ = 100нс тАУ длительность импульса;

Максимальная длина проводника:
![]()
Задержка сигналов в линии связи:
- задержка по проводнику в вакууме;
= 5 тАУ относительная диэлектрическая проницаемость платы;
= 1 - относительная магнитная проницаемость платы;
l = 0,25м;
![]()
Рассчитываем значение емкости печатных проводников ( С ) и коэффициент взаимоиндукции ( М ):
- ширина проводника;
- зазор между проводниками;
- толщина фольги;
;

3. Анализ технического задания и выбор конструкции узла с учетом
параметров печатной платы и вида соединителя.
3.1. Расчет механической прочности.
Исходные данные для расчета ПУ на вибропрочность:
- длина платы, м:
- ширина, м:

- толщина, м:

- материал печатной платы:
- плотность, кг/м3:

- модуль упругости, Н/м2:

- коэффициент Пуассона:

- предел прочности, Н/м2:

- масса всех ЭРЭ на ПП, кг:

- виброускорение, м/с2:

- виброперегрузка:
.
- Низшие собственные частоты печатных узлов:
- главный центральный момент инерции;
= 484,45
556,74кГц
2) Напряжение в пластине:
- масса ПУ;
РН =120Н тАУ дополнительное усиление стягивания винтами;
- нагрузка на пластину;

Запас прочности:
.
Список литературы
1. Е.М.Парфенов, Э.Н.Камышная, В.П.Усачев.
тАЬПроектирование конструкций радиоэлектронной аппаратурытАЭ
М.: Радио и связь, 1989г. - 272с.
2. В.А.Егоров, К.М.Лебедев, Ю.Г.Мурашев, Ю.Ф.Шеханов
тАЬКонструкторско-технологическое проектирование печатных
узловтАЭ Под редакцией Ю.Г.Мурашева. БГТУ СПб, 1995г. тАУ 92с.
3. http://" onclick="return false">
Вместе с этим смотрят:
Разработка медицинского цифрового термометраРазработка микропроцессорного устройства цифрового фильтра
Разработка печатного узла портативного частотомера
Разработка схемы радиоприемника