Расчет централизованных вакуумных систем

Расчет централизованных вакуумных систем .

       В централизованных вакуумных системах откачки одним насосом одновременно откачивается несколько объектов подключенных к общему коллектору . Пример централизованной системы является подключение нескольких высоковакуумных насосов к одному форвакуумному насосу . Расчетная схема централизованной откачки показана на рис. 1 . Вакуумный насос через трубопровод длиной    проводимостью подключен к коллектору длиной . Откачиваемые насосы с производительностями соединены с коллектором через соединительные трубопроводы длиной и характеризуются известными коэффициентами одновременности работы и нестабильного рабочего давления .

       Для  коллектора на участках между последовательно подключенными откачиваемыми насосами в установившемся режиме справедливы следующие уравнения газовых потоков :

( 1 ) .

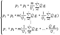
Систему 1 можно переписать в следующем виде :

   ( 2 ).

       При заданных размерах коллектора , определяющих проводимости , потоках и давление в одной из точек подключения откачиваемых объектов ( обычно ) из системы ( 2) могут быть определены давления во всех остальных сечениях коллектора , в том числе и давление .

       Давление при централизованной откачке насосов выбирают меньше максимального выпускного давления высоковакуумного насоса .

       Быстрота действия насоса ( номинальная )

  ,

где тАУ суммарная производительность откачки ( ) ; тАУ коэффициент использования насоса ; тАУ в месте подключения первого откачиваемого объекта ; тАУ предельное давление насоса .

       Проводимость трубопровода 1 определяют по формуле .

       По найденному значению проводимости , длине трубопровода , предварительно определив режим течения газа , можно найти диаметр первого трубопровода .

       Диаметры соединительных трубопроводов длиной определяются из проводимостей по заданному перепаду между коллектором и откачиваемыми объектами .

Рис1. Схема централизованной вакуумной системы . Используемая литература :

Л.Н. Розанов . Вакуумная техника .

Москва Вл Высшая школа В» 1990 .

Вместе с этим смотрят:

Расчёт элементов эмиттерно-связанной логики
Реверсная магнитная фокусирующая система мощного многолучевого клистрона
Ремонт и обслуживание СВЧ-печей
Рождение телевидения