Анализ эффективности инвестиционных проектов
СодержаниеI. |
|||
Введение тАжтАжтАжтАжтАжтАжтАжтАжтАжтАжтАжтАжтАжтАжтАжтАжтАжтАжтАжтАжтАжтАжтАжтАжтАж.тАжтАж |
стр. 2 |
||
Цели и сферы инвестиционной деятельности. Решения по инвестиционным проектам тАжтАжтАжтАжтАжтАжтАжтАжтАжтАжтАжтАжтАжтАжтАжтАжтАж..тАжтАж |
стр. 3 |
||
Представление инвестиционных проектов тАжтАжтАжтАжтАжтАжтАжтАжтАжтАжтАжтАж.тАж |
стр. 7 |
||
Этапы инвестиционного анализа тАжтАжтАжтАжтАжтАжтАжтАжтАжтАжтАжтАжтАжтАжтАжтАж.тАж |
стр. 8 |
||
Методы анализа инвестиционных проектов тАжтАжтАжтАжтАжтАжтАжтАжтАжтАж..тАж.. |
стр. 9 |
||
Статистические методы тАжтАжтАжтАжтАжтАжтАжтАжтАжтАжтАжтАжтАжтАжтАжтАж..тАжтАж.. |
стр. 10 |
||
Срок окупаемости инвестиций тАжтАжтАжтАжтАжтАжтАжтАжтАжтАжтАжтАжтАжтАж. |
стр. 10 |
||
Метод простой нормы прибыли тАжтАжтАжтАжтАжтАжтАжтАжтАжтАжтАжтАжтАжтАж |
стр. 11 |
||
Динамические методы тАжтАжтАжтАжтАжтАжтАжтАжтАжтАжтАжтАжтАжтАжтАжтАж..тАжтАжтАж. |
стр. 11 |
||
Чистая приведенная стоимость тАжтАжтАжтАжтАжтАжтАжтАжтАжтАжтАжтАжтАж... |
стр. 11 |
||
Метод расчета чистой терминальной стоимости тАжтАжтАжтАжтАж..тАж. |
стр. 15 |
||
Индекс рентабельности проекта тАжтАжтАжтАжтАжтАжтАжтАжтАжтАжтАж..тАжтАж |
стр. 15 |
||
Внутренняя норма прибыли инвестиций тАжтАжтАжтАжтАжтАжтАжтАж..тАж. |
стр. 16 |
||
Модифицированная внутренняя норма доходности тАжтАжтАжтАжтАжтАжтАж |
стр. 21 |
||
Дисконтируемый срок окупаемости инвестиций тАжтАжтАжтАжтАжтАж.. |
стр. 23 |
||
Анализ инвестиционных проектов в условиях инфляции и риска тАжтАжтАж.. |
стр. 23 |
||
Заключение тАжтАжтАжтАжтАжтАжтАжтАжтАжтАжтАжтАжтАжтАжтАжтАжтАжтАжтАж..тАжтАжтАжтАжтАжтАж. |
стр. 25 |
||
II. |
Практическая часть |
||
Вопрос 1 тАжтАжтАжтАжтАжтАжтАжтАжтАжтАжтАжтАжтАжтАжтАжтАжтАжтАжтАжтАжтАж..тАжтАжтАжтАж |
стр. 27 |
||
Вопрос 2 тАжтАжтАжтАжтАжтАжтАжтАжтАжтАжтАжтАжтАжтАжтАжтАжтАжтАжтАжтАжтАжтАжтАж..тАжтАж |
стр. 29 |
||
Список используемой литературы тАжтАжтАжтАжтАжтАжтАжтАжтАжтАжтАжтАжтАжтАжтАж..тАж |
стр. 31 |
||
Приложение 1 тАжтАжтАжтАжтАжтАжтАжтАжтАжтАжтАжтАжтАжтАжтАжтАжтАжтАжтАжтАж.тАжтАжтАж.тАж стр. 32 |
|||
Приложение 2 тАжтАжтАжтАжтАжтАжтАжтАжтАжтАжтАжтАжтАжтАжтАжтАжтАжтАжтАжтАжтАжтАжтАжтАжтАж стр. 33 |
I. Введение
Совокупность долговременных затрат финансовых, трудовых и материальных ресурсов с целью увеличения накоплений и получения прибыли называется инвестициями.
Инвестиционная деятельность в той или иной степени присуща любому предприятию. Она представляет собой один из наиболее важных аспектов функционирования любой коммерческой организации. Причинами, обуславливающими необходимость инвестиций, являются обновление имеющейся материально-технической базы, наращивание объемов производства, освоение новых видов деятельности.
Управление инвестиционными процессами, связанными с вложениями денежных средств в долгосрочные материальные и финансовые активы, представляет собой наиболее важный и сложный раздел финансового менеджмента. Принимаемые в этой области решения рассчитаны на длительные периоды вреВнмени и, как правило:
тАв являются частью стратегии развития фирмы в перспективе;
тАв влекут за собой значительные оттоки средств;
тАв с определенного момента времени могут стать необратимыми;
тАв опираются на прогнозные оценки будущих затрат и доходов.
Поэтому, значение экономического анализа для планирования и осуществления инвестиционной деятельности трудно переоценить. При этом особую важность имеет предварительный анализ, который проводится на стадии разработки инвестиционных проектов и способствует принятию разумных и обоснованных управленческих решений.
Для того чтобы сделать правильный анализ эффективности намечаемых капиталоВнвложений, необходимо учесть множество факторов, и это наиболее важная вещь, которую должен делать финансовый менеджер. Степень ответственности за принятие инвестиционного проекта в рамках того или иного направления различна. Нередко решения должны приниматься в условиях, когда имеется ряд альтернативных или взаимно независимых проектов. В этом случае необходимо сделать выбор одного или нескольких проектов, основываясь на каких-то критериях. Очевидно, что таких критериев может быть несколько, а вероятность того, что какой-то один проект будет предпочтительнее других по всем критериям, как правило, значительно меньше единицы.
Принятие решений инвестиционного характера, как и любой другой вид управленческой деятельности, основывается на использовании различных формализованных и неформализованных методов. Степень их сочетания определяется разными обстоятельствами, в том числе и тем из них, насколько менеджер знаком с имеющимся аппаратом, применимым в том или ином конкретном случае. В отечественной и зарубежной практике известен целый ряд формализованных методов, расчеты, с помощью которых могут служить основой для принятия решений в области инвестиционной политики. Какого-то универсального метода, пригодного для всех случаев жизни, не существует. Вероятно, управление все же в большей степени является искусством, чем наукой. Тем не менее, имея некоторые оценки, полученные формализованными методами, пусть даже в известной степени условные, легче принимать окончательные решения.
Главным направлением предварительного анализа является определение показателей возможной экономической эффективности инвестиций, т.е. отдачи от капитальных вложений, которые предусмотрены по проекту. Как правило, в расчетах принимается во внимание временной аспект стоимости денег.
Весьма часто предприятие сталкивается с ситуацией, когда имеется ряд альтернативных (взаимоисключающих) инвестиционных проектов. Естественно, возникает необходимость в сравнении этих проектов и выборе наиболее привлекательных из них по каким-либо критериям.
В связи с вышеизложенным в работе будут рассмотрены следующие вопросы:
- основные принципы, положенные в основу анализа инвестиционных проектов;
- критерии принятия инвестиционного решения;
- критерии оценки экономической эффективности инвестиционных проектов;
- этапы инвестиционного анализа;
- методы оценки инвестиционных проектов.
Цели и сферы инвестиционной деятельности. Решения по инвестиционным проектам.
В условиях рыночной экономики возможностей для инвестирования довольно много. Вместе с тем любая коммерческая организация имеет ограниченную величину свободных финансовых ресурсов, доступных для инвестирования. Поэтому всегда актуальна задача оптимизации инвестиционного портфеля. Для того чтобы из всего многообразия возможных направлений вложения средств выбрать те, которые являются наиболее эффективными с точки зрения инвестиционных целей, необходимо обстоятельно их проанализировать.
Цели, которые ставятся при оценке проектов, могут быть различными, а результаты, получаемые в ходе их реализации, не обязательно носят характер очевидной прибыли. Могут быть проекты, сами по себе убыточные в экономическом смысле, но приносящие косвенный доход за счет обретения стабильности в обеспечении сырьем и полуфабрикатами, выхода на новые рынки сырья и сбыта продукции, достижения некоторого социального эффекта, снижения затрат по другим проектам и производствам и др. Так, во многих экономически развитых странах очень остро ставится вопрос об охране окружающей среды и обеспечения безопасности продукции компаний для пользователей и природы. В этом случае традиционные критерии оценки целесообразности принятия проекта, основанные на формализованных алгоритмах, могут уступать место неким неформализованным критериям.
Любая используемая схема оценки инвестиций должна базироваться на классификации типов инвестиций. Различные инвестиции вызывают различные проблемы, имеют различную относительную важность для фирмы, и для оценки их важности требуются различные люди. Принятие решений по инвестиционным проектам осложняется такими факторами, как: вид инвестиций, стоимость инвестиционного проекта, множественность доступных проектов, способ влияния других возможных инвестиций на доходы от данВнного инвестиционного проекта, ограниченность финансовых ресурсов, доступных для инвестирования, риск, связанный с принятием того или иного решения, степень обязательности осуществления. В целом, все проекты можно классифицировать по следующим категориям:
1. Сохранение производства. Это обязательные инвестиции, необходимые для того, чтобы фирма могла продолжать свою деятельность.
2. Снижение издержек. Эта категория проектов включает расходы на замещение действующего, но устаревшего оборудования, совершенствование действующих технологий. Цель таких проектов состоит в снижении расходов труда, материалов, электроэнергии и других факторов производства.
3. Расширение производства существующей продукции или рынков. Сюда включаются расходы на то, чтобы увеличить выпуск существующей продукции или расшиВнрить выходы ее на рынки. Такие проекты более комплексные, поскольку они требуют точной оценки будущего спроса на рынках продукции фирмы. Ошибки здесь более вероятны, поэтому требуется еще более детальный анализ, а окончательное решение принимается на самом высоком уровне внутри фирмы.
4. Расширение за счет выпуска новой продукции или завоевания новых рынков. Существуют расходы, необходимые для производства новой продукции или для распространения продукции фирмы в неохваченные еще географические зоны. Такие проекты включают стратегические решения, которые могут изменить фундаментальВнную природу самого этого бизнеса, они обычно требуют больших расходов в течение длительных периодов и очень подробного анализа. Окончательное решение о новой продукции или рынках обычно принимается советом директоров как часть стратегического плана. Слияния и приобретения часто анализируются как часть анализа эффективности намечаемых капиталовложений и используются для выполнения стратегического плана.
5. Проекты безопасности и/или защиты окружающей среды. В эту категорию попадают расходы на выполнение правительственных указаний, трудовых соглашений или условий страховой политики. Такие расходы часто называются принудительными (обязательными) инвестициями или бесприбьльно-производственнъти проектами.
6. Прочие.
Степень ответственности за принятие инвестиционного проекта в рамках того или иного направления различна. Требуются относительно простые расчеты и несколько подкрепляюВнщих документов для решений о замещении, особенно для предприятий, приносящих прибыль. Более подробный анализ требуется для проектов замещения со снижением издержек, для расширения существующих продуктовых линий и особенно для инВнвестиций в новую продукцию или регионы. Кроме того, в пределах каждой категории проекты разбиваются по величине издержек: чем крупнее затребованные инвестиции, тем более подробным должен быть анализ и тем выше уровень должностных лиц, которые санкционируют эти расходы.
Нередко решения должны приниматься в условиях, когда имеется ряд альтернативных или взаимно независимых проектов. В этом случае необходимо сделать выбор одного или нескольких проектов, основываясь на каких-то критериях. При оценке представленных руководству инвестиционных вариантов важно понимать возможную взаимосвязь между отдельными парами инвестиционВнных предложений. Любое отдельно взятое инвестиционное предложение моВнжет экономически зависеть от другого инвестиционного предложения. ГовоВнрят, что инвестиционное предложение экономически независимо (economically independent) от другого инвестиционного предложения, если денежные потоки (или, в более общем случае, затраты и доходы), ожидаемые от первого проекта, не изменятся независимо от того, будет ли осуществлен второй проект. Если решение о принятии или отклонении второго проекта влияет на денежные потоки от первого проекта, то говорят, что первый проВнект экономически зависим от второго. Очевидно, что, если первый проект заВнвисит от второго, то следует серьезно подумать, стоит ли принимать решение о первом проекте отдельно от решения о втором проекте. Классификацию отношений зависимости можно углубить. Если решение осуществить второй проект увеличит ожидаемые доходы от первого (или уменьшит затраты на осуществление первого без изменения доходов), то гоВнворят, что второй проект является дополняющим (complement) по отношению к первому. Если решение предпринять второй инвестиционный проект уменьшит ожидаемые доходы от первого (или увеличит затраты на осуществВнление первого без изменения доходов), то говорят, что второй проект являетВнся заменяющим для первого, или субститутом (substitute) первого инвестициВнонного проекта. В крайнем случае, когда потенциальные прибыли от первого инвестиционного проекта полностью сойдут на нет, если будет принят втоВнрой проект, или технически невозможно осуществить первый проект при условии принятия второго, два этих инвестиционных проекта называются взаимоисключающими (mutually exclusive).
Необходимое условие Независимые Взаимоисключающие
Сильное Слабое Слабое Сильное
взаимодополнение взаимодополнение взаимозамещение взаимозамещение
Взаимосвязь между инвестициямиВесьма существенен фактор риска. Инвестиционная деятельность всегда осуществляется в условиях неопределенности, степень которой может существенно варьировать. Так, в момент приобретения новых основных средств никогда нельзя точно предсказать экономический эффект этой операции. Поэтому решения нередко принимаются на интуитивной основе.
Анализ эффективности намечаемых капиталовложений тАФ это процесс анализа потенциальных расходов на финансирование активов и решений, следует ли фирме делать такие капиталовложения. Процесс анализа эффективности намечаемых капиталовложений требует, чтобы фирма:
- определила издержки проекта;
- оценила ожидаемые потоки денежных средств от проекта и рисковость этих потоков денежных средств;
- определила соответствующую стоимость капитала, по которой дисконтируются потоки денежных средств;
- определила дисконтированную стоимость ожидаемых потоков денежных средств и этого проекта.
При этом используются следующие критерии принятия инвестиционных решений:
- критерии, позволяющие оценить реальность проекта:
- нормативные критерии (правовые) т.е. нормы национального, международного права, требования стандартов, конвенций, патентоспособности и др.;
- ресурсные критерии (научно-технические, технологические, производственные критерии, объем и источники финансовых ресурсов).
- количественные критерии, позволяющие оценить целесообразность реализации проекта.
- Соответствие цели проекта на длительную перспективу целям развития деловой среды;
- Риски и финансовые последствия (ведут ли они к увеличению инвестиционных издержек или снижению ожидаемого объема производства, цены или продаж);
- Степень устойчивости проекта;
- Вероятность проектирования сценария и состояние деловой среды.
- финансово-экономические критерии., позволяющие выбрать те проекты, реализация которых целесообразна (критерии приемлемости).
- стоимость проекта;
- чистая текущая стоимость;
- прибыль;
- рентабельность;
- внутренняя норма прибыли;
- период окупаемости;
- чувствительность прибыли к сроку планирования, к изменениям в деловой среде, к ошибке в оценке данных.
В целом, принятие инвестиционного решения требует совместной работы многих людей с разной квалификацией и различными взглядами на инвестиции. Тем не менее, последнее слово остается за финансовым менеджером, который придерживается некоторым правилам.
Правила принятия инвестиционных решений:
- инвестировать денежные средства в производство или ценные бумаги имеет смысл только, если можно получить чистую прибыль выше, чем от хранения денег в банке;
- инвестировать средства имеет смысл, только если, рентабельности инвестиции превышают темпы роста инфляции;
- инвестировать имеет смысл только в наиболее рентабельные с учетом дисконтирования проекты.
Таким образом, решение об инвестировании в проект принимается, если он удовлетворяет следующим критериям:
- дешевизна проекта;
- минимизация риска инфляционных потерь;
- краткость срока окупаемости;
- стабильность или концентрация поступлений;
- высокая рентабельность как таковая и после дисконтирования;
- отсутствие более выгодных альтернатив.
На практике выбираются проекты не столько наиболее прибыльные и наименее рискованные, сколько лучше всего вписывающиеся в стратегию фирмы.
Представление инвестиционных проектов
Весьма наглядным инструментом в анализе инвестиционных проектов является графическое представление соответствующего денежного потока.
а) б)
где - отток денежных средств - приток денежных средств
Графическое представление типового инвестиционного проекта
а) с ординарным денежным потоком
б) с неординарным денежным потоком
С формальной точки зрения любой инвестиционный проект зависит от ряда параметров, которые в процессе анализа подлежат оценке и нередко задаются в виде дискретного распределения, что позволяет проводить этот анализ в режиме имитационного моделирования. В наиболее общем виде инвестиционный проект P представляет собой следующую модель:
P = {ICi, CFk, n, r},
где ICi - инвестиция в i-м году, i = 1,2,тАж.,m;
CFk тАУ приток денежных средств в k-м году, k = 1,2,тАж.,n;
n тАУ продолжительность проекта;
r тАУ ставка дисконтирования.
Инвестиционные проекты, анализируемые в процессе составления бюджета капитальных вложений, имеют определенную логику.
- . С каждым инвестиционным проектом принято связывать денежный поток (Cash Flow), элементы которого представляют собой либо чистые оттоки (Net Cash Outflow), либо чистые притоки денежных средств (Net Cash Inflow). Под чистым оттоком в k-м году понимается превышение текущих денежных расходов по проекту над текущими денежными поступлениями (при обратном соотношении имеет место чистый приток). Денежный поток, в котором притоки следуют за оттоками, называется ординарным. Если притоки и оттоки чередуются, денежный поток называется неординарным.
- Чаще всего анализ ведется по годам, хотя это ограничение не является обязательным. Анализ можно проводить по равным периодам любой продолжительности (месяц, квартал, год и др.). При этом, однако, необходимо помнить о сопоставимости величин элементов денежного потока, процентной ставки и длины периода.
- Предполагается, что все вложения осуществляются в конце года, предшествующего первому году реализации проекта, хотя в принципе они могут осуществляться в течение ряда последующих лет.
- Приток (отток) денежных средств относится к концу очередного года.
- Коэффициент дисконтирования, используемый для оценки проектов с помощью методов, основанных на дисконтированных оценках, должен соответствовать длине периода, заложенного в основу инвестиционного проекта (например, годовая ставка берется только в том случае, если длина периода - год).
Необходимо особо подчеркнуть, что применение методов оценки и анализа проектов предполагает множественность используемых прогнозных оценок и расчетов. Множественность определяется как возможность применения ряда критериев, так и безусловной целесообразностью варьирования основными параметрами. Это достигается использованием имитационных моделей в среде электронных таблиц.
Этапы инвестиционного анализа
Таким образом, анализ эффективности намечаемых инвестиций включает в себя следующие шесть этапов:
1. Определение стоимости (затрат) проекта
2. Оценка ожидаемых потоков денежных средств от этого проекта, включая стоиВнмость активов на определенную временную дату.
3. Оценка ожидаемых потоков платежей с учетом фактора времени, т.е. построение дисконтированного потока платежей.
4. Оценка риска запроектированных потоков денежных средств при помощи информации о вероятностном распределении потоков денежных средств.
5. Оценка стоимости капитала, необходимого для реализации проекта на базе дисконтированной стоимости.
6. Определение критериев эффективности и сравнение дисконтированной стоимости ожидаемых денежных поступлений с требуеВнмыми капиталовложениями или издержками проекта.
Если дисконтированная стоимость этих активов превышает издержки по ним, то этот проект следует принять. В противном случае проект должен быть отвергнут. (Альтернативно: может быть подсчитан ожидаемый коэффициент окупаемости капиталовложений по этому проекту, и если этот коэффициент окупаемости превышает требуемый проектный коэффициент, то проект принимается.)
Методы анализа инвестиционных проектовСовокупность методов, применяемых для оценки эффективВнности инвестиций, можно разбить на две группы: динамические (учитывающие фактор времени) и статические (учетные).
Классификация методов инвестиционного анализаНаиболее важным из статических методов является Влсрок окупаемостиВ», который показывает ликвидность данного проекта. Недостатком статических методов является отсутствие учета фактора времени.
Динамические метоВнды, позволяющие учесть фактор времени, отражают наиболее современные подходы к оценке эффективности инвеВнстиций и преобладают в практике крупных и средних предприВнятий развитых стран. В хозяйственной практике России примеВннение этих методов обусловлено также и высоким уровнем инВнфляции.
Динамические методы часто называют дисконтными, поВнскольку они базируются на определении современной величины (т.е. на дисконтировании) денежных потоков, связанных с реаВнлизацией инвестиционного проекта.
При этом делаются следующие допущения:
тАв потоки денежных средств на конец (начало) каждого периода реализации проекта известны;
тАв определена оценка, выраженная в виде процентной ставки (нормы дисконта), в соответствии с которой средства могут быть вложены в данный проект. В качестве такой оценки обычно используются: средняя или предельная стоимость капитала для предприятия; процентные ставки по долгоВнсрочным кредитам; требуемая норма доходности на вложенВнные средства и др. Существенными факторами, оказывающими влияние на веВнличину оценки, являются инфляция и риск.
Статические методыСрок окупаемости инвестиций (Payback Period - PP)
Этот метод - один из самых простых и широко распространен в мировой практике, не предполагает временной упорядоченности денежных поступлений.
Он состоит в вычислении количества лет, необходимых для полного возмещения первоначальных затрат, т.е. определяется момент, когда денежный поток доходов сравняется с суммой денежных потоков затрат. Отбираются проекты с наименьшими сроками окупаемости. Алгоритм расчета срока окупаемости (РР) зависит от равномерности распределения прогнозируемых доходов от инвестиции. Если доход распределен по годам равномерно, то срок окупаемости рассчитывается делением единовременных затрат на величину годового дохода, обусловленного ими. При получении дробного числа оно округляется в сторону увеличения до ближайшего целого. Если прибыль распределена неравномерно, то срок окупаемости рассчитывается прямым подсчетом числа лет, в течение которых инвестиция будет погашена кумулятивным доходом. Общая формула расчета показателя РР имеет вид:
РР = n , при котором CFt > IC, где: CFt - чистый денежный поток доходов
IC - сумма денежных потоков затрат
Показатель срока окупаемости инвестиций очень прост в расчетах, вместе с тем он имеет ряд недостатков, которые необходимо учитывать в анализе.
Во-первых, он игнорирует денежные поступления после истечения срока окупаемости проекта.
Во-вторых, поскольку этот метод основан на не дисконтированных оценках, он не делает различия между проектами с одинаковой суммой кумулятивных доходов, но различным распределением их по годам. Он не учитывает возможности реинвестирования доходов и временную стоимость денег. Поэтому проекты с равными сроками окупаемости, но различной временной структурой доходов признаются равноценными.
В то же время, этот метод позволяет судить о ликвидности и рискованности проекта, т.к. длительная окупаемость означает длительную иммобилизацию средств (пониженную ликвидность проекта) и повышенную рискованность проекта. Существует ряд ситуаций, при которых применение метода, основанного на расчете срока окупаемости затрат, может быть целесообразным. В частности, это ситуация, когда руководство предприятия в большей степени озабочено решением проблемы ликвидности, а не рентабельности проекта - главное, чтобы инвестиции окупились как можно скорее. Метод также хорош в ситуации, когда инвестиции сопряжены с высокой степенью риска, поэтому, чем короче срок окупаемости, тем менее рискованным является проект. Метод РР успешно используется для быстрой отбраковки проектов, а также в условиях сильной инфляции, политической нестабильности или при дефиците ликвидных средств: эти обстоятельства ориентируют предприятие на получение максимальных доходов в кратчайшие сроки.
Метод простой нормы прибыли (Accounting Rate of Return - ARR)
При использовании этого метода средняя за период жизни проекта чистая бухгалтерская прибыль сопоставляется со средними инвестициями (затратами основных и оборотных средств) в проект.
Метод прост для понимания и включает несложные вычисления, благодаря чему может быть использован для быстрой отбраковки проектов. Однако существенным недостатком является то, что игнорируется неденежный (скрытый) характер некоторых видов затрат (типа амортизационных отчислений) и связанная с этим налоговая экономия; доходы от ликвидации старых активов, заменяемых новыми; возможности реинвестирования получаемых доходов и временная стоимость денег. Метод не дает возможности судить о предпочтительности одного из проектов, имеющих одинаковую простую бухгалтерскую норму прибыли, но разные величины средних инвестиций.
ARR =
, где Pб - чистая бухгалтерская прибыль от проекта
IC - инвестиции
Динамические методы
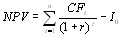
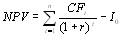
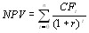
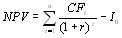
Чистая приведенная стоимость (Net Present Value - NPV)
Этот критерий оценки инвестиций относится к группе методов дисконтирования денежных потоков или DCF-методов. Он основан на сопоставлении величины инвестиВнционных затрат (IC) и общей суммы скорректированных во времени будущих денежных поступлений, генерируемых ею в течение прогнозируемого срока. При заданной норме дисконта (коэффициента r, устанавливаемого аналитиком (инвестором) самостоятельно исходя из ежегодного процента возврата, который он хочет или может иметь на инвестируемый им капитал) можно определить современВнную величину всех оттоков и притоков денежных средств в теВнчение экономической жизни проекта, а также сопоставить их друг с другом. Результатом такого сопоставления будет положиВнтельная или отрицательная величина (чистый приток или чисВнтый отток денежных средств), которая показывает, удовлетворяВнет или нет проект принятой норме дисконта.
Пусть I0 тАФ сумма первоначальных затрат, т.е. сумма инвестиВнций на начало
проекта;
PV тАФ современная стоимость денежного потока на протяжении экономической
жизни проекта.
Тогда чистая современная стоимость равна:
NPV = PV - Iо
Общая накопленная величина дисконтированных доходов (PV) рассчитывается по формуле:
,
где: r - норма дисконта;
n тАФ число периодов реализации проекВнта;
CFt тАФ чистый поток платежей в периоде t.
Т.о., ![]()
Если рассчитанная таким образом чистая современная стоиВнмость потока платежей имеет положительный знак (NPV > 0), это означает, что в течение своей экономической жизни проект возместит первоначальные затраты /о, обеспечит получение приВнбыли согласно заданному стандарту r, а также ее некоторый реВнзерв, равный NPV. Отрицательная величина NPV показывает, что заданная норма прибыли не обеспечивается и проект убытоВнчен. При NPV == 0 проект только окупает произведенные затраВнты, но не приносит дохода. Однако проект с NPV=0 имеет все же дополнительный аргумент в свою пользу тАУ в случае реализации проекта объемы производства возрастут, т.е. компания увеличится в масштабах (что нередко рассматривается как положительная тенденция).
Общее правило NPV: если NPV > 0, то проект принимается, иначе его следует отклонить.
При прогнозировании доходов по годам необходимо по возможности учитывать все виды поступлений как производственного, так и непроизводственного характера, которые могут быть ассоциированы с данным проектом. Так, если по окончании периода реализации проекта планируется поступление средств в виде ликвидационной стоимости оборудования или высвобождения части оборотных средств, они должны быть учтены как доходы соответствующих периодов.
Если проект предполагает не разовую инвестицию, а последовательное инвестирование финансовых ресурсов в течение m лет, то формула для расчета NPV модифицируется следующим образом:
,
где i тАФ прогнозируемый средний уровень инфляции.
С учетом вышеизложенного формула расчета NPV для общего случая примет вид:
![]()
Расчет с помощью приведенных формул вручную достаточно трудоемок, поэтому для удобства применения этого и других методов, основанных на дисконтированных оценках, разработаны специальные финансовые таблицы, в которых табулированы значения сложных процентов, дисконтирующих множителей, дисконтированного значения денежной единицы и т. п. в зависимости от временного интервала и значения ставки дисконтирования.
Необходимо отметить, что показатель NPV отражает прогнозную оценку изменения экономического потенциала предприятия в случае принятия рассматриваемого проекта. Этот показатель аддитивен во временном аспекте, т. е. NPV различных проектов можно суммировать. Это очень важное свойство, выделяющее этот критерий из всех остальных и позволяющее использовать его в качестве основного при анализе оптимальности инвестиционного портфеля.
График чистой текущей стоимости тАФ один из наиболее полезных инструменВнтов для суммарного выражения характеристик доходности инвестиций. На горизонтальной оси откладываются различные ставки дисконтирования; на вертикальной тАФ чистая текущая стоимость инвестиций. Чистая текущая стоимость инвестиций изображается для всех ставок дисконтирования от нуВнля до какого-нибудь разумного большого значения.
NPV
r
y = f(r)
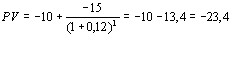
Пример
Требуется проанализировать инвестиционный проект со следующими характеристиками (млн. руб.): -Ва150, 30, 70, 70, 45. Рассмотрим два случая:
а) цена капитала 12%;
б) ожидается, что цена капитала будет меняться по годам следующим образом: 12%, 13%, 14%, 14%.
В случае а) воспользуемся формулой:
= 11,0 млн. руб., т.е. проект является приемлемым.
б) Здесь NPV находится прямым подсчетом:
30 70 70 30
NPV= -150 + -- + --- + ------ + ------ = - 1,2 млн. руб.,
1,12 1,12⋅1,13 1,12⋅1,13⋅1,14 1,12⋅1,13⋅1,142
т.е. проект убыточен.
На практике после определения показателей эффективности инвестиций осуществляют анализ их чувствительности (sensitivity analysis) к изменениям возможных условий. В общем случае подобный анализ сводится к исследованию изменений полученной величины в зависимости от различных значений параметров рекуррентных соотношений. На срок окупаемости проекта и обратное тАУ на величину NPV прямое влияние оказывает норма дисконта r. Также существенное влияние оказывает структура денежного потока. Чем больше притоки наличности в первые годы экономической жизни проекта, тем больше конечная величина NPV и соответственно тем скорее произойдет возмещение произведенных затрат.
При помощи NPV-метода можно определить не только коммерческую эффективность проекта, но и рассчитать ряд дополнительных показателей. Столь обширная область применения и относительная простота расчетов обеспечили NPV-методу широкое распространение, и в настоящее время он является одним из стандартных методов расчета эффективности инвестиций, рекомендованных к применению ООН и Всемирным банком.
Однако корректное использование NPV-метода возможно только при соблюдении ряда условий:
Объем денежных потоков в рамках инвестиционного проекта должен быть оценен для всего планового периода и привязан к определенным временным интервалам. Денежные потоки в рамках инвестиционного проекта должны рассматриваться изолированно от остальной производственной деятельности предприятия, т.е. характеризовать только платежи и поступления, непосредственно связанные с реализацией данного проекта. Принцип дисконтирования, применяемый при расчете чистого приведенного дохода, с экономической точки зрения подразумевает возможность неограниченного привлечения и вложения финансовых средств по ставке дисконта. Использование метода для сравнения эффективности нескольких проектов предполагает использование единой для всех проектов ставки дисконта и единого временного интервала (определяемого, как правило, как наибольший срок реализации из имеющихся).
При расчете NPV, как правило, используется постоянная ставка дисконтирования, однако в зависимости от обстоятельств (например, ожидается изменение уровня процентных ставок) ставка дисконтирования может дифференцироваться по годам. Если в ходе расчетов применяются различные ставки дисконтирования, то проект, приемлемый при постоянной ставке дисконтирования, может стать неприемлемым.
Являясь абсолютным показателем, NPV обладает важнейшим свойством тАУ свойством аддивности, т.е. NPV различных проектов можно суммировать. К числу других важнейших свойств этого критерия следует отнести более реалистические предположения о ставке реинвестирования поступающих средств. (В методе NPV неявно предполагается, что средства, поступающие от реализации проекта, реинвестируются по заданной норме дисконта r.)
Использование критерия NPV теоретически обоснованно, и в целом он считается наиболее корректным измерителем эффективности инвестиций. Вместе с тем он имеет свои недостатки. Например, NPV не является абсолютно верным критерием при: а) выборе между проектом с большими первоначальными издержками и проектом с меньшими первоначальными издержками при одинаковой величине чистых настоящих стоимостей; б) выборе между проектом с большей чистой настоящей стоимостью и длительным периодом окупаемости и проектом с меньшей чистой настоящей стоимостью и коротким периодом окупаемости. Т.е. метод NPV не позволяет судить о пороге рентабельности и запасе финансовой прочности проекта. Метод не объективизирует влияние изменений стоимости недвижимости и сырья на чистую настоящую стоимость проекта. Его использование осложняется трудностью прогнозирования ставки дисконтирования (средневзвешенной стоимости капитала) и/или ставки банковского процента.
Таким образом, применение абсолютных показателей при анализе проектов с различными исходными условиями (первоначальными инвестициями, сроками экономической жизни и пр.) может приводить к затруднениям при принятии управленческих решений.
Поэтому наряду с абсолютным показателем эффективности инвестиций NPV используются также и относительные тАУ индекс рентабельности и внутренняя норма доходности.
Метод расчета чистой терминальной стоимости (Net Terminal Value тАУ NTV)
Критерий NPV основан на приведении денежного потока к началу действия проекта, т.е. в его основе заложена операция дисконтирования. Очевидно, что можно воспользоваться и обратной операцией тАУ наращением. В этом случае элементы денежного потока будут приводиться к моменту окончания проекта.
Наращение для расчета NTV
NTV
C2
C1 C3
C4
0
1 2 3 4
IC
NPV
Дисконтирование для
расчета NPV
Очевидно, формула расчета критерия имеет вид:
![]()
Условия принятия проекта на основе критерия NTV такие же как и в случае с NPV. Если: NTV > 0, то проект следует принять;
NTV < 0, то проект следует отвергнуть;
NTV = 0, то проект ни прибыльный, ни убыточный.
Критерии NPV и NTV взаимообратны, они дублируют друг друга, т.е. отбор проекта по одному из них дает в точности такой же результат как при использовании другого критерия.
Индекс рентабельности проекта (Profitability Index - PI)
Индекс рентабельности показывает, сколько единиц современной величины денежного потока приходится на единицу предполагаемых первоначальных затрат. Этот метод является по сути следствием метода чистой современной стоимости. Для расчета показателя IP используется формула:
или ![]()
Если величина критерия РI > 1, то современная стоимость денежного потока проекта превышает первоначальные инвестиции, обеспечивая тем самым наличие положительной величины NPV; при этом норма рентабельности превышает заданную, т.е. проект следует принять;
При РI< 1, проект не обеспечивает заданного уровня рентабельности, и его следует отвергнуть;
Если РI = 1, то инвестиции не приносят дохода, - проект ни прибыльный, ни убыточный.
Таким образом, критерий PI характеризует эффективность вложений; именно этот критерий наиболее предпочтителен, когда необходимо упорядочить независимые проекты для создания оптимального портфеля в случае ограниченности сверху общего объема инвестиций.
В отличие от чистого приведенного эффекта индекс рентабельности является относительным показателем. Благодаря этому он очень удобен при выборе одного проекта из ряда альтернативных, имеющих примерно одинаковые значения NPV, либо при комплектовании портфеля инвестиций с максимальным суммарным значением NPV.
Недостатком индекса рентабельности является то, что , этот показатель сильно чувствителен к масштабу проекта. Он не всегда обеспечивает однозначную оценку эффективности инвестиций, и проект с наиболее высоким PI может не соответствовать проекту с наиболее высокой NPV. В частности, использование индекса рентабельности не позволяет корректно оценить взаимоисключающие проекты. В связи с чем чаще используется как дополнение к критерию NPV.
Внутренняя норма прибыли инвестиций (Internal Rate of Return - IRR)
Внутренняя норма доходности тАУ наиболее широко используемый критерий эффективности инвестиций. Под внутренней нормой доходности понимают значение ставки дисконтирования r, при котором чистая современная стоимость инвестиционного проекта равна нулю:
IRR = r, при котором NPV = f(r) = 0.
Таким образом, IRR находится из уравнения:
![]()
Смысл расчета этого коэффициента при анализе эффективности планируемых инвестиций заключается в следующем: IRR показывает максимально допустимый относительный уровень расходов, которые могут быть ассоциированы с данным проектом. Например, если проект полностью финансируется за счет ссуды коммерческого банка, то значение IRR показывает верхнюю границу допустимого уровня банковской процентной ставки, превышение которого делает проект убыточным.
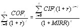
При NPV = 0 современная стоимость проекта (PV) равна по абсолютной величине первоначальным инвестициям I0, следовательно, они окупаются. В общем случае чем выше величина IRR, тем больше эффективность инвестиций. Величину IRR сравнивают с заданной нормой дисконта r. При этом если IRR>r, то проект обеспечивает положительную NPV и доходность, равную IRR-r. Если IRR Для оценки внутренней нормы окупаемости можно использовать график чистой дисконтированной стоимости, отметив одну отрицательную и одну положительную точку и соединив их линией. Для проекта, у которого отток (инвестиция) сменяется притоками, в сумме превосходящими этот отток, функция y = f(r) является убывающей, т.е. с ростом r график функции стремится к оси абсцисс и пересекает ее в некоторой точке, являющейся IRR. (Функция может иметь несколько точек пересечения с осью X). Пересечение с осью Х (NPV=0) даст приблизительную (а не точную) оценку внутренней нормы окупаемости. Ось ординат (r=0) график NPV пересекает в точке, равной сумме всех элементов недисконтированного денежного потока, включая величину исходных инвестиций. Важным моментом является то, что критерий IRR не обладает свойством аддитивности. NPV r y = f(r) На практике любое предприятие финансирует свою деятельность, в том числе и инвестиционную, из различных источников. В качестве платы за пользование авансированными в деятельность предприятия финансовыми ресурсами оно уплачивает проценты, дивиденды, вознаграждения и т.п., т.е. несет некоторые обоснованные расходы па поддержание своего экономического потенциала. Показатель, характеризующий относительный уровень этих расходов, можно назвать стоимостью авансированного капитала (CC). Этот показатель отражает сложившийся на предприятии минимум возврата на вложенный в его деятельность капитал, его рентабельность и рассчитывается по формуле средней арифметической взвешенной. Экономический смысл этого показателя заключается в следующем: предприятие может принимать любые решения инвестиционного характера, уровень рентабельности которых не ниже текущего значения показателя CC (или цены источника средств для данного проекта, если он имеет целевой источник). Именно с ним сравнивается показатель IRR, рассчитанный для конкретного проекта, при этом связь между ними такова. Если: IRR > CC. то проект следует принять; IRR < CC, то проект следует отвергнуть; IRR = CC, то проект ни прибыльный, ни убыточный. Независимо от того, с чем сравнивается IRR, очевидно: проект принимается, если его IRR больше некоторой пороговой величины; поэтому при прочих равных условиях, как правило, большее значение IRR считается предпочтительным. Современные табличные процессоры позволяют быстро и эффективно определить этот показатель путем использования специальных функций. Однако если в распоряжении аналитика нет специализированного финансового калькулятора, практическое применение данного метода осложнено. В этом случае применяется метод последовательных итераций с использованием табулированных значений дисконтирующих множителей. Для этого с помощью таблиц выбираются два значения коэффициента дисконтирования r1<r2 таким образом, чтобы в интервале (r1,r2) функция NPV=f(r) меняла свое значение с "+" на "-" или с "-" на "+". Далее применяют формулу где r1 тАФ значение табулированного коэффициента дисконтирования, при котором f(r1)>0 (f(r1)<0); r2 тАФ значение табулированного коэффициента дисконтирования, при котором f(r2)<О (f(r2)>0). Точность вычислений обратно пропорциональна длине интервала (r1,r2), а наилучшая аппроксимация с использованием табулированных значений достигается в случае, когда длина интервала минимальна (равна 1%), т.е. r1 и r2 - ближайшие друг к другу значения коэффициента дисконтирования, удовлетворяющие условиям (в случае изменения знака функции с "+" на "-"): r1 тАФ значение табулированного коэффициента дисконтирования, минимизирующее положительное значение показателя NPV, т.е. f(r1)=minr{f(r)>0}; r2 тАФ значение табулированного коэффициента дисконтирования, максимизирующее отрицательное значение показателя NPV, т.е. f(r2)=maxr{f(r)<0}. Путем взаимной замены коэффициентов r1 и r2 аналогичные условия выписываются для ситуации, когда функция меняет знак с "-" на "+". Пример Требуется рассчитать значение показателя IRR для проекта со сроком реализации 3 года: (в млн руб.) - 10, 3, 4, 7. Возьмем два произвольных значения коэффициента дисконтирования: r = 10%, r = 20%. Соответствующие расчеты с использованием табулированных значений приведены в таблице 1. Го Пото Расчет 1 Расчет 2 Расчет 3 Расчет 4 д к r=10% PV r=20% PV r=16% PV r=17% PV 0 -10 1,000 -10,00 1,000 -10,00 1,000 -10,00 1,000 -10,00 1 3 0,909 2,73 0,833 2,50 ,862 2,59 0,855 2,57 2 4 0,826 3,30 0,694 2,78 0,743 2,97 0,731 2,92 3 7 0,751 5,26 0,579 4,05 0,641 4,49 0,624 4,37 1,29 -0,67 0,05 -0,14 Значение IRR вычисляется по формуле следующим образом: 1,29 IRR = 10% + ----- (20% -10%) = 16,6%. 1,29-(-0,67) Можно уточнить полученное значение. Допустим, что путем нескольких итераций мы определили ближайшие целые значения коэффициента дисконтирования, при которых NPV меняет знак: при r =16% NPV= +0,05; при r =17% NРV = -0,14. Тогда уточненное значение IRR будет равно: 0,05 IRR = 16% + ----- (17% -16%) = 16,26%. 0,05-(-0,14) Обладая рядом положительных свойств: в то же время критерий IRR имеет существенные недостатки: При анализе условий применения IRR-метода в литературе выделяются два типа инвестиционных проектов: изолированно проводимые, или чистые инвестиции (pure investments), и смешанные (mixed investments). Под чистыми инвестициями понимаются инвестиции, которые не требуют промежуточных капиталовложений, а полученные от реализации проекта средства направляются на амортизацию вложенного капитала и в доход. Нормальным признаком чистых инвестиций является характер динамики сальдо денежных потоков: до определенного момента времени только отрицательные сальдо (т.е. превышения расходов над доходами), а затем - только положительные сальдо (чистый доход), причем итоговое сальдо денежных потоков должно быть неотрицательным (т.е. проект должен быть номинально прибыльным). Формальным признаком смешанных инвестиций является чередование положительных и отрицательных сальдо денежных потоков в ходе реализации проекта.Однозначное определение показателя IRR становится невозможным, а применение IRR-метода для анализа смешанных инвестиций - нецелесообразным. Эффективность смешанных инвестиций рассчитывается при помощи применения NPV-метода или одного из специальных методов расчета эффективности. Поэтому, говоря далее об IRR-методе, будет иметься в виду анализ только чистых инвестиций. Для определения эффективности инвестиционного проекта при помощи расчета внутренней нормы рентабельности используется сравнение полученного значения с базовой ставкой процента, характеризующей эффективность альтернативного использования финансовых средств. Проект считается эффективным, если выполняется следующее неравенство: IRR > i, где i - некоторая базовая ставка процента. Этот критерий также ориентирован в первую очередь на учет возможностей альтернативного вложения финансовых средств, поскольку он показывает не абсолютную эффективность проекта как таковую (для этого было бы достаточно неотрицательной ставки IRR), а относительную - по сравнению с операциями на финансовом рынке. Показатель IRR может применяться также и для сравнения эффективности различных инвестиционных проектов между собой. Однако здесь простого сопоставления значений внутренней нормы рентабельности сравниваемых проектов может оказаться недостаточно. В частности, результаты, полученные при сравнении эффективности инвестиционных проектов при помощи NPV- и IRR-методов, могут привести к принципиально различным результатам. Это обусловлено следующими обстоятельствами: для достижения абсолютной сопоставимости проектов необходимо применение т.н. дополнительных инвестиций, позволяющих устранить различия в объеме инвестированного капитала и сроках реализации проектов. При использовании NPV-метода предполагается, что дополнительные инвестиции также дисконтируются по базовой ставке процента i, в то время как использование IRR-метода предполагает, что дополнительные инвестиции также обладают доходностью, равной внутренней норме рентабельности анализируемого проекта и которая заведомо выше, чем базовая ставка дисконта. На практике сравнительный анализ инвестиционных проектов проводится в большинстве случаев при помощи простого сопоставления значений внутренних норм рентабельности. Несмотря на определенную теоретическую некорректность, такой подход позволяет устранить влияние субъективного выбора базовой ставки процента на результаты анализа. Действительно, основная цель использования инструментария дополнительных инвестиций заключается в попытке согласовать результаты сравнительного анализа при помощи применения NPV- и IRR-методов, точнее, привязать второе к первому, поскольку при таком подходе приоритет имеет чистый приведенный доход проекта. Кроме того, применение инструмента дополнительных инвестиций корректно только в случае сравнительного анализа альтернативных, или взаимоисключающих, проектов, что еще более сужает область его применения и делает совершенно непригодным для анализа инвестиционной программы. В целом по сравнению с NPV-методом использование показателя внутренней нормы рентабельности связано с большими ограничениями. Во-первых, для IRR-метода действительны все ограничения NPV-метода, т.е. необходимость изолированного рассмотрения инвестиционного проекта, необходимость прогнозирования денежных потоков на весь период реализации проекта и т.д. Во-вторых, сфера применения IRR-метода ограничена только областью чистых инвестиций. Модифицированная внутренняя норма доходности (Modified Internal Rate of Return тАУ MIRR) Основной недостаток, присущий IRR в отношении оценки проектов с неординарными денежными потоками, может быть преодолен с помощью аналога IRR, который приемлем для анализа любых проектов, - MIRR. Этот метод представляет собой более совершенную модификацию метода внутренней ставки рентабельности, расширяющую возможности последнего. MIRR тАУ это ставка в коэффициенте дисконтирования, уравновешивающая притоки и оттоки средств по проекту. Все денежные потоки доходов приводятся к будущей (конечной) стоимости по средневзвешенной цене капитала, складываются, сумма приводится к настоящей стоимости по ставке внутренней рентабельности; из настоящей стоимости доходов вычитается настоящая стоимость денежных затрат и исчисляется чистая настоящая стоимости проекта, которая сопоставляется с настоящей стоимостью затрат. Метод дает более правильную оценку ставки реинвестирования и снимает проблему множественности ставки рентабельности. Общая формула расчета имеет вид: где: COFi тАУ отток денежных средств в i-м периоде (по абсолютной величине); CIFi тАУ приток денежных средств в i-м периоде; r - стоимость источника финансирования данного проекта; n - продолжительность проекта. Т.к. будущая (терминальная) стоимость сегодняшних поступлений: где r тАУ ставка, по которой реинвестируются денежные притоки от проекта по мере их поступления (или рыночная доходность, доступная инвестору). Стоимость оттоков денежных средств: То, Откуда:
Пример Пусть проект А имеет следующий денежный поток (млн руб): -10, -15, 7, 11, 8, 12. Требуется рассчитать значение критерия MIRR, если стоимость источника финансирования данного проекта равна 12%. 1. 2. 0 1 2 3 4 5 -10 -15 7 11 8 12 r = 12% r = 12% -13,4 9,0 r = 12% -23,4 13,8 r = 12% 9,8 44,6 Схема расчета критерия MIRR. 3. Поскольку значение MIRR превосходит значение стоимости капитала, проект следует принять. Критерий MIRR в полной мере согласуется с критерием NPV и потому может быть использован для оценки независимых проектов. Что касается альтернативных проектов, то противоречия между критериями NPV и MIRR могут возникать, если проекты существенно разняться по масштабу, т.е. значения элементов у одного потока значительно больше по абсолютной величине, чем у другого, либо проекты имеют различную продолжительность. В этом случае рекомендуется применять критерий NPV, не забывая одновременно об учете рисковости денежного потока. Дисконтированный срок окупаемости инвестиций (Discounted Payback Period - DPP) Некоторые специалисты при расчете показателя срока окупаемости инвестиций (PP) рекомендуют учитывать временной аспект. В этом случае в расчет принимаются денежные потоки, дисконтированные по показателю WACC (средневзвешенная стоимость капитала). Таким образом, определяется момент, когда дисконтированные денежные потоки доходов сравняются с дисконтированными денежными потоками затрат. Формула расчета DPP имеет вид: DPP = min n, при котором Очевидно, что в случае дисконтирования срок окупаемости увеличивается. Положительными сторонами метода DPP, является то, что он как и критерий PP позволяет судить о ликвидности и рискованности проекта. Кроме того, критерий DPP учитывает возможность реинвестирования доходов и временную стоимость денег. Недостаток тАУ игнорирует денежные поступления после истечения срока окупаемости проекта.
Анализ инвестиционных проектов в условиях инфляции и риска При оценке эффективности инвестиционных проектов необходимо по возможности учитывать влияние инфляции. Это можно делать корректировкой на индекс инфляции (i) либо будущих поступлений, либо ставки дисконтирования. Наиболее корректной, но и более трудоемкой в расчетах является методика, предусматривающая корректировку всех факторов, влияющих на денежные потоки сравниваемых проектов. Среди основных факторов: объем выручки и переменные расходы. Корректировка может осуществляться с использованием различных индексов, поскольку индексы цен на продукцию коммерческой организации и потребляемое ею сырье могут существенно отличаться от индекса инфляции. С помощью таких пересчетов исчисляются новые денежные потоки, которые и сравниваются между собой с помощью критерия NPV. Более простой является корректировка ставки дисконтирования на индекс инфляции. Вескую роль при анализе инвестиционных проектов также играет фактор риска. Т.к. основными характеристиками инвестиционного проекта являются элементы денежного потока и ставка дисконтирования, учет риска осуществляется поправкой одного из этих параметров. Существует несколько подходов: 1) Имитационная модель учета риска. Представляет собой корректировку денежного потока с последующим расчетом NPV для всех вариантов (анализ чувствительности). Методика анализа в этом случае такова: 2) Методика построения безрискового эквивалентного денежного потока. В основу данной методики заложены идеи, развитые в рамках теории полезности и теории игр. В частности, Дж. Фон Нейман и О. Моргенштерн показали, что принятие решений, в т.ч. и в области инвестиций, с помощью критериев, основанных только на монетарных оценках, не является, безусловно, оптимальным тАУ более предпочтительно использование специальных критериев, учитывающих ожидаемую полезность того или иного события. Рассматривая поэлементно денежный поток рискового проекта, инвестор в отношении его пытается оценить, какая гарантированная, т.е. безрисковая, сумма потребуется ему, чтобы быть индифферентным к выбору между этой суммой и ожидаемой, т.е. рисковой, величиной k-го элемента потока. Графически отношение к риску выражается с помощью кривых безразличия (индифферентности). B D Ожидаемый доход С Е А Риск, β АВ тАУ кривая безразличия инвестора с возрастающим неприятием риска АС - кривая безразличия инвестора с убывающим неприятием риска AD тАУ кривая безразличия инвестора с постоянным (неизменным) неприятием риска АЕ тАУ инвестор безразличен (нейтрален) к риску Виды графиков кривой безразличия Предполагает введение поправки к ставке дисконтирования: k Проект В k = f(β) В среднем на рынке Премия за риск Проект А krf β-коэффициент krf - безрисковая ставка дисконтирования
График взаимосвязи ставки дисконтирования и риска Из рассмотренных методов учета риска метод RADR (Risk-Adjusted Discount Rate) пользуется большей популярностью. Т.к. работать с относительными показателями удобнее и ввести поправку к ставке дисконтирования легче, чем рассчитать безрисковые эквиваленты. Заключение Применение любых, даже самых изощренных, методов не обеспечит полной предсказуемости конечного результата, основной целью является сопоставление предложенных к рассмотрению инвестиционных проектов на основе унифицированного подхода с использованием по возможности объективных и перепроверяемых показателей и составление относительно более эффективного и относительно менее рискованного инвестиционного портфеля. Для этого целесообразно применять в первую очередь динамические методы, основанные преимущественно на дисконтировании образующихся в ходе реализации проекта денежных потоков. Применение дисконтирования позволяет отразить основополагающий принцип "завтрашние деньги дешевле сегодняшних" и учесть тем самым возможность альтернативных вложений по ставке дисконта. Общая схема всех динамических методов оценки эффективности в принципе одинакова и основывается на прогнозировании положительных и отрицательных денежных потоков (грубо говоря, расходов и доходов, связанных с реализацией проекта) на плановый период и сопоставлении полученного сальдо денежных потоков, дисконтированного по соответствующей ставке, с инвестиционными затратами. А мероприятия по оценке риска инвестирования и применение методов учета неопределенности в финансовых расчетах, позволяющие уменьшить влияние неверных прогнозов на конечный результат и тем самым увеличить вероятность правильного решения, могут существенно повысить обоснованность и корректность результатов анализа. Анализ развития и распространения динамических методов определения эффективности инвестиций доказывает необходимость и возможность их применения для оценки инвестиционных проектов. В высокоразвитых индустриальных странах чуть больше 30 лет назад отношение к этим методам оценки эффективности было примерно таким же, как в наше время в России: в 1964 г. в США только 16% обследованных предприятий применяли при инвестиционном анализе динамические методы расчетов. К середине 80-х годов эта доля поднялась до 86%. В странах Центральной Европы (ФРГ, Австрия, Швейцария) в 1989 г. более 88% опрошенных предприятий применяли для оценки эффективности инвестиций динамические методы расчетов. При этом следует учесть, что во всех случаях исследовались промышленные предприятия, которые зачастую проводят инвестиции вследствие технической необходимости. Тем более важен динамический анализ инвестиционных проектов в деятельности финансового института, ориентированного на получение прибыли и имеющего многочисленные возможности альтернативного вложения средств. В реальной ситуации проблема выбора проектов может быть весьма непростой. Не случайно многочисленные исследования и обобщения практики принятия решений в области инвестиционной политики на Западе показали, что подавляющее большинство компаний, во-первых, рассчитывает несколько критериев и, во-вторых, использует полученные количественные оценки не как руководство к действию, а как информацию к размышлению. Поэтому следует подчеркнуть, что методы количественных оценок не должны быть самоцелью, равно как их сложность не может быть гарантом безусловной правильности решений, принятых с их помощью. II. Практическая часть Компания должна выбрать одну из двух машин, которые выполняют одни и те же операции, но имеют различный срок службы. Затраты на приобретение и эксплуатацию машин следующие: Год Машина А Машина Б 0 40 000 50 000 1 10 000 8 000 2 10 000 8 000 3 10 000 + замена 8 000 4 8 000 + замена Затраты приводятся в реальном выражении. Решение: Необходимо, чтобы NPV была больше 0, следовательно нужно, чтобы: для проекта А: Т.о. дисконтированная величина арендной платы для машины А должна быть больше, чем 66730,12 руб. за 3 года или 22243,37 руб. в год. Для проекта Б: + 6716,95 + 6336,75 = 77720,84 Т.о. дисконтированная величина арендной платы для машины Б должна быть больше, чем 77720,84 руб. за 4 года или 19430,21 руб. в год. Расчет NPV для проектов можно выполнить в ППП Exсel с помощью финансовой функции НПЗ(), которая позволяет определить современную стоимость потока; и из которой затем следует вычесть величину первоначальных затрат. (см. Приложение 1) Данные проекты несопоставимы по времени. Устраним временную несопоставимость проектов путем повтора реализации более короткого из них. Наименьшее общее кратное равно 12. Соответственно получим проекты АтАЩ и БтАЩ: Проект АтАЩ 0 1 2 3 4 5 6 7 8 9 10 11 12 -40000 -10000 -10000 -10000 -40000 -10000 -10000 -10000 -40000 -10000 -10000 -10000 -40000 -10000 -10000 -10000 Проект БтАЩ 0 1 2 3 4 5 6 7 8 9 10 11 12 -50000 -8000 -8000 -8000 -8000 -50000 -8000 -8000 -8000 -8000 -50000 -8000 -8000 -8000 -8000 Рассчитаем приведенные затраты по каждому проекту: PV = а) Машина А: б) Машина Б: Суммарный PV : где i тАУ продолжительность данного (исходного) проекта N тАУ наименьшее общее кратное, n тАУ число повторений исходного проекта а) Машина А: б) Машина Б: Т.о., компании следует приобрести машину Б, т.к. затраты на нее меньше затрат по машине А. 1+p = (1+r) * (1+Ipr) ⇒ 1,06 * 1,08 = 1,1448 Т.к. целесообразнее купить машину Б, то: тогда: Пусть CF1 = CF2 = CF3 =CF4, т.е. сумма арендной платы в год установлена на весь срок аренды и не подлежит изменению. CF*(0,873515 + 0,75725 + 0,666517 + 0,58212) > 77720,84 CF * 2,879402 > 77720,84 CF > 26992,01 Т.о., ежегодная арендная плата с учетом инфляции должна быть установлена в сумме превышающей 26992б01 руб. Рассчитать модифицированную норму доходности MIRR для инвестиционного проекта со следующими денежными потоками: Время (год) 0 1 2 3 4 Денежные потоки - 20 000 6 000 8 000 15 000 5 000 Ставка реинвестирования тАУ 10%, а безрисковая ставка тАУ 6% в год. Решение: = 6000*(1+0,10)4-1 + 8000*(1+0,10)4-2 + 15000*(1+0,10)4-3 + 5000 = 7986 + 9680 + + 16500 + 5000 = 39166 Данную задачу можно решить в ППП Exсel с помощью финансовой функции МВСД(), которая вычисляет модифицированную внутреннюю норму доходности. (см. Приложение 2) Вместе с этим смотрят:
,
,
, ![]()
,![]()

![]()
⇒ MIRR = 13,8 %![]()
или
,
,![]()
![]()
![]()
![]()
![]()
,![]()
![]()
, ![]()
![]()
![]()
=
= 20000
= 0,183 или MIRR = 18,3%
Балансовая модель
Банковский менеджмент
Банкротство и пути выхода