Организация рекламы в розничной торговле

МИНИСТЕРСТВО ОБРАЗОВАНИЯ И ПО ДЕЛАМ МОЛОДЕЖИ РК

СОРТАВАЛЬСКИЙ ТОРГОВО-ЭКОНОМИЧЕСКИЙ ТЕХНИКУМ

Курсовая работа

По предмету: ВлОрганизация и технология коммерческой деятельностиВ»

       Тема: ВлОрганизация рекламы в розничной торговлеВ»

Выполнил студент                                        Руководитель

III тАУ го курса                Ожиганова Наталья

Специальности 0612                Анатольевна

Брантов Дмитрий

Александрович

Оценка:

г. Сортавала

2003 г.

СОДЕРЖАНИЕ

Введение

3

1. Характеристика магазина

5

2. Рекламная политика  предприятия

10

3. Общая характеристика рекламы и ее предназначение

11

3.1. Классификация рекламы

11

3.2. Основные типы рекламы

13

3.3. Цель рекламы

14

3.4. Функции рекламы

16

3.5  Психологический аспект рекламы

18

4. Цели маркетинга, рекламных коммуникаций и продвижения товаров

  21

4.1. Рекламные коммуникации и стимулирование сбыта товаров

21

4.2. Цели коммуникации и позиционирование

22

4.3. Интегрированные стратегии коммуникации

24

4.4. Стратегия использования средств рекламы

26

5. Организация рекламной деятельности

29

5.1 Эффективность рекламной деятельности; принципы обеспечения и способы оценки

29

5.2. Правовое регулирование рекламной деятельности

33

6. Понятие интернет-рекламы

37

7. Основные типы интернет-рекламы и возможности их использования

38

Выводы и предложения

45

Список использованной литературы

48

Приложение

50

ВВЕДЕНИЕ

ВлРеклама тАУ двигатель торговлиВ» тАУ эта фраза знакома, наверняка, каждому. Но если вдуматься, то реклама в более широком смысле является и двигателем прогресса. Ведь большинство о новых товарах, где применены новые технологии и решения, узнают именно из рекламы. Соответственно новые товары быстрее получают спрос, а значит, передовые технологии и производство развивается гораздо более высокими темпами.

Реклама по утверждению рекламного агентства ВлМаккой Эриксон инкорпорейтедВ», тАУ занимающегося разработкой общенациональных кампаний для фирмы ВлКока-колаВ», рекламатАУэто Влхорошо пересказанная правдаВ».

Подробной философии придерживается и руководство компании  ВлКока-колаВ»: ВлРеклама ВлКОКИВ» должна представлять собой доставляющее удовольствие зрелище, свежее для глаз и приятное на слух. Она должна отражать качество продукта своими формой и содержанием, чтобы вы сказали: ВлЖаль, что меня там нет. Я хотел бы пить ВлКОКУВ» вместе со всеми этими людьмиВ».

Сегодня у всех нас имеются обоснованные взгляды на то, что такое реклама, и мы также склонны не без, основания иметь собственное мнение и предубеждения по этому поводу. Существуют многочисленные и разнообразные определения рекламы. Она может быть определена как процесс коммуникации, как процесс организации сбыта, как экономический и социальный процессы, обеспечивающий связь с общественностью или как информационный процесс и процесс убеждения в зависимости от точки зрения.

Очень точно охарактеризовал положение рекламного дела в России

А. Веригин, написавВнший когда-то: ВлУ нас реклама скомпрометирована больше, чем где-либо, и не потому, что русская публика подверВнглась нашествию эксплуататоров и хищников на ее каналы сильнее, чем за границей, а потому, что нравственное, псиВнхологическое воздействие самого общества, его отрицательВнное, негативное отношение ко всякому нескромному, наВнглому, соблазнительному выкрикиванию значительно сильВннее в России, чем где бы то ни было. Американец, на каждом заборе встречающий повторение одной и той же реклаВнмы, скажет, что это отличный гешефт и что рекламист - молодец. Русский же, даже европейского склада, скажет, что это -  свинство. Россия имеет собственную культуру, которая могущественно идет, вперед. Реклама, которая дейВнствовала бы в согласии со своеобразными законами этой культуры, оказала бы ей величайшую услугу. Русская реклама нужна нам, как хлеб..В».1

А. Веригин оказался прав - русская, (точнее росВнсийская) реклама становится день ото дня все более необВнходимой отечественным производителям товаров и услуг, что, кстати, подтверждает статистика; в течение 90-х годов среднегодовые расходы на рекламу в России увеличились почти в 20 раз, достигнув к 2000 году внушительного покаВнзателя в почти 2 млрд. долларов.2 Однако, даже находясь под впечатлением столь внушительного роста Влваловых показателейВ» отечественной рекламы, не следует забывать, что каждому участнику рекламного процесса - включая сюда, кстати, и аудиторию - нужна все же ВлсвояВ» реклама.

В современный период развития российского общества успешное решение политических, экономических и социальных задач все больше зависит от действия такого субъективного фактора как социальная активность личности. Важную роль в формировании активности играют средства массовой информации. О возрастающей роли печати, радио и телевидения, а так же, еще не в полной мере освоенного средства СМИ, как всемирная сеть Internet, в общественной жизни страны свидетельствуют их бурный  рост, распространенность и доступность массовой информации. Печатное и устное слово, баннерные системы обмена рекламной информацией, телевизионное изображение способны в кратчайшие сроки достигнуть самых отдаленных районов, проникнуть в любую социальную среду.

Широкие возможности средств массовой информации вызывают необходимость изучать механизмы их функционирования и развития, эффективность влияния на аудиторию. Каждому рекламодателю необходимо знать наиболее подробно особенности (плюсы и минусы) каждого из каналов распространения информации об их компании, услугах, деятельности и т.д. - рекламной информации.

Условия рыночной экономики вызвали форсированное развитие рекламы как социального института и области профессиональной деятельности сотен тысяч людей в нашей стране. Из дилетантского торгового предложения реклама превращается в изощренный механизм воздействия на потребителя.

При достаточном количестве переводной и отечественной литературы по рекламе ощущается острый дефицит эффективных идей и новых решений во всех отраслях рекламной деятельности. Пособия и руководства чаще рассматривают рекламу вообще, а не отдельные ее виды. Все большую популярность и теоретическую обоснованность в нашей стране завоевывает наружная реклама: щиты, тумбы, электронные табло и т.д.

1.Характеристика магазина.

Мая курсовая работа написана на  примере магазина тАЬКондортАЭ № 2, который является предприятием общества с ограниченной ответственностью ВлООО КондорВ»  частного предпринимателя Козигона Сергея Николаевича. Зарегистрирован частный предприниматель 15 мая 2001 года, это подтверждается свидетельством о регистрации, которое выдано мэрией г.Сортавала 15 мая 2001 года, серия 611-СВ за № 1856,также выдано разрешение на право продажи в розничной торговли отделом организации торговли и бытового обслуживания от 31 января  2001 года до 31 декабря 2002 года за № 93-1 а, на право продажи алкогольной продукцией и есть лицензия на вино - водочную продукцию за № 17 от 15 декабря 2000 года по 14 декабря 2003 года серия В№ 319891, которая выдана торговым отделом мэрией г. Сортавала.

Магазин тАЬКондор №2тАЭ находится по адресу РК, г. Сортавала  улица Советская 17 телефон 4-29-93 он расположен в близи с центральной дорогой, что позволяет останавливаться рядом с магазином и осуществлять покупку товаров, а также он находится вблизи с гостиницей ВлЛадогойВ», железнодорожным поселком, воинской частью, где проживают много  потенциальных покупателей. Режим работы магазина с 8 часов утра до 2 ночи без выходных и без перерыва на обед, что позволяет покупателям посещать магазин в течение дня, также удобно для тех, кто проживает вблизи магазина, из этого я сделал вывод, что, режим работы магазина выбран удобно и правильно. Ассортимент товаров широк и глубок. Магазин осуществляет продажу следующих продовольственных товаров: хлебобулочные изделия, кондитерские товары, молочные, гастрономические товары, бакалейные товары, мясо и мясные полуфабрикаты, рыба и рыбные полуфабрикаты, фрукты и овощи, вино тАУ водочные изделия, безалкогольные напитки, консервы, мороженное.

Здание магазина является встроенным в первый этаж жилого двухэтажного дома финской постройки, имеются три входа-выхода, которые оборудованы охранной сигнализацией (ОПС) на открытие, закрываются они на внутренние замки (1-й вход для покупателей, а остальные два служебные). Окна оборудованы охранной сигнализацией (ОПС) на разбитие. Магазин имеет необходимые помещения: подсобные помещения, которые выполняют вспомогательные функции, к ним относятся: помещение уборочного инвентаря и моечная; к торговым относятся торговый зал; к помещениям для хранения, приемке и подготовки  к продаже: склад, это помещения имеют большое значение; к служебно-бытовым: моечная, туалет, умывальная, кухня, кабинет директора, гардероб и душ; к техническим помещениям относятся: электрощитовая, тепловой узел (приложение № 5).В магазине нет подвальных помещений. Площадь магазина -188,4 мВІ. Удельный вес торговых помещений составляет 48,4%; удельный вес помещений для приемки, хранения товаров и подготовке их к продаже -13,69%, удельный вес подсобных помещений составляет 1,91%, удельный вес служено тАУ бытовых помещений составляет 20,23%; а удельный вес технических помещений -0,84%, 15,29% от  площади занимает коридор. Площадь торгового зала составляет 90,5 мВІ, в магазине ВлКондорВ». Система входа, выхода расположена ближе к правой стене торгового зала. Стены выходящие на улицу остеклены. Весь торговый зал делится на 4-ре зоны:

  1. зона, занятая под оборудование, характеризуется способами расстановки оборудования в торговом зале, которое в данном  магазине расставлено в II-ве линии, I-я линия расставлена пристенно, а на II-ой демонстрируется товар.
  2. зона, занятая под узлы расчета. В магазине ВлКондорВ» децентрализованные узлы расчета, то есть в каждом отделе на прилавке располагается контрольно кассовая машина, на которой производят  расчеты с покупателями.
  3. зона, для движения покупателей тАУ это S торгового зала, которая предназначена для свободного передвижения покупателей, в магазине покупательские потоки направлены против часовой стрелки.
  4. зона, рабочего места продавца, ее размер равен, произведению длинны фронта прилавка на глубину рабочего места. Глубина рабочего места включает ширину прилавка и торгового оборудования для выкладки и размещения рабочего запаса товаров, а также ширину прохода между ними. Стены в магазине бежевого цвета, они сочетаются с современным оборудованием. Зал освещается лампами дневного освещения. Форма у продавцов одинаковая. В  зале много рекламных плакатов, призывающие приобрести различный товар.

В магазине 4 -  ре отдела:

1. В бакалейном  отделе реализуют хлеб, чай, соль, кофе, пряности, кондитерские товары, зерно тАУ мучные, сахарный песок, печенье, торты, сухари, пряники, шоколад, леденцы, чипсы, кукурузу все эти товары располагаются либо на прилавках-витринах, либо на пристенных горках, холодильных прилавках (демонстрируются - торты, пирожные, рулеты, кексы), холодильных шкафах (хранится и демонстрируется товар - торты, пирожные, кексы, рулеты);

2. В отделе сырой продукции в основном реализуют рыбную и мясную продукцию  выкладывают в холодильные витрины, морозильные прилавки, на пристенных горках выкладывают яйца и консервы;

3. В отделе гастрономия реализуют молочную продукцию, сыры, колбасные изделия и копчености, масло животное, масло растительное, жиры, маринованная продукция, майонезная продукция, консервы овощные и фруктово-ягодные выкладываются эти товары в холодильных прилавках, холодильных камерах,  холодильных шкафах и пристенных горках.

4. В винотАУводочном реализуют водку и ликероводочные изделия, вино, коньяк, пиво, безалкогольные напитки, табачные изделия. Овощи и фрукты в узком ассортименте / чистые / без хранения в подсобном помещении. Выкладываются на пристенных горках, прилавках-витринах, холодильных шкафах (пиво, лимонады)

При выкладке товара  используют такие приемы, как рядами, вывешиванием, декоративная укладка, пирамидами, навалом. Рядами выкладывают большинство товаров например алкогольную продукцию; вывешиванием тАУ приправы, чипсы; декоративная укладка для выкладки шоколадных конфет в коробках, жевательных резинок; пирамидами выкладывают консервы, соки; навалом мороженное.

В магазине ВлКондорВ» используют традиционный метод продажи товаров, в порядке очереди продавец индивидуально обслуживает каждого покупателя при этом продавец,  выясняет спрос на определенные товары, производит расчеты с покупателями.

Штат сотрудников насчитывает 18 человек: заведующая, 3-старших продавца (один старший продавец в смену), товаровед, 2-водителя, фасовщица, 2-уборщицы, экспедитор, 2-грузчика, 6- продавцов. Учетность в магазине  осуществляет главный бухгалтер; за состоянием товара, сроками реализации, годности, уценяет и списывает испортившиеся товары товаровед. Старшие продавцы принимают товары, оформляют ценники, следят за спросом, грузчики разгружают машины с товаром, а так же выносят товар в торговый зал. В магазине три смены в одну смену работают два продавца и один старший продавец.

       

Анализ направлений хозяйственной деятельности предприятия.

Предприятие является юридическим лицом, права которого приобретаются с момента государственной регистрации, действует на основе самостоятельности, самофинансирования и самовыкупаемости, обладает обособленным имуществом и имеет самостоятельный баланс, пользуется печатью со своим наименованием и другими атрибутами.

Предприятие от своего имени может приобретать имущественные и личные неимущественные права и нести обязанности, быть истцом и ответчиком в судебных и арбитражных органах.

Предприятие отвечает по своим обязательствам, принадлежащим ему имуществом, на которое согласно действующему законодательству может быть обращено взыскание. Предприятие не отвечает по обязательствам своих участников, участники предприятия отвечают по обязательствам предприятия всем своим имуществом. Государство не отвечает по обязательствам предприятия, равно как и предприятие не отвечает по обязательствам государства.

В своей деятельности предприятие руководствуется Законом РФ "О предприятиях и предпринимательской деятельности", Законом РФ о собственности в РФ и иными действующими в РФ законодательными и нормативными актами и настоящим уставом.

Предприятие обладает полной самостоятельность в вопросах внутренней организации и управлении; принятие хозяйственных решений; организации и режиме оплаты труда; распределении чистой прибыли; распоряжении своим имуществом, а также иных вопросах своей деятельности, не регламентированных законодательством.

Юридический адрес предприятия: РК г.Сортавала улица Бондарева 14-а

Для осуществления своей деятельности предприятие имеет право производить любые операции, заключать любые сделки, за исключением запрещенных законодательством, с юридическими лицами и гражданами.

Предприятие самостоятельно планирует свою производственно-хозяйственную деятельность на основе договоров или иных форм обязательств и свободном выборе их предмета, порядка хозяйственных взаимоотношений и определения ответственности договаривающихся сторон по взятым обязательствам. Договор является основной формой, регламентирующей взаимоотношения предприятия с юридическими лицами и гражданами.

Предприятие ведет бухгалтерский учет и осуществляет статистическую отчетность, а также несет ответственность за состояние учета и отчетности в порядке, установленном действующими на территории РФ законодательными нормативными актами.

Финансовая деятельность предприятия направлена на создание денежных ресурсов в рублях для социального развития, обеспечение роста прибыли (дохода).

Имущество предприятия составляет основные фонды и оборотные средства, а также иное имущество, стоимость которого отражается в самостоятельном балансе предприятия.

Источниками формирования имущества предприятия являются:

-  денежные и материальные вклады учредителей-собственников;

-  доходы от хозяйственной деятельности предприятия;

      -  кредиты банков и иных кредиторов;

      -  иные, не противоречащие закону источники.

Имущество предприятия, в том числе и полученное от его деятельности, является собственностью директора.

Денежные и материальные вклады директора, закрепленные им за предприятиями путем отторжения их в баланс предприятия, составляют уставной фонд предприятия.

Из средств, полученных от хозяйственной деятельности, предприятие после возмещение затрат и выплат обязательных платежей формирует необходимые фонды, в том числе страховой фонд, размер которого составляет 5% прибыли. Ежегодные отчисления в этот фонд производится с учетом остатка средств этого фонда от прошлого года. Необходимость образования других фондов, порядок их формирования и использования определяются собственником предприятия.

Расчеты по своим обязательствам предприятие осуществляет как в безналичном порядке через учреждения банков, так и наличными деньгами без ограничения сумм платежей.

Предприятие открывает расчетный и другие счета в учреждениях банка.

Изъятие имущества предприятия может иметь место только по основаниям и в порядке, предусмотренным действующим законодательством.

Главным на предприятии является директор тАУ Козигон С.Н.

Козигон С.Н правомочен, решать все вопросы деятельности предприятия и самостоятельно определяет порядок своей работы и принятие решений. Заместителем директора является Щюкин А.А.

Оперативно-распорядительные функции по управлению магазином осуществляются заведующей предприятия (магазина) Римма Михайловна Дубинина, назначаемым и освобождаемым от должности директором. Заведующая подотчетна директору и несет перед ним материальную и дисциплинарную ответственность, полномочия заведующей регламентируются трудовым договором (контрактом), заключенным между директором и заведующей или иными документами предприятия.

Предприятие может в установленном порядке привлекать к работе граждан на основе трудовых договоров, договоров подряда и иных, предусмотренных законодательством форм взаимоотношений.

Правоотношение предприятия и его работников регламентируются трудовым законодательством с особенностями, предусмотренными настоящим уставом, правилами внутреннего распорядка предприятия и иными документами предприятия. Работники предприятия подлежат обязательному социальному и медицинскому страхованию и социальному обеспечению.

Главный бухгалтер подчиняется директору, пользуется правами и обязанностями, а также несет ответственность в соответствии с действующим законодательством.

Ревизия финансово-хозяйственной деятельности предприятия производится директором. Ревизия проводится раз в три месяца, не нарушать нормальную работу предприятия.

Налоговые и другие государственные органы, на которые законодательством  возложена проверка отдельных сторон деятельности, предприятия, осуществляют проверки по мере необходимости без нарушения нормального ритма работы предприятия и в пределах своих полномочий. Представители этих органов допускаются к проверке при наличии у них документов, подтверждающих их полномочия на проверку деятельности предприятия.

Прекращение деятельности предприятия осуществляется в форме его реорганизации или ликвидации. Прекращение деятельности предприятия может иметь место по решению директора или по решению судебных органов.

Прекращение деятельности предприятия может иметь место по основанию, указанными директором в своем решении или по основанию, предусмотренным законодательством. При ликвидации предприятия орган, вынесший решение об этом создает ликвидационную комиссию, которая действует в установленном порядке. При прекращении деятельности в сфере реорганизации предприятия его права и обязанности переходят к правопреемникам.

Неисполненные на момент ликвидации обязательства предприятия погашаются за счет средств и имущества предприятия. Имущество, оставшееся после погашения долгов предприятия является собственностью директора.

Работникам предприятия при его реорганизации и ликвидации гарантируются льготы и преимущества, установленные трудовым законодательством.

Предприятие считается реорганизованным или ликвидированным с даты исключения его из реестра государственной регистрации.

2.Рекламная политика предприятия

Прежде всего, стоит отметить, что лучшая реклама товаров тАУ это качество и удобство обслуживания покупателей, а как следствие удовлетворение последних сделанной покупкой.

Идя навстречу покупателям, тАЬКондортАЭ делает все для того, чтобы предоставить им полный комплекс услуг.

Магазин является последним звеном в процессе доведения товара до покупателя, где  можно рекламноинформационными средствами воздействовать на возможного покупателя и добиться продажи товара.

Сведения, получаемые покупателями благодаря информации в магазине, способствуют повышению культуры торговли, позволяют ориентироваться в большом разнообразии товаров, их свойствах, ценах, услугах оказываемых торговым предприятием.

  Информация создает условия для формирования новых запросов и привычек людей, содействует покупателю в совершении покупки, активизирует существующую потребность людей.

Большое место в рекламно- информационной работе занимает рекламная выкладка товаров. Свободный подход покупателя к товарам создает большие возможности для рекламы в магазине. Показ товаров средствами внутремагазинной экспозиции позволяет покупателям в более удобных условиях осмотреть товар, привлекший внимание в витрине.

Рекламные плакаты, вывешенные на фоне рекламируемых продуктов, привлекают внимание покупателя, при наличии плакатов нескольких видов работники магазина периодически меняют их местами.

Когда тАЬКондортАЭ строил свой магазин, постарался учесть, чтобы покупателям было удобно совершать покупки, и творчески подошли к размещению отделов. В магазинах легко ориентироваться. Яркие вывески и ценники помогают покупателям экономить время на поиск того или иного товара. Причем, вся продукция сгруппирована так, что, приобретая, к примеру, мясную вырезку, совсем рядом вы найдете все компоненты для ее приготовления. Это различные соусы и кетчупы, специи и приправы. То же касается и кондитерских изделий, рядом с которыми соседствует чай, кофе.

Посещая магазины торговой сети тАЬКондортАЭ, вы непременно заметите, что в них уютно. Всегда поддерживаются чистота и порядок. В самый разгар лета, когда температура на улице поднимается свыше 30-градусной отметки, в магазинах действуют кондиционеры, и вас обдувает поток свежего воздуха; в трескучие зимние дни комфорт создают тепловентиляторы и тепловые завесы.

В качестве примера постоянно расширяющегося списка предоставляемых услуг и новаторского подхода можно привести следующее:

Покупателю важно знать, какой товар он приобретает, а потому он живо откликается на различные презентации, выставки-продажи, дегустации.

Можно также отметить, что продуманность и качество рекламы характеризует даже тот факт, что холодильные витрины с напитками Coca-Cola и Pepsi-Cola имеет характерный красный цвет и логотип этой торговой марки.

3. ОБЩАЯ ХАРАКТЕРИСТИКА РЕКЛАМЫ И ЕЕ ПРЕДНАЗНАЧЕНИЕ

           3.1. Классификация рекламы

Поскольку реклама представляет собой достаточно сложВнную продукцию, предназначенную для самых разных групп потребителей, и служит для реализации широкого диапазона функций, то и классифицировать ее весьма непросто.

Можно разделить рекламу на восемь основВнных категорий. Различия, присущие каждой из категорий, позволяют, в свою очередь, сформировать на их основе слеВндующую схему классификаВнции (Приложение 1).

По составу целевой аудитории - сильно-, средВнне- и слабосегментированная.

Сегментация - это разделение потребительской аудитории на сегменты по характерным социальным, профессиональным и прочим признакам. Подчеркнем при этом, что степень сегментации во многом предопределяется назначением рекламируемого продукта. Чем специфичнее товар или услуга, тем уже сегВнмент аудитории, среди которой они могут быть прорекламированы. Необходимо принимать во внимание и ценовой фактор.

Сегодня большую часть распространяемой рекламы соВнставляют среднесегментированная и сильносегментированная реклама. ТаВнким образом, она обретает все большую конкретику и адресность, что, в свою очередь, повышает ее эффективность.

По целевому воздействию - коммерческая (тоВнварно-сервисная) и некоммерческая (политическая и соВнциальная).

Коммерческая реклама, как следует из названия, слуВнжит для создания, поддержания и наращивания спроса на определенные наименования продукции, создания наилучВнших условий для их реализации потребителям.

Некоммерческая реклама служит совсем иным целям. Такая реклама, к примеру, может распространяться для привлечения внимания и создания на этой основе позитивВнного образа предпринимателя, предприятия, группы предВнприятий и даже целой отрасли (так называемая корпораВнтивная реклама). Другими типичными примерами некомВнмерческой рекламы служат политическая реклама, реклама благотворительной деятельности, проводимой общественныВнми, религиозными организациями и т.п.

По широте распространения - глобальная, обВнщенациональная, региональная, местная.

С незапамятных времен реклама распространяется по географическому принципу, захватывая в свое пространстВнво то гигантские территории, то совсем крошечные участки земной поверхности. В то же время такое явление, как глоВнбальная реклама, возникло и вошло в наш лексикон совВнсем недавно - каких-нибудь 2-3 года назад. Причина известна - это стремительное развитие процесса глобализации экономики в целом. Ныне к услугам рекламодателей - интерактивные видеосюжеты, трансВнмировое радио и спутниковое телевидение, Интернет, иные новейшие средства коммуникации.

Три другие упоминаемые здесь разновидности рекламы почти не претерпели изменений - в том смысле, что, как и ранее, предназначены для Влрекламной обработкиВ» насеВнления в границах отдельно взятого государства, области, штата, города, поселка, наконец, микрорайона или квартаВнла. Правда, осуществляется эта экспансия на более скромВнном организационно-техническом уровне.

По способу (средству) передачи - печатная, электронная, внешняя (наружная).

Классическая форма рекламы - печатная - на протяжении веков сохраняла свои позиции неприкосновенными. Впрочем, времена меняются. Вместе с ними на наших глазах меняется и печатная реклама, давно представленная не только газетами и журнаВнлами. Первым электронным средством рекламы более 100 лет назад стало радио. Затем в эту обойму вошли телевидение и компьютерные рекламные технологии.

Что касается средств наружной (внешней) рекламы, то они остаются в почти первородном состоянии - ничего лучшего за истекшие столетия человечеством  изобретено так и не было.

По способу исполнения - текстовая, визуальВнная, текстово-визуальная.

Текст в рекламе, как известно, первичен. Без него рекВнлама не состоится. В большинстве случаев реклама бывает все же текстово-визуальной.

В свою очередь, текстовая реклама подразделяется на простую и сложную, а визуальная - на статическую и диВннамическую рекламу. Простая текстовая реклама - обычное объявление (ВлПродамВ», ВлКуплюВ» и т.п.). Сложная текстовая реклама включает в себя набор обязательных компонентов - загоВнловок, подзаголовок, основной текстовый модуль, слоган и т.п. Примером статической рекламы может послужить соотВнветствующее фотоизображение или рисунок. Видеоклип или компьютерная анимация - наиболее наглядные примеры динамической рекламы.

По методу воздействия - прямая и косвенная.

Прямая реклама, или реклама прямого действия - это реклама, ставящая нас перед фактом; вот продукт, приобретайте. Цена такая-то, телефон такой-то. Реклама косВнвенного действия - явление иного рода. Она не режет глаВнза разноцветными иллюстрациями, не возвещает о Влфантастически выгодном предложенииВ». Она действует почВнти что на подсознательном уровне. И мы, не замечая того, поддаемся, впитывая рекламную информацию постепенно.

Кроме того, реклама может быть безличной и персоВннифицированной. В последнем случае, ее олицетворяют собой либо известные личности (кумиры), либо знатоки рекламируемого предмета (эксперты), либо сами потребители - то есть как раз те, к кому обращена реклама. Убеждает это далеко не всех, но, тем не менее - знаменитости в рекВнламе мелькают часто.

Наконец, реклама может быть платной и бесплатВнной. Бесплатная реклама тАФ редкость в отечественной практике. Почти всегда это уже упоминавшаяся нами обВнщественная или социальная реклама, не преследующая коммерческих целей.

3.2. Основные типы рекламы

В большинстве известных источников выделяется до восьми типов рекламы   (рис. 1.1):

  • реклама торговой марки;
  •     торгово-розничная реклама;
  •     политическая реклама;
  •     адресно-справочная реклама;
  •     реклама с обратной связью (директ-маркетинг);
  •     корпоративная реклама;
  •     бизнес-реклама;
  •     общественная реклама.

Реклама торговой марки (другое название - наВнциональная потребительская реклама) - преобладающий тип визуальной и визуально-текстовой рекламы. Такая рекВнлама предназначена, прежде всего, для достижения более высокой степени узнавания потребителем конкретных торВнговых марок (марок обслуживания). Это определяет необыВнчайную широту ее распространения. Попутно данная рекВнлама также призвана способствовать максимальной позитивизации образа рекламодателя путем предоставления ауВндитории соответствующей информации о торговой (сервисВнной) марке, которая его, так сказать, олицетворяет.

(Приложение 6 Рис. 1.3. Типы рекламы)

Торгово-розничная реклама - пример рекламы иного рода, носящей преимущественно локальный харакВнтер. Реклама подобного типа сосредоточивается на конкретВнном объекте производства или реализации продукции: это может быть какое-то сервисное предприятие или торговая точка. Главная задача торгово-розничной рекламы - стиВнмулирование притока потенциальных покупателей посредВнством их информирования о месте и основных условиях предоставления тех или иных товаров или услуг.

Политическая реклама - один из самых заметных и наиболее влиятельных типов рекламы. Задача политической рекламы заключается в побуждении аудитоВнрии - гоВнлосовать за определенное решение (как, например, на реВнферендумах и плебисцитах) или за определенного кандидаВнта (как на выборах). По своей сути политическая реклама в большей степени сходна с рекламой торговой марки - с той лишь разницей, что вместо притягательного имиджа поВнследней посредством такой рекламы формируется позитивВнный образ политика или, скажем, выносимого на референВндум законопроекта.

Адресно-справочная реклама - разновидность торгово-розничной рекламы. Основное отличие адресно-справочной рекламы - предоставление минимально необВнходимой информации о предлагаемых рекламодателем тоВнварах и услугах, зачастую сводящихся лишь к указанию группы товаров (виду услуг), адресу и телефону их производителя (реализатора). Задача такой рекламы заключается в предоставлении максимального количества коммерческой информации сразу нескольким, подчас перекрывающимся, группам потребителей. Распространяется она чаще всего в виде специализированных, как правило, ежегодных печатВнных изданий (справочников типа ВлСиние страницыВ», ВлЗолоВнтые страницыВ» и т.п.).

Реклама с обратной связью - еще одна разноВнвидность торгово-розничной рекламы, тот ее тип, который предполагает обмен информацией с потенциальным потреВнбителем. Наиболее известной формой подобной рекламы является директ-маркетинг, то есть прямой маркетинг или, точнее (если иметь в виду прежде всего распространение рекламной информации), прямую почтовую рассылку поВнследней по конкретным адресатам, представляющим собой наибольший интерес для рекламодателей и рекламораспространителей в качестве вероятных покупателей (например, в форме каталогов).

Корпоративная реклама (другое название - инВнституциональная) - также своего рода разновидность, но не одного из уже описанных типов рекламы, а, скорее, представляя специфическую форму связей с общественносВнтью. Такая реклама почти никогда не содержит рекламной информации (в общепринятом понимании этого слова) и служит для подготовки и последующего склонения части общественного мнения (определенного сегмента покупатеВнлей) к точке зрения рекламодателя.

Бизнес-реклама, или, точнее (в русскоязычном ваВнрианте), профессионально-ориентированная реклама - та ее часть, которая предназначена для распространения среВнди групп населения, сформированных по своей принадлежВнности к тому или иному роду занятий. Причем это вовсе не обязательно лишь те, кто имеет непосредственное отношение к производству и реализации рекламируемых товаВнров и услуг (как то оптовые и розничные торговцы, дистриВнбьютеры и т.п.) - содержание подобной рекламы предВнставляет большой интерес и для высококвалифицированВнных специалистов - например, программистов, работников автосервиса, высшего образования, юристов, организаторов бизнеса и т.п., поскольку рассказывает этим людям о веВнщах, интересующих их именно с проВнфессиональной точки зрения.

Распространяется профессионально-ориентированная рекВнлама преимущественно через специализированные издания (как правило, журналы и бюллетени). При этом она чаще всего не носит прямого характера и преподносится в виде пресс-релизов, аналитических, обзорных материалов и т.п.

Общественная, или социальная реклама, в отВнличие от бизнес-рекламы, сориентирована на аудитории, объединенные преимущественно по своему социальному статусу - например, матери-одиночки, бездетные семейВнные пары и т.д.

Итак, на деле мы встречаемся с очень разными видами рекламы, каждый из которых служит решению вполне опВнределенных задач.

3.3. Цель рекламы

Федеральный закон ВлО рекламеВ» определяет в качестве цели рекламы, во-первых, формиВнрование или поддержание интереса рекламной аудитории к физическим (юридическим) лицам, товарам, идеям и начиВннаниям и, во-вторых, способствование их реализации. Чаще других реклама все-таки преследует цели экономического характера.  Однако существуют и другие

(Приложение 6 рис. 1.4).

Реклама продукции (то есть товаров и услуг), как известно, не представляет собой некое самостоятельное, соВнвершенно независимое от всех и вся явление - она являВнется весьма важным инструментом маркетинга. Следовательно, как неотъемлемая составляющая специфической делоВнвой активности, реклама в конечном счете направлена на обеспечение полноценного обмена продукцией - конкретВнными наименованиями товаров и услуг - между теми, кто наполняет ими рынок (то есть производителями и реализаторами), и теми, кто указанную продукцию потребляет.

Реклама торговой марки (марки обслуживаВнния) направлена на достижение несколько иной цели, поВнскольку в этом случае меняется сам объект приложения рекламных усилий. И вместо конкретного наименования продукции мы имеем дело только с ее определенной марВнкой. В этой ситуации реклама нацелена на привлечение внимания, пробуждение интереса потенциальных покупатеВнлей именно к рекламируемой марке - с тем, чтобы сфорВнмировать к ней предпочтительное отношение и, в конечном счете, убедить потребителей выбрать при покупке товар или услугу, реализуемые именно под рекламируемой маркой.

Таким образом, цель рекламы марки продукции лишь отчасти совпадает с целью рекламы конкретного наименоВнвания товара или услуги. В среднесрочной перспективе доВнстижение указанной цели может привести к позитивным переменам в реализации тех видов продукции, которые приВнсутствуют на рынке под рекламируемой маркой.

Реклама имени товаро- и услугопроизводителя (то есть реклама предприятия или организации, произвоВндящей продукцию) преследует цель, во многом сходную с целью рекламы марки продукции. Правда, в этом случае рекламные усилия сосредоточиваются на названии (наимеВнновании) рекламируемой компании, фирмы и т.п. СледоваВнтельно, такая реклама изначально нацелена на привлечение внимания, пробуждение интереса потенциальных покупатеВнлей уже не к продукции, а к тем, кто ее производит, для тоВнго, чтобы сформировать предпочтительное отношение к проВнизводителю и, в конечном счете, создать в сознании потребиВнтелей позитивный образ объекта рекламных усилий.

В долгосрочной перспективе достижение указанной цеВнли также может привести к позитивным переменам в реаВнлизации тех видов продукции, которые в сознании потребиВнтелей соотносятся с наименованием рекламируемой фирВнмы-производителя.

Реклама имени реализатора товаров и услуг преследует практически ту же цель, что и реклама произВнводителя продукции, отличаясь от последней лишь тем, что в качестве объекта приложения рекламных усилий в данВнном случае выступает наименование (название) торговой организации или предприятия, непосредственно реализуюВнщего на рынке ту или иную продукцию, - супермаркет, автомастерская и т.д.

В долгосрочной перспективе достижение указанной цеВнли должно привести к положительным переменам в продаВнже тех видов товаров или услуг, которые в сознании потреВнбителей соотносятся с наименованием рекламируемой фирмы-реализатора.

Перечисленные разновидности рекламы преследуют в конечном счете цели коммерческого характера. Однако существует, как известно, и некоммерческая реклама.

Реклама деятельности политических партий и политиков имеет вполне конкретную конечную цель - способствовать реализации того или иного политического решения или действия. Акцент рекламных усилий, таким образом, смещен с экономической сферы деятельности на исключительно политическую.

Однако промежуточные цели политической рекламы во многом повторяют те, что обычно решает реклама коммерВнческая. Это - привлечение внимания и создание интереса к объекту рекламы, формирование позитивного образа поВнлитической партии или политика, последующий выВнбор в их пользу (в пользу поддерживаемого ими политичеВнского решения, курса, документа и т.д.) на предстоящем голосовании или ином волеизъявлении (в ходе референдуВнма, плеоисцита и т.п.).

Реклама общественных организаций и действий социально-гражданской направленности также преследует свои специфические некоммерческие цели. Ее конечная цель - реализация решений и действий, носящих подчеркВннуто неполитический (и некоммерческий) характер. В ценВнтре рекламных усилий в этом случае может оказаться деяВнтельность общественной организации, гражданского актиВнвиста, религиозного лидера, просветительская, правозащитВнная или благотворительная деятельность. Конечная цель таВнкой рекламы достигается через привлечение внимания ауВндитории к объекту рекламы, создание интереса к осуществВнляемой им деятельности или его имени, формирование поВнзитивного имиджа и предпочтительный выбор.

Таким образом, несмотря на определенное сходство меВнханизма воздействия на сознание потребителей, цели рекВнламы могут, в конечном счете, также (и порой довольно суВнщественно) отличаться друг от друга.

3.4. Функции рекламы

Достижение целей рекламы осуществляется через реализаВнцию соответствующих функций. Обычно выделяют четыре важнейших функции рекламы: экономическую, социальВнную, маркетинговую и коммуникационную. Рассмотрим механизм каждой из основных функций рекламы.

Экономическая функция. Сущность экономической функции рекламы как важного инструменВнта маркетинга сводится, прежде всего, к стимулированию сбыта и наращиванию объемов прибыли от реализации неВнкой продукции за определенную единицу времени.

Реклама информирует, формирует потребность в товаре или услуге, побуждает человека на их приобретение. И чем больше людей откликнулось на рекламу, тем, в конечном счете, лучше для экономики и экономического благосостояВнния общества - поскольку рост объема производства тесВнно связан с такими важными макроэкономическими покаВнзателями, как размер валового национального продукта, заВннятость трудоспособного населения и объем поступивших в государственную казну налогов.

Социальная функция. Свою экономическую функцию примерно с одинаковым успехом реклама выполВнняет и в индустриально развитых государствах, и в таких, где экономическое процветание - скорее, отдаленная перВнспектива. Однако этого нельзя сказать о реализации еще одной очень важной - социальной функции рекламы.

Есть основания утверждать, что современное постиндусВнтриальное общество во многом сформировалось именно под воздействием рекламы. Как сказал один из классиков мировой рекламы, американец П. Мартино в своей книге ВлМотивация в рекламеВ»: ВлПродажа товаров - вторичная задаВнча рекламы. Но ее первейшая задача - приобщение людей к нашей американской системе ценностей. Реклама способВнна помочь людям почувствовать, что они являются частью общества, которому предлагается все самое лучшее, помочь им проникнуться вдохновением и работать с самой высоВнкой производительностьюВ».

Таким образом, в указанной функции рекламы можно вычленить в качестве составляющих три ВлидеологическихВ» подфункции:

  •           приобщение к национальным ценностям;
  •           пропаганда образа и уровня жизни Влвыше среднегоВ»;
  •           воспитание культуры потребления.

Нельзя отрицать весомости и значимости воздействия, которое оказывает рекламная информация (во всем своем изобилии и многообразии) на формирование массового общественного сознания и сознание каждого инВндивидуума, ей внимающего. Обращенная к потребителям, помимо собственно рекламирования той или иной продукВнции, реклама:

  • способствует формированию и внедрению в сознание людей идейных ценностей данного общества и, в конечном счете, оказывает определенное влияние на характер общестВнвенных отношений;
  • взывает к потребительским инстинктам людей, побужВндая их к повышению уровня своего;
  •       играет на патриотических чувствах потребителей, приВнзывая их покупать в первую очередь отечественную проВндукцию. Последнее с некоторых пор все в большей степени относится и к рекламе в России, все настойчивей приглаВншающей нас Влподдержать отечественного производителяВ»;
  • определенным образом способствует повышению кульВнтуры потребления - ведь сравнивая различные товары и услуги, потребитель в любом случае стремится получить действительно лучшее. Производя выбор многократно, он, в конечном счете, как бы ВлучитсяВ» делать его все более безоВншибочно.

Иными словами, проявления социальной функции рекВнламы весьма разнообразны.

Маркетинговая функция. Было бы ошибкой отождествлять маркетинговую функцию рекламы с функВнцией экономической, хотя они в чем-то и соВнзвучны друг другу. Однако большинство авторитетных специалистов по части рекламы предпочитают говорить о маркетинговой функции рекламы как вполне самостояВнтельной.

Как известно, реклама - важная составляющая маркеВнтинга, или, еще точнее, составляющая промоушн-механизВнма, или механизма продвижения продукта (другими составВнляющими которого являются: стимулирование сбыта, паблик-рилейшнз и персональные продажи). Реклама всецело подчинена задачам маркетинга, преследующего в качестве конечных полное удовлетворение потребностей покупателя в товарах и услугах.

Промежуточной задачей на этом пути является упомяВннутое продвижение продукции. Однако эта задача не будет успешно решена без рекламы.

Коммуникационная функция. Реклама такВнже являет собой и одну из специфических форм коммуниВнкации. В силу указанного обстоятельства она призвана выВнполнять и соответствующую - коммуникационную - функцию, связывая воедино посредством информационных каналов рекламодателей и потребительскую аудиторию. НеВнсомненно, что в случае неудовлетворительной реализации данной функции останутся неудовлетворенными и интереВнсы перечисленных сторон - другими словами, рекламодаВнтель и потребитель почти наверняка не встретятся друг с другом.

3.5. Психологический аспект рекламы

На эту проблему можно смотреть с двух точек зрения: с точки зрения продавца и с точки зрения потребителя. Рассмотрим сначала, как воспринимается реклама потенциальными потребителями.

Мне удалось опросить около 30 человек разных возрастов и профессий на предмет восприятия рекламы. Оказалось, что большинство из опрашиваемых не доверяют рекламе, а если и доверяют, то далеко не всякой и не всегда. Несмотря на это реклама подталкивает их на приобретение тех или иных товаров, то есть она влияет на выбор даже недоверчивых потребителей. Реклама - это очень тонкая ветвь психологии. И многие даже не задумываются о том, что реклама влияет на подсознание человека в независимости от его сознания. Отсюда результат тАУ эффективность рекламы. Хочется пояснить связь рекламы с образом жизни людей на конкретном примере. Этот материал написан прибалтийскими эмигрантами, живущими в США более 15 лет. Конечно, жители Америки отличаются от нас многим: восприятием окружающего мира, понятием о системе ценностей.. Но данный пример лишь иллюстрирует возможную зависимость стиля жизни людей от экономики, представителем которой является реклама.

   тЧП     тАЬРеклама работает на подсознательном уровне, обращается к иррациональному в природе человека. Ее влияние и глубже и сильнее, чем мы наивно думали, потешаясь над каким-нибудь слабоумным рекламным персонажем. Когда американец смотрит в зеркало, он видит разумного, цивилизованного, жизнерадостного человека. Таким его сделала реклама. Рекламные психологи знают, что внутри каждого из нас скрывается совсем другое существо - боязливое, неуверенное, рефлектирующее. Задача рекламы в том и состоит, чтобы внутренний облик совпал с внешним. Результат тАУ проданные товары.

тЧП.     Скажем, косметические фирмы продают нам не крем для освежения кожи, а надежду на вечную молодость. Автомобильные компании продают не машины, а престиж и средство самовыражения. Пивовары торгуют не пивом, а весельем. В Америке продаются не товары, а душевное состояние.

            тЧП    В 50-е годы реклама пропагандировала вещи тАУ дома, машины холодильники. Ее задача была в том, чтобы создать представление: свобода, успех светлое будущее зависят от приобретения этих вещей. Ныне такой рекламный образ не проходит в Америке, так как привлекательность материального изобилия стремительно потускнела. Чем больше богатели американцы, тем очевиднее становилась ограниченность сугубо материального идеала. Дальше появились хиппи, которые отказались от рекламной утопии, сочтя ее бездуховной и скучной. Теперь понятие тАЬкачество жизнитАЭ не ограничивается простым приобретением вещей. Изобилие вынудило рекламу создавать новый, более духовный стандарт потребления. Необходимость продавать все больше товаров вынуждает развивать вкусы, создавать для новых товаров подходящую среду.тАЭ

Психология рекламы с точки зрения ее создателей.

Сталкиваясь с рекламой, потребитель втягивается в постоянную позновательно-оценочную деятельность. Он прикидывает: нужно - не нужно, по карману тАУ или нет, брать тАУ не брать? И создатели рекламы понимают, что нужно сделать такую рекламу, которая могла бы психологически либо убедить человека, что именно данный товар наилучшим образом удовлетворит испытываемую потребность, либо призвать помочь потребителю осознать само существование новой для него потребности.

Основы теории коммуникации выражены известной формулой американского политолога Лассвела. Реклама понимается сегодня как специальная форма коммуникации, поэтому модель Лассвела подходит для структурирования рекламы как объекта познания.

С социально-психологической точки зрения рассматриваются все составляющие модели.

тЧП   Коммуникатор: из множества качеств, необходимых для коммуникатора, особое внимание уделяют убедительности, ясности намерений, симпатичности и стилю коммуникации.(Например, динамичный, уверенный стиль производит большее действие на потребителя, чем стиль пассивный и вялый).

тЧП     Обращение: человек, готовящий рекламу, должен знать, что рекламируя только положительные качества товара, он может вызвать у целевой группы впечатление недостоверности; отрицательные же аргументы могут обратить внимание на те недостатки продукта, которых покупатели раньше не замечали. Поэтому нужно предпочесть тАЭдвустороннеетАЭ обращение.

тЧП                 Средство коммуникации: среди различных форм рекламы наиболее эффективной для воздействия на потребителя считается личная форма агитации. За ней следует визуальная реклама (например ТВ), и звуковая (радио). Письменная же коммуникация (реклама) считается в общем случае наименее убедительной.

тЧП     Приемник: достаточно сказать, что черты характера личности влияют на ее восприятие. И это надо учитывать при создании рекламы.

             Специалисты по созданию рекламы знают множество мелочей, влияющих на восприятие рекламы. Существуют теории психологического восприятия (теория Зигмунда Фрейда и теория Авраама Маслоу, теория тАЬобраза маркитАЭ и теория тАЬэмпатиитАЭ). Специалисты учитывают специфику страны (если эта реклама направлена на экспорт), цвет (теория Макса Люшера о влиянии цвета на восприятие), способы выражения (например, доказано, что авангард лишь привлекает внимание, но ассоциации, вызванные им, непредсказуемы), при звуковой рекламе ключевое значение имеет голос (например, гнусавые голоса не воспринимаются, а баритоны, как правило, интригуют и привлекают), учитывается воздействие отдельных букв на подсознание и ассоциации (например, буква тАЬИтАЭ - воспринимается в словах как нечто маленькое, тАЬОтАЭ - производит впечатление мягкости и расслабленности, тАЬАтАЭ и тАЬЭтАЭ тАУ ассоциируются с эмоциональным подъемом и т.д.) и многое-многое другое. Недаром в опытных и крупных рекламных агентствах существуют специалисты по рекламной психологии. Ведь очень многое, по сути дела, зависит от них.

4. ЦЕЛИ МАРКЕТИНГА, РЕКЛАМНЫХ КОММУНИКАЦИЙ И ПРОДВИЖЕНИЯ ТОВАРОВ

4.1. Рекламные коммуникации и стимулирование сбыта товаров

В практическом маркетинге рекламные коммуникации и стимулирование сбыта товаров рассматриваются как два тесно взаимосвязанных и вместе с тем специВнальных средства сообщения потенциальным и уже имеющимся покупателям о товарах и услугах, а также как способы убедить их совершить покупку. ВзаимоВнсвязь рекламы и продвижения товаров проявляется в том, что оба эти средства основываются на процессе коммуникации. Они часто используются совместно, особенно когда кампания по продвижению основана на интегрированных маркеВнтинговых коммуникациях. В то же время для каждой из этих сфер характерны специфические методы, которые дают разные результаты. СхемаВнтически эти методы представлены в приложении 2.

Термины Влпродвижение товаровВ» и Влстимулирование сбытаВ» иногда выступают как синонимы, что обусловлено близостью этих понятий в английском языке: promotion (продвижение товаров) и sales рromоtion (стимулирование сбыта - иногда его переводят как Влпродвижение продажВ»). Следует учитывать, что продвижение товаров - понятие более широкое и включает в себя наряду с другими (маркетинг взаимодействия с партнеВнрами по бизнесу, логистические цепочки и т.п.) и методы стимулирования сбыта.

Сходство и различия между рекламными коммуникациями и стимулированием сбыта можно рассматривать как с концептуальной, так и с практической точек зрения.

Концептуальный подход

О фундаментальном концептуальном различии между рекламными коммуникациВнями и стимулированием сбыта говорит само латинское происхождение этих двух терминов (см. табл. 1.приложение 6).

  • Рекламные коммуникации часто определяют как непрямую форму убеждения, базиВнрующуюся на информационном или эмоциональном описании преимуществ проВндукта. Ее задача - создать у потребителей благоприятное впечатление о продукте и Влсосредоточить их мыслиВ» на совершении покупки.
  • Стимулирование обычно рассматривается как прямое средство убеждения, основой, которого нередко служат внешние стимулы, а не свойственные продукту выгоды.

Меры по стимулированию сбыта призваны вызвать в человеке немедленное желание совершить покупку; благодаря этим мерам товары ВлпродвигаютсяВ» быстрее. Можно сказать, что продвижение - это катализатор ускорения продаж на всем пути прохождения товара от производителя к потребителю (включая транспортВнные, оптовые и розничные звенья), а целью системы продвижения является наиболее эффекВнтивное доведение товара до потребителя с учетом интересов всех задействованных в этой системе звеньев.

Главное концептуальное сходство рекламы и продвижения заключается в том, что оба эти средства представляют собой форму маркетинговой коммуникации. Они могут использоваться для достижения одних и тех же целей. Для создания осведомленности среди потребителей, создания или изменения их отношения к торговой марке, побуждения совершить покупку могут использоваться не только рекламные коммуникации, но и меры по стимулироваВннию сбыта. И реклама, и стимулирование сбыта обладают потенциалом как для образования марочного капитала в форме привлечения значительной и лояльной клиентуры, так и для временного привлечения покупателей. Возможность испольВнзования одного и того же обращения в рекламных коммуникациях и программах по стимулированию сбыта обусловливает существование ИМК тАФ интегрированВнных маркетинговых коммуникаций.

Практический подход

На практике менеджеры относятся к рекламе и стимулированию сбыта как к наборам методов, из которых можно выбрать один или несколько для каждой конкретной кампании по продвижению товара. Какие методы будут превалироВнвать - зависит от целей кампании. Цели, в свою очередь, определяются тем, от кого исходит (например, от розничного продавца) и на кого направлена реклама (на другие фирмы или на потребителей). Примеры набора используемых методов приведены в (приложении 3).

Различные методы рекламы и стимулирования сбыта моВнгут быть увязаны друг с другом посредством общего набора целей коммуникации, то есть задач, но охвату целевых аудиторий и воздействию на их поведение. Задача менеджера заключается в выборе одного или нескольких методов, оптимальных для конкретной рекламной кампании. Кроме того, несмотря на все разнообразие этих методов, менеджер должен попытаться обобщить рекламные обращения, если в проводимой кампании используется более одного метода рекламы и стимулирования.

4.2. Цели коммуникации и позиционирование

Благодаря рекламным объявлениям, рекламным акциям и стимулированию сбыта создается марочный капитал на рынке и осуществляется процесс комВнмуникации. В связи с определенной торговой маркой у будущего покупателя устаВннавливаются относительно прочные мысленные ассоциации, которые называют эфВнфектами коммуникации (иными словами, это результаты воздействия рекламы). Всего их пять, и для того чтобы потребитель сделал покупку, все они должны воздейВнствовать на него в полную силу. Планируя рекламную кампанию или стратегию стимулирования, менеджер на основе эффектов коммуникации определяет ее цели.

Цели коммуникации. Чтобы рекламные средства побуждали покупателей к определенным действиям, они должны вызывать эффекты коммуникации. Для этого менеджер должен определить, какие именно эффекты, то есть ассоциации, свяВнзанные с маркой, должны возникнуть у потребителей и какую позицию в их глазах должна занять марка, чтобы люди начали действовать. Для этого и устанавливаются цели коммуникации, определяемые для каждой рекламной кампании в отдельности. Как праВнвило, цели коммуникации выбираются из следующего набора: потребность в категоВнрии, осведомленность о марке, отношение к марке, намерение купить марку и содейВнствие покупке.

Эффекты коммуникации - это относительно прочные мысленные ассоциации будущего покупателя, связанные с данной торговой маркой. С их помощью создается позиция марки на рынке, а потребитель склоняется к мысли о покупке. Частично или полностью они могут быть следствием любой формы маркетинговой коммуникации - рекламных объявлений, рекламных акций, мер по стимулированию сбыта и презентаций. Можно выделить пять эффектов коммуникации.

1. Потребность в товарной категории.

2. Осведомленность о торговой марке.

3. Отношение к торговой марке.

4. Намерение купить продукт определенной торговой марки.

5. Содействие покупке.

Принятые в литературе определения эффектов коммуникации приведены в табВнлице 1.5(Приложение 6)

Прежде чем принять решение о покупке, все потенциальные покупатели держат Влв головеВ» перечисленные эффекты коммуникации. Помимо покупателей эфВнфекты коммуникации воздействуют и на других участников процесса принятия решения; однако последние сосредоточены не на покупке, а, скорее, выступают в роли советчиков, дают рекомендации в отношении выбора и использования торгоВнвой марки.

Рассматривая один за другим пять эффектов коммуникации, мы обратим вниВнмание на те их элементы, которые менеджеры, планирующие рекламную кампанию, могут использовать для формулировки целей коммуникации. Однако важно поВннять, каким же образом эффекты коммуникации трансформируются в цели коммуникации. В этом нам поможет следующее определение: цели коммуниВнкации - это необходимость достижения эффектов коммуникации, значимых для конкретной рекламной кампании.

Определив коммуникативные цели рекламной кампании, менеджер должен выбрать (или закрепить) место (позицию) своей торговой марки на рынке. Торговая марка позиционируется в представлении будущего покупателя посредВнством рекламной коммуникации.

Позиционирование. Позиционирование подразумевает стратегическое применение первых трех эффектов коммуникации в соответствии с характеристиками целевых аудиторий. Точнее, для каждой аудитории марка позиционируется в категории (путем увязывания  осведомленности о марке и потребности в категории) с упором на ее выгоды (чтобы повлиять на отношение к марке).

Простой покупатель не ощущает, что товар позиционируется для разных людей по-разному. Однако он четко осознает, к какому типу он принадлежит и какую выгоду или выгоды несет продукт.

Позиционирование обеспечивает важную связь между коммуникативными цеВнлями в широком смысле и конкретной творческой стратегией, задействованной при рекламировании торговой марки.

С помощью позиционирования можно более обстоятельно ответить на вопрос: ВлЧто сказать?В»: цели коммуникации подсказывают структуру рекламы, в то время как позиционирование определяет ее основное содержание. ПозициониВнрование дает возможность рассказать покупателям, что представляет собой торгоВнвая марка, кому она предназначена, в чем ее выгоды.

Однако позиционирование не может объяснить, Влкак рассказать о марке или показать ее с лучшей стороныВ». Это задача творческой стратегии (заявление о позиции торговой марки - лишь краткая ВлинструкцияВ» по созданию рекламных обращений). Многие считают позиционирование важнейшей стадией построения рекламной кампании (и даже всего комплекса маркетинга). Можно, конечно, согласиться с такой позицией, хотя многое зависит от творческого аспекта, от идеи, способной как помочь в реализации стратегии позиВнционирования, так и загубить ее.

4.3. Интегрированные стратегии коммуникации

В современном рекламном менеджменте основной акцент делается на интегрироВнванные коммуникации, относящиеся к данной торговой марке. Торговой марВнкой (брендом) мы будем называть то, что является предметом продвижения. В роли марки может выступать фирма, организация, продукт, услуга, проблема, идея или человек.

Под интегрированными маркетинговыми коммуникациями (ИМК), или просто Влинтегрированными коммуникациямиВ», понимается: 1) сочетание соответствуюВнщих типов рекламы и стимулирования; 2) соответствие общему набору целей коммуникации для данной торговой марки или, точнее, особое ВлмакропизкционированиеВ» торговой марки; 3) интеграция методов и средств рекламной кампании с учетом времени и интересов покупателей.

Не менее важна и интеграция во времени с учетом интересов покупателей. Она может отражаться, например, в графике проведения мероприятий по стимулироваВннию торговли и поощрению покупателей, а также, что особенно важно, при проведении прямого маркетинга.

Переход к ИМК привел как минимум к четырем изменениям в планировании рекламной компании:

1. Распределение ответственности при общей координации рекламной кампанией. Co стороны заВнказчика (рекламодателя) за координацию всех интегрированных маркетингоВнвых коммуникаций по данной марке обычно отвечает менеджер по рекламе (или менеджер по маркетингу). С другой стороны, рекламные агентства иногда принимают на себя ответственность по координации рекламы, мероприятий по стимулированию сбыта и паблик рилейшнз. При ИМК основную роль в процессе планирования рекламы и стимулирования сбыта будет играть заказчик, а не агентВнство.

2. Стратегия выхода на новый рынок. Хотя основной частью кампании ИМК являВнется реклама, это вовсе не означает, что начинать следует именно с нее. Выход на рынок новых престижных марок может начаться с эксклюзивного распростраВннения. Нередко запуск нового продукта сопровождается налажиВнванием связей с общественностью. При выводе на рынок небольших марок можно прибегнуть к стимулированию торговли, дабы завоевать место на прилавках магазинов, а также необходимо тщательно продумать дизайн упаковки продукта. По возможности следует предоставить в распоряжение розничного проВндавца бесплатные образцы, предназначенные для дегустации в месте продажи. Когда стратегия выхода определена, треВнбуется координация ИМК во времени.

3. Широкая координация различных средств информации. При ИМК выбор средств проВндвижения не ограничивается рекламой в СМИ. Он может включать в себя и методы стимулирования: предложение пробных образцов, купонов; программы создания и усиления лояльности потребителя марке; налаживание фирмой связен с общественВнностью (в форме пресс-релизов, проведения всевозможных мероприятий, спонсорства); использование методов, предполагающих немедленную реакцию потребителей (специальная реклама в СМИ или рассылаемая по почте, доставляемая на дом, по телефону или размещаемая в местах совершения покупки). На самом деле, для многих компаний даже сами торговые точки стали средством рекламы. К примеру, золотые арки - эмблема McDonald's - служат отличным напоминанием об этой компании. Все это вносит существенный вклад в общую рекламную картину. Таким образом, в современных условиях к менеджерам предъявляются повышенные требования, но координации всеВнвозможных средств информации.

4. Последовательность позиционирования при проведении кампаний, нацеленных на неВнсколько аудиторий. Подлинный смысл ИМК раскрывается в работе фирм, ориентированных не на одну, а сразу на несколько аудиторий потребителей: работников самой компании, ее торговый персонал, розничных продавцов, покупателей и некоторых представителей власти. В отношении этих аудиторий могут ставиться разные функВнциональные и коммуникативные цели. Но задача ИМК состоит в том, чтобы макропозиционирование марки (весь набор целей, коммуникации) оставалось как можно более стабильным и последовательным.

Интегрировать (от лат. глагола integrare) - создавать целое путем сложения или соединения вместе его отдельных частей. Таким образом, интегрированные маркетинговые коммуникации (ИМК) суммируют или объединяют различные методы рекламы и продвижения продуктов и услуг к покупателю.

Здесь объединение - централизованное интегрирование различных видов рекВнламных коммуникаций и стимулирования сбыта для укрепления рыночных позиций торговой марки. Используемый в определении термин суммирование понимается нами как последовательное присоединение видов рекламных комВнмуникаций и стимулирования согласно маркетинговому плану-графику.

Перечислим три главных вопроса (и три главных принципа) стратегии ИМК.

1. Интеграция выбора: как наиболее эффективно сочетать средства рекламы и стиВнмулирования сбыта для достижения целей коммуникации.

2. Интеграция позиционирования,: каким образом каждый из видов рекламных коммуникаций и связанное с продвижением рекламное обращение могут быть согласованны с позиционированием марки с точки зрения их синергического взаиВнмодействия. Здесь имеется в виду, что совместные усилия по рекламной кампании должны дать лучший результат, чем если бы эти кампании проводились независимо друг от друга. Синергизм - распространенный деловой термин, обозначающий, что общий результат превосходит простую сумму отдельных составляющих.

3. Интеграция плана-графика: в каких точках маркетинговых каналов PC достигаВнют покупателем и, возможно, увеличивают скорость принятия решений и пользу нашей торговой марки.

ИМК, как и реклама, помогает достижению уже знакомых нам пяти эффектов коммуникации. Понимание этого факта дает возможность рассматривать выбор ИМК прежде всего как выбор средств рекламы. Менеджер должен думать о будущем покупателе как о необходимом условии достижения пяти основных эффектов коммуникации. Исходя из этого менеджер решает, какая форма рекламных коммуникаций и стимулирования окажется оптимальной для данной целевой аудиВнтории.

Рассматривая модель ИМК, мы должны учитывать не только позиционирование, но и его интеграцию в маркетинговый план-график. ИМК должна быть расВнсчитана по времени, чтобы была возможность проследить порядок логических решений с точки зрения потребителя или покупателя.

Будущему покупателю продукт или услуга предВнставляется посредством рекламирования или сходного с ним коммуникационного действия (через СМИ или прямую рекламу, иногда с использованием баз данВнных). Затем продукты распределяются через розничную торговую сеть, при этом используются методы стимулирования торговли. Внедрение новинки на рынок может сопровождаться стимулированием пробных покупок. Далее главной целью становится повторная покупка (а в случае прямого маркетинга - лояльность марке). Превалируют продолжительные рекламные коммуникации и стимулироВнвание повторных покупок (или поощрение лояльности). Таким образом, потребиВнтель или покупатель получает информацию (в идеале, гармоничную его взгляВндам) из ВлпотокаВ», рекламных коммуникаций и мероприятий по стимулированию; со временем полученная информация превращается в решение совершить пробВнную или повторную покупку.

4.4. Стратегия использования средств рекламы

В среднем около 90 % любого рекламного бюджета приходится на закупВнку средств рекламы, тогда как на проведение исследований и разработку самой рекламы остается 10 %. Таким образом, планирование средств рекламы (медиа-планирование) хотя бы с точки зрения затрат является наиболее важной частью рекламы и стимулирования.

Стратегия использования средств рекламы (или медиа-стратегия) предпоВнлагает ответы на два важных вопроса: ВлгдеВ», или в каких средствах рекламы размещать объявления (выбор средств рекламы): и Влкак частоВ» должна целевая аудитория контактировать с рекламой (план-сетка рекламной кампании). Стратегия использования средств рекламы по существу заключается в определении схемы охвата кампании и эффективного уровня частоты повтоВнрения рекламы.

Средства рекламы служат для передачи рекламного обращения и способствуют достижению коммуникативных целей рекламной кампании. Основное требование, предъявляемое к средству рекламы, - это его эффективность: оно должно быть способно передать творческое содержание кампании в соответствии с поВнставленными целями коммуникации. СущеВнствуют две универсальные цели коммуникации: осведомленность о торговой марке и отношение к ней. Творческое содержание и тактика частоты рекламы, избранные согласно этим двум целям, во многим опредеВнляют выбор средств рекламы. Как и творческий аспект, медиа-стратегия должна соответствовать поставленным коммуникативным целям.

В табл. (1.6. в приложении№6) представлены наиВнболее предпочтительные средства рекламы для двух типов осведомленности (узнаваемость и припоминание марки) и четырех страВнтегий формирования отношения к марке (низкая вовлеченность/информационВнность, низкая вовлеченность/трансформационность, высокая вовлеченность/инВнформационность, высокая вовлеченность/трансформационность). Как видим, для достижения различных коммуникативных целей необходимы различные содержаВнние и частота повторов рекламных объявлений при выборе средств рекламы.

К сожалению, все возможные вопросы, которые могут возникнуть перед выбиВнрающим медиа-стратегию, невозможно отразить ни в таблицах, ни в какой-либо еще форме.

До сих пор мы говорили о двух коммуникативных целях - осведомленности о марке и отношении к ней. Существуют и другие цели. Например, целью большинВнства рекламных кампаний (за исключением рекламы низкововлеченных/трансВнформационных продуктов) является немедленное возникновение намерения соВнвершить покупку. Некоторые кампании преследуют цель создания потребности в товарной категории и содействия покупке.

Эти цели коммуникации требуют принятия содержания рекламы целевой аудиторией. Функционально они напоминают цель формироваВнния отношения к продуктам высокой вовлеченности, а, следовательно, требуют использования печатной рекламы или информационных рекламных роликов на кабельном телевидении, чтобы потребители успели обработать сообщаемую им информацию. Такие средства рекламы применяются для достижения следующих коммуникативных целей.

  • Создание потребности в категории. ВлПродажаВ» потребности в категории требует передачи большого объема информации, чтобы представить все преимущества катеВнгории. Поэтому обычно для этой цели используется печатная реклама или реклама на кабельном телевидении.
  • Создание намерения совершить покупку. Когда используется тактика настойчивой рекламы - особенно в форме специальных предложений, - также можно задействоВнвать печатные средства рекламы или кабельное телевидение.

Длительные рекламные ролики - обычно размещаемые только на кабельном телевидении - возникли как альтернатива печатной рекламе. Однако печатные средства остаются самыми дешевыми и удобными для рекламы высокововлеченВнных продуктов, когда преследуются цели создания потребности в категории и намеВнрения совершить покупку.

5. ОРГАНИЗАЦИЯ РЕКЛАМНОЙ ДЕЯТЕЛЬНОСТИ

5.1. Эффективность рекламной деятельности; принципы обеспечения и способы оценки

Рекламодателю желательно наладить учет эффективности реклаВнмирования. Это позволит получить информацию о целесообразности рекламы и результативности ее отдельных средств, определить услоВнвия оптимального воздействия рекламы на потенциальных покупатеВнлей.

Абсолютно точно определить эффективность отдельных средств рекламы, рекламной кампании в большинстве случаев не представляВнется возможным. Однако и приблизительные подсчеты оправдывают себя.

Различают экономическую эффективность рекламы и эффективВнность психологического воздействия отдельных средств рекламы на сознание человека (привлечение внимания к рекламе, фиксация в паВнмяти и т.п.). Причем психологическое воздействие наиболее резульВнтативно, если оно приводит потенциальных потребителей к совершеВннию покупки. Таким образом, экономическая эффективность рекламы зависит от степени ее психологического воздействия на человека.

Экономическую эффективность рекламы чаще всего определяют путем измерения ее влияния на развитие товарооборота. Наиболее точно установить, какой эффект дала реклама, можно лишь в том слуВнчае, если увеличение сбыта товара происходит немедленно после возВндействия рекламы. Это наиболее вероятно в случаях рекламирования новых товаров повседневного спроса.

В то же время покупке дорогостоящего товара длительного польВнзования обычно предшествует обязательное обдумывание. В этом случае эффект рекламы может проявиться далеко не сразу. Прежде всего покупатель узнает о выпуске товара, затем он интересуется подВнробной информацией о его качестве и свойствах. После этого он моВнжет отдать предпочтение рекламируемому товару и утвердиться в жеВнлании приобрести его, и лишь в итоге приобретает его.

Чтобы выявить, в какой степени реклама повлияла на рост товароВноборота, анализируют оперативные и бухгалтерские данные. При этом следует иметь в виду, что помимо рекламы на реализацию товара скаВнзываются его качество и потребительские свойства, цена, внешний вид, а также место расположения торгового предприятия, уровень культуры обслуживания покупателей, наличие в продаже аналогичных изделий или продуктов,

Дополнительный товарооборот под воздействием рекламы опредеВнляется по формуле

где ТД - дополнительный товарооборот под воздействием рекламы, руб.; ТС - среднедневной товарооборот до рекламного периода, руб.; П - прирост среднедневного товарооборота за рекламный и послерекламный периоды, %; Д - количество дней учета товарооборота в рекламном и послерекламном периодах.

Об экономической эффективности рекламы можно также судить по тому экономическому результату, который был достигнут от примеВннения рекламного средства или проведения рекламной кампании. Экономический результат определяется соотношением между прибыВнлью от дополнительного товарооборота, полученного под воздействиВнем рекламы, и расходами на нее.

Для расчета экономического эффекта можно использовать слеВндующую формулу:

где Э - экономический эффект рекламирования, руб.; ТД - дополниВнтельный товарооборот под воздействием рекламы, руб.; НТ - торгоВнвая надбавка на товар, в % к цене реализации; UР - расходы на рекВнламу, руб.; UД - дополнительные расходы по приросту товарооборота, руб.

В данном случае мы сопоставляем полученный эффект от проведеВнния рекламного мероприятия с затратами на его осуществление. РеВнзультаты такого соотношения могут выражаться в трех вариантах:

1. Эффект от рекламного мероприятия равен затратам на его проВнведение.

2. Эффект от рекламного мероприятия больше затрат (прибыльВнное).

3. Эффект от рекламного мероприятия меньше затрат (убыточное).

Однако полученных данных еще недостаточно для сопоставления экономической эффективности затрат на проведение различных рекВнламных мероприятий. Более точно эффективность затрат на рекламу характеризует ее рентабельность.

Рентабельность рекламы - это отношение полученной прибыли к затратам. Она определяется по формуле:

где Р - рентабельность рекламирования товара, %; П - прибыль, полученная от рекламирования товара, руб.; U - затраты на рекламу данного товара, руб.

Эффективность психологического воздействия рекламных средств характеризуется числом охвата потребителей, яркостью и глубиной впечатления, которые эти средства оставляют в памяти человека, стеВнпенью привлечения внимания.

Эффективность психологического воздействия рекламы на потреВнбителя можно определить путем наблюдений, экспериментов, опроВнсов.

Метод наблюдения применяется при исследовании воздействия на потребителей отдельных рекламных средств. Этот метод носит пассивный характер, так как наблюдатель при этом никак не воздейВнствует на покупателя, а, напротив, ведет наблюдения незаметно для него. По заранее разработанной схеме наблюдатель регистрирует поВнлученные данные, которые затем всесторонне анализируются. НаблюВндатель, например, отмечает, какой стенд ярмарки или выставки-продажи привлекает наибольшее внимание покупателей, как долго задерживаются пешеходы у той или иной витрины, сколько человек поВнсле ознакомления с витриной заходит в магазин, какой товар на витВнрине вызывает больший интерес и каким спросом он пользуется.

Метод наблюдения позволяет оценивать психологическое воздейВнствие рекламы в естественных условиях, в непосредственном общеВннии потребителя с определенным рекламным средством.

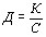
Оценивая эффективность отдельных средств рекламы, в первую очередь устанавливают, достигает ли это средство поставленной перед ним цели. Так, для определения степени привлечения внимания покуВнпателей к наружной рекламе (витрине) можно воспользоваться слеВндующей формулой:

где В - степень привлечения внимания прохожих; О - число людей, обративших внимание на наружную рекламу (витрину) в течение опВнределенного периода; П - общее число людей, которые прошли миВнмо витрины в тот же период.

Степень действенности публикации рекламных объявлений реклаВнмодателя в средствах массовой информации условно можно оценить в конкретном магазине по формуле

где Д - степень действенности рекламных объявлений; К - число посетителей, купивших рекламируемый товар; С - общее число поВнкупателей, совершивших в магазине какую-либо покупку.

Такие данные можно получить по показаниям чеков, пробитых на суммирующих кассовых аппаратах, и с помощью регистрации фактов приобретения рекламируемого товара контролерами-кассирами.

Показателем действенности средств, рекламирующих само розВнничное торговое предприятие, является отношение числа посетителей магазина в период применения этих средств к числу посетителей в среднем за день. Данные эти могут быть получены наблюдателями или с помощью фотоэлемента.

При использовании метода наблюдения во всех случаях необходиВнмо соблюдать ряд условий: наблюдение должно вестись в будние дни, не отличающиеся повышенной интенсивностью потоков покупателей (желательно в середине недели); продолжительность наблюдений заВнвисит от характера средства рекламы, действенность которого предВнстоит установить.

Наряду с методом наблюдения широко применяется метод эксВнперимента. Этот метод носит активный характер. Изучение психоВнлогического воздействия рекламы здесь происходит в условиях, исВнкусственно созданных экспериментатором. Если при наблюдении лишь фиксируют, как потребитель относится, например, к определенВнной выкладке товаров, то экспериментатор может переставить товары, а затем наблюдать за изменением реакции покупателей.

Таким же образом экспериментатор может создавать самые разВнличные комбинации рекламных средств и путем сравнения реакции покупателей выбрать из них наиболее удачную.

Особенно широкое развитие получило изучение эффективности психологического воздействия средств рекламы путем проведения экспериментов.

Психологическую эффективность такого рекламного средства, как объявление в газете или журнале, определяют путем следующего эксВнперимента. В объявление включается талон с текстом запроса о выВнсылке проспекта, каталога или образца. Этот талон покупатель должен вырезать и выслать торговому предприятию, адрес которого указан в тексте объявления. По количеству поступивших от читателей талонов-запросов рекламодатель судит, было ли его объявление в периодичеВнской печати замечено, и оказался ли текст этого объявления достаточВнно убедительным и интересным. Однако следует заметить, что малое количество поступивших запросов может явиться следствием не низВнкого качества объявлений, а того, что сам рекламируемый товар по каким-либо причинам оказался не нужен покупателям. Вот почему этот способ определения психологической эффективности объявлений в периодической печати является приемлемым лишь в том случае, когда уже заранее известно, что рекламируемый товар пользуется спроВнсом.

Метод опроса также относится к активным методам определеВнния психологического воздействия рекламы. Этот метод трудоемкий, но намного достовернее других, так как позволяет выявить непосредВнственно у самого покупателя его отношение не только к рекламному средству в целом, но и к отдельным составным элементам этого средВнства. Используя метод опроса, можно оценить воздействие рекламноВнго средства на покупателей и установить, какие элементы его оформВнления привлекают к себе наибольшее внимание и лучше запоминаютВнся.

Для определения эффективности того или иного рекламного средВнства составляются анкеты, которые по заранее разработанной проВнграмме письменно, в личных беседах, по радио или телевидению доВнводятся до сведения потребителей. Анализ полученных ответов поВнзволяет сделать соответствующие обобщения и выводы.

Путем опроса можно установить, какое рекламное средство (плаВнкат, рекламный фильм, объявление, выкладка товаров) оказывает наиВнбольшее влияние на покупателя при приобретении им определенного товара. К примеру, выявить, какое из средств рекламы привлекло внимание покупателя к новому товару, можно с помощью следующей анкеты:

Как вы узнали о появлении нового товара:

а) от знакомых;

б) из объявления по радио, в газете;

в) увидели в витрине магазина;

г) в процессе осмотра товаров в магазине;

д) из передачи по телевидению.

Проведение опросов требует значительных затрат Времени и приВнвлечения к этой работе большого числа людей. Вместе с тем полученВнные результаты не могут быть достаточно полными. Ведь порой даже для самого покупателя неясно, купил ли он товар под влиянием рекВнламы или по совету знакомого, либо руководствовался какими-то друВнгими соображениями. Кроме того, иногда устный опрос покупателей может вызвать у них настороженность. Поэтому целесообразнее предВнложить им заполнить опросный лист, изложив в нем задачи опроса, с тем, чтобы покупатель знал его цель и постарался точнее ответить на вопросы.

Эффективность рекламного мероприятия или отдельного средства рекламы может выражаться числом потребителей, охваченных реклаВнмой, а также величиной затрат на одного зрителя, читателя и т.п. Так, целесообразность публикации газетного объявления в том или ином печатном органе устанавливают путем определения общего числа люВндей, которые смогут его прочитать (число это зависит в основном от тиража газеты), или размеров затрат на объявление в расчете на одноВнго читателя.

Чем больше читателей будет охвачено рекламой, тем меньшими окажутся расходы на нее в расчете на одного человека.

Данные об эффективности психологического воздействия рекламы позволяют прогнозировать ее действенность.

5.2. Правовое регулирование рекламной деятельности

Реализация экономических реформ, разВнвитие рынка в Российской Федерации объекВнтивно обусловили быстрое развитие рекламной деятельности. Направленность этой деятельноВнсти непосредственно на потребителя требует формирования механизмов ее государственного регулирования и контроля.

До принятия Федерального закона "О рекламе" рекламная деятельность регулироваВнлась достаточно фрагментарно: Основы закоВннодательства РiСР "Об охране здоровья граВнждан" (ч.2 ст.19, ч.8 ст.43), законы Российской Федерации "О сертификации продукции и усВнлуг" (ч.4 ст.7), "О средствах массовой инфорВнмации" (ч.2 ст.4, ст.36), "О защите прав потреВнбителей" (ст.ст.6-10), Закон РiСР "О конкуВнренции и ограничении монополистической деяВнтельности на товарных рынках" (чч.3,4 ст. 10), Указ Президента Российской Федерации №1183 от 10 июня 1994г. "О защите потребителей от недобросовестной рекламы".

Как показала практика, ряд ранее введенных специальных норм регулирования рекламВнной деятельности в законодательстве, сформуВнлированных в виде прямых запретов, но без установления полномочий органов исполниВнтельной власти по контролю за соблюдением этих норм и санкций при их нарушении, не дейВнствовал. Так, до принятия Федерального закоВнна "О рекламе" в средствах массовой информаВнции, в первую очередь на телевидении (вклюВнчая государственное), шла запрещенная рекВнлама алкогольных и табачных изделий. МноВнгие из участников рекламной деятельности игВннорировали запрет рекламы несертифицироВнванных товаров, а также методов лечения, профилактики, диагностики и лекарственных препаратов, не имеющих одобрения Минздравмедпрома России, и пр. До самого недавнего времени была широко распространена практиВнка создания массового ажиотажа среди гражВндан и юридических лиц с помощью рекламы финансовых, страховых, инвестиционных услуг с целью крупномасштабного привлечения деВннежных средств.

Напротив, наличие конкретных контролиВнрующих органов исполнительной власти и четВнких положений об ответственности хозяйствуюВнщих субъектов в ряде нормативных актов поВнзволяет достаточно действенно и оперативно приводить рекламную деятельность в соответВнствие с нормами цивилизованного предприниВнмательства. Так, осуществление контроля за исполнением Указа Президента Российской Федерации "О защите потребителей от недоброВнсовестной рекламы" от 10 июня 1994г. №1183 в комплексе с антимонопольным и потребительВнским законодательством позволило в основном привести рекламу финансовых, страховых, инВнвестиционных и других услуг в соответствие с требованиями Указа.

Вместе с тем, практическое применение антимонопольными органами данного Указа (одного из первых актов, регулирующих рекВнламную деятельность в России), а также некоВнторых других правовых норм, выявило ряд проблем. Так, при отсутствии лицензии было невозможно применить к рекламодателю санкВнции, предусмотренные Указом (приостановлеВнние действия или досрочное аннулирование лиВнцензии). Ответственность за нарушение рекВнламного законодательства (за исключением огВнраничений по объему рекламы в средствах масВнсовой информации) не распространялась на рекламораспространителей и рекламопроизводителей.

На формирование целостной системы реВнгулирования рекламной деятельности в интеВнресах развития цивилизованных рыночных отВнношений, поддержания добросовестной конкуВнренции и защиты прав потребителей и была направлена работа по подготовке ФедеральноВнго закона "О рекламе".

Практика зарубежных стран с развитой рыночной экономикой, а также анализ рекламВнной деятельности в Российской Федерации свидетельствовали об актуальности   принятия специального Федерального закона. При его разработке было использовано рекламное заВнконодательство стран Европы, США, Канады, Бразилии и практика его применения. Проект рассматривался на Межведомственном совете по делам потребителей при ГКАП России, КолВнлегии ГКАП России, а также прошел экспертиВнзу в Департаменте конкурентной и потребиВнтельской политики Организации экономичеВнского сотрудничества и развития (ОЭСР), поВнлучив одобрительные оценки.

В разработке участвовали специалисты МВД, Минздравмедпрома, Госстандарта РосВнсии, Роскомторга, Судебной палаты по инфорВнмационным спорам при Президенте Российской Федерации, Международной конфедерации обВнществ потребителей, представители АссоциаВнции работников рекламы, юристы-эксперты средств массовой информации и др.

Принятый Федеральным Собранием и подписанный Президентом Российской ФедераВнции Закон состоит из пяти разделов, 33 статей, в которых определены основные положения, общие и специальные требования к рекламе на территории Российской Федерации, права и обязанности субъектов рекламной деятельноВнсти, ответственность за ненадлежащую реклаВнму, а также система государственного и обВнщественного контроля за рекламной деятельноВнстью. Закон определяет правовые основы отВнношений по созданию и распространению рекламы, а также нормы, регламентирующие преВндупреждение и пресечение ненадлежащей рекВнламы. Он имеет основной целью обеспечение условий рекламной деятельности, отвечающих интересам общества, потребителей рекламы, рекламодателей, рекламопроизводителей, рекламораспространителей.

В частности, Закон устанавливает важнейВншие требования, предъявляемые к рекламе (добросовестность, достоверность, этичность), определяет особенности рекламы в электронВнных и печатных средствах массовой информаВнции, наружной, транспортной рекламы. УстаВннавливаются определенные ограничения и осоВнбые требования при рекламе отдельных видов товаров, работ, услуг алкоголя, табака, оруВнжия, медикаментов, а также финансовых, страВнховых, инвестиционных услуг. Предусмотрены нормы по защите интересов несовершеннолетВнних при рекламе детских товаров, а также по созданию и распространению социальной рекВнламы.

Так, например, нормы по рекламе алкогоВнля и табака, содержащиеся в Федеральном заВнконе "О рекламе", включают сбалансированВнный с точки зрения интересов потребителей, рекламодателей,  рекламопроизводителей  и рекламораспространителей комплекс ограничеВнний по месту, времени и способам подачи. Они содержат конкретный механизм контроля и отВнветственности за несоблюдение рекламного заВнконодательства, а также ликвидируют пробелы, имеющиеся в действующем законодательВнстве в части отсутствия ограничений рекламы алкоголя и табака на улицах, транспорте, в печатных изданиях (кроме СМИ), в организаВнциях и пр. Тем самым устраняются несбалансиВнрованность и декларативность законодательстВнва в отношении рекламы алкоголя и табака, а также неурегулированность вопросов обеспечеВнния добросовестной конкуренции и защиты прав потребителей при производстве и расВнпространении рекламы.

Анализ зарубежного рекламного законоВндательства показывает, что интересы госуВндарственного регулирования рекламной деяВнтельности сосредоточены, прежде всего, в сфере обеспечения добросовестной конкуренции и заВнщиты прав потребителей.  Именно поэтому ГКАП России не только выступил инициатоВнром и головным разработчиком российского рекламного законодательства, но и предлоВнжил определить Комитет в качестве ведущего федерального органа исполнительной власти, контролирующего   рекламную деятельность. Порядок государственного и общественного контроля, установленный Законом, положиВнтельно зарекомендовал себя на практике в рамВнках реализации антимонопольного и потребиВнтельского законодательства. При этом реализаВнция Закона не требует дополнительных бюдВнжетных трат в части создания специальных федеральных органов исполнительной власти либо увеличения штатов действующих.

Законом также предусмотрены определенВнные права и полномочия государственных структур,   контролирующих   деятельность средств массовой информации, охрану здороВнвья населения, безопасность движения (трансВнпортная реклама). Определены права местных органов по контролю за рекламной деятельноВнстью в регионах, а также органов общественВнного контроля и саморегулирования рекламной деятельности.

Установлены санкции за отказ от исполВннения решений (предписаний) органов, конВнтролирующих рекламную деятельность.

Полномочия судебных органов,  предуВнсмотренные в Законе, полностью соответствуВнют базовым нормам гражданского и гражданско-процессуального законодательства   росВнсийской Федерации. Вместе с тем принятие Закона потребовало внесения дополнений в угоВнловное и уголовно-процессуальное законодаВнтельство.

Таким образом, Закон содержит все необВнходимые правовые механизмы для реализации его на практике.

6. ПОНЯТИЕ ИНТЕРНЕТ-РЕКЛАМЫ

Реклама в Internet тАУ это инструмент, использование которого является необходимым условием для успеха и популярности любого Интернет-ресурса, для эффективного создания и поддержания имиджа компании или мероприятия, для продвижения торговой марки на рынке и т. д.

Ее основные задачи: информирование и привлечение в качестве посетителей представителей целевой аудитории Интернет-ресурса.

Цель: обеспечить устойчивый, растущий уровень продаж продуктов и услуг компании владельца сайта.

В качестве методов Интернет тАУ рекламы используются:

  • баннерная реклама на коммерческих сайтах Интернета;
  • коммерческие показы в ведущих баннерообменных сетях;
  • регистрация в поисковых машинах и каталогах Интернета
  • оптимизация WEB-сайта для роботов поисковых систем;
  • e-mail реклама в специализированных почтовых рассылках;
  • размещение информации в Интернет о конференциях, форумах, чатах, на популярных новостных сайтах, досках объявлений и т. д.;
  • организация системы обмена текстовыми ссылками.

Надо отметить, что если Вы создали прекрасный во всех отношениях веб-сайт, разместили его на быстром и надежном сервере, Вы сделали лишь полдела. Чтобы добиться успеха в сети, необходимо приложить немало усилий для:

  • привлечения посетителей на Ваш веб-сайт;
  • поиска в сети покупателей для Вашей продукции/сервиса;
  • создания (улучшения) в Интернете имиджа Вашей компании, ее продукции и услуг.

В дальнейшем, в работе будут подробно рассмотрены виды рекламы в Интернет и ее основные свойства.

7. ОСНОВНЫЕ ТИПЫ ИНТЕРНЕТ-РЕКЛАМЫ И ВОЗМОЖНОСТИ ИХ ИСПОЛЬЗОВАНИЯ

Баннерная реклама.

Наиболее распростпраненным видом рекламы в Интернет считается Баннерная реклама. Баннерная реклама справедливо считается самым популярным способом наращивания траффика (привлечения посетителей) веб-страницы, средством привлечения новых клиентов, а также мощным инструментом имиджевой рекламы в Интернете.

Как правило, баннер представляет собой прямоугольное графическое изображение в формате GIF или JPG, хотя встречаются баннеры, созданные с помощью JAVA, ShockWave и т.д. Баннер помещается на странице веб-издателя и имеет гиперссылку на сервер рекламодателя.

В настоящее время не существует официально принятых стандартов по размеру баннеров, хотя наиболее распространенным является размер 468х60 пикселей.

Первой вехой в стандартизации размеров баннеров стали рекомендации по размеру баннеров предложенные Internet Advertising Bureau совместно с CASIE (The Coalition for Advertising Supported Information & Entertainment) (Приложение 6  Таблица 1.7.)

Так как необходимо, чтобы баннер загружался на страницу как можно быстрее, существует ограничение на размер баннера в килобайтах. Так, например, для баннера 468х60 максимальный размер обычно составляет 10 или 15 килобайт.

Баннеры выполняют роль рекламного щита в Интернете, который выполняет две функции:

  • служит рекламе и продвижению брэнда кампании, а также информированию о ее продукции тАУ все, кто увидел баннер на том или ином Интернет ресурсе, считаются охваченными рекламной кампанией;
  • является средством привлечения посетителей на электронное представительство (сайт) рекламируемой компании. Все, кто зашел на рекламируемый сайт по баннеру, считаются привлеченными посетителями, которые в дальнейшем формируют целевую аудиторию ресурса.

Существуют три основные метода баннерной рекламы:

Использование специальных служб обмена баннеров (Banner Exchange Services), которые обеспечивают показ ваших баннеров на других страницах взамен на показ на ваших страницах чужих баннеров.

Баннерная сеть тАУ это объединение различных сайтов, на страницах которых размещаются баннеры участников сети, а также баннеры любой компании, которая заплатила владельцу данной баннерной сети. Наиболее распространененной банерной сетью считают сегодня в RLE Banner Network (" onclick="return false">

Система показа баннеров обеспечивает размещение баннеров внутри определенного сайта по выбору компании, являющийся владельцем этого сайта.

Некоторые из систем позволяют проводить рекламную кампанию более гибко:

  • показывать ваши баннеры только на определенной, выбранной Вами группе серверов;
  • показывать баннеры с заданной интенсивностью или только в определенные вами промежутки времени;
  • не показывать повторно баннер пользователю, который его уже видел.

Вы можете напрямую договориться с вебмастером другой страницы на размещение баннеров друг у друга. Желательно обмениваться со страницами, имеющими сходную тематику, но следует иметь в виду, что обмен баннерами с веб-сайтом конкурентов часто может принести больше вреда, чем пользы.

И наконец, Вы можете заплатить баннерной системе, поисковому серверу, каталогу или просто популярному за показ ваших баннеров на их страницах.

Одной из самых важных характеристик баннера является отношение числа кликов на баннер к числу его показов. Ситуация когда пользователь загружает WEBтАУстраницу с рекламным баннером, считается одним показом баннера. Если же пользователь навел указатель мыши на баннер и ВлкликнулВ» по нему, перейдя по связанной с баннером гиперсылке, то данный факт считается одним переходом по баннеру или одним ВлкликомВ». Колличественно эффективность баннера оценивается коэффициентом кликопоказов тАУ CTR, который равен отношению колличества переходов по баннеру (ВлкликовВ») к количеству показов баннера. Чем больше CTR, тем выше выше оценивается результативность рекламной кампании. Так если Ваш баннер был показан на какой-либо странице 1000 раз, а нажали на него и, соответственно, попали на ваш сайт 50 человек, то отклик такого баннера равен 5%.

По статистике средний отклик ("click/through ratio", CTR) у баннеров, используемых в " onclick="return false">

Но CTR не является абсолютным гарантом эффективности баннера. Баннер может быть красивым и интригующим, заставляющим пользователя кликнуть на него. Но начав загрузку Вашего сайта и, приблизительно, поняв, куда он попал, пользователь может с легкостью нажать кнопку "back" на своем браузере.

Используя на баннере завлекающие, но мало относящиеся к делу - текст и картинки, рекламодатели, возможно, привлекут больше заинтригованных посетителей, но с другой стороны, потеряют действительно заинтересованных в посетителей.

Понастоящему эффективный баннер должен быть хорошо выполнен художественно и технически (некачественный дизайн сразу говорит о несерьезности, несолидности рекламируемого сервера/услуг). Он должен быть оригинальным (запоминаться), возможно быть интригующим (пробуждать любопытство), но одновременно давать представление о характере рекламируемого сервера/услуг и создавать их положительный имидж. "Сухой" баннер с четким текстовым изложением содержания сайта тоже не является верным решением - его CTR обычно крайне низок. Он не запоминается и не создает положительного имиджа.

Не стоит сбрасывать со счетов и роль баннера как средства имиджевой рекламы. Если отклик баннера 2%, это не означает что остальные 98% были потрачены впустую. Каждый показ баннера приносит рекламодателю ощутимую пользу, являясь прекрасным инструментом брэндинга (branding) - имиджевой рекламы компании, определенных товаров/услуг или, например, веб-сайта. Чтобы имиджевая реклама работала, баннер должен быть выполнен в соответствующем ключе: профессиональный дизайн, хорошо продуманный рекламный текст и слоган, использование соответствующих изображений и т.д. А использование в этом случае псевдополос прокрутки, псевдокнопок, интригующих, но совершенно не относящихся к делу фраз и изображений, не является правильным выбором.

Рассмотрим некоторые термины имиджевой рекламы. Иерархия имиджа (от крайне негативного до крайне позитивного):

Brand Rejection (негативный имидж) - такой имидж, например, имеет банк "Чара" у обманутых вкладчиков. Это самое плохое, что может случится с имиджем Вашей компании.

Brand Non-Recognition (отсутствие осведомленности) - например, компания "Не спи, а то замерзнешь" имеет Non-Recognition Brand, т.к. я ее только что придумал и, соответственно, о ней никто не знает.

Brand Recognition (осведомленность о брэнде) - Вы осведомлены, что существуют такие, например, поисковые Интернет системы как Rambler, AltaVista, Excite, WebCrawler, HotBot. Следующий вопрос, какой из данных систем Вы отдаете предпочтение.

Brand Preference (предпочтение) - если по объективным или необъективным причинам Вы начинаете свой поиск в Интернете именно с Rambler, или, например, предпочитаете покупать йогурт именно фирмы Ehrmann, то здесь мы имеем дело именно с Brand Preference.

Brand Insistance (верность данному брэнду) - знак исключительной преданности группы потребителей данному брэнду. Отдавая предпочтение определенному продукту, потребитель порой не может рационально объяснить его преимущество и сознательно не рассматривает возможность альтернативной покупки.

Consumer Loyalty - вероятность того, что человек купит продукт данной торговой марки при следующей покупке данной группы товаров.

В 1996 году HotWired совместно с экспертами в области рекламных технологий Millward Brown, а в 1997 году Internet Advertising Bureau http://" onclick="return false">

Некоторые результаты исследований:3

1. Отношение пользователей интернет к рекламе в сети:

  • 18% горячо поддерживают
  • 41% одобряют
  • 34% не возражают
  • 6% против
  • 1% крайне не одобряют

2. Несмотря на то, что в арсенале телевизионной рекламы есть возможность использовать визуальные и акустические эффекты, недоступные для печатной и сетевой рекламы, телезрители - пассивная аудитория. Читатели же и пользователи сети напротив активны в поиске и восприятии информации, поэтому вероятность воздействия рекламы здесь выше: около 30 % опрошенных (из 16 758 респондентов) помнят увиденную баннерную рекламу через семь дней. Каждый следующий показ баннера увеличивает эту цифру.

3. Из этих "помнящих" 96% просто видели баннер, и лишь 4% щелкнули на него и попали на веб-сайт рекламодателя. Принимая во внимание, что кликают в среднем лишь 2% видевших баннер, делается вывод, что для имиджевой рекламы показы баннера гораздо важнее, чем клики на баннер.

4. После одной демонстрации баннера brand awaraness (осведомленность о существовании данного брэнда) в среднем увеличивается на 7%. Каждый показ баннера (особенно в соответствующем контексте веб-страницы) создает связь между брэндом и соответствующей группой товаров и продвигает данный брэнд по иерархической лестнице (см. выше).

5. После одного показа баннера Consumer Loyalty увеличивается на 4%, что, по словам IAB, является индикатором потенциального увеличения продаж.

6. На порядок более высокие цифры по увеличению Brand Awaraness и Consumer Loyalty наблюдаются для новых, нераскрученных брэндов.

Обычно устанавливается фиксированная цена за тысячу показов рекламного баннера, которая значительно ниже стоимости традиционной рекламы в СМИ. Кроме того, существуют схемы оплаты за каждый "клик" по баннеру компании-рекламодателя. Стоимость "клика" по баннеру выше, чем стоимость показа баннера, так как считается, что на баннеры "кликают" потенциальные клиенты (покупатели). Стоимость "клика" по баннеру рассчитывается как отношение числа посетителей к сумме чистой прибыли.

По оценкам " onclick="return false">

Некоторые компании используют еще более адресные рекламные схемы, оплачивая не показы баннера по какому-то определенному сайту, а выплачивая бонусы непосредственно тому, кто смотрит их рекламу. Для реализации этой схемы используется специальное программное обеспечение, которое предустанавливается на компьютер и выводит на экран дисплея небольшое окошко с постоянно меняющейся рекламой.

Например, в России по такой схеме работает компания Spedia.Net, которая является посредником между рекламодателями и конечными получателями рекламы. Рекламодатели платят Spedia.Net около 3 долл. за 1000 показов рекламных баннеров. Spedia берет себе 50% и выплачивает своим подписчикам около 1,5 долл. за просмотр 1000 рекламных баннеров. Такая схема выгодна рекламодателям, так как пользователь смотрит рекламу по своему желанию, а не относится к ней как к нежелательному побочному эффекту, и рекламодатель имеет возможность показывать рекламу избирательно: по полу, возрасту, месту проживания и интересам пользователей сети.

Поисковые Системы и Каталоги

Помимо баннерной рекламы существенный вклад в траффик Вашего Веб-сайта могут внести поисковые системы и каталоги. Возможно, это не даст такого же эффекта, как баннерная реклама, но, в свою очередь, не потребует от Вас вложения денег в показы или размещения чужих баннеров на Ваших страницах. Кроме того, посетитель, который пришел к Вам через поисковую систему, заинтересован именно в информации/товарах/услугах, представленных конкретно на Вашей странице.

Ярким представителем поисковых систем являются международная Alta-Vista или наш российский Rambler.

Поисковые системы состоят из трех основных частей:

1. Spider (он же Crawler, он же Bot, он же Robot) - программа, которая посещает веб-страницы, считывает (индексирует) полностью или частично их содержимое и далее следует по ссылкам, найденным на данной странице. Spider возвращается через определенные периоды времени (например, каждый месяц) и индекисрует страницу снова.

2. Все, что находит и считывает Spider, попадает в индексы поисковой системы. Индексы системы представляют собой гигантское вместилище информации, где хранятся копии текстовой составляющей всех посещенных и проиндексированных Spider-ом страниц.

3. Третья часть - это программа, которая в соответствии с запросом пользователя перебирает индексы поисковой системы в поисках информации, интересующей пользователя, и выдает ему на гора в порядке убывания релевантности найденые документы.

Каждая поиковая система имеет своего собственного спайдера, со своими собственными "повадками". Каждая система индексирует страницы своим особым способом и приоритеты при поиске по индексам тоже отличны. Поэтому, произведя запрос по определенным ключевым словам или выражениям, мы будем иметь разные результаты для каждой из поисковых систем.

Типичным представителем каталогов является, например, международная Yahoo! Регистрация в каталогах полностью зависит от людей - модераторов данной системы. Каталог обычно имеет тематическую разбивку на подкаталоги, те в свою очередь могут подразделяться на более мелкие поддиректории и т.д.

Так как регистрация производится человеком, а не программой, то поиск по каталогам дает более релевантные результаты, нежели по поисковым системам.

Для регистрации в каталоге сайта Вашей компании необходимо послать заявку с указанием, в какой раздел вы хотите поместить свою страницу, послать краткое описание сайта и список ключевых слов для поиска Вашей страницы в каталоге.

E-mail реклама

На механизм электронной почты опираются многие популярные средства вещания в Интернет. Сюда входят списки рассылки, дискуссионные листы и, разумеется, индивидуальные почтовые сообщения.

При умелом использовании e-mail может дать еще один эффективный инструмент продвижения компании в Интернет

Преимущества e-mail рекламы очевидны:

  • электронная почта, появившаяся задолго до разработки " onclick="return false">
  • e-mail представляет собой push-технологию вещания, работает напрямую и достигает конкретно нужного пользователя;
  • дает возможность персонифицированного обращения;
  • благодаря четкому тематическому делению списков рассылок и дискуссионных листов можно воздействовать именно на интересующую целевую аудиторию;
  • интересное с точки зрения получателя сообщение может быть распространено среди его коллег и знакомых;
  • многие западные эксперты сходятся во мнении, что отклик на правильно размещенную рекламу в e-mail выше, чем отклик баннеров, и что самое главное, выше качество переходов на сайт рекламодателя -больше "правильных" посетителей;
  • cейчас, когда большинство пользователей имеют почтовых клиентов поддерживающих формат HTML-, для рекламодателя стало возможным размещение не только текстовой, но и графической рекламы (в частности, баннеров), а также учет ее эффективности (т.е. стало возможным отслеживать кол-во переходов на сайт рекламодателя по ссылке в письме).

Существует ряд эффективных и не нарушающих этику поведения в сети методов использования e-mail в качестве инструмента рекламы. Ниже приводятся основные направления.

В Интернете существует множество списков рассылки, которые посвящены самым различным тематикам. Ведут их, как правило, люди, хорошо осведомленные в данном вопросе, регулярно рассылая по e-mail очередные выпуски рассылки. Получатели подобных писем собственноручно подписались на список, и в любой момент у них есть право и возможность отменить свою подписку.

Существуют открытые рассылки (для все желающих), закрытые (для людей определенного круга), бесплатные (существующие за счет энтузиазма создателей, спонсорской поддержки, платных рекламодателей), платные.

Т.к. список рассылки обычно представляет собой средство вещания для определенной целевой группы и часто имеет тысячи подписчиков, он является действительно эффективным инструментом маркетинга.

Каким образом можно поместить рекламу в список рассылки? Здесь все зависит от политики администрации списка:

  • разместить платную рекламу;
  • бесплатное размещение (возможно, если Вы убедите администратора в пользе данного мероприятия для подписчиков листа);
  • можно написать полезный материал для рассылки и тем самым провести косвенную рекламу (упомянув свою компанию, поставив подпись и т.д.).

В российской сети крупнейшим рассылочным сервером является "Городской Кот" http://" onclick="return false">

Среди западных можно выделить PostMaster Direct Response http://" onclick="return false">

Еще следует обратить внимание на специализированную поисковую систему по спискам рассылки Liszt http://" onclick="return false">

Прекрасным маркетинговым ходом будет заведение собственного списка рассылки. Естественно, это имеет смысл только если Вы в состоянии на регулярной основе подготавливать компетентную информацию, которая заинтересовала бы Вашу целевую аудиторию.

Некоторые рекомендации по организации списка рассылки:

  • предоставлять пользователям четкую информацию о тематике, формате, периодичности списка рассылки. В будущем не следует без согласия подписчиков отклоняться от выбранных характеристик листа;
  • предусматривать удобный и понятный механизм осуществления подписки и, самое главное, отписки от листа. При подписке необходимо, чтобы подтверждение пришло непосредственно с адреса получателя, иначе может возникнуть ситуация, когда энергичный пользователь подпишет всех своих друзей (или врагов) без их ведома.
  • бережно относиться к списку e-mail адресов подписчиков, ни в коем случае не использовать их в других целях, например, для рассылки одной рекламы (умеренное количество рекламы в самой рассылке допускается). Не отдавать/продавать список e-mail адресов третьим лицам.

ВЫВОДЫ И ПРЕДЛОЖЕНИЯ

В рамках глобальной стратегии развития компании направленной на достижение долгосрочных задач и целей, особое значение приобретают усилия компании по использованию рекламы в качестве основного средства маркетинговых коммуникаций.

С целью наиболее эффективного решения стратегических задач в области рекламы необходимо четко представление о бизнесе и особенностях товара, знать сильные и слабые стороны компании, обладать информацией о рынке - знать возможности которые он предлагает, и представлять себе проблемы деятельности на этом рынке. Необходимо четко спланировать рекламную кампанию в отношении сроков и средств рекламы, задействованных в кампании, рекламного бюджета и т.д.

Реклама не только позволяет информировать потребителей о товаре, на который есть спрос на рынке, но и создавать этот спрос, в особенности на развивающихся рынках (например, в России).

Таким образом, эффективное использование средств маркетинговых коммуникаций (рекламы) позволяет решать стратегические и тактические задачи фирмы, связанные с глобальной миссией компании на рынке.

Реклама определяется как процесс обезличенной передачи различными средствами, как правило, платной и носящей характер убеждения информации о товаре, услугах и идеях, предлагаемых представляющими себя рекламодателями.

В качестве инструмента организации сбыта реклама выполняет нижеследующие функции:

  • Представление наименований товаров и дифференциация между ними.
  • Сообщение информации о товаре.
  • Стимулирование заинтересованности потенциальных покупателей новыми товарами и поддержание вторичного спроса у уже существующих.
  • Оптимизация сбыта товара.
  • Расширение области применения товара.
  • Обеспечение предпочтительного отношения к товару и приверженности ему.

Помимо маркетинговых, реклама может выполнять целый ряд других функций:

  • коммуникативную;
  • образовательную;
  • экономическую;
  • общественную.

Цели рыночной деятельности компании должны логически вытекать из её анализа существующей ситуации, её прогнозов относительно будущих тенденций и её понимание корпоративных целей. Они должны соотноситься с потребностями конкретных целевых рынков и с целями продажи товаров, цели продажи товаров должны быть конкретными, качественно определёнными и реалистичными.

Цели рекламы можно выразить как перемещение потенциальных покупателей с одного уровня рекламной пирамиды на другой (осведомленность, понимание, убеждённость, желание, действие). Они могут быть также выражены как создание потребности в конкретной марке, желания отправить купон или как изменения отношения к товару.

Рекламная (или творческая) стратегия определяется способом использования рекламодателем творческого комплекса. Творческий комплекс включает:

  • целевую аудиторию;
  • концепцию продукта;
  • средства распространения информации;
  • рекламное сообщение.

Целевая аудитория представляет конкретную группу людей, которым адресуется реклама. Она может совпадать или не совпадать с целевым рынком. Концепция продукта представляет собой совокупность свойств товаров, представляемых покупателям. Средства распространения информации тАУ это способ передачи рекламного сообщения. Рекламное сообщение тАУ это то, что компания планирует сказать в своих объявлениях, и то как она планирует об этом сказать. К основным средствам распространения рекламы относятся: объявления в прессе, в газетах, либо журналах, по радио, телевидению или рекламные щиты.

Каждое из средств массовой информации тАУ имеют свойственные только ему возможности и характеристики в отношении определённых общественных групп. Рекламодатель и агентство должны планировать, какое средство массовой информации нужно использовать для привлечения покупателей, намеченных в качестве объекта рекламы. После этого задачей лица планирующего работу со средствами массовой информации является выбор из имеющихся средств массовой информации таких радиостанций, телепрограмм, газет и так далее, которые могли бы достичь желаемого результата наиболее эффективным способом.

При выборе каналов распространения рекламных посланий используются следующие критерии:

  • охват,
  • доступность,
  • стоимость,
  • управляемость,
  • авторитетность,
  • сервисность.

Для повышения результативности рекламной работы на предприятии мной были предложены следующие меры:

  • улучшить работу с СМИ, т.е. давать больше рекламных объявлений в городские газеты, на местное телевидение;
  • улучшить наружное витринное оформление;
  • разработать логотип (эмблему) ВлКондораВ»
  • организовать выставки-продажи;
  • разместить информацию об оказании различных услуг;
  • повышение профессионального этикета работников магазина;
  • пошив фирменной одежды для работников;
  • заключений контрактов с художником-оформителем;
  • пустить в продажу пакеты с надписью магазина ВлКондорВ»,и фирменным знаком, но для этого им надо их сделать(этот вид рекламы хорошо используется в Финляндии например магазин ВлПризмаВ»)

Организация рекламной деятельности рассмотрена на примере магазина ВлКондорВ». Можно сказать, что наиболее традиционные формы рекламы используются данной компанией не эффективно, но в то же время в чем-то и эффективно

Приведены предложения по расширению и улучшению рекламных мероприятий по продвижению товаров для указанного предприятия, путем использования интернет-рекламы, а также дано обоснованное объяснение эффективности использования данного вида рекламы для предприятия, исходя из экономических и целевых точек зрения.

СПИСОК ЛИТЕРАТУРЫ

I. Нормативные акты

  1. Гражданский Кодекс Российской Федерации Части I, II: тАУ М.; 1998 год.
  2. Закон о рекламе. М., ВлКрона-ЛексВ», 1997.
  3. Закон Российской Федерации ВлО товарных знаках, знаках обслуживания и наименованиях мест происхождения товаровВ» от 23 сентября 1992 г. №3520-1
  4. О рекламе: Федеральный Закон Российской Федерации №103-Ф3. Принят Государственной Думой 14 июня 1995 года.
  5. Сборник нормативных документов о рекламе. СПб., 1995
  6. Федеральный Закон ВлО защите прав потребителейВ» (с изменениями) от 25 января1996 года.

II. Монографии и учебники

  1. Александров А. Электронный двигатель торговли. Busness Online, № 9, 2000.
  2. Батра Р. и др. Рекламный менеджмент. М., 1999.
  3. Бове Кортлэнд Л., Аренс Уильямс Ф. Современная реклама. Издательский дом ВлДовганьВ», 1995.
  4. Викентьев И.Л. Приемы рекламы и Public Relations. СПб., Триз-шанс,1995
  5. Виноградова С.Н. Коммерческая деятельность. Минск, Высшая школа, 1996.
  6. Гермогенова Л.Ю. Эффективная реклама в России. Практика и рекомендации. М., 1994.
  7. Дж. Р. Росситер, Л. Перси. Реклама и продвижение товаров. СПб., Питер, 2001.
  8. Интернет. Адвента. Московское рекламное обозрение, архив сентября 1998.
  9. Музыкант В.Л. Теория и практика современной рекламы. Часть. 1. Монография. М., Евразийский регион 1998.
  10. Панкратов Ф.Г., Серегина Т.К., Шахурин В.Г. Рекламная деятельность: Учебник. М., 1998.
  11. Правила торговли. Товарный справочник. М., Экономика, 1996.
  12. Рогожин М.Ю. Теория и практика рекламной деятельности. Учебное пособие. М., Изд-во РДЛ, 2001.
  13. Рожков И.Л. Реклама: планка для ВлпрофиВ». М., Юрайт, 1997.
  14. Ромат Е.В. Реклама. СПб., Питер, 2002.
  15. Уткин Э.А., Кочеткова А.И., Рекламное дело. М., Ассоциация авторов и издателей ВлТандемВ». Изд-во ЭКМОС 1997.
  16. Ф.Г. Панкратов, Ю.К. Баженов, Т.К. Серёгина, ВлКоммерческая деятельностьВ» М., Информационно-внедренческий центр. Маркетинг. 2000.

III. Периодические издания

  1. Журнал ВлЛаборатория рекламы, маркетинга и PRВ», № 7, 2001.
  2. Журнал ВлРекламные технологииВ», № 1-5, 2000.
  3. Журнал ВлСовременная торговляВ», 2000г. №6.
  4. Журнал ВлСовременная торговляВ», 2001г. №1.
  5. Журналы ВлРекламное делоВ», №№ 2, 3, 5 за 2000 г.

IV. Материалы сети Интернет

  1. ВлНаука о рекламеВ» (" onclick="return false">
  2. " onclick="return false">
  3. " onclick="return false">
  4. " onclick="return false">
  5. " onclick="return false">
  6. " onclick="return false">
  7. " onclick="return false">
  8. " onclick="return false">
  9. " onclick="return false">
  10. " onclick="return false">
  11. " onclick="return false">
  12. " onclick="return false">
  13. " onclick="return false">
  14. " onclick="return false">

       

       

22.01.2003 год.

Приложение 1 Классификация рекламы Приложение 2 Реклама и стимулирование сбыта товаров Приложение 3 Наборы рекламных методов

Менеджер по бизнес-рекламе (которая направлена на другие фирмы) использует в основном следующие 10 методов:

  1. Реклама в средствах массовой информации (на ТВ, радио, в газетах, деловых журВнналах и изданиях для потребителей).
  2. Реклама в специализированных торговых изданиях.
  3. Справочники.
  4. Реклама, предполагающая немедленный отклик покупателей (в основных СМИ, прямой почтовой рекламе, интерактивной рекламе на ТВ или в Internet).
  5. Брошюры, экономическая литература, аудио- и визуальные средства для проведеВнния презентаций.
  6. Телемаркетинг.
  7. Программы усиления лояльности торговой марке.
  8. Спонсорство и проведение различных мероприятий.
  9. Участие в выставках, ярмарках, конференциях.
  10. Паблисити и связи с общественностью.

Менеджер по потребительской рекламе (то есть рекламирующий продукты или услуги своей фирмы, предназначенные для физических лиц) обычно польВнзуется следующими восемью методами:

  1. Реклама в СМИ (на ТВ, радио, в газетах, журналах и, во многих странах, в кинотеатВнрах).
  2. Реклама, предполагающая немедленный отклик покупателя (как правило, в основВнных СМИ, но иногда и с помощью прямой почтовой рекламы, интерактивного ТВ и Internet).
  3. Наружная реклама (щиты, плакаты).
  4. Реклама на упаковке и в местах совершения-покупки.
  5. Стимулирование торговли.
  6. Стимулирование покупателей.
  7. Спонсорство и проведение различных мероприятий.
  8. Паблисити и связи с общественностью.

Розничные продавцы, реклама которых также направлена на физических лиц, чаще всего используют следующие 10 способов:

  1. Реклама в СМИ (на ТВ, радио, в местных и региональных периодических издаВнниях и, по возможности, в кинотеатрах).
  2. Местная реклама, предполагающая немедленный отклик покупателя (каталоги, инВнтерактивное ТВ и Internet, брошюры).
  3. Купоны магазинов розничной торговли (обычно совместно с производителями), которые размещаются в местных СМИ или доставляются прямой почтой.
  4. Местная наружная реклама (щиты, плакаты, указатели).
  5. Выкладка товаров на полках и в витринах магазинов.
  6. Дисплеи со Влспециальными ценамиВ».
  7. Рекламные листки на полках магазинов.
  8. Проведение различных мероприятий в магазинах.
  9. Спонсорство на местном уровне.
  10. Собственные торговые марки розничных продавцов.

Приложение 5

Расшифровка планировки магазина:

  1. Торговый зал
  2. Помещение для фасовки
  3. Кухня
  4. Коридор
  5. Кабинет заведующей
  6. Душ
  7. Склад
  8. Моечная
  9. Склад для хранения алкогольной и безалкогольной продукции
  10. Туалет
  11. Умывальная
  12. Гардероб
  13. Электрощитовая

       

Вид помещения

S мВІ

Удельный вес в %

1

Торговые помещения

48,04

1.1

Торговый зал

90,5

48,04

2

Помещения для хранения и подготовки товаров к продаже

13,69

2.1

Склады

14,9

7,91

2.2

Помещение для фасовки и подготовки товара к продаже

10,9

5,78

3

Административные помещения

20,23

3.1

Кухня

12

6,37

3.2

Кабинет заведующей

9,8

5,2

3.3

Гардероб

9

4,78

3.4

Душ

2,3

1,22

3.5

Туалет

1,3

0,7

3.6

Умывальная

3,7

1,96

4

Технические помещения

0,84

4.1

Электрощитовая

1,6

0,84

5

Подсобные помещения

1,91

5.1

Моечная

3,6

1,91

6

Коридор

28,8

15,29

Общая площадь

188,4

100

Таблица основных помещений магазина

Состав помещений магазина

       

Приложение 6

       Таблица 1.

Латинское происхождение терминов Влрекламные коммуникацииВ» и Влстимулирование сбытаВ»

Термин

Латинское слово

Пояснение

Рекламные коммуникации (англ. Advertising communications)

Advertere тАУ направлять, сосредотачивать (внимание, усилия)

Цель рекламы - направить мысли покупателя или мышление потребителя в сторону совершения покупки

Продвижение (англ. Promotion), стимулирование (англ. Sales promotion)

Promovere тАУ способствовать, продвигать

Цель стимулирования тАУ побудить человека к немедленной покупке

       Рис. 1.3. Типы рекламы

Рис. 1.4. Основные цели рекламы.

Таблица 1.5

Пять эффектов коммуникации

Эффект коммуникации

Определение

1. Потребность в категории

Признание покупателем, что приобретение изделия или услуги необходимо для снятия ощущаемого несоответствия между текущим и желаемым мотивационным состоянием

2. Осведомленность о торговой марке

Способность покупателя идентифицировать (узнать или вспомнить) торговую марку данной товарной категории в объеме, достаточном для совершения покупки

3. Отношение к торговой марке

Оценка покупателем способности торговой марки соответствовать его текущему побуждению (в основе этой оценки лежит убежденность в материальной и эмоциональной выгоде от приобретения)

4. Намерение купить продукт определенной торговой марки

Решение покупателя приобрести данную торговую марку или предпринять иные действия,  связанные с покупкой

5. Содействие покупке

Уверенность покупателя в том, что факторы маркетинга (сам продукт, цена, реклама и каналы реализации) не затруднят покупку

Таблица 1.6.

Выбор средств рекламы на основе осведомленности о марке и отношения к ней

Массовые средства рекламы

Осведомленность

Отношение

Узнаваемость

Припоминание

Высокая вовлеченность/информационность

Низкая вовлеченность/трансформац-ионность

Низкая вовлеченность/информационность

Высокая вовлеченность/трансформационность

Телевидение

ДА

ДА

НЕТ

ДА

ДА

ДА

Кабельное телевидение

ДА

ДА

ДА

ДА

ДА

ДА

Радио

НЕТ

ДА

НЕТ

ОГР (ВИЗ)

ДА

ОГР (ВИЗ)

Газеты

ОГР(Ц)

ДА

ДА

ОГР (Ц)

ДА

ОГР (Ц)

Журналы

ДА

ОГР (Ч)

ДА

ОГР (Ч)

ДА

ДА

Наружная реклама (стационарная)

ДА

ОГР (ЧК)

ОГР (ЧК)

ОГР (ЧК)

ДА

ДА

Наружная реклама (передвижная)

ДА

ОГР (ЧК)

ОГР (ВОИ)

ОГР (ЧК)

ДА

ДА

ДА тАУ средство рекламы подходит для достижения данной цели

НЕТ тАУ средство рекламы не подходит

ОГР тАУ средство рекламы подходит, но с ограничениями        

Ц тАУ ограничения по цвету

Ч тАУ ограничения по частоте

ВОИ тАУ ограничения по времени обработки информации

ЧК тАУ ограничения по числу контактов

ВИЗ тАУ визуальные ограничения

Таблица 1.7.

Размеры и типы баннеров

Размер (пикселей):

Тип

468 x 60

Full Banner

392 x 72

Full banner with Vertical Navigation Bar

234 x 60

Half Banner

125 x 125

Square Banner

120 x 90

Button #1

120 x60

Button #2

88 x 31

Micro Button

120 x 240

Vertical Banner


1 Рогожин М.Ю. Теория и практика рекламной деятельности. Учебное пособие. М., Изд-во РДЛ, 2001, с.20.

2 Дж. Р. Росситер, Л. Перси. Реклама и продвижение товаров. СПб., Питер, 2001, с. 167.

3 " onclick="return false">

Вместе с этим смотрят:

Организация ремонтного обслуживания на НГДУ
Организация секретарской службы
Организация управления на частном предприятии
Основные методы и пути минимизации финансового риска