Эксплуатация РТС
Вариант 21
Задача 1
На испытании находится
=4000 образцов неремонтируемой аппаратуры. Число отказов
фиксировалось через интервал ![]()
|
|
|
|
|
|
0.100 |
71 |
1000.1100 |
36 |
2000.2100 |
33 |
100.200 |
61 |
1100.1200 |
35 |
2100.2200 |
34 |
200.300 |
53 |
1200.1300 |
35 |
2200.2300 |
33 |
300.400 |
46 |
1300.1400 |
34 |
2300.2400 |
34 |
400.500 |
41 |
1400.1500 |
35 |
2400.2500 |
35 |
500.600 |
38 |
1500.1600 |
34 |
2500.2600 |
37 |
600.700 |
37 |
1600.1700 |
34 |
2600.2700 |
41 |
700.800 |
37 |
1700.1800 |
34 |
2700.2800 |
46 |
800.900 |
36 |
1800.1900 |
35 |
2800.2900 |
51 |
900.1000 |
35 |
1900.2000 |
33 |
2900.3000 |
61 |
Требуется вычислить значения и построить графики статистических оценок интенсивности отказов
, частоты отказов
, вероятности безотказной работы P(t) и вероятности отказов Q(t).
Расчетные формулы
![]()
Где
- число отказов в интервале
,
- число объектов , работоспособных к началу интервала
.
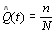
,
Где
- число объектов, работоспособных в начальный момент времени.
![]()
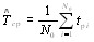
Где n - число объектов, отказавших к концу заданного интервала времени за наработку
N - число объектов, работоспособных к началу заданного промежутка времени.
Полученные результаты :
|
|
|
|
|
1 |
1.8 |
1.8 |
0.9823 |
0.0177 |
2 |
1.6 |
1.5 |
0.967 |
0.033 |
3 |
1.4 |
1.3 |
0.9538 |
0.0462 |
4 |
1.2 |
1.1 |
0.9623 |
0.0377 |
5 |
1.1 |
1 |
0.932 |
0.068 |
6 |
1 |
0.95 |
0.9225 |
0.0775 |
7 |
1 |
0.93 |
0.9133 |
0.0867 |
8 |
1 |
0.93 |
0.904 |
0.096 |
9 |
1 |
0.9 |
0.895 |
0.105 |
10 |
0.99 |
0.88 |
0.8863 |
0.1137 |
11 |
1 |
0.9 |
0.8773 |
0.1227 |
12 |
1 |
0.88 |
0.8685 |
0.1315 |
13 |
1 |
0.88 |
0.8598 |
0.1402 |
14 |
1 |
0.85 |
0.8513 |
0.1487 |
15 |
1 |
0.88 |
0.8425 |
0.1575 |
16 |
1 |
0.85 |
0.834 |
0.166 |
17 |
1 |
0.85 |
0.8255 |
0.1745 |
18 |
1 |
0.85 |
0.817 |
0.183 |
19 |
1.1 |
0.88 |
0.8083 |
0.1917 |
20 |
1 |
0.83 |
0.8 |
0.2 |
21 |
1 |
0.83 |
0.8 |
0.2 |
22 |
1.1 |
0.85 |
0.7833 |
0.2167 |
23 |
1.1 |
0.83 |
0.775 |
0.225 |
24 |
1.1 |
0.85 |
0.7665 |
0.2335 |
25 |
1.2 |
0.88 |
0.7573 |
0.2427 |
26 |
1.2 |
0.93 |
0.7485 |
0.2515 |
27 |
1.4 |
1.02 |
0.7383 |
0.2617 |
28 |
1.6 |
1.15 |
0.7268 |
0.2732 |
29 |
1.8 |
1.27 |
0.714 |
0.286 |
30 |
2.2 |
1.52 |
0.6988 |
0.3012 |
Графики функций приведены ниже.



Задача 2: Для условия задачи 1 вычислить значения средней наработки до отказа в предположении, что :
а) На испытании находились только те образцы, которые отказали.
б) На испытании находилось
=4000 образцов.
Закон распределения наработки до отказа принять показательный.
А) ![]()
где n - число отказавших объектов.
Б)
,
Где No - число испытуемых объектов,
- наработка до отказа i-го объекта.
А) ![]()
Б) ![]()
Задача 3: Используя функцию надежности, полученную в результате рачета в задаче 1, оценить, какова вероятность того, что РТУ, работавшие безотказно в интервале (0,200ч), не откажет в течении следующего интервала (200,400).
![]()
Где
- вероятность безотказной работы в течении наработки от ![]()
![]()
Задача 4: По результатам эксплуатации 30 комплектов радиоприемных устройств получены данные об отказах, приведенные в таблице.
|
0.100 |
100.200 |
200.300 |
300.400 |
400.500 |
|
30 |
33 |
28 |
26 |
27 |
|
500.600 |
600.700 |
700.800 |
800.900 |
900.1000 |
|
28 |
26 |
26 |
28 |
27 |
Требуется :
1 Вычислить значения и построить график статистических оценок параметра потока отказов
2 Определить вероятность безотказной работы аппаратуры для интервала времени 0.5ч, 2ч, 8ч, 24ч, если наработка аппаратуры с начала эксплуатации
=1000 ч.
![]()
Где
- параметр потока отказов
- число отказов N восстанавливаемых объектов на интервале наработки![]()
I |
1 |
2 |
3 |
4 |
5 |
6 |
7 |
8 |
9 |
10 |
w(t) , |
0.01 |
0.011 |
0.0093 |
0.0086 |
0.009 |
0.0093 |
0.0086 |
0.0086 |
0.0093 |
0.009 |
Считая поток простейшим приравниваем
. Так как наработка аппаратуры с начала эксплуатации 1000 ч. то в качестве значения
берём численное значение
на интервале времени 900-1000 ч.
![]()
![]()
![]()
![]()
![]()
Задача 5 На основании анализа записей в журнале учета технического состояния и эксплуатации установлено, что за год эксплуатации радиостанции возникло 10 отказов. Время восстановления работоспособности радиостанции после отказа приведено в таблице.
I |
1 |
2 |
3 |
4 |
5 |
6 |
7 |
8 |
9 |
10 |
t , мин |
79 |
43 |
33 |
51 |
67 |
39 |
45 |
31 |
46 |
76 |
Требуется определить :
1. Среднее время восстановления ,
2. Интенсивность восстановления
, если время восстановления распределено по показательному закону;
- Вероятность восстановления работоспособности радиостанции за время
ч;
ч;
ч
![]()
где
- время восстановления работоспособности после i-го отказа;
n - количество отказов за рассматриваемый срок эксплуатации
![]()
![]()
![]()
![]()
![]()
![]()
![]()
![]()
Задача 6 : Используя результаты расчетов, полученные в задаче 5 определить, какое время необходимо оператору для устранения неисправности, чтобы вероятность восстановления за заданное время была не менее а) 0.95 б)0.9.
![]()
![]()
![]()

а) ![]()
б) ![]()
Задача 7 : Радиопередающее устройство состоит из пяти блоков, отказ любого из которых приводит к отказу радиопередающего устройства. Потоки отказов блоков являются простейшими с параметрами :
w1=0.0021 ч-1 w2=0.0042 ч-1 w3=0.0084 ч-1
w4=0.0126 ч-1 w5=0.0147 ч-1
Определить вероятность того, что за один час работы в радиопередающем устройстве :
А) не появится ни одного отказа;
Б) появится хотя бы один отказ;
В) появится один отказ.
Так как , поток простейший
.
Вероятность безотказной работы
![]()
![]()
![]()
![]()
![]()
![]()
А) ![]()
![]()
Б) 
В) ![]()
![]()
Задание 8
Рассчитать вероятность безотказной работы в течении наработки
РТУ.
Структурная схема расчета надёжности РТУ приведена на рисунке
;
;
;
; ![]()

![]()
![]()
![]()
![]()
![]()
![]()
![]()
Вместе с этим смотрят:
Электрические фильтрыЭлектрическое активное сопротивление
Электромагнитная совместимость сотовых сетей связи
Электроника