Способ определения живучести связи

СПОСОБ ОПРЕДЕЛЕНИЯ ЖИВУЧЕСТИ.

       Определению живучести связи (вероятности связности) между двумя конкретными узлами сети i и j посвящен целый ряд работ [1-5]. Однако расчет точного ее назначения сопряжен с большими вычислительными трудностями. Представляет интерес найти простой способ определения вероятности связности сети, который позволял бы оперативно и вручную проводить на стадии проектирования оценку различных вариантов их построения.

       Рассмотрим сеть той же мостиковой структуры, что и в [1] (рис.1). Для простоты будем полагать вероятности исправного функционирования всех ребер сети одинаковыми и равными р , а неисправного функционирования - равными q=1-p. Для оценки живучести воспользуемся методом прямого перебора состояний элементов сети связи [5]. На основании биноминального закона вероятность пребывания сети связи в состоянии, когда i любых ребер сети отказали,, где - биноминальный коэффициент; N тАУ число ребер сети.

Например, для сети, изображенной на рис. 1, живучесть связи р13 зависит от следующей

совокупности независимых событий: исправного состояния сети в целом тАУ вероятность этого события равна  р3; повреждения любого одного ребра сети тАУ вероятность одновременного повреждения любых двух ребер сети, за исключением двух случаев, когда оба ребра подходят к узлу 1 или к узлу 3 тАУ вероятность одновременного повреждения трех ребер сети, подходящих к узлу 2 или 4 тАУ вероятность 2р2q3.

       Суммируя все вероятности независимых событий, получаем искомое выражение :

что полностью совпадает полученными результатами в [1].

Аналагично для всех остальных пар узлов сети рис. № 1.

Из анализа видно, что

       Связанной сетью являются сеть, в которой любой из узлов соединен с остальными узлами сети. Вероятность связанности сети рис. № 1

так как эта сеть допускает все одиночные повреждения ребер и восемь двойных повреждений ребер. Вероятность связности сети меньше или равна живучести связи между любой парой узлов сети, в данном случае рс<р13.

       С точки зрения характеристики сети интерес представляют вероятность рс, минимальная рмин   и максимальная рмакс живучести связи между любой парой узлов сети и соотношения между ними. Для сети рис №1: рс < рмин = р13 < р12 = р14 = р23 = р34 < р24 =рмакс.

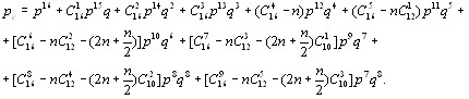
       Аналогично можно найти выражения для вероятности связности полносвязных сетей. Для сети с тремя вершинами (n=3)

                       (1)

для n=4;

      (2)

для n=5;

         (3)

для n=6;

    (4)

       Для рс при n=7тАж.10 расчетные формулы не приводятся из-за громоздкости.

       Вероятность  связности для кольцевых сетей связи, т.е. сетей, у которых степень для каждой вершины равна 2 (степенью вершины d называются число граней графа сети, инцидентных данной вершине [6]),

       На рис 2 определена зависимость рс от р для кольцевых сетей при различных n. Из ее анализа видно, что вероятность связности кольцевых сетей  падает с увеличением числа узлов сети при одних и тех же значениях р.

Рис № 2. 

       На практике довольно редко встречаются полносвязные сети. Обычно бывают сети с небольшими степенями вершин. Имеется большое семейство графов (так называемых равнопрочных) , в которых степень вершины d, число вершин n и общее число граней m связаны следующим соотношением: d=2m/n (при n>2).

       Например для шестиугольника (n=6) без резервирования связей можно построить четыре различных графа с d=2, 3, 4, 5. Вероятности связности этих графов определяется следующими выражениями:

При d=2 (рис. 3,а)

                          (5)

при d=3 (рис. 3,б)

   (6)

при d=4 (рис. 3,в)

    (7)

       При n=8 можно построить шесть различных графов с d=2тАж.7; вероятность связности  этих графов определится следующими выражениями:

d=2 (рис. 4,а)

                       (8)

d=3 (рис. 4,б)

     (9)

d=4 (рис. 4,в)

(10)

       Расчетные формулы для рс при d=5 и 6 из-за громоздкости не приводятся.

       На рис 5 и 6 представлены зависимости вероятности связности сети с n=6, 8 соответственно при различных d (сплошные линии), построенные по формулам (5) тАУ (10). Из рисунков видно, что увеличение вероятности связности сети с увеличением d при неизменном p объясняется тем , что с увеличением d возрастает разветвленность сети связи.

       К сожалению, ловольно трудно получить аналитическое выражение для вероятности связности сети рассматренного семейство графов при различных d и n, за исключением полносвязных сетей  с  d = n тАУ 1 [см.выражение (1) тАУ (4)]. По этому целесобразно определять верхнюю груницу вероятности связности графов. Если граф связный, то в нем не может быть изолированных вершин. В этом случае каждой вершине должна быть инцидента по крайней мере одна ветвь.

       Пусть Ai тАУ событие, когда не существует неповрежденных ветвей, инцидентных вершине i, p(Ai) тАУ вероятность этого события; 1 тАУ p(Ai) тАУ вероятность дополнительного события, когда существует по крайней мере одна целая ветвь, инцидентная вершине i, Поэтому вероятность того, что у всех вершин есть по крайне мере одна целая ветвь, т.е. есть связана,  ограничена неравенством: 

                   (11)

       На рис. 5,6 представлены зависимости (11) для n=6, и d=2тАж.7 (штриховые линии). Сравнение кривых показывает, что верхнюю границу вероятности связности сети, особенно при больших d.

       Таким образом, полученная простая верхняя оценка вероятности связности равнопрочных сетей связи дает шорошее приближение к точному значению вероятности связности сети при больших значениях d.

Вместе с этим смотрят:

Спутниковое телевидение
Спутниковые мультисервисные системы и цифровые РРЛ
Спутниковые системы обеспечения безопасности мореплавания
Средства отладки электронных схем