Анализ сферического пьезокерамического преобразователя
САНКТ-ПЕТЕРБУРГСКИЙ ГОСУДАРСТВЕННЫЙМОРСКОЙ ТЕХНИЧЕСКИЙ УНИВЕРСИТЕТ
ФАКУЛЬТЕТ МОРСКОГО ПРИБОРОСТРОЕНИЯ
КАФЕДРА ФИЗИКИ
КУРСОВАЯ РАБОТА
АНАЛИЗ iЕРИЧЕСКОГО ПЬЕЗОКЕРАМИЧЕСКОГО ПРЕОБРАЗОВАТЕЛЯ
ВЫПОЛНИЛ:
СТУДЕНТ ГРУППЫ 34РК1СУХАРЕВ Р.М.
ПРОВЕРИЛ:
ПУГАЧЕВ С.И.
САНКТ-ПЕТЕРБУРГОСЕННИЙ СЕМЕСТР
1999г.
СОДЕРЖАНИЕ
|
3 |
|
7 |
|
8 |
|
9 |
|
9 |
|
10 |
|
10 |
|
16 |
Пьезокерамический сферический преобразователь (Рис.1) представляет собой оболочку 2 (однородную или склеенную из двух полусфер), поляризованную по толщине, с электродами на внутренней и внешней поверхностях. Вывод от внутреннего электрода 3 проходит через отверстие и сальник 1, вклеенный в оболочке.

Уравнение движения и эквивалентные параметры.
В качестве примера рассмотрим радиальные колебания ненагруженной тонкой однородной оболочки со средним радиусом а, поляризованный по толщине δ, вызываемые действием симметричного возбуждения (механического или электрического).
Рис. 2Направление его поляризации совпадает с осью z; оси x и y расположены в касательной плоскости (Рис.2). Вследствие эквипотенциальных сферических поверхностей E1=E2=0; D1=D2=0. Из-за отсутствия нагрузки упругие напряжения T3 равны нулю, а в силу механической однородности равны нулю и все сдвиговые напряжения. В силу симметрии следует равенство напряжений T1=T2=Tc, радиальных смещений ξ1=ξ2ξС и значения модуля гибкости, равное SC=0,5(S11+S12). Заменив поверхность элемента квадратом (ввиду его малости) со стороной l, запишем относительное изменение площади квадрата при деформации его сторон на Δl:
Очевидно, относительной деформации площади поверхности сферы соответствует радиальная деформация
, определяемая, по закону Гука, выражением
.
Аналогия для индукции:
.
Исходя из условий постоянства T и E, запишем уравнение пьезоэффекта:
;
. (1)
Решая задачу о колебаниях пьезокерамической тонкой сферической оболочки получим уравнения движения сферического элемента
, (2)
где
(3)
представляет собой собственную частоту ненагруженной сферы.
Проводимость равна
, (4)
где энергетический коэффициент связи сферы определяется формулой
. (5)
Из (4) находим частоты резонанса и антирезонанса:
;
. (6)
Выражение (4) приведем к виду:
.
Отсюда эквивалентные механические и приведенные к электрической схеме параметры, коэффициент электромеханической трансформации и электрическая емкость сферической оболочки равны:
;
; 
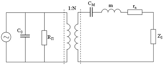
Электромеханическая схема нагруженной сферы. Учесть нагрузку преобразователя можно включением сопротивления излучения
, последовательно с элементами механической стороны схемы (Рис. 3). Напряжение на выходе приемника и, следовательно, его чувствительность будут определяться дифрагированной волной, которая зависит от амплитудно-фазовых соотношений между падающей и рассеянной волнами в месте расположения приемника. Коэффициент дифракции сферы kД, т.е. отношение действующей на нее силы к силе в свободном поле, равен
, где p- звуковое давление в падающей волне, ka- волновой аргумент для окружающей сферу среды.
Приведем формулу чувствительности сферического приемника:

,
где
;
;
.
Колебания реальной оболочки не будут пульсирующими из-за наличия отверстия в оболочке (для вывода проводника и технологической обработки) и неоднородности материала и толщины, не будут так же выполняться и сформулированные граничные условия.
2. ИСХОДНЫЕ ДАННЫЕВАРИАНТ С-41
Материал |
ТБК-3 | |
ρ, |
5400 |
|
|
8,3 ⋅ 10-12 |
|
|
-2,45 ⋅ 10-12 |
|
ν=- |
0,2952 |
|
|
17,1 ⋅ 1010 |
|
d31, |
-49 ⋅ 10-12 |
|
e33, |
12,5 |
|
|
1160 |
|
|
950 |
|
tgδ33 |
0,013 |
|
|
10,26 ⋅ 10-9 |
|
|
8,4 ⋅ 10-9 |
a=0,01 м тАУ радиус сферы
м тАУ толщина сферы
α=0,94
β=0,25
ηАМ=0,7 тАУ КПД акустомеханический
ε0=8,85⋅10-12 ![]()
(ρc)В=1,545⋅106 ![]()

Электромеханическая схема цилиндрического излучателя:
Рис. 3
коэффициент электромеханической трансформации:
N=-2,105 ![]()
присоединенная масса излучателя:
MS=4,851⋅10-5 кг
сопротивление излучения:
![]()
RS=2,31⋅103 ![]()
активное сопротивление (сопротивление электрических потерь):
RПЭ=1,439⋅103 Ом
СS=4,222⋅10-9 Ф
сопротивление механических потерь:
RМП=989,907 ![]()
4. НАХОЖДЕНИЕ КОНЕЧНЫХ ФОРМУЛ ДЛЯ КЭМС И КЭМСД
И РАiЕТ ИХ ЗНАЧЕНИЙ

Представим эквивалентную схему емкостного ЭАП для низких частот:
Рис. 4статическая податливость ЭАП:
C0=9,31⋅10-11 Ф
электрическая емкость свободного преобразователя:

CT=4,635⋅10-9 Ф
![]()
![]()
КЭМС=0,089 ; КЭМСД=0,08
5. ОПРЕДЕЛЕНИЕ ЧАСТОТЫ РЕЗОНАНСА И АНТИРЕЗОНАНСА:
![]()
ωр=1,265⋅107 ![]()
![]()
ωА=1,318⋅107 ![]()
6. ВЫЧИСЛЕНИЕ ДОБРОТНОСТИ ЭЛЕКТРОАКУСТИЧЕСКОГО ПРЕОБРАЗОВАТЕЛЯ В РЕЖИМЕ ИЗЛУЧЕНИЯ
![]()
Qm=65,201
эквивалентная масса: ![]()
MЭ=0,017 кг
7. РАiЕТ И ПОСТРОЕНИЕ ЧАСТОТНЫХ ХАРАКТЕРИСТИК ВХОДНОЙ ПРОВОДИМОСТИ И ВХОДНОГО СОПРОТИВЛЕНИЯ

активная проводимость:
![]()
реактивная проводимость:
![]()
активное сопротивление:
![]()
реактивное сопротивление:
![]()
входная проводимость:
![]()
входное сопротивление:
![]()
|
ПЙ/ПЙр |
0 |
0,2 |
0,4 |
0,6 |
0,8 |
1 |
1,2 |
1,4 |
1,6 |
1,8 |
2 |
|
Ge |
6,941E-08 |
0,0001423 |
0,0002958 |
0,000487 |
0,00095 |
0,34 |
0,001432 |
0,001143 |
0,001195 |
0,001301 |
0,001423 |
|
Be |
-0,000005861 |
-0,012 |
-0,024 |
-0,037 |
-0,054 |
-0,071 |
-0,05 |
-0,067 |
-0,08 |
-0,092 |
-0,103 |
|
Xe |
-170600 |
-84,979 |
-41,947 |
-27,086 |
-18,424 |
-0,588 |
-20,061 |
-14,898 |
-12,491 |
-10,883 |
-9,682 |
|
Re |
2020 |
1,028 |
0,521 |
0,357 |
0,323 |
2,814 |
0,577 |
0,254 |
0,186 |
0,154 |
0,133 |
|
Y |
0,000005862 |
0,012 |
0,024 |
0,037 |
0,054 |
0,348 |
0,05 |
0,067 |
0,08 |
0,092 |
0,103 |
|
Z |
170600 |
84,985 |
41,95 |
27,088 |
18,426 |
2,875 |
20,069 |
14,9 |
12,493 |
10,884 |
9,683 |
|
ФG |
1,505E-07 |
0,0003267 |
0,0008529 |
0,002202 |
0,009253 |
6,366 |
0,009361 |
0,002292 |
0,000992 |
0,000541 |
0,000335 |
|
ФB |
-0,098 |
-0,102 |
-0,116 |
-0,153 |
-0,271 |
-0,332 |
0,222 |
0,102 |
0,063 |
0,044 |
0,033 |
- Пугачев С.И. Конспект лекций по технической гидроакустике.
- Резниченко А.И. Подводные электроакустические преобразователи. Л.: ЛКИ, 1990.
- Свердлин Г.М. Гидроакустические преобразователи и антенны. Л.: Судостроение, 1988.
Вместе с этим смотрят:
Аналоговые электронные вольтметрыАналого-цифровой преобразователь (АЦП)
Антенные решетки
Антенный усилитель с подъёмом АЧХ