КПД трансформатора. Устройство и работа
Министерство образования Российской Федерации
Реферат
КПД трансформатора. Устройство и работа
Выполнил:
Группа:
Нижний Новгород 2004 год
Введение
Трансформаторы - один из основных видов электротехнического оборудования. Благодаря им можно получать электрическую энергию, при наиболее удобном напряжении, передавать ее с минимальными потерями напряжения и использовать при напрядении, рассчитанном на любого возможного потребителя. Передача электрической энергии от места производства до потребителя требует создания многих повышающих и понижающих напряжение трансформаторов. В зависимости от параметров электроэнергии, необходимой тем или иным потребителям, трансформаторы изготавливают на различные мощности и напряжения. Существуют трансформаторы мощностью от нескольких вотльт-ампер до 1 200 000 кВ*А и более.
Для транспортировки электроэнергии построены десятки и сотни тысяч километров высоковольтных линий электропередачи напряжением 110, 220, 330, 500, 700, 1150 и 1500 кВ.
Для обеспечения этих линий элетропередачи, разработанны и освоены мощные трансформаторы и автотрансформаторы; создане крупные серии распределительных трансформаторов общего назначения различной мощности и назначения; специальные трансформаторы для электротермических преобразовательных и других установок; пусковые, передвижные, регулировочные, испытательные и другие специальные трансформаторы.
Устройство
Трансформатор состоит из замкнутого железного сердечника, на который надеты две (иногда и более) катушки с проволочныВнми обмотками (рис. 1). Одна из обмоток, называемая первичВнной, подключается к источнику переменного напряжения. Вторая обмотка, к которой присоединяют ВлнагрузкуВ», т. е. приборы и устройства, потребляющие электроэнергию, называется вторичВнной. Схема устройства трансформатора с двумя обмотками приВнведена на рисунке 2,
Трансформаторы бывают: повышающие, понижающие однофазные, трех и многофазные. Силовые, измерительные, испытательные.
Номинальные данные щитка: SH, квт, U1H/U2H, I1H/I2H, λ/λ, ?.
Активными элементами трансформатора являются
- магнитопровод
- обмотки
Магнитопроводы бывают:
- Броневые
- Стержневые

Рис.1 Рис.2
Обмотки
а) дисковые у броневого трансформатора
б) цилиндрические
в) винтовые
г) непрерывные
Однослойные и многослойные



Магнитопровод с обмоткой помещается в бак с трансформатором маслом, которое служит для изоляции и охлаждения
Основные параметры трансформаторов
Генераторы электрического тока по техническим причинам, нельзя изготовлять на очеь большие напряжени, даже крупные из них имеют напряжения не более 24 кВ, а такое напряжение можно использовать только на малых расстояниях от электростанции.
Чтобы передача электрической энергии(электроэнергии) на многие сотни и тысячи километров стали выгодной, необходимо значительно большее напряжение 500, 750 кВ и более. Для этой цели и служит трансформатор - электомагнитное устройство с двумя или более обмотками, предназначенное для преобразования с помощью элетромагнитной индукции переменного тока одного напряжения в переменный ток другого(или других) напряжений. Обмотка трансформатора, к которой подводиться энергия преобразуемого перемнного тока, называется первичной, а обмотка от которой отводится энергия преобразованного переменного тока - вторичной.Существут трансформаторы у которых помимо первичной и вторичной обмоток, существует третья обмотка с промежуточным напряжением.
Обмотки трансформаторов, к которым подводится энергия преобразуемого или отводится энергия преобразованного переменного тока, нахывают основными, напрмер, первичная и вторичная обмотки трансформатора. Кроме основных, у трансформатора могут быть и другие обмотки, не связанные непосредственно с приемом или отдачей энергии преобразованного переменного тока, которые называют вспомогательными. Различают Различают основные обмотки трансформатора высшего(ВН), низшего(НН) и среднего (СН) напряжений.
Обмотка ВН имеет наибольшее номинальное напаряжение по сравнению с другими основными обмотками трансформатора, Обмотка НН - наименьшее номинальное напряжение, а обмотка СН - номинальное напряжение, являющееся промежуточным между ВН и НН.
Трансформатор у которого первичной обмоткой называется НН - называют повышающим. В конце линии передач, где начинаеться распределение энергии, устанавливают трансформаторы, снижающие напряжение линнии до напряжений, необходимых потребителю. Первичной в таких трансформаторах служит обмотка ВН, а трансформаторы называются понижающими. Таким образом, в зависимости от назначения повышать или понижать, напряжение первичной обмотки одного и того же трансформатора может быть обмотка НН или ВН.
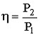
Коэффициент полезного действия трансформатора
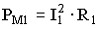
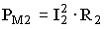
Преобразование электрической энергии в трансформаторе сопровождается потерями энергии на нагрев сердечника и обмоток. Уравнение баланса мощностей трансформатора имеет вид:
![]()
![]()
где - активная мощность, потребляемая от сети,
![]()
![]()
j - мощность, отдаваемая в нагрузку,
![]()
- потери в меди первичной обмотки,
![]()
- потери в стали трансформатора,
![]()
- потери в меди вторичной обмотки.
Процесс преобразования энергии в трансформаторе иллюстрирует энергетическая диаграмма, приведенная на рис. 5

Величина

носит названия коэффициента полезного действия трансформатора.
Если обозначить сумму
![]()

и назвать ее потерями в меди трансформатора, то КПД трансформатора можно выразить так
![]()
![]()
Потери в стали определяются величиной и частотой изменения магнитного потока в сердечнике трансформатора, а так как поток почти не зависит от нагрузки, то потери в стали остаются почти постоянными и равными потерям в режиме ХХ
Поскольку потери в меди обмотки пропорциональны квадрату действующего значения тока, через нее протекающего, последние могут быть определены из упрощенной схемы замещения трансформатора (рис 2-) в режиме КЗ.
![]()
- потери в меди при номинальном токе первичной обмотки,
![]()
- потери в меди при токе, отличном от номинального,

.
Активную мощность в нагрузке трансформатора можно вычислить по формуле:

![]()
где - - полная мощность в нагрузке трансформатора в номинальном
режиме. Теперь выражение, определяющее КПД трансформатора можно записать в виде:

Эта формула рекомендована ГОСТом для определения КПД трансформатора.
![]()
Анализ полученного выражения показывает, что КПД неоднозначно зависит от коэффициента нагрузки b и является функцией характера нагрузки что иллюстрируется кривыми, приведенными на рис. 6

Рис. 6
![]()
![]()
![]()
При b =0, h =0. С ростом отдаваемой мощности h увеличивается, т.к. в энергетическом балансе уменьшается удельное значение потерь в стали, имеющих приблизительно постоянное значение. При некотором значении КПД достигает максимума, после чего начинает уменьшаться с ростом тока нагрузки. Причиной этого является увеличение потерь в меди, возрастающих пропорционально квадрату тока (или ), в то время как полезная мощность растет пропорционально b. Значение можно получить из условия.

при этом

![]()
![]()
Следовательно КПД имеет максимум при такой нагрузке, при которой потери в меди трансформатора равны потерям в стали. Для трансформаторов большей мощности
![]()
![]()
![]()
![]()
![]()
![]()
=0,5 - 0,7, при этом =0,995. Трансформаторы малой мощности рассчитывается как, чтобы =1, тогда =0,7 тАУ 0,9. При уменьшении величины КПД уменьшается, т.к. возрастают токи и , при которых трансформатор имеет заданную мощность .
Трансформатор состоит из замкнутого железного сердечника, на который надеты две (иногда и более) катушки с проволочныВнми обмотками (рис. 1). Одна из обмоток, называемая первичВнной, подключается к источнику переменного напряжения. Вторая обмотка, к которой присоединяют ВлнагрузкуВ», т. е. приборы и устройства, потребляющие электроэнергию, называется вторичВнной. Схема устройства трансформатора с двумя обмотками приВнведена на рисунке 2,
Список используемой литературы.
1. Китунович Ф.Г.
Электротехника.
3-е изд., переработанное и дополненное.
Минск. ВлВысш. ШколаВ», 1991.
2. Евдокимов Ф. Е.
Теоретические основы электротехники.
Изд. 4-е, перераб. и доп. Учебник для энергетич.
и электротехнич. специальностей техникумов.
М. ВлВысш. ШколаВ», 1975.
3. Касаткин А.С.
Основы электротехники.
М.-Л., изд-во ВлЭнергияВ», 1966.
4. Касаткин А.С. Немцов М.В.
Электротехника: Учеб. пособие для вузов.-
4-е изд., перераб.- М.: Энергоатомиздат, 1983.-
Вместе с этим смотрят:
Лавинно-пролетный диодЛазер
Лазерная безопасность
Лазерные телевизоры