Формирование электронных пучков. Магнитные фокусирующие линзы
Кабардино-Балкарский Государственный университет им. Б.М Бербекова
Курсовая работа
по курсу вакуумной и плазменной физики
На тему:
Формирование электронных пучков.
Магнитные фокусирующие линзы.
Выполнил: Мостный А.С.
Студент 3 курса ФМиКТ
ТТЭ 2 группа
Проверил: Аккизов Ю.А.
Нальчик
1.1 Классификация электроннолучевых приборовЭлектроннолучевыми приборами называются электровакуумные приборы, действие которых основано на формировании и управлении по интенсивности и положению одним более электронными пучками. Несмотря на большое разнообразие электронно-лучевых приборов, как по устройству, так и по назначению, между ними есть много общего. Так, электронно-лучевой прибор всегда содержит в баллоне три основных элемента: электронный прожектор, формирующий электронный пучок, или луч, отклоняющую приёмник электронов тАУ экран или систему электродов электронного коммутатора.
Если в основу классификации электронно-лучевых приборов положить наиболее существенный преобразовательный признак, то все эти приборы можно разделить на четыре группы:
- Приборы, преобразующие электрический сигнал в изображение тАУ приёмные электронно-лучевые трубки: индикаторные и осциллографические трубки, кинескопы и другие.
- Приборы, преобразующие изображение в электрический сигнал тАУ передающие электронно-лучевые трубки
- Приборы, преобразующие электрический сигнал в электрический сигнал тАУ потенциалоскопы, электронно-лучевые коммутаторы.
- Приборы, преобразующие невидимое изображение в изображение видимое тАУ электроннооптический преобразователь, электронный микроскоп.
1.2
Устройство и принцип действия трубки с электростатическим управлением

Осциллографическая электронно-лучевая трубка представляет собой стеклянный баллон специальной формы, в котором создан высокий вакуум. В ней расположены электроды, осуществляющие формирование электронного потока в виде тонкого электронного луча. И электроды, управляющие этим лучом. Совокупность электродов, формирующих электронный луч, называется электронным прожектором. Он обычно состоит из катода К, модулятора М, первого А1 и второго А2 анодов. Наиболее часто применяют оксидные или камерные подогревные катоды, выполненные в виде стаканчика, у которого активная область располагается на наружной поверхности дна (Рис1.).
Модулятор главным образом служит для изменения плотности тока электронного луча. К модулятору подводится небольшой отриц-льный потенциал, регулируемый в пределах от нуля до -30 вольт.
Электронный поток формируется только за счёт электронов, прошедших через диафрагму диаметром около 1 мм. Таким образом, электроны, вектор начальной скорости которых значительно отклоняется от нормали к поверхности катода, не проходят через диафрагму и в формировании электронного луча не участвуют. Предварительной фокусировке электронного потока способствует небольшой отрицательный потенциал, проводимый к управляющему электроду. Изменение этого потенциала приводит к изменению траектории электронов, и при более отрицательном потенциале электроны, ранее проходившие по периферии диафрагмы, отражаются, а плотность электронного потока уменьшается. Далее по оси трубки располагаются ещё два цилиндра тАУ первый и второй аноды. Первый анод А1, находясь под положительным потенциалом в несколько сотен вольт, ускоряет движущийся от катода поток электронов. Ко второму аноду А2 подводится напряжение, достигающее в некоторых электроннолучевых приборах десятков киловольт, и поток электронов покидает второй анод с достаточно высокой скоростью. Кроме ускорения электронов, назначение анодов заключается в формировании узкого электронного пучка тАУ фокусировании электронного потока. Вследствие различия потенциалов катода, модулятора, первого и второго анодов в пространстве между ними создаются неоднородные электрические поля - электронные линзы. Конфигурация электродов и их потенциалы подбираются таким образом, что вся система образует две электростатические линзы: первую тАУ между модулятором и ускоряющим электродом и вторую тАУ между ускоряющим электром и вторым анодом. Проходя через эти линзы, электроны образуют узкий сходящийся у экрана пучок тАУ электронный луч. Вся система электродов крепится на траверсах и образует единое устройство, называемое электронной пушкой. Выйдя из электронной пушки, электронный луч попадает в систему отклоняющих пластин, служащую для управления положением луча в пространстве: Х - пластины искривляют электронный луч в горизонтальной плоскости, У - пластины - в вертикальной. На внутреннюю стенку выпуклого торца трубки наносят люминофор- вещество, светящееся при бомбардировке электронами, которое совместно со стеклом купола образуют экран Э. С помощью отклоняющих пластин электронный луч может быть направлен в любую точку экрана. При этом, если положение луча зафисиксировано, с внешней стороны экрана через стекло просматривается светящееся пятно, которое имеет малые размеры и условно может считаться светящейся точкой. Чтобы под действием электронного луча экран не накапливал электростатических зарядов, коэффициент вторичной электронной эмиссии люминофора делают близким к единице ПГ =1 . Для удаления вторичных электронов на внутреннюю боковую поверхность баллона наносят токопроводящее графитовое покрытие, которое внутри баллона соединяют со вторым анодом.
Все электроды электронного прожектора обычно питаются от одного источника с помощью делителя напряжения. На второй анод, соединённый с внутренним графитовым покрытием, подают напряжение несколько киловольт, на первый анод тАУ несколько сотен, на модулятор тАУ минус несколько десятков вольт (все относительно катода). Так как второй анод соединяется с внутренним графитовым покрытием, геометрические размеры которого велики, то для того чтобы между графическим покрытием и оператором не возникло паразитных электрических полей, влияющих на электронный луч, в осциллографических трубках оказывается целесообразным заземлении не минуса, а плюса источника питания.
Если напряжение на отклоняющих пластинах изменяются, то электронный луч, а, следовательно, и светящееся пятно на экране перемещаются, описывая траекторию в соответствии с изменением напряжения на отклоняющих пластинах может визуально наблюдаться на экране электроннолучевой трубки. Диаметр светящегося пятна и толщина линии движения луча тем меньше, чем лучше сфокусирован электронный луч. Яркость свечения экрана зависит от числа бомбардирующих его в единицу времени электронов и от скорости их движения. Яркость свечения можно изменять, регулируя напряжение на модуляторе и, следовательно, изменяя плотность тока электронного луча, а также за счёт скорость движения электронов, которая определяется напряжением на втором аноде.
1.3
Электростатическая фокусировка электронного лучаПри соответствующей форме электродов прожектора и разности потенциалов между ними создаётся такое неоднородное электрическое поле, которое ускоряет электроны луча в сторону экрана и одновременно производит его фокусировку. Фокусировка электронного луча производится дважды: в точках F1 и F2. Это свидетельствует о наличии в электронном прожекторе двух электроннооптических систем: короткофокусной с фокусом в точке F1 (образуется катодом, модулятором и первым анодом) и длиннофокусной с фокусом в точке F2, расположенной в плоскости экрана (образуется первым и вторым анодами). Принцип действия обеих систем совершенно одинаков, поэтому достаточно рассмотреть действие только одной, например длиннофокусной системы.
На рисунке 2а) показано неоднородное электрическое поле, возникающее внутри прожектора между первым и вторым анодами при условии Ua>Ua1.
На рисунке 2б), выделена лишь одна электрическая силовая линия и показана траектория электрона, отклоняющегося от оси под небольшим углом и встречающегося с силовой линией в точке А. В этой точке вектор напряженности электрического поля Е можно разложить на горизонтальную Ег и вертикальную Ев составляющие. Согласно соотношению Ег будет ускорять электрон в сторону экрана, а Ев будет прижимать его к оси, то есть осуществлять фокусировку.

0
.
При повторной встрече электрона с этой силовой линией в точке В Ег по-прежнему будет оказывать на него ускоряющее действие, а Ев будет способствовать расфокусировке. Но вертикальная составляющая в точке В меньше, чем в точке А, так как электрон вылетает из неоднородного электронного электрического поля, прижатым к оси. Кроме того, в районе точки В он имеет большую скорость, чем в районе точки А, поэтому отклоняющая сила воздействует на электрон меньший промежуток времени.
Следовательно, фокусирующее действие неоднородного электрического поля оказывается преобладающим. Аналогично действует на световой луч оптическая система, состоящая из собирательной и рассеивающей линз при условии, что оптическая сила собирающей линзы больше рассеивающей (рис.2в) ).
2.1
Магнитные фокусирующие линзы
Задача превращения потока электронов в тонкий электронный луч, обладающий в плоскости экрана минимальным поперечным сечением и большой плотностью тока, решается с помощью электростатических и магнитных линз, образуемых специальными электродами, составляющими фокусирующую систему электроннолучевой трубки.
Далее будет рассматриваться магнитные линзы.
2.2
Типы магнитных линз. Форма поля в магнитных линзахДлинная магнитная линза представляет собой просто однородное магнитное поле, параллельно которому направлена ось фокусируемого расходящегося пучка электронов. Длинная линза даёт прямое изображение объекта, многократно повторяющееся на равных расстояниях, причём как объект, так и его изображение лежат внутри поля. Длинная магнитная линза мало похожа на оптические и электростатические электронные линзы: она не преломляет лучей, параллельных полю, и, значит, не имеет ни фокусов, ни главных точек и не может давать ни увеличенного, ни уменьшенного изображения.
Обширное применение имеют магнитные линзы, образованные неоднородным аксиальносимметричным полем. На рис. 3 даны меридианные сечения некоторых магнитных линз этого класса и форма силовых линий в меридианной плоскости.

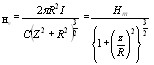
простейшая, но очень слабая магнитная линза тАУ это кольцевой ток. Напряжённость поля на оси кольцевого тока радиуса R, как можно очень показать, исходя из закона Био-Савара, выражается формулой

где
- напряженность поля в центре кольцевого тока, то есть там, где она имеет максимальное значение, и Z тАУ расстояние от плоскости тока. Поле на оси короткой катушки без железа, если её внутренний радиус много больше толщины оболочки, приближенно можно вычислить по той же формуле, полагая в ней
, где
- число витков катушки, а R средний её радиус. Для увеличения оптической силы линзы нужно увеличить
и сжимать поле в осевом направлении. Это достигается с помощью оболочки из ферромагнетика тАУ магнитного экрана (рис.3, б и в) часто снабженного кольцевыми полюсными наконечниками (рис.3, г).
2.3
Механизм фокусировки в магнитной линзеИз картины силовых линий видно, что на значительной части поля линзы радиальная составляющая поля
и продольная
- величины одного порядка. Пусть электрон, вышедший из точки О на ось z в точку А, имеет скорость
(рис.4).

Силу, действующую на электрон, можно представить как сумму двух сил: Frz тАУ силы, действующей со стороны радиальной слагающей поля Hr на электрон, имеющий скорость Vr. Направление обеих сил одинаково, но вследствие параксиальности электронных лучей Vz>>Vr и
![]()
Под действием силы
электрон получает скорость, перпендикулярную к меридианной плоскости. Действие продольной составляющей поля
на электрон, имеющий скорость
, даёт ВлфокусирующуюВ» силу
, направленную в сторону оси. Вплоть до середины линзы направление силы
не меняется и скорость
растёт. Во второй половине линзы
и вместе с ней
меняют направление. Скорость
начинает убывать и к моменту выхода из линзы обращается в нуль, нигде не меняя своего знака. Электрон выходит из линзы в другой меридиальной плоскости по измененному направлению и дальше, двигаясь прямолинейно, пересекает ось в точке О.
Если поле линзы слабо, то, конечно, может оказаться, что лучи и после выхода из линзы останутся расходящимися тАУ в этом случае ось пересекут продолжения лучей. С другой стороны, при сильном поле электрон внутри линзы успеет несколько раз пересечь ось.
2.4
Магнитная отклоняющая системаУправление пространственным положением луча осуществляется с помощью электрических (электростатическая отклоняющая система) и магнитных (магнитная отклоняющая система) полей, а управление плотностью тока тАУ с помощью электрических полей. Электронно-лучевые приборы используются для получения видимого изображения электрических сигналов, а также для
запоминания (хранения) сигналов.
Отклоняющая система служит для управления положением луча в пространстве. В трубках с магнитным управлением отклоняющая система состоит из двух пар отклоняющих катушек.
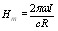
Магнитная отклоняющая система обычно содержит две пары катушек, надеваемых на горловину трубки и образующих магнитные поля во взаимно перпендикулярных направлениях. Рассмотрим отклонение электрона магнитным полем одной пары катушек, считая, что поле ограничено диаметром катушки и в этом пространстве однородно. На рис.1 силовые линии магнитного поля изображены уходящими от зрителя перпендикулярно плоскости чертежа. Электрон с начальной скоростью V0 движется в магнитном поле, вектор индукции B которого нормален к вектору скорости V0, по окружности с радиусом

По выходе из магнитного поля электрон продолжает движение по касательной к его криволинейной траектории в точке выхода из поля. Он отклонится от оси трубки на некоторую величину z = L tgα. При малых углах α ≈ tg α; z ≈ Lα.
Величина центрального угла α = s/r ≈ l1/r, где s тАУ кривая, по которой движется электрон в поле В. Подставляя сюда значение r, получаем:
Таким образом, отклонение электрона равно:
Выражая скорость V0 электрона через напряжение на аноде, получаем:
Учитывая, что индукция магнитного поля пропорциональна числу ампер-витков wI, можно записать:
2.5
Конструкция отклоняющих катушек.Отклоняющие катушки с ферромагнитными сердечниками позволяют увеличить плотность потока магнитных силовых линий в необходимом пространстве. Катушки с ферромагнитными сердечниками применяются только при низкочастотных отклоняющих сигналах, так как с увеличением частоты отклоняющего напряжения возрастают потери в сердечнике. В телевизионных и радиолокационных электронно-лучевых трубках обычно применяются отклоняющие катушки без сердечника. Стремясь получить более однородное магнитное поле, края катушки отгибают, а саму катушку изгибают по форме горловины трубки. Витки в катушке распределяют неравномерно: Число витков на краях обычно в 2 тАУ 3 раза больше, чем в середине. Для уменьшения поля рассеяния катушки без сердечника обычно заключаются в стальной экран.
2.6
Достоинства и недостатки электростатической и магнитной систем отклонения.
Отклонение луча магнитным полем в меньшей степени зависит от скорости электрона, чем для электростатической системы отклонения. Поэтому магнитная отклоняющая система находит применение в трубках с высоким анодным потенциалом, необходимым для получения большой яркости свечения экрана.
К недостаткам магнитных отклоняющих систем следует отнести невозможность их использования при отклоняющих напряжениях с частотой более 10 тАУ 20 кГц, в то время как обычные трубки с электростатическим отклонением имеют верхний частотный предел порядка десятков мегагерц и больше. Кроме того, потребление магнитными отклоняющими катушками значительного тока требует применения мощных источников питания.
Достоинством магнитной отклоняющей системы является ее внешнее относительно электроннолучевой трубки расположение, что позволяет применять вращающиеся вокруг оси трубки, отклоняющие системы.
3.1
Использованная литература:- В.И.Гапонов тАЬЭлектроникатАЭ. ВлФизматгизВ» 1960г.
- В.Н.Дулин тАЬЭлектронные приборытАЭ. ВлЭнергияВ» 1969г.
- Л.Н.Бочаров тАЬЭлектронные приборытАЭ. ВлЭнергияВ» 1979г.
1.1 Классификация электронно-лучевых приборов.
1.2 Устройство и принцип действия трубки с электростатическим управлением.
1.3 Электростатическая фокусировка электронного луча.
2.1 Магнитные фокусирующие линзы.
2.2 Типы магнитных линз. Форма поля в магнитных линзах.
2.3 Механизм фокусировки в магнитной линзе.2.4 Магнитная отклоняющая система.
2.5 Конструкция отклоняющих катушек.2.6 Достоинства и недостатки электростатической и магнитной систем отклонения.
3.1 Использованная литература.Вместе с этим смотрят:
Фотодиод в оптоэлектроникеФоторезисторы
Фотоэлектрические преобразователи энергии
Хемотроника